琼海人民医院常用药品价格
- 格式:doc
- 大小:552.00 KB
- 文档页数:25
琼海市人民医院住院部医疗服务价格项目Ⅰ级护理日20 元Ⅱ级护理日15 元Ⅲ级护理日8 元拔罐疗法3罐11 元拔牙创面搔刮术每牙38 元白内障超声乳化摘除术+人工晶体植入术次1571 元白内障囊内摘除术次692 元白内障囊外摘除+人工晶体植入术次879 元白内障囊外摘除术次692 元半月板切除术次1985 元膀胱冲洗次13 元膀胱穿刺造瘘术次155 元膀胱灌注次23 元膀胱镜或尿道镜检查次207 元膀胱切开取石术次1270 元鼻部特殊治疗次81 元鼻饲管置管次11 元鼻外伤清创缝合术次315 元鼻息肉摘除术次541 元鼻咽部活检术次63 元辩证施膳指导次11 元髌骨骨折切开复位内固定术次1885 元玻璃体穿刺抽液术次377 元玻璃体切除术次1194 元残端修整术次1320 元肠切除术次1583 元肠吻合术次1011 元肠粘连松解术次1583 元场效应治疗每部位17 元超短波短波治疗每部位13 元超声波治疗(联合治疗) 5分钟/次12 元超声切割止血刀次224.45元持续膀胱冲洗次39 元耻骨后前列腺切除术次1891 元充填式无张力疝修补术单侧1332 元冲洗结膜囊次/只8.5 元磁疗每20分钟13 元催产素滴注引产术小时 6 元大换药次23 元大清创缝合次138 元带毛囊游离皮肤移植术次1382 元单胎顺产接生次674 元胆道球囊扩张术次523 元胆囊切除术次1194 元胆总管探查T管引流术次1445 元导尿次18 元等速肌力训练次21 元低频脉冲电治疗每部位13 元电动起立床训练次21 元电针二个穴位 6 元电子生物反馈疗法次17 元动静脉置管护理次 4.4 元多指切除术次377 元耳针单耳9.7 元二次剖宫产术次1256 元放血疗法每个穴位9.7 元腓骨骨折切开复位内固定术次912 元肺大泡切除修补术(单侧)次1809 元附睾切除术次955 元复杂视网膜脱离修复术次1508 元副乳切除术单侧692 元腹股沟疝修补术单侧1194 元腹股沟疝修补术经腹腔镜手术单侧250 元腹膜透析换液次21 元腹腔穿刺术次46 元腹式全子宫切除术次1270 元肝部分切除术次1194 元肝胆总管切开取石+空肠Roux-y吻合术次1898 元肝内病灶清除术次1194 元肝损伤清创修补术次1332 元肛周常见疾病手术治疗次1038 元高频吸氧小时7.6 元睾丸鞘膜翻转术单侧955 元睾丸切除术单侧955 元隔物灸法次23 元根管预备每根管18 元跟骨骨折切开复位撬拨术次1672 元肱骨干骨折切开复位内固定术次1985 元肱骨骨折切开复位内固定术次1985 元肱骨内外髁骨折切开复位内固定术次1985 元宫颈环形电切术次817 元宫颈扩张术次58 元宫颈内口探查术次35 元宫颈息肉切除术次38 元宫颈悬吊术次750 元宫内节育器放置术/取出次58 元宫腔镜检查次628 元股骨干骨折切开复位内固定术次2337 元股骨转子间骨折内固定术次2337 元骨骼肌软组织肿瘤切除术次1005 元骨骼牵引术次503 元骨髓穿刺术次81 元骨折内固定装置取出术手术室操作次1127 元骨折外固定架固定术次518 元刮宫术次127 元关节腔灌洗治疗单侧23 元关节松动训练次13 元关节脱位手法整复次230 元冠周炎局部治疗每牙17 元冠状动脉造影术(同时做左心室造影) 次3089 元灌肠次17 元广泛性子宫切除+盆腹腔淋巴结清除术次2802 元硅油取出术单侧692 元红外线治疗每个照射区9.7 元虹膜周边切除术次377 元喉良性肿瘤切除术次943 元换大单张 5 元肌肉注射次 2.2 元基础麻醉次295 元甲状腺癌扩大根治术次2261 元甲状腺部分切除术单侧1445 元甲状腺次全切除术单侧1565 元交通性鞘膜积液修补术单侧955 元结肠癌根治术次2186 元睫状体剥离术次692 元截瘫肢体综合训练次41 元经膀胱镜输尿管插管术单侧345 元经膀胱镜输尿管支架置入术次230 元经鼻内镜鼻窦手术次1583 元经肠镜特殊治疗次518 元经腹腔镜盆腔粘连分离术次1684 元经腹子宫肌瘤剔除术次1069 元经腹子宫肌瘤剔除术使用肌瘤粉碎装置次250 元经宫腔镜子宫肌瘤切除术次1684 元经股动脉插管全脑动脉造影术次1150 元经络穴位测评疗法次33 元经内镜奥狄氏括约肌切开取石术(ECT) 次1898 元经内镜鼻胆管引流术(ENBD)次920 元经尿道膀胱碎石取石术次874 元经尿道前列腺电切术次4146 元经皮穿刺肺活检术每处230 元经皮动脉栓塞术次2529 元经皮冠状动脉内支架置入术(STENT) 次4023 元经皮冠状动脉腔内成形术(PTCA) 次4023 元经十二指肠镜乳头扩张术次1332 元经十二指肠镜下胆道结石取出术次2299 元经胃镜食管静脉曲张治疗次299 元经胃镜特殊治疗次、每个肿物460 元精索静脉曲张高位结扎术单侧955 元精索静脉转流术次1005 元胫骨干骨折切开复位内固定术次1985 元胫骨髁间骨折切开复位内固定术次2337 元静脉采血次 3 元静脉穿刺置管术次21 元静脉输液组 6.6 元静脉输液(小儿)次8.8 元静脉注射次 3.3 元局部浸润麻醉次13 元局部切除组织活检检查与诊断每个部位62.7 元开髓引流术每牙21 元抗肿瘤化学药物配置组21 元抗肿瘤化学药物配置(大剂量药物加收18元)组39 元可见光治疗每个照射区15 元口腔颌面软组织清创术(小) 次1018 元口腔颌面软组织清创术(中) 次1583 元口腔局部冲洗上药每牙 6 元口腔局部止血每牙23 元阑尾切除术次860 元泪道冲洗次/只9.7 元冷热湿敷次 3.6 元连续性血液净化小时138 元临时起搏器安置术次1724 元淋巴结穿刺术次136 元颅骨凹陷骨折复位术次1508 元颅骨修补术次1508 元颅内动脉瘤夹闭术次3895 元颅内多发血肿清除术次2953 元颅内血肿清除术次2325 元卵巢囊肿剔除术单侧1069 元卵巢输卵管切除术单侧1018 元麻醉中(1)呼吸循环监测脉搏氧饱和度小时19 元麻醉中(10)呼吸循环监测气道压小时 6.6 元麻醉中(3)呼吸循环监测心率变异分析小时 6.6 元麻醉中(4)呼吸循环监测ST段分析小时 6.6 元麻醉中(7)呼吸循环监测体温小时 6.6 元麻醉中(8)呼吸循环监测潮气量小时 6.6 元麻醉中(9)呼吸循环监测分钟通气量小时 6.6 元孟氏骨折切开复位内固定术次1985 元面神经松解减压术次2325 元幕上浅部病变切除术次2953 元内外踝骨折切开复位内固定术次1672 元内眼病冷凝术次817 元内痔环切术次1194 元难产接生次868 元脑干肿瘤切除术次3895 元脑及颅面血管畸形栓塞术次2690 元脑室钻孔伴脑室引流术次1332 元泥疗每部位17 元尿道狭窄瘢痕切除术次2010 元尿道狭窄扩张术次40 元尿道重建术次2010 元脓肿切开引流术次126 元陪人床日 6 元陪人床(无床)日 3 元皮下注射次 2.2 元脾切除术次1508 元脾修补术次1069 元偏瘫肢体综合训练次41 元平衡功能训练次21 元剖腹探查术次1194 元剖宫产术次1067 元普通针刺5个穴位11 元其他推拿治疗(每次20分钟) 次35 元脐疝修补术次1194 元气管插管术次38 元气管切开护理日28 元牵引(机器牵引加收5元) 次22 元前房穿刺术次173 元前房角切开术次817 元前磨牙拔除术每牙50 元前庭大腺囊肿切除术次628 元前庭大腺囊肿造口术次189 元前牙拔除术每牙25 元浅表肿物切除术每个肿物126 元鞘内注射次29 元清洁灌肠次27 元球后注射次/只23 元球结膜下注射次/只11 元屈伸指肌腱吻合术每根肌腱628 元取皮术1%体表面积126 元去颅骨骨瓣减压术次1508 元全身麻醉2小时852 元全子宫+双附件切除术次1457 元桡尺骨干骨折切开复位内固定术次1885 元人工股骨头置换术次2337 元人工流产术次127 元人工破膜术次25 元人工全髋关节置换术次2677 元乳腺癌根治术单侧1734 元乳腺肿物穿刺术次101 元乳腺肿物切除术单侧566 元腮腺浅叶肿物切除术次1457 元烧伤换药(大) 次288 元烧伤换药(小) 次115 元烧伤换药(中) 次173 元神经吻合术次1672 元神经阻滞麻醉2小时315 元肾穿刺术单侧230 元肾囊肿切除术次1533 元肾切开取石术次1784 元肾上腺切除术(经腹腔镜手术)单侧2172 元石膏固定术(大) 次440 元石膏固定术(小) 次189 元石膏固定术(中) 次315 元视网膜激光光凝术次345 元视网膜脱离修复术次1194 元手(脚)外伤清创术每个手指854 元手部瘢痕挛缩整形术每个部位2337 元手部掌指骨骨折切开复位内固定术次1320 元手法牵引复位术(大) 次189 元手法牵引复位术(中) 次126 元手功能训练次21 元手取胎盘术次36 元手术扩肛治疗次105 元手外伤清创术次854 元手外伤推进皮瓣(V—Y)术次1069 元手指点穴5个穴位23 元输卵管结扎术次503 元输卵管切除术次1069 元输尿管切开取石术次1533 元术后镇痛次251 元术后镇痛(使用镇痛泵) 次291 元双胎接生次879 元死胎接生次265 元锁骨骨折切开复位内固定术次1672 元烫熨治疗每个部位23 元特大换药次35 元特级护理小时 4.4 元特殊方法气管插管术次75 元特殊物理降温次16 元体表异物取出术次126 元体外冲击波碎石次725 元贴敷疗法(小) 每个创面23 元贴敷疗法(小) 每个创面23 元贴敷疗法(中) 每个创面35 元头皮缺损修复术次1382 元推拿疗法(瘫痪病人加收50%)次17.5 元吞咽功能障碍训练次23 元外阴局部扩大切除术次1270 元微针针刺次23 元胃癌根治术次2186 元胃肠穿孔修补术次1194 元胃肠减压日 4.8 元胃肠切开取异物次1445 元胃肠造瘘术次1194 元温针5个穴位23 元吸痰护理次 2.2 元膝关节陈旧性前十字韧带重建术次1985 元膝关节清理术次2337 元洗胃次48 元下颌骨骨折切开复位内固定术单颌1583 元小动脉吻合术单侧1891 元小换药次11 元小清创缝合次69 元心电监测小时 5.5 元心肺复苏术次377 元心脏电除颤术次58 元新生儿辐射抢救治疗小时 3.6 元新生儿复苏次104 元新生儿护理日32 元新生儿蓝光治疗小时/单面 3.6 元新生儿暖箱小时 3.6 元新生儿脐静脉穿刺和注射次11 元新生儿气管插管术次64 元新生儿特殊护理日21 元新生儿洗胃次27 元胸壁外伤扩创术次943 元胸腹主动脉损伤修复术次3141 元胸内异物清除术次1759 元胸腔闭式引流术次943 元胸腔穿刺术次92 元穴位注射二个穴位11 元血浆置换术次1724 元血液灌流次690 元血液透析次460 元血液透析滤过次690 元牙髓失活术每牙29 元眼球裂伤缝合术次879 元羊膜腔穿刺术次69 元氧化雾化次11 元腰椎穿刺术次115 元腰椎滑脱椎弓根螺钉内固定植骨融合术次2337 元药物性引产处置术次127 元液基薄层细胞制片术次157.3 元一般物理降温次 4.8 元一般专项护理次10 元一般专项护理(床上擦浴)次10 元一般专项护理(床上洗头) 次10 元一般专项护理(防褥疮)次10 元一般专项护理(会阴冲洗)次10 元一般专项护理(口腔护理)次10 元胰岛素泵持续皮下注射胰岛素次185 元胰腺修补术次1332 元翼状胬肉切除术次377 元阴道灌洗上药次11 元阴道前后壁修补术次1069 元阴茎部分切除术次1206 元阴囊肿物切除术次440 元阴式全子宫切除术次1457 元引流管冲洗次13 元婴儿床日11 元永久起搏器安置术次2069 元游离皮片移植术1%体表面积754 元院内会诊(副主任医师) 次54 元院内会诊(主任医师) 次79 元院内会诊(主治医师) 次31 元运动疗法次35 元造瘘护理次8.8 元针刺运动疗法五个穴位23 元肢体动静脉修复术次2236 元直肠出血缝扎术次440 元直肠粘膜环切术次1194 元直流电治疗每个部位17 元中草药蒸汽浴治疗次35 元中换药次17 元中频脉冲电治疗每部位13 元中抢救日182 元中清创缝合次92 元中心静脉穿刺置管术次28 元中心吸氧小时 4.4 元中药熏洗治疗次35 元重睑成形术双侧1256 元重症监护小时 6.6 元周围神经嵌压松解术次1307 元主任医师诊查费次7.7 元主治医师院内会诊次31 元住院诊查费日10 元住院诊查费(副主任医师) 日10 元住院诊查费(主任) 日10 元椎管内麻醉2小时380 元子宫颈管环扎术(Mc-Donald) 次276 元自体皮移植术1%体表面积377 元自体血回收次58 元足部骨骨折切开复位内固定术(双侧或多处骨折加收50%)次491.5 元。
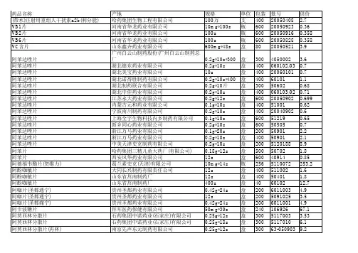
2600种常用药品价格一览表(1)天王补心丸山西天生制药有限责任公司 3.6知柏地黄丸山西天生制药有限责任公司 3.2槐角丸山西天生制药有限责任公司 3.5心律平片(盐酸普罗帕酮片) 江苏云阳集团药业有限公司 1.65绿十字氨基酸注射液广州绿十字药业有限公司 22养血当归糖浆广西壮族自治区花红药业股份有限公司 13清热解毒口服液河南百年康鑫药业有限公司 1.55地塞米松磷酸钠针石药集团欧意药业有限公司 1.5强力枇杷露杭州胡庆余堂药业有限公司 8.5血栓心脉宁胶囊吉林省辉南辉发制药股份有限公司 5.2复方氯化钠注射液石家庄四药有限公司 1.75壮骨麝香止痛膏河南羚锐制药股份有限公司 2.4断血流片安庆乘风制药有限公司 10.5小儿速效感冒颗粒(氨酚黄那敏) 神威药业有限公司 0.13先锋六号颗粒(头孢拉定)广州白云山制药股份有限公司白云山制药总厂 3.2右旋糖酐40葡萄糖注射液石家庄四药有限公司 4.15654-2片(消旋山莨菪碱片) 杭州民生药业集团有限公司 3.4尪痹颗粒本溪天印药业有限公司 13.5八味锡类散北京同仁堂股份有限公司同仁堂制药厂 15.75通络祛痛膏(骨质增生一贴灵) 河南羚锐制药股份有限公司 13.8小儿柴桂退热颗粒襄樊隆中药业有限责任公司 25注射用头孢派酮钠舒巴坦钠石药集团欧意药业有限公司 2.15糖适平片(格列喹酮片) 北京万辉双鹤药业有限责任公司 34.5碘伏潜江九源堂医药保健有限公司 3.1乳酸环丙沙星眼水武汉天天明药业有限公司 1.15盐酸胺碘酮胶囊上海信谊万象药业股份有限公司 11.3小儿至宝丸(Z) 北京同仁堂股份有限公司同仁堂制药厂 6.16罗红霉素胶囊湖南康普制药有限公司 3.8万爽力片(盐酸曲美他嗪片)施维雅天津制药有限公司 46 维胺酯胶囊山东良福制药有限公司 15.5冠心苏合胶囊天津宏仁堂药业有限公司 4.75银黄颗粒河南省宛西制药股份有限公司 5.52泰胃美片中美天津史克制药有限公司 27.4小儿健脾丸北京同仁堂股份有限公司同仁堂制药厂 11.95 怜香惜玉洗巾贵州本草堂药业有限公司 6康王洗液(复方酮康唑洗剂) 昆明滇虹药业有限公司 19.2斯利安片(叶酸片) 北京北大药业有限公司 21.8去痛片青岛黄海制药有限责任公司 13气管炎丸北京同仁堂科技发展股份有限公司新品分公司 3.45 脑血栓片辽宁好护士药业集团有限责任公司 5.2牛黄解毒片贵州百灵企业集团制药有限公司 1.2精制银翘解毒片天津中天制药有限公司 4.25谷氨酸片天津力生制药股份有限公司 4.3女金丸北京同仁堂股份有限公司同仁堂制药厂 6.75六合定中丸北京同仁堂股份有限公司同仁堂制药厂 6.32舒必利片上海云峰药业有限公司 4.45舒肝丸山西开元制药有限公司 3.1咽炎片三九黄石制药厂 3.64四磨汤口服液湖南汉森制药有限公司 14.8氧氟沙星滴耳液郑州卓峰制药有限公司 1.95氧氟沙星滴眼液郑州卓峰制药厂 0.83注射用头孢呋辛钠石药集团欧意药业有限公司 2.25安神补心丸北京同仁堂科技发展股份有限公司 8.95百补增力丸(D) 北京同仁堂股份有限公司同仁堂制药厂 6.3 维生素B12针上海第一生化药业有限公司 2.75小儿化痰止咳颗粒(m) 贵州科辉制药有责任限公司 2.75归脾丸山西天生制药有限责任公司 3.4新速效感冒片(复方氨酚烷胺) 黑龙江多多药业有限责任公司 1.2 好得快气雾剂(利多卡因氯己定) 蓬莱诺康药业有限公司 6.8得高宁片(硝苯地平缓释片(山西专销) 德州德药制药有限公司 15 疏血通注射液(监管) 牡丹江友搏药业有限责任公司 35维生素C注射液郑州卓峰制药有限公司 1.55谷维素片山西云鹏药业 0.51新博林颗粒(利巴韦林颗粒) 四川百利药业有限公司 5麦滋林颗粒(L-谷氨酰胺呱仑酸钠) 寿制药株式会社 22.5丙戊酸镁片湖南省湘中制药有限公司 19.4妈咪爱颗粒(枯草杆菌二联活菌) 北京韩美药品有限公司 17.12花红胶囊广西壮族自治区花红药业股份有限公司 24.5清热养阴丸北京同仁堂股份有限公司 13.8养心安神丸北京同仁堂科技发展股份有限公司新品分公司 9养血安神丸北京同仁堂科技发展股份有限公司新品分公司 2.8小儿柴桂退热口服液吉林敖东延边股份有限公司 20.8山楂化滞丸山西开元制药有限公司 2.47施慧达片(苯磺酸左旋氨氯地平片) 吉林省天风制药有限责任公司36.5甲状腺片上海实业联合集团长城药业有限公司 6.3硫酸妥布霉素针上海第一生化药业有限公司 2.58至灵胶囊大同市利群药业有限公司 17归脾丸山西振东开元制药有限公司(原山西开元) 3.5柴胡滴丸天津天士力制药股份有限公司 7.17头孢克洛片(优克诺) 广州白云山制药股份有限公司白云山制药总厂 11.5聚维酮碘溶液浙江茂源神华药业有限公司 12.75妇炎洁洗液(赣卫消) 江西仁和药业有限公司 6.2盐酸黄连素片(盐酸小檗碱片) 石药集团欧意药业有限公司 1.95通便灵胶囊亚宝药业太原制药有限公司 3.42板蓝根颗粒广州白云山和记黄埔中药有限公司 4.65排石颗粒江西南昌济生制药厂 14.6伤湿止痛膏河南羚锐制药股份有限公司 2力克片(复方氨酚烷胺) 湖南汉森制药股份有限公司 7盐酸二甲双胍片天津飞鹰制药有限公司 1.55益欣雪(阿司匹林肠溶胶囊)天津力生制药股份有限公司 10.3 牙周康胶囊(甲硝唑芬布芬胶囊) 石家庄四药股份有限公司 1.6 胃苏颗粒江苏扬子江药业有限公司 7.25强力天麻杜仲胶囊四川科创制药有限公司 3.25云南白药气雾剂云南白药集团股份有限公司 27.45醋酸地塞米松片天津天药药业股份有限公司 1.4辛伐他汀胶囊上海云峰药业有限公司 3.85卡马西平片上海辛帕斯制药有限公司 3.25丁酸氢化可的松乳膏湖北恒安药业有限公司 8.8维生素C注射液上海现代哈森商丘药业有限公司 1.35小儿退热栓(对乙酰氨基酚) 马应龙药业集团股份有限公司 0.9 米非司酮北京紫竹药业有限公司 23.3双唑泰栓广西康华药业有限责任公司 2.4妥布霉素滴眼液杭州民生药业集团有限公司 3.25六神丸上海雷允上药业有限公司 21尿感宁冲剂正大青春宝药业有限公司 9.15卡托普利片上海旭东海普药业有限公司 2.68特非拉定片(比斯妥) 重庆万泽制药有限公司 2.6京都念慈庵枇杷糖京都念慈庵总厂有限公司 11.3聚肌胞注射液广东邦民药业有限公司 2赛金化毒散北京同仁堂股份有限公司同仁堂制药厂 2.93迪沙片(格列吡嗪片) 迪沙药业集团有限公司 23.8咳特灵胶囊广西华天宝药业有限公司 0.9乐肤液(哈西奈德溶液)芜湖三益药业有限公司 0.86荷叶丸北京同仁堂股份有限公司同仁堂制药厂 9.9整肠生胶囊(地衣芽孢杆菌活菌)(A) 沈阳第一制药厂 6.5强阳保肾丸北京同仁堂制药有限公司 30.2先锋四号胶囊(头孢氨苄) 广州白云山制药股份有限公司白云山制药总厂 2.9亮甲(复方聚维酮碘搽剂)哈尔滨乐泰药业有限公司 67西瓜霜润喉片桂林三金药业股份有限公司 1.95珍珠明目滴眼液武汉五景药业有限公司 0.98罗红霉素胶囊上海现代哈森商丘药业有限公司 0.89爱宝疗栓(聚甲酚磺醛) 德国百克顿药厂 37马应龙麝香痔疮膏马应龙药业集团股份有限公司 12.7红桃K(生血剂) 武汉红桃开药业股份有限公司 26.8舒喘灵片(沙丁胺醇片) 天津力生制药股份有限公司 3.35小儿退热栓湖北东信药业有限公司 1.35强力枇杷露江西三九药业有限公司 7.35盖胃平片山西三九同达药业有限公司 1.95抗骨质增生丸山东临清华威药业有限公司 4.26维生素B1片天津飞鹰制药有限公司 0.67阿奇霉素针(澳立平)杭州澳亚生物技术有限公司 1.55双黄连口服液黑龙江瑞格药业有限公司 3.2阿莫西林胶囊石药集团中诺药业(石家庄)有限公司 8.55维生素E胶丸青岛双鲸药业有限公司 4.4鹿胎颗粒吉林敖东延边药业股份有限公司 28.3黄氏响声含片无锡山禾药业股份有限公司 5.62伤科接骨片大连美罗中药厂有限公司 16.43银翘解毒丸山西振东开元制药有限公司(原山西开元) 2.76通宣理肺丸山西开元制药有限公司 2.23附子理中丸山西开元制药有限公司 2.6槐角丸山西开元制药有限公司 3.5生化丸山西振东开元制药有限公司(原山西开元) 4.28朱砂安神丸山西振东开元制药有限公司(原山西开元) 5.23王老吉润喉糖广州王老吉药业股份有限公司 6.3三黄片山西亚宝药业集团股份有限公司 1先锋铋(注射用头孢哌酮钠) 山东齐鲁制药有限公司 1.79枇杷止咳胶囊贵州神奇制药有限公司 7.4醋酸地塞米松片天津太平洋制药有限公司 1.55盐酸二甲双胍片天津飞鹰制药有限公司 3.1文迪雅(马来酸罗格列酮片) 葛兰素史克(天津)有限公司 67.6藿香正气胶囊山西康威制药有限责任公司 0.81牛黄蛇胆川贝胶囊深圳市万基制药 3.5欣可诺(头孢克洛)(A) 海南三叶制药有限公司 8.15罗红霉素胶囊(红必克) 海南三叶制药有限公司 5尼莫地平片山西亚宝药业集团股份有限公司 1.28红花针(监管) 山西亚宝药业集团股份有限公司 10.2肾宝合剂江西汇仁药业有限公司 24无极膏湖北成田制药有限公司 1谷维素片天津飞鹰制药有限公司 0.87盐酸雷尼替丁胶囊华北制药集团太原有限责任公司 1.05清咽滴丸天津中新药业集团股份有限公司 10.4桂附地黄丸山西开元制药有限公司 3.23消心痛片(硝酸异山梨酯片) 太原市振兴制药有限公司 0.3克感敏(酚氨咖敏颗粒) 神威药业有限公司 3贝络纳片(莫沙比利) 成都大西南制药有限公司 8速尿片(呋塞米片) 上海朝晖药业有限公司 2.45阿莫西林胶囊(新) 石药集团中诺药业(石家庄)有限公司 2.5琥乙红霉素片(卡罗) 广州白云山制药股份有限公司白云山制药总厂 3.8急支糖浆(大) 太极集团重庆涪陵制药厂有限公司 9.7维思通口服液(利培酮口服液)西安杨森制药有限公司 159.5小儿速效感冒颗粒(氨酚黄那敏) 石药集团欧意药业有限公司 4.35 牙痛安胶囊河南博泰制药有限公司 1.1利福平胶囊(Z) 沈阳红旗制药有限公司 9.7生脉饮(党参方) 北京同仁堂科技发展股份有限公司新品分公司9.72京制牛黄解毒片北京同仁堂科技发展股份有限公司制药厂 16.5 西米替丁注射液山东方明药业股份有限公司 0.82云南白药创可贴(轻柔灭菌) 云南白药集团股份有限公司 6景志安神口服液通化万通药业股份有限公司 16.5可立克胶囊(复方氨酚烷胺) 江西铜鼓仁和制药有限公司 4.7氟康唑胶囊上海天龙药业有限公司 3.1香砂六君丸北京同仁堂制药有限公司 9复方先锋四号胶囊(抗力舒) 广州白云山制药股份有限公司白云山制药总厂 7.2盐酸利多卡因针泗水浠尔康制药有限公司 0.5维生素B6针泗水希尔康制药有限公司 0.68四消丸山西天生制药有限责任公司 3金喉剑喷雾剂贵州宏宇药业有限公司 10.5珍菊降压片东盛科技股份有限公司 2.9妈咪爱颗粒(枯草杆菌二联活菌) 北京韩美药品有限公司 20.8栀子金花丸北京同仁堂制药有限公司 12.2川贝枇杷糖浆北京同仁堂科技发展股份有限公司 7.7爱茂尔针(溴米那普鲁卡因针) 山东方明药业股份有限公司 1.15炎痛喜康片(吡罗昔康片) 山东方明药业股份有限公司 0.82脑复康片(吡拉西坦片)山东方明药业股份有限公司 4.15皮康王(复方酮康唑软膏) 上海朝晖药业有限公司 0.93可立停糖浆(m) 山西康宝生物制品股份有限公司 5.1健儿清解液国药控股深圳中药有限公司 8.4月见草油胶丸沈阳红旗制药有限公司 2.55阿昔洛韦片湖南康普制药有限公司 2.53足光粉武汉健民集团随州制药有限公司 2.65利肺片北京同仁堂科技发展股份有限公司制药厂 18.4健胃消食片(小儿)(DL) 江中药业股份有限公司 5.05知柏地黄丸山西开元制药有限公司 3.23热淋清颗粒(无糖)(太原专销) 贵州威门药业股份有限公司 20.5 前列回春胶囊吉林双星药业有限责任公司 15.5儿童咳液北京同仁堂科技发展股份有限公司新品分公司 13.2 明目地黄丸北京同仁堂股份有限公司同仁堂制药厂 17.6复方甘草口服溶液武汉马应龙药业集团股份有限公司 2.15 礞石滚痰丸广州中一药业有限公司 3.45独一味片广州白云山制药股份有限公司白云山制药总厂 13.2 维生素C片石药集团欧意药业有限公司 1.8硫酸小诺霉素注射液江西制药有限公司 1.55慢严舒柠(哈蜜瓜味)桂龙药业(安徽)有限公司 4.3辛夷鼻炎丸广州中一药业有限公司 6.1复方氨基酸针(18AA) 宜昌三峡制药有限公司 3.6复方氨基酸针(肾安9AA) 宜昌三峡制药有限公司 7.2复方氨基酸针(六合6AA) 宜昌三峡制药有限公司 7.1川芎茶调颗粒贵州威门药业股份有限公司 20复方丹参注射液(丹香冠心)(监管) 上海中西制药有限公司 2.15 拔毒膏北京同仁堂股份有限公司 9.5消栓再造丸北京同仁堂股份有限公司同仁堂制药厂 12.3参茸三鞭丸北京同仁堂股份有限公司同仁堂制药厂 24.5复方泛影葡胺针上海旭东海普药业有限公司 54.5肝素钠注射液天津市生物化学制药厂 16.5雷蒙欣片(氨麻美敏片)(m) 赤峰蒙欣制药 9.2壮骨麝香止痛膏(精) 河南羚锐制药股份有限公司 7.6泰诺林幼儿退热滴剂上海强生制药有限公司 11.85噻吗酰胺眼水(马来酸噻吗洛尔) 武汉天天明药业有限责任公司1.55皮炎灵硬膏(冰樟桉氟轻松) 河南羚锐制药股份有限公司 50烧伤止痛药膏武汉健民集团随州药业有限公司 1.6清开灵胶囊(山西专销) 远达药业集团哈尔滨一洲制药有限公司13.5阿胶补血膏(精)(山西专销) 山东东阿阿胶股份有限公司 27感冒清热冲剂北京北卫药业有限责任公司 3.1葡萄糖酸锌颗粒太阳石(唐山)药业有限公司 9.85细胞色素C注射液成都天台山制药有限公司 22.5华佗再造丸广州奇星药业有限公司 25.5复方石韦片承德颈复康药业集团有限公司 16.2无极膏马应龙药业集团股份有限公司 0.8牙周康胶囊(甲硝唑芬布芬胶囊) 石药集团中诺药业(石家庄)有限公司 1.35阿莫西林颗粒广州白云山制药股份有限公司白云山制药总厂 5阿莫西林胶囊四川蜀中制药有限公司 4.35艾迪莎(美沙拉秦缓释颗粒) 爱的发制药公司 57.8雷公滕多甙片上海复旦复华药业有限公司 12.6典必殊眼水(妥布霉素) 比利时 34华素片(西地碘含片)(DL) 北京华素制药股份有限公司 5.5复方土槿皮酊广州敬修堂(药业)股份有限公司 1.85曲美(盐酸西布曲明胶囊) 太极集团重庆涪陵制药厂有限公司 215 小白糖浆(儿童)氨酚麻美(m) 东盛科技启东盖天力制药股份有限公司 17金刚藤糖浆怀化正好制药有限公司 5.7清开灵针(监管) 神威药业有限公司 6.2维生素A胶丸青岛双鲸药业有限公司 1.8抗骨增生片通化正和药业有限公司 7.8双黄连口服液河南淅川制药集团有限公司 3.6清开灵颗粒广州白云山明兴制药有限公司 7一力感冒清片广州白云山制药股份有限公司3.4复方羊角颗粒江西南昌制药有限公司 7.1附子理中丸山西天生制药有限责任公司 2.6柏子养心丸山西天生制药有限责任公司 2.9清热消炎宁胶囊广州敬修堂(药业)股份有限公司 7.95养血生发胶囊广州敬修堂(药业)股份有限公司 4.4麝香壮骨膏武汉健民集团随州制药有限公司 1.8的确当滴眼液(复方硫酸新霉素) 武汉五景药业有限公司 1壮骨麝香止痛膏河南羚锐制药股份有限公司 1.1关节止痛膏(精) 河南羚锐制药股份有限公司 6.6宁泌泰胶囊贵阳新天药业股份有限公司 16巨能钙片(老年) 北京巨能新技术产业有限公司 46复方丹参片北京同仁堂科技发展股份有限公司新品分公司 3.6 灵丹草颗粒云南盘龙云海药业有限公司 9.8六味地黄丸(浓缩) 江西汇仁药业有限公司 5.6清热解毒口服液河南百年康鑫药业有限公司 1.8伤湿止痛膏桂林天和药业有限公司 1.6精制狗皮膏桂林天和药业有限公司 10.5麝香壮骨膏桂林天和药业股份有限公司 7.02关节止痛膏桂林天和药业股份有限公司 54琥乙红霉素片四川国瑞药业股份有限公司 4.2血塞通胶囊云南玉溪维和制药有限公司 12.85奥美拉唑肠溶片山西亚宝药业集团股份有限公司 6.2脑宁片(氨咖甘片)天津飞鹰制药有限公司 3.1痰咳净片吉林正茂药业股份有限公司 4.7宝宝盖(二维葡钙片) 太阳石(唐山)药业有限公司 12.5叶酸片常州制药厂有限公司 1.3龙胆泻肝丸山西振东开元制药有限公司(原山西开元) 3.8维生素B6片天津力生制药股份有限公司 1.5维脑路通针(维诺)大同市惠达药业有限责任公司 21感冒清热颗粒河北万岁药业有限公司 2.2维生素B6针山东方明药业股份有限公司 0.73盐酸布比卡因注射液上海禾丰药业有限公司 4.2利巴韦林注射液郑州卓峰制药有限公司 0.85活络油珠海宏利药业有限公司 6.45丽珠欣乐片(单硝酸异山梨酯片) 丽珠集团制药 18.5舒必利片江苏天士力制药 3.4牛黄解毒片佛山德众药业有限公司 1.3VC银翘片佛山德众药业有限公司 2藻酸双酯钠片天津金世制药有限公司 1.9脑宁片(氨咖甘片)天津金世制药有限公司 3.6替硝唑片山西津华药业 1.45伤湿止痛膏(精) 河南羚锐制药股份有限公司 7苏诺针(盐酸纳洛酮注射液) 北京四环医药科技发展股份有限公司25逍遥丸山西开元制药有限公司 4.88六味地黄丸山西开元制药有限公司 3.56跌打丸山西开元制药有限公司 3麦味地黄丸山西开元制药有限公司 3.56保和丸山西开元制药有限公司 2.47六味地黄丸河南省宛西制药股份有限公司 9.5必理通片(对乙酰氨基酚)中美天津史克制药有限公司 3.35注射用糜蛋白酶上海第一生化药业有限公司 5.4诺氟沙星滴眼液武汉五景药业有限公司 0.84一清胶囊成都康弘制药有限公司 16.2潘生丁片(双嘧达莫片) 山西亚宝药业集团股份有限公司 1.7 消肿止痛酊广西壮族自治区花红药业股份有限公司 5.5云芝多糖胶囊江苏舒泰宝药业有限公司 11.5复方妥英麻黄茶碱片(m) 赤峰维康生化制药有限公司 2.2 速效感冒片赤峰维康生化制药有限公司 0.75忘不了山东禹王制药有限公司 280秋水仙碱片西双版纳制药 3.8肤疾宁(曲安奈德新霉素) 西安强生药业有限公司 9.5关节止痛膏西安强生药业有限公司 14.7铁锌钙氨基酸口服液南昌川奇保健品有限公司 2.9盐酸环丙沙星片河南天方药业股份有限公司 0.85参苓白术丸北京同仁堂制药有限公司 9.2奥美拉唑胶囊海南海灵制药厂 6.3血塞通片云南维和药业股份有限公司 4.3补达秀片(氯化钾缓释片) 广州迈特兴华制药有限公司 5双黄连颗粒哈药集团中药二厂 14法莫替丁针山东方明药业股份有限公司 1.5利福平胶囊上海信谊嘉华药业有限公司 11.4氧氟沙星氯化钠针西安京西双鹤药业有限公司 0.9橘红丸山西开元制药有限公司 2.52杞菊地黄丸山西振东开元制药有限公司(原山西开元) 3.56 格列齐特片天津中新药业集团股份有限公司新新制药厂 23 维C银翘片广州中一药业有限公司 2.38尼群地平片天津太平洋制药有限公司 1.13盐酸雷尼替丁胶囊天津太平洋制药有限公司 1.65加味逍遥丸河北万岁药业有限公司 3.1马来酸依那普利片(怡那林) 常州制药厂有限公司 8腰息痛胶囊淄博开发区亚大制药有限责任公司 4.5喉疾灵胶囊广州陈李济制药厂 7.6维脑路通片(曲克芦丁片) 山西太原药业有限公司 1.61珍菊降压片(A) 山西亚宝药业集团股份有限公司 8.4舒神灵胶囊(山西专销) 吉林省辉南天泰药业股份有限公司 13.5 盐酸赛庚啶片上海复旦复华药业有限公司1.67六味地黄丸广州中一药业有限公司 2.95小儿速效感冒颗粒(氨酚黄那敏) 贵州科辉制药有限公司 2.7桔红丸山西天生制药有限责任公司 2.5龙胆泻肝丸北京同仁堂制药有限公司 7.2蓖麻油湖北科田药业有限公司 1.65妇炎洁洗液(赣卫消) 江西仁和药业有限公司 4.1吉非罗齐胶囊山西亚宝药业集团股份有限公司 7葡萄糖酸钙口服液(无糖)(A) 哈药集团三精制药有限公司 15.8皮炎平软膏(复方醋酸地塞米松) 汕头市五环制药厂有限公司 1.87 田七痛经胶囊山西华康药业 3.9血栓通针(监管) 丽珠集团丽珠利民制药厂 12.3胸腺肽针广西北生药业股份有限公司 2.5咳速停胶囊贵州百灵企业集团制药股份有限公司 4.5猴头健胃灵胶囊侯马霸王药业有限公司 4.3无极膏武汉健民集团随州制药有限公司 0.81脑立清丸河北万岁药业有限公司 0.6白带丸河北万岁药业有限公司 2.35阿乐片(阿托伐他汀钙)(山西专销) 北京嘉林药业股份有限公司 29 小儿宣肺止咳颗粒武汉健民集团随州制药有限公司 11活血止痛胶囊南京中山制药有限公司 4.8迈之灵片(马粟种子提取物) 德国礼达大药厂 43逍遥丸陕西香菊制药有限责任公司 2.8小儿清肺化痰颗粒神威药业有限公司 8宝宝一贴灵(丁桂儿脐贴) 山西亚宝药业集团股份有限公司 4.9菌必治针(头孢曲松钠注射液) 石药集团中诺药业(石家庄)有限公司1.7头孢噻肟钠针石药集团中诺药业(石家庄)有限公司 1.65青霉素钠石药集团中诺药业(石家庄)有限公司 0.31盐酸曲马多针石家庄欧意药业有限公司 7.5阿司匹林肠溶片石药集团欧意药业有限公司 1.38补中益气丸北京同仁堂科技发展股份有限公司制药厂 8.6木香顺气丸北京同仁堂制药有限公司 7.83达诺日夜片(氨酚伪麻美芬)(m) 宁波大红鹰药业股份有限公司 7.3 骨友灵搽剂辽宁本溪三药有限公司 11.8沐舒坦针(盐酸氨溴索注射液) 勃林格殷格翰国际公司西班牙分公司 30.5葡萄糖酸钙针扬州中宝制药有限公司 0.73青霉素钠石药集团中诺药业(石家庄)有限公司 0.49亚力希(罗红霉素胶囊) 浙江亚太药业有限公司 1.4先锋五号针(头孢唑林钠) 石药集团中诺药业(石家庄)有限公司0.79恬尔心片(盐酸地尔硫卓片) 上海信谊万象药业股份有限公司 8.2 健脑片北京三九药业有限公司 5.4全天麻胶囊贵州益康制药有限公司 6.05石斛夜光丸北京同仁堂股份有限公司同仁堂制药厂 32.5维生素C针郑州卓峰制药有限公司 0.78维生素C针郑州卓峰制药有限公司 1.02斑马眼水(磺胺醋酰钠) 武汉五景药业有限公司 0.65金鸡颗粒广东益和堂制药有限公司 5.8生命一号(A) 广东十八宝医药保健品有限公司 17.5消炎利胆片广东罗浮山药业有限公司 1.06盐酸林可霉素针上海旭东海普药业有限公司 3.42施普瑞(螺旋藻胶囊) 云南施普瑞生物工程有限公司 47.8。
海南省物价局关于制定公布依西美坦等药品最高零售
价格的通知
文章属性
•【制定机关】海南省物价局
•【公布日期】2010.02.08
•【字号】琼价审批[2010]65号
•【施行日期】2010.02.12
•【效力等级】地方规范性文件
•【时效性】现行有效
•【主题分类】药政管理
正文
海南省物价局关于制定公布依西美坦等药品最高零售价格的
通知
(琼价审批[2010]65号)
海南通用同盟药业有限公司、海南双成药业有限公司、海南长安国际制药有限公司、海南东方药业有限公司、海南普利制药有限公司、海口奇力制药股份有限公司、海南皇隆制药厂有限公司、海南赞邦制药有限公司:
根据《国家发展改革委关于印发<国家发展改革委定价药品目录>的通知》(发改价格[2005]1205号)、《海南省发展与改革厅关于印发<海南省政府定价药品目录>的通知》(琼发改价格[2005]1508号)及《药品差比价规则(试行)》(发改价格〔2005〕9号)有关规定,经研究,现将你们报来的依西美坦等药品最高零售价格予以制定公布(详见附件)。
公布的药品价格自2010年2月12日起执行。
2010年2月8日
附件:
依西美坦等药品最高零售价格表。
海南省物价局关于制定公布氟康唑等药品最高零售价格的通知正文:---------------------------------------------------------------------------------------------------------------------------------------------------- 海南省物价局关于制定公布氟康唑等药品最高零售价格的通知(琼价审批[2010]152号)海南林恒制药有限公司、海南海灵化学制药有限公司、海南中化联合制药工业有限公司、海南康芝药业股份有限公司、海南新中正制药有限公司、海口奇力制药股份有限公司、先声药业有限公司、海南长安国际制药有限公司:根据《国家发展改革委关于印发<国家发展改革委定价药品目录>的通知》(发改价格〔2005〕1205号)、《海南省发展与改革厅关于印发<海南省政府定价药品目录>的通知》(琼发改价格〔2005〕1508号)及《药品差比价规则(试行)》(发改价格〔2005〕9号)有关规定,经研究,现将你们报来的氟康唑等药品最高零售价格予以制定公布(详见附件)。
附件药品价格自2010年4月15日起执行。
附件:氟康唑等药品最高零售价格表金额单位:元序号定价目录号药品通用名称剂型规格单位最高零售格生产经营企业备注129(基本药物)氟康唑胶囊50mg*3粒盒11.3海南林恒制药有限公司229(基本药物)氟康唑胶囊50mg*6粒盒22.0海南林恒制药有限公司329(基本药物)氟康唑胶囊50mg*9粒盒32.5海南林恒制药有限公司410(基本药物)头孢曲松注射剂750 mg /支支5.6海南海灵化学制药有限公司5102(基本药物)辛伐他汀片剂5mg*30粒盒35.1海南海灵化学制药有限公司6102(基本药物)辛伐他汀片剂20mg*20粒盒68.6海南海灵化学制药有限公司7325那格列奈胶囊30mg*6粒盒5.3海南海灵化学制药有限公司8325那格列奈胶囊30mg*12粒盒10.3海南海灵化学制药有限公司9325那格列奈胶囊30mg*24粒20.0海南海灵化学制药有限公司10325那格列奈胶囊30mg*36粒盒29.6海南海灵化学制药有限公司11605泮托拉唑肠溶胶囊40mg*6粒盒56.1海南中化联合制药工业有限公司12605泮托拉唑肠溶胶囊40mg*10粒盒91.8海南中化联合制药工业有限公司13605泮托拉唑肠溶胶囊40mg*14粒盒127海南中化联合制药工业有限公司14188尼美舒利缓释片200mg*4片盒22.8海南康芝药业股份有限公司15235(海南)六味地黄胶囊胶囊500mg *12粒盒5.5海南新中正制药有限公司16113肠溶胶囊10mg*7粒盒9.0海南新中正制药有限公司17113奥美拉唑肠溶胶囊10mg*21粒盒25.9海南新中正制药有限公司18113奥美拉唑肠溶胶囊10mg*28粒盒34.2海南新中正制药有限公司19113奥美拉唑20mg*7粒盒14.9海南新中正制药有限公司20113奥美拉唑肠溶胶囊20mg*28粒盒56.8海南新中正制药有限公司21113奥美拉唑肠溶胶囊40mg*12粒盒43.7海南新中正制药有限公司22113奥美拉唑肠溶胶囊盒74.9海南新中正制药有限公司23188尼美舒利缓释胶囊200mg*10粒盒55.1海南新中正制药有限公司24144(海南)肝速康胶囊胶囊230mg*12粒盒7.4海南新中正制药有限公司25144(海南)肝速康胶囊胶囊230mg*24粒盒14.3海南新中正制药有限公司2629(基本药物)氟康唑胶囊50mg*12粒盒42.9海南新中正制药有限公司2761罗红霉素胶囊75mg*12粒盒13.5海南新中正制药有限公司28178(海南)双分伪麻胶囊24粒盒25.0海南新中正制药有限公司61更昔洛韦分散片250mg*6片盒75.4海口奇力制药股份有限公司3061更昔洛韦分散片250mg*6片/*4板盒287海口奇力制药股份有限公司3123头孢丙烯颗粒剂125mg*9袋盒44.8先声药业有限公司32头孢丙烯颗粒剂125mg*12袋盒59.0先声药业有限公司3323头孢丙烯胶囊剂125mg*10粒盒41.2先声药业有限公司3423头孢丙烯胶囊剂125mg*12粒盒49.1先声药业有限公司35261N(2)-L-丙氨酰-L-谷氨酰胺注射剂10g,N(2)-L-丙氨酰-L-谷氨酰胺1瓶,250ml复方氨基酸注射液18AA 1瓶、50ml灭菌注射用水1瓶与一次性使用无菌导液针1支盒167海南长安国际制药有限公司序号定价目录号药品通用名称剂型规格单位最高零售格生产经营企业备注129(基本药物)氟康唑胶囊50mg*3粒盒11.3海南林恒制药有限公司229(基本药物)氟康唑胶囊50mg*6粒盒22.0海南林恒制药有限公司329(基本药物)氟康唑胶囊50mg*9粒盒32.5海南林恒制药有限公司410(基本药物)头孢曲松注射剂750 mg /支支5.6海南海灵化学制药有限公司5102(基本药物)辛伐他汀片剂5mg*30粒盒35.1海南海灵化学制药有限公司6102(基本药物)辛伐他汀片剂20mg*20粒盒68.6海南海灵化学制药有限公司7325那格列奈胶囊30mg*6粒盒5.3海南海灵化学制药有限公司8325那格列奈30mg*12粒盒10.3海南海灵化学制药有限公司9325那格列奈胶囊30mg*24粒盒20.0海南海灵化学制药有限公司10325那格列奈胶囊30mg*36粒盒29.6海南海灵化学制药有限公司11605泮托拉唑肠溶胶囊40mg*6粒盒海南中化联合制药工业有限公司12605泮托拉唑肠溶胶囊40mg*10粒盒91.8海南中化联合制药工业有限公司13605泮托拉唑肠溶胶囊40mg*14粒盒127海南中化联合制药工业有限公司14188尼美舒利缓释片200mg*4片盒22.8海南康芝药业股份有限公司235(海南)六味地黄胶囊胶囊500mg *12粒盒5.5海南新中正制药有限公司16113奥美拉唑肠溶胶囊10mg*7粒盒9.0海南新中正制药有限公司17113奥美拉唑肠溶胶囊10mg*21粒盒25.9海南新中正制药有限公司18113肠溶胶囊10mg*28粒盒34.2海南新中正制药有限公司19113奥美拉唑肠溶胶囊20mg*7粒盒14.9海南新中正制药有限公司20113奥美拉唑肠溶胶囊20mg*28粒盒56.8海南新中正制药有限公司21113奥美拉唑40mg*12粒盒43.7海南新中正制药有限公司22113奥美拉唑肠溶胶囊40mg*21粒盒74.9海南新中正制药有限公司23188尼美舒利缓释胶囊200mg*10粒盒55.1海南新中正制药有限公司24144(海南)肝速康胶囊胶囊230mg*12粒盒7.4海南新中正制药有限公司25144(海南)肝速康胶囊胶囊230mg*24粒盒14.3海南新中正制药有限公司2629(基本药物)氟康唑胶囊50mg*12粒盒42.9海南新中正制药有限公司2761罗红霉素胶囊75mg*12粒盒13.5海南新中正制药有限公司28178(海南)双分伪麻胶囊24粒盒25.0海南新中正制药有限公司2961更昔洛韦分散片250mg*6片盒75.4海口奇力制药股份有限公司3061更昔洛韦分散片250mg*6片/*4板盒287海口奇力制药股份有限公司3123头孢丙烯颗粒剂125mg*9袋盒44.8先声药业有限公司3223头孢丙烯颗粒剂125mg*12袋盒59.0先声药业有限公司3323头孢丙烯胶囊剂125mg*10粒盒41.2先声药业有限公司3423头孢丙烯胶囊剂125mg*12粒盒49.1先声药业有限公司35261N(2)-L-丙氨酰-L-谷氨酰胺注射剂10g,N(2)-L-丙氨酰-L-谷氨酰胺1瓶,250ml复方氨基酸注射液18AA 1瓶、50ml灭菌注射用水1瓶与一次性使用无菌导液针1支盒167海南长安国际制药有限公司——结束——。
海南省物价局关于制定公布尼美舒利等药品最高零售
价格的通知
文章属性
•【制定机关】海南省物价局
•【公布日期】2010.01.20
•【字号】琼价审批[2010]28号
•【施行日期】2010.01.22
•【效力等级】地方规范性文件
•【时效性】现行有效
•【主题分类】价格
正文
海南省物价局关于制定公布尼美舒利等药品最高零售价格的
通知
(琼价审批[2010]28号)
海南康芝药业股份有限公司、海南东方药业有限公司、海南中和药业股份有限公司、海南通用三洋药业有限公司、先声药业有限公司:
根据《国家发展改革委关于印发<国家发展改革委定价药品目录>的通知》(发改价格[2005]1205号)、《海南省发展与改革厅关于印发<海南省政府定价药品目录>的通知》(琼发改价格[2005]1508号)及《药品差比价规则(试行)》(发改价格〔2005〕9号)有关规定,经研究,现将你们报来的尼美舒利等药品最高零售价格予以制定公布(详见附件)。
公布的药品价格自2010年1月22日起执行。
2010年1月20日。
海南省物价局关于消癌平片等药品临时零售价格的通
知
文章属性
•【制定机关】海南省物价局
•【公布日期】2006.07.27
•【字号】琼发改价格[2006]1144号
•【施行日期】2006.07.27
•【效力等级】地方规范性文件
•【时效性】现行有效
•【主题分类】价格
正文
海南省物价局关于消癌平片等药品临时零售价格的通知
(2006年7月27日琼发改价格[2006]1144号)
各市县物价局、洋浦经济发展局:
根据《国家发展和改革委关于印发<国家发展改革委定价药品目录>的通知》(发改价格[2005]1205号)“对我委定价的药品,我委或省、自治区、直辖市价格主管部门已制定公布过价格的,可继续按公布价格执行。
未制定公布价格的政府指导价药品,在我委定价前,暂授权各省、自治区、直辖市价格主管部门制定公布在本地执行的临时价格,并及时抄报我委;在各省、自治区、直辖市价格主管部门未制定公布价格前,经营者可暂按市场实际价格执行。
”和《海南省发展与改革厅关于印发<海南省政府定价药品目录>的通知》(琼发改价格[2005]1508号)有关规定精神,为了方便企业生产经营,在国家发展改革委和我局制定公布价格前,消癌平片等药品由企业暂按市场实际价格执行(详见附表)。
附表:
消癌平片等药品价格表
金额单位:元。
海南省物价局关于腺苷钴胺等药品临时零售价格的通知
【法规类别】药品管理
【发文字号】琼发改价格[2006]1476号
【发布部门】海南省物价局
【发布日期】2006.10.12
【实施日期】2006.10.12
【时效性】现行有效
【效力级别】XP10
海南省物价局关于腺苷钴胺等药品临时零售价格的通知
(2006年10月12日琼发改价格[2006]1476号)
各市县物价局、洋浦经济发展局:
根据《国家发展和改革委关于印发<国家发展改革委定价药品目录>的通知》(发改价格[2005]1205号)“对我委定价的药品,我委或省、自治区、直辖市价格主管部门已制定公布过价格的,可继续按公布价格执行。
未制定公布价格的政府指导价药品,在我委定价前,暂授权各省、自治区、直辖市价格主管部门制定公布在本地执行的临时价格,并及时抄报我委;在各省、自治区、直辖市价格主管部门未制定公布价格前,经营者可暂按市场实际价格执行。
”和《海南省发展与改革厅关于印发<海南省政府定价药品目录>的通知》(琼发改价格[2005]1508号)有关规定精神,为了方便企业生产经
营,在国家发展改革委和我局制定公布价格前,腺苷钴胺等药品由企业暂按市场实际价格执行(详见附表)。
附表:
腺苷钴胺等药品价格表
金额单位:元。
海南省物价局关于调整对乙酰氨基酚分散片等部分药品定价权限的通知正文:---------------------------------------------------------------------------------------------------------------------------------------------------- 海南省物价局关于调整对乙酰氨基酚分散片等部分药品定价权限的通知(琼发改价格[2007]369号2007年4月24日)各市县物价局、洋浦经济发展局:根据《国家发展改革委办公厅关于调整对乙酰氨基酚分散片等部分药品定价权限的通知》(发改办价格[2006]667号)精神,现将调整对乙酰氨基酚分散片等部分药品定价权限的事宜通知如下:附表一所列品种为《国家基本医疗保险和工伤保险药品目录》内已转为处方药的中西药品,自本通知执行之日起,调整进入国家发展改革委定价目录。
在国家发展改革委制定公布价格前,可暂按我省价格主管部门制定公布的价格执行,我省价格主管部门未制定公布价格的,经营者可暂按市场实际价格执行。
附表二所列品种为《国家基本医疗保险和工伤保险药品目录》内已转为非处方药的中西药品,自本通知执行之日起,调整进入省、自治区、直辖市价格主管部门定价目录。
在我省价格主管部门制定公布正式价格前,国家发展改革委曾经公布过价格的,可暂按国家发展改革委公布价格执行;国家发展改革委及我省价格主管部门未公布过价格的,经营者可暂按市场实际价格执行。
本通知自2007年4月25日开始执行。
附表:一、调整进入国家发展改革委定价范围的部分品种目录二、调整进入各省、自治区、直辖市价格主管部门定价范围的部分品种目录附表一:调整进入国家发展改革委定价范围的部分品种目录一、西药部分序号定价目录序号药品通用名称剂型151氯霉素滴耳液 251氯霉素滴眼液3165吲哚美辛栓剂4556复方甘草片剂5556复方甘草含片6566沙丁胺醇片剂7566沙丁胺醇胶囊8566沙丁胺醇缓释片9566沙丁胺醇控释胶囊二、中成药部分序号定价目录序号药品通用名称1533千柏鼻炎片附表二:调整进入各省、自治区、直辖市价格主管部门定价范围的部分品种目录一、西药部分序号定价目录序号药品通用名称剂型1172对乙酰氨基酚分散片2186萘普生分散片3190双氯芬酸钾片剂4256碳酸钙胶囊5437氯雷他定片剂6437氯雷他定胶囊7437氯雷他定分散片8552氨溴索口服液9570布地奈德鼻喷雾剂10573氟替卡松鼻喷雾剂11601奥美拉唑肠溶胶囊12861莫匹罗星软膏13909羟苯磺酸胶囊14944咪康唑栓剂二、中成药部分序号定价目录序号药品通用名称11九味羌活口服液223清热解毒片391蛇胆川贝软胶囊4101咳喘宁口服液5120补中益气颗粒6155安神补心胶囊7159乌灵胶囊8273天菊脑安胶囊9441舒尔经颗粒10486复方珍珠口疮颗粒——结束——。
琼海市人民医院门诊部医疗服务价格项目12×15口寸片数15.4 元14碳呼气试验次94.6 元25羟维生素D测定项70.4 元64排CT腹部平扫+增强扫描部位790 元64排CT腹部增强扫描部位540 元64排CT后重建部位570 元64排CT平扫部位250 元64排CT增强扫描部位350 元64排(CT)骨三维成像每部位820 元64排(CT)冠脉成像每部位1680 元64排(CT)平扫+增强每部位600 元64排(CT)血管三维成像每部位1170 元ABO血型鉴定次 5.5 元ABO亚型鉴定每个亚型15.4 元B超常规检查(每增加做一个部位加收5元) 每个脏器 5 元B超常规检查:产科(含胎儿及宫腔)每部位26.4 元B超常规检查:妇科(含子宫、附件、膀胱及周围组织)每部位26.4 元B型钠尿肽前体【PRO-BNP测定】(干免疫荧光定量法加收) 项250 元B型钠尿肽前体(PRO-BNP)测定项84 元C-反应蛋白(CRP) 次20.9 元CT增强扫描次257 元C肽兴奋试验项73.7 元DR多次爆光次50 元DR多次爆光(急诊)次75 元DR摄影次75 元DR摄影(急诊)次100 元DR摄影(正侧)次125 元DR摄影(正侧)(急诊)次175 元DSA引导(不含临床操作) 30分钟200 元EB病毒抗体测定项21 元MRI平扫次475 元MRI平扫+MRA 次575 元MRI平扫+弥漫成像+MRA 次675 元MRI平扫+弥漫成像(DWI)次575 元MRI平扫+水成像(MRCP、MRM、)次575 元MRI平扫+增强次650 元MRI增强扫描次599 元Rh血型鉴定次9.9 元Rh血型鉴定微柱凝集法(鉴定RhD(o)) 次31 元X线透视检查次 3 元癌胚抗原测定(CEA)(发光法) 项41.9 元暗示疗法次 6 元拔罐疗法3罐11 元拔甲治疗每个35 元拔甲治疗(急诊加收)每个11 元拔牙创面搔刮术每牙38 元白细胞特异性和组织相关融性(HLA)抗体检测次237.5 元白血病融合基因分型每种475 元膀胱残余尿量测定次20.9 元膀胱冲洗次13 元膀胱灌注次23 元膀胱镜或尿道镜检查次207 元膀胱造影次52.8 元包皮环切术次240 元包皮环切术(急诊加收)次72 元鼻骨骨折整复术次541 元鼻内镜检查次84 元鼻内镜手术后检查处理次94.6 元鼻腔冲洗次11 元鼻腔粘连分离术次58 元鼻饲管置管次11 元鼻咽部活检术次63 元鼻异物取出次/侧35 元鼻异物取出(后鼻腔加收) 次/侧10 元便秘及腹泻的生物反馈治疗次58 元冰冻切片检查与诊断例209 元丙型肝炎RNA测定项94.6 元丙型肝炎抗体测定(Anti-HCV) 项28.6 元病人ABO正反定型微柱法) 次25.5 元不加热血清反应素试验项15.4 元不良修复体拆除每牙11 元不良修复体拆除(锤造加收) 每牙15 元彩色多普勒超声常规检查次20 元彩色多普勒超声常规检查次86 元彩色多普勒超声常规检查:产科每部位86 元彩色多普勒超声常规检查:妇科每部位86 元彩色多普勒超声常规检查:泌尿系每部位86 元彩色胶片照相(超声) 次26 元彩色胶片照相(胃镜) 次26 元残端修整术次1320 元残端修整术(急诊加收)次396 元拆除固定装置每牙11 元产前检查次15.4 元场效应治疗每部位17 元常规心电图检查次7.7 元常规心电图检查(床边心电图加收) 次10 元常规心电图检查(附加导联、三通道加收)次 3 元常规心电图检查(十二导联加收) 次10 元常规咬合检查次8.8 元常规药敏定量试验(MIC) 项69.3 元超短波短波治疗每部位13 元超敏C反应蛋白测定项41.8 元超声波治疗(联合治疗) 5分钟/次12 元超声计算机图文报告次13 元超硬石膏包13 元充填体抛光术每牙 6 元冲洗结膜囊次/只8.5 元臭氧治疗仪次30 元出诊费次20 元出诊费(主任、副主任职称人员) 次22 元出诊费(主治及以下职称人员) 次16.5 元床旁B超半小时41.8 元创面液体保护膜支73.44 元纯音听阈测定次62.7 元磁疗每20分钟13 元磁疗电极次12.96 元雌二醇测定(发光法) 项44.9 元雌三醇测定(发光法) 项44.9 元促甲状腺素受体抗体测定项62.7 元促甲状腺素受体抗体测定(发光法) 项75.7 元错牙合畸形治疗设计次230 元大便常规次14.3 元大清创缝合次138 元大清创缝合(急诊加收)次41 元大手术标本检查与诊断例94.6 元带环制备每个81 元单纯疱疹病毒抗体测定(HSVⅠ型)项18.7 元单纯疱疹病毒抗体测定(HSVⅡ型)次18.7 元单项补体C3测定次20.9 元单项补体C4测定次20.9 元单脏器B超检查每个脏器12.1 元单颌牙弓夹板拆除术单颌75 元胆囊和胆道收缩功能检查次20.9 元胆酸测定次9.9 元低频脉冲电治疗每部位13 元电动起立床训练次21 元电耳镜检查次 6.6 元电解倒睫次/只11 元电脑血糖监测每试验项目15.4 元电针二个穴位 6 元电子镜加收次80 元电子生物反馈疗法次17 元淀粉酶测定(速率法) 项17.4 元调改义齿次17 元调磨牙合垫每次17 元调牙合每牙 6 元丁型肝炎抗体测定(Anti-HDV) 项28.6 元动态心电图次238 元动态血压监测次157.3 元动态血压监测小时 6 元多功能手术解剖器(一次) 次100 元多指切除术次377 元耳部特殊治疗次81 元耳道异物取出术次315 元耳廓假性囊肿穿刺压迫治疗次/侧58 元耳前瘘管感染切开引流术次189 元二氧化碳次50 元二氧化碳(CO2)激光治疗(大) 每个皮损35 元二氧化碳激光治疗(大)每个皮损35 元二氧化碳激光治疗(小)每个皮损11 元二氧化碳激光治疗(中)每个皮损23 元放血疗法每个穴位9.7 元肥达、外斐反应次24.2 元肥达氏反应项12.1 元肺通气功能检查次62.7 元肺炎支原体次83.6 元肺炎支原体血清学IgG试验次41.8 元肺炎支原体血清学IgM试验次41.8 元肺炎支原体血清学试验项41.8 元肺炎支原体血清学试验(荧光探针法加收10元) 项10 元分根术每牙101 元粪便常规次 3.3 元粪便隐血试验(OB) 项 5.5 元粪寄生虫镜检次 5.5 元风疹病毒抗体测定项18.7 元副流感病毒抗体测定项62.7 元副主任医师诊查费次12 元复印费张0.5 元复杂充填术每洞58 元复杂牙拔除术每牙101 元腹部大血管彩色多普勒超声次120 元腹膜透析换管次58 元腹膜透析换管(维持性换管加收) 次60 元腹膜透析换液次21 元妇科微波治疗每个部位73.7 元钙测定项 3.3 元盖髓术每牙23 元干髓术每牙11 元甘油测定项9.9 元肛门镜检查次9.9 元肛门指检次 5.5 元肛周脓肿一次性根治术次684 元高频吸氧小时7.6 元高清晰电子肠镜次254 元高清晰度电子胃镜次217 元高压泵雾化吸入次11 元隔物灸法次23 元各类病原体DNA测定(CT) 次36.3 元各类病原体DNA测定(UU) 次36.3 元各种穿刺液常规检查次7.7 元根端囊肿摘除术每牙315 元根管长度测量每根管7.7 元根管充填术每根管23 元根管预备每根管18 元根尖切除术每牙466 元根尖搔刮术每牙189 元根尖诱导成形术每根管46 元跟腱断裂修补术次1885 元跟腱断裂修补术(急诊加收)次565.5 元宫颈环形电切术次817 元宫颈环形电切术使用Leep刀时按比例加收次200 元宫颈活检术次46 元宫颈扩张术次58 元宫颈内口探查术次35 元宫颈息肉切除术次38 元宫颈注射次11 元宫内节育器放置术(双子宫上环加收) 次20 元宫内节育器放置术/取出次58 元宫腔镜检查次628 元宫腔粘连分离术次127 元弓形体抗体测定项18.7 元骨髓特殊染色及酶组织化学染色检查(过氧化酶染色(pox) 项20.9 元骨髓特殊染色及酶组织化学染色检查(碱性磷酸酶染色(nap) 项20.9 元骨髓特殊染色及酶组织化学染色检查(铁染色)项20.9 元骨折夹板外固定术次184 元骨折内固定装置取出术次377 元骨折手法整复术次575 元刮宫术次127 元刮痧治疗每个部位23 元挂号费次 1.3 元关节穿刺术次58 元关节腔灌洗治疗单侧23 元关节腔灌注治疗次81 元关节松动训练次13 元关节脱位手法整复次230 元关节粘连传统松解术(大关节加收50元) 次50 元冠修复每牙104 元冠修复(精密加收) 每牙90 元冠周炎局部治疗每牙17 元灌肠次17 元光学相干断层成相(OCT) 次125.4 元滚针次26 元过敏原测定:矮豚草次25.52 元过敏原测定:淡水鱼(鲤鱼、河鲈、鲑鱼)次25.52 元过敏原测定:篙次25.52 元过敏原测定:狗上皮次25.52 元过敏原测定:海鲜(鳕鱼、龙虾、扇贝)次25.52 元过敏原测定:河虾次25.52 元过敏原测定:花生次25.52 元过敏原测定:黄豆次25.52 元过敏原测定:鸡蛋白次25.52 元过敏原测定:猫毛、皮屑次25.52 元过敏原测定:霉(特异青霉、分支孢霉、曲霉等)次25.52 元过敏原测定:木料次25.52 元过敏原测定:牛奶、奶牛次25.52 元过敏原测定:牛肉次25.52 元过敏原测定:蛇麻草次25.52 元过敏原测定:屋尘次25.52 元过敏原测定:屋尘螨次25.52 元过敏原测定:羊肉次25.52 元过敏原测定:螃蟹次25.52 元过敏原测定:蟑螂次25.52 元恒牙期安氏III类错牙合固定矫治器治疗次184 元恒牙期安氏I类错牙合固定矫治器治疗次155 元恒牙期牙性安氏II类错牙合固定矫治器治疗次155 元红光治疗每个部位23 元红皮病清消术次17 元红外线治疗每个照射区9.7 元红细胞沉降率测定(ESR)仪器法次9.4 元红细胞流变特性检测次31.9 元呼吸道合胞病毒抗体测定项62.7 元呼吸机辅助呼吸小时 4.8 元呼吸机辅助呼吸(进口机) 小时15 元混合痔外剥内扎术次644 元活化的部分凝血活酶时间测定(APTT) 项11 元活髓切断术每牙35 元基础麻醉次295 元机器牵引次20 元肌电图每条肌肉20.9 元肌电图监测小时 5.5 元肌钙蛋白次130 元肌肉注射次 2.2 元肌腱断裂缝合术次350 元肌酐测定项 5.5 元激光治疗腋臭单侧345 元急诊病历本 1 元急诊手术费清创缝合加收40% 次32 元急诊诊查费(医师) 次11 元急诊诊查费(主治医师) 次15 元急诊诊查费(副主任医师)次17 元急诊诊查费(主任医师)次21 元记存模型制备单颌46 元甲床修补术次189 元甲床修补术(急诊加收)次57 元甲胎蛋白测定(AFP)(发光法) 项41.9 元甲型肝炎抗体测定(Anti-HAV)项12.1 元甲型肝炎抗原测定(HAVAg) 次11 元甲型流感病毒抗体测定次62.7 元甲状旁腺激素测定(发光法) 项86.7 元甲状腺穿刺活检术次189 元甲状腺球蛋白抗体测定(TG) 项9.5 元钾测定项 3.3 元间接鼻咽镜检查次 5.5 元间接喉镜检查次 5.5 元肩台瓷个33.37 元简单充填术每洞29 元降钙素原检测项71 元降钙素原检测(化学发光法加收)项95 元胶托高强度树脂牙(半口)个225.72 元胶托排牙(首只)个46.33 元胶托松风牙(单只)个78.73 元交叉配血次40.8 元角膜异物剔除术次/只17 元角膜荧光素染色检查次9.9 元截瘫肢体综合训练次41 元截指术次566 元截指术(急诊加收)次170 元洁治每牙 3.6 元结核杆菌DNA测定(定量)项52.8 元结核菌培养项94.6 元结核菌涂片检查项 6.6 元结核抗体血清学IgG试验项30.8 元精液常规检查次7.7 元经膀胱镜输尿管支架置入术次230 元经鼻胃镜检查次296 元经肠镜特殊治疗次518 元经肠镜特殊治疗(电切法加收) 次300 元经腹腔镜手术加收元250 元经颅脑血管彩色多普勒次50 元经内镜结肠治疗次460 元经胃镜特殊治疗:取异物次、每个肿物460 元经阴道B超检查次83.6 元颈部血管彩色多普勒超声(每增加两根加收50元) 二根血管50 元颈部血管彩色多普勒超声:含颈动脉、颈静脉、椎动脉每2根血管120 元静脉采血次 3 元静脉穿刺置管术次21 元静脉肾盂造影次220 元静脉输液组 6.6 元静脉输液(使用微量泵)小时 2 元静脉输液(小儿)次8.8 元静脉推注组 5 元静脉注射次 3.3 元救护车费起步价/车次20 元局部浸润麻醉次13 元局部浸润麻醉(危急病人加收) 次 5.2 元局部切除组织活检检查与诊断每个部位62.7 元巨细胞病毒抗体测定项18.7 元开髓引流术每牙21 元康复评定次30 元抗JO-1抗体(套餐) 次44.88 元抗SSA抗体(套餐) 次44.88 元抗SSB抗体(套餐) 次44.88 元抗ScL-70抗体I(套餐) 次44.88 元抗Sm抗体(套餐) 次44.88 元抗nRNP抗体(套餐) 次44.88 元抗肝肾微粒体抗体(LKM)测定项76 元抗核抗体测定(ANA) 项31.9 元抗核抗体测定(ANA)(套餐) 次25.52 元抗核糖核蛋白抗体测定项31.9 元抗核糖核蛋白抗体测定(套餐) 次25.52 元抗核糖体抗体测定(套餐) 次25.52 元抗核提取物抗体测定(抗ENA抗体) 项56.1 元抗环瓜氨酸肽抗体(抗CCP抗体)测定项95 元抗甲状腺过氧化酶抗体次44.9 元抗甲状腺球蛋白抗体测定(TGAb) 项20.9 元抗甲状腺微粒体抗体测定(TMAb) 项20.9 元抗精子抗体测定项28.6 元抗可溶性肝抗原/肝-胰抗原抗体(SLA/LP)测定项76 元抗链球菌溶血素O测定(ASO) 项20.9 元抗卵巢抗体测定项100.1 元抗人绒毛膜促性腺激素抗体(AHCGAb)测定项47.3 元抗肾小球基底膜抗体测定项104.5 元抗双链DNA测定(抗dsDNA) 项31.9 元抗双链DNA测定(抗dsDNA)(套餐) 次25.52 元抗线粒体抗体测定(AMA) 项31.9 元抗心磷脂抗体测定(ACA) 项35.2 元抗心磷脂抗体测定(ACA)(ELISA法)次105.6 元抗胰岛素抗体测定项62.7 元抗胰岛素受体抗体测定项62.7 元抗胰岛素自身抗体(IAA)次62.7 元抗中性粒细胞胞浆抗体测定(ANCA)项20.9 元抗肿瘤化学药物配置组21 元抗肿瘤化学药物配置(大剂量药物加收18元) 组39 元抗着丝点抗体(套餐) 次44.88 元抗子宫内膜抗体测定(EMAb) 项83.6 元抗组织细胞抗体测定项31.9 元抗组织细胞抗体测定(套餐) 次25.52 元可见光治疗每个照射区15 元口腔活检术次209 元口腔局部冲洗上药每牙 6 元口腔局部止血每牙23 元口腔模型制备次23 元口腔脓肿切开引流术每牙46 元口腔颌面部小肿物切除术次315 元口腔颌面软组织清创术(小) 次1018 元口腔颌面软组织清创术(中) 次1583 元快速石蜡切片检查与诊断例130.9 元类风湿因子(RF) 测定项12.1 元泪道冲洗次/只9.7 元泪道探通术次/只12 元泪膜破裂时间测定次11 元泪小点扩张次13 元冷光源次168 元立克次体血清学试验项15.4 元裂隙灯检查次7.7 元裂隙灯下房角镜检查次23.1 元裂隙灯下眼底检查(三面镜) 次10 元临床操作的彩色多普勒超声引导半小时140 元临床操作的腔内B超引导半小时94.6 元淋巴结穿刺术次136 元颅内段血管彩色多普勒超声次120 元颅内多普勒血流图(TCD) 次113.3 元氯测定项 3.3 元项31.9 元螺旋CT平扫每个部位152 元螺旋CT平扫+增强每部位409 元螺旋CT三维成像次608 元螺旋CT增强扫描每个部位257 元麻醉中(1)呼吸循环监测脉搏氧饱和度小时19 元麻醉中(2)呼吸循环监测心电图小时 6.6 元麻醉中(3)呼吸循环监测心率变异分析小时 6.6 元麻醉中(4)呼吸循环监测ST段分析小时 6.6 元麻醉中(5)呼吸循环监测无创血压小时 6.6 元麻醉中(6)呼吸循环监测呼吸频率小时 6.6 元麻醉中(7)呼吸循环监测体温小时 6.6 元吗啡实验每种药物74.8 元埋针治疗每个穴位15 元麦粒肿切除术次101 元脉冲激光治疗每个光斑58 元梅毒螺旋体镜检项20.9 元梅毒螺旋体特异抗体测定项20.9 元镁测定项 3.3 元门急诊留观诊查费日33 元门急诊留观诊查费(占用观察床位,4小时) 日 5 元门急诊留观诊查费(占用观察床位8小时) 日10 元免疫球蛋白定量测定(IgA) 次20.9 元免疫球蛋白定量测定(IgE) 次40.9 元免疫球蛋白定量测定(IgG) 次20.9 元免疫球蛋白定量测定(IgM) 次20.9 元明适应测定次15.4 元磨牙拔除术每牙50 元钠测定项 3.3 元脑电图次38 元脑电图(16导联以上) 次50 元脑脊液白蛋白测定项7.7 元脑脊液常规检查(CSF) 次7.7 元脑钠肽(化学发光法) 元229.2 元脑瘫肢体综合训练次31 元泥疗每部位17 元泥疗贴贴16.2 元念珠菌镜检每个取材部位11 元尿本-周氏蛋白定性检查(免疫电泳法) 项10.3 元尿常规检查次 4.4 元尿沉渣白细胞分类项 5.5 元尿沉渣定量项 6.6 元尿沉渣镜检项 6.6 元尿蛋白定量(干化学法加收2元) 项 5.3 元尿蛋白定量(免疫比浊法) 项7.3 元尿道狭窄扩张术次40 元尿酚红排泄试验(PSP) 项 4.4 元尿钙测定项 3.3 元尿红细胞位相项 4.4 元尿肌酐测定项 5.5 元尿吗啡试验次60 元尿妊娠试验(酶免法或金标法) 项10.5 元尿三氯化铁试验项 4.4 元尿素测定项 5.5 元尿微量白蛋白测定次41.8 元尿液分析(化学成分)次 5.5 元凝血酶时间测定(TT) 项7.7 元脓肿切开引流术次126 元脓肿切开引流术(复杂病变加收30元) 次30 元脓肿切开引流术(急诊加收)次38 元培养细胞的染色体分析项157.3 元培养细胞的染色体分析(13号染色体)项143 元培养细胞的染色体分析(18号染色体)项143 元培养细胞的染色体分析(21号染色体)项143 元皮损内注射每个皮损11 元皮下注射次 2.2 元偏瘫肢体综合训练次41 元平衡功能训练次21 元葡萄糖6-磷酸脱氢酶活性检测项9.9 元葡萄糖测定(GLU)次8.8 元葡萄糖测定(酶电极法加收)项 5 元普通二维超声心动图次43 元普通视力检查次 1.1 元普通心脏M型超声检查次16 元普通针刺5个穴位11 元其他推拿治疗(每次20分钟) 次35 元其他推拿治疗(每次超过10分钟加收50%) 次17.5 元气管插管辅助包个105.84 元气管插管术次38 元气管插管术(急诊加收)次11.4 元牵引(机器牵引加收5元) 次22 元牵引(土法牵引) 次12 元前鼻镜检查次 3.3 元前鼻孔填塞次/侧23 元前列腺按摩次23 元前列腺特殊治疗次63 元前列腺液常规检查(镜检)次7.7 元前磨牙拔除术每牙50 元前牙拔除术每牙25 元前牙美容修复术每牙104 元浅表器官彩色多普勒超声检查每个部位86 元浅表肿物切除术每个肿物126 元浅表肿物切除术(急诊加收)每个肿物38 元浅表组织器官B超检查每个脏器41.8 元浅表组织器官彩色多普勒超声:双眼及附属器每部位86 元嵌顿包茎手法复位术次104 元嵌顿包茎松解术次440 元嵌顿包茎松解术(急诊加收)次132 元腔内彩色多普勒超声检查次140 元清洁灌肠次27 元丘疹挤粟治疗每个 6 元球后注射次/只23 元球结膜下注射次/只11 元屈伸指肌腱吻合术每根肌腱628 元屈伸指肌腱吻合术(急诊加收)每根肌腱188 元取结膜结石次/只11 元醛固酮测定项31.9 元全景牙片次80 元全身麻醉2小时852 元全血细胞计数+三分类次16.5 元全血粘度测定(低切)次9.9 元全血粘度测定(高切)次9.9 元全血粘度测定(中切)次9.9 元人工晶体度数测量次20.9 元人工晶体度数测量仪(瑞士)单侧60 元人工流产术次127 元人工流产术((畸形子宫、疤痕子宫、哺乳期子宫、钳刮术加收) 次20 元人工细胞愈合膜支102.6 元人类白细胞抗原B27测定(HLA—B27) 项140.8 元人免疫缺陷病毒抗体测定(Anti-HIV) 项20.9 元人乳头瘤病毒HPV核酸检测次314 元柔润保湿霜支163.08 元乳酸脱氢酶测定项 3.3 元乳腺肿物穿刺术次101 元乳腺肿物切除术单侧566 元乳腺肿物切除术(急诊加收)单侧169.8 元乳腺钼靶摄片 8×10口寸(套餐) 次250 元乳牙拔除术每牙12 元软组织内阻滞术次35 元软组织注射治疗--臭氧(5毫升内) 次30 元色谱法加收50元次50 元森田疗法日29 元沙眼衣原体肺炎血清学试验项41.8 元沙眼衣原体肺炎血清学试验(荧光探针法加收10元) 项10 元烧伤冲洗清创术(小) 次115 元烧伤换药(小) 次115 元烧伤换药(小)(急诊加收)次34 元烧伤纱布(块) 块8 元神经传导速度测定每条神经12.1 元神经丛阻滞术次81 元神经电图每条神经20.9 元神经根阻滞术次69 元神经阻滞麻醉(危急病人加收)2小时126 元神经阻滞治疗次35 元渗透压检查项15.4 元石膏拆除术次38 元石膏固定术(大) 次440 元石膏固定术(大)(急诊加收)次132 元石膏固定术(小) 次189 元石膏固定术(小)(急诊加收)次57 元石膏固定术(中) 次315 元石膏固定术(中)(急诊加收)次94 元食道钡餐透视次16 元食道吞钡透视次16 元食管气管双腔急救导管个1058.4 元视网膜激光光凝术次345 元视野检查次15.4 元视野检查(电脑视野计) 次70 元收煮中药费次 3 元手法牵复位术(小)(急诊加收)次22.5 元手法牵复位术(中)(急诊加收)次37.8 元手法牵引复位术(大) 次189 元手法牵引复位术(大)(急诊加收)次57 元手法牵引复位术(小) 次75 元手法牵引复位术(小)(急诊加收)次23 元手法牵引复位术(中) 次126 元手法牵引复位术(中)(急诊加收)次38 元手功能训练次21 元手足口病-肠道病毒71型EV71-RNA 项94.6 元手足口病-肠道病毒通用型EV-RNA 项94.6 元手足口病-柯萨奇病毒A组16型CA16-RNA 项94.6 元双肾及肾血管彩色多普勒超声次120 元四维彩超机产科二维彩超检查次86 元四维胎儿超声成像检查(单胎)次234 元四维胎儿超声成像检查(双胎)次351 元四肢血管彩色多普勒超声二根血管120 元四肢血管彩色多普勒超声(每增加两根加收50元) 二根血管50 元髓腔穿孔修补术(特殊仪器) 每根管10 元髓腔消毒术每根管17 元髓腔消毒术(特殊仪器(微波仪)) 每根管10 元胎心监测次26.4 元瘫痪推拿治(疗加收50%)次45 元痰液常规检查次 5.5 元唐氏综合症I期(PAPP-A)次164.8 元唐氏综合症Ⅱ期(AFP、游离β-HCG)次160.4 元唐氏综合症筛查项115.5 元糖化血红蛋白测定(免疫化学法) 项23.2 元糖类抗原Ca125测定次100.2 元糖类抗原Ca153测定次100.2 元糖类抗原Ca199测定次100.2 元糖类抗原测定(发光法) 每种抗原100.2 元糖类抗原测定发光法(CA-125) 次100.2 元糖类抗原测定发光法(CA19-9) 次100.2 元特大换药次35 元特大换药(急诊加收)次11 元特级护理小时 4.4 元特级烤瓷副160.92 元特殊变应原(多价变应原)筛查项31.9 元特殊方法气管插管术次75 元特殊方法气管插管术(急诊加收)次22.5 元特殊细菌涂片检查每种细菌7.7 元特异β人绒毛膜促性腺激素(β-HCG)测定项19 元特异β人绒毛膜促性腺激素(β-HCG)测定(化学发光法加收) 项20 元特异性T细胞γ-干扰素释放实验项606.1 元体表淋巴结摘除术每个部位276 元体表异物取出术次126 元体表异物取出术(复杂病变加收30元) 次30 元体表异物取出术(急诊加收)次38 元体外冲击波碎石次725 元体外冲击波碎石(同位置第二次碎石) 次329.45 元体外循环管路次32.4 元贴敷疗法(大) 每个创面46 元贴敷疗法(小) 每个创面23 元铁蛋白测定项62.7 元听力筛选试验次11 元头皮留置针支33 元头皮肿物切除术次754 元头皮肿物切除术(急门诊手术)次195 元头皮肿物切除术(门诊手术)次150 元透析器(新)个105.84 元推拿疗法(瘫痪病人加收50%)次17.5 元脱落细胞学检查与诊断例52.8 元脱氧核糖核酸(DNA)测序项136.4 元外阴活检术次23 元外阴良性肿物切除术次377 元外阴良性肿物切除术复杂的次100 元外阴损伤缝合术次628 元外周血细胞染色体检查项125.4 元外斐氏反应项12.1 元网织红细胞计数(Ret) 项 4.4 元微量元素测定次66 元微量元素钙测定次9.9 元微量元素镁测定次9.9 元微量元素铁测定次9.9 元微量元素铜测定次9.9 元微量元素锌测定次9.9 元微针针刺次23 元唯美树脂支32 元胃肠减压日 4.8 元胃肠切开取异物次1445 元温针5个穴位23 元无创辅助通气小时 3.6 元无机磷测定项 3.3 元戊型肝炎抗体测定(Anti-HEV) 项28.6 元吸氧小时 6 元洗胃次48 元洗胃(使用洗胃机加收20元) 次20 元系带成形术次251 元细菌抗体测定项30.8 元细菌抗体测定(荧光探针法加收10元) 项10 元细菌培养+鉴定+药敏次132 元纤维鼻咽镜检查次104.5 元纤维喉镜检查次104.5 元纤维结肠镜检查次115.5 元纤维结肠镜检查(电子镜) 次80 元纤维食管镜检查次104.5 元纤维食管镜检查(电子镜) 次80 元纤维胃十二指肠镜检查次70.4 元纤维胃十二指肠镜检查(电子镜) 次80 元涎腺导管结石取石术次541 元显微摄影术每个视野36.3 元腺病毒抗体测定项20.9 元腺病毒抗体测定(荧光探针法加收10元) 项10 元腺苷脱氨酶测定项 5.5 元小肠镜检查次178.2 元小肠镜检查(电子镜) 次80 元小儿头皮静脉输液次8.8 元小儿斜颈推拿治疗次53 元小换药次11 元小换药(急诊加收)次 3 元小抢救次97 元小清创缝合次69 元小清创缝合(急诊加收)次21 元小手术标本检查与诊断例52.8 元心电向量图次31.9 元心肺复苏术次377 元心理治疗次17 元心理咨询次58 元心脏彩色多普勒超声次95 元心脏电除颤术次58 元胸腹水B超检查及穿刺定位次41.8 元胸腹水常规检查次8.8 元胸腔穿刺术次92 元胸透华米氏试验次12 元穴位注射二个穴位11 元血常规(五分类+血型鉴定)次30.5 元血常规(五分类)次16.5 元血管紧张素Ⅰ测定项35.2 元血管紧张素Ⅱ测定项35.2 元血浆D—二聚体测定(D—Dimmer)项150 元血浆氨测定项51.7 元血浆抗凝血酶Ⅲ活性测定(AT—ⅢA) 项31.9 元血浆抗凝血酶Ⅲ活性测定(AT—ⅢA)(仪器法加收10)项10 元血浆凝血酶原时间测定(PT) 项8.8 元血浆皮质醇测定(发光法) 项44.9 元血浆乳酸测定项21 元血浆纤维蛋白原测定项8.8 元血浆粘度测定项15.4 元血气分析次62.7 元。
海南省物价局关于地氯雷他定等药品临时零售价格的通知正文:---------------------------------------------------------------------------------------------------------------------------------------------------- 海南省物价局关于地氯雷他定等药品临时零售价格的通知(2006年4月19日琼发改价格[2006]500号)各市县物价局、洋浦经济发展局:根据《国家发展和改革委关于印发<国家发展改革委定价药品目录>的通知》(发改价格[2005]1205号)“对我委定价的药品,我委或省、自治区、直辖市价格主管部门已制定公布过价格的,可继续按公布价格执行。
未制定公布价格的政府指导价药品,在我委定价前,暂授权各省、自治区、直辖市价格主管部门制定公布在本地执行的临时价格,并及时抄报我委;在各省、自治区、直辖市价格主管部门未制定公布价格前,经营者可暂按市场实际价格执行。
”和《海南省发展与改革厅关于印发<海南省政府定价药品目录>的通知》(琼发改价格[2005]1508号)有关规定精神,为了方便企业生产经营,在国家发展改革委和我局制定公布价格前,地氯雷他定等药品由企业暂按市场实际价格执行(详见附表)。
附表:地氯雷他定等药品价格表┌─┬──────┬───┬───────┬───┬────────┬─────┬─────┐│序│通用名│剂型│规格│单│生产经营企业│临时零售│备注││号│(含商品名)│││位││价格(元)││││││││││││││││││││├─┼──────┼───┼───────┼───┼────────┼─────┼─────┤│1 │地氯雷他定│干混悬│0.5g:2.5mg×6│盒│海南普利制药有限│ 35.8 │││││剂│袋││公司│││├─┼──────┼───┼───────┼───┼────────┼─────┼─────┤│2 │地氯雷他定│干混悬│0.5g:2.5mg×8│盒│海南普利制药有限│ 47.2 │││││剂│袋││公司│││├─┼──────┼───┼───────┼───┼────────┼─────┼─────┤│3 │地氯雷他定│干混悬│0.5g:2.5mg×│盒│海南普利制药有限│ 58.6 │││││剂│10袋││公司│││├─┼──────┼───┼───────┼───┼────────┼─────┼─────┤│4 │地氯雷他定│干混悬│0.5g:2.5mg×│盒│海南普利制药有限│ 69.8 │││││剂│12袋││公司│││├─┼──────┼───┼───────┼───┼────────┼─────┼─────┤│5 │马来酸曲美│片剂│100mg×20片│盒│海南普利制药有限│ 28.0 ││││布汀││││公司│││├─┼──────┼───┼───────┼───┼────────┼─────┼─────┤│6 │马来酸曲美│片剂│200mg×12片│盒│海南普利制药有限│ 28.8 ││││布汀││││公司│││├─┼──────┼───┼───────┼───┼────────┼─────┼─────┤│7 │头孢米诺钠│注射剂│1.0g │瓶│海南新世通制药有│148.0 ││││││││限公司│││├─┼──────┼───┼───────┼───┼────────┼─────┼─────┤│8 │葡萄糖酸依│注射剂│0.1g,冻干粉针│支│海南新世通制药有│ 42.0 ││││诺沙星(必││││限公司│││││采尼)│││││││├─┼──────┼───┼───────┼───┼────────┼─────┼─────┤│9 │葡萄糖酸依│注射剂│0.2g,冻干粉针│支│海南新世通制药有│ 70.0 ││││诺沙星(必││││限公司│││││采尼)│││││││├─┼──────┼───┼───────┼───┼────────┼─────┼─────┤│10│益母草颗粒│颗粒剂│2g×6袋│盒│海南博大制药厂│15.8││├─┼──────┼───┼───────┼───┼────────┼─────┼─────┤│11│天麻素(伊│注射剂│0.1g,冻干粉针│支│海南通用同盟药业│ 24.7 ││││丁来)││││有限公司│││├─┼──────┼───┼───────┼───┼────────┼─────┼─────┤│12│天麻素(伊│注射剂│0.2g,冻干粉针│支│海南通用同盟药业│ 42.0 ││││丁来)││││有限公司│││├─┼──────┼───┼───────┼───┼────────┼─────┼─────┤│13│奥卡西平(│片剂│0.3g×30片│盒│北京四环制药有限│123.3 ││││仁澳)││││公司│││├─┼──────┼───┼───────┼───┼────────┼─────┼─────┤│14│胸腺五肽│注射剂│1mg│支│哈药集团生物工程│196.0││││││││有限公司│││├─┼──────┼───┼───────┼───┼────────┼─────┼─────┤│15│阿魏酸钠│注射剂│0.1g │瓶│海南国瑞堂制药有│ 29.8 │琼发改价格│││││││限公司││[2005]19│├─┼──────┼───┼───────┼───┼────────┼─────┤80号生产企││16│香丹注射液│注射剂│2ml*10支│盒│海南国瑞堂制药有│ 19.0 │业名称有误│││││││限公司││更改│└─┴──────┴───┴───────┴───┴────────┴─────┴─────┘——结束——。
琼海市人民医院常用药品价格阿达帕林凝胶30g /支52.43元阿德福韦脂片10mg x14片/盒85元阿莫罗芬乳膏5g /支13.65元阿娜尔妇洁液200ml /瓶39.99元氨溴索口腔崩解片30mg x24片/盒21.8元奥曲肽注射液0.05mg 1ml/支26.6元奥硝唑粉针0.25g /瓶20.1元奥硝唑氯化钠注射液0.5g 0.825g/瓶30元百普力(肠内营养混悬液)500ml/瓶92.44元倍他米松磷酸钠粉针2mg/瓶15.65元苯磺顺阿曲库铵粉针10mg/瓶96.52元布洛芬口腔崩解片0.1g x18片/盒31.27元长春西汀粉针10mg /支20.35元醋酸钙片0.667 x12片/盒61.69元单磷酸阿糖腺苷针0.1g /支24.75元单唾液酸四已糖神经节苷脂钠盐针2ml 40mg/支203.1元低分子量肝素钙注射液5000iu 1ml/支22.48元碘佛醇50ml 33.9g/瓶148.6元东莨菪碱注射液0.3mg 1mlx5支/盒15元多种微量元素注射液Ⅱ10ml /支30元恩替卡韦分散片0.5mgx7片/盒114.5元二甲双胍肠溶胶囊0.25g x48粒/盒12.56元法舒地尔注射液2ml 30mg/支62元氟康唑颗粒2g x7袋/盒37.42元氟康唑氯化钠注射液0.4g 200ml/瓶19.48元氟尿嘧啶植入剂0.1g /瓶355.08元复方甘草酸单铵S粉针40mg /支21.2元复方甘草酸单铵S粉针80mg /支36.3元复方曲安奈德乳膏15g /支9.9元甘油果糖氯化钠注射液250ml/瓶18.78元高锰酸钾外用片0.1g x24T/盒 6.2元格列齐特缓释片30mg x30T/盒49.45元骨肽注射液10ml 50mg/支23.11元果糖二磷酸钠片0.25g x48粒/盒42元过氧苯甲酰凝胶15g /支26.03元环丙沙星栓0.2gx7粒/盒26.1元甲氨喋呤片 2.5mg x16T/盒41.74元卡前列素氨丁三醇注射液0.25mg 1ml/支466.96元糠酸莫米松乳膏5g /支15.35元枯草杆菌二联活菌颗粒1g x15袋/盒21.83元磷酸肌酸钠1g /瓶86.3元硫普罗宁注射液5ml 0.2g/支21.66元硫软膏15g /支 3.47元卤米松乳膏10g /支22.26元鹿瓜多肽注射液4mg 2ml/支37.26元氯化钾缓释片0.5g x16片/瓶 4.2元氯雷他定口腔崩解片10mg x10片/盒27.28元洛贝林注射液3mg 1mlx5支/盒13.65元纳络酮粉针 1.2mg /瓶31.79元纳络酮粉针0.4mg /支8.47元脑蛋白水解物粉针30.5mg /支34.1元尼可地尔片5mg x30片/盒68.39元凝血酶冻干粉针500单位 /支16.8元平衡盐溶液500ml/瓶178.26元普罗帕酮片(心律平)50mg x100片/瓶10元七叶洋地黄双苷滴眼液0.4ml x10支/盒36.04元氢醌乳膏10g 0.2g/支83.74元曲马多缓释片0.1g /T 2.17元三磷酸胞苷二钠粉针20mg /瓶58.5元司他斯汀片1mg x20片/盒39.31元坦洛新缓释片0.2mg x14T/盒57.83元替米沙坦氢氯噻嗪胶囊40mg 12.5mgx7粒/盒41.26元头孢丙烯分散片0.25g x6片/盒31.73元头孢丙烯干混悬剂0.125g x12包/盒40.7元头孢西丁钠粉针2g /瓶53.66元西沙必利片5mg x10片/盒 3.35元吸入用沙丁胺醇溶液5mg 2.5ml/瓶 5.65元硝苯地平缓释片(III)30mg x14片/盒38.5元硝呋太尔胶囊28粒/盒55.55元小儿复方氨基酸注射液(19AA-I)20ml 1.2g/支22.23元小牛血去蛋白提取眼凝胶5g 1g/支44.15元辛伐他汀片10mg x30片/盒49.83元胸腺五肽粉针1mg /支74元胸腺肽肠溶片20mg x10片/盒39.72元依那普利氢氯噻嗪片10mg 6.25mg/盒37.59元伊索拉定片2mg x24片/盒43.48元异丙托溴铵气雾剂14g 8.4mg/瓶51.91元重组人促红素注射液4000iu 1ml/支40元重组人干扰素α2b滴眼液100万IU 5ml/支30.92元重组人干扰素α2b粉针1ml 500万IU/支33.66元注射用达卡巴嗪0.1g /支77.2元注射用间苯三酚40mg /瓶27.16元左旋氨氯地平片5mg x14片/盒51.82元左氧氟沙星滴眼液(国产)24.4mg 5ml/支13元左氧氟沙星片(可乐必妥)0.1gx10片/盒35.21元咪唑斯汀缓释片10mg x7片/盒22.17元泮托拉唑钠肠溶胶囊40mg x10粒/盒39.2元泮托拉唑钠肠溶微丸胶囊20mg x12粒/盒43.95元缬沙坦分散片80mg x14片/盒41.97元阿莫西林克拉维酸分散片0.457g x8片/盒28元呋麻滴鼻液(呋喃西林麻黄素)10ml/支2元布洛芬滴剂(美林)15ml/瓶11.38元西替利嗪滴剂20ml/瓶24.09元小儿伪麻美芬滴剂15ml/瓶13.79元妥布霉素滴眼液(托百士)15mg 5ml/支16.25元阿昔洛韦滴眼液8ml /支13.45元丙美卡因滴眼液15ML:75MG /支42.4元玻璃酸钠滴眼液5mlx5mg/支26.09元布林佐胺滴眼液50mg:5ml /支72.5元氮卓斯汀滴眼液6ml/瓶41.7元氟米龙滴眼液1mg 5ml/支15.15元复方托吡卡胺滴眼液10ml/支16.52元更昔洛韦滴眼液8mg 8ml/支18.25元加替沙星滴眼液15mg 5ml/支20.41元聚乙烯醇滴眼液0.8mlx10支/盒27.5元卡波姆滴眼液10g/支28.65元氯霉素滴眼液5ml/支 5.47元氯替泼诺混悬滴眼液5mg 1ml/支82.98元毛果芸香碱滴眼液(真瑞)(匹鲁卡)25mg /瓶12.78元普拉洛芬滴眼液5ml 5mg/支39.64元曲伏前列素滴眼液0.1mg:2.5ml /支195.6元妥布霉素地塞米松滴眼液5ml/支32.15元依美斯汀滴眼液 2.5mg:5ml /支34.76元右旋糖酐羟丙甲纤维素滴眼液0.4mlx28支/盒109.52元左氧氟沙星滴眼液24.4mg 5ml/支30.95元溴莫尼定滴眼液5ml:10mg /支73.3元羟糖甘滴眼液5ml/支28.65元比阿培南粉针0.3g /瓶170.43元表柔比星粉针10mg /瓶106.09元表柔比星粉针(进口)10mg /瓶160.17元丙氨酰谷氨酰胺粉针20g /瓶127元丹参多酚酸盐粉针50mg /瓶59.12元灯盏花素粉针50mg /瓶47.01元丁溴东莨菪碱粉针20mg /瓶12.87元多沙普仑注射液0.1g 5mlx5支/盒101元氟尿嘧啶注射液0.25g 10mlx5支/盒32.61元伏立康唑粉针0.1g /瓶193.03元复方三维B(II)粉针/瓶113.04元红花黄色素粉针50mg /瓶67.8元环磷腺苷粉针60mg /瓶29.06元加贝酯粉针0.1g /瓶33.2元甲硫氨酸维B1100mg 10mg/支33元尖吻腹蛇血凝酶粉针1u /瓶104.35元兰索拉唑粉针30mg /瓶79元水溶性维生素粉针1复方/瓶8.1元碳酸氢钠粉500g /包 4.5元头孢硫脒粉针0.5g /支16.78元头孢曲松钠粉针1g /瓶 6.49元头孢唑啉钠粉针0.5g /瓶 1.57元托烷司琼粉针5mg /瓶75元托烷司琼粉针2mg /支40.95元万古霉素粉针0.5g /瓶85元维库溴铵粉针4mg /支10.6元乌拉地尔粉针25mg /瓶28.2元乌司他丁粉针10WU /瓶111.3元五水头孢唑林钠粉针1g /瓶46.26元五水头孢唑林钠粉针0.5g /瓶26.05元腺苷钴胺粉针 1.5mg /瓶40元硝普钠粉针50mg/支 5.6元小牛血去蛋白提取物粉针0.4g /瓶51.39元胸腺法新粉针 1.6mg /瓶103.04元胸腺五肽粉针10mg /瓶75元血塞通粉针200mg /瓶31.58元血塞通粉针400mg /瓶51.04元亚胺培南-西司他丁钠粉针1g /瓶101元亚叶酸钙粉针100mg /瓶11.32元脂溶性维生素(1)粉针/瓶42.86元脂溶性维生素(Ⅱ)粉针/瓶21.74元转化糖粉针 6.25g:6.25g /瓶40.78元左卡尼汀粉针1g /瓶16.4元左卡尼汀粉针0.5g /支21.88元吡柔比星粉针10mg /瓶145.22元哌拉西林钠舒巴坦钠粉针 1.5g /瓶33.65元哌拉西林钠他唑巴坦钠粉针 1.125g /瓶19元哌拉西林钠他唑巴坦钠粉针 1.25g /瓶66.96元拉氧头孢粉针(噻吗灵)1g /瓶100.86元拉氧头孢粉针(噻吗灵)0.5g /瓶59.12元鼠神经生长因子粉针30ug /瓶249.56元头孢孟多酯钠粉针1g /瓶77元头孢西丁钠粉针1g /瓶24.2元头孢呋辛钠粉针2g /瓶17.68元头孢哌酮钠他唑巴坦钠粉针 1.125g /瓶87.97元头孢哌酮舒巴坦钠(立健舒)粉针3g /瓶19.91元多西环素粉针0.1g /瓶47.78元双氯芬酸二乙胺乳膏20g /支20.54元地氯雷他定干混悬剂0.5g 2.5mgx10袋/盒35.1元酚麻美敏混悬液100ml/瓶17.54元复方营养混悬剂125g /袋45.12元佳维体(肠内营养混悬液)TPF-D1kcal 500ml/瓶52.09元头孢泊肟酯干混悬剂50mg x9袋/盒34.1元阿莫西林克拉维酸钾干混悬剂0.2285g x12袋/盒21元对乙酰氨基酚混悬滴剂(幼儿)15ml/瓶11.66元对乙酰氨基酚混悬液(儿童)100ml/瓶13.58元氨基葡萄糖胶囊0.75g x20S/盒51元布洛芬缓释胶囊0.3g x12粒/盒7.6元多巴丝肼片0.25g x40粒/盒82.08元多维元素胶囊(13)0.5g 9粒/盒26.15元氟伐他汀钠胶囊40mg x7粒/盒29.61元氟桂利嗪胶囊(西比灵)5mg x20粒/盒23.92元氟氯西林钠胶囊0.25g x12粒/盒34.5元复方斑蝥胶囊0.25g 60粒/盒141.08元复方消化酶胶囊20粒/盒43.81元复合乳酸菌胶囊0.33g x10粒/盒21.55元骨化三醇胶囊(罗盖全)0.25ug x10粒/瓶59.66元环孢素胶囊25mg x50粒/盒292.38元黄体酮胶囊50mg x20粒/盒30.82元加巴喷丁胶囊0.1g x50粒/盒26.79元雷贝拉唑钠肠溶胶囊20mg x7粒/盒51.77元雷贝拉唑钠肠溶胶囊10mg x7粒/盒32.34元利福喷丁胶囊0.15g x20粒/盒15.5元硫普罗宁肠溶胶囊0.1g x12粒/盒16.54元洛哌丁胺胶囊2mgx6粒/盒 4.6元吗替麦考酚酯胶囊0.25g x40粒/盒601元脑络通胶囊0.5g x30粒/瓶9.18元诺氟沙星胶囊0.1g x20粒/盒 2.15元曲昔派特胶囊0.1g x12粒/盒31.37元塞来昔布胶囊0.2g x6粒/瓶37.65元头孢泊肟酯胶囊50mg x6片/盒32.12元西咪替丁胶囊0.2g x50粒/瓶6元硝呋太尔制霉素阴道软胶囊6片/盒39.79元依匹斯汀胶囊10mg x6粒/盒24.88元重组人干扰素а-2b阴道泡腾胶囊80万IU x4粒/盒70.84元吲达帕胺胶囊 2.5mgx28粒/盒8.12元缬纱坦胶囊(代文进口)80mg x7粒/盒39.68元阿莫西林胶囊0.25g x24粒/盒 6.43元头孢克肟胶囊0.2g x6粒/盒26.43元克拉霉素胶囊0.125g x12粒/盒8元罗红霉素缓释胶囊0.15g x8粒/盒18.77元奥美拉唑胶囊20mg x14粒/瓶 6.19元雷尼替丁胶囊0.15g x30粒/瓶 5.13元复方氯唑沙宗胶囊125mg 150mgx48粒/盒22.52元川芎嗪滴丸5mg x300丸/盒26.7元维生素E(来益)胶丸100mg x30粒/瓶17元复方锌布颗粒(臣功再欣)3gx12袋/盒9.18元猴头菌提取物颗粒3g x12袋/盒26.63元小儿复方氨基酸针(国产)100ml/瓶23.5元乙酰半胱氨酸颗粒0.2g x10袋/盒24.85元愈美颗粒3g x12包/盒12.2元蛋白琥珀酸铁口服溶液40mg 15mlx10瓶/盒134.4元复方福尔可定口服液(澳特斯)150ml/瓶31.5元复方锌铁钙口服液10mlx15支/盒37.55元乳果糖口服溶液66.7g 100ml/瓶36.43元愈酚伪麻口服液100ml /瓶20.34元阿托品眼用凝胶 2.5g:25mg /支16.52元更昔洛韦眼用凝胶5g 7.5mg/支24.29元依托芬那酯凝胶20g 2ml/支20.7元布地奈德鼻喷雾剂120揿/支63.77元氮卓斯汀鼻喷雾剂10ml/支37.57元阿卡波糖片(拜唐苹)50mg x30片/瓶64.33元阿仑膦酸钠D370mg /粒61.57元阿罗洛尔片10mgx10片/盒34.71元阿普唑仑片0.4mg /片0.1元阿托伐他汀钙片20mg x7片/盒64.96元氨氯地平片5mg x28片/盒14.9元安乃近片0.5g x100片/瓶7.91元奥替溴铵片40mgx10片/盒43.29元贝那普利片(洛汀新片)10mg x14片/盒44.19元苯扎贝特分散片0.2g x24片/盒43.63元比索洛尔片 2.5mg x10片/盒17.85元比索洛尔片5mg x18片/盒28.17元丙戊酸钠缓释片0.5g x30片/瓶67.48元醋甲唑胺片50mg x10片/盒34.75元大黄苏打片1ta x1000片/瓶10元单硝酸异山梨酯缓释片.50mg x10粒/盒22.53元地尔硫卓片30mg x40片/盒6元地高辛片0.25mg x100片/瓶60元厄贝沙坦氢氯噻嗪片150mg 12.5mgx7片/瓶35.71元恩替卡韦片0.5mg x7片/盒208.7元二甲双胍片(格华止)0.5g x20片/盒25.36元非洛地平缓释片5mg x10片/盒35.2元非那雄胺片(保列治)5mg x10片/盒59.13元酚氨咖敏片1ta x100片/瓶8.61元酚麻美敏片10粒/盒9.92元氟他胺片0.25g x50片/瓶225元复方a -酮酸片0.63g x100片/盒231.2元复方甘草酸苷片25mg x100片/盒130.93元复方尿囊素片30粒/盒20.37元复方嗜酸乳杆菌片18片/盒39.74元复合维生素B片100片/瓶6元格列美脲片2mg x15粒/盒67.74元桂利嗪片(脑益嗪)25mg x100片/瓶 4.78元华法林钠片3mg x100片/瓶45.99元华法林片 2.5mg x60片/瓶14.57元黄酮哌酯片0.2g x12片/盒9.62元肌苷片0.2g x100片/瓶8.78元甲苯咪唑片(安乐士)0.1g x6片/盒 1.93元甲钴胺片0.5mg x20片/盒8.47元卡培他滨片(希罗达)0.5g x12片/盒408.7元卡托普利片25mg x100片/瓶 1.5元坎地沙坦酯分散片4mg x14片/盒30.21元坎地沙坦酯片8mg x16片/盒41.28元拉米夫定片(贺普丁)100mg x14片/盒180元来曲唑片 2.5mg x10片/盒129.56元兰索拉唑肠溶片15mg x14粒/盒30.9元柳氮磺吡啶肠溶片250mg x60片/盒17.3元氯波比利片0.68mg x15片/盒30.3元氯唑沙宗片0.2g x24片/盒 2.24元卵磷脂络合碘片 1.5mg x60片/盒139元洛伐他汀片10mgx20片/盒12元吗啉胍片0.1g x100片/瓶 5.8元镁加铝咀嚼片0.5g x10片/盒27.69元美洛昔康片7.5mg x20粒/盒12元美沙拉嗪肠溶片0.4g x24片/盒49.09元孟鲁司特钠咀嚼片4mg x5片/盒31.65元孟鲁司特钠片10mg x5片/盒39.09元米非司酮片25mg x6片/盒21元米索前列醇片0.2mg x3片/盒6元莫西沙星片400mg x3片/盒75.91元那格列奈分散片60mg x24片/盒27.63元那格列奈片120mg x12片/盒31.39元尼莫地平片20mg x50片/瓶 2.45元尼莫地平片(尼膜同)30mg x20片/盒28元苹果酸钙片0.5g x50片/瓶32.36元葡醛内酯片100mg x100片/瓶9.04元普伐他汀钠片10mg x12片/盒26.33元氢氯吡格雷片75mg x7片/盒119.13元曲美他嗪片20mg x30片/盒29.8元屈螺酮炔雌醇片21片/盒119.72元炔雌醇环丙孕酮片2mg x 21片 /盒55.58元瑞格列奈(诺和龙)片1mg x30片/盒65.49元三维B片(维乐生)1ta x24粒/瓶 5.13元沙丁胺醇口腔崩解片0.6mg x20片/盒24元他莫昔芬片10mg x60片/瓶26元碳酸钙D3片30片/瓶27.75元酮替芬片1mg x60片/瓶 5.48元托特罗定片2mg x14片/盒27.5元维生素B1片10mg x100片/瓶 2.6元维生素B4片10mg x100片/瓶3元维生素B6片10mg x100片/瓶 2.5元维生素C片0.1g x100片/瓶0.69元乌苯美司片10mg x12片/盒105.22元戊酸雌二醇片1mg x21片/盒30.07元戊酸雌二醇片/雌二醇环丙孕酮片21片/盒74.95元硝苯地平片(心痛定)10mg x100片/瓶 2.61元硝酸甘油片0.5mg x100片/瓶 4.26元硝酸异山梨酯片5mgx100片/瓶 2.15元小檗碱片(黄连素)0.1g x100片/瓶7元星瑙灵片5mg 20片/盒32.64元依那普利分散片5mg x24片/盒20.71元依托考昔片60mg x5片/盒41.26元制霉菌素片0.5g x100片/瓶24.7元左旋氨氯地平片 2.5mg x14片/盒20.08元吡拉西坦片0.4g x100片/瓶 6.7元吲哚美辛片(消炎痛)25mg x100片/瓶 3.04元溴吡斯的明片60mg x60粒/瓶29.18元羟苯磺酸钙分散片0.25g x24片/盒39.4元鲨肝醇片50mg x100片/瓶7.07元头孢地尼分散片50mg x6粒/盒25.05元头孢克洛缓释片0.375g x8片/盒35元头孢克肟咀嚼片50mg x12片/盒25.48元多西环素片(强力霉素)100mg x100片/瓶7.34元阿奇霉素片0.25g x6片/盒6元克拉霉素缓释片0.5g x7粒/盒41.16元复方磺胺甲噁唑片(百炎净)0.5g x100片/瓶21.48元左氧氟沙星片0.1g x12片/盒5元乙胺丁醇片0.25g x100片/瓶14.53元异烟肼片0.1g x100片/瓶28元吡嗪酰胺片0.25g x100片/瓶25元氟康唑片50mg x6片/盒4元阿昔洛韦片(无环鸟苷)0.1g x24粒/盒 5.48元甲硝唑片0.2g x100片/瓶4元吗啡(美施康定)缓释片30mg /片8.53元吗啡片5mg /片0.75元羟考酮缓释片10mg /片8.28元羟考酮缓释片40mg /片31.74元双氯芬酸钠(扶他林)缓释片75mg x10片/盒23.75元氯丙嗪片(冬眠灵)25mg x100片/瓶15元苯巴比妥(鲁米那)片30mg /片0.3元苯妥英钠片100mg x100片/瓶8元卡马西平片0.1g x100片/瓶9元地西泮片(安定) 2.5mg /片0.07元别嘌醇片0.1g x100片/瓶23.82元秋水仙碱片0.5mg x20片/盒6元胺碘酮片(进口)0.2g x10片/盒25.13元美托洛尔片(倍他乐克)25mg x20片/盒7.61元普罗帕酮片(心律平)50mg x50片/盒 5.13元普萘洛尔片(心得安)10mg x100片/瓶8元辛伐他汀片40mgx7片/盒36.52元氨茶碱片0.1g x100片/瓶 2.5元法莫替丁片20mg x24片/盒6元复方氢氧化铝(胃舒平)片1ta x100片/瓶 4.8元阿托品片0.3mg x100片/瓶8元多潘立酮片(吗丁啉)10mg x30片/盒14.26元山莨菪碱片(654-2)5mg x100片/瓶6元酚酞片(果导)0.1g x100片/瓶9.2元开塞露20ml/个0.95元熊去氧胆酸片50mg x30粒/瓶7.2元安体舒通(螺内酯片)20mg x100片/瓶 6.07元氢氯噻嗪片25mg x100片/瓶 3.39元呋塞米片(速尿)20mg x100片/瓶 5.2元地塞米松片0.75mg x100片/瓶9.75元泼尼松片(强的松)5mg x100片/瓶 4.52元丙硫氧嘧啶片50mg x100片/瓶12.26元甲巯咪唑片(赛治)10mgx50片/盒28.77元甲巯咪唑片(他巴唑)5mg x100片/瓶 5.87元阿司匹林肠溶片(拜阿司匹林)100mg x30粒/盒15.48元双嘧达莫片(潘生丁)25mg x100片/瓶7元氯苯那敏片4mg x100片/盒 1.83元赛庚啶片2mg x100片/瓶 4.7元碳酸氢钠片0.5g x100片/瓶 3.5元艾司唑仑片1mg /片0.57元多塞平片(多虑平)25mg x100片/瓶8.17元垂体后叶素6iu 1mlx10支/盒25.22元腹膜透析液(乳酸盐)G-2.5% 2000ml/袋26.8元腹膜透析液(乳酸盐)G-1.5% 2000ml/袋26.4元甘油盐水(制)500ml/瓶24.78元过氧化氢溶液100ml/瓶 1.5元精蛋白生物合成人胰岛素注射液笔诺和灵笔芯 300u 3ml/支56.22元麻黄素溶液1%100ml/瓶4元门冬胰岛素30注射(诺和锐30笔芯)300iu 3ml/支74.09元灭菌蒸馏水500ml/瓶 2.29元尼可刹米注射液 1.5mlx10支/盒8.7元葡萄糖酸钙锌口服液10mlx24支/盒48.84元硝酸甘油注射液5mg 1mlx10支/盒31.3元胰岛素笔式注射器(诺和笔)/支225元异氟烷100ml/支483元溴己新注射液100ml/瓶18.69元蒙脱石散3g x10袋/盒13.91元丙酸氟替卡松吸入气雾剂60揿 /瓶71.3元吸入用七氟烷120ml/瓶918元沙丁胺醇气雾剂(万托林)200揿 100ug/支20.65元复方甘草口服液100ml/瓶 4.8元复方磷酸可待因溶液10mlx15袋/盒21.33元亮菌口服溶液10ml 10支/盒47.42元麻黄素丁卡因溶液(制)100ml/瓶8元羧甲司坦口服溶液10mlx10支/盒31.7元雌三醇乳膏15g /支45.19元夫西地酸乳膏(奥络)10g /支19.34元金霉素眼膏5% 2g /支 2.09元马应龙痔疮软膏10g /支8.06元阿昔洛韦软膏10g /支 2.43元红霉素软膏8g /支 2.43元复方聚乙二醇电解质散69.56g /盒38元复方胃蛋白酶散/佳福3g x8袋/盒31.09元保妇康栓7粒/盒20.84元环吡酮胺阴道栓0.1g 6粒/盒74.52元荧光素钠注射液0.6g 3mlx5支/盒486.5元联苯双酯滴丸 1.5mg x250粒/瓶21.73元阿米卡星洗剂125mg 50ml/瓶14.5元柏洁洗剂200ml/瓶31.95元复方苦参洗剂150ml/瓶19.01元炉甘石洗剂100ml/瓶 2.3元茯蒲洗液100ml/瓶24.09元妥布霉素地塞米松眼膏 3.5g/支32.25元妥布霉素眼膏 3.5g:10.5mg /支28.32元0.9%氯化钠注射液(直)50ml/袋 4.9元10%葡萄糖注射液(直)250ml/袋 4.24元10%葡萄糖注射液(直)100ml/袋 3.89元10%葡萄糖注射液(直)500ml/袋 4.87元5%葡萄糖氯化钠注射液(直)500ml/袋 4.65元5%葡萄糖氯化钠注射液(直)100ml/袋 3.9元5%葡萄糖注射液(直)5% 250ml/袋 6.1元5%葡萄糖注射液(直)100ml/袋 3.93元5%葡萄糖注射液(直)5% 500ml/袋5元5%葡萄糖注射液(直)50ml/瓶 3.66元50%葡萄糖注射液20mlx5支/盒 2.45元阿昔洛韦粉针250mg 5ml/瓶 1.6元艾迪注射液10ml/支31.4元艾司洛尔注射液0.2g 2ml/支80.27元氨甲苯酸注射液0.1g 10mlx5支/盒 4.35元氨甲环酸氯化钠注射液 1.35g 100ml/瓶31.88元氨溴索注射液15mg 2mlx5支/盒31.6元安乃近注射液0.5g 2mlx10支/盒 4.5元昂丹司琼注射液4mg 2ml/支27.13元奥美拉唑钠粉针20mg /支11.93元奥美拉唑钠粉针40mg /瓶32元奥曲肽注射液(生长抑素;善宁)0.1mg 1mlx5支/盒504.35元奥沙利铂注射液40mg 20ml/支247.83元白眉蛇毒凝血酶粉针1000iu x5支/盒194.2元胞磷胆碱注射液0.25g 2mlx10支/盒18.26元薄芝糖肽注射液5mg 2ml/支29.28元丙泊酚注射液100mg 10ml/支16.5元丙泊酚注射液0.2g 20ml/支36.52元玻璃酸钠注射液25mg 2.5ml/支158.9元参麦注射液20ml /支17.89元参芪扶正注射液250ml/瓶140.82元长春瑞滨注射液10mg 1ml/瓶158元长春西汀葡萄糖注射液20mg 100ml/瓶48.41元长春新碱粉针1mg /支9.58元川芎嗪粉针0.12g /支29.26元川芎嗪注射液40mg 2mlx10支/盒 5.85元丹参川芎嗪注射液5ml /支39.31元丹参酮ⅡA磺酸钠注射液10mg 2ml/支16.98元单唾液酸四已糖神经节苷脂钠盐针20mg 2ml/支88元灯盏花素粉针25mg /瓶26.71元低分子量肝素钙注射液4100iu 0.4ml/支52.58元碘海醇注射液32.4g 50ml/瓶125元碘化油注射液10ml/瓶25元碘解磷定20ml 0.5gx5支/盒13.6元碘普罗胺注射液37g 100ml/瓶360元碘普罗胺注射液30g 100ml/瓶290.43元多索茶碱粉针0.2g /支25.22元多西他赛注射液20mg 0.5ml/支269.67元多烯磷脂酰胆碱注射液232.5mg 5ml/支22.54元多种微量元素注射液Ⅱ2ml/支23元泛影葡胺注射液20mlx5支/盒61.3元酚磺乙胺注射液(止血敏)0.5g 2mlx10支/盒11.96元酚妥拉明注射液10mg 1mlx5支/盒9.13元氟哌利多针5mg 2mlx5支/盒9.13元辅酶Q10氯化钠注射液250ml/瓶27.47元复方氨基酸9AA注射液(肾安)250ml/瓶7.45元复方氨基酸注射液15AA(肝安)250ml/瓶7.36元复方氨基酸注射液(18AA)250ml/瓶44.93元复方氨林巴比妥针(复方氨基比林)2mlx10支/盒8.2元复方骨肽注射液5ml 75mg/支36.8元复方苦参注射液5ml/支34.18元复方双氯芬酸钠注射液2mlx4支/盒224.92元复方樟柳碱注射液2mlx10支/盒211.54元复合辅酶粉针/支61.74元复合磷酸氢钾注射液/支41.82元甘草酸二铵注射液50mg 10mlx5支/盒11元甘精胰岛素注射液3ml 300iu/支206.09元甘露醇注射液50g 250ml/瓶6元肝水解肽注射液50mg 5ml/支17.97元骨瓜提取物注射液10mg 2ml/支20.87元骨肽粉针25mg /支45.91元谷氨酸钠注射液 5.75g 20mlx5支/盒8.15元桂哌齐特注射液320mg 10ml/支123.48元桂哌齐特注射液80mg 2ml/支42.61元果糖二磷酸钠粉针5g /支23.94元果糖二磷酸钠粉针7.5g /支25.16元果糖注射液25g 250ml/瓶44.22元红花黄色素氯化钠注射液80mg 100ml/瓶130.48元环磷酰胺粉针200mg /瓶28.06元肌苷氯化钠注射液0.9g 0.6g 100ml/瓶18.69元甲氨喋呤粉针0.1g /瓶21.67元甲泼尼龙琥珀酸钠粉针500mg /瓶134.78元甲泼尼龙琥珀酸钠粉针40mg /瓶19.65元胶体果胶干混悬剂(华纳福)150mg x12袋/盒27.49元精氨酸注射液5g 20mlx5支/盒11.9元静注人免疫球蛋白(ph4) 2.5g /瓶620元卡巴胆碱注射液0.1mg 1mlx5支/盒131.4元卡铂注射液100mg 10ml/瓶72.05元抗蝮蛇毒血清6000iu /支287元克林霉素氯化钠注射液0.3g 100ml/瓶11.14元苦黄注射液10mlx6支/盒76.38元利福霉素钠粉针0.25g /瓶16.5元六氟化硫微泡59mg /盒537元罗痛定注射液2mlx10支/盒12.8元罗哌卡因注射液0.75% 75mg 10ml/瓶22.46元门冬氨酸钾镁注射液10mlx5支/盒 2.4元门冬氨酸鸟氨酸粉针 2.5g /瓶34.34元门冬胰岛素30注射液(诺和锐30)300u 3ml/支86.96元门冬胰岛素注射液(诺和锐)300iu 3ml/支86.96元糜蛋白酶粉针4000iu x2支/盒7.58元米力农注射液5mg 5mlx2支/盒196元脑苷肌肽注射液2ml /支69.26元尼莫地平注射液(尼膜同)10mg 50ml/瓶133.91元尿激酶粉针25WU /瓶65.48元帕米膦酸二钠注射液15mg 5ml/支206元泼尼松龙注射液5ml/瓶 3.9元破伤风抗毒素注射液1500iu x10支/盒30.4元前列地尔注射液10ug 2ml/支106.95元氢化泼尼松注射液(泼尼松龙)10mg 2ml/支22.61元曲安奈德注射液40mg 1ml/瓶9.31元曲克芦丁脑蛋白水解物注射液2ml/支50.43元去氨加压素注射液1ml 4ug/支25.76元去乙酰毛花苷注射液0.4mg 2mlx5支/盒55元人血白蛋白注射液10g 50ml/支378元乳酸依沙丫啶注射液50mg 2ml/支0.52元三磷酸腺苷注射液(ATP)20mg 2mlx10支/盒 5.3元蛇毒血凝酶注射液1单位 1ml/支38.19元生长抑素粉针3mg /支542元生长抑素粉针3mg /瓶145.2元舒血宁注射液5ml/支16.35元疏血通注射液2ml/支37.13元顺铂粉针20mg/瓶9.65元丝裂霉素粉针2mg /瓶10.32元缩宫素注射液10iu 1mlx10支/盒15元替罗非班氯化钠注射液0.9g 5mg 100ml/瓶311.3元托拉塞米注射液10mg 2ml/支18.72元戊乙奎醚注射液1ml 1mg/支50.73元西咪替丁注射液200mg 2mlx10支/盒 3.6元喜炎平注射液50mg 2ml/支24.55元小儿电解质补给注射液100ml/瓶29元小牛血清去蛋白注射液0.4g 10ml/支69元新斯的明注射液1mg 2mlx10支/盒39.13元醒脑净注射液10ml/支57.07元醒脑净注射液5ml/支39.05元盐酸曲马多注射液100mg 2ml/支 6.5元眼氨肽注射液1g 1ml/支6元依达拉奉注射液10mg 5ml/支45.82元依达拉奉注射液30mg 20ml/瓶66元依诺肝素钠注射液0.4ml 4000iu/支52.09元依托泊苷注射液5ml 0.1gx5支/盒58.7元依托咪酯脂肪乳注射液20mg 10ml/支41.89元右美托咪定注射液200ug 2ml/支191.09元右旋糖酐40注射液500ml/瓶7.88元鱼精蛋白注射液50mg 5mlx5支/盒50.95元蔗糖铁注射液100mg 5ml/支54.83元脂肪乳(中/长链)注射液20% 20g 100ml/瓶41.75元脂肪乳(中/长链)注射液20% 250ml/瓶84.67元脂溶性维生素粉针ⅡWA 3300iu/瓶32.2元重组牛碱性成纤维细胞生长因子眼21000iu /支24元重组人白介素-11粉针0.75mg /支91.3元重组人粒细胞刺激因子注射液200u /支108.86元注射水2mlx10支/盒 2.43元转化糖电解质注射液250ml/袋51.51元咪达唑仑注射液10mg 2ml/支20.52元泮托拉唑钠粉针40mg /支18元泮托拉唑钠粉针80mg /瓶29.67元钆喷酸葡胺注射液15ml/瓶168.7元羟乙基淀粉130/0.4氯化钠注射液500ml/瓶61.6元羟乙基淀粉200/0.5氯化钠注射液500ml/瓶75.25元鲑鱼降钙素注射液50iu 1mlx5支/盒242.17元阿莫西林钠克拉维酸钾粉针 1.2g/瓶31.9元美洛西林粉针0.5g /瓶10.49元美洛西林粉针1g /瓶17.8元青霉素钠粉针80万u /瓶0.8元苄星青霉素粉针120WU/瓶 3.94元头孢甲肟粉针0.5g /瓶28.68元头孢孟多酯钠粉针0.5g /瓶43元头孢他啶粉针1g /瓶40.08元头孢吡肟粉针0.5g /支12.36元头孢唑肟钠粉针1g /瓶30.5元阿米卡星注射液0.2g 2mlx10支/盒8.7元左氧氟沙星氯化钠注射液(软袋.)0.3g 100ml/瓶38.09元链霉素粉针1g /瓶 1.13元异烟肼注射液100mg 2mlx10支/盒13元利巴韦林(病毒唑)注射液100mg 1mlx10支/盒 5.22元甲硝唑氯化钠注射液(塑料瓶)500mg 100ml/瓶 1.25元吡拉西坦氯化钠注射液0.9g 20g 100ml/瓶40.15元布托啡诺注射液1mg 1ml/支13.3元芬太尼注射液0.1mg 2ml/支 4.7元吗啡注射液10mg 1ml/支 3.56元瑞芬太尼粉针1mg /支100.49元舒芬太尼注射液50ug 1ml/支50.2元哌替啶针100mg 2ml/支 2.44元氯丙嗪注射液50mg 2mlx10支/盒 5.74元苯巴比妥钠注射液0.1g 1ml/支0.78元地西泮针(安定)10mg 2ml/支0.49元胺碘酮注射液(可达龙)150mg 3mlx6支/盒158.26元美托洛尔注射液5mg 45mg 5ml/支23.73元普罗帕酮注射液(心律平)35mg 10mlx5支/盒7元维拉帕米注射液5mg 2mlx5支/盒 4.09元多巴胺注射液20mg 2mlx10支/盒21元多巴酚丁胺针20mg 2mlx10支/盒72元间羟胺注射液(阿拉明)10mg 1mlx2支/盒9.04元去甲肾上腺素(正肾上腺素)注射液2mg 1mlx2支/盒10.43元肾上腺素注射液1mg 1mlx2支/盒 3.65元异丙肾上腺素注射液1mg 2mlx2支/盒 6.06元氨茶碱注射液0.25g 2mlx10支/盒7.1元法莫替丁氯化钠针(滨欣)0.02g 100ml/瓶 6.23元阿托品注射液0.5mg 1mlx10支/盒 6.52元甲氧氯普胺注射液(胃复安)10mg 1mlx10支/盒 3.5元山莨菪碱注射液(654-2)10mg 1mlx10支/盒7.65元呋塞米注射液20mg 2mlx10支/盒 4.52元地塞米松注射液5mg 1mlx10支/盒 4.96元地塞米松注射液2mg 1mlx10支/盒 2.43元氢化可的松注射液10mg 2mlx10支/盒 4.43元黄体酮注射液20mg 1mlx10支/盒10.6元胰岛素注射液400iu 10ml/瓶17.75元维生素K1注射液10mg 1mlx10支/盒7.8元肝素钠注射液2ml 1.25WUx10支/盒76.8元维生素B12注射液1mg 1mlx10支/盒 6.35元苯海拉明注射液20mg 1mlx10支/盒15元异丙嗪注射液50mg 2mlx10支/盒 5.65元葡萄糖酸钙注射液1g 10mlx5支/盒10.4元维生素B1注射液0.1g 2mlx10支/盒 2.17元维生素B6注射液50mg 1mlx10支/盒2元维生素C注射液0.5g 2mlx10支/盒3元维生素D2注射液5mg 1ml/支18.88元0.9%氯化钠注射液10mlx5支/盒 1.96元0.9%氯化钠注射液(软)0.9% 4.5g 500ml/瓶 3.59元0.9%氯化钠注射液(直)100ml/袋4元0.9%氯化钠注射液(直)250ml/袋 4.65元0.9%氯化钠注射液(直)500ml/袋 5.15元10%氯化钠注射液10mlx5支/盒 1.9元5%葡萄糖氯化钠注射液(直)250ml/袋 4.25元果糖氯化钠注射液 2.25g 12.5g 250ml/瓶32.94元氯化钾注射液10mlx5支/盒4元乳酸钠林格注射液(塑料瓶)500ml /瓶 5.36元碳酸氢钠注射液0.5g 10mlx5支/盒0.84元碳酸氢钠注射液5%250ml/瓶6元氟马西尼注射液0.5mg 5ml/支49.92元纳络酮注射液0.4mg 1ml/支 4.99元亚甲兰注射液20mg 2mlx5支/盒61.3元布比卡因注射液37.5mg 5mlx5支/盒 6.52元利多卡因注射液0.1g 5mlx5支/盒 2.25元氯胺酮注射液0.1g 2ml/支 2.61元. .。