八年级数学乘法公式练习题
- 格式:doc
- 大小:199.50 KB
- 文档页数:4
人教版八年级数学14.2乘法公式培优训练一、选择题(本大题共10道小题)1. 下列各式中,运算结果是9m2-16n2的是()A.(3m+2n)(3m-8n)B.(-4n+3m)(-4n-3m)C.(-3m+4n)(-3m-4n)D.(4n+3m)(4n-3m)2. 下列各式中,能用完全平方公式计算的是()A.(x-y)(x+y) B.(x-y)(x-y)C.(x-y)(-x-y) D.-(x+y)(x-y)3. 若M·(2x-y2)=y4-4x2,则M应为()A.-(2x+y2)B.-y2+2xC.2x+y2D.-2x +y24. 化简(-2x-3)(3-2x)的结果是()A.4x2-9 B.9-4x2C.-4x2-9 D.4x2-6x+95. 为了运用平方差公式计算(x+2y-1)(x-2y+1),下列变形正确的是()A.[x-(2y+1)]2B.[x+(2y-1)][x-(2y-1)]C.[(x-2y)+1][(x-2y)-1]D.[x+(2y-1)]26. 计算(x+1)(x2+1)·(x-1)的结果是()A.x4+1 B.(x+1)4C.x4-1 D.(x-1)47. 如图①,边长为a的大正方形中有四个边长均为b的小正方形,小华将阴影部分拼成了一个长方形(如图②),则这个长方形的面积为()A.a2-4b2B.(a+b)(a-b)C .(a +2b )(a -b )D .(a +b )(a -2b )8. 若n 为正整数,则(2n +1)2-(2n -1)2的值( )A .一定能被6整除B .一定能被8整除C .一定能被10整除D .一定能被12整除9. 若(x +a )2=x 2+bx +25,则()A .a =3,b =6B .a =5,b =5或a =-5,b =-10C .a =5,b =10D .a =-5,b =-10或a =5,b =1010. 如果a ,b ,c 是ABC △三边的长,且22()a b ab c a b c +-=+-,那么ABC △是( )A. 等边三角形.B. 直角三角形.C. 钝角三角形.D. 形状不确定.二、填空题(本大题共6道小题)11. 多项式x 2+1添加一个单项式后可变为完全平方式,则添加的单项式可以是________(任写一个符合条件的即可).12. 填空:()()22552516a a a b +-=-13. 如果(x +my )(x -my )=x 2-9y 2,那么m =________.14. 如图,在边长为a 的正方形中剪去一个边长为b 的小正方形(a b >),把剩下的部分拼成一个梯形,分别计算这两个图形的面积,验证了公式_________________.15. 如图,四张全等的矩形纸片拼成的图形,请利用图中空白部分面积的不同表示方法,写出一个关于a 、b 的恒等式___________.a bb a16.根据图①到图②的变化过程可以写出一个整式的乘法公式,这个公式是____________________.三、解答题(本大题共4道小题)17. 运用完全平方公式计算:(1)(2a +3b )2; (2)(12m +4)2;(3)(-x -14)2; (4)(-13+3b )2.18. 王红同学计算(2+1)(22+1)(24+1)的过程如下:解:原式=(2-1)(2+1)(22+1)(24+1) =(22-1)(22+1)(24+1) =(24-1)(24+1) =28-1.请根据王红的方法求(2+1)(22+1)(24+1)(28+1)…(232+1)+1的个位数字.19. 认真阅读材料,然后回答问题:我们初中学习了多项式的运算法则,相应地,我们可以计算出多项式的展开式,如:(a +b )1=a +b ,(a +b )2=a 2+2ab +b 2,(a +b )3=a 3+3a 2b +3ab 2+b 3,…. 下面我们依次对(a +b )n 展开式的各项系数进一步研究发现,当n 取正整数时可以单独列成如图所示的形式:上面的多项式展开系数表称为“杨辉三角形”.仔细观察“杨辉三角形”,用你发现的规律回答下列问题:(1)(a +b )n 展开式中共有多少项? (2)请写出多项式(a +b )5的展开式.20. 计算:2111111111124162562n ⎛⎫⎛⎫⎛⎫⎛⎫⎛⎫+++++ ⎪⎪⎪⎪⎪⎝⎭⎝⎭⎝⎭⎝⎭⎝⎭答案一、选择题(本大题共10道小题)1. 【答案】C [解析] 因为结果是9m 2-16n 2,9m 2应是相同的项的平方,所以相同项应为3m 或-3m ,16n 2应是相反项的平方,相反项应为-4n 和4n.2. 【答案】B3. 【答案】A[解析] M 与2x -y 2的相同项应为-y 2,相反项应为-2x 与2x ,所以M 为-2x -y 2,即-(2x +y 2).4. 【答案】A[解析] 原式=(-2x -3)(-2x +3)=(-2x)2-32=4x 2-9.5. 【答案】B6. 【答案】C[解析] (x +1)(x 2+1)(x -1)=(x +1)(x -1)(x 2+1) =(x 2-1)(x 2+1) =x 4-1.7. 【答案】A[解析] 根据题意得(a +2b )(a -2b )=a 2-4b 2.8. 【答案】B[解析] 原式=(4n 2+4n +1)-(4n 2-4n +1)=8n ,则原式的值一定能被8整除.9. 【答案】D[解析] 因为(x +a)2=x 2+bx +25,所以x 2+2ax +a 2=x 2+bx +25.所以⎩⎨⎧2a =b ,a 2=25,解得⎩⎨⎧a =5,b =10或⎩⎨⎧a =-5,b =-10.10. 【答案】A【解析】已知关系式可化为2220a b c ab bc ac ++---=,即2221(222222)02a b c ab bc ac ++---=, 所以2221[()()()]02a b b c a c -+-+-=,故a b =,b c =,c a =.即a b c ==.选A .二、填空题(本大题共6道小题)11. 【答案】2x (或-2x 或14x 4) 【解析】x 2+2x +1=(x +1)2;x 2-2x +1=(x -1)2;14x 4+x 2+1=(12x 2+1)2.12. 【答案】()()2254542516a b a b a b +-=- 【解析】()()2254542516a b a b a b +-=-13. 【答案】±3[解析] (x +my)(x -my)=x 2-m 2y 2=x 2-9y 2,所以m 2=9.所以m=±3.14. 【答案】22()()a b a b a b +-=-【解析】左图中阴影部分的面积为22a b -,右图中阴影部分的面积为1(22)()()()2b a a b a b a b +-=+-,故验证了公式22()()a b a b a b +-=-(反过来写也可)15. 【答案】224()()ab a b a b =+--【解析】22()()4a b a b ab -=+-或224()()ab a b a b =+--16. 【答案】(a +b)(a -b)=a 2-b 2三、解答题(本大题共4道小题)17. 【答案】解:(1)原式=4a 2+12ab +9b 2. (2)原式=14m 2+4m +16. (3)原式=x 2+12x +116. (4)原式=19-2b +9b 2.18. 【答案】解:原式=(2-1)(2+1)(22+1)(24+1)(28+1)…(232+1)+1 =(22-1)(22+1)(24+1)(28+1)…(232+1)+1 =(24-1)(24+1)(28+1)…(232+1)+1 =… =264-1+1 =264.因为264的个位数字是6,所以(2+1)(22+1)(24+1)(28+1)…(232+1)+1的个位数字是6.19. 【答案】解:(1)由已知可得:(a +b)1展开式中共有2项, (a +b)2展开式中共有3项, (a +b)3展开式中共有4项, ……则(a +b)n 展开式中共有(n +1)项. (2)(a +b)1=a +b , (a +b)2=a 2+2ab +b 2,(a +b)3=a 3+3a 2b +3ab 2+b 3,…则(a +b)5=a 5+5a 4b +10a 3b 2+10a 2b 3+5ab 4+b 5.20. 【答案】41122n --【解析】原式211111************n ⎛⎫⎛⎫⎛⎫⎛⎫⎛⎫=-++++ ⎪⎪⎪⎪ ⎪⎝⎭⎝⎭⎝⎭⎝⎭⎝⎭4411121222n n -⎛⎫=-=- ⎪⎝⎭.。
人教版八年级上册数学乘法公式单元检测卷一.单选题1.下列各式中,能用平方差公式计算的是()A.(3x+5y)(5y﹣3x)B.(m﹣n)(n﹣m)C.(p+q)(﹣p﹣q)D.(2a+3b)(3a﹣2b)2.下列运算中,正确的是()A.236a a a⋅=B.()222a b a b +=+C.5510a a a +=D.826a a a ÷=3.下列计算正确的是()A.326a a a ⋅=B.222()a b a b +=+C.()2326ab a b =D.523a a -=4.下列运算正确的是()A.a 2•a 3=a6B.(a 2)3=a5C.a 6÷a 2=a3D.(a+2b)(a﹣2b)=a 2﹣4b25.若x n-1=(x+1)(x-1)(x 2+1)(x 4+1),则n 等于()A.16B.4C.6D.86.下列运算正确的是()A.3434a a a +=B.23544a a a ⋅=C.62344a a a ÷=D.()2224a a -=-7.在最近的一节数学课上,同学们智计百出,算出了很多让人啼笑皆非的计算结果,请大家帮忙看看以下哪一位同学的计算是无误的()A.东东:()222x y x y -=-B.乐乐:2220234044202320221-⨯+=C.琪琪:()4223159353x y xyxy xy-÷=-D.乐乐:()()49.850.2500.2500.2249.6⨯=--=8.下列各式中,满足完全平方公式进行因式分解的是()A.224129x xy y -+B.2241x x ++C.2224x xy y ++D.222x y xy-+9.下列各式能用平方差公式计算的是()A.(3a+b)(a-b)B.(3a+b)(-3a-b)C.(-3a-b)(-3a+b)D.(-3a+b)(3a-b)10.如图,有两个正方形A,B,现将B 放在A 的内部得图甲,将A,B 并列放置后构造新的正方形得图乙。
初中数学八年级上册乘法公式练习题含答案学校:__________ 班级:__________ 姓名:__________ 考号:__________1. 下列各式能用平方差公式进行计算的是()A.(x−3)(−x+3)B.(a+2b)(2a−b)C.(a−1)(−a−1)D.(x−3)22. 若x2+2(m−5)x+16是完全平方式,则m的值是( )A.5B.9C.9或1D.5或13. 下列等式中:① (a−b)2n=(b−a)2n (n为正整数);② (−1+2x)(−1−2x)=4x2−1;③(a−b)2=−(b−a)2;④(ab−2b)(−ab−2b)=2b2−a2b2;正确的个数是( )A.1个B.2个C.3个D.4个4. 如图a,边长为a的大正方形中有一个边长为b的小正方形,小明将图a的阴影部分拼成了一个矩形,如图b,这一过程可以验证()A.a2+b2−2ab=(a−b)2B.a2+b2+2ab=(a+b)2C.2a2+b2−3ab=(2a−b)(a−b)D.a2−b2=(a+b)(a−b)5. 如图能验证的公式是()A.(a−b)(a+b)=a2−b2B.(a+b)2=a2+2ab+b2C.(a−b)2=a2−2ab+b2D.a2−b2=(a−b)(a+b)6. 已知a 3+b 3=9,a +b =3,则ab =( )A.2B.3C.4D.67. 下列运算中,错误的运算有( )①(2x +y)2=4x 2+y 2,②(a −3b)2=a 2−9b 2,③(−x −y)2=x 2−2xy +y 2,④(x −12)2=x 2−2x +14.A.1个B.2个C.3个D.4个8.的计算结果为() A.B. C. D.9. 使m 2+m +7是完全平方数的所有整数m 的积是( )A.84B.86C.88D.9010. 下列乘法公式的运用,不正确的是( )A.B. C.D.11. 观察右边的图形,根据图形面积的关系,不需要连其他的线,便可以得到一个用来进行乘法运算的公式,这个公式是________.12. 分解因式:(2x −3y)3+(3x −2y)3−125(x −y)3=________.13. 计算:(x +2y)(x −2y)=________.14. 已知,ab =6,则a 2+b 2的值是________ .15. 有一个完全平方数44 (44)⏟2014个4.88 (89)⏟2013个8,它是________的平方.16. 在边长为a的正方形中挖去一个边长为b的小正方形(a>b)(如图甲),把余下的部分拼成一个矩形(如图乙),根据两个图形中阴影部分的面积相等,可以验证________(填写序号).①(a+b)2=a2+2ab+b2②(a−b)2=a2−2ab+b2③a2−b2=(a+b)(a−b)④(a+2b)(a−b)=a2+ab−2b2.17. 已知n2是完全平方数,n3是立方数,则n的最小正数值是________.18. 化简:6(7+1)(72+1)(74+1)(78+1)(716+1)+1=________.19. (x−y+9)(x+y−9)=________.20. 如图,在一块边长为a的正方形纸片的四角各剪去一个边长为b的正方形,若a=3.6,b=0.8,则剩余部分的面积为________.21. 是否存在这样一个正整数,当它加上100时是一个完全平方数,当它加上129时是另一个完全平方数?若存在,请求出这个正整数;若不存在,请说明理由.22. 乘法公式的探究及应用.(1)如图1,可以求出阴影部分的面积是________(写成两数平方差的形式);(2)如图2,若将阴影部分裁剪下来,重新拼成一个矩形,它的宽是________,长是________,面积是________(写成多项式乘法的形式)(3)比较左、右两图的阴影部分面积,可以得到乘法公式________(用式子表达)(4)运用你所得到的公式,计算:10.3×9.7(x+2y−3)(x−2y+3).23. 如图,四边形ABCD是正方形,P是对角线BD上一点,过P点作直线MN和EF,分别平行于AB、BC,交两组对边于点M、N、E、F,则四边形PFDN、PEBM都是正方形,四边形PEAN、PMCF都是矩形,设正方形PEBM的边长为a,正方形PFDN的边长为b(a<b).(1)用代数式分别表示正方形PEBM和正方形PFDN的面积之和以及矩形PEAN与矩形PMCF的面积之和,并判定两个面积之和的大小.(2)当点P在什么位置时,它们的面积之和相等?(3)用含a、b的代数式表示S△EMD.24. 求证:四个连续自然的积与1之和必定是一个完全平方数.25. 有-块边长为a m的正方形空地,现准备将这块空地的四周均留出b m宽修筑围坝,中间建喷水池.请计算出喷水池的面积.26. 图(1)是一个长为2m、宽为2n的长方形,沿图中虚线用剪刀均分成四个小长方形,然后按图(2)的形状拼成一个正方形.(1)你认为图(2)中阴影部分的正方形的边长等于多少?________;(2)请用两种不同的方法求图(2)中阴影部分面积.方法一:________;方法二:________;(3)观察图(2),你能写出下列三个代数式之间的等量关系吗?代数式:(m+n)2,(m−n)2,4mn.________;(4)根据(3)题中的等量关系,解决如下问题:若a+b=7,ab=5,求(a−b)2的值.27. 已知x=2007,求(23x+3)(3−23x)+(23x−1)(23x+1)的值.28. 已知x+y=7,xy=6,试求:(1)x−y的值;(2)x3y+xy3的值.29. 用简便方法计算:(1)20122−4024×2011+20112(2)20192−2018×2020.30. 计算:(2x−y)(4x2+y2)(2x+y)31. 三个两位的完全平方数连在一起写,得到一个六位的完全平方数,求所有这样的六位完全平方数.32. 将甲、乙两人现在的年龄按从左至右的顺序排列得到一个四位数,这个数为完全平方数,再过31年,将他们的年龄已同样的方式排列又得到一个四位数,这个数仍为完全平方数.试求出甲、乙现在的年龄.33. 如图①所示是一个长为2m,宽为2n的长方形,沿图中虚线用剪刀均分成四个小长方形,然后按图②的方式拼成一个正方形.(1)按要求填空:①你认为图②中的阴影部分的正方形的边长等于________;②请用两种不同的方法表示图②中阴影部分的面积:方法1:________;方法2:________;③观察图②,直接写出三个代数式(m+n)2,(m−n)2,mn之间的等量关系:________;(2)根据(1)题中的等量关系,解决如下问题:若m+n=6,mn=4,求(m−n)2的值.34. 如图1,边长为a的大正方形中有一个边长为b的小正方形(a>b),图2是由图1中阴影部分拼成的一个长方形.(1)观察图1、图2,当用不同的方法表示图形中阴影部分的面积时,可以获得一个因式分解公式,则这个公式是________;(2)如果大正方形的边长a比小正方形的边长b多3,它们的面积相差57,试利用(1)中的公式,求a,b的值.35. 如图,求阴影部分的面积,它可以验证哪个公式?36. 利用乘法公式简便计算:20072−2006×2008.37. 阅读理解:若x满足(30−x)(x−10)=160,求(30−x)2+(x−10)2的值.解:设30−x=a,x−10=b,则(30−x)(x−10)=ab=160,a+b=(30−x)+(x−10)=20,(30−x)2+(x−10)2=a2+b2=(a+b)2−2ab=202−2×160=80.解决问题:(1)若x满足(2020−x)(x−2016)=2,则(2020−x)2+(x−2016)2=________;(2)若x满足(2021−x)2+(x−2018)2=2020,求(2021−x)(x−2018)的值;(3)如图,在长方形ABCD中,AB=20,BC=12,点E,F是BC,CD上的点,且BE=DF=x,分别以FC,CE为边在长方形ABCD外侧作正方形CFGH和CEMN,若长方形CEPF的面积为160平方单位,则图中阴影部分的面积和为________平方单位.38. (x−2y)(2y+x)39. 请你求出2(3+1)(32+1)(34+1)(38+1)的值.40. 运用整式乘法公式计算:(1)1001×999+1;(2)20102−2011×2009.参考答案与试题解析初中数学八年级上册乘法公式练习题含答案一、选择题(本题共计 10 小题,每题 3 分,共计30分)1.【答案】C【考点】平方差公式【解析】本题是平方差公式的应用,在所给的两个式子中,必须有一项完全相同,有一项相反才可用平方差公式.【解答】解:A、B中不存在相同的项,C、−1是相同的项,互为相反项是a与−a,所以(a−1)(−a−1)=1−a2.D、(x−3)2符合完全平方公式.因此A、B、D都不符合平方差公式的要求;故选C.2.【答案】C【考点】完全平方公式【解析】完全平方公式:(a±b)2=a2±2ab+b2这里首末两项是x和4这两个数的平方,那么中间一项为加上或减去x和4积的2倍,故2(m−5)=±8,∴m=9或1.【解答】解:∵(x±4)2=x2±8x+16,∴在x2+2(m−5)x+16中,2(m−5)=±8,解得:m=9或1.故选C.3.【答案】A【考点】完全平方公式与平方差公式的综合【解析】此题暂无解析【解答】解:①(a−b)2n=[(b−a)2]n=(b−a)2n (n为正整数),故①正确;②(−1+2x)(−1−2x)=1−4x2,故②错误;③(a−b)2=(b−a)2,故③错误;④(ab−2b)(−ab−2b)=4b2−a2b2;故④错误.所以正确的等式有1个.故选A.4.【答案】D【考点】平方差公式的几何背景【解析】利用正方形的面积公式可知阴影部分面积为a2−b2,根据矩形面积公式可知阴影部分面积为(a+b)(a−b),二者相等,即可解答.【解答】如图b,阴影部分的面积=(a+b)(a−b);如图a,阴影部分的面积=a2−b2;这一过程可以验证:a2−b2=(a+b)(a−b).5.【答案】C【考点】完全平方公式的几何背景【解析】由大正方形的面积-小正方形的面积=剩余部分的面积,进而可以证明平方差公式.【解答】解:S I=a2−2S II−S III,即(a−b)2=a2−2(a−b)b−b2=a2−2ab+b2.故选:C.6.【答案】A【考点】立方公式【解析】首先利用立方差公式得出原式=(a+b)(a2−ab+b2),进而利用完全平方公式得出关于a+b与ab的形式,求出即可.【解答】解:a3+b3=(a+b)(a2−ab+b2),=(a+b)(a2+2ab+b2−3ab),=(a+b)[(a+b)2−3ab],∵a3+b3=9,a+b=3,∴3×(32−3ab)=9,解得:ab=2.故选A.7.【答案】D【考点】完全平方公式【解析】直接利用完全平方公式分别判断各式得出答案即可.【解答】解:①(2x+y)2=4x2+y2+4xy,故此选项错误;②(a −3b)2=a 2−6ab +9b 2,故此选项错误;③(−x −y)2=x 2+2xy +y 2,故此选项错误;④(x −12)2=x 2−x +14,故此选项错误.故错误的有4个.故选:D .8.【答案】A【考点】平方差公式完全平方公式与平方差公式的综合【解析】首先把199×1999变为(1992−1)(1992+1),然后利用平方差公式化简,最后合并即可求出结果.【解答】解:19922−199+1993=19922⋅(1992−1)(1992+1)=19922−19922+=故选A .9.【答案】A【考点】完全平方数【解析】因为m 2+m +7是完全平方数,所以可设m 2+m +7=k 2(k 为正整数),则m 2+m +7−k 2=0,解得m =−1±√4k 2−272,由m 为整数,应有4k 2−27=n 2(n 为正整数),据此求解.【解答】解:设m 2+m +7=k 2(k 为正整数),则m 2+m +7−k 2=0,解得,m =−1±√4k 2−272,∵ m 为整数,∴ 4k 2−27=n 2(n 为正整数),∴ (2k +n)(2k −n)=27,∴ {2k +n =272k −n =1或{2k +n =92k −n =3, 解得{n =13k =7或{n =3k =3, ∴ m 1=−7,m 2=6,m 3=−2,m 4=1,∴ m 1m 2m 3m 4=−7×6×(−2)×1=84.故选A .10.【答案】D【考点】平方差公式完全平方公式完全平方公式与平方差公式的综合【解析】分别利用平方差公式及完全平方公式化简得到结果,即可做出判断.【解答】解:A选项运用平方差公式(2a+b)(2a−b)=(2a)2−b2=4a2−b2B选项运用平方差公式(−2a+3)(3+2a)=32−(2a)2=9−4a2C选项是运用了完全平方公式计算正确;D选项运用完全平方公式计算(−1−3x)2=(1−3x)2=1+6x+9x2,所以D选项错误.故选D.二、填空题(本题共计 10 小题,每题 3 分,共计30分)11.【答案】(a+b)2=a2+2ab+b2【考点】完全平方公式的几何背景【解析】此题观察一个正方形被分为四部分,把这四部分的面积相加就是边长为a+b的正方形的面积,从而得到一个公式.【解答】解:由图知,大正方形的边长为a+b,∴大正方形的面积为,(a+b)2,根据图知,大正方形分为:一个边长为a的小正方形,一个边长为b的小正方形,两个长为b,宽为a的长方形,∵大正方形的面积等于这四部分面积的和,∴(a+b)2=a2+2ab+b2,故答案为:(a+b)2=a2+2ab+b2.12.【答案】15(2x−3y)(3x−2y)(y−x)【考点】立方公式【解析】利利用立方差公式A3+B3+C3−3ABC=(A+B+C)(A2+B2+C2−BC−CA−AB),从而得出A3+B3+C3=3ABC,即(2x−3y)3+(3x−2y)3−125(x−y)3符合上述公式,即可得出答案.【解答】解:∵A3+B3+C3−3ABC=(A+B+C)(A2+B2+C2−BC−CA−AB),若A+B+C=0,便有A3+B3+C3=3ABC,令A=2x−3y,B=3x−2y,C=5y−5x,则符合上述条件,易得A3+B3+C3=3ABC.∴(2x−3y)3+(3x−2y)3−125(x−y)3=3(2x−3y)(3x−2y)[5(y−x)],=15(2x−3y)(3x−2y)(y−x),故答案为:15(2x−3y)(3x−2y)(y−x).13.【答案】x2−4y2【考点】平方差公式【解析】符合平方差公式结构,直接利用平方差公式计算即可.【解答】解:(x+2y)(x−2y)=x2−4y2.故答案为:x2−4y2.14.【答案】244【考点】完全平方公式完全平方公式与平方差公式的综合【解析】已知第一个等式左边利用完全平方公式展开,将ab的值代入计算即可求出a2+b2的值.【解答】(a+b)2=a2+2ab+b2=256,ab=6∴a2+b2=24A故答案为24415.【答案】13(2×101007+10−1007)【考点】完全平方数【解析】先将式子变形为19×(4×102014+4+10−2014),再根据完全平方公式即可得到原式=[13(2×101007+10−1007)]2.依此即可求解.【解答】解:44 (44)⏟2014个4.88 (89)⏟2013个8=4×11...11+8×0.11...1+0.00...1(2014个1)=49×(99...9)+89×(0.99...9)+0.00...1(2014个9)=49×(102014−1)+89×(1−0.00...1)+0.00 (1)=49×102014−49+89−89×10−2014+10−2014=19×(4×102014+4+10−2014)=[13(2×101007+10−1007)]2.故答案为:13(2×101007+10−1007).16.【答案】③【考点】平方差公式的几何背景【解析】第一个图形中阴影部分的面积计算方法是边长是a的正方形的面积减去边长是b的小正方形的面积,等于a2−b2;第二个图形阴影部分是一个长是(a+b),宽是(a−b)的长方形,面积是(a+b)(a−b);这两个图形的阴影部分的面积相等.【解答】解:∵图甲中阴影部分的面积=a2−b2,图乙中阴影部分的面积=(a+b)(a−b),而两个图形中阴影部分的面积相等,∴a2−b2=(a+b)(a−b).故可以验证③.故答案为:③.17.【答案】648【考点】完全平方数立方公式【解析】根据n2是完全平方数、n3是立方数即可设n=2m2=3k3(m,k是正整数),则k是偶数,即可求得n的最小正数值,即可解题.【解答】解:∵n2是完全平方数,n3是立方数,∴设n=2m2=3k3(m,k是正整数).由此k应是偶数,又要求n的最小正数值,∴只需取k=2,4,6试算,再注意m为3的倍数,即n为9的倍数,∴只需从6,12,试算即可,当k=6时,n=648即为所求.故答案为:648.18.【答案】732【考点】平方差公式【解析】原式变形后,利用平方差公式计算即可得到结果.【解答】解:原式=(7−1)(7+1)(72+1)(74+1)(78+1)(716+1)+1=(72−1)(72+1)(74+1)(78+1)(716+1)+1=(74−1)(74+1)(78+1)(716+1)+1=(78−1)(78+1)(716+1)+1=(716−1)(716+1)+1=732−1+1=732.故答案为:73219.【答案】x2−y2+18y−81【考点】平方差公式完全平方公式【解析】先变形,再根据平方差公式进行计算,最后根据完全平方公式展开即可.【解答】解:原式=[−(y−9)][x+(y−9)]=x2−(y−9)2=x2−y2+18y−81,故答案为:x2−y2+18y−81.20.【答案】10.4【考点】完全平方公式的几何背景【解析】直接利用已知图形,用总面积减去4个正方形面积进而得出答案.【解答】解:由题意可得:剩余部分的面积为:a2−4b2=(a+2b)(a−2b),将a=3.6,b=0.8代入上式可得:原式=(3.6+2×0.8)(3.6−2×0.8)=10.4.故答案为:10.4.三、解答题(本题共计 20 小题,每题 10 分,共计200分)21.【答案】解:假设存在这样的正整数m,由题意得:m+100=x2①;m+129=y2②,②-①得y2−x2=29.所以(y+x)(y−x)=29×1.只有当x +y =29,y −x =1时,成立,即{x +y =29y −x =1, 解得:{y =15x =14, 所以m =x 2−100=142−100=196−100=96,∴ 存在正整数96,当它加上100时是一个完全平方数,当它加上129时是另一个完全平方数.【考点】完全平方数【解析】利用分解因式求不定方程的整数解,再求m 的值,进而得出答案.【解答】解:假设存在这样的正整数m ,由题意得:m +100=x 2①;m +129=y 2②,②-①得y 2−x 2=29.所以(y +x)(y −x)=29×1.只有当x +y =29,y −x =1时,成立,即{x +y =29y −x =1, 解得:{y =15x =14, 所以m =x 2−100=142−100=196−100=96,∴ 存在正整数96,当它加上100时是一个完全平方数,当它加上129时是另一个完全平方数.22.【答案】a 2−b 2a −b ,a +b ,(a +b)(a −b)(a +b)(a −b)=a 2−b 2(4)10.3×9.7=(10+0.3)(10−0.3)=100−0.09=99.91;(x +2y −3)(x −2y +3)=[x +(2y −3)][x −(2y −3)]=x 2−(2y −3)2=x 2−(4y 2−12y +9)=x 2−4y 2+12y −9.【考点】平方差公式的几何背景【解析】(1)阴影部分的面积等于大正方形的面积减去小正方形的面积,据此即可写出;(2)宽是第一个图中的矩形的宽,长是两矩形的长的和,根据矩形的面积公式即可得到;(3)根据(1)(2)表示的两个图形的面积相等,即可得到公式;(4)10.3×9.7=(10+0.3)(10−0.3),(x +2y −3)(x −2y +3)=[x +(2y −3)][x −(2y −3)],再利用(3)得到的公式,即可计算.【解答】解:(1)a 2−b 2;(2)宽是:a−b,长是:a+b,面积是:(a+b)(a−b);(3)(a+b)(a−b)=a2−b2;(4)10.3×9.7=(10+0.3)(10−0.3)=100−0.09=99.91;(x+2y−3)(x−2y+3)=[x+(2y−3)][x−(2y−3)]=x2−(2y−3)2=x2−(4y2−12y+9)=x2−4y2+12y−9.23.【答案】解:(1)正方形PEBM和正方形PFDN的面积之和为:a2+b2;矩形PEAN与矩形PMCF的面积之和为:ab+ab=2ab;a2+b2−2ab=(a−b)2>0,∴正方形PEBM和正方形PFDN的面积之和大于矩形PEAN与矩形PMCF的面积之和;(2)当点P在中点时,它们的面积之和相等;(3)S△EMD=12(a+b)2−12b(a+b)−14a2=12a2+ab+12b2−12ab−12b2−14a2=1 4a2+12ab.【考点】完全平方公式的几何背景【解析】(1)根据正方形及矩形的面积公式即可得出答案;(2)当a=b时面积相等;(3)根据直角三角形面积公式即可求解.【解答】解:(1)正方形PEBM和正方形PFDN的面积之和为:a2+b2;矩形PEAN与矩形PMCF的面积之和为:ab+ab=2ab;a2+b2−2ab=(a−b)2>0,∴正方形PEBM和正方形PFDN的面积之和大于矩形PEAN与矩形PMCF的面积之和;(2)当点P在中点时,它们的面积之和相等;(3)S△EMD=12(a+b)2−12b(a+b)−14a2=12a2+ab+12b2−12ab−12b2−14a2=1 4a2+12ab.24.【答案】证明:设最小的自然数为n,则有n×(n+1)×(n+2)×(n+3)+1=[n×(n+3)]×[(n+1)×(n+2)]+1=(n2+3n)(n2+3n+2)+1=(n2+3n)2+2(n2+3n)+1=(n2+3n+1)2.故四个连续自然的积与1之和必定是一个完全平方数.【考点】完全平方数【解析】可设最小的自然数为n,则四个连续自然数的积加l,可以写成n×(n+1)×(n+ 2)×(n+3)+1,再转化为[n×(n+3)]×[(n+1)×(n+2)]+1=(n2+3n)(n2+ 3n+2)+1=(n2+3n)2+2(n2+3n)+1=(n2+3n+1)2.从而得以证明.【解答】证明:设最小的自然数为n,则有n×(n+1)×(n+2)×(n+3)+1=[n×(n+3)]×[(n+1)×(n+2)]+1=(n2+3n)(n2+3n+2)+1=(n2+3n)2+2(n2+3n)+1=(n2+3n+1)2.故四个连续自然的积与1之和必定是一个完全平方数.25.【答案】(a2−4ab+4b2)m2或(a−2b)2m2.【考点】完全平方公式的几何背景【解析】利用正方形的面积减去四周围坝的面积,四个角处都多减了一次,所以再加上四个边长为b的小正方形的面积就是喷泉水池的面积,即可得出答案.【解答】解:喷泉水池的面积为:a2−4ab+4b2或(a−2b)2.26.m−n,(m−n)2,(m+n)2−4mn,(m−n)2=(m+n)2−4mn.m−n,(m−n)2,(m+n)2−4mn(m+n)2−4mn=(m−n)2(4)(a−b)2=(a+b)2−4ab=72−4×5=29.【考点】完全平方公式的几何背景【解析】(1)根据观察图形,可得小正方形的边长;(2)根据正方形的面积公式,可得方法一,根据面积的和差,可得方法二;(3)根据同一图形的面积的两种表示方法,可得答案;(4)根据规律,可得答案.【解答】解:(1)图(2)中阴影部分的正方形的边长等于多少?m−n;(2)请用两种不同的方法求图(2)中阴影部分面积.方法一:(m−n)2;方法二:(m+n)2−4mn;(3)观察图(2),你能写出下列三个代数式之间的等量关系吗?代数式:(m+n)2,(m−n)2,4mn.(m+n)2−4mn=(m−n)2;(4)(a−b)2=(a+b)2−4ab=72−4×5=29.27.【答案】解:(23x+3)(3−23x)+(23x−1)(23x+1),=9−49x2+49x2−1,=8,所以,x=2007时,原式=8.【考点】平方差公式【解析】利用平方差公式计算,再把x=2007代入进行计算即可得解.【解答】解:(23x+3)(3−23x)+(23x−1)(23x+1),=9−49x2+49x2−1,=8,所以,x=2007时,原式=8.28.解:(1)(x−y)2=(x+y)2−4xy=25∴x−y=±5.(2)x2+y2=(x+y)2−2xy=37,所以原式=xy(x2+y2)=222.【考点】完全平方公式【解析】此题暂无解析【解答】解:(1)(x−y)2=(x+y)2−4xy=25∴x−y=±5.(2)x2+y2=(x+y)2−2xy=37,所以原式=xy(x2+y2)=222.29.【答案】解:(1)原式=20122−2×2012×2011+20112 =(2012−2011)2=1.(2)原式=20192−(2019−1)×(2019+1)=20192−(20192−1)=1.【考点】完全平方数平方差公式完全平方公式【解析】此题暂无解析【解答】解:(1)原式=20122−2×2012×2011+20112 =(2012−2011)2=1.(2)原式=20192−(2019−1)×(2019+1)=20192−(20192−1)=1.30.【答案】解:原式=(2x−y)(2x+y)(4x2+y2)=(4x2−y2)(4x2+y2)=16x4−y4.【考点】平方差公式先交换位置,再根据平方差公式进行计算即可.【解答】解:原式=(2x−y)(2x+y)(4x2+y2)=(4x2−y2)(4x2+y2)=16x4−y4.31.【答案】解:两位的完全平方数只有:16,25,36,49,64,81,如果一个数的十位数字是奇数且是完全平方数,则个位数字一定是6,也就是16在个位和十位位置,完全平方数具有:奇数的平方是8n+1型;偶数的平方为8n或8n+4型,且根据是8的倍数的特征是整数末三位是8的倍数,而任意三个两位的完全平方数连在一起写,是8的倍数的只有166464,646416,故所有这样的六位完全平方数是:166464,646416.【考点】完全平方数【解析】首先得出所有的两位的完全平方数,再利用完全平方数的特征奇数的平方是8n+1型;偶数的平方为8n或8n+4型,进而得出答案.【解答】解:两位的完全平方数只有:16,25,36,49,64,81,如果一个数的十位数字是奇数且是完全平方数,则个位数字一定是6,也就是16在个位和十位位置,完全平方数具有:奇数的平方是8n+1型;偶数的平方为8n或8n+4型,且根据是8的倍数的特征是整数末三位是8的倍数,而任意三个两位的完全平方数连在一起写,是8的倍数的只有166464,646416,故所有这样的六位完全平方数是:166464,646416.32.【答案】解:设甲年龄为x岁,乙年龄为y岁,可得,100x+y=m2,100(x+31)+y+31=n2,两式相减得100×31+31=n2−m2,31×101=(n−m)(n+m),∴{n+m=101n−m=31,解得,{n=66m=35,∴100x+y=352=1225,∴x=12,y=25,故甲年龄为12+31=42岁,乙年龄为25+31=56岁.【考点】完全平方数【解析】设甲年龄为x岁,乙年龄为y岁,可得100x+y=m2,100(x+31)+y+31=n2,两式相减因式分解后得到31×101=(n−m)(n+m),得到方程组后解答即可.解:设甲年龄为x 岁,乙年龄为y 岁,可得,100x +y =m 2,100(x +31)+y +31=n 2,两式相减得100×31+31=n 2−m 2,31×101=(n −m)(n +m),∴ {n +m =101n −m =31, 解得,{n =66m =35, ∴ 100x +y =352=1225,∴ x =12,y =25,故甲年龄为12+31=42岁,乙年龄为25+31=56岁.33.【答案】m −n ,(m −n)2,(m +n)2−4mn ,(m +n)2−(m −n)2=4mn(m −n)2的值为20【考点】完全平方公式的几何背景【解析】(1)①根据拼图即可得图②中的阴影部分的正方形的边长;②根据正方形和长方形的面积即可用两种不同的方法表示图②中阴影部分的面积: ③结合图②,即可写出三个代数式(m +n)2,(m −n)2,mn 之间的等量关系;(2)根据(1)题中的等量关系,若m +n =6,m =4,即可求(m −n)2的值.【解答】①观察图②中的阴影部分的正方形的边长为:m −n .故答案为m −n ;②两种不同的方法表示图②中阴影部分的面积:方法1:(m −n)2;方法2:(m +n)2−4mn故答案为:(m −n)2、(m +n)2−4mn ;③观察图②,三个代数式(m +n)2,(m −n)2,mn 之间的等量关系:(m +n)2=(m −n)2+4mn .故答案为:(m +n)2=(m −n)2+4mn ;根据(1)题中的等量关系:把m +n =6,m =4代入:(m +n)2=(m −n)2+4mn ,∴ (m −n)2=36−16=20.答:(m −n)2的值为20.34.【答案】a 2−b 2=(a +b)(a −b)解:由题意可得:a −b =3.∵ a 2−b 2=(a +b)(a −b)=57.∴ a +b =19.∴ {a +b =19,a −b =3.解得{a =11,b =8.∴a,b的值分别是11,8.【考点】平方差公式的几何背景【解析】(1)根据两个图形的面积即可列出等式;(2)根据题意得到a−b=3,由面积相差57得到a+b=19,解a与b组成的方程组求解即可.【解答】解:(1)图1阴影面积=a2−b2,图2的阴影面积=(a+b)(a−b)a2−b2=(a+b)(a−b)故答案为:a2−b2=(a+b)(a−b)35.【答案】解:由图可得:(a−b)2=a2−2ab−b2.【考点】完全平方公式的几何背景【解析】观察图形可以看出,阴影部分是一个正方形,阴影部分的面积=(a−b)2;从图中还可以发现,阴影部分是一个大正方形减两个长方形减一个小正方形得到的,阴影部分的面积=大正方形的面积−2个长方形的面积-小正方形的面积,即可解答.【解答】解:由图可得:(a−b)2=a2−2ab−b2.36.【答案】解:原式=20072−(2007−1)(2007+1)=20072−20072+1=1.【考点】平方差公式【解析】原式变形后,利用平方差公式即可得到结果.【解答】解:原式=20072−(2007−1)(2007+1)=20072−20072+1=1.37.【答案】12(2)设2021−x=c,x−2018=d,则(2021−x)2+(x−2018)2=c2+d2=2020,c+d=(2021−x)+(x−2018)=3,∴2(2021−x)(x−2018)=2cd=(c+d)2−(c2+d2)=32−2020=−2011,∴(2021−x)(x−2018)=cd=−2011.2384【考点】完全平方公式的几何背景完全平方公式【解析】1【解答】解:(1)设2020−x=a,x−2016=b,则(2020−x)(x−2016)=ab=2,a+b=(2020−x)+(x−2016)=4,∴(2020−x)2+(x−2016)2=a2+b2=(a+b)2−2ab=42−2×2=12.故答案为:12.(2)设2021−x=c,x−2018=d,则(2021−x)2+(x−2018)2=c2+d2=2020,c+d=(2021−x)+(x−2018)=3,∴2(2021−x)(x−2018)=2cd=(c+d)2−(c2+d2)=32−2020=−2011,∴(2021−x)(x−2018)=cd=−2011.2(3)由题意得,CF=20−x,CE=12−x,CF⋅CE=(20−x)(12−x)=160,∴图中阴影部分的面积和为:(20−x)2+(12−x)2.设20−x=e,12−x=f,则(20−x)(12−x)=ef=160,e−f=(20−x)−(12−x)=8,(20−x)2+(12−x)2=e2+f2=(e−f)2+2ef=82+2×160=384.故答案为:384.38.【答案】解:(x−2y)(2y+x)=x2−(2y)2=x2−4y2.【考点】平方差公式【解析】根据平方差公式(a+b)(a−b)=a2−b2进行计算即可.解:(x−2y)(2y+x)=x2−(2y)2=x2−4y2.39.【答案】解:2(3+1)(32+1)(34+1)(38+1),=(3−1)(3+1)(32+1)(34+1)(38+1),=(32−1)(32+1)(34+1)(38+1),=(34−1)(34+1)(38+1),=(38−1)(38+1),=316−1,.【考点】平方差公式【解析】根据平方差公式,可把2看成是(3−1),再根据平方差公式即可算出结果.【解答】解:2(3+1)(32+1)(34+1)(38+1),=(3−1)(3+1)(32+1)(34+1)(38+1),=(32−1)(32+1)(34+1)(38+1),=(34−1)(34+1)(38+1),=(38−1)(38+1),=316−1,.40.【答案】解:(1)1001×999+1=(1000+1)×(1000−1)+1=10002−12+1=1000000;(2)20102−2011×2009=20102−(2010+1)×(2010−1)=20102−(20102−1)=1.【考点】平方差公式【解析】(1)把所求式子中1001变形为(1000+1)和999变形为(1000−1),得到两数之和与两数之差的积满足平方差公式的特点,从而利用平方差公式计算即可求出值;(2)把所求式子中的2001变形为(2000+1),2009变形为(2000−1),得到两数之和与两数之差的积满足平方差公式的特点,从而利用平方差公式计算即可求出值.【解答】解:(1)1001×999+1=(1000+1)×(1000−1)+1=10002−12+1=1000000;(2)20102−2011×2009=20102−(2010+1)×(2010−1)=20102−(20102−1)。
数学初二乘法公式练习题乘法公式是数学中非常基础也非常重要的一部分,它在解决实际问题、计算数值等方面起到了重要的作用。
接下来,我将为你提供一些数学初二乘法公式的练习题。
练习题一:计算以下乘法公式的值:1. 67 × 542. 132 × 873. 345 × 924. 789 × 635. 205 × 789练习题二:计算以下乘法公式的值:(74 × 5) × 61. 67 × (34 × 2)2. 439 × (53 × 7)3. (246 × 9) × 24. 321 × (46 × 3)5. (189 × 7) × 4练习题三:用乘法展开以下的乘法公式:1. (a + b) × c2. (m - n) × p3. (2x + 3y) × z4. (4m - 6n) × k5. (p + q) × (r - s)练习题四:通过因式分解,将以下乘法公式化简:1. 5x + 10y2. 4m - 8n3. 2ab + ac4. 8pq - 16qr5. x^2 - y^2练习题五:解决以下实际问题:1. 小明买了5个苹果,每个苹果的价格是4块钱。
他支付了多少钱?2. 一包巧克力有8块小块,小明买了6包巧克力。
他一共买了多少块巧克力?3. 一辆汽车以每小时60公里的速度行驶,沿着一条公路行驶6小时。
它总共行驶了多少公里?4. 小华用3个小时跑完了一本300页的书。
他每小时阅读多少页?5. 一块布的长度是5米,宽度是3米。
它的面积是多少平方米?希望以上乘法公式练习题能够帮助你巩固数学初二乘法知识。
通过不断的练习和理解,相信你对乘法公式的掌握将更加熟练。
祝你学习进步!。
人教版八年级上册数学14.2乘法公式同步练习第1课时平方差公式1.若x²−y²=4,则x+y²x−y²的值是()A.4B.8C.16D.642.下列多项式相乘不能用平方差公式计算的是()A.(4x-3y)(3y-4x)B.(-4x+3y)(-4x-3y)C.(3y+2x)(2x-3y)D.−14x+2y+2y3.已知(x+2)(x--2)--2x=1,则2x²−4x+3的值为()A.13B.8C.--3D.54.若a=2022º,b=2021×2023-2022²,c=−×,则a,b,c的大小关系是()A.a<b<cB.b<a<cC.c<b<aD.b<c<a5.计算:x+1x−1x²+1=.6.已知a--b=2,则a²−b²−4a的值为7.运用平方差公式计算:(1)9.9×10.1(2)(5ab-3xy)(-3xy-5ab)(3)31×29(4)(3m-2n)(-3m-2n)8.如图,大正方形ABCF与小正方形EBDH的面积之差是40,则涂色部分的面积是()A.20B.30C.40D.609.若(3a+3b+1)(3a+3b--1)=899,则a+b=.10.[3−1×3+1×32+1×34+1×⋯×3³²+1+1]÷3的个位上的数字为.11.如果a,b为有理数,那么2a²−a−b(a+b)-[(2-a)(a+2)+(-b-2)(2-b)]的结果与b的值有关吗?12.先化简,再求值:(a+2b)(a—2b)—(--2a+3b)(-2a-3b)+(--a-b)(b-a),其中a=2,b=3.13.阅读材料:乐乐遇到一个问题:计算(2+1)×2²+1×2⁴+1.经过观察,乐乐答案讲解发现如果将原式进行适当变形后,可以出现特殊的结构,进而可以运用平方差公式解决问题,具体解法如下:2+1×2²+1×2⁴+1=2−1×2+1×2²+1×2⁴+1=2²−1×2²+1×2⁴+1=2¹−1×2⁴+1=2⁸−1.根据乐乐解决问题的方法,请你试着计算下列各题:12+1×2²+1×2⁴+1×2⁸+1×2¹⁶+1.23+1×3²+1×3⁴+1×3⁸+1×3¹⁶+1.14.(1)将图①中的涂色部分裁剪下来,重新拼成一个如图②所示的长方形,通过比较图①②中涂色部分的面积,可以得到的整式乘法公式为(2)运用你所得到的乘法公式,完成题目:①若x²−9y²=12,x+3y=4,求x-3y的值.②计算:103×97.(3)计算:1−×1−×1−×⋯×1×1−.第2课时完全平方公式1.下列关于104²的计算方法中,正确的是()A.104²=100²+4²B.104²=100+4×100−4C.104²=100²+100×4+4²D.104²=100²+2×100×4+4²2.我们在学习许多公式时,可以用几何图形来推理和验证.观察下列图形,可以推出公式a−b²=a²−2ab+b²的是()3.若x=y+3,xy=4,则.x²−3xy+y²的值为4.已知x²−2x−2=0,则x−1²+2021=5.运用乘法公式计算:1.x+3x−3x²−92.−x−5²−2x+3²3.1+12x21−12x26.已知3a−b=5,9a²−7ab+b²=14,则ab的值为()A.1B.2C.9D.117.已知长方形的长和宽分别为a和b,长方形的周长和面积分别为20和24,则a²+b²的结果为()A.64B.52C.48D.448.已知a,b满足等式x=3a²−2a+4,y=2a²+4a--5,则x,y的大小关系是()A.x=yB.x>yC.x<yD.x≥y9.先化简,再求值:[4xy−1²−xy+2(2−xy)]÷xy,其中x=2,y=-0.3.10.已知2024−x²+x−2023²=9,则(2024-x)(x-2023)的值为.11.已知x+1x=3,求下列各式的值:1x4+1x4.2x.12.如图,将一块大长方形铁皮切割成九块(虚线代表切痕),其中两块是边长都为m的大正方形,两块是边长都为n的小正方形,五块是(第10题)长、宽分别为m,n的小长方形,且m>n,切痕的总长为42,每块小长方形的面积为9,则(m-n)²的值为.13.如图①,有A型、B型正方形卡片和C型长方形卡片各若干张.(1)如图②,用1张A型卡片,2张答案讲解B型卡片,3张C型卡片拼成一个长方形,利用两种方法计算这个长方形的面积,可以得到一个等式:(2)选取1张A型卡片,8张C型卡片,张B型卡片,可以拼成一个正方形,这个正方形的边长用含a,b的式子表示为.(3)如图③,正方形的边长分别为m,n,m+2n=10,mn=12,求涂色部分的面积.完全平方公式经过适当的变形,可以用来解决很多数学问题.14.例如:若a+b=3,ab=1,求a²+b²的值.解:∵a+b=3,ab=1,∴a+b²=9,2ab=2.∴a²+b²+2ab=9.∴a²+b²=7.根据上面的解题思路与方法,还可以解决下面的几何问题:如图,C是线段AB上的一点,分别以AC,BC为边向两侧作正方形ACDE与正方形BCFG.设AB=8,两个正方形的面积和为40,求△AFC的面积.。
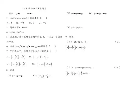
14.2 乘法公式同步练习1.填空. 2(1)_______1x x -=-2. 2200720062008-⨯的计算结果是( ) A.1 B.-1 C.2 D.-23. 简便计算:10397⨯. 4 2(2)(2)(4)b b b +-+5. 试说明:两个连续奇数的积加上1,一定是一个偶数的平方.6. 方程22(21)(13)5(1)(1)x x x x ---=-+的解是()7. 下列各式中,能用平方差公式计算的是( ) A.1122a b a b ⎛⎫⎛⎫-- ⎪⎪⎝⎭⎝⎭ B.1122a b a b ⎛⎫⎛⎫--+ ⎪⎪⎝⎭⎝⎭C.1122a b a b ⎛⎫⎛⎫--- ⎪⎪⎝⎭⎝⎭D.1122a b a b ⎛⎫⎛⎫--+ ⎪⎪⎝⎭⎝⎭8. 计算:(1)()(2)a b a +-; (2)1122x x ⎛⎫⎛⎫-+ ⎪⎪⎝⎭⎝⎭;(3)()()m n m n +-; (4)(0.1)(0.1)x x -+;(5)()()x y y x +-+.9. 计算: (1)(25)(25)a a ---; (2)11113232a b a b ⎛⎫⎛⎫-+-- ⎪⎪⎝⎭⎝⎭;(3)(53)(35)ab x x ab ---; (4)11122(8)224x x x x ⎛⎫⎛⎫-+-+ ⎪⎪⎝⎭⎝⎭;(5)111()933x y x y x y x y ⎛⎫⎛⎫⎛⎫----+ ⎪ ⎪⎪⎝⎭⎝⎭⎝⎭.10. 利用平方差公式计算:(1)3129⨯; (2)9.910.1⨯;(3)98102⨯; (4)1003997⨯. 11. 计算:(1)(34)(34)a b a b +-; (2)()()a b c a b c +-++;(3)112233a c b a c b ⎛⎫⎛⎫-++--+ ⎪⎪⎝⎭⎝⎭.12. 利用平方差公式计算:(1)2733⨯; (2)5.9 6.1⨯;(3)99101⨯; (4)1005995⨯.13 如图是四张全等的矩形纸片拼成的图形,请利用图中空白部分面积的不同表示方法,写出一个关于a 、b 的恒等式 . 14计算. 2302=_________ 15. 计算22(4)a b -=_________16. 若2154a b ab +==,,则22a b +=_________17. 如果226x x k ++恰好是一个整式的平方,那么常数k 的值为( )A.3 B.3- C.3± D.9 18. 22()x y --等于( )A.222x xy y --+ B.4222x x y y --+ C.4222x x y y ++ D.422x xy y -- 19 计算题: (1)2(23)a b c --; (2)2(2)(2)()x y z x y z x y z +----+-.20. 已知2222263()()x y xy x y x y +==+-和,,求的值.21. 已知2(1)()5a a a b ---=,求222a b ab +-的值.22. 计算2212x ⎛⎫+ ⎪⎝⎭等于( ) A.42124x x ++B.4214x x -+C.4214x x ++ D.42124x x -+23. 若14a a -=,则221a a+=_________.24. 代数式26()a b -+的最大值是_______,这时a 与b 的关系为________.25. 计算:2222x y x y +-⎛⎫⎛⎫+ ⎪ ⎪⎝⎭⎝⎭.26. 已知5,6,a b ab +==-求下列各式的值.(1)22a b +; (2)22a ab b -+.27 在多项式241x +中,添加一个单项式,使其成为一个完全平方式.则添加的单项式是 (只写出一个即可)28. 62()()ab ab ÷= ( )A.33a bB.44a bC.34a bD.43a b29.已知:如图,现有a a⨯、b b⨯的正方形纸片和a b⨯的矩形纸片各若干块,试选用这些纸片(每种纸片至少用一次)在下面的虚线方框中拼成一个矩形(每两个纸片之间既不重叠,也无空隙,拼出的图中必须保留拼图的痕迹),使拼出的矩形面积为22252a ab b++,并标出此矩形的长和宽.14.2 乘法公式同步练习1:(1)x-- 2:A3:9991 4:416b-5:设两个连续奇数为21n-,21n+,6.:D7:C8:(1)222a ba a b+--;(2)214x-;(3)22m n-;(4)aaabbb20.01x -;(5)22x y -. 9:(1)2254a -;(2)221194a b -;(3)222925x a b -;(4)24x --;(5)21029y xy -. 10:(1)(301)(301)9001899+-=-=; (2)(100.1)(100.1)1000.0199.99-+=-=; (3)(1002)(1002)1000049996-+=-=; (4)(10003)(10003)10000009999991+-=-=.11:(1)22916a b -; (2)22()a b c +-(或2222a ab b c ++-);(3)22123a b c ⎛⎫-+- ⎪⎝⎭22214493a ab b c ⎛⎫-+- ⎪⎝⎭或. 12:(1)891;(2)35.99;(3)9999;(4)999975. 13:如:22()4()a b ab a b +-=-. 14:91204 15:224168a ab b -+ 16:114217:C 18:C19:(1)222494612a b c ab ac bc ++--+;(2)2522y xy yz --+. 20:2()32x y +=,2()20x y -=21:25222:C 23:18 24:6,0a b +=或a b ,互为相反数25:222x y +.26:(1)222()2251237a b a b ab +=+-=+=;(2)()()22223536251843a ab b a b ab -+=+-=-⨯-=+=.27:4x ±或1-或24x -28:B 29:说明:答案不唯一,画图正确,不论画在什么位置,只要符合题意即可.不标出相应尺寸的扣2分,标错1个或少标1个扣1分.拼法一拼法二。
运用乘法公式进行计算大题专练(40题)一.解答题(共40小题)1.利用乘法公式计算下列各题:(1)(2x+y)(2x﹣y);(2)(23x+5y)(23x−5y);(3)(x+3)(x﹣3)(x2+9);(4)(x−12)(x2+14)(x+12).【答案】见试题解答内容【分析】(1)利用平方差公式进行计算即可得解;(2)利用平方差公式进行计算即可得解;(3)二次利用平方差公式进行计算即可得解;(4)先把第一项和第三项利用平方差公式计算,然后再次利用平方差公式进行计算即可得解.【解答】解:(1)(2x+y)(2x﹣y)=(2x)2﹣y2=4x2﹣y2;(2)(23x+5y)(23x﹣5y)=(23x)2﹣(5y)2=49x2﹣25y2;(3)(x+3)(x﹣3)(x2+9)=(x2﹣9)(x2+9)=x4﹣81;(4)(x−12)(x2+14)(x+12)=(x2−14)(x2+14)=x4−116.【点评】本题主要考查平方差公式:(1)两个两项式相乘;(2)有一项相同,另一项互为相反数,熟记公式结构是解题的关键.2.利用平方差公式计算:(1)31×29;(2)9.9×10.1;(3)98×102;(4)1003×997.【答案】见试题解答内容【分析】这是两个二项式相乘,把这两个二项式转化为有一项完全相同,另一项互为相反数.相乘的结果应该是:右边是乘式中两项的平方差(相同项的平方减去相反项的平方).【解答】解:(1)(30+1)(30﹣1)=900﹣1=899;(2)(10﹣0.1)(10+0.1)=100﹣0.01=99.99;(3)(100﹣2)(100+2)=10000﹣4=9996;(4)(1000+3)(1000﹣3)=1000000﹣9=999991.【点评】本题主要考查平方差公式:(1)两个两项式相乘;(2)有一项相同,另一项互为相反数,熟记公式结构是解题的关键.3.计算:(1)(3a+4b)(3a﹣4b);(2)(a+b﹣c)(a+b+c);(3)(−13a+c+2b)(−13a−c+2b).【答案】见试题解答内容【分析】本题根据平方差公式的运用,(a+b)(a﹣b)=a2﹣b2,套用公式解答本题.【解答】解:(1)(3a+4b)(3a﹣4b)=(3a)2﹣(4b)2=9a2﹣16b2;(2)(a+b﹣c)(a+b+c)=[(a+b)﹣c][(a+b)+c]=(a+b)2﹣c2;(3)(−13a+c+2b)(−13a−c+2b),=[(−13+2b)+c][(−13+2b)﹣c],=(−13a+2b)2−c2.【点评】本题主要考查了平方差公式的运用,套用公式即可解答本题,难度适中.4.计算:(1)(3a﹣2b)(9a+6b);(2)(2y﹣1)(4y2+1)(2y+1)【答案】见试题解答内容【分析】根据平方差公式(a+b)(a﹣b)=a2﹣b2,即可解答本题.【解答】解:(1)(3a﹣2b)(9a+6b)=3(3a+2b)(3a﹣2b)=3[(3a)2﹣(2b)2]=27a2﹣12b2;(2)(2y ﹣1)(4y 2+1)(2y +1)=(4y 2﹣1)(4y 2+1)=16y 4﹣1.【点评】本题考查了平方差公式的运用,比较简单.5.计算:(1)3(2a +1)(﹣2a +1)﹣(32a ﹣3)(3+32a ) (2)a 4﹣(1﹣a )(1+a )(1+a 2)(1+a )【答案】见试题解答内容【分析】(1)利平方差公式进行计算;(2)先利用平方差公式把式子展开,然后再进行加减运算.【解答】(1)3(2a +1)(﹣2a +1)﹣(32a ﹣3)(3+32a ) =3(1﹣4a 2)﹣(94a 2﹣9) =3﹣12a 2−94a 2+9=12−574a 2;(2)a 4﹣(1﹣a )(1+a )(1+a 2)(1+a )=a 4﹣(1﹣a 2)(1+a 2)(1+a )=a 4﹣(1﹣a 4)(1+a )=a 4﹣(1+a ﹣a 4﹣a 5)=2a 4+a 5﹣a ﹣1【点评】此题主要考查平方差公式的性质及其应用,是一道基础题,计算时要仔细.6.计算:(1)(a +b )(a ﹣2);(2)(x −12)(x +12);(3)(m +n )(m ﹣n );(4)(0.1﹣x )(0.1+x );(5)(x +y )(﹣y +x ).【答案】见试题解答内容【分析】根据平方差公式(a+b)(a﹣b)=a2﹣b2,可以用平方差公式计算的式子的特点是:两个二项式相乘,并且这两个二项式中有一项完全相同,另一项互为相反数.相乘的结果应该是:右边是乘式中两项的平方差(相同项的平方减去相反项的平方).即可解答本题.【解答】解:(1)(a+b)(a﹣2)=a2+ba﹣2a﹣2b,(2)(x−12)(x+12)=x2−1 4,(3)(m+n)(m﹣n)=m2﹣n2,(4)(0.1﹣x)(0.1+x)=0.01﹣x2,(5)(x+y)(﹣y+x)=x2﹣y2.【点评】本题考查了平方差公式的运用,两个二项式相乘,并且这两个二项式中有一项完全相同,另一项互为相反数,难度适中.7.计算:(1)(a+b)(﹣a+b)(a﹣b)(﹣a﹣b)=a4﹣2a2b2+b4;(2)(x+y)2﹣2(x+y)(x﹣y)+(x﹣y)2=4y2.【答案】见试题解答内容【分析】(1)观察发现(a+b)与(a﹣b)以及(﹣a+b)与(﹣a﹣b)符合平方差公式的结构特征,首先利用平方差公式计算(a+b)(a﹣b)与(﹣a+b)(﹣a﹣b),然后再利用完全平方公式计算.(2)把(x+y)看作公式中的a,把(x﹣y)看作公式中的b,则原式符合完全平方公式的特征,因此利用完全平方公式计算.【解答】解:(1)(a+b)(﹣a+b)(a﹣b)(﹣a﹣b),=(a+b)(a﹣b)(﹣a+b)(﹣a﹣b),=(a2﹣b2)(a2﹣b2),=a4﹣2a2b2+b4;(2)(x+y)2﹣2(x+y)(x﹣y)+(x﹣y)2,=[(x+y)﹣(x﹣y)]2,=(x+y﹣x+y)2,=4y2【点评】本题考查了平方差公式、完全平方公式,熟记公式结构是解题的关键,注意这两个公式中的a、b可以是单项式,也可以是多项式.8.计算:(1)a(a﹣3)﹣(﹣a+7)(﹣a﹣7)=﹣3a+49(2)(2m+n)(2m﹣n)﹣(﹣m+2n)(﹣m﹣2n)=3m2+3n2【答案】见试题解答内容【分析】(1)根据单项式乘多项式,平方差公式进行计算,然后再去括号,合并同类项即可;(2)利用平方差公式计算,然后再去括号,合并同类项即可.【解答】解:(1)a(a﹣3)﹣(﹣a+7)(﹣a﹣7),=a2﹣3a﹣(a2﹣49),=﹣3a+49;(2)(2m+n)(2m﹣n)﹣(﹣n)(﹣m﹣2n),=(4m2﹣n2)﹣(m2﹣4n2),=3m2+3n2.【点评】本题考查了单项式乘多项式,平方差公式,关键要找相同项和相反项,其结果是相同项的平方减去相反项的平方,熟记公式是解题的关键.9.计算:(1)(x+y)(x﹣y)+(y﹣z)(y+z)+(z﹣x)(z+x);(2)(3m2+5)(﹣3m2+5)﹣m2(7m+8)(7m﹣8)﹣(8m)2.【答案】见试题解答内容【分析】(1)先根据平方差公式,化简后再求和可得答案.(2)结合平方差公式的形式,先根据平方差公式计算,化简后再求和可得答案.【解答】解:(1)原式=(x2﹣y2)+(y2﹣z2)+(z2﹣x2)=0(2)原式=﹣(3m2+5)(3m2﹣5)﹣m2(7m+8)(7m﹣8)﹣(8m)2,=﹣(9m4﹣25)﹣m2(49m2﹣64)﹣64m2,=25﹣58m4.【点评】本题考查了平方差公式的实际运用,恰当的使用公式可以简化运算.10.计算:①(2x+3y)(2x﹣3y)②(﹣x﹣2y)(x﹣2y)③(x2−12)(x2+12)④(2a+3)2⑤(a+2b﹣c)(a﹣2b﹣c)⑥(a2+2b﹣c)2.【答案】见试题解答内容【分析】①②③利用平方差公式进行计算即可得解;④利用完全平方公式进行计算即可得解;⑤把(a﹣c)看作一个整体,利用平方差公式和完全平方公式进行计算即可得解;⑥把(2b+c【解答】解:①(2x+3y)(2x﹣3y)=(2x)2﹣(3y)2=4x2﹣9y2;②(﹣x﹣2y)(x﹣2y)=﹣[x2﹣(2y)2]=4y2﹣x2;③(x2−12)(x2+12)=(x2)2﹣(12)2=x4−1 4;④(2a+3)2=4a2+12a+9;⑤(a+2b﹣c)(a﹣2b﹣c)=[(a﹣c)+2b][(a﹣c)﹣2b]=(a﹣c)2﹣(2b)2=a2﹣2ac+c2﹣4b2;⑥(a2+2b﹣c)2=[a2+(2b﹣c)]2=a4+2a2(2b﹣c)+(2b﹣c)2=a4+4b2+c2+4a2b﹣2a2c﹣4bc.【点评】本题考查了平方差公式,运用平方差公式计算时,关键要找相同项和相反项,其结果是相同项的平方减去相反项的平方.11.计算:(1)(﹣3a﹣2b)(3a﹣2b)(2)(a+2b)(a﹣2b)(a2+4b2)(3)(x+3)2﹣(x﹣3)2(4)(a﹣b+c)2(5)(a﹣2b+c)(a+2b﹣c)【答案】见试题解答内容【分析】平方差公式:两个数的和与这两个数的差相乘,等于这两个数的平方差.即(a+b)(a﹣b)=a2﹣b2;完全平方公式:(a±b)2=a2±2ab+b2.【解答】解:(1)(﹣3a﹣2b)(3a﹣2b)=4b2﹣9a2;(2)(a+2b)(a﹣2b)(a2+4b2)=(a2﹣4b2)(a2+4b2)=a4﹣16b4;(3)(x+3)2﹣(x﹣3)2=(x+3+x﹣3)(x+3﹣x+3)=12x;(4)(a﹣b+c)2=(a﹣b)2+2c(a﹣b)+c2=a2﹣2ab+b2+2ac﹣2bc+c2;(5)(a﹣2b+c)(a+2b﹣c)=[a﹣(2b﹣c)][a+(2b﹣c)]=a2﹣(2b﹣c)2=a2﹣4b2+4bc﹣c2.【点评】考查了平方差公式,完全平方公式.应用完全平方公式时,要注意:①公式中的a,b可是单项式,也可以是多项式;②对形如两数和(或差)的平方的计算,都可以用这个公式;③对于三项的可以把其中的两项看作一项后,也可以用完全平方公式.12.运用平方差公式计算.①(3a+b)(3a﹣b)②(﹣x+2y)(﹣x﹣2y)③(12a﹣b)(−12a﹣b)④59.8×60.2⑤(2x﹣3y)(3y+2x)﹣(4y﹣3x)(3x+4y)【答案】见试题解答内容【分析】①②③利用平方差公式进行计算即可得解;④把59.8×60.2写成(60﹣0.2)×(60+0.2),然后利用平方差公式进行计算即可得解;⑤利用平方差公式进行计算即可得解,然后合并同类项即可.【解答】①解:(3a+b)(3a﹣b),=(3a)2﹣b2,=9a2﹣b2;②解:(﹣x+2y)(﹣x﹣2y),=(﹣x)2﹣(2y)2,=x2﹣4y2;③解:(12a﹣b)(−12a﹣b),=(﹣b)2﹣(12a)2,=b2−14a2;④解:59.8×60.2,=(60﹣0.2)×(60+0.2),=602﹣0.22,=3600﹣0.04,=3599.96;⑤解:(2x﹣3y)(3y+2x)﹣(4y﹣3x)(3x+4y),=(2x)2﹣(3y)2﹣(4y)2+(3x)2,=4x2﹣9y2﹣16y2+9x2,=13x2﹣25y2.【点评】本题考查了平方差公式,运用平方差公式计算时,关键要找相同项和相反项,其结果是相同项的平方减去相反项的平方.13.计算:①a4+(1﹣a)(1+a)(1+a2)②(2x﹣1)2﹣(2x+1)2.【答案】见试题解答内容【分析】①连续利用平方差公式进行计算即可得解;②利用平方差公式进行计算即可得解.【解答】解:①a4+(1﹣a)(1+a)(1+a2),=a4+(1﹣a2)(1+a2),=a4+1﹣a4,=1;②(2x﹣1)2﹣(2x+1)2,=[(2x﹣1)+(2x+1)][(2x﹣1)﹣(2x+1)],=(2x﹣1+2x+1)(2x﹣1﹣2x﹣1),=4x•(﹣2),=﹣8x.【点评】本题考查了平方差公式,运用平方差公式计算时,关键要找相同项和相反项,其结果是相同项的平方减去相反项的平方.14.探究题:(1)计算下列各题;①(x﹣1)(x+1)=x2﹣1;②(x﹣1)(x2+x+1)=x3﹣1;③(x﹣1)(x3+x2+x+1)=x4﹣1.(2)猜想:(x﹣1)(x n+x n﹣1+x n﹣2+…+x+1)的结果是x n+1﹣1.(3)证明你的猜想.【答案】见试题解答内容【分析】(1)可以用多项式乘以多项式验证想法,得出中答案;(2)根据规律猜想出结果为x n+1﹣1;(3)利用多项式乘以多项式的方法进行计算,展开后可知中间的项会相互抵消,只剩下第一项和最后一项.【解答】解:(1)①(x﹣1)(x+1)=x2﹣1;②(x﹣1)(x2+x+1)=x3﹣1;③(x﹣1)(x3+x2+x+1)=x4﹣1;(2)(x﹣1)(x n+x n﹣1+x n﹣2+…+x+1)=x n+1﹣1;(3)原式=x n+1+x n+x n﹣1+…+x2+x﹣x n﹣x n﹣1﹣…﹣x﹣1=x n+1﹣1.【点评】本题是个阅读材料题,要会从所给出的数列中找到它们的规律.主要考查了学生的归纳总结能力.15.计算:(1)(a+b)(a﹣b)(a4+a2b2+b4);(2)[(﹣ab+cd)(cd+ab)(a2b2+c2d2)+2a4b4](c4d4﹣a4b4).【答案】见试题解答内容【分析】(1)先根据平方差公式得到原式=(a2﹣b2)(a4+a2b2+b4),然后根据立方差公式展开即可;(2)先在中括号内利用平方差公式计算得到原式=[﹣(a2b2﹣c2d2)(a2b2+c2d2)+2a4b4](c4d4﹣a4b4),再次利用平方差公式得到原式=(﹣a4b4+c4d4+2a4b4)(c4d4﹣a4b4),然后合并后利用平方差公式展开即可.【解答】解:(1)原式=(a2﹣b2)(a4+a2b2+b4)=(a2)3﹣(b2)3=a6﹣b6;(2)原式=[﹣(ab﹣cd)(ab+cd))(a2b2+c2d2)+2a4b4](c4d4﹣a4b4)=[﹣(a2b2﹣c2d2)(a2b2+c2d2)+2a4b4](c4d4﹣a4b4)=(﹣a4b4+c4d4+2a4b4)(c4d44b4)=(c4d4+a4b4)(c4d4﹣a4b4)=c8d8﹣a8b8.【点评】本题考查了平方差公式:(a+b)(a﹣b)=a2﹣b2.也考查了立方差公式.16.2(2x﹣7y)(7y+2x)+x2﹣3(﹣4x+5y)(﹣5y﹣4x)【答案】见试题解答内容【分析】利用平方差公式进行计算,再合并同类项即可.【解答】解:2(2x﹣7y)(7y+2x)+x2﹣3(﹣4x+5y)(﹣5y﹣4x),=2(4x2﹣49y2)+x2﹣3(16x2﹣25y2),=8x2﹣98y2+x2﹣48x2+75y2,=(8+1﹣48)x2+(﹣98+75)y2,=﹣39x2﹣23y2.【点评】本题考查了平方差公式,运用平方差公式计算时,关键要找相同项和相反项,其结果是相同项的平方减去相反项的平方.17.(a﹣b)(a+b)(a2+b2)(a4+b4)(a8+b8)【答案】见试题解答内容【分析】连续利用平方差公式计算即可得解.【解答】解:(a﹣b)(a+b)(a2+b2)(a4+b4)(a8+b8),=(a2﹣b2)(a2+b2)(a4+b4)(a8+b8),=(a4﹣b4)(a4+b4)(a8+b8),=(a8﹣b8)(a8+b8),=a16﹣b16.【点评】本题主要考查平方差公式:(1)两个两项式相乘;(2)有一项相同,另一项互为相反数,熟记公式结构是解题的关键,本题难点在于要多次运用公式.18.计算.(1)1002﹣992+982﹣972+…+22﹣12.(2)(a+b﹣c)(a﹣b+c)﹣(a﹣b﹣c)(a+b+c).【答案】见试题解答内容【分析】(1)原式结合后,利用平方差公式化简,整理后求出之和即可;(2【解答】解:(1)原式=(100+99)×(100﹣99)+(98+97)×(98﹣97)+…+(2+1)(2﹣1)=100+99+98+97+…+2+1=5050;(2)原式=a2﹣(b﹣c)2﹣a2+(b+c)2=4bc.【点评】此题考查了平方差公式,熟练掌握平方差公式是解本题的关键.19.计算:(1)(x﹣3)(3﹣x);(2)(﹣4x﹣3y)2;(3)(2a+1)2(2a﹣1)2;(4)(x2+x+1)(x2﹣x+1).【答案】见试题解答内容【分析】(1)原式变形后,利用完全平方公式展开即可得到结果;(2)原式变形后,利用完全平方公式展开即可得到结果;(3)原式逆用积的乘方运算法则变形,再利用平方差公式计算,最后利用完全平方公式展开即可得到结果;(4)原式利用平方差公式计算,再利用完全平方公式展开即可得到结果.【解答】解:(1)原式=﹣(x﹣3)2=﹣x2+6x﹣9;(2)原式=(4x+3y)2=16x2+24xy+9y2;(3)原式=(4a2﹣1)2=16a4﹣8a2+1;(4)原式=(x2+1)2﹣x2=x4+2x2+1﹣x2=x4+x2+1.【点评】此题考查了平方差公式,以及完全平方公式,熟练掌握公式是解本题的关键.20.运用平方差公式计算:(1)(3p+5)(3p﹣5);(2)(m﹣n)(﹣n﹣m);(3)(4n﹣3m)(3m+4n);(4)(2m﹣3n)(3n+2m);(5)(﹣2x+3y)(﹣3y﹣2x);(6)9945×10015.【答案】见试题解答内容【分析】原式各项利用平方差公式计算即可得到结果.【解答】解:(1)(3p+5)(3p﹣5)=9p2﹣25;(2)(m﹣n)(﹣n﹣m)=n2﹣m2;(3)(4n﹣3m)(3m+4n)=16n2﹣9m2;(4)(2m﹣3n)(3n+2m)=4m2﹣9n2;(5)(﹣2x+3y)(﹣3y﹣2x)=4x2﹣9y2;(6)9945×10015=(100−15)×(100+15)=10000−125=99992425.【点评】此题考查了平方差公式,熟练掌握公式是解本题的关键.21.利用乘法公式计算:(1)(x+1)(x﹣1)(x2+1)(x4+1);(2)(3x+2)2﹣(3x﹣5)2;(3)(x﹣2y+1)(x+2y﹣1);(4)(a﹣3b﹣2c)(a﹣3b+2c).【答案】见试题解答内容【分析】(1)原式利用平方差公式化简,计算即可得到结果;(2)原式利用平方差公式分解,计算即可得到结果;(3)原式先利用平方差公式化简,再利用完全平方公式展开即可得到结果;(4)原式先利用平方差公式化简,再利用完全平方公式展开即可得到结果.【解答】解:(1)(x+1)(x﹣1)(x2+1)(x4+1)=(x2﹣1)(x2+1)(x4+1)=(x4﹣1)(x4+1)=x8﹣1;(2)(3x+2)2﹣(3x﹣5)2=(3x+2+3x﹣5)(3x+2﹣3x+5)=7(6x﹣3)=42x﹣21;(3)(x﹣2y+1)(x+2y﹣1)=x2﹣(2y﹣1)2=x2﹣4y2+4y﹣1;(4)(a﹣3b﹣2c)(a﹣3b+2c)=(a﹣3b)2﹣4c2=a2﹣6ab+9b2﹣4c2.【点评】此题考查了平方差公式,熟练掌握公式是解本题的关键.22.计算:(1)(﹣x+2)(﹣x﹣2);(2)(13m−12n)(12n+13m);(3)(x﹣3)(x+3)(x2+9);(4)(2x+5)(2x﹣5)﹣(4+3x)(3x﹣4).【答案】见试题解答内容【分析】(1)原式利用平方差公式化简即可得到结果;(2)原式利用平方差公式化简即可得到结果;(3)原式前两项利用平方差公式化简,再利用平方差公式计算即可得到结果;(4)原式两项利用平方差公式化简,去括号合并即可得到结果.【解答】解:(1)原式=x2﹣4;(2)原式=19m2−14n2;(3)原式=(x2﹣9)(x2+9)=x4﹣81;(4)原式=4x2﹣25﹣9x2+16=﹣5x2﹣9.【点评】此题考查了平方差公式,熟练掌握平方差公式是解本题的关键.23.计算:(1)(2x+y﹣3z)2;(2)(x﹣y+4)(x+y+4).【答案】见试题解答内容【分析】(1)先将原式转化为[(2x+y)﹣3z]2,再将2x+y看作一个整体,利用完全平方公式计算,然后再次利用完全平方公式计算(2x+y)2即可;(2)先将原式转化为[(x+4)﹣y][(x+4)+y],再利用平方差公式计算,然后利用完全平方公式计算即可.【解答】解:(1)(2x+y﹣3z)2=[(2x+y)﹣3z]2=(2x+y)2﹣2•(2x+y)•3z+9z2=4x2+4xy+y2﹣12xz﹣6yz+9z2;(2)(x﹣y+4)(x+y+4)=[(x+4)﹣y][(x+4)+y]=(x+4)2﹣y2=x2+8x+16﹣y2.【点评】本题考查了平方差公式和完全平方公式,解题的关键是牢记公式的形式.24.运用完全平方公式计算①(﹣xy+5)2②(﹣x﹣y)2③(x+3)(x﹣3)(x2﹣9)④2012⑤9.82⑥(3a﹣4b)2﹣(3a+4b)2⑦(2x﹣3y)2﹣(4y﹣3x)(4y+3x).【答案】见试题解答内容【分析】①根据完全平方公式展开即可;②根据完全平方公式展开即可;③根据平方差公式进行计算,再根据完全平方公式展开即可;④得出(200+1)2,再根据完全平方公式展开即可;⑤得出(10=0.2)2,再根据完全平方公式展开即可;⑥根据完全平方公式展开,再合并同类项即可;⑦根据完全平方公式和平方差公式展开,再合并同类项即可.【解答】解:①原式=x2y2﹣10xy+25.②原式=x2+2xy+y2.③原式=(x2﹣9)(x2﹣9)=x4﹣18x2+81.④原式=(200+1)2=40000+400+1=40401.⑤原式=(10﹣0.2)2=100﹣4+0.04=96.04.⑥(3a﹣4b)2﹣(3a+4b)2=9a2﹣24ab+16b2﹣9a2﹣24ab﹣16b2=﹣48ab.⑦(2x﹣3y)2﹣(4y﹣3x)(4y+3x)=4x2﹣12xy+9y2﹣16y2+9x2=13x2﹣12xy﹣7y2.【点评】本题考查了平方差公式和完全平方公式的应用,主要考查学生的计算能力.25.运用完全平方公式计算:(1)(4m+n)2;(2)(y−12)2;(3)(﹣a﹣b)2;(4)(﹣a+b)2.【答案】见试题解答内容【分析】直接利用完全平方公式计算即可.【解答】解:(1)(4m+n)2=16m2+8mn+n2;(2)(y−1 2 )2=y2﹣y+1 4;(3)(﹣a﹣b)2;=a2+2ab+b2;(4)(﹣a+b)2=a2﹣2ab+b2.【点评】此题考查完全平方公式在计算中的运用.26.运用完全平方公式计算:(1)(2x﹣2)2+(3x+1)2;(2)(x+y)2﹣(x﹣y)2.【答案】见试题解答内容【分析】直接利用完全平方公式计算,进一步合并同类项即可.【解答】解:(1)(2x﹣2)2+(3x+1)2=4x2﹣8x+4+9x2+6x+1=13x2﹣2x+5;(2)(x+y)2﹣(x﹣y)2=x2+2xy+y2﹣(x2﹣2xy+y2)=x2+2xy+y2﹣x2+2xy﹣y2=4xy.【点评】本题考查了完全平方公式:(a±b)2=a2±2ab+b2.27.计算:(1)(x3n+1)(x3n﹣1)﹣(x3n﹣1)2;(2)(2x n+1)2(﹣2x n+1)2﹣16(x n+1)2(x n﹣1)2.【答案】见试题解答内容【分析】(1)先算乘法和乘方,再去括号、合并同类项即可;(2)先根据积的乘方变形,再根据平方差公式进行计算,最后根据完全平方公式进行计算,最终合并同类项即可.【解答】解:(1)原式=x6n﹣1﹣x6n+2x3n﹣1=2x3n﹣2.(2)原式=[(1+2x n)(1﹣2x n)]2﹣16[(x n+1)(x n﹣1)]2=(1﹣4x2n)2﹣16(x2n﹣1)2=1﹣8x2n+16x4n﹣16x4n+32x2n﹣16=24x2n﹣15.【点评】本题考查了对平方差公式、完全平方公式和积的乘方的应用,主要考查学生的化简能力和计算能力.28.计算.(1)(x−12y2)2;(2)(x−13)(x+13)(x2−19);(3)(m+3)(m﹣3);(4)(a+5)2(a﹣5)2﹣(a+1)2(a﹣1)2.【答案】见试题解答内容【分析】(1)原式利用完全平方公式展开即可得到结果;(2)原式利用平方差公式计算即可得到结果;(3)原式利用平方差公式计算即可得到结果;(4)原式利用积的乘方运算法则变形,再利用平方差公式及完全平方公式计算即可得到结果.【解答】解:(1)原式=x2﹣xy2+14y4;(2)原式=(x2−19)2=x4−29x2+181;(3)原式=m2﹣9;(4)原式=(a2﹣25)2﹣(a2﹣1)2=a4﹣50a2+625﹣a4+2a2﹣1=﹣48a2+624.【点评】此题考查了完全平方公式,熟练掌握公式是解本题的关键.29.计算①(2x﹣3y)2﹣(y﹣3x)(3x﹣y)②(3﹣2x+y)(3+2x﹣y)【答案】见试题解答内容【分析】①利用完全平方公式进行计算,然后合并同类项即可;②先利用平方差公式进行计算,然后再利用完全平方公式进行计算,最后去括号即可.【解答】解:①原式=(2x﹣3y)2+(y﹣3x)2=4x2﹣12xy+9y2+y2﹣6xy+9x2=13x2﹣18xy+10y2②原式=[3﹣(2x﹣y)][3+(2x﹣y)]=9﹣(2x﹣y)2=9﹣4x2+4xy﹣y2.【点评】本题主要考查的是完全平方公式和平方差公式的应用,掌握公式是解题的关键.30.计算(1)(3﹣4a)(3+4a)+(3+4a)2(2)(a+2)2(a﹣2)2(3)2011 20122−20102.【答案】见试题解答内容【分析】(1)根据平方差公式、完全平方公式,可得答案;(2)根据积的乘方,可得平方差公式;(3)根据平方差公式,可得答案.【解答】解:(1)原式=9﹣16a2+9+24a+16a2=24a+18;(2)原式=[(a+2)(a﹣2)]2=(a2﹣4)2=a4﹣8a2+16;(3)原式=2011(2012+2010)(2012−2010)=20114022×2=14.【点评】本题考查了完全平方公式,熟记公式是解题关键.31.运用简便方法计算:(1)20072﹣49;(2)1.222×9﹣1.332×4;(3)0.75×3.66−34×2.66;(4)(−12)2001+(12)2000;(5)2×562+8×56×22+2×442;(6)已知x=1175,y=2522,求(x+y)2﹣(x﹣y)2的值.【答案】(1)4028000;(2)6.32;(3)3 4;(4)(12)2001;(5)20000;(6)2 3.【分析】(1)先变形为原式=(2000+7)2﹣49,然后利用完全平方公式计算;(2)先变形为原式=(1.22×3)2﹣(1.33×2)2,然后利用平方差公式计算;(3)用乘法分配律的逆运算进行计算;(4)根据乘方的意义计算;(5)先变形为原式=2(562+2×56×44+442),然后利用完全平方公式计算;(6)先利用完全平方公式展开,再合并得到原式=4xy,然后把x、y的值代入计算.【解答】解:(1)原式=(2000+7)2﹣49=20002+28000+49﹣49=4028000;(2)原式=(1.22×3)2﹣(1.33×2)2=3.662﹣2.662=(3.66﹣2.66)×(3.66+2.66)=6.32;(3)原式=34(3.66﹣2.66)=3 4;(4)原式=−12×(12)2000+(12)2000=12×(12)2000=(12)2001;(5)原式=2(562+2×56×44+442)=2×(56+44)2=20000;(6)原式=x2+2xy+y2﹣x2+2xy﹣y2=4xy,当x=1175,y=2522时,原式=4×1175×2522=23.【点评】本题考查了完全平方公式:灵活应用完全平方公式,完全平方公式为(a±b)2=a2±2ab+b2.32.计算:(1)(2a+b﹣3c)(2a﹣b+3c);(2)(a﹣2b+3c)2.【答案】见试题解答内容【分析】(1)先变形得到原式=[2a+(b﹣3c)][2a﹣(b﹣3c)],再利用平方差公式计算得到原式=4a2﹣(b﹣3c)2,然后根据完全平方公式展开即可;(2)先变形得到原式=[(a﹣2b)+3c]2,然后根据完全平方公式进行计算.【解答】解:(1)原式=[2a+(b﹣3c)][2a﹣(b﹣3c)]=4a2﹣(b﹣3c)2=4a2﹣b2+6bc﹣9c2.(2)原式=[(a﹣2b)+3c]2=(a﹣2b)2+6c(a﹣2b)+9c2=a2﹣4ab+4b2+6ac﹣12bc+9c2.【点评】本题考查了完全平方公式:(a±b)2=a2±2ab+b2.也考查了平方差公式.33.化简(1)(m3+5n)(5n﹣m3)(2)(1﹣xy)(﹣xy﹣1)【答案】见试题解答内容【分析】(1)相同项是5n,相反项是m3;(2)相同项是﹣xy,相反项是1.【解答】解:(1)原式=(5n)2﹣(m3)2=25n2﹣m6;(2)原式=(﹣xy)2﹣12=x2y2﹣1.【点评】本题考查了平方差公式,运用平方差公式计算时,关键要找相同项和相反项,其结果是相同项的平方减去相反项的平方.34.运用乘法公式计算:①(a﹣3)(a+3)(a2+9)②(m﹣2n+3)(m+2n﹣3)③(2x+3)2(2x﹣3)2.【答案】见试题解答内容【分析】根据平方差公式(a+b a﹣b)=a2﹣b2即可求解.【解答】解:①(a﹣3)(a+3)(a2+9)=(a2﹣9)(a2+9)=a4﹣81②(m﹣2n+3)(m+2n﹣3)=m2﹣(2n﹣3)2=m2﹣4n2+12n﹣9③(2x+3)2(2x﹣3)2.=(4x2﹣9)2=16x4﹣72x2+81【点评】本题考查了平方差公式,运用平方差公式计算时,关键要找相同项和相反项,其结果是相同项的平方减去相反项的平方.35.你能求(x﹣1)(x99+x98+x97+…+x+1)的值吗?遇到这样的问题,我们可以先思考一下,从简单的情形入手.先分别计算下列各式的值:(1)(x﹣1)(x+1)=x2﹣1;(2)(x﹣1)(x2+x+1)=x3﹣1;(3)(x﹣1)(x3+x2+x+1)=x4﹣1;…由此我们可以得到:(x﹣1)(x99+x98+x97+…+x+1)=x100﹣1;请你利用上面的结论,完成下面两题的计算:(1)299+298+297+…+2+1;(2)(﹣2)99+(﹣2)99+(﹣2)98+…+(﹣2)+1.【答案】见试题解答内容【分析】观察所给等式,可得出规律,可求得(x﹣1)(x99+x98+x97+…+x+1);(1)可在等式的前面乘(2﹣1),再利用所得的规律计算即可;(2)可在等式的前面乘(﹣2﹣1),再利用所得的规律进行计算,再除以﹣3即可求得结果.【解答】解:观察所给等式可得到(x﹣1)(x99+x98+x97+…+x+1)=x100﹣1,故答案为:x100﹣1;(1)299+298+297+…+2+1=(2﹣1)(299+298+297+…+2+1)=2100﹣1;(2)∵(﹣2﹣1)[(﹣2)992)99+(﹣2)98+…+(﹣2)+1]=(﹣2)100﹣1=2100﹣1,∴(﹣2)99+(﹣2)99+(﹣2)98+…+(﹣2)+1=(2100﹣1)÷(﹣2﹣1)=1−21003.【点评】本题主要考查规律的总结及应用,由所给等式总结出等式的规律是解题的关键.注意规律的灵活运用.36.计算:(1)(﹣2a+3b)(﹣2a﹣3b)(2)(x+y﹣2)(x﹣y+2)(3)(3x﹣4y)2(4)(2x﹣y﹣3)2.【答案】见试题解答内容【分析】(1)原式利用平方差公式计算即可得到结果;(2)原式利用平方差公式化简,再利用完全平方公式展开即可得到结果;(3)原式利用完全平方公式展开即可得到结果;(4)原式利用完全平方公式展开即可得到结果.【解答】解:(1)原式=4a2﹣9b2;(2)原式=x2﹣(y﹣2)2=x2﹣y2+4y﹣4;(3)原式=9x2﹣24xy+16y2;(4)原式=(2x﹣y)2﹣6(2x﹣y)+9=4x2﹣4xy+y2﹣12x+6y+9.【点评】此题考查了平方差公式,以及完全平方公式,熟练掌握公式是解本题的关键.37.计算.(1)(2x﹣y)(y+2x)﹣(2y+x)(2y﹣x);(2)(3a+b﹣c)(3a﹣b﹣c).【答案】见试题解答内容【分析】(1)原式利用平方差公式计算,去括号合并即可得到结果;(2)原式利用平方差公式计算,再利用完全平方公式展开即可得到结果.【解答】解:(1)原式=4x2﹣y2﹣(4y2﹣x2)=4x2﹣y2﹣4y2+x2=5x2﹣5y2;(2)原式=(3a﹣c)2﹣b2=9a2﹣6ac+c2﹣b2.【点评】此题考查了平方差公式,熟练掌握平方差公式是解本题的关键.38.计算.(1)(2x2+3y)(2x2﹣3y);(2)(2x﹣y)(﹣2x﹣y);(3)(x+y)(x﹣y)+(2x+y)(2x﹣y);(4)(a﹣3)(a+3)(a2+9).【答案】见试题解答内容【分析】原式各项利用平方差公式化简,即可得到结果.【解答】解:(1)(2x2+3y)(2x2﹣3y)=4x4﹣9y2;(2)(2x﹣y)(﹣2x﹣y)=(﹣y)2﹣(2x)2=y2﹣4x2;(3)(x+y)(x﹣y)+(2x+y)(2x﹣y)=x2﹣y2+4x2﹣y2=5x2﹣2y2;(4)(a﹣3)(a+3)(a2+9)=(a2﹣9)(a2+9)=a4﹣81.【点评】此题考查了平方差公式,熟练掌握平方差公式是解本题的关键.39.我们在计算(2+1)(22+1)(24+1)(28+1)(216+1)时,发现直接运算很麻烦,如果在算式前乘以(2﹣1)即1,原算式的值不变,而且还使整个算式能用乘法公式计算.即:原式=(22﹣1)(22+1)(24+1)(28+1)(216+1)=232﹣1.你能用上述方法迅速地算出(5+1)(52+1)(54+1)(58+1)(516+1)的值吗?请试着计算.【答案】见试题解答内容【分析】将原式前面乘以14(5﹣1),再依次按照平方差公式计算即可.【解答】解:(5+1)(52+1)(54+1)(58+1)(516+1)=14(5﹣1)(5+1)(52+1)(54+1)(58+1)(516+1)=14(52﹣1)(52+1)(54+1)(58+1)(516+1)=…=14(516﹣1)(516+1)=14(532﹣1).【点评】本题考查了平方差公式在计算中的应用,根据题中的方法正确构造平方差公式是解题的关键.40.观察下列各式:(x﹣1)(x+1)=x2﹣1;(x﹣1)(x2+x+1)=x3﹣1;(x﹣1)(x3+x2+x+1)=x4﹣1;…请你根据这一规律计算:(1)(x﹣1)(x n+x n﹣1+x n﹣2+…+x+1);(2)213+212+211+…+22+2+1.【答案】见试题解答内容【分析】(1)观察题中所给的三个等式,可知等式右边第一项的次数等于左边第二个括号内最高次项的次数加1,等式右边第二项均为1,据此可解;(2)根据(1)中所得的规律,可将原式左边乘以(2﹣1),再按照(1)中规律计算即可.【解答】解:(1)(x﹣1)(x n+x n﹣1+x n﹣2+…+x+1)=x n+1;(2)由(1)中规律可知,213+212+211+…+22+2+1=(2﹣1)(213+212+211+…+22+2+1)=214﹣1.【点评】本题考查了平方差公式和多项式乘法公式在计算中的应用,熟练掌握相关计算法则是解题的关键.。
07~08 上学年八年级数学同步调查测试三整式的乘除(13.3乘法公式)一、 选择(3分×8=24分)1、下列各式中,运算结果为2236y x -的是 ( ) A 、()()x y x y --+-66 B 、()()x y y -+-616C 、()()x y x y +-+94D 、()()x y x y ---662、若M x y y x ()3942-=-2,那么代数式M 应是 () A 、-+()32x y B 、 -+y x 23 C 、 32x y + D 、 32x y -3、乘积等于22b a -的式子为 () A 、()()b a b a -- B 、()()b a b a ---C 、()()a b b a ---D 、()()b a b a +-+4、下列各式是完全平方式的是 () A 、x xy y 2224++ B 、 251022m mn n ++C 、 a ab b 22++D 、 x xy y 22214-+5、下列等式中正确的为 () A 、()2222b ab a b a +--=+- B 、()222242b ab a b a +-=-C 、22224121n mn m n m +-=⎪⎭⎫ ⎝⎛- D 、()()22b a c c b a --=-+6、若()2221243by xy x y ax +-=+,则b a ,的值分别为 () A 、2, 9 B 、2, -9 C 、-2 ,9 D 、-4, 97、要使等式()()22b a M b a +=+-成立,则M 是 () A 、ab 2 B 、ab 4 C 、-ab 4 D 、-ab 28、两个个连续奇数的平方差一定是 ( )A 、3的倍数B 、5的倍数C 、8的倍数D 、16的倍数二、 填空(3分×10=30分)9、⎪⎭⎫ ⎝⎛-⎪⎭⎫ ⎝⎛+y x y x 4141= , ()232y x -= 。
八年级数学上册《乘法公式》专项训练带解析,给孩子期末复习!专题一乘法公式1.下列各式中运算错误的是(D)A.a²+b²=(a+b)²-2abB.(a-b)²=(a+b)²-4abC.(a+b)(-a+b)=-a²+b²D.(a+b)(-a-b)=-a²-b²解析:A中,由完全平方公式可得(a+b)²-2ab=a+2ab+b²-2ab=a²+b²,故A正确;B中,由完全平方公式可得(a-b)²=a²-2ab+b²,(a+b)²-4ab=a²+2ab+b²-4ab=a²-2ab+b²,故B正确;C中,由平方差公式可得(a+b)(-a+b)=(a+b)(b-a)=b²-a²=-a²+b²,故C正确;D中,(a+b)(-a-b)=-(a+b)²=-a²-2ab-b²,故D错误.2.代数式(x+1)(x-1)(x²+1)的计算结果正确的是(A)A.x4-1 B.x4+1 C.(x-1)4 D.(x+1)4解析:原式=(x²-1)(x²+1)=(x²)²-1=x4-1.3.计算:(2x+y)(2x-y)+(x+y)²-2(2x²-xy)(其中x=2,y=3).解:原式=4x²-y²+x²+2xy+y²-4x+2xy=x²+4xy,当x=2,y=3时,原式=2²+4×2×3=4+24=28.专题二乘法公式的几何背景4.请你观察图形,依据图形面积之间的关系,不需要连其他的线,便可得到一个你非常熟悉的公式,这个公式是( B )A.(a+b)(a-b)=a²-b²B.(a+b)²=a²+2ab+b²C.(a-b)²=a-2ab+b²D.(a+b)²=a²+ab+b²解析:这个图形的整体面积为(a+b)²;各部分的面积的和为a²+2ab+b²;所以得到公式(a+b)²=a²+2ab+b².故选B.5.如图,你能根据面积关系得到的数学公式是(C)A.a²-b²=(a+b)(a-b)B.(a+b)²=a²+2ab+b²C.(a-b)²=a²-2ab+b²D.a(a+b)=a²+ab解析:从图中可知:阴影部分的面积是(a-b)²和b²,剩余的矩形面积是(a-b)b和(a-b)b,即大阴影部分的面积是(a-b)²,∴(a-b)²=a²-2ab+b²,故选C.6.我们在学习完全平方公式(a+b)²=a²+2ab+b²时,了解了一下它的几何背景,即通过图来说明上式成立.在习题中我们又遇到了题目“计算:(a+b+c)²”,你能将知识进行迁移,从几何背景说明(大致画出图形即可)并计算(a+b+c)²吗?解:(a+b+c)²的几何背景如图,整体的面积为:(a+b+c)²,用各部分的面积之和表示为:(a+b+c)²=a²+b²+c²+2ab+2ac+2bc,所以(a+b+c)²=a²+b²+c²+2ab+2ac+2bc.。
乘法公式练习题一、选择题1. 用乘法公式计算(2+1)(22+1)(24+1)…(22018+1)的结果( )A. 24036+1B. 24036−1C. 22018+2D. 22018−22. 已知(m −n)2=8,(m +n)2=2,则m 2+n 2的值为( )A. 10B. 6C. 5D. 33. 对于任意正整数m ,能整除式子(m +3)(m −3)−(m +2)(m −2)的整数是 ()A. 2B. 3C. 4D. 54. 下列计算结果为2ab −a 2−b 2的是( )A. (a −b)2B. (−a −b)2C. −(a +b)2D. −(a −b)25. 下列运算中,正确的有( ) ①(x +2y)2=x 2+4y 2; ②(a −2b)2=a 2−4ab +4b 2; ③(x +y)2=x 2−2xy +y 2; ④(x −14)2=x 2−12x +116.A. 1个B. 2个C. 3个D. 4个6. 利用平方差公式计算:1013×923,应先将算式写成( ).A. (10+13)×(9+23)B. (10+13)(10−13)C. (9+43)(9+23)D. (11−23)(11−43)7.小明在利用完全平方公式计算二项整式的平方时,不小心用墨水把中间一项的系数染黑了,得到正确的结果为4a2■ab+9b2,则中间一项的系数是()A. 12B. −6C. 6或−6D. 12或−128.下列各式中,是完全平方式的是()A. m2−4m−1B. x2−2x−1C. x2+2x+14D. 14b2−ab+a29.下列各式中与2ab−a2−b2相等的是()A. −(a−b)2B. −(a+b)2C. (−a−b)2D. (−a+b)210.下列算式中,能连续两次用平方差公式计算的是()A. (x+y)(x2+y2)(x−y)B. (x+1)(x2−1)(x+1)C. (x+y)(x2−y2)(x−y)D. (x−y)(x2+y2)(x−y)二、填空题11.根据完全平方公式填空:(1)(x+1)2=(__________)2+2×________×________+(________)2=____________;(2)(−x+1)2=(________)2+2×________×________+(________)2=____________;(3)(−2a−b)2=(________)2+2×________×________+(________)2=____________.12.在括号内填上适当的项:(1)a+2b−c=a+();(2)2−x2+2xy−y2=2−();(3)(a+b−c)(a−b+c)=[a+()][a−()].13.若x2+Rx+16是一个完全平方式,则R的值等于.14. 已知a +b =10,a −b =8,则a 2−b 2=______.三、计算题15. 计算:(1)(x −1)(x +1);(2)(a +2b)(a −2b);(3)(14a −1)(14a +1); (4)(2m +3n)(2m −3n).16. 用乘法公式计算:(1)(x −2y +3z)2;(2)(2a +3b −1)(1+2a +3b).四、解答题17. 先化简,再求值:(x +1)(x −1)+x 2(1−x)+x 3,其中x =2.18.(1)计算并观察下列各式:(x−1)(x+1)=;(x−1)(x2+x+1)=;(x−1)(x3+x2+x+1)=;(2)从上面的算式及计算结果,你发现了什么?请根据你发现的规律直接填空:(x−1)()=x6−1;(3)利用你发现的规律计算:(x−1)(x m+x m−1+x m−2+x m−3+⋯+x+1)的结果为.19.如图1是一个宽为a、长为4b的长方形,沿图中虚线用剪刀平均分成四块小长方形,然后用四块小长方形拼成一个“回形”正方形(如图2).(1)观察图2,请你用等式表示(a+b)2,(a−b)2,ab之间的数量关系:______;(2)根据(1)中的结论.如果x+y=5,xy=9,求代数式(x−y)2的值;4(3)如果(2019−m)2+(m−2020)2=7,求(2019−m)(m−2020)的值.答案和解析1.【答案】B【解析】【分析】此题考查了平方差公式,熟练掌握平方差公式是解本题的关键.原式变形后,利用平方差公式计算即可得到结果.【解答】解:原式=(2−1)×(2+1)×(22+1)×(24+1)×…×(22017+1)×(22018+1) =(22−1)×(22+1)×(24+1)×…×(22017+1)×(22018+1)=(24−1)×(24+1)×…×(22017+1)×(22018+1)=(22018−1)×(22018+1)=24036−1.故选:B.2.【答案】C【解析】【分析】本题考查了代数式求值和完全平方公式:(a±b)2=a2±2ab+b2.根据完全平方公式由(m−n)2=8得到m2−2mn+n2=8①,由(m+n)2=2得到m2+2mn+n2=2②,然后①+②得,2m2+2n2=10,变形即可得到m2+n2的值.【解答】解:∵(m−n)2=8,∴m2−2mn+n2=8①,∵(m+n)2=2,∴m2+2mn+n2=2②,①+②得,2m2+2n2=10,∴m2+n2=5.故选C.3.【答案】D【解析】【分析】此题考查平方差公式,关键是根据平方差公式化简.根据平方差公式化简后解答即可.【解答】解:因为(m+3)(m−3)−(m+2)(m−2)=m2−9−m2+4=−5,所以对于任意正整数m,能整除式子(m+3)(m−3)−(m+2)(m−2)的整数是5,故选D.4.【答案】D【解析】【分析】本题考查完全平方公式,解题的关键是熟练运用完全平方公式,本题属于基础题型.根据完全平方公式即可求出答案.【解答】解:原式=−(a2−2ab+b2)=−(a−b)2故选D.5.【答案】B【解析】【分析】本题考查了完全平方公式的变形.熟练掌握公式是解题的关键【解答】解: ①(x+2y)2=x2+4xy+4y2,故错误; ②(a−2b)2=a2−4ab+4b2,故正确; ③(x+y)2=x2+2xy+y2故错误; ④(x −14)2=x 2−12x +116故正确.故选B .6.【答案】B【解析】【分析】本题考查了平方差公式的应用,能灵活运用公式进行计算是解此题的关键,注意:(a +b)(a −b)=a 2−b 2.先根据式子的特点进行变形,再根据平方差公式进行计算,即可求出答案.【解答】解:原式=(10+13)(10−13).故选B . 7.【答案】D【解析】【分析】本题主要考查完全平方公式,熟记完全平方公式是解题的关键.运用完全平方公式求出(2a ±3b)2对照求解即可.【解答】解:由(2a ±3b)2=4a 2±12ab +9b 2,∴染黑的部分为±12.故选D .8.【答案】D【解析】【分析】此题考查了完全平方式,熟练掌握完全平方公式是解本题的关键.利用完全平方公式的结构特征判断即可得到结果.【解答】解:14b2−ab+a2=(12b−a)2.故选D.9.【答案】A【解析】【分析】此题主要考查完全平方式的定义及其应用,比较简单.把2ab−a2−b2根据完全平方式整理,然后直接选取答案.【解答】解:2ab−a2−b2,=−(a2−2ab+b2),=−(a−b)2.故选A.10.【答案】A【解析】【分析】此题考查了平方差公式,熟练掌握平方差公式是解本题的关键,利用平方差公式的结构特征判断即可.【解答】解:A.首先(x+y)(x−y)=x2−y2,再与(x2+y2)使用平方差公式,可以两次使用平方差公式,故A正确;B.不能使用平方差公式,故B错误;C.只能使用一次平方差公式,故C错误;D.不能使用平方差公式,故D错误.故选A.11.【答案】(1)x;x;1;1;x2+2x+1;(2)−x;(−x);1;1;x2−2x+1;(3)−2a;(−2a);(−b);(−b);4a2+4ab+b2.【解析】【分析】本题考查了完全平方公式,能熟记公式的特点是解此题的关键,注意:(a+b)2=a2+ 2ab+b2,(a−b)2=a2−2ab+b2.根据完全平方公式得出各题结果即可.【解答】解:根据完全平方公式可得:(1)(x+1)2=x2+2×x×1+12=x2+2x+1;(2)(−x+1)2=(−x)2+2×(−x)×1+12=x2−2x+1;(3)−2a−b)2=(−2a)2+2×(−2a)×(−b)+(−b)2=4a2+4ab+b2.故答案为(1)x;x;1;1;x2+2x+1;(2)−x;(−x);1;1;x2−2x+1;(3)−2a;(−2a);(−b);(−b);4a2+4ab+b2.12.【答案】(1)2b−c;(2)x2−2xy+y2;(3)b−c,b−c.【解析】【分析】本题主要考查平方差公式,解题的关键是掌握添括号法则:添括号时,如果括号前面是正号,括到括号里的各项都不变号,如果括号前面是负号,括号括号里的各项都改变符号.(1)根据添括号法则求解可得;(2)根据添括号法则求解可得;(3)根据添括号法则求解可得.【解答】解:(1)a+2b−c=a+(2b−c);(2)2−x2+2xy−y2=2−(x2−2xy+y2);(3)(a+b−c)(a−b+c)=[a+(b−c)][a−(b−c)].故答案为(1)2b−c;(2)x2−2xy+y2;(3)b−c,b−c.13.【答案】±8【解析】【分析】此题考查了完全平方式,熟练掌握完全平方公式是解本题的关键.根据完全平方公式的特征判断即可得到k的值.【解答】解:∵x2+Rx+16是一个完全平方式,∴k=±2×4=±8,故答案为±8.14.【答案】80【解析】【分析】本题考查平方差公式,解题的关键是熟练运用平方差公式,本题属于基础题型.根据平方差公式即可求出答案.【解答】解:∵(a+b)(a−b)=a2−b2,a+b=10,a−b=8,∴a2−b2=10×8=80.故答案为80.15.【答案】解:(1)原式=x2−1.(2)原式=a2−(2b)2=a2−4b2.a2−1.(3)原式=116(4)原式=(2m)2−(3n)2=4m2−9n2.【解析】本题主要考查的是平方差公式的有关知识.(1)直接利用平方差公式进行求解即可;(2)直接利用平方差公式进行求解即可;(3)直接利用平方差公式进行求解即可;(4)直接利用平方差公式进行求解即可.16.【答案】解:(1)原式=[(x−2y)+3z]2=(x−2y)2+6z(x−2y)+9z2=x2+4y2+9z2−4xy+6xz−12yz;(2)原式=[(2a+3b)−1][(2a+3b)+1]=(2a+3b)2−1=4a2+12ab+9b2−1.【解析】本题主要考查的是平方差公式和完全平方公式,掌握平方差公式和完全平方公式是解答此题的关键.(1)把(x−2y)当作一项,直接运用完全平方公式进行计算即可;(2)把(2a+3b)当作一项,直接运用平方差公式和完全平方公式进行计算即可.17.【答案】解:原式=x2−1+x2−x3+x3,=2x2−1,当x=2时,原式=2×22−1=7.【解析】本题考查了整式的混合运算和代数式求值,主要考查学生的计算和化简能力.根据平方差公式和单项式乘以多项式法则先化简,再代入求值即可.18.【答案】(1)x2−1;x3−1;x4−1;(2)x5+x4+x3+x2+x+1;(3)x m+1−1【解析】【分析】本题考查了平方差公式:两个数的和与这两个数的差相乘,等于这两个数的平方差,也考查了规律型问题的解决方法.(1)利用平方差公式计算(x−1)(x+1),利用立方差公式计算(x−1)(x2+x+1)=x3−1;利用上面两等式的变化规律计算(x−1)(x3+x2+x+1);(2)利用(1)中三个等式的变化规律求解;(3)利用(1)中三个等式的变化规律求解.【解答】解:(1)(x−1)(x+1)=x2−1;(x−1)(x2+x+1)=x3−1;(x−1)(x3+x2+x+1)=x4−1;(2)(x−1)(x5+x4+x3+x2+x+1)=x6−1;(3)(x−1)(x m+x m−1+x m−2+x m−3+⋯+x+1)=x m+1−1.故答案为(1)x2−1;x3−1;x4−1;(2)x5+x4+x3+x2+x+1;(3)x m+1−1.19.【答案】(a+b)2=(a−b)2+4ab【解析】解:(1)由图2可知,大正方形的边长为(a+b),小正方形的边长为(a−b),大正方形的面积可以表示为:(a+b)2或(a−b)2+4ab,因此有(a+b)2=(a−b)2+4ab,故答案为:(a+b)2=(a−b)2+4ab;(2)由(a+b)2=(a−b)2+4ab得,(x−y)2=(x+y)2−4xy=25−9=16;答:代数式(x−y)2的值为16;(3)∵a2+b2=(a+b)2−2ab,∴(2019−m)2+(m−2020)2=[(2019−m)+(m−2020)]2−2(2019−m)(m−2020),=(−1)2−2(2019−m)(m−2020),又∵(2019−m)2+(m−2020)2=7,∴7=1−2(2019−m)(m−2020)∴(2019−m)(m−2020)=−3,答:(2019−m)(m−2020)的值为−3.(1)表示出大、小正方形的边长和面积,根据面积之间的关系得出结论;(2)由(1)的结论得(x−y)2=(x+y)2−4xy,再整体代入即可;(3)由a2+b2=(a+b)2−2ab的形式可得,(2019−m)2+(m−2020)2=[(2019−m)+(m−2020)]2−2(2019−m)(m−2020),再根据(2019−m)+(m−2020)=−1,(2019−m)2+(m−2020)2=7,得出答案.本题考查完全平方公式的几何背景,用不同的方法表示图形的面积,得出关系等式是关键,适当的变形是正确计算的前提.。
乘法公式(计算题)1、运用公式进行简便计算:(1)1982;(2)103×97.2、(7分)计算:(2﹣1)2﹣( +)(﹣).3、已知2a=5,2b=3,求2a+b+3的值.4、某同学在计算3(4+1)(+1)时,把3写成(4﹣1)后,发现可以连续运用两数和乘以这两数差公式计算:3(4+1)(+1)=(4﹣1)(4+1)(+1)=(﹣1)(+1)=﹣1=255.请借鉴该同学的经验,计算:.5、用乘法公式计算:(1)20152-2014×2016(2)19826、(2+3)2﹣(2﹣3)2.7、(12分)计算(1)运用乘法公式简便运算:98×102(2)8、(1)计算:|1﹣|++(﹣2)0;(2)化简:(a2b﹣2ab2﹣b3)÷b﹣(a﹣b)2.9、(1)计算:()0 -()-2 +sin 30°(2)化简:10、计算:11、化简:(a+b)(a﹣b)+2b2.12、13、(1)化简:(a+b)2+(a﹣b)(a+b)﹣2ab;14、(1)计算:= .(2)化简分式(﹣)÷(﹣1),然后选一个你喜欢的实数代入求值.15、利用乘法公式计算:(1)(2)2011×2013-2012216、计算:(1)(﹣2a)•(﹣a+3);(2)(x+3)(x+4)﹣;(3)(x+3)(x﹣3)(﹣9);(4).17、计算:(1)(2)18、先化简,再求值:(a+3)2+a(2﹣a),其中a=.19、20、计算:(x﹣7)(x+3)﹣x(x﹣2).21、计算:22、用乘法公式计算:23、下列计算中错误的是 ( )A.B.C.D.24、(a+b-c)225、26、利用乘法公式计算下列各题:①10.3×9.7 ②998227、化简并求值:4(x+1)2﹣(2x+3)(2x﹣3),其中x=﹣1.28、(1)计算:()-3-(-1)2016+((2)先化简,再求值:(3-4y)(3+4y)+(3+4y)2,其中y=-0.529、先化简,再求值.(a+b)(a﹣b)+(a+b)2﹣2a2,其中ab=﹣1.30、已知x﹣y=,求代数式(x+1)2﹣2x+y(y﹣2x)的值.31、计算题(1)103×97(2)(2a﹣b)2+2a(2b﹣a)(3)(3﹣1﹣1)0﹣2﹣3+(﹣3)2﹣()﹣1(4)[(x+y)2﹣(x﹣y)2]÷(2xy)32、先化简,再求值:(2a+b)2+5a(a+b)﹣(3a﹣b)2,其中a=3,b=﹣.33、计算(1)|﹣2|﹣(2﹣π)0++(﹣2)3(2)(﹣2x3)2•(﹣x2)÷[(﹣x)2]3(3)(x+y)2(x﹣y)2(4)(x﹣2y+3z)(x+2y﹣3z)34、先化简,再求值:,其中35、计算:(1)(2)(3)(4)(5)(-2)3-(-)·(3)2(6)(7)(a+3b-2c)(a-3b-2c)(8)(x-2y)(x+2y)(x2-4y2);36、计算(1)(2)(3)(4)37、计算(1)(2)(-2x)2•(x2)3•(-x)2(3)(x-1)(x+2)-3x(x+3)(4)(x-y)2-(x-2y)(x+2y)38、计算(1)(2)(3)(2x-1)(x-3)(4)(5)39、计算: (1)-2-3+8-1×(-1)3×(-)-2×70.(2) x(x+1)-(x-1)(x+1).40、计算:41、计算:(1)(x3y)2×2xy2(2)(3x+2y)(3x﹣2y)﹣(x﹣y)(3x+4y)42、利用整式的乘法公式计算:①1999×2001②992﹣1.43、计算:(2m+n﹣p)(2m﹣n+p)44、利用整式的乘法公式计算:①1999×2001②992﹣1.45、(2015秋•禹州市期末)计算:(1)999×1001(2)2015+20152﹣2015×2016(3)[a2+b2+2b(a﹣b)﹣(a﹣b)2]÷4b.46、(2015秋•惠山区期末)计算:(1)(﹣)2+|﹣2|﹣(﹣2)0;(2)(x+2)2﹣2(x+2).47、(2015秋•万州区校级月考)阅读下列材料,完成后面问题某同学在计算3(4+1)(42+1)时,把3写成4﹣1后,发现可以连续运用平方差公式计算:3(4+1)(42+1)=(4﹣1)(4+1)(42+1)=(42﹣1)(42+1)=162﹣1=255.请借鉴该同学的经验,计算:(2+1)(22+1)(24+1)(28+1)48、计算(1)(2)(3)(4)49、计算:(1)(2+1)(22+1)(24+1)+1(2)(3)解方程:(4)解方程:50、化简并求值:,其中.51、化简求值:(8分),其中,.52、计算(每小题3分,共12分)(1)(2)(3)(-a+3b)2-(a-3b)(-a-3b)(4)(用简便方法)53、计算(每题4分,共16分)(1)a3b2c÷a2b(2)(3)(-4x-3y)2(4)54、(16分)计算:(1)4﹣8×(﹣)3(2)﹣5(x2﹣3)﹣2(3x2+5)(3)﹣12011+4×(﹣3)2÷(﹣2)(4)4a2+2(3ab﹣2a2)﹣(7ab﹣1)55、(本题满分8分)计算:(1);(2)a(a-3)-(1-a)(1+a).56、计算:(1)+(-2)3 -()-2(2)57、(本题8分)(1)计算:(2)+(x-2)(x+2)-4x(x-)58、简便运算:-2018×201059、60、运用公式进行简便计算(每题3分共6分)(1);(2).61、计算(每题4分共24分)(1);(2);(3)-22+(-)-2-(π-5)0-|-4| ;(4);(5);(6).62、计算:(每小题5分,共10分)(1)、(2)、[]63、64、计算.(每题4分,共8分)(1)(2)65、计算:(每小题6分,共12分)(1)(2)66、若,求的值.67、计算:(1)-2-(-)0+2sin60°-|-3|;(2)(x+1)2-(x+2)(x-2)参考答案1、(1)39204;(2)9991.2、11﹣4.3、120.4、2.5、(1)1;(2)39204.6、24.7、9996;8、(1) 3;(2)﹣2b2.9、(1)-;(2)a2+2b2.10、-4xy11、原式=a2﹣b2+2b2=a2+b2.12、解:原式=4x2+4xy+y2-(4x2-9y2)=4x2+4xy+y2-4x2+9y2=4xy+10y213、14、(1)2;(2)1.15、(1);(2)-1.16、(1);(2)9x+11;(3);(4).17、(1)、8;(2)、18、5.19、 4x+520、﹣2x﹣2121、8x+29.22、9960.0423、B24、a2+b2+c2+2ab-2ac-2bc25、x2-4xy+4y2-126、(1)、99.91;(2)、99600427、化简结果:8x+13,值为5.28、(1)8;(2)18+24y;6.29、﹣230、4.31、(1)9991,(2)2a2十b2,(3)5,(4)232、﹣30.33、(1)﹣4;(2)﹣4x2;(3)x4﹣2x2y2+y4;(4)﹣x2﹣4y2+12yz﹣9z2.34、335、(1)7;(2)-2n+2+1;(3)4x+5;(4)2m-1;(5);(6)-12;(7);(8)36、(1)、42;(2)、4;(3)、;(4)、37、(1) -4;(2) 4x10;(3) -2x2-8x-2;(4) -2xy+5y2.38、(1)-5;(2) a3;(3)2x2-7x+3;(4)(9x2-4y2)2;(5)x2-4xy+4y2-1639、(1)-.(2)x+1.40、8x+2941、(1)2x7y4(2)6x2﹣xy42、①3999999②980043、4m2﹣n2+2np﹣p244、①3999999;②9800.45、(1)999999;(2)0;(3)a﹣46、(1)4;(2)x2+2x.47、216﹣1.48、(1);(2);(3);(4).49、(1)256;(2)1;(3)无解.(3)x=50、37.51、,16.52、;2;2-6ab;1.53、(1);(2);(3);(4).54、(1)5;(2)﹣11x2+5;(3)-19;(4)﹣ab+1.55、(1)+2;(2)2a2-3a-1.56、(1)-14;(2)2x-5.57、5-3;-2x-3.58、1659、6x+760、(1)39204;(2)9991.61、(1)﹣7a3b6;(2)(b-a)4;(3)﹣5 ;(4)x2-y2-9+6y;(5)-18x2y2+ 6xy2+9y3;(6)-8y2+ 4xy.62、(1)、6;(2)、2x-5y.63、64、(1)2xy-2 (2)4xy+1065、(1);(2).66、867、(1);【解析】1、试题分析:(1)原式变形后,利用完全平方公式计算即可得到结果;(2)原式变形后,利用平方差公式计算即可得到结果.试题解析:(1)原式=(200-2)2=2002-2×200×2+22=40000-800+4=39204;(2)原式=(100+3)×(100-3)=1002-32=10000-9=9991.考点:1.平方差公式;2.完全平方公式.2、试题分析:先进行二次根式的乘法运算,然后化简合并.试题解析:解:原式=13﹣4﹣(2+2)(﹣)=13﹣4﹣2=11﹣4.考点:二次根式的混合运算.3、试题分析:直接利用同底数幂的乘法运算法则求出即可.试题解析:2a+b+3=2a•2b•23=5×3×8=120.考点:同底数幂的乘法.4、试题分析:原式变形后,利用平方差公式计算即可得到结果.试题解析:原式===2.考点:平方差公式.5、试题分析:(1)运用平方差公式进行计算即可得到答案;(2)运用完全平方公式求解.试题解析:(1)20152-2014×2016=20152-(2015-1)×(2015+1)=20152-20152+1=1;(2)1982=(200-2)2=2002-2×200×2+22=40000-800+4=39204.考点:1.平方差公式;2.完全平方公式.6、试题分析:先利用平方差公式计算得到原式=(2+3+2﹣3)(2+3﹣2+3),然后把括号内合并后进行二次根式的乘法运算.试题解析:原式=(2+3+2﹣3)(2+3﹣2+3)=4•6=24.考点:二次根式的混合运算.7、试题分析:利用平方差公式计算即可;先算0指数幂,负指数幂,以及积的乘方计算,再算加法.试题解析:(1)98×102=(100﹣2)×(100+2)=10000﹣4=9996;(2)原式=+1+1=.考点:整式的混合运算;零指数幂;负整数指数幂.8、试题分析:(1)原式第一项利用绝对值的代数意义化简,第二项化为最简二次根式,第三项利用零指数幂法计算即可得到结果;(2)原式第一项利用多项式除以单项式法则计算,第二项利用完全平方公式化简,去括号合并即可得到结果.试题解析:解:(1)原式=﹣1+2+1=3;(2)原式=a2﹣2ab﹣b2﹣a2+2ab﹣b2=﹣2b2.点评:此题考查了整式的混合运算,以及实数的运算,熟练掌握运算法则是解本题的关键.考点:整式的混合运算;实数的运算;零指数幂.9、试题分析:(1)先计算0指数幂、负指数幂、三角函数,然后按顺序计算即可;(2)先进行完全平方公式、单项式与多项式乘法的运算,然后再合并同类项即可;试题解析:(1)原式=;(2)原式=a2-2ab+b2+2ab+b2=a2+2b2;考点:1.实数的运算;2.整式的运算.10、试题分析:首先根据多项式的乘法法则将括号去掉,然后进行合并同类项计算.试题解析:原式=-4-4xy+4=-4xy.考点:多项式的乘法计算.11、试题分析:应用平方差公式化简后,找到多项式中的同类项,合并同类项即可.考点:平方差公式、整式加减点评:该题考查了平方差公式化简整式乘法,注意符合平方差公式中的两项为两个数的和与两个数的差的乘积.12、试题分析:根据平方差公式和完全平方公式分别进行计算,再把所得的结果合并即可.考点:整式的混合运算点评:此题考查了整式的混合运算,熟练掌握运算法则是解本题的关键.13、试题解析:解:==考点:整式的混合运算点评:本题主要考查了整式的混合运算.首先利用完全平方公式和平方差公式把整式中的各部分展开,然后再合并同类项.14、试题分析:(1)分别进行负整数指数幂、零指数幂、特殊角的三角函数值、二次根式的化简等运算,然后按照实数的运算法则计算即可.(2)原式括号中两项通分并利用同分母分式的减法法则计算,同时利用除以一个数等于乘以这个数的倒数将除法运算化为乘法运算,约分得到最简结果,将a=1代入计算即可求出值.试题解析:(1)原式=3﹣1﹣4×+=2.(2)原式=[]÷===当a=1时,原式=1.考点:1.实数的运算;2.零指数幂;3.负整数指数幂;4.特殊角的三角函数值.5. 分式的化简求值.15、试题分析:(1)先把原题化为,再根据平方差公式进行计算即可;(2)先把原题化为(2012-1)(2012+1)-20122,再根据平方差公式进行计算即可.试题解析:(1)原式=;(2)原式=(2012-1)(2012+1)-20122=20122-1-20122=-1.考点:平方差公式.16、试题分析:(1)根据单项式乘以多项式的法则进行计算即可;(2)根据多项式乘以多项式的法则进行计算即可;(3)根据平方差公式进行计算即可;(4)根据平方差公式进行计算即可.试题解析:(1)(﹣2a)•(﹣a+3)=;(2)(x+3)(x+4)﹣=+7x+12﹣+2x﹣1=9x+11;(3)(x+3)(x﹣3)(﹣9)==;(4)====.考点:整式的混合运算.17、试题分析:(1)、根据单项式乘以多项式的计算法则得出答案;(2)、根据平方差公式和完全平方公式进行化简计算.试题解析:(1)、原式===(2)、原式=[3a+(b-2)]·[3a-(b-2)]=9-=考点:整式的乘法公式.18、试题分析:原式利用完全平方公式,以及单项式乘以多项式法则计算,去括号合并得到最简结果,把a的值代入计算即可求出值.试题解析:原式=a2+6a+9+2a﹣a2=8a+9,当a=﹣时,原式=﹣4+9=5.【考点】整式的混合运算—化简求值.19、试题分析:首先根据完全平方公式和平方差公式将括号去掉,然后进行合并同类项计算得出答案. 试题解析:原式=+4x+4-+1=4x+5考点:多项式的乘法20、试题分析:原式利用多项式乘以多项式,单项式乘以多项式法则计算即可得到结果.解:原式=x2﹣4x﹣21﹣x2+2x=﹣2x﹣21.点评:此题考查了多项式乘多项式,以及单项式乘多项式,熟练掌握运算法则是解本题的关键.21、试题分析:先运用完全平方公式和平方差公式进行计算后,再合并同类项即可求出答案.试题解析:原式=4(x2+2x+1)-(4x2-25)=4x2+8x+4-4x2+25=8x+29.考点:1,完全平方公式;2.平方差公式.22、试题分析:把99.8写成(100-0.2),然后利用完全平方公式计算即可得解.试题解析:=(100-0.2)2=10000-2×100×0.2+0.04=9960.0423、试题分析:根据多项式的乘法计算法则m(a+b+c)=ma+mb+mc可得:B、原式=.考点:多项式的乘法计算24、试题分析:首先将a+b看做一个整体,然后利用两次完全平方公式进行计算.试题解析:原式==考点:完全平方公式25、试题分析:首先将原式转化成[(x-2y)+1][(x-2y)-1],然后利用完全平方公式和平方差公式进行计算.试题解析:原式=[(x-2y)+1][(x-2y)-1]=.考点:平方差公式26、试题分析:(1)、利用平方差公式进行简便计算;(2)、利用完全平方公式进行计算.试题解析:(1)、原式=(10+0.3)×(10-0.3)=100-0.09=99.91(2)、原式==996004考点:公式法简便计算27、试题分析:先展开完全平方式,再根据平方差公式计算乘法,最后算加减,计算结果要化成最简整式,并把x的值代入进行计算即可.试题解析:先展开完全平方式,再根据平方差公式计算乘法,最后算加减,原式=4(x2+1+2x)﹣(4x2﹣9)=4x2+4+8x﹣4x2+9=8x+13,当x=﹣1时,原式=﹣8+13=5.考点:整式的化简求值.28、试题分析:(1)、首先根据负指数次幂、零次幂和(-1)的偶数次幂的计算法则求出各式的值,然后进行求和;(2)、根据平方差公式和完全平方公式将多项式进行展开,然后进行合并同类型化简,最后将y的值代入化简后的代数式得出答案.试题解析:(1)、原式=8-1+1=8(2)、原式=9-16+9+24y+16=18+24y当y=-0.5时,原式=18+24×(-0.5)=18+(-12)=6.考点:(1)、实数的计算;(2)、多项式的化简求值29、试题分析:按平方差公式和完全平方公式把原式化简,然后把给定的值代入求值.解:原式=a2﹣b2+a2+2ab+b2﹣2a2=2ab当ab=﹣1时,原式=2×(﹣1)=﹣2.点评:考查的是整式的混合运算,主要考查了公式法、单项式与多项式相乘以及合并同类项的知识点.30、试题分析:∵x﹣y=,∴(x+1)2﹣2x+y(y﹣2x)=x2+2x+1﹣2x+y2﹣2xy=x2+y2﹣2xy+1=(x﹣y)2+1=()2+1=3+1=4.考点:整式的化简求值.31、(1)解:原式=(100+3)(100﹣3)=1002﹣32=9991,(2)解:原式=4a2﹣4ab+b2+4ab﹣2a2=2a2十b2,(3)解:原式=1﹣+9﹣4=5,(4)解:原式=(x2+2xy+y2﹣x2+2xy﹣y2)÷(2xy)=(4xy)÷(2xy)=2.32、试题分析:先算乘法,再合并同类项,最后代入求出即可.解:(2a+b)2+5a(a+b)﹣(3a﹣b)2=4a2+4ab+b2+5a2+5ab﹣9a2+6ab﹣b2=15ab,当a=3,b=﹣时,原式=15×3×(﹣)=﹣30.点评:本题考查了整式的混合运算和求值的应用,主要考查学生的化简能力和计算能力,题目比较好,难度适中.33、试题分析:(1)直接利用绝对值以及零指数幂的性质和负整数指数幂分别化简求出答案;(2)直接利用积的乘方运算法则以及结合同底数幂的乘除法运算法则求出答案;(3)直接利用积的乘方运算法则求出答案;(4)直接利用多项式乘法运算法则求出答案.解:(1))|﹣2|﹣(2﹣π)0++(﹣2)3=2﹣1+3﹣8=﹣4;(2)(﹣2x3)2•(﹣x2)÷[(﹣x)2]3=﹣4x8÷x6=﹣4x2;(3)原式=[(x+y)(x﹣y)]2=(x2﹣y2)2=x4﹣2x2y2+y4;(4)(x﹣2y+3z)(x+2y﹣3z)=x2﹣(2y﹣3z)2=﹣x2﹣4y2+12yz﹣9z2.34、试题分析:解题关键是化简,再代入求值试题解析:(x-1)2+x(x+2)=x2-2x+1+x2+2x=2x2+1把x=-1代入,原式=2×(-1)2+1=3.考点:整式的化简求值35、试题分析:(1)根据任何不为零的实数的零次幂为1,求出各式的值,然后进行求和;(2)根据多项式除以单项式的计算法则进行计算;(3)根据完全平方公式和平方差公式将括号去掉,然后进行合并计算;(4)根据平方差公式和多项式乘以多项式的计算法则将括号去掉,然后进行合并计算;(5)根据积的乘方以及同底数幂的计算法则求出各式的值,然后进行求和;(6)首先根据积的乘方法则以及同底数幂的乘除法法则求出各式的值,然后进行求和;(7)利用平方差公式以及完全平方公式进行化简求值;(8)利用平方差公式和完全平方公式进行计算.试题解析:(1)原式=2+4+1=7(2)原式=-2n+2+1(3)原式=+4x+4-+1=4x+5(4)原式=-4-+2m+3=2m-1(5)原式=-8+9=(6)原式==-8+(-4)=-12(7)原式=[(a-2c)+3b][(a-2c)-3b]==(8)原式=()()=考点:(1)多项式乘法的计算;(2)幂的计算.36、试题分析:(1)、根据0次幂以及负指数次幂的计算法则将其求出,然后再进行有理数的加减法计算;(2)、根据同底数幂的乘除法、乘方计算法则进行计算;(3)、利用积的乘方的逆运算以及完全平方公式进行计算;(4)、利用平方差和完全平方公式进行计算.试题解析:(1)、原式=27-1+16=42 (2)、原式=+4-=4(3)、原式==(4)、原式==.考点:(1)、实数的计算;(2)、幂的计算;(3)、多项式的乘法计算.37、试题分析:(1)根据负整数指数幂、零指数幂、绝对值、平方进行计算即可;(2)根据同底数幂的乘法、积的乘方和幂的乘方进行计算即可;(3)根据多项式乘以多项式、单项式乘以多项式进行计算即可;(4)根据完全平方公式和平方差公式进行计算即可.试题解析:(1)=-4+4-1-3=-4;(2)(-2x)2•(x2)3•(-x)2=4x2•x6•x2=4x10;(3)原式=x2+x-2-3x2-9x=-2x2-8x-2;(4)原式=x2-2xy+y2-x2+4y2=-2xy+5y2.考点:整式的混合运算;零指数幂;负整数指数幂.38、试题分析:(1)根据有理数的乘方法则、负整数指数幂的定义和零指数幂的定义计算,再合并即可;(2)根据同底数幂的乘除法法则计算即可;(3)根据多项式与多项式相乘的法则计算,再合并即可;(4)先运用平方差公式计算,再运用完全平方公式计算即可;(5)先运用平方差公式计算,再运用完全平方公式计算即可.试题解析:(1)-22+(-)-1+(3-π)0=-4-2+1=-5;(2)(-a)2•a4÷a3=a2•a4÷a3=a3;(3)(2x-1)(x-3)=2x2-6x-x+3=2x2-7x+3;(4)(3x-2y)2(3x+2y)2=[(3x-2y)(3x+2y)]2=(9x2-4y2)2=81x4-72x2y2+16y4(5)(x-2y+4)(x-2y-4)=(x-2y)2-42=x2-4xy+4y2-16考点:1.整式的混合运算;2.零指数幂;3.负整数指数幂.39、试题分析:(1)先算负整数指数幂、乘方、零指数幂,再计算乘法,最后计算加减法即可求解;(2)先根据单项式乘多项式的计算法则和平方差公式计算,再合并同类项即可得到结果.试题解析:(1)原式=-+×(-1)×4×1=--=-.(2)原式=x2+x-(x2-1)=x2+x-x2+1=x+1.考点:1.整式的混合运算;2.零指数幂;3.负整数指数幂.40、试题分析:根据整式的运算法则进行运算求出结果.试题解析:=8x+29.考点:整式的混合运算.41、试题分析:(1)原式利用幂的乘方与积的乘方运算法则计算,再利用单项式乘以单项式法则计算即可得到结果;(2)原式利用平方差公式,以及多项式乘以多项式法则计算,去括号合并即可得到结果.解:(1)原式=x6y2×2xy2=2x7y4;(2)原式=9x2﹣4y2﹣3x2﹣4xy+3xy+4y2=6x2﹣xy.考点:整式的混合运算.42、试题分析:两式变形后,利用平方差公式计算即可得到结果.解:①原式=(2000﹣1)×(2000+1)=20002﹣1=4000000﹣1=3999999;②原式=(99+1)×(99﹣1)=100×98=9800.考点:平方差公式.43、试题分析:先把原式变形为[2m+(n﹣p)[2m﹣(n+p)],再根据平方差公式展开得到(2m)2﹣(n﹣p)2,然后利用完全平方公式展开得到4m2﹣(n2﹣2np+p2),接着去括号即可.解:原式=[2m+(n﹣p)][2m﹣(n﹣p)]=(2m)2﹣(n﹣p)2=4m2﹣(n2﹣2np+p2)=4m2﹣n2+2np﹣p2.考点:平方差公式;完全平方公式.44、试题分析:两式变形后,利用平方差公式计算即可得到结果.解:①原式=(2000﹣1)×(2000+1)=20002﹣1=4000000﹣1=3999999;②原式=(99+1)×(99﹣1)=100×98=9800.考点:平方差公式.45、试题分析:(1)直接利用平方差公式计算得出答案;(2)首先提取公因式2015,进而计算得出答案;(3)首先去括号,进而合并同类项,再化简求出答案.解:(1)999×1001=(1000﹣1)(1000+1)=1000000﹣1=999999;(2)2015+20152﹣2015×2016=2015×(1+2015﹣2106)=0;(3)[a2+b2+2b(a﹣b)﹣(a﹣b)2]÷4b=(a2+b2+2ab﹣2b2﹣a2﹣b2+2ab)÷4b=(﹣2b2+4ab)÷4b=a﹣.考点:整式的混合运算.46、试题分析:(1)原式第一项进行乘方运算,第二项利用绝对值的代数意义化简,最后一项利用零指数幂法则计算即可得到结果.(2)原式第一项根据乘法公式进行乘方运算,第二项去括号,然后合并同类项即可得到结果.解:(1)(﹣)2+|﹣2|﹣(﹣2)0=3+2﹣1=4.(2)(x+2)2﹣2(x+2)=x2+4x+4﹣2x﹣4=x2+2x.考点:实数的运算;整式的混合运算;零指数幂.47、试题分析:直接利用平方差公式将原式变形分别化简求出答案.解:(2+1)(22+1)(24+1)(28+1)=(2﹣1)(2+1)(22+1)(24+1)(28+1)=(22﹣1)(22+1)(24+1)(28+1)=(24﹣1)(24+1)(28+1)=(28﹣1)(28+1)=216﹣1.考点:平方差公式.48、试题分析:(1)利用乘法公式计算,合并即可得到结果;(2)利用多项式乘以多项式法则计算,去括号合并即可得到结果;(3)先利用平方差公式计算,再利用完全平方公式计算即可;(4)利用乘法公式计算,再去括号合并同类项即可.试题解析:(1)原式===;(2)原式===;(3)原式====;(4)原式===.考点:1.多项式乘多项式;2.单项式乘多项式.49、试题分析:(1)运用平方差公式进行计算即可;(2)变成同分母后,再进行计算即可;(3)(4)按照解分式方程的步骤进行计算即可.试题解析:(1)原式=(2-1)(2+1)(22+1)(24+1)+1=(22-1)(22+1)(24+1)+1=(24-1)(24+1)+1=28-1+1=256.(2)原式=;(3)去分母得:2x=x-5+10移项得:2x-x=-5+10∴x=5经检验:x=5是原方程的增根.故原方程无解.(4)去分母得:2(x-3)+x2=x(x-3)去括号得:2x-6+x2= x2-3x移项得:2x+x2-x2+3x=6合并同类项,得:5x=6系数化为1,得:x=经检验:x=是原方程的解.考点:1.平方差;2.分式的运算;3.解分式方程.50、试题分析:首先对原式进行乘方运算,去括号,合并同类项,然后代入数值计算即可.试题解析:原式===="37"考点:整式的混合运算—化简求值.51、试题分析:先由平方差公式和完全平方公式算乘法,再合并同类项,最后代入求出即可.试题解析:解:原式==;当,时,原式==18-2=16.考点:整式的混合运算—化简求值.52、试题分析:根据二次根式的性质将各式进行化简,然后进行加减法计算;根据完全平方公式和多项式的乘法将各式进行展开,然后进行合并同类项;利用平方差公式进行计算.试题解析:(1)原式=-+2=(2)原式=4+(-2)+=2(3)原式=-6ab+9-(9-)=-6ab+9-9+=2-6ab(4)原式=-(2003-1)×(2003+1)=-(-1)=1.考点:二次根式的计算、多项式的乘法、完全平方公式53、试题分析:(1)根据单项式除以单项式的除法法则计算即可;(2)先根据幂的乘方的运算法则计算后再利用同底数幂的乘法法则计算即可;(3)利用完全平方公式展开即可;(4)先把式子化为后,先利用平方差公式展开后.再利用完全平方公式展开即可.试题解析:解:(1)原式=;(2)原式==;(3)原式=;(4)原式===.考点:整式的乘除运算.54、试题分析:(1)先算乘方,再算乘法,最后算减法;(2)去括号,再合并同类项即可;(3)先算乘方,再算乘除,最后算加法.(4)先去括号,再合并同类项即可;试题解析:(1)原式=4﹣8×(﹣)=4+1=5;(2)原式=﹣5x2+15﹣6x2﹣10=﹣11x2+5;(3)原式=﹣1+4×9÷(﹣2)=﹣1﹣18=﹣19;(4)原式=4a2+6ab﹣4a2﹣7ab+1=﹣ab+1.考点:有理数的混合运算;整式的加减.55、试题分析:(1)根据实数的运算顺序计算,注意sin45°=,任何不等于0的数的0次幂都等于1,()-1==2;(2)根据单项式与多项式相乘,先用单项式乘多项式的每一项,(1-a)(1+a)的计算可运用平方差公式,得1-a2;本题解题的关键是熟练掌握运算法则,计算时还要注意符号的处理.试题解析:(1)-+2sin45°+(3-π)0+()-1原式=a2-3a-(1-a2)=+2(2)a(a-3)-(1-a)(1+a)原式=-1++1+2=2a2-3a-1考点:1.特殊角的三角函数值;2.零指数幂和负整数指数幂;3单项式乘多项式.56、试题分析:(1)根据负整数幂、有理数的乘方、算术平方根的意义进行计算即可;(2)根据平方差和完全平方公式把括号去掉,然后再合并同类项即可.试题解析:(1)原式==3-8-9=-14.(2)原式=x2-4-(x2-2x+1)=x2-4-x2+2x-1=2x-5.考点:1.实数的运算;2.整式的运算.57、试题分析:(1)首先根据负指数次幂和0次幂以及二次根式的化简法则进行化简,然后求和;(2)首先根据法则去括号,然后利用合并同类项进行计算.试题解析:(1)原式=4-3+1=5-3(2)原式=4-4x+1+-4-4+2x=-2x-3.考点:实数的计算、整式的乘法计算.58、试题分析:首先将2018和2010转化成(2014+4)和(2014-4),然后利用平方差公式进行计算.试题解析:原式=-(2014+4)×(2014-4)=-(-16)=16.考点:平方差公式的应用.59、试题分析:先分别按顺序进行完全平方公式、整式乘法的运算,然后再合并同类项即可试题解析:原式=x2+4x+4-(x2-3x+x-3)=x2+4x+4-x2+3x-x+3=6x+7考点:整式的运算60、试题分析:(1)198接近200,所以可以表示为,然后应用完全平方公式进行计算;(2)把103表示为100+3,97表示为100-3,则原式可以表示为,应用平方差公式进行计算.试题解析:解:(1)===39204;(2)===9991.考点:应用乘法公式进行简便计算..61、试题分析:(1)考查了幂的乘方和积的乘方公式;(2)考查了同底数幂的除法公式;(3)考查了实数的运算;(4)通过变形可以应用平方差公式计算;(5)应用乘法分配律展开,然后合并同类项;(6)应用平方差公式和完全平方公式展开,然后合并同类项.试题解析:解:(1)=;(2)=;(3)-22+(-)-2-(π-5)0-|-4|;(4)=;(5);(6).考点:整式的乘法公式;整式的运算;实数的运算.62、试题分析:(1)、根据绝对值、0次幂、负指数次幂以及算术平方根的计算方法将各值求出,然后进行有理数的加减法计算;(2)、首先将中括号里的多项式进行化简,然后根据除法计算公式进行求解.试题解析:(1)、原式=3+4+1-2=6;(2)、原式=()÷4y=÷4y=2x-5y.考点:实数的计算、多项式除以单项式.63、试题解析:解:==.考点:整式的混合运算点评:本题主要考查了整式的混合运算.首先利用完全平方公式和单项式乘以多项式把各部分展开,然后再合并同类项.64、试题分析:(1)首先根据单项式的乘法公式将中括号去掉,然后再利用除法进行计算;(2)根据完全平方公式和平方差公式进行展开,然后再进行合并同类项.试题解析:(1)原式===2xy-2(2)原式==4xy+10.考点:多项式的除法计算、完全平方公式和平方差公式.65、试题分析:(1)先把二次根式进行化简,然后再同类二次根式即可.(2)先根据完全平方公式和平方差公式把括号去掉,再合并即可求出答案.试题解析:(1)原式==;(2)原式==.考点:二次根式的化简.66、试题分析:根据幂的乘方运算的逆运算,可知,,因此,可以根据2x+5y=3可求得结果.试题解析:由得2x+5y=3,所以====8考点:幂的乘方运算的逆运算67、试题分析:(1)先计算负整数指数幂、零次幂、特殊三角函数值、绝对值,再进行加减运算即可;(2)先根据完全平方公式及平方差公式的运算法则把括号展开,再合并同类项即可求解.试题解析:(1)原式=4-1+2×-3=;(2)原式=x2+2x+1-(x2-4)=2x+5考点:1.实数的混合运算;2.完全平方公式;3.平方差公式.。
人教版八年级数学上册:乘法公式专题训练试题学校_________ 班级__________ 姓名__________ 学号__________一、填空题1. 若x2+kx+25是一个完全平方式,则k的值是____________.2. 已知则=__________.3. 计算:(x-y)(x2+xy+y2)=__________4. 已知:,,那么________________.5. 用完全平方公式填空:4-12(x-y)+9(x-y)2=(___________)2.6. 观察下列各式,探索发现规律:22-1=1×3;32-1=2×4;42-1=3×5;52-1=4×6;….按此规律,第n个等式为__7. 观察下列等式:(1+2)2-4×1=12+4,(2+2)2-4×2=22+4,(3+2)2-4×3=32+4,(4+2)2-4×4=42+4,…,则第n个等式是__________________.8. 杨辉三角,又称贾宪三角,是二项式系数在三角形中的一种几何排列,西方人帕斯卡发现时,已比宋代杨辉要迟393年.如图,根据你观察的杨辉三角的排列规律,则(a+b)6结果中含有a2b4的项的系数为_____.9. 若恰好是某一个多项式的平方,那么实数的值是_________.10. 观察下列运算并填空.1×2×3×4+1=24+1=25=52;2×3×4×5+1=120+1=121=112;3×4×5×6+1=360+1=361=192;4×5×6×7+1=840+1=841=292;7×8×9×10+1=5040+1=5041=712;……试猜想:(n+1)(n+2)(n+3)(n+4)+1=________2.二、单选题11. 在边长为a的正方形中挖去一个边长为b的小正方形(a>b)(如图甲),把余下的部分拼成一个矩形(如图乙),根据两个图形中阴影部分的面积相等,可以验证()A.(a+b)2=a2+2ab+b2B.(a-b)2=a2-2ab+b2C.a2-b2=(a+b)(a-b)D.(a+2b)(a-b)=a2+ab-2b212. 若,则表示的代数式是( ) A.B.C.D.13. 若a-b=8, a2-b2=72,则a+b的值为( )A.9 B.-9 C.27 D.-2714. 计算的结果是()A.B.C.0 D.15. 观察下列各式及其展开式:(a+b)2=a2+2ab+b2(a+b)3=a3+3a2b+3ab2+b3(a+b)4=a4+4a3b+6a2b2+4ab3+b4(a+b)5=a5+5a4b+10a3b2+10a2b3+5ab4+b5…请你猜想(a+b)10的展开式第三项的系数是()A.36 B.45 C.55 D.66 16. 计算:(a-b+3)(a+b-3)=( )A.a2+b2-9 B.a2-b2-6b-9 C.a2-b2+6b-9 D.a2+b2-2ab+6a +6b+917. 已知a+b=3,ab=2,则a2+b2的值为()A.3 B.4 C.5 D.618. 计算(x﹣y)3?(y﹣x)=()A.(x﹣y)4B.(y﹣x)4C.﹣(x﹣y)4D.(x+y)419. 下列各式能用平方差公式计算的是( )A.(3a+b)(a-b) B.(3a+b)(-3a-b)C.(-3a-b)(-3a+b) D.(-3a+b)(3a-b)20. 下列计算中,能用平方差公式计算的是( )A.(x+3)(x-2) B.(-1-3x)(1+3x)C.(a2+b)(a2-b) D.(3x+2)(2x-3)21. 下列等式能够成立的是( ).A.(x-y)2=x2-xy+y2B.(x+3y)2=x2+9y2C.(x-)2=x2-xy+D.(m-9)(m+9)=m2-922. 下列各式中,与相等的是()A.B.C.D.23. 下列各式,计算正确的是( ).A.(a-b)2=a2-b2B.(x+y)(x-y)=x2+y2 C.(a+b)2=a2+b2D.(a-b)2=a2-2ab+b224. 下列计算正确的是()A.(x+7)(x﹣8)=x2+x﹣56 B.(x+2)2=x2+4C.(7﹣2x)(8+x)=56﹣2x2D.(3x+4y)(3x﹣4y)=9x2﹣16y2三、解答题25. (x–2)2–(x+2)(x–2)26. 因式分解:(y2-1)2-6(y2-1)+927. (3a+2)2(3a-2)2.28. (a+2b)(a+b)-3a(a+b)29. 已知a2-4a-1=0,求(1);(2).30. 先化简,再求值(3a+2b)(2a﹣3b)﹣(a﹣2b)(2a﹣b),其中.。
07~08 上学年 八年级数学同步调查测试三
整式的乘除(13.3乘法公式)
一、 选择(3分×8=24分)
1、下列各式中,运算结果为2236y x -的是 ( )
A 、()()x y x y --+-66
B 、()()x y y -+-616
C 、()()x y x y +-+94
D 、()()x y x y ---66
2、若M x y y x ()3942-=-2,那么代数式M 应是 ( )
A 、-+()32x y
B 、 -+y x 23
C 、 32x y +
D 、 32x y -
3、乘积等于22b a -的式子为 ( )
A 、()()b a b a --
B 、()()b a b a ---
C 、()()a b b a ---
D 、()()b a b a +-+
4、下列各式是完全平方式的是 ( )
A 、x xy y 2224++
B 、 251022m mn n ++
C 、 a ab b 22++
D 、 x xy y 22214
-+ 5、下列等式中正确的为 ( )
A 、()2222b ab a b a +--=+-
B 、()222
242b ab a b a +-=- C 、222
24121n mn m n m +-=⎪⎭
⎫ ⎝⎛- D 、()()22b a c c b a --=-+ 6、若()2221243by xy x y ax +-=+,则b a ,的值分别为 ( ) A 、2, 9 B 、2, -9 C 、-2 ,9 D 、-4, 9
7、要使等式()()2
2b a M b a +=+-成立,则M 是 ( ) A 、ab 2 B 、ab 4 C 、-ab 4 D 、-ab 2
8、两个个连续奇数的平方差一定是 ( )A 、
3的倍数 B 、5的倍数 C 、8的倍数 D 、16的倍数
二、 填空(3分×10=30分)
9、⎪⎭⎫ ⎝⎛-⎪⎭⎫ ⎝
⎛+y x y x 4141= , ()232y x -= 。
10、如果=-+=-k a a k a 则),2
1)(21(312 。
11、若()()a b a b -=+=22713,,则a b 22+=_________,ab =________。
12、若x y x y 22126-=+=,,则x =_____________,y =_____________。
13、若91622x mxy y ++是完全平方式,则m =_____________。
14、已知:,则m m m m
+=+=13122_____________。
15、边长为a 的正方形,边长增加b 以后,则所得新正方形的面积比原正方形的面积增加了 。
16、已知正方形的面积是()0,06922>>++y x y xy x ,则正方形的边长是______。
17、若122=+a a ,则()2
1+a = 。
18、有理数y x ,满足()01222=+++-x x y x ,则()2005xy = 。
三、 化简(4分×4=16分)
19、()()()()y x y x y x y x 22+---+
20、()()()a b b a b a -+-+-22222
21、()()()m m m -++2422
22、()()p n m p n m 3232+++-
四、解答(6分×5=30分)
23、已知a b +=5,ab =-10。
求①a b 22+, ②()a b -2的值。
24、化简求值
()()[]()[]
2222y x xy x y x y x x
----+-,其中2,1-=-=y x
25、如果2)()1(2
=---y x x x ,求xy y x -+22
2的值。
26、已知:32b a c =+,求代数式a b c ac 222944-++的值
27、试说明:()()()321+++a a a a 是一个完全平方式。
测试三:1~8:DACBD CBC ; 9、22161y x -; 10、43; 11、10,23; 12、4,2;13、±24; 14、7; 15、22b ab +; 16、y x +3; 17、2; 18、1;
19、23y ; 20、22843b ab a --; 21、164-m ; 22、222496n p mp m -++;23、45,45; 24、4y ,16; 25、2; 26、0; 27、略。