电磁场与电磁波期末复习知识点归纳
- 格式:ppt
- 大小:1.35 MB
- 文档页数:67
已经将文本间距加为24磅,第18章:电磁场与电磁波一、知识网络二、重、难点知识归纳1.振荡电流和振荡电路(1)大小和方向都随时间做周期性变化的电流叫振荡电流。
能够产生振荡电流的电路叫振荡电路。
自由感线圈和电容器组成的电路,是一种简单的振荡电路,简称LC 回路。
在振荡电路里产生振荡电流的过程中,电容器极板上的电荷,通过线圈的电流以及跟电荷和电流相联系的电场和磁场都发生周期性变化的现象叫电磁振荡。
(2)LC 电路的振荡过程:在LC 电路中会产生振荡电流,电容器放电和充电,电路中的电流强度从小变大,再从大变小,振荡电流的变化符合正弦规律.当电容器上的带电量变小时,电路中的电流变大,当电容器上带电量变大时,电路中的电流变小(3)LC 电路中能量的转化 :a 、电磁振荡的过程是能量转化和守恒的过程.电流变大时,电场能转化为磁场能,LC 回路中电磁振荡过程中电荷、电场。
电路电流与磁场的变化规律、电场能与磁场能相互变化。
分类:阻尼振动和无阻尼振动。
振荡周期:LC T π2=。
改变L 或C 就可以改变T 。
电磁振荡 麦克斯韦电磁场理论 变化的电场产生磁场 变化的磁场产生电场 特点:为横波,在真空中的速度为3.0×108m/s 电磁波 电磁场与电磁波 发射接收 应用:电视、雷达。
目的:传递信息 调制:调幅和调频 发射电路:振荡器、调制器和开放电路。
原理:电磁波遇到导体会在导体中激起同频率感应电流 选台:电谐振 检波:从接收到的电磁波中“检”出需要的信号。
接收电路:接收天线、调谐电路和检波电路电流变小时,磁场能转化为电场能。
b 、电容器充电结束时,电容器的极板上的电量最多,电场能最大,磁场能最小;电容器放电结束时,电容器的极板上的电量为零,电场能最小,磁场能最大.c 、理想的LC 回路中电场能E 电和磁场能E 磁在转化过程中的总和不变。
回路中电流越大时,L 中的磁场能越大。
极板上电荷量越大时,C 中电场能越大(板间场强越大、两板间电压越高、磁通量变化率越大)。
电磁场电磁波复习重点(共13页) -本页仅作为预览文档封面,使用时请删除本页-电磁场电磁波复习重点第一章矢量分析1、矢量的基本运算标量:一个只用大小描述的物理量。
矢量:一个既有大小又有方向特性的物理量,常用黑体字母或带箭头的字母表示。
2、叉乘点乘的物理意义会计算3、通量源旋量源的特点通量源:正负无旋度源:是矢量,产生的矢量场具有涡旋性质,穿过一曲面的旋度源等于(或正比于)沿此曲面边界的闭合回路的环量,在给定点上,这种源的(面)密度等于(或正比于)矢量场在该点的旋度。
4、通量、环流的定义及其与场的关系通量:在矢量场F中,任取一面积元矢量dS,矢量F与面元矢量dS的标量积定义为矢量F穿过面元矢量dS的通量。
如果曲面 S 是闭合的,则规定曲面的法向矢量由闭合曲面内指向外;环流:矢量场F沿场中的一条闭合路径C的曲线积分称为矢量场F沿闭合路径C的环流。
如果矢量场的任意闭合回路的环流恒为零,称该矢量场为无旋场,又称为保守场。
如果矢量场对于任何闭合曲线的环流不为零,称该矢量场为有旋矢量场,能够激发有旋矢量场的源称为旋涡源。
电流是磁场的旋涡源。
5、高斯定理、stokes定理静电静场高斯定理:从散度的定义出发,可以得到矢量场在空间任意闭合曲面的通量等于该闭合曲面所包含体积中矢量场的散度的体积分,即散度定理是闭合曲面积分与体积分之间的一个变换关系,在电磁理论中有着广泛的应用。
Stokes定理:从旋度的定义出发,可以得到矢量场沿任意闭合曲线的环流等于矢量场的旋度在该闭合曲线所围的曲面的通量,即斯托克斯定理是闭合曲线积分与曲面积分之间的一个变换关系式,也在电磁理论中有广泛的应用。
6、亥姆霍兹定理若矢量场在无限空间中处处单值,且其导数连续有界,源分布在有限区域中,则当矢量场的散度及旋度给定后,该矢量场可表示为亥姆霍兹定理表明:在无界空间区域,矢量场可由其散度及旋度确定。
第二章电磁场的基本规律1、库伦定律(大小、方向)说明:1)大小与两电荷的电荷量成正比,与两电荷距离的平方成反比;2)方向沿q1 和q2 连线方向,同性电荷相排斥,异性电荷相吸引;3)满足牛顿第三定律。
电磁场与电磁波知识点整理一、电磁场的基本概念电磁场是由电场和磁场相互作用而形成的一种物理场。
电场是由电荷产生的,而磁场则是由电流或者变化的电场产生的。
电荷是产生电场的源。
正电荷会产生向外辐射的电场,负电荷则产生向内汇聚的电场。
电场强度 E 用来描述电场的强弱和方向,其单位是伏特每米(V/m)。
电流是产生磁场的源。
电流产生的磁场方向可以通过右手螺旋定则来确定。
磁场强度 H 用来描述磁场的强弱和方向,其单位是安培每米(A/m)。
法拉第电磁感应定律表明,变化的磁场会产生电场。
麦克斯韦进一步提出,变化的电场也会产生磁场。
这两个定律共同揭示了电磁场的相互联系和相互转化。
二、电磁波的产生电磁波是电磁场的一种运动形态。
当电荷加速运动或者电流发生变化时,就会产生电磁波。
例如,在一个开放的电路中,电荷在电容器和电感之间来回振荡,就会产生电磁波。
这种振荡电路是产生电磁波的一种简单方式。
电磁波的频率和波长之间存在着一定的关系,即光速 c =λf,其中c 是光速(约为 3×10^8 m/s),λ 是波长,f 是频率。
不同频率的电磁波具有不同的特性和应用。
例如,无线电波频率较低,用于通信和广播;而X 射线频率较高,用于医学成像和材料检测。
三、电磁波的传播电磁波在真空中可以无需介质传播,在介质中传播时,其速度会发生变化。
电磁波在传播过程中遵循反射、折射和衍射等规律。
当电磁波遇到障碍物时,会发生反射。
如果电磁波从一种介质进入另一种介质,会发生折射,折射的程度取决于两种介质的电磁特性。
衍射则是指电磁波绕过障碍物传播的现象。
当障碍物的尺寸与电磁波的波长相当或较小时,衍射现象较为明显。
电磁波的极化是指电场矢量的方向在传播过程中的变化。
常见的极化方式有线极化、圆极化和椭圆极化。
四、电磁波的特性1、电磁波是横波,电场和磁场的振动方向都与电磁波的传播方向垂直。
2、电磁波具有能量,其能量密度与电场强度和磁场强度的平方成正比。
3、电磁波的传播速度是恒定的,在真空中为光速。
电磁场期末复习知识点第一章1、熟悉三种坐标系。
基本题型:1)圆柱坐标系中单位矢量 , 。
2)对于矢量A ,若 ,则=+∙y x a y x a x )(2 ,=⨯x z a y a x 2 。
3) 习题1.2 1.32、直角坐标系中散度、旋度、方向导数、梯度的计算公式及求解。
基本题型:习题1.9 1.15 1.16 1.23 1.25第二章1、真空中和介质中的场方程。
2、介质极化的过程3、高斯定理的应用(求解对称性问题)基本题型:1)球面对称问题:计算空间任一点的电场强度、电通密度、极化强度、极化电荷等(例如:空心介质球、导体球)2)圆柱对称问题:同轴线单位长度的电容、电感、漏电的计算。
4、电场的边界条件I 要能判断出不同分界面的满足的边界条件是什么,准确写出来。
5、电动势和接地电阻的基本概念,减小接地电阻的方法。
5、课件上的例题、课堂练习。
第三章1、镜像法的概念、依据,四种情况下镜像电荷的大小和位置(要描述清楚);电荷运动时,其镜像电荷如何运动。
2、分离变量法:给定区域满足的方程、满足的边界条件(用数学表达式表示出来)第四章1、真空中、磁介质中磁场的基本方程(安排环路定理的应用,圆柱对称,参看教材和课件例题)2、磁化过程的描述=⋅ϕρρa z a =⨯ϕρa a z z y y x x A a A a A a ++=3、边界条件第五章1、麦克斯韦方程组及其物理含义(一定要记清楚)(含瞬时值和向量相量形式)2、时变电磁场的边界条件(两种特殊情况的边界面边界条件)3、坡印廷矢量的计算(含瞬时值和向量形式,平均坡印廷矢量)4、时谐电磁场瞬时值和向量形式的转换。
基本题型:1、“变化的电场可以产生磁场,变化的磁场可以产生电场”具体指麦克斯韦方程组的哪一个?2、例题5- 2 ;例题5-3 例题5-4 例题5-53、课后习题:5.6 5.7 5.8 5.9第六章1、无耗媒质中均匀平面波的特征。
2、相速、波长、传播常数、波阻抗等计算公式及相互关系(真空中的值)3、导电媒质中均匀平面波特征。
limt q tF E q →=第二章.电磁学基本理论本章以麦克斯韦方程组为核心,揭示电磁场和电荷,电流之间互相联系的规律。
我们研究电磁场问题都是以麦克斯韦方程组为出发点。
一.场量的定义和计算 2.1 电场的定义这种存在于电荷周围,能对其他电荷产生作用力的特殊的物质称为电场。
可见电荷是产生电场的源。
2.2 电场强度的定义单位正电荷在电场中某点受到的作用力称为该点的电场强度 电场强度严格的数学表达式为: 在此要求实验电荷足够小,以使该电荷产生的电场不致使原电场 发生畸变。
2.3 库仑定律: 其中: 为真空中介电常数。
2.4 电场强度的计算其中: 是源电荷指向场点的方向。
点电荷周围电场强度的计算公式: (2) 连续分布的电荷源产生的电场a.线电荷分布:线电荷密度定义:单位长度上的电荷量。
上所带的电荷量:2112212021ˆ4πR q q F a R ε=1q 2q 21R 91201108.851036πε--=⨯=⨯F/m0ε2200ˆˆ4π4πt R R t qq qE a a q R R εε== ˆRa 20ˆ4πR q E aRε=0d limd l l q ql l ρ∆→∆=='∆d l 'd d l q l ρ'=该线电荷在空间产生的电场强度: b.面电荷分布:电荷沿空间曲面连续分布。
该面电荷在空间产生的电场强度:c.体电荷分布: 电荷在某空间体积内连续分布 。
该体电荷在空间产生的电场强度:二.电位(1)电位定义:外力将单位正电荷是由无穷远处移到A 点,则A 点和无穷远处的电位差称为A 点的电位。
(以无穷远处为零电位参考点。
为电荷源到A 点的距离)(2)电位差定义:单位正电荷由P 点移动到A 点,外力所做的功称为A 点和P 点之间的电位差。
电位差数学表达式: (三) 磁场产生磁场的源:a.永久磁铁b.变化的电场 c.电流周围(运动的电荷) 1. 什么是磁场?存在于载流回路或永久磁铁周围空间,能对运动电荷施力的特殊物质称为磁场。
电磁场与电磁波复习第一部分知识点归纳第一章矢量分析1、三种常用的坐标系(1)直角坐标系微分线元:面积元:,体积元:(2)柱坐标系长度元:,面积元,体积元:(3)球坐标系长度元:,面积元:,体积元:2、三种坐标系的坐标变量之间的关系(1)直角坐标系与柱坐标系的关系(2)直角坐标系与球坐标系的关系(3)柱坐标系与球坐标系的关系3、梯度(1)直角坐标系中:(2)柱坐标系中:(3)球坐标系中:4。
散度(1)直角坐标系中:(2)柱坐标系中:(3)球坐标系中:5、高斯散度定理:,意义为:任意矢量场的散度在场中任意体积内的体积分等于矢量场在限定该体积的闭合面上的通量。
6,旋度(1)直角坐标系中:(2)柱坐标系中:(3)球坐标系中:两个重要性质:①矢量场旋度的散度恒为零,②标量场梯度的旋度恒为零,7、斯托克斯公式:第二章静电场和恒定电场1、静电场是由空间静止电荷产生的一种发散场。
描述静电场的基本变量是电场强度、电位移矢量和电位。
电场强度与电位的关系为:。
2、电场分布有点电荷分布、体电荷分布、面电荷分布和线电荷分布.其电场强度和电位的计算公式如下:(1)点电荷分布(2)体电荷分布(3)面电荷分布(4)线电荷分布3、介质中和真空中静电场的基本方程分别为在线性、各向同性介质中,本构方程为:4、电介质的极化(1)极化介质体积内的极化体电荷密度为:。
(2)介质表面的极化面电荷密度为:5、在均匀介质中,电位满足的微分方程为泊松方程和拉普拉斯方程,即6、介质分界面上的边界条件(1)分界面上的边界条件(为分界面上的自由电荷面密度),当分界面上没有自由电荷时,则有:,它给出了的法向分量在介质分界面两侧的关系:(I)如果介质分界面上无自由电荷,则分界面两侧的法向分量连续;(II)如果介质分界面上分布电荷密度,的法向分量从介质1跨过分界面进入介质2时将有一增量,这个增量等于分界面上的面电荷密度。
用电位表示:(2)分界面上的边界条件(切向分量),电场强度的切向分量在不同的分界面上总是连续的.由于电场的切向分量在分界面上总连续,法向分量有限,故在分界面上的电位函数连续,即.电力线折射定律:。
一、名词解释1.通量、散度、高斯散度定理通量:矢量穿过曲面的矢量线总数。
(矢量线也叫通量线,穿出的为正,穿入的为负)散度:矢量场中任意一点处通量对体积的变化率。
高斯散度定理:任意矢量函数A的散度在场中任意一个体积的体积分,等于该矢量函在限定该体积的闭合面的法线分量沿闭合面的面积分。
2.环量、旋度、斯托克斯定理环量:矢量A沿空间有向闭合曲线C的线积分称为矢量A沿闭合曲线l的环量。
其物理意义随 A 所代表的场而定,当 A 为电场强度时,其环量是围绕闭合路径的电动势;在重力场中,环量是重力所做的功。
旋度:面元与所指矢量场f之矢量积对一个闭合面S的积分除以该闭合面所包容的体积之商,当该体积所有尺寸趋于无穷小时极限的一个矢量。
斯托克斯定理:一个矢量函数的环量等于该矢量函数的旋度对该闭合曲线所包围的任意曲面的积分。
3.亥姆霍兹定理在有限区域 V 的任一矢量场,由他的散度,旋度和边界条件(即限定区域 V 的闭合面S 上矢量场的分布)唯一的确定。
说明的问题是要确定一个矢量或一个矢量描述的场,须同时确定其散度和旋度4.电场力、磁场力、洛仑兹力电场力:电场力:电场对电荷的作用称为电力。
磁场力:运动的电荷,即电流之间的作用力,称为磁场力。
洛伦兹力:电场力与磁场力的合力称为洛伦兹力。
5.电偶极子、磁偶极子电偶极子:一对极性相反但非常靠近的等量电荷称为电偶极子。
磁偶极子:尺寸远远小于回路与场点之间距离的小电流回路(电流环)称为磁偶极子。
6.传导电流、位移电流传导电流:自由电荷在导电媒质中作有规则运动而形成的电流。
位移电流:电场的变化引起电介质部的电量变化而产生的电流。
7.全电流定律、电流连续性方程全电流定律(电流连续性原理):任意一个闭合回线上的总磁压等于被这个闭合回线所包围的面穿过的全部电流的代数和。
电流连续性方程:8.电介质的极化、极化矢量电介质的极化:把一块电介质放入电场中,它会受到电场的作用,其分子或原子的正,负电荷将在电场力的作用下产生微小的弹性位移或偏转,形成一个个小电偶极子,这种现象称为电介质的极化。
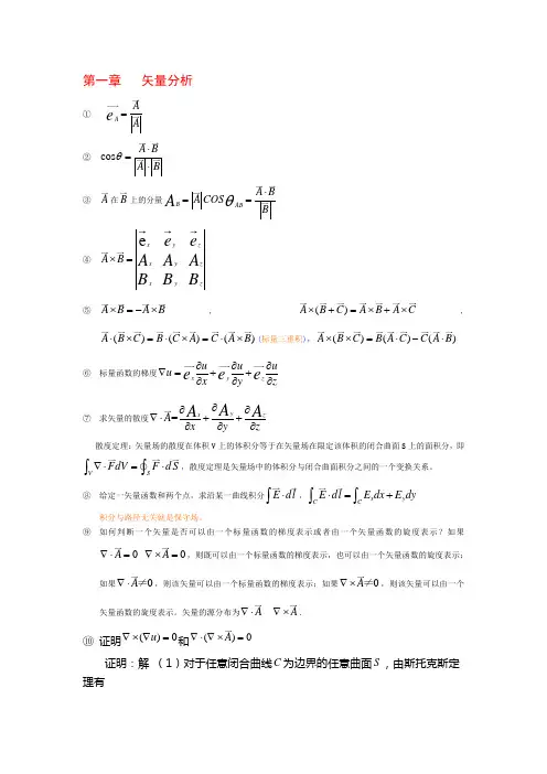
第一章矢量分析①A A Ae =②cos A B A Bθ⋅=⋅③A 在B 上的分量B AB A B A COS BA θ⋅==④e xyz x y z xyzA B e e A A AB B B⨯=⑤A B A B⨯=-⨯ ,()A B C A B A C⨯+=⨯+⨯ ,()()()A B C B C A C A B ⋅⨯=⋅⨯=⋅⨯(标量三重积),()()()A B C B A C C A B ⨯⨯=⋅-⋅⑥ 标量函数的梯度xy z u u u ux y ze e e ∂∂∂∇=++∂∂∂⑦ 求矢量的散度=y x z A xyzA A A ∂∂∂∇⋅++∂∂∂散度定理:矢量场的散度在体积V 上的体积分等于在矢量场在限定该体积的闭合曲面S 上的面积分,即VSFdV F d S ∇⋅=⋅⎰⎰,散度定理是矢量场中的体积分与闭合曲面积分之间的一个变换关系。
⑧ 给定一矢量函数和两个点,求沿某一曲线积分E dl ⋅⎰,x y CCE dl E dx E dy ⋅=+⎰⎰积分与路径无关就是保守场。
⑨ 如何判断一个矢量是否可以由一个标量函数的梯度表示或者由一个矢量函数的旋度表示?如果0A ∇⋅= 0A ∇⨯=,则既可以由一个标量函数的梯度表示,也可以由一个矢量函数的旋度表示;如果0A ∇⋅≠,则该矢量可以由一个标量函数的梯度表示;如果0A ∇⨯≠,则该矢量可以由一个矢量函数的旋度表示。
矢量的源分布为A ∇⋅ A ∇⨯.⑩ 证明()0u ∇⨯∇=和()0A ∇⋅∇⨯=证明:解 (1)对于任意闭合曲线C 为边界的任意曲面S ,由斯托克斯定理有()d d dSCCuu u l l ∂∇⨯∇=∇==∂⎰⎰⎰S l 由于曲面S 是任意的,故有()0u ∇⨯∇=(2)对于任意闭合曲面S 为边界的体积τ,由散度定理有12()d ()d ()d ()d SS S ττ∇∇⨯=∇⨯=∇⨯+∇⨯⎰⎰⎰⎰A A S A S A S 其中1S 和2S 如题1.27图所示。
电磁场与电磁波课程知识点总结与主要公式1 麦克斯韦方程组的理解和掌握 (1)麦克斯韦方程组⎰⎰⎰⎰⎰⎰=•=•∇=•=•∇•∂∂-=•∂∂-=⨯∇•∂∂+=•∂∂+=⨯∇ss l s l s s d B B Q s d D D s d t B l d E t B E s d tD J l d H t D J H 0)(ρ本构关系: E J H B E Dσμε===(2)静态场时的麦克斯韦方程组(场与时间t 无关)⎰⎰⎰⎰=•=•∇=•=•∇=•=⨯∇=•=⨯∇ss l l s d B B Qs d D D l d E E Il d H J H 0000ρ2 边界条件(1)一般情况的边界条件nn n sT t t sn s n n sn tt n B B B B a J H H J H H a D D D D a E E E E a 21212121212121210)())(0)==-•=-=-⨯=-=-•==-⨯((ρρ(2)介质界面边界条件(ρs = 0 J s = 0)nn n t t n n n n t t n B B B B a H H H H a D D D D a E E E E a 21212121212121210)(0)0)(0)==-•==-⨯==-•==-⨯(((1)基本方程0022=•==∇-=∇=•=•∇=•=⨯∇⎰⎰⎰A Apsl ld E Qs d D D l d E E ϕϕϕερϕρ本构关系: E Dε= (2)解题思路● 对称问题(球对称、轴对称、面对称)使用高斯定理或解电位方程(注意边界条件的使用)。
● 假设电荷Q ——> 计算电场强度E ——> 计算电位φ ——> 计算能量ωe =εE 2/2或者电容(C=Q/φ)。
(3)典型问题● 导体球(包括实心球、空心球、多层介质)的电场、电位计算; ● 长直导体柱的电场、电位计算;● 平行导体板(包括双导体板、单导体板)的电场、电位计算; ● 电荷导线环的电场、电位计算; ● 电容和能量的计算。
电磁场与电磁波课程知识点总结与主要公式1 麦克斯韦方程组的理解和掌握 (1)麦克斯韦方程组⎰⎰⎰⎰⎰⎰=∙=∙∇=∙=∙∇∙∂∂-=∙∂∂-=⨯∇∙∂∂+=∙∂∂+=⨯∇ss l s l s s d B B Q s d D D s d t B l d E t B E s d tD J l d H t D J H 0)(ρ本构关系: E J HB EDσμε===(2)静态场时的麦克斯韦方程组(场与时间t 无关)⎰⎰⎰⎰=∙=∙∇=∙=∙∇=∙=⨯∇=∙=⨯∇ss l l s d B B Qs d D D l d E E Il d H J H 0000ρ2 边界条件(1)一般情况的边界条件nn n sT t t sn s n n sn tt n B B B B a J H H J H H a D D D D a E E E E a 21212121212121210)())(0)==-∙=-=-⨯=-=-∙==-⨯((ρρ(2)介质界面边界条件(ρs = 0 J s = 0)nn n t t n n n n t t n B B B B a H H H H a D D D D a E E E E a 21212121212121210)(0)0)(0)==-∙==-⨯==-∙==-⨯(((1)基本方程0022=∙==∇-=∇=∙=∙∇=∙=⨯∇⎰⎰⎰A Apsl ld E Qs d D D l d E E ϕϕϕερϕρ本构关系: E Dε=(2)解题思路● 对称问题(球对称、轴对称、面对称)使用高斯定理或解电位方程(注意边界条件的使用)。
● 假设电荷Q ——> 计算电场强度E ——> 计算电位φ ——> 计算能量ωe =εE 2/2或者电容(C=Q/φ)。
(3)典型问题● 导体球(包括实心球、空心球、多层介质)的电场、电位计算; ● 长直导体柱的电场、电位计算;● 平行导体板(包括双导体板、单导体板)的电场、电位计算; ● 电荷导线环的电场、电位计算; ● 电容和能量的计算。