信号与系统第四章习题答案
- 格式:pdf
- 大小:392.05 KB
- 文档页数:45
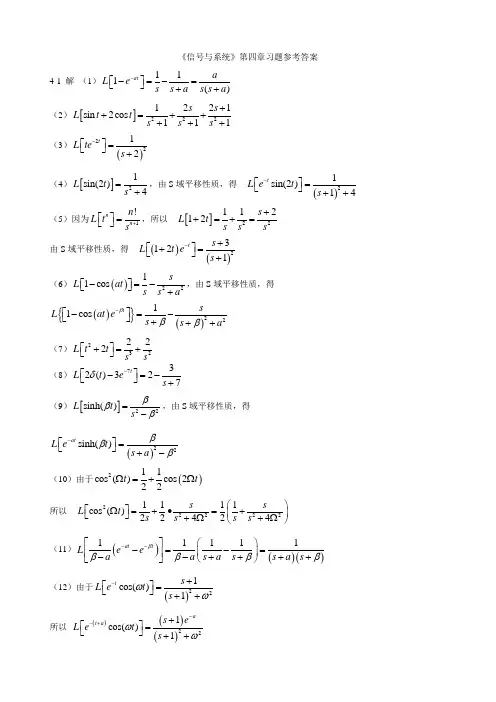
《信号与系统》第四章习题参考答案4-1 解 (1)111()ataL es s a s s a -⎡⎤-=-=⎣⎦++ (2)[]2221221sin 2cos 111s s L t t s s s ++=+++++ (3)()2212tL te s -⎡⎤=⎣⎦+(4)[]21sin(2)4L t s =+,由S 域平移性质,得 ()21s i n (2)14tL e t s -⎡⎤=⎣⎦++ (5)因为1!nn n L t s +⎡⎤=⎣⎦,所以 []2211212s L t s s s++=+= 由S 域平移性质,得 ()()23121ts L t e s -+⎡⎤+=⎣⎦+(6)()2211cos sL at s s a -=-⎡⎤⎣⎦+,由S 域平移性质,得 (){}()2211cos ts L at e s s aβββ-⎡⎤-=-⎣⎦+++ (7)232222L t t s s ⎡⎤+=+⎣⎦ (8)732()327tL t es δ-⎡⎤-=-⎣⎦+ (9)[]22sinh()L t s βββ=-,由S 域平移性质,得()22sinh()atL e t s a βββ-⎡⎤=⎣⎦+-(10)由于()211cos ()cos 222t t Ω=+Ω 所以 222221111c o s ()22424ss L t s s s s ⎛⎫⎡⎤Ω=+∙=+ ⎪⎣⎦+Ω+Ω⎝⎭(11)()()()11111at t L e e a a s a s s a s βββββ--⎡⎤⎛⎫-=-= ⎪⎢⎥--++++⎣⎦⎝⎭ (12)由于()221cos()1ts L e t s ωω-+⎡⎤=⎣⎦++所以 ()()()221cos()1a t a s e L et s ωω--++⎡⎤=⎣⎦++(13)因为(2)(1)(1)(1)(1)(1)t t t te u t e t e e u t ------⎡⎤-=-+-⎣⎦且()(1)(1)2(1)(1)(1)11sst t e e L t eu t L eu t s s ------⎡⎤⎡⎤--=-=⎣⎦⎣⎦++所以 ()(1)(2)2211(2)(1)(1)11s t s s e L teu t e e s s s -----⎡⎤+⎡⎤-=+=⎢⎥⎣⎦+++⎣⎦(14)()(1)tL e f t F s -⎡⎤=+⎣⎦,由尺度变换性质,得(1)ta t L e f aF as a -⎡⎤⎛⎫=+⎢⎥ ⎪⎝⎭⎣⎦(15)()t L f aF as a ⎡⎤⎛⎫=⎪⎢⎥⎝⎭⎣⎦,再由s 域平移性质,得 []2()()at t L e f aF a s a aF as a a -⎡⎤⎛⎫=+=+ ⎪⎢⎥⎝⎭⎣⎦(16)31cos(6)cos (3)cos(3)2t t t -=∙13cos(9)cos(3)44t t =+32213cos (3)48149s s L t s s ⎡⎤=+⎣⎦++由s 域微分性质,得()()22322222213181327cos (3)481494819d s s s s L t t ds s s s s ⎡⎤--⎛⎫⎢⎥⎡⎤=-+=+ ⎪⎣⎦⎢⎥++⎝⎭++⎣⎦(17)[]2cos(2)4sL t s =+,连续两次应用s 域微分性质,有 []()2224cos(2)4s L t t s-=+,()3232224cos(2)4s sL t t s-⎡⎤=⎣⎦+(18)111atL es s a -⎡⎤-=-⎣⎦+,由s 域积分性质,得111111(1)at sL e ds t s s a ∞-⎛⎫⎡⎤-=- ⎪⎢⎥+⎣⎦⎝⎭⎰ln()ln ln s s a s s a ⎛⎫=+-=- ⎪+⎝⎭ (19)351135tt L ee s s --⎡⎤-=-⎣⎦++,由s 域积分性质,得 33111115ln 353t t s e e s L ds t s s s --∞⎛⎫⎡⎤-+⎛⎫=-= ⎪ ⎪⎢⎥+++⎝⎭⎣⎦⎝⎭⎰(20)()22sin aL at s a =⎡⎤⎣⎦+,由s 域积分性质,得()1122211sin 1arctan 21s s at s a s L ds d t s a a a s a π∞∞⎡⎤⎛⎫⎛⎫===-⎢⎥ ⎪ ⎪+⎝⎭⎝⎭⎛⎫⎣⎦+ ⎪⎝⎭⎰⎰ 4-2 解(1)因为()()sin ()2T f t t u t u t ω⎡⎤⎛⎫=--⎪⎢⎥⎝⎭⎣⎦()sin ()sin 22T T t u t t u t ωω⎡⎤⎛⎫⎛⎫=+-- ⎪ ⎪⎢⎥⎝⎭⎝⎭⎣⎦ 所以可借助延时定理,得()()sin ()sin 22T T L f t L t u t L t u t ωω⎧⎫⎡⎤⎛⎫⎛⎫=+--⎡⎤⎡⎤⎨⎬ ⎪ ⎪⎢⎥⎣⎦⎣⎦⎝⎭⎝⎭⎣⎦⎩⎭222222221sT T s ee S S S ωωωωωω--⎛⎫=+=+ ⎪+++⎝⎭(2)因为()()()sin sin cos cos sin t t t ωϕωϕωϕ+=+ 所以()222222cos sin cos sin sin s s L t s s s ωϕϕωϕϕωϕωωω++=+=⎡⎤⎣⎦+++ 4-3 解此题可巧妙运用延时性质。
习 题 一 第一章习题解答基本练习题1-1 解 (a) 基频 =0f GCD (15,6)=3 Hz 。
因此,公共周期3110==f T s 。
(b) )30cos 10(cos 5.0)20cos()10cos()(t t t t t f ππππ+==基频 =0f GCD (5, 15)=5 Hz 。
因此,公共周期5110==f T s 。
(c) 由于两个分量的频率1ω=10π rad/s 、1ω=20 rad/s 的比值是无理数,因此无法找出公共周期。
所以是非周期的。
(d) 两个分量是同频率的,基频 =0f 1/π Hz 。
因此,公共周期π==01f T s 。
1-2 解 (a) 波形如图1-2(a)所示。
显然是功率信号。
t d t f TP T TT ⎰-∞→=2)(21lim16163611lim 22110=⎥⎦⎤⎢⎣⎡++=⎰⎰⎰∞→t d t d t d T T T W(b) 波形如图1.2(b)所示。
显然是能量信号。
3716112=⨯+⨯=E J (c) 能量信号 1.0101)(lim101025=-===⎰⎰∞∞---∞→T t ttT e dt edt eE J(d) 功率信号,显然有 1=P W1-3 解 周期T=7 ,一个周期的能量为 5624316=⨯+⨯=E J 信号的功率为 8756===T E P W 1-5 解 (a) )(4)2()23(2t tt δδ=+; (b) )5.2(5.0)5.2(5.0)25(5.733-=-=----t e t e t et tδδδ(c) )2(23)2()3sin()2()32sin(πδπδπππδπ+-=++-=++t t t t 题解图1-2(a) 21题解图1-2(b) 21(d) )3()3()(1)2(-=----t e t t et δδε。
1-6 解 (a) 5)3()94()3()4(2-=+-=+-⎰⎰∞∞-∞∞-dt t dt t t δδ(b) 0)4()4(632=+-⎰-dt t t δ(c) 2)]2(2)4(10[)]42(2)4()[6(63632=+++-=+++-⎰⎰--dt t t dt t t t δδδδ(d)3)3(3)(3sin )(1010=⋅=⎰⎰∞-∞-dt t Sa t dt ttt δδ。
附 录 A 常 用 数 学 公 式A.1 三角函数公式j e cos jsin t t t ωωω=+ j e e (cos jsin )t t t σωσωω+=+j j 1cos (e e )2t t t ωωω-=+j j 1sin (e e )2jt t t ωωω-=-sin()sin cos cos sin αβαβαβ±=± cos()cos cos sin sin αβαβαβ±=sin22sin cos ααα=2222cos2cos sin 12sin 2cos 1ααααα=-=-=-1sin sin [cos()cos()]2αβαβαβ=--+1cos cos [cos()cos()]2αβαβαβ=-++1sin cos [sin()sin()]2αβαβαβ=-++双曲正弦:e e sh 2x xx --=双曲余弦:e e ch 2x xx -+=A.2 微积分公式d()d Cu C u =,C 为常数(下同)d()d d u v u v ±=±,u 、v 为t 的函数(下同) d()d d uv v u u v =+ 2d d d u v u u v v v -⎛⎫= ⎪⎝⎭d d Cu t C u t =⎰⎰()d d d u v t u t v t ±=±⎰⎰⎰信号与系统288d d u v uv v u =-⎰⎰()d ()()()()d ()bb baaau t v t u t v t v t u t =-⎰⎰A.3 数列求和公式(1)等比数列123,,,,N a a a a 的通项为11n n a a q -=,q 为公比,前n 项的和为 111(1)11NN N N n n a a q a q S a q q =--===--∑(2)等差数列123,,,,N a a a a 的通项为1(1)n a a n d =+-,d 为公差,前n 项的和为111()(1)22NN N n n N a a N N dS a Na =+-===+∑附 录 B 常 用 信 号 与 系 统 公 式B.1 连续时间信号的卷积121221()()()()d ()()d x t x t x x t x x t ττττττ∞∞-∞-∞*=-=-⎰⎰B.2 离散时间信号的卷积121221()()()()()()m m x n x n x m x n m x m x n m ∞∞=-∞=-∞*=-=-∑∑B.3 连续时间三角形式的傅里叶级数0000011()[cos()sin()]cos()kk kkk k x t a ak t b k t A A k t ωωωϕ∞∞===++=++∑∑0000001()d t T t a A x t t T +==⎰000002()cos()d 1,2,t T k t a x t k t t k T ω+==⎰, 000002()sin()d 1,2,t T k t b x t k t t k T ω+==⎰,1,2,k A k = arctan 1,2,k k k b k a ϕ⎛⎫=-=⎪⎝⎭,B.4 连续时间指数形式的傅里叶级数FS000j 01()e d t T k t k t X x t t T ω+-=⎰0j 0()()ek tk x t X k ωω∞=-∞=∑信号与系统290B.5 连续时间傅里叶变换FTj (j )()e d t X x t t ωω∞--∞=⎰j 1()(j )e d 2πt x t X ωωω∞-∞=⎰B.6 双边拉普拉斯变换()()e d st X s x t t ∞--∞=⎰j j 1()()e d 2πjst x t X s s σσ+∞-∞=⎰B.7 单边拉普拉斯变换0()()e d st X s x t t ∞--=⎰j j 1()()e d 2πjst x t X s s σσ+∞-∞=⎰,0t ≥B.8 离散时间傅里叶级数DFS2πj 1()()ekn NN N n N X k x n N -=<>=∑,0,1,2,k =±±2πj()()ekn NN N k N x n X k =<>=∑,0,1,2,n =±±B.9 离散时间傅里叶变换DTFTj j (e )()enn X x n ΩΩ∞-=-∞=∑j j 2π1()(e )e d 2πn x n X ΩΩΩ=⎰B.10 离散傅里叶变换DFT1()()01N knNn X k x n Wk N -==-∑≤≤,附 录 B 常 用 信 号 与 系 统 公 式29111()()01N kn Nk x n X k Wn N N--==-∑≤≤,B.11 双边Z 变换b ()()nn X z x n z∞-=-∞=∑11()()2n cx n X z z dzj π-=⎰B.12 单边Z 变换s 0()()nn X z x n z∞-==∑11()()2n cx n X z z dzj π-=⎰习题参考答案第1章1.1(a)确定信号、连续时间信号、非周期信号、能量信号、非因果信号。
第一章 信号与系统1-5 判别下列各序列是否为周期性的。
如果是,确定其周期。
(2))63cos()443cos()(2ππππ+++=k k k f (4)k j k f 34e )(π= (5))sin(2cos 3)(5t t t f π+=1-6 已知信号)(t f 的波形如图1-6所示,画出下列各函数的波形。
(5))21(t f - (7)dtt df )( (8)dx x f t⎰∞-)(解:1-7 已知序列)(k f 的图形如图1-7所示,画出下列各序列的图形。
(1))()2(k k f ε- (3))]4()()[2(---k k k f εε1-10 计算下列各题。
(5)dt t tt )2()]4sin([2++⎰∞∞-δπ(6)dt t )2()2t (2δ⎰∞∞-+(7)dt t t t )1()12t 2('23-+-+⎰∞∞-δ1-23 设系统的初始状态为)0(x ,激励为)(⋅f ,各系统的全响应)(⋅y 与激励和初始状态的关系如下,试分析各系统是否是线性的。
(1)⎰+=-ttdx x xf x e t y 0)(sin )0()( (2)⎰+=tdx x f x t f t y 0)()0()()(1-23 设系统的初始状态为)0(x ,激励为)(⋅f ,各系统的全响应)(⋅y 与激励和初始状态的关系如下,试分析各系统是否是线性的。
(1)⎰+=-ttdx x xf x e t y 0)(sin )0()( (2)⎰+=tdx x f x t f t y 0)()0()()(1-27 某LTI 连续系统,其初始状态一定。
已知当激励为)t (1y 时,其全响应为0)cos()(1≥+-=t t t e t y π若初始状态不变,当激励为)(2t f 时,其全响应为0)cos(2)(2≥=t t t y π,若初始状态不变,当激励为)(3t f 时,求其全响应。
第二章2-1 已知描述系统的微分方程和初始状态如下,试求其零输入响应。
信号与系统课后习题参考答案1试分别指出以下波形就是属于哪种信号?题图1-11-2试写出题1-1图中信号得函数表达式。
1-3已知信号与波形如题图1-3中所⽰,试作出下列各信号得波形图,并加以标注。
题图1-3⑴⑵⑶⑷⑸⑹⑺⑻⑼1-4已知信号与波形如题图1-4中所⽰,试作出下列各信号得波形图,并加以标注。
题图1-4⑴⑵⑶⑷⑸⑹⑺⑻⑼1-5已知信号得波形如题图1-5所⽰,试作出信号得波形图,并加以标注。
题图1-51-6试画出下列信号得波形图:⑴⑵⑶⑷1-7试画出下列信号得波形图:⑴⑵⑶⑷⑸⑹1-8试求出以下复变函数得模与幅⾓,并画出模与幅⾓得波形图。
⑴⑵⑶⑷1-9已知信号,求出下列信号,并画出它们得波形图。
1-10试作出下列波形得奇分量、偶分量与⾮零区间上得平均分量与交流分量。
题图1-101-11试求下列积分:⑴⑵⑶⑷⑸⑹1-12试求下列积分:⑴⑵⑴(均为常数)⑵⑶⑷⑸⑹⑺⑻1-14如题图1-14中已知⼀线性时不变系统当输⼊为时,响应为。
试做出当输⼊为时,响应得波形图。
题图1-14 1-15已知系统得信号流图如下,试写出各⾃系统得输⼊输出⽅程。
题图1-151-16已知系统⽅程如下,试分别画出她们得系统模拟框图。
⑴⑵⑶1-17已知⼀线性时不变系统⽆起始储能,当输⼊信号时,响应,试求出输⼊分别为与时得系统响应。
第⼆章习题2-1试计算下列各对信号得卷积积分:。
⑴(对与两种情况)⑵⑶⑷⑸⑹2-2试计算下列各对信号得卷积与:。
⑴(对与两种情况)⑵⑶⑷⑸⑹2-3试计算下图中各对信号得卷积积分:,并作出结果得图形。
题图2-32-4试计算下图中各对信号得卷积与:,并作出结果得图形。
题图2-42-5已知,试求:⑴⑵⑶2-7系统如题图2-7所⽰,试求系统得单位冲激响应。
已知其中各⼦系统得单位冲激响应分别为:题图2-72-8设已知LTI 系统得单位冲激响应,试求在激励作⽤下得零状态响应。
2-9⼀LTI 系统如题图2-9所⽰,由三个因果LTI ⼦系统级联⽽成,且已知系统得单位样值响应如图中。
1第一章 信号与系统1-1画出下列各信号的波形【式中)()(t t t r ε=】为斜升函数。
(2)∞<<-∞=-t et f t,)( (3))()sin()(t t t f επ=(4))(sin )(t t f ε= (5))(sin )(t r t f = (7))(2)(k t f kε= (10))(])1(1[)(k k f kε-+=解:各信号波形为(2)∞<<-∞=-t e t f t,)((3))()sin()(t t t f επ=2(4))(sin)(t t f ε=(5))(sin )(t r t f =(7))(2)(k t f k ε=3(10))(])1(1[)(k k f k ε-+=1-2 画出下列各信号的波形[式中)()(t t t r ε=为斜升函数]。
(1))2()1(3)1(2)(-+--+=t t t t f εεε (2))2()1(2)()(-+--=t r t r t r t f (5))2()2()(t t r t f -=ε (8))]5()([)(--=k k k k f εε (11))]7()()[6sin()(--=k k k k f εεπ(12))]()3([2)(k k k f k---=εε 解:各信号波形为4 (1))2()1(3)1(2)(-+--+=ttttfεεε(2))2()1(2)()(-+--=t rt rt rtf(5))2()2()(ttrtf-=ε5 (8))]5()([)(--=kkkkfεε(11))]7()()[6sin()(--=kkkkfεεπ(12))]()3([2)(kkkf k---=εε1-3 写出图1-3所示各波形的表达式。
61-4 写出图1-4所示各序列的闭合形式表达式。
781-5 判别下列各序列是否为周期性的。
如果是,确定其周期。
(2))63cos()443cos()(2ππππ+++=k k k f(5))sin(2cos 3)(5t t t f π+=解:1-6 已知信号)(t f 的波形如图1-5所示,画出下列各函数的波形。
专业课习题解析课程第2讲第一章 信号与系统(二)1-1画出下列各信号的波形【式中)()(t t t r ε=】为斜升函数。
(2)∞<<-∞=-t et f t,)( (3))()sin()(t t t f επ=(4))(sin )(t t f ε= (5))(sin )(t r t f = (7))(2)(k t f kε= (10))(])1(1[)(k k f kε-+=解:各信号波形为 (2)∞<<-∞=-t et f t,)((3))()sin()(t t t f επ=(4))(sin )(t t f ε=(5))tf=r(t(sin)(7))f kε=t(k2)((10))(])1(1[)(k k f k ε-+=1-2 画出下列各信号的波形[式中)()(t t t r ε=为斜升函数]。
(1))2()1(3)1(2)(-+--+=t t t t f εεε (2))2()1(2)()(-+--=t r t r t r t f(5))2()2()(t t r t f -=ε (8))]5()([)(--=k k k k f εε (11))]7()()[6sin()(--=k k k k f εεπ(12))]()3([2)(k k k f k---=εε 解:各信号波形为(1))2()1(3)1(2)(-+--+=t t t t f εεε(2))2()1(2)()(-+--=t r t r t r t f(5))2()2()(t t r t f -=ε(8))]5()([)(--=k k k k f εε(11))]7()()[6sin()(--=k k k k f εεπ(12))]()3([2)(kkkf k---=εε1-3 写出图1-3所示各波形的表达式。
1-4 写出图1-4所示各序列的闭合形式表达式。
1-5 判别下列各序列是否为周期性的。
如果是,确定其周期。
第四章 连续时间信号与系统的复频域分析 4.1 学习重点 1、拉普拉斯变换的定义式,收敛域,能根据拉普拉斯变换的定义式求一些常用信号的拉普拉斯变换。
2、熟练掌握拉普拉斯变换的基本性质(特别是时移性、频移性、时域微分、频域微分、初值定理、终值定理、卷积定理等性质)及其应用。
3、能应用部分分式法展开法、留数法,求解拉普拉斯反变换。
4、利用拉普拉斯进行连续时间信号的复频域分析,分析电路、s 域元件模型,能求解线性时不变系统的响应,包括全响应、零输入响应、零状态响应,以及冲激响应和阶跃响应。
5、深刻理解复频域系统函数()s H 的定义、物理意义及其与系统特性的关系,并能熟练应用于连续时间信号的复频域分析。
6、系统的复频域方框图表示与模拟。
7、了解系统函数的零、极点与系统特性的关系,会画零、极点图,会根据零、极点图求系统函数()s H 。
8、系统稳定性及其判断方法。
9、用MATLAB 进行连续时间信号与系统的复频域分析4.2 教材习题同步解析 4.1 求下列信号的拉普拉斯变换及其收敛域,并画出零极点图和收敛域。
(1)()0,<−a t e at ε (2)()0,>−−a t e at ε(3)()0,>a t e at ε (4)0,>−a eta(5)()4−t ε (6)()τδ−t (7)()()t e t e t t εε2−−+ (8)()()t t εϕω+0cos【知识点窍】主要考察拉普拉斯变换定义及收敛域求法。
【逻辑推理】 单边拉普拉斯变换定义:()()dt et f s F st∫∞−−=。
若满足0σσ>,使得()0lim =−∞→t t e t f σ,则()t e t f σ−在0σσ>的全部范围内收敛。
解:(1)()()[]()as dt e dt e e t e L s F t s a st at at +====∫∫∞+−∞−−−10ε ()00lim lim >+==+−∞→−−∞→a e e e t a t t at t σσσ即收敛域为a a −=−>0,σσ。
(2)()()[]()as dt e dt eet e L s F t s a statat+−===−−=∫∫∞−+−∞−−−1ε ()00lim lim <−==−−∞→−∞→σσσa e e e t a t t at t即收敛域为a a =>0,σσ。
(3)()()[]()as dt e dt e e t e L s F t s a stat at−====∫∫∞−∞−10ε ()00lim lim <−==−∞→−∞→σσσa e e e t a t t at t即收敛域为a a =>0,σσ。
(4)()()[]dt e e dt e e t eL s F st at st at ta ∫∫∞−−∞−−−+==0ε ()()as a s dt e dt e t s a t s a ++−=+=∫∫∞+−∞−−110()a a e e e t a t t at t −><+==+−+∞→−−+∞→σσσσ即00lim lim ()a a e e e t a t t at t <>−==−−∞→−−∞→σσσσ即0lim lim即收敛域为a a <<−σ。
(5)()()[]()s stst st e se sdt e dt e t t L s F 44441144−∞−∞−−∞=−==−=−=∫∫εε ()0lim 4lim >==−−+∞→−∞→σεσσt t t t e e t即收敛域为0,00=>σσ (6) ()()[]()ττττδτδs t stste e dt et t L s F −=−−∞==−=−=∫()−∞>=⋅=−−+∞→−∞→στδσσ00lim lim t t t t e e t即对0σ没有要求,全平面收敛。
(7)()()()[]dt e e dt e e t e t e L s F st t st t t t ∫∫∞−−∞−−−−+=+=0202εε ()()21110201+++=+=∫∫∞+−∞+−s s dt e dt e t s t s ()()()02010lim lim lim 212>+>+=+=++−∞→+−∞→−−−∞→σσσσσ且t t t t t t t t e e e e e即收敛域为1,10−=−>σσ。
(8)()ϕωϕωϕωsin sin cos cos cos 000t t t −=+j e e e e tjtj tj tj 2sin 2cos 0000ωωωωϕϕ−−−−+=tjtj e j e j 002sin 2cos 2sin 2cos ωωϕϕϕϕ−++ −= ()()()()00000021212sin 2cos 2sin 2cos 2sin 2cos 2sin 2cos 2sin 2cos 2sin 2cos 000000ωωϕϕϕϕϕϕϕϕεϕϕϕϕϕϕωωωωωωj s e j s e dt e j dt e j dt e e j dt e e j t ej e j L s F j j jt s jt s st tj st tj tj tj ++−= ++ −= ++ −=++ −=−∞+−∞−∞−−∞−−∫∫∫∫ ()()()0lim 2sin 2cos lim 2sin 2cos 2sin 2cos 2sin 2cos lim 0000= ++ −=++ −+−∞→−∞→−−∞→tj t t j t t tj tj t e j e j e t e j e j σωσωσωωϕϕϕϕεϕϕϕϕ则有0000>+<−σωσωj j 且 即收敛域为j j 000,ωσωσ=>。
4.2 求图4.1所示信号的拉普拉斯变换。
【知识点窍】主要考察拉普拉斯变换基本性质 【逻辑推理】首先分析图形,看是由哪些基本信号的图形组合,然后通过基本信号的拉普拉斯变换和拉普拉斯变换基本性质来求取其拉普拉斯变换。
图4.1解:(a )()()()T t t t x −−=εε 因()st 1↔ε,根据拉普拉斯变换时延特性,有 ()()sT sT e se s s s X −−−=−=1111(b )()()()()()321−−−−−+=t t t t t x εεεε因()st 1↔ε,根据拉普拉斯变换时延特性,有 ()()s s s s s s e e e se s e s e s s s X 3232111111−−−−−−−−+=−−+=(c )()()()[]()()()()T t T t T t T t t T T t t t T t x −−−−−=−−=εεεεε111因()s t 1↔ε,()21st t ↔ε,根据拉普拉斯变换时延特性,有()sT sT e Tse s Ts s X −−−−=22111(d )()()()[]()()()()T t T t T t T t T T t t t T t x −−+−−=−−+−=εεεε1111因()s t 1↔ε,()21st t ↔ε,根据拉普拉斯变换时延特性,有 ()sT e Tss Ts s X −++−=22111(e )()()()T t t T T t t T t t T t x −−+ − +−+=εεε222242 ()()()T t T t TT t T t T t t T −−+ − −−=εεε22242 因()s t 1↔ε,()21st t ↔ε,根据拉普拉斯变换时延特性,有 ()222222242242Ts e eeTse Ts Ts s X sTsTsTsT−−−−+−=+−=(f )()()()[]πεεπ−−=t t t t x sin()22sin ππεπ+↔s t t()[]()()()+−−= −=−−=−+−−−∞−−∞−−∫∫πππεπεπππππππππππj s e j s e j dt e e dt e e j t j e e L t t L j s j s st t j st t j t j t j 21212sin所以()()()()()()()()22222222222222222222cos sin cos sin 212121222222πππππππππππππππππππππππππππππππππππππππ++−=++−+=+++−⋅−+=+−−+⋅−+=+−−−+=−−−−−−−−+−−−s t t s e s t t s e s s e e j e e s e j s s e e j s e e j s j s j s e j s e j s s X s s j j j j s j s j s j s j s 4.3 图4.2所示的每一个零极点图,确定满足下述情况的收敛域。
(1)()t f 的傅里叶变换存在 (2)()t e t f 2的傅里叶变换存在 (3)()0,0>=t t f (4)()5,0<=t t f【知识点窍】主要考察拉普拉斯变换的零极点分布特性。
【逻辑推理】首先由零极点写出拉普拉斯变换式,再利用反变换求取其原信号,即可求取其收域。
图4.2解:由图4.2(a )得()()() +−−=+−=111121111s s k s s k s F 即得 ()[]()t e e k t f tt ε−−=21 由图4.2(b )图得()()()+−−=+−=313163322s s k s s k s F 即得 ()[]()t e e k t f t t ε3322−−= 由图4.2(c )图得()()() +−+=++=311121333s s k s s k s F 即得 ()[]()t e e k t f tt ε332−−−= (1)()t f 的傅里叶变换存在,对于由图4.2(a )来说,其收敛域为()[]()()[]02lim 2limlim 1111=−=−=+−−∞→−−∞→−∞→t t t t t t t t t e e Ke e e k e tf ασσσ则由此可得 0101>+∪<−αα即收敛域为 1>α同理,对于图4.2(b )来说,其收敛域为:3>σ 对于图4.2(c )来说,其收敛域为:1−>α(2)()t e t f 2的傅里叶变换存在,对于由图4.2(a )来说,其收敛域为()[]()()[]02lim 2limlim 131312=−=−=−−∞→−∞→−∞→t t t t t t t t t t e e Ke e e k e e tf ασσσ由此可得其收敛域为:3>σ同理,对于对于图4.2(b )来说,其收敛域为:5>σ对于图4.2(c )来说,其收敛域为:1>α (3)(4)情况下,收敛域均为:∞<<∞−α4.4 针对图4.3所示的每一个信号的有理拉氏变换的零极点图,确定: (1)拉氏变换式;(2)零极点图可能的收敛域,并指出相应信号的特征。