西安电子科技大学电子工程学院2014年硕士研究生录取名单
- 格式:xls
- 大小:166.00 KB
- 文档页数:1
西安电⼦科技⼤学2009年硕⼠研究⽣招⽣⽬录--电⼦⼯程学院002电⼦⼯程学院 学科、专业名称(代码)研究⽅向指导教师拟招⼈数考试科⽬备注080902 电路与系统 19003 智能图像处理、核⼼算法硬件设计与实现焦李成教授 ①101政治理论②201英语③301数学(⼀)④821信号、电路与系统04 信号处理与仿真赵国庆教授05 电⼦系统设计与仿真、DSP技术及应⽤冯⼩平教授08 嵌⼊式系统、图像获取、处理、压缩与分析技术⽯光明教授09 仿真与信息处理史林教授10 数模混合电路与功率系统集成、设计⾃动化来新泉教授11 智能信号处理、信息融合、图像处理刘贵喜教授12 图像处理、模式识别、⽣物特征识别梁继民教授13 信息融合、图像分析与理解、智能信息处理吴艳教授14 智能信息处理、智能控制陈建安副教授15 络信息处理、Web信息系统、数据库系统李隐峰副教授16 电⼦设计⾃动化、嵌⼊式技术郭万有教授17 电路与系统CAD及设计⾃动化王松林教授18 智能信息处理、图像处理钟桦副教授19 智能测试与控制、微弱信号检测、系统集成与信息处理胡⽅明教授20 智能信息处理李⼩平教授21 图像融合与图像处理、基于DSP的信号处理系统设计那彦副教授22 图像多尺度⼏何分析侯彪副教授23 雷达信号处理、电⼦对抗技术、系统仿真和模拟魏青副教授25 智能信号处理与模式识别郑春红副教授26 智能信号处理杜海峰副教授27 新⼀代通信及嵌⼊式系统设计杨刚副教授29 信息安全与信息对抗胡建伟副教授30 图像处理、电⼦系统设计及嵌⼊式系统设计初秀琴副教授31 ⾃然计算、聚类分析、基于内容的信息检索李洁副教授32 电⼦对抗技术、电⼦对抗系统仿真董春曦副教授33 数据挖掘和进化算法刘静副教授34 数据挖掘与智能信息处理刘若⾠副教授35 电⼦对抗技术、信号处理与仿真汤建龙副教授36 智能信息处理杨淑媛副教授37 机器学习、模式识别、智能信息处理周伟达副教授38 数模混合信号处理与集成电⼦学代国定副教授40 电⼦对抗技术、络对抗技术饶鲜副教授41 电⼦设计⾃动化、智能测试与控制任爱峰副教授42 智能信息处理、图像处理与分析王爽副教授43 数据挖掘、聚类分析、图像处理赵恒副教授080904 电磁场与微波技术 10001 电磁兼容、电磁逆问题、计算微波与计算电磁学梁昌洪教授 ①101政治理论②201英语③301数学(⼀)④822电磁场与微波技术04 计算电磁学、智能天线、射频识别史⼩卫教授07 宽带天线、电磁散射与隐⾝技术龚书喜教授08 卫星通信、⽆线通信、智能天线、信号处理赵益民副教授09 天线理论与⼯程及测量、新型天线张福顺教授10 电磁散射与微波成像马⾦平教授11 天线CAD、⼯程与测量焦永昌教授13 移动卫星通信天线郑会利教授14 天线理论与⼯程傅光教授16 电磁散射与隐⾝技术赵维江副教授17 电磁兼容、微波测量、信号完整性分析路宏敏教授20 移动通信中的相控阵、共形相控阵天线技术张⼩苗教授21 计算微波与计算电磁学、微波通信、天线⼯程、电磁兼容谢拥军教授22 电阻抗成像、电磁兼容、⾮线性电磁学朱满座教授23 天线⼯程与CAD、微波射频识别技术、微波电路与器件尹应增教授24 电磁场、微波技术与天线电磁兼容王新稳副教授25 天线测量技术与伺服控制李勇⾼⼯26 天线理论与⼯程技术杨林教授27 天线近远场测试技术及应⽤、⽆线络通讯技术尚军平⾼⼯28 天线⼯程及数值计算孙保华副教授29 微波电路与微波⼯程雷振亚教授30 近场辐射及散射测量理论与技术于丁副教授31 微波系统和器件设计、电磁场数值计算苏涛副教授32 电磁新材料、计算电磁学、电磁兼容李龙副教授33 计算电磁学、电磁兼容、⼈⼯合成新材料史琰副教授34 计算电磁学安翔副教授35电磁隐⾝技术、天线理论与⼯程刘英副教授36 宽带⼩型化天线及电磁场数值计算郭景丽副教授081002 信号与信息处理 20005 信号处理与检测廖桂⽣教授 ①101政治理论②201英语③301数学(⼀)④821信号、电路与系统 09 信号检测与信息处理、星载计算机及应⽤、数据融合许录平教授10 信号处理与检测冯⼤政教授11 信号获取与处理、⾼速信息处理系统设计陈伯孝教授12 ⾃适应信号处理、智能检测、电⼦系统设计与仿真陈建春教授13 现代信号处理、微弱信号检测与特性分析姬红兵教授14 智能信息处理、影像处理与分析⾼新波教授15 信号处理与检测、电⼦系统仿真与设计、智能天线张林让教授18 信号处理与检测、⾼速信息处理系统王俊教授19 ⾼速实时信号处理苏涛教授20 现代雷达信号处理、⾼速DSP系统设计与应⽤刘峥教授21 电⼦系统设计与仿真、弱信号检测与处理李鹏教授26 ⼦波理论及应⽤、图像处理⽔鹏朗教授28 信号检测与处理、雷达⾃动⽬标识别刘宏伟教授29 雷达成像、⽬标识别邢孟道教授30 雷达信号处理、阵列信号处理、⾼速信息处理系统设计赵永波副教授31 信号处理与检测、多速率信号处理张⼦敬教授32 实时信号处理与检测、视频信号处理罗丰副教授33 ⾼速实时信号处理与检测、DSP应⽤系统设计李明教授34 信号变换、多速率信号处理谢雪梅教授35 雷达成像、机载雷达信号处理、实时信号处理王彤副教授36 信号处理与检测、⾼速信息处理系统设计苏洪涛副教授37 信号处理与检测、⾼速实时数字信号处理系统陶海红副教授38 通信信号处理、阵列信号处理李勇朝副教授39 信号与信息处理、实时信号处理李真芳副教授40 智能信息处理、模式识别、信息隐藏、图像处理同鸣副教授41 阵列信号处理及其在雷达、通信系统中的应⽤李军副教授42 雷达信号处理、⽬标识别、机器学习杜兰副教授43 图像和视频编码、图像处理吴家骥副教授★ 081022 信息对抗 1001 信息对抗系统和技术仿真、电⼦系统侦察与⼲扰赵国庆教授 ①101政治理论②201英语③301数学(⼀)④821信号、电路与系统 02 雷达、通信对抗系统仿真与信息处理冯⼩平教授03 电⼦侦察与⼲扰、测向和⽆源定位技术李鹏教授★081023 智能信息处理 1001 络智能信息处理、计算智能与模式识别焦李成教授 ①101政治理论②201英语③301数学(⼀)④821信号、电路与系统 02 智能信息/图像、⽬标检测、跟踪与编码⽯光明教授03 进化计算焦永昌教授04 机器学习与计算智能、医学影像可视化技术⾼新波教授05 智能信息处理、多源信息融合姬红兵教授081103 系统⼯程 1501系统建模仿真与设计、系统集成技术与应⽤许录平教授 ①101政治理论②201英语③301数学(⼀)④823⾃动控制理论基础⑤821信号、电路与系统④⑤选⼀02 化算法、智能算法及在⽆线系统设计中的应⽤焦永昌教授03 系统⼯程、检测与故障诊断、⽆线传感器络王昌明教授04 进化计算及应⽤、⼈⼯智能王宇平教授05 络化控制系统李俊民教授06 嵌⼊式控制系统、信号检测及信息处理殷廷瑞副教授07 系统集成技术张都应副教授081104 模式识别与智能系统 5001 图像处理、图像压缩、芯⽚设计、实时操作系统、光机电控制系统赵亦⼯教授 ①101政治理论②201英语③301数学(⼀)④821信号、电路与系统02 络智能信息处理与识别焦李成教授05 智能信号处理、智能控制、光源控制系统设计、电机控制应⽤楼顺天教授06 模式识别、基于内容的信息检索⾼新波教授07 模式识别、信号分类与识别姬红兵教授08 ⽬标检测与识别、信息融合、智能图像处理吴艳教授09 机器学习、模式识别、智能信息处理张莉副教授10 智能信息处理、图像处理王桂婷副教授11 智能信息处理、图像处理与分析张⼩华副教授12 多源信息融合韩红副教授13 医学影像分析与处理、⽣物特征识别⽥捷教授14 络多媒体技术研究、图像通信与图像处理、模式识别与⼈⼯智能郭宝龙教授15 复杂智能络李智教授081105 导航、制导与控制 1501 先进导航技术及应⽤、⽬标探测制导与控制技术许录平教授 ①101政治理论②201英语③301数学(⼀)④823⾃动控制理论基础⑤821信号、电路与系统④⑤选⼀02 智能GPS技术、复合导航技术赵亦⼯教授03 智能控制及应⽤、制导与控制中的信息处理技术楼顺天教授04 智能信号与信息处理、嵌⼊式实时操作系统及应⽤、图像匹配制导⽯光明教授05 电⼦系统建模与仿真、⽆线电测向技术史林教授06 制导信息处理技术、制导抗⼲扰技术、络安全技术陈伯孝教授07 卫星导航定位与时间同步卢晓春副教授08 导航与制导实时信号处理、数据融合、先进DSP系统设计李明教授09 雷达精确制导技术、多传感器信息融合技术刘峥教授10 空间数据系统宋黎定研究员11 电机控制应⽤许晓华⾼⼯083001 环境科学 502 天线布局设计及优化、电磁环境测量张福顺教授 ①101政治理论②201英语③301数学(⼀)④821信号、电路与系统08 电⼦系统电磁环境分析、电磁兼容路宏敏教授083002 环境⼯程 801 ⼯程环境电磁学梁昌洪教授 ①101政治理论②201英语③301数学(⼀)④821信号、电路与系统02 ⼯程环境电磁学史⼩卫教授05 ⼯程环境电磁学朱满座教授06 电磁环境检测与分析、电⼦系统的电磁兼容性路宏敏教授08 环境监控与检测卢智远教授09 环境监控与检测孙万蓉教授10 微波暗室设计、电磁环境检测与评估张福顺教授083100 ⽣物医学⼯程 2501 分⼦影像与医学图像处理、⽣物信息处理⽥捷教授 ①101政治理论②201英语③301数学(⼀)④821信号、电路与系统02 ⽣物电磁学及信号处理卢智远教授05 医学影像信息处理杨兵副教授06 ⽣物信号及图像处理孙万蓉教授07 ⽣物传感器及弱信号检测胡⽅明教授09 信号的获取与处理及智能仪器黄⼒宇副教授10 电磁成像与脑监护、⽣物医学信号处理与检测秦明新教授11 磁场的⽣物效应罗⼆平教授12 计算电磁学和射频通信系统赵建勋副教授13 ⽣物医学信息处理阔永红教授。
西电研…2014‟7号关于印发《西安电子科技大学研究生学业奖学金管理暂行办法》的通知各相关单位:•西安电子科技大学研究生学业奖学金管理暂行办法‣经校长办公会审议通过,现予公布,请遵照执行。
西安电子科技大学2014年2月24日- 1 -西安电子科技大学研究生学业奖学金管理暂行办法第一章总则第一条为激励研究生勤奋学习、潜心科研、勇于创新、积极进取,在全面实行研究生教育收费制度的情况下更好地支持研究生顺利完成学业,根据•财政部教育部关于印发<研究生学业奖学金管理暂行办法>的通知‣(财教…2013‟219号)和•关于印发†西安电子科技大学研究生奖助政策体系方案(试行)‡的通知‣(西电研…2014‟6号)精神,设立研究生学业奖学金。
为做好研究生学业奖学金评审、发放、管理等工作,特制定本办法。
第二条本办法所称研究生是指纳入全国研究生招生计划的全日制研究生。
获得奖励的研究生须具有中华人民共和国国籍。
第三条学业奖学金经费由国家财政专项拨款和学校自筹经费等共同承担,用于奖励支持表现良好的研究生更好地完成学业。
第二章奖励比例、标准与基本条件- 2 -第四条博士研究生学业奖学金标准:第五条导师每年招收2名以内的博士研究生,学业奖学金由学校提供;招收的第3个及以上的博士研究生,导师需分担每生每年1万元的奖助学金。
第六条“协同创新计划”等专项招收的博士研究生,按照相关规定出资。
第七条硕士研究生学业奖学金,根据各学院学科与生源状况,按照每生每年8000元的标准以及研究生人数的一定比例,总额划拨至各学院,划拨经费须全额用于研究生学业奖学金。
同时,鼓励学院自筹经费作为补充。
学院依据划拨经费和自筹经费,根据研究生学业成绩、科研成果、社会服务以及家庭经济状况等因素,自行制定研究生学业奖学金的覆盖面、等级、奖励标准和评定办法(可分档设定奖励标准)。
研究生学业奖学金不得超过同阶段研究生国家奖学金标准的60%。
第八条对于外出实习的研究生,学业奖学金一般由实习单位支付。
西安电子科技大学研究生学位论文撰写要求(2014年修订版)学位论文是体现作者从事科学研究取得的创造性成果和创新见解,并以此为内容撰写的、作为提出申请授予相应的学位评审用的学术论文。
为统一规范我校研究生学位论文撰写和编辑格式,按照国家标准《学位论文编写规则》(GB/T 7713.1— 2006)规定,现对我校研究生学位论文撰写要求如下:一、研究生学位论文撰写的总体要求研究生学位论文必须是学位申请者本人在导师的指导下独立完成的学术成果,要求立论正确,推理严谨,数据可靠,层次分明,文字通畅,不得抄袭和剽窃他人成果。
研究生学位论文的撰写语言为中文和英文两种,硕士学位论文篇幅一般不低于3万字,博士学位论文篇幅一般不低于5万字。
研究生学位论文中使用的术语、符号、代号必须全文统一并符合规范化要求,计量单位一律采用国务院1984年2月27日发布的《中华人民共和国法定计量单位》标准。
二、研究生学位论文撰写的内容要求我校研究生学位论文包括以下几个部分:(一)封面1.题目:题目是以最恰当、最简明的词语反映论文中最重要的特定内容的逻辑组合,力求简短切题。
中文题目(包括副标题和标点符号)一般不超过20个字,英文题目一般不超过10个实词。
2.责任者姓名:包括论文作者姓名、指导教师姓名及职称(博士学位论文、学术型和同等学力硕士学位论文)以及学校、企业导师姓名及职称(专业学位硕士学位论文)。
3.一级学科和二级学科(博士学位论文、学术型和同等学力硕士学位论文):学科名称的填写必须严格按照国务院学位委员会1997年颁布的《授予博士、硕士学位和培养研究生的学科、专业目录》的规定填写。
4.领域(专业学位硕士学位论文):按照专业学位领域填写,如电子与通信工程、计算机技术、机械工程等。
5.申请学位类别:按照学科门类和学位层次填写,如工学博士、工学硕士、工程硕士、工商管理硕士等。
6.提交学位论文日期:填写学位论文送审的日期。
学位论文题目居于封面空白处中间位置,字体为宋体,字号为二号加粗。
西安电子科技大学研究生申请学位研究成果基本要求(2014年修订)为营造良好的学术氛围,激发研究生的创新能力,鼓励研究生多出创新性研究成果(包括学术论文、发明专利和科研获奖等),保证研究生学位授予质量,特制定本要求。
一、博士研究生申请学位研究成果基本要求(一)博士研究生按期申请学位研究成果基本要求1.理学、工学、军事学学科的博士研究生达到学习年限后,取得的研究成果必须满足以下条件之一,方可申请博士学位。
(1)在JCR前二区期刊发表与博士学位论文相关的被检索论文1篇。
(2)在《西安电子科技大学研究生发表学术论文参考目录》(以下简称《参考目录》)规定的期刊上发表或录用与博士学位论文相关的SCI收录期刊论文2篇,其中至少发表1篇被检索的英文论文。
(3)在《参考目录》规定的期刊上发表或录用与博士学位论文相关的论文3篇,其中至少发表1篇被SCI检索的英文论文。
(4)在《参考目录》规定的期刊上发表与博士学位论文相关的被SCI检索的英文论文1篇,同时满足以下条件之一:①获得与博士学位论文相关的发明专利授权(本人排名第1或导师排名第1本人排名第2)2项;②在参与我校承担的重大科研项目中做出重要贡献,所取得的科研成果已通过鉴定,而且学位论文的内容为该成果的主要内容,并经学院学位评定分委员会组织专家审定确认(具体流程见相关认定细则)。
其中,“重大科研项目”主要指国家安全重大基础研究(军973)、国家重点基础研究“民口973计划”项目、国家高技术研究发展计划(军民“863”)、国家自然科学基金重大(重点)项目等。
③在A类会议上发表学术论文1篇(A类会议仅包括中国计算机学会认定的A类国际会议和国际密码学协会认定的美洲、欧洲和亚洲密码学国际会议,A类会议论文等同于SCI收录期刊论文)。
2.管理学学科的博士研究生达到学习年限后,取得的研究成果必须满足以下条件之一,方可申请博士学位。
(1)在JCR前三区期刊发表与博士学位论文相关的被检索论文1篇,或在《 UTD Top Business School Research Rankings Journal List》和《45 Journals used in FT Research Rank》所列期刊上发表与博士学位论文相关的论文1篇。
西安电子科技大学电子工程学院博士研究生招生“申请考核制”实施方案()根据学校有关文件精神,为进一步扩大博士生导师的招生自主权,切实选拔专业基础扎实、科研能力强、具有培养潜质的优秀创新人才,提高博士生培养质量,电子工程学院(以下简称“学院”)开展博士研究生招生“申请考核制”(以下简称“申请制")。
一、XX(一)招生领导小组组成:廖桂生(组长)焦永昌邢孟道徐克苏涛;职责:讨论制定实施方案,确定申请条件,录取标准,组织实施,审核拟录取名单,复核受质疑申请者。
秘书:李燕刘昕雨(二)审核专家小组组成:学术专家组成,一般不少于5位教授;职责:依据学院实施方案审核申请者的申请材料,进行综合面试,确定拟录取名单.(三)监督小组组成:赵国庆(组长)孙万蓉张海战孔;职责:全程监督申请审核制实施过程,受理投诉、答复考生质疑。
二、申请条件(一)考生须符合我校当年博士生招生简章中规定的公开招考或硕博连读基本条件。
(二)我校学术型在读硕士研究生可申请硕博连读.其他申请者一般应为“985”、“211"高校或大学全日制应届或往届硕士毕业生;或已取得国外一流大学硕士学位的研究生;科研能力特别突出者可申请毕业院校破格.(三)对学术研究有浓厚的兴趣,有较强的创新意识、创新能力和专业能力。
专业基础好、科研能力强,在某一领域或某些方面有特殊学术专长及突出学术成果。
(1)在读学术型硕士生符合学校硕博连读申请条件;(2)应届毕业硕士生以第一作者或与导师合著,在SCI、EI检索源XX发表至少1篇与硕士学位相关的高水平学术;(3)非应届毕业硕士(满足下列任一条即可)1.主持XX级科研项目或**科研项目1项;2.获得XX级科技成果奖(持证)或**科技成果二等奖及以上(排名前三)1项;3.以第一作者在SCI、EI检索源XX发表2篇与申请学科相关的高水平学术;4.以第一作者出版1部与申请学科相关的高水平学术专著。
三、申请材料申请者须提交以下材料,包括:(一)攻读博士学位研究生登记表;(二)硕士研究生学历、学位证书复印件(应届硕士生提供研究生证复印件)和本科阶段证书复印件,海外学位获得者还应提交留学XX出具的相关证明复印件;(三)硕士和本科阶段成绩单原件(复印件须加盖档案所在管理部门公章);(四)两位本学科或相近学科正高级职称专家签名并密封的推荐信;(五)硕士学位全文(应届硕士毕业生提供详细摘要和);(六)攻博期间的科学研究计划书;(七)其他可选材料,包括:科研成果(含已取得的专利)、公开发表的学术或专著等复印件、获奖证书复印件、外语水平成绩证明复印件等。
附件一:2014级研究生一卡通、户籍迁移、体检工作安排一、一卡通工作安排我校2014级研究生一卡通图像信息采集工作定于2014年9月3日进行,详细流程安排如下:1、请各学院安排辅导员老师带队,以班级为单位,各学院自带打印的学生花名册(要交一卡通管理中心);2、拍摄地点及时间:老校区:9月3日上午8:00-9:30 通信工程学院9月3日上午9:30-11:30 电子工程学院9月3日上午11:30-12:00 物理与光电工程学院9月3日下午14:00-15:00 计算机学院9月3日下午15:00-16:00 机电工程学院9月3日下午16:00-17:00 微电子学院新校区:9月3日上午8:00-9:00 经济与管理学院9月3日上午9:00-9:30 数学与统计学院9月3日上午9:30-9:40 先进材料与纳米科技学院9月3日上午9:40-9:50 空间科学与技术学院9月3日上午9:50-10:00 外国语学院9月3日上午10:00-10:30 软件学院9月3日上午10:30-10:50 生命科学技术学院9月3日上午10:50-11:00 人文学院办理地点:北校区办公地点:J教-101,电话:88204626南校区办公地点:行政辅楼大厅,电话:818911353、服装要求:庄重大方,拍摄背景为兰色,请大家注意着装颜色;4、请辅导员老师根据时间安排,组织学生提前五分钟到拍摄场地外等候,按照学号先后顺序排队,拍摄时请保持拍摄现场安静;5、照完相后请辅导员和班长暂留;6、待一卡通办理完毕后,由一卡通中心通知学院领取。
一卡通使用的注意事项:1、一卡通密码修改,在领到新卡后请及时到圈存机上更改密码并牢记;2、一卡通交易限额设置,可以对一卡通当日、当次消费限额做出设置;3、一卡通交易记录查询,可以在一卡通网站或圈存机上查询到详细的交易信息;4、一卡通挂失步骤:可在圈存机自助服务栏下一卡通挂失项下输入卡号或学号,一卡通初始密码000000,或拨打88204620、88204621、88204622语音提示电话挂失,或登录校园一卡通网址挂失;(证件号为学号)忘记卡号和密码的师生请带证件(身份证,学生证、教师证等)到南北校区的一卡通办公室挂失(北校区办公地点:主楼区138室,88204626;南校区办公地点:行政辅楼109室,81891135)。
西安电子科技大学硕士研究生申请学位研究成果基本要求二○一五年七月目录通信工程学院硕士研究生申请学位研究成果基本要求 (1)电子工程学院硕士研究生申请学位研究成果基本要求 (4)计算机学院硕士研究生申请学位研究成果基本要求 (6)机电工程学院硕士研究生申请学位研究成果基本要求 (8)物理与光电工程学院硕士研究生申请学位研究成果基本要求 (10)经济与管理学院硕士研究生申请学位研究成果基本要求 (14)数学与统计学院硕士研究生申请学位研究成果基本要求 (17)人文学院硕士研究生申请学位研究成果基本要求 (19)外国语学院硕士研究生申请学位研究成果基本要求 (21)微电子学院硕士研究生申请学位研究成果基本要求 (24)软件学院硕士研究生申请学位研究成果基本要求 (27)生命科学技术学院硕士研究生申请学位研究成果基本要求 (29)空间科学与技术学院硕士研究生申请学位研究成果基本要求 (31)先进材料与纳米科技学院硕士研究生申请学位研究成果基本要求 (33)通信工程学院硕士研究生申请学位研究成果基本要求一、按期申请学位研究成果基本要求(一)学术型和全日制专业学位硕士研究生满足下述条件之一者可按期申请硕士学位。
1.在《信息与通信工程、交通运输工程和军队指挥学学科研究生发表学术论文参考目录》(以下简称《参考目录》)规定期刊或会议上发表或录用学术论文至少1篇;2.申报发明专利至少1项;3.向国际或国内标准化组织提交并被认领标准化提案至少1项;4.科研获奖(须持证)至少1项;5.获得实用新型专利授权至少1项(仅适用于全日制专业学位硕士研究生);6.获得软件著作权至少1项(仅适用于全日制专业学位硕士研究生)。
以上研究成果须在研究生入学后取得,研究生本人排名前二(第一学生作者)。
(二)学术型和全日制专业学位硕士研究生如不满足申请学位基本要求,则对其学位论文增加双外盲评审,评审实行一票否决制。
(三)以同等学力申请硕士学位的研究生必须以第一学生作者、以西安电子科技大学为第一署名单位在《参考目录》规定期刊或会议上发表学术论文至少1篇。
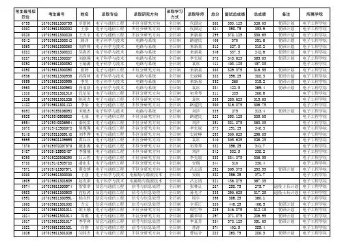
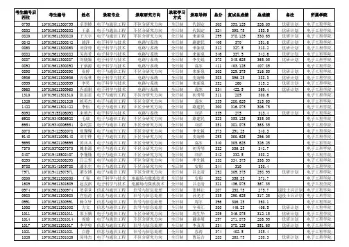
考生编号考生编号后四位姓名性别考试方式录取类别1070141611319891989田玉坤男全国统考非定向1070141321142554255孙志敏男全国统考非定向1070141370248054805杨越男全国统考非定向1070141370850335033孔祥源男全国统考非定向1070141321342824282姚洪涛男全国统考非定向1070141130634423442王亚彬男全国统考非定向1070141422259205920陈欢女全国统考非定向1070141370649824982姜福义男全国统考非定向1070141131034823482王娇女全国统考非定向1070141611316101610毛金华男全国统考非定向1070141370248134813胡华清男全国统考非定向1070141611317981798胡秀杰男全国统考非定向1070141131535343534白钰杰女全国统考非定向1070141370248124812赵志宽男全国统考非定向1070141411955725572康磊男全国统考非定向1070141450660926092罗厚兴男全国统考非定向1070141360245984598陈锡明男全国统考非定向1070141370248114811赵永刚男全国统考非定向1070141611324062406潘鹏飞男全国统考非定向1070141611316051605惠惠女全国统考非定向1070141611316991699陈海龙男全国统考非定向1070141131034803480董祖奇男全国统考非定向1070141611316921692王德益女全国统考非定向1070141611324092409季禹坤男全国统考非定向1070141611316831683武洋男全国统考非定向1070141611316951695王卓超女全国统考非定向1070141345945084508赵伟男全国统考非定向1070141611317351735杜言武男全国统考非定向1070141511362486248马国荣男全国统考非定向1070141611318771877刘思遥男全国统考非定向1070141611320312031张记函男全国统考非定向1070141611324452445胡本川男全国统考非定向1070141130333503350张晓刚男全国统考非定向1070141611323152315喻宏伟男全国统考非定向1070141611322252225刘尔雅女全国统考非定向1070141611323162316吴洋男全国统考非定向1070141120432733273李焕肖女全国统考非定向1070141611324252425杨飞男全国统考非定向1070141412957415741栾文华女全国统考非定向1070141115332243224朱瑛女全国统考非定向1070141611322022202刘佳琳女全国统考非定向1070141611322932293陈浩男全国统考非定向1070141611323092309廖敦微男全国统考非定向1070141611323102310陈宁伟男全国统考非定向1070141131535333533赵伟男全国统考非定向1070141431960286028刘向军男全国统考非定向1070141410151425142雷亚杰女全国统考非定向1070141611320522052唐磊男全国统考非定向1070141321142594259张高领男全国统考非定向1070141321743054305杜文豪男全国统考非定向1070141611322012201孙娅云女全国统考非定向1070141611318681868李琛男全国统考非定向1070141611316161616冯瑾女全国统考非定向1070141611318191819孙小霞女全国统考非定向1070141450961276127董鹏琳男全国统考非定向1070141611323122312康宏毅男全国统考非定向1070141611322352235张澳芳男全国统考非定向1070141611322542254屈亚蓉女全国统考非定向1070141611322622262杨佩女全国统考非定向1070141611322572257师阿元女全国统考非定向1070141611322532253赖贤军男全国统考非定向1070141614163186318杨珂女全国统考非定向1070141611316141614刘超男全国统考非定向1070141611322982298姜雪松男全国统考非定向1070141611324182418李楠男全国统考非定向1070141614163176317代超超男全国统考非定向1070141140136163616张琳女全国统考非定向1070141321442884288夏磊男全国统考非定向1070141611322702270房超男全国统考非定向1070141611322692269张慧莹女全国统考非定向1070141611323042304郑庚琪男全国统考非定向1070141370147204720顾宗静男全国统考非定向1070141611323012301张彪男全国统考非定向1070141611322642264韩旭男全国统考非定向1070141611323082308习磊男全国统考非定向1070141411655055505付苍雨男全国统考非定向1070141370146994699吕志勇男全国统考非定向1070141410553075307韩家奇男全国统考非定向1070141611322732273栗源常男全国统考非定向1070141614163066306杨蒙女全国统考非定向1070141611315981598张齐男全国统考非定向1070141611316811681贾健伟男全国统考非定向1070141611318461846王永乐男全国统考非定向1070141611322722272康楷男全国统考非定向1070141611319551955薄晓东男全国统考非定向1070141611317591759翟畅男全国统考非定向1070141611317421742叱骏宁男全国统考非定向1070141611319441944蔡晓磊男全国统考非定向1070141611319471947杨琨男全国统考非定向1070141340544424442侯云飞男全国统考非定向1070141611320602060苗露男全国统考非定向1070141611319911991崔梦强男全国统考非定向1070141411955845584黄响男全国统考非定向1070141611319341934王丹女全国统考非定向1070141370248284828闫永征男全国统考非定向1070141500761756175陈世超女全国统考非定向1070141611319941994张建强男全国统考非定向1070141611324132413代颖超女全国统考非定向1070141611319491949吴云朋男全国统考非定向1070141611319981998薄涛男全国统考非定向1070141611324312431董明阳男全国统考非定向1070141370248274827王强男全国统考非定向1070141450660976097杨芝女全国统考非定向1070141611319461946张双图男全国统考非定向1070147611390319031林龙男强军计划定向1070141611319951995祝存海男全国统考非定向1070141611319851985李娜女全国统考非定向1070141611319481948张茂男全国统考非定向1070141370147134713王延亮男全国统考非定向1070141370248264826梁雪妮女全国统考非定向1070141611319451945王志涛女全国统考非定向1070141370147164716范斐女全国统考非定向1070147611390329032唐琪男强军计划定向1070141611320792079张哲远男全国统考非定向1070141450661006100丁艳华女全国统考非定向1070141370248314831李姗姗女全国统考非定向1070141611320062006夏月明男全国统考非定向1070141351245414541杨志富男全国统考非定向1070141611320552055田甜女全国统考非定向1070141140537103710晋良银男全国统考非定向1070141611320222022肖定坤男全国统考非定向1070147611390409040高海龙男强军计划定向1070141412056255625王建声男全国统考非定向1070141140537093709郭丹丹女全国统考非定向1070141413158095809张晓凤女全国统考非定向1070141611319011901龙忠实男全国统考非定向1070141450661016101祁亚楠女全国统考非定向1070141611320182018申一伟男全国统考非定向1070141360145664566田敏女全国统考非定向1070141611319001900王委男全国统考非定向1070141431860116011肖浩男全国统考非定向1070141611319041904张俊男全国统考非定向1070141220741314131朱文强男全国统考非定向1070147611390309030袁赛女强军计划定向1070141611320872087严晓鹏男全国统考非定向1070141611320432043胡昆智男全国统考非定向1070141371150935093郭玉梅女全国统考非定向1070141611320742074张波男全国统考非定向1070141611320882088冯国栋男全国统考非定向1070141611320942094张俊力男全国统考非定向1070141370248384838李永国男全国统考非定向1070141611319761976赵衍一男全国统考非定向1070141611319751975王振东男全国统考非定向1070141611320862086许燕明男全国统考非定向1070141370248374837孙超男全国统考非定向1070141611320752075党彦锋男全国统考非定向1070141611320692069邹建华男全国统考非定向1070141611320932093刘子斌男全国统考非定向1070147611390509050张银良男强军计划定向1070141611319721972童旭曜男全国统考非定向1070141370248254825徐保庆男全国统考非定向1070141611324302430杨英女全国统考非定向1070141120432653265任珅昊男全国统考非定向1070141141038293829罗晔男全国统考非定向1070141611319171917吴翔男全国统考非定向1070141611320132013郭帅男全国统考非定向1070141611320112011王宁女全国统考非定向1070141611319521952任亮男全国统考非定向1070141611319191919马蕊女全国统考非定向1070141340143894389贺芃女全国统考非定向1070141611320472047吴文华男全国统考非定向1070141430459775977赖株锋男全国统考非定向1070141410653665366车景平女全国统考非定向1070141611319801980张盼盼男全国统考非定向1070141141038283828闫浩男全国统考非定向1070141370248214821刘伟男全国统考非定向1070141611319781978马超伟男全国统考非定向1070141370248244824王海同女全国统考非定向1070141611319201920昝航男全国统考非定向1070141611320122012常玉女全国统考非定向1070141611319671967张可男全国统考非定向1070141370248224822王盈方女全国统考非定向1070141611320412041王茂森男全国统考非定向1070141611320372037刘彬男全国统考非定向1070141345945124512费大勇男全国统考非定向1070141611320322032王家东男全国统考非定向1070141611319681968孙成璐女全国统考非定向1070141370248324832陈健男全国统考非定向1070141611320292029朱新奎男全国统考非定向1070141611319691969冯嘉贲男全国统考非定向1070141611320392039鲍松男全国统考非定向1070141611324332433郝津钏男全国统考非定向1070141611319621962张坤男全国统考非定向1070141131635713571王丽业男全国统考非定向1070141611319631963李谦男全国统考非定向1070141421158515851姬媛女全国统考非定向1070141611319661966张志斌男全国统考非定向1070141141038323832霍帅男全国统考非定向1070141611319141914张博男全国统考非定向1070141611320362036宁奖男全国统考非定向1070141611320302030王凤莲女全国统考非定向1070141210139983998曹奕男全国统考非定向1070141611321292129薛飞男全国统考非定向1070141611320642064高舵男全国统考非定向1070141611320492049宋志龙男全国统考非定向1070141611319221922孙玖玲女全国统考非定向1070141611319231923袁勇男全国统考非定向1070147611390429042栗晓春男强军计划定向1070141131034843484武艳凤女全国统考非定向1070141611320072007阿鹏仁男全国统考非定向1070141611319271927孙乐男全国统考非定向1070141370248364836朱志刚男全国统考非定向1070141611315941594程慧女全国统考非定向1070141611319811981刘宇航男全国统考非定向1070141611320812081牛婷钰女全国统考非定向1070141611320402040王幸女全国统考非定向1070141611317221722董含男全国统考非定向1070141611319241924赵航男全国统考非定向1070141611320512051桂阳女全国统考非定向1070141611315781578惠春博男全国统考非定向1070141611320172017卢义峰男全国统考非定向1070141611320672067魏鸣宇男全国统考非定向1000642105038143814闫桂勋男全国统考非定向1070141321142544254黄叶超男全国统考非定向1070141450661086108黄欢男全国统考非定向1070141501161866186郝赞男全国统考非定向1070141611316891689秦英瑜女全国统考非定向1070141431960296029杨峰男全国统考非定向1070141611320612061仲颜男全国统考非定向1070141421158555855张泽辉男全国统考非定向1070147611390379037窦新安男强军计划定向1070141330143514351柴俊男全国统考非定向1070141321142534253王维潼男全国统考非定向1070141611321302130吴江平男全国统考非定向1070141611320272027汪厚峄男全国统考非定向1070141210740424042宋晨飞男全国统考非定向1070141370147154715李海龙男全国统考非定向1070141131435083508张子源男全国统考非定向1070141611316961696张洋女全国统考非定向1070141611324352435田伟娟女全国统考非定向1070141411955755575谢创男全国统考非定向1070141370147014701杨晓玲女全国统考非定向1070141220741244124张鑫男全国统考非定向1070141611319061906李婕女全国统考非定向1070141611316251625薛鹏男全国统考非定向1070147611390279027郭佳音男强军计划定向1070141611316001600王晔然女全国统考非定向1070141220741284128席圣男男全国统考非定向1070141340143884388宋晓青男全国统考非定向1070141422559365936李立庆男全国统考非定向1070141231741824182张晓语女全国统考非定向1070141611316391639林森男全国统考非定向1070141370850345034李帅男全国统考非定向1070141410251725172齐晶晶女全国统考非定向1070141141038313831李海洋男全国统考非定向1070141611319301930张宇航男全国统考非定向1070141150239673967李超男全国统考非定向1070141611321042104郭兆骐男全国统考非定向1070141611319291929杨东晓女全国统考非定向1070141370950545054张林女全国统考非定向1070147611390439043孟庆吉男强军计划定向1070141611319411941王罕有男全国统考非定向1070141611317021702胡阳女全国统考非定向1070141412256915691崔照斌男全国统考非定向1070141370950555055张婕妤女全国统考非定向1070141220741324132张丽霞女全国统考非定向1070141410553065306王蒙蒙女全国统考非定向1070141611320152015刘诣涵男全国统考非定向1070141611320542054贾长城男全国统考非定向1070141345945104510夏勇男全国统考非定向1070141611316411641吴锐女全国统考非定向1070141611319161916李泽宇男全国统考非定向1070141611319281928贾中华女全国统考非定向1070141140537023702魏国威男全国统考非定向1070141345945114511陈蕙心女全国统考非定向1070141370147104710庞楠楠男全国统考非定向1070141611318361836张涛男全国统考非定向1070141231841904190郭琦男全国统考非定向1070141611316441644李上峰男全国统考非定向1070141611319571957周玉山男全国统考非定向1070141210540344034吴静飞女全国统考非定向1070141611320332033周伟女全国统考非定向1070141412156675667汤瑞业男全国统考非定向1070141131535413541王振华男全国统考非定向1070141614163086308荣云鹏男全国统考非定向1070141611318731873苏瑶女全国统考非定向1070141370750155015袁术龙男全国统考非定向1070141611318971897孙军锋男全国统考非定向1070141321542914291侯正平男全国统考非定向1070141611319561956井博军男全国统考非定向1070141611319601960赵晗希女全国统考非定向1070141611316551655宋思达男全国统考非定向1070141370248064806王琦琦女全国统考非定向1070141611318941894李海涛男全国统考非定向1070141611315931593晁娇女全国统考非定向1070141611315961596王雅婧女全国统考非定向1070141501161876187陈一飞男全国统考非定向1070141611318661866沈凤臣男全国统考非定向1070141450660946094李鹏男全国统考非定向1070141611315911591王春华男全国统考非定向1070141611320212021王壮男全国统考非定向1070141611317041704朱兵男全国统考非定向1070141611317791779葛声男全国统考非定向1070141611316911691王宇乔男全国统考非定向1070141422659485948张勇强男全国统考非定向1070141130434023402畅鑫男全国统考非定向1070141611319771977方子圆男全国统考非定向1070141611317371737李翔男全国统考非定向1070141611318961896王轲男全国统考非定向1070141322143314331孟微女全国统考非定向1070141611315951595徐晓煜女全国统考非定向1070141321142524252王一舒女全国统考非定向1070141611317831783张龙辉男全国统考非定向1070141611315921592郝蓓女全国统考非定向1070141141138613861贾丽云女全国统考非定向1070147611390359035吴宁辛男强军计划定向1070147611390349034张洋男强军计划定向1070147611390369036杜富强男强军计划定向1070147611390299029高鹏超男强军计划定向1070141611316521652辛昭女全国统考非定向1070141450761256125苏俊维男全国统考非定向1070141421958865886彭晓女全国统考非定向1070141611316671667周亚刚男全国统考非定向1070141413158075807姜辣男全国统考非定向1070141611316531653万乐男全国统考非定向1070141131835963596韩唐女全国统考非定向1070141140937793779郑毓男全国统考非定向1070141370147034703邢朋朋男全国统考非定向1070141611324392439游文江男全国统考非定向1070141611321212121高李娜女全国统考非定向1070141611324422442戴江崚男全国统考非定向1070141611324442444何举文男全国统考非定向1070141360145774577刘巍男全国统考非定向1070141611320532053程丹女全国统考非定向1070141130333553355张华男全国统考非定向1070141611318121812祁艺女全国统考非定向1070141611321682168段培聪男全国统考非定向1070141611320422042徐璞女全国统考非定向1070141140436613661李玉娟女全国统考非定向1070141611317511751秦平男全国统考非定向1070141370147114711汤康男全国统考非定向1070141351245394539孙志锁男全国统考非定向1070141370349234923公海城男全国统考非定向1070141370147174717路洪震男全国统考非定向1070141371351055105赵义爱女全国统考非定向1070141410352015201王震宇男全国统考非定向1070141611324002400罗磊男全国统考非定向1070141421158495849安柏慧女全国统考非定向1070141510862226222杨济韩男全国统考非定向1070141611321572157蔡榕竹女全国统考非定向1070141611318671867苏晓萌女全国统考非定向1070141370248714871刘宾男全国统考非定向1070141460561416141李培乐女全国统考非定向1070141611320242024雷亮男全国统考非定向1070141370248184818陈兵男全国统考非定向1070141450661106110史科杏男全国统考非定向1070141410352035203李飞男全国统考非定向1070141611316291629樊峻畅男全国统考非定向1070141130333493349赵敏女全国统考非定向1070141611317841784曹亚伦男全国统考非定向1070141611318881888李瑜男全国统考非定向1070141410352155215李明男全国统考非定向1070141611324072407李代娣女全国统考非定向1070141411755265526张文培女全国统考非定向1070141611318591859李攀男全国统考非定向1070141370147094709刘源男全国统考非定向1070141220741384138李娜女全国统考非定向1070141370147364736田象明男全国统考非定向1070141141038213821郎晋伟男全国统考非定向1070141330243704370樊宇男全国统考非定向1070141120432633263李根男全国统考非定向1070141413057965796王利苹女全国统考非定向1070141411655025502刘薇女全国统考非定向1070141611317541754付诗俊女全国统考非定向1070141330243694369姚振双女全国统考非定向1070141611320732073曹雪舟男全国统考非定向1070141611319741974王悦男全国统考非定向1070141611319991999于博洋艺女全国统考非定向1070141130734673467索浩女全国统考非定向1070141422559395939徐乐凡男全国统考非定向1070141611321252125袁鹏男全国统考非定向1070141421158525852蒋梦琴女全国统考非定向1070141321642954295邹佩女全国统考非定向1070141611321242124景鑫男全国统考非定向1070141611321282128胡俊丽女全国统考非定向1070141340143904390施瑞男全国统考非定向1070141411154475447万文菲男全国统考非定向1070141412957365736任琼巍男全国统考非定向1070141371050835083耿学文男全国统考非定向1070141371150925092徐文娟女全国统考非定向1070141611318231823徐欣冉男全国统考非定向1070141421158545854沈山山女全国统考非定向1070141611320002000翁昕女全国统考非定向1070141340143854385刘永飞男全国统考非定向1070141611315871587巨丹女全国统考非定向1070141421158535853丁雯庆女全国统考非定向1070141611319791979傅发佐男全国统考非定向1070141611315881588流水女全国统考非定向1070141611321192119贾拯男全国统考非定向1070141411955705570韩笑女全国统考非定向1070141410653605360户保坤男全国统考非定向1070141411955695569赵至夫男全国统考非定向1070141141038253825陈超男全国统考非定向1070141411655065506李文灿男全国统考非定向1070141611315841584王凯男全国统考非定向1070141611319101910刘薇女全国统考非定向1070147611390399039柳海生男强军计划定向1070141450661096109王强男全国统考非定向1070141611322442244刘科煜男全国统考非定向1070141611324242424丁华华男全国统考非定向1070141611322192219张强男全国统考非定向1070141611320192019花鹏成男全国统考非定向1070141115332233223吕爱波男全国统考非定向1070141611316841684郭丽女全国统考非定向1070141611322842284岳震震男全国统考非定向1070141411655015501左炎春男全国统考非定向1070141340844624462潘炜男全国统考非定向1070141611322762276王丹阳男全国统考非定向1070141611322382238周琪男全国统考非定向1070141611319651965张滈铧男全国统考非定向1070141611320682068刘豪男全国统考非定向1070141611318301830王灿男全国统考非定向1070141611319021902王彬彬男全国统考非定向1070141611317951795刘辉男全国统考非定向1070141130634413441李晓彤男全国统考非定向1070141370349254925杨磊男全国统考非定向1070141611322452245王博男全国统考非定向1070141611318141814闫晨男全国统考非定向1070141500261526152王会霞女全国统考非定向1070141371150915091张君望男全国统考非定向1070141611319711971徐菲菲女全国统考非定向1070141614163076307周才男全国统考非定向1070141410352045204徐敏喆女全国统考非定向1070141411955835583郝欣女全国统考非定向1070141611316851685王应辉男全国统考非定向1070141611319031903陈鼎合男全国统考非定向1070141351245404540章玉涛男全国统考非定向1070141360145764576陈西洋男全国统考非定向1070141340644504450曹文峰男全国统考非定向1070141611322402240刘文博男全国统考非定向1070141411955795579胡永浩男全国统考非定向1070141370248744874管玉斌男全国统考非定向1070141611317711771付蓉女全国统考非定向1070141611318311831周津涛男全国统考非定向1070141611322202220吴丹男全国统考非定向1070141611322092209邓智超男全国统考非定向1070141611322892289张文博男全国统考非定向1070141611322172217汪北辰男全国统考非定向1070141611322852285杨旭男全国统考非定向1070141611322432243杨赵男全国统考非定向1070141370248414841李强男全国统考非定向1070141370248434843伊向杰男全国统考非定向1070141611322412241徐媛女全国统考非定向1070141611322872287刘兆松男全国统考非定向1070141611322812281邵浩宇男全国统考非定向1070141611322422242蒋宜超男全国统考非定向1070141611322082208杨牡丹女全国统考非定向1070141370248424842赵国庆男全国统考非定向1070141611322142214郭庆庆男全国统考非定向1070141611322292229马伏宝男全国统考非定向1070141412156665666杨闯男全国统考非定向1070141611322792279刘明吉男全国统考非定向1070141611322472247魏庚明男全国统考非定向1070141370349264926谢国君男全国统考非定向1070141370248354835赵忠超男全国统考非定向1070141370248304830张恒男全国统考非定向1070141611322122212王磊男全国统考非定向1070141611322322232倪佳嘉女全国统考非定向1070141141038273827陶芙宇男全国统考非定向1070141611322862286刘爽女全国统考非定向1070141611322522252闫旭辉男全国统考非定向1070141611320982098孙福坤男全国统考非定向1070141611317901790康伟男全国统考非定向1070141614163166316王勇男全国统考非定向1070141611322372237郭志宏男全国统考非定向1070141432460356035詹海兵男全国统考非定向1070141371150905090张林光男全国统考非定向1070141370248394839孟祥帅男全国统考非定向1070141422059125912张小乐男全国统考非定向1070141611320762076谭蕾女全国统考非定向1070141412256895689胡青林男全国统考非定向1070141214240914091许光男全国统考非定向1070141310642174217邱苗苗女全国统考非定向1070141410653655365周鹏男全国统考非定向1070141342244774477王博文男全国统考非定向1070141611317431743尚婧女全国统考非定向1070141413057935793周府男全国统考非定向1070141421958845884罗威男全国统考非定向1070141321442864286郑宁男全国统考非定向1070141611318811881董业稳男全国统考非定向1070141611317451745吴治斌男全国统考非定向1070141321142564256曹冬建男全国统考非定向1070141611317471747文严男全国统考非定向1070141611318851885周永杰男全国统考非定向1070147611390099009房金鹏男强军计划定向1070141421158445844董彬彬男全国统考非定向1070141611317441744杨杰男全国统考非定向1070141422659475947马辉辉男全国统考非定向1070141130333573357胡建强男全国统考非定向1070141421158425842雷稳男全国统考非定向1070147611390489048任星男强军计划定向1070141411955825582余立付男全国统考非定向1070141210240054005陈楠男全国统考非定向1070141130333613361曹斌男全国统考非定向1070141421158485848邓龙男全国统考非定向1070141611318471847梁甜女全国统考非定向1070141412156685668王喜智男全国统考非定向1070141130333543354卢玉静女全国统考非定向1070141611318601860郑伟伟男全国统考非定向1070141412056275627陈希闯男全国统考非定向1070141611318291829高泽宇男全国统考非定向1070141131535353535吴策男全国统考非定向1070141412156705670闫光耀男全国统考非定向1070141611316691669张广男全国统考非定向1070141611317741774侯小菊女全国统考非定向1070141611318481848李泽瀚男全国统考非定向1070141611318691869柴文壹男全国统考非定向1070141611318171817赵小文男全国统考非定向1070141321142444244程素华女全国统考非定向1070141611318331833惠通男全国统考非定向1070141611318341834张腾腾男全国统考非定向1070141611318131813杨鹤笛女全国统考非定向1070141611317761776陈正寒女全国统考非定向1070141611318611861冯雯女全国统考非定向1070141611318571857任琛男全国统考非定向1070141370248144814都炳琪男全国统考非定向1070141611316711671于竞竞女全国统考非定向1070141410352115211文爱玲女全国统考非定向1070141410452645264安莉佳女全国统考非定向1070141140537063706张鑫女全国统考非定向1070141611318241824樊聿聪男全国统考非定向1070141421158505850邢兴男全国统考非定向1070141611321362136周自立男全国统考非定向1070141611318101810刘驰旸男全国统考非定向1070141611318281828徐皓男全国统考非定向1070141611318041804赵晓松男全国统考非定向1070141611318641864陈科雯男全国统考非定向1070141611318201820赵峰男全国统考非定向1070141611318061806孙梁男全国统考非定向1070141611318321832姜凯男全国统考非定向1070141140537133713王晔琳女全国统考非定向1070141611321392139衣亚男男全国统考非定向1070141611321462146胡文洁女全国统考非定向1070141611317751775冉坤男全国统考非定向1070141611323942394张文龙男全国统考非定向1070141131034873487李星华女全国统考非定向1070141360145744574徐敏男全国统考非定向1070141611323982398魏幸幸男全国统考非定向1070141611316701670刘靓女全国统考非定向1070141130333673367赵秋楠男全国统考非定向1070147611390339033吴生财男强军计划定向1070141360145734573李志舟男全国统考非定向1070141611320352035王梦娜女全国统考非定向1070141421158465846闵强男全国统考非定向1070147611390389038党宾男强军计划定向1070141611315731573焦翔男全国统考非定向1070141220741294129张玮桐女全国统考非定向1070147611390499049吴燕飞男强军计划定向1070141140537193719郑亚飞女全国统考非定向1070141611318111811王文兵男全国统考非定向1070141650665276527边家家女全国统考非定向1070141611317251725李剑男全国统考非定向1070147611390289028薛鹏龙男强军计划定向1070141611315791579王雅依女全国统考非定向1070141611318031803党明霞女全国统考非定向1070141611321602160贺章平男全国统考非定向1070141611318441844徐腾男全国统考非定向1070141421958855885胡葵女全国统考非定向1070141410352055205王朋男全国统考非定向1070141410352105210闻泽联男全国统考非定向1070141611315761576马进男全国统考非定向1070141131535363536王朋女全国统考非定向1070141412256905690詹涛男全国统考非定向1070141370248104810杨海伦男全国统考非定向1070141140236453645裴盼盼女全国统考非定向1070141611317111711张宇瞳男全国统考非定向1070141611321062106杨琦女全国统考非定向1070141130333623362刘剑英女全国统考非定向1070141370248044804杨群女全国统考非定向1070141611321502150李思湉女全国统考非定向1070141371351035103陈兰强男全国统考非定向1070141421158475847胡天妤女全国统考非定向1070141611321642164徐欣怡女全国统考非定向1070141330143484348陈彦桥男全国统考非定向1070141321943174317黄俊俊男全国统考非定向1070141130634433443任婕女全国统考非定向1070141611316601660王佳东男全国统考非定向1070141611321512151李桃桃男全国统考非定向1070141141038343834胡晓强男全国统考非定向1070141131735853585刘林瓒男全国统考非定向1070141412056285628常钊男全国统考非定向1070141442060686068马丽媛女全国统考非定向1070141141038233823徐娜娜女全国统考非定向1070141611316621662张舒女全国统考非定向1070141321142454245孟贺男全国统考非定向1070141214140874087张振东男全国统考非定向1070141611321492149尉桦女全国统考非定向1070141611317581758赵菲妮女全国统考非定向1070141410351985198牛明伟男全国统考非定向1070141131535373537孟龙祥男全国统考非定向1070141611315751575吴妍女全国统考非定向1070141611315711571高鹏男全国统考非定向1070141611321112111杨歌女全国统考非定向1070141611318411841张放男全国统考非定向1070141141038263826蔡朝东男全国统考非定向1070141611315771577郭煜祺男全国统考非定向1070141611321082108王新然男全国统考非定向1070141412156655665卢成林男全国统考非定向1070141611317121712吴浩龙男全国统考非定向1070141611321102110徐凯强男全国统考非定向1070141611321702170徐才进男全国统考非定向1070141412957395739刘一舟男全国统考非定向1070141611317621762鹿乐男全国统考非定向1070141450660936093赵素杰男全国统考非定向1070141412256925692樊伟明男全国统考非定向1070141033878387838姚金慧女推荐免试非定向1070141007577987798王婷婷女推荐免试非定向1070141007577967796侯伟丹女推荐免试非定向1070141007577977797张欣女推荐免试非定向1070141037078397839刘辰男推荐免试非定向1070141053078627862黄孟缘男推荐免试非定向1070141015178237823张杏女推荐免试非定向1070141070172507250张玉祺女推荐免试非定向1070141070172697269李静女推荐免试非定向1070141070173027302牛帅男推荐免试非定向1070141070172017201汤志强男推荐免试非定向1070141070172847284任逸晖男推荐免试非定向1070141070173227322王经纬男推荐免试定向1070141070173137313刘智龙男推荐免试非定向1070141070173037303姬莉女推荐免试非定向1070141070173497349刘华男男推荐免试非定向1070141070173197319孙爽爽女推荐免试非定向1070141070173567356孙永光男推荐免试非定向1070141070172897289张妍妍女推荐免试非定向1070141070172727272孙睿女推荐免试非定向1070141070173727372乔兴文男推荐免试定向1070141070173437343刘晓东男推荐免试非定向1070141070173267326李姣女推荐免试非定向1070141070172527252张俊飞男推荐免试非定向1070141070173077307刘锦涛男推荐免试定向1070141070173117311王辛男推荐免试定向1070141070173367336李娜女推荐免试非定向1070141070172937293李亚茹女推荐免试非定向1070141070173517351高军超男推荐免试非定向1070141070173177317田明明男推荐免试非定向1070141070172057205李张涛男推荐免试非定向1070141070173317331王伟男推荐免试定向1070141070173257325张大建男推荐免试定向1070141070173297329刘念女推荐免试非定向1070141070172927292杨骏伟男推荐免试非定向1070141070172747274王明洁女推荐免试非定向1070141070173587358陈翔男推荐免试非定向1070141070173157315沈冲男推荐免试非定向1070141070173667366吴鹏男推荐免试非定向1070141070172187218李慧捷女推荐免试非定向1070141070173627362崔思玉女推荐免试非定向1070141070172077207刘志男推荐免试非定向1070141070173057305种毫男推荐免试定向1070141070172497249王韩浩男推荐免试非定向1070141070173147314高哲峰男推荐免试非定向1070141070173557355韦涛男推荐免试非定向1070141070172427242陈小波男推荐免试非定向1070141070172097209杜悦帆女推荐免试非定向1070141070173357335李可女推荐免试非定向1070141070173407340代慧女推荐免试非定向1070141070173287328何攀男推荐免试非定向1070141070172557255郭媛女推荐免试非定向1070141070172257225于旭男推荐免试非定向1070141070172037203迟欣茹女推荐免试非定向1070141070172977297李浩亮男推荐免试非定向1070141070172947294杨国顺男推荐免试非定向1070141070172397239莫鸿华男推荐免试非定向。