陕西中考数学15题——22题专题训练(一)
- 格式:doc
- 大小:276.00 KB
- 文档页数:14
2023年陕西省中考数学真题及参考答案一、选择题(共8小题,每小题3分,计24分.每小题只有一个选项时符合题意的)1.计算:=-53()A .2B .2-C .8D .8-2.下列图形中,既是轴对称,又是中心对称图形的是()3.如图,AB l ∥,B A ∠=∠2.若︒=∠1081,则2∠的度数为()A .︒36B .︒46C .︒72D .︒824.计算:=⎪⎭⎫⎝⎛-⋅332216y x xy A .543y x B .543y x -C .633y x D .633y x -5.在同一平面直角坐标系中,函数ax y =和a x y +=(a 为常数,0<a )的图象可能是()6.如图,DE 是ABC ∆的中位线,点F 在DB 上,BF DF 2=.连接EF 并延长,与CB 的延长线相交于点M .若6=BC ,则线段CM 的长为()A .213B .7C .215D .87.陕西饮食文化源远流长,“老碗面”是山西地方特色美食之一.图②是从正面看到的一个“老碗”(图①)的形状示意图.弧AB 是☉O 的一部分,D 是弧AB 的中点,连接OD ,与弦AB 交于点C ,连接OB OA ,.已知cm AB 24=,碗深cm CD 8=,则☉O 的半径OA 为()A .cm13B .cm 16C .cm 17D .cm268.在平面直角坐标系中,二次函数m m mx x y -++=22(m 为常数)的图象经过点()60,,其对称轴在y 轴左侧,则该二次函数有()A .最大值5B .最大值415C .最小值5D .最小值415二、填空题(本大题共5小题,共15分)9.如图,在数轴上,点A 表示3,点B 与点A 位于原点的两侧,且与原点的距离相等.则点B 表示的数是.10.如图,正八边形的边长为2,对角线CD AB 、相交于点E .则线段BE 的长为.11.点E 是菱形ABCD 的对称中心,︒=∠56B ,连接AE ,则BAE ∠的度数为.12.如图,在矩形OABC 和正方形CDEF 中,点A 在y 轴正半轴上,点F C ,均在x 轴正半轴上,点D 在边BC 上,CD BC 2=,3=AB .若点E B ,在同一反比例函数的图象上,则这个反比例函数的表达式是.13.如图,在矩形ABCD 中,43==BC AB ,.点E 在边AD上,且3=ED ,N M 、分别是边BC AB 、上的动点,且BN BM =,P 是线段CE 上的动点,连接PN PM ,.若4=+PN PM .则线段PC 的长为.三、解答题(本大题共13小题,共81分.解答应写出文字说明,证明过程或演算步骤)14.(5分)解不等式:x x 2253>-.15.(5分)计算:()31271105-+⎪⎭⎫ ⎝⎛--⨯-.16.(5分)化简:11211132+-÷⎪⎭⎫⎝⎛---a a a a a .17.(5分)如图,已知ABC ∆,︒=∠48B ,请用尺规作图法,在ABC ∆内部求作一点P 使PC PB =,且︒=∠24PBC .(保留作图痕迹,不写作法)18.(5分)如图,在ABC ∆中,︒=∠50B ,︒=∠20C .过点A 作BC AE ⊥,垂足为E ,延长EA 至点D .使AC AD =.在边AC 上截取AB AF =,连接DF .求证:CB DF =.19.(5分)一个不透明的袋子中装有四个小球,这四个小球上各标有一个数字,分别是1,1,2,3.这些小球除标有的数字外都相同.(1)从袋中随机摸出一个小球,则摸出的这个小球上标有的数字是1的概率为;(2)先从袋中随机摸出一个小球,记下小球上标有的数字后,放回,摇匀,再从袋中随机摸出一个小球,记下小球上标有的数字,请利用画树状图或列表的方法,求摸出的这两个小球上标有的数字之积是偶数的概率.20.(5分)小红在一家文具店买了一种大笔记本4个和一种小笔记本6个,公用了62元.已知她买的这种大笔记本的单价比这种小笔记本的单价多3元,求该文具店中这种大笔记本的单价.21.(6分)一天晚上,小明和爸爸带着测角仪和皮尺去公园测量一景观灯(灯杆底部不可到达)的高AB .如图所示,当小明爸爸站在点D 处时,他在该景观灯照射下的影子长为DF ,测得cm DF 4.2=;当小明站在爸爸影子的顶端F 处时,测得点A 的仰角α为︒6.26.已知爸爸的身高m CD 8.1=,小明眼睛到底面的距离m EF 6.1=,点BD F 、、在同一条直线上,FB AB FB CD FB EF ⊥⊥⊥,,.求该景观灯的高AB .(参考数据:45.06.26sin ≈︒,89.06.26cos ≈︒,50.06.26tan ≈︒)22.(7分)经验表明,树在一定的成长阶段,其胸径(树的主干在底面以上m 3.1处的直径)越大,树就越高.通过对某种树进行测量研究,发现这种树的树高()m y 是其胸径()m x 的一次函数.已知这种树的胸径为m 2.0时,树高为m 20;这种树的胸径为m 28.0时,树高为m 22.(1)求y 与x 之间的函数表达式;(2)当这种树的胸径为m 3.0时,其树高是多少?23.(7分)某校数学兴趣小组的同学们从“校园农场”中随机抽取了20棵西红柿植株,并统计了每棵植株上小西红柿的个数.其数据如下:28,36,37,39,42,45,46,47,48,50,54,54,54,54,55,60,62,62,63,64.通过对以上数据的分析整理,绘制了统计图表:根据以上信息,解答下列问题:(1)补全频数分布直方图:这20个数据的众数是;(2)求这20个数据的平均数.分组频数组内小西红柿的总个数3525<≤x 1284535<≤x n1545545<≤x 94526555<≤x 636624.(8分)如图,ABC ∆内接于☉O ,︒=∠45BAC ,过点B 作BC 的垂线,交☉O 于点D ,并与CA 的延长线交于点E ,作AC BF ⊥,垂足为M ,交☉O 于点F .(1)求证:BC BD =;(2)若☉O 的半径3=r ,6=BE ,求线段BF 的长.25.(8分)某校想将新建图书馆的正门设计为一个抛物线型拱门,并要求所设计的拱门的跨度与拱高之积为248m ,还要兼顾美观、大方、和谐、通畅等因素,设计部门按要求给出了两个设计方案.现把这两个方案中的拱门图形放入平面直角坐标系中,如图所示:方案一:抛物线型拱门的跨度m ON 12=,拱高m PE 4=.其中,点N 在x 轴上,ON PE ⊥,EN OE =.方案二:抛物线型拱门的跨度m N O 8=',拱高m E P 6=''.其中,点N '在x 轴上,N O E P '⊥'',N E E O ''='.要在拱门中设置高为m 3的矩形框架,其面积越大越好(框架的粗细忽略不计).方案一中,矩形框架ABCD 的面积为1S ,点D A 、在抛物线上,边BC 在ON 上;方案二中,矩形框架D C B A ''''的面积为2S ,点D A ''、在抛物线上,边C B ''在N O '上.现知,小华已正确求出方案二中,当m B A 3=''时,22212m S =.请你根据以上提供的相关信息,解答下列问题:(1)求方案一中抛物线的函数表达式;(2)在方案一种,当m AB 3=时,求矩形框架ABCD 的面积1S ,并比较21S S ,的大小.26.(10分)(1)如图①,在OAB ∆中,OB OA =,︒=∠120AOB ,24=AB .若☉O 的半径为4,点P 在☉O 上,点M 在AB 上,连接PM ,求线段PM 的最小值.(2)如图②所示,五边形ABCDE 是某市工业新区的外环路,新区管委会在点B 处,点E 处是该市的一个交通枢纽.已知:︒=∠=∠=∠90AED ABC A ,m AE AB 10000==.m DE BC 6000==.根据新区的自然环境及实际需求,现要在矩形AFDE 区域内(含边界)修一个半径为m 30的圆形环道☉O ,过圆心O ,作AB OM ⊥,垂足为M ,与☉O 交于点N ,连接BN ,点P 在☉O 上,连接EP .其中,线段EP BN ,及MN 是要修的三条道路,要在所修道路EP BN ,之和最短的情况下,使所修道路MN 最短,试求此时环道☉O 的圆心O 到AB 的距离OM 的长.参考答案一、选择题题号12345678答案BCABDCAD二、填空题9.3-;10.22+;11.︒62;12.xy 18=;13.22三、解答题14.解:x x 453>-,543>-x x ,5>-x ,5-<x .15.解:原式12587258725+-=+--=-+--=.16.解:原式()()()()()()()111211121211113121111113-=-⋅--=-+⋅-++-=-+⋅⎦⎤⎢⎣⎡-++--+=a a a a a a a a a a a a a a a a a a 17.解:如图,点P 即为所求.18.证明:∵在ABC ∆中,︒=∠︒=∠2050C B ,,∴︒=∠-∠-︒=∠110180C B CAB ∵BC AE ⊥,∴︒=∠90AEC ,∴︒=∠+∠=∠110C AEC DAF .∴CABDAF ∠=∠又∵AB AF AC AD ==,,∴CAB DAF ∆≅∆∴CB DF =.19.解:(1)21(2)列表如下:由上表可知,共有16种等可能的结果,其中摸出的这两个小球上标有的数字之积是偶数的结果有7种.∴167=P .20.解:设该文具店中这种大笔记本的单价是x 元,根据题意得()62364=-+x x .解得8=x .∴该文具店中这种大笔记本的单价为8元.21.解:如图,∵FB AB FB CD ⊥⊥,,∴ABCD ∥∴FBFDAB CD =,∴AB AB CD AB FD FB 348.14.2==⋅=.过点E 作AB EF ⊥,垂足为H ,得矩形EFBH .∴6.16.1-=-====AB HB AB AH EF HB FB EH ,,.在AEH Rt ∆中,()6.125.06.16.26tan -=-=︒=AB AB AH EH .∴()6.1234-=AB AB ,∴8.4=AB .∴该景观灯的高AB 为m 8.4.22.解:(1)设()0≠+=k b kx y ,根据题意得⎩⎨⎧=+=+2228.0202.0b k b k ,解得⎩⎨⎧==1525b k .∴1525+=x y .(2)当3.0=x 时,5.22153.025=+⨯=y .∴当这种树的胸径为m 3.0时,其树高为m 5.22.23.解:(1)补全频数分布直方图如图所示;这20个数的众数为54.(2)()5036645215428201=+++⨯=x ∴这20个数的平均数是50.(3)所求总个数:1500030050=⨯.∴估计这300棵西红柿植株上小西红柿的总个数是15000个.24.(1)证明:如图,连接DC ,则︒=∠=∠45BAC BDC ∵BC BD ⊥,∴︒=∠-︒=∠4590BDC BCD ∴BDC BCD ∠=∠,∴BC BD =.(2)解:如图,∵︒=∠90DBC ,∴CD 为☉O 的直径,∴62==r CD ∴2345sin 6sin =︒=∠⋅=BDC CD BC .∴()632362222=+=+=BC BE EC ∵︒=∠=∠90EBC BMC ,BCM BCM ∠=∠,∴ECB BCM ∆∆~,∴CBCMEB BM EC BC ==.∴()()66323326362322====⨯=⋅=EC BC CM EC EB BC BM ,.连接CF ,则︒=∠=∠45BAC F ,∴︒=∠45MCF ,∴6==MC MF .∴632+=+=MF BM BF .25.解:(1)由题意知,方案一种抛物线的顶点()4,6P ,设()462+-=x a y 依题意得91-=a .∴()46912+--=x y .(2)令3=y ,则()346912=+--x ,解得9321==x x ,,∴6=BC .∴18631=⨯=⋅=BC AB S ∵2122=S ,而21218>,∴21S S >.26.解:(1)如图①,连接OM OP ,,过点O 作AB M O ⊥',垂足为M ',则OM PM OP ≥+.∵☉O 半径为4,∴44-'≥-≥M O OM PM .∵OB OA =,︒=∠120AOB ,∴︒=∠30A .∴3430tan 1230tan =︒=︒'='M A M O .∴4344-=-'≥M O PM ,∴线段PM 的最小值为434-.(2)如图②,分别在AE BC ,上作()m r A A B B 30=='='.连接E B OE OP O B B A '''',,,,.∵B B ON AB B B AB OM '=⊥'⊥,,,∴四边形ON B B '是平行四边形,∴O B BN '=.∵E B OE O B PE OP O B '≥+'≥++',∴r E B PE BN -'≥+.∴当点O 在E B '上时,PE BN +取得最小值.作☉O ',使圆心O '在E B '上,半径()m r 30=,作AB M O ⊥'',垂足为M ',并与B A ''交于点H 易证,A E B H O B ''∆''∆~∴A B HB A E H O '''=''∵☉O '在矩形AFDE 区域内(含边界),∴当☉O '与FD 相切时,H B '最短,即403030600010000=+-='H B .此时,H O '也最短.∵H O N M '='',∴N M ''也最短.()91.40171000040303010000=⨯-='''⋅'='A B H B A E H O .∴91.404730=+'=''H O M O ∴此时环道☉O 的圆心O 到AB 的距离OM 的长为m 91.4047.。
陕西中考15题——22题专题训练(一)17 .如图,已知在厶 ABC 中,/ A=90°,请用圆规和直尺作出O P ,使圆心P 在AC 边上,且与AB, BC 两边都相切(保留作图痕迹,不写作法和证明).19. 如图,四边形 ABCD 是平行四边形,E F 是对 角线BD 上的点,/仁/2.(1) 求证:BE=DF (2)求证:AF// CE.A18. 某校为了了解初三年级 1000名学生的身体健康 情况,从该年级随机抽取了若干名学生,将他们按 体重(均为整数,单位:kg )分成五组(A :〜;B : C :〜;D:〜;E :〜),并依据统计数据绘制了如 下两幅尚不完整的统计图.20. 如图,某校数学兴趣小组利用自制的直角三角 形硬纸板DEF 来测量操场旗杆AB 的高度,他们通过15•计算•. ;+|2 . —3| - (—厂 1-( 2015+近)0(2)化简:亠 x-2(x+2 -x-2是_,并补全频数分布直方图;(2) C 组学生的频率为 _,在扇形统计图中 D 组的圆心角是 _____ 度;(3) 请你估计该校初三年级体重超过 60kg 的学生 大约有多少名16. (1))解方程: -1 .解答下列问题: (1)调整测量位置,使斜边DF与地面保持平行,并使边DE 与旗杆顶点A在同一直线上,已知DE=米, EF= 米,目测点D到地面的距离DG米,到旗杆的水平距离DC=20米,求旗杆的高度.21. 暑假期间,小刚一家乘车去离家380公里的某景区旅游,他们离家的距离y ( km)与汽车行驶时间x ( h)之间的函数图象如图所示.(1) 从小刚家到该景区乘车一共用了多少时间(2) 求线段AB对应的函数解析式;(3) 小刚一家出发小时时离目的地多远22 •有一个可以自由转动的转盘,被分成了4个相同的扇形,分别标有数1、2、3、4 (如图所示),另有一个不透明的口袋装有分别标有数0、1、2的三个小球(除数字不同外,其余都相同) .小亮转动一次转盘,停止后指针指向某一扇形,记下扇形所对应的数,小红任意摸出一个小球,记下小球上所对应的数,然后计算这两个数的乘积.(1)请你用画树状图或列表的方法,求这两个数的乘积为0的概率;(2)小亮与小红做游戏,规则是:若这两个数的积为奇数,小亮赢;否则,小红赢•你认为该游戏公平吗为什么(2)化简:(/-4 -武-2)17 .如图,已知△ ABC / C=90°, AC< BC.求作一点D为BC上一点,且到A, B两点的距离相等.19. 在Rt△ ABC中,/ BAC=90 , D是BC的中点,E是AD的中点,过点A作AF// BC交BE的延长线于点F.(1)求证:△ AEF^A DEB(2)证明四边形ADCF是菱形;(3 )若AC=4, AB=5,求菱形ADCF的面积.18 .为了解我市的空气质量情况,某环保兴趣小组从环境监测网随机抽取了若干天的空气质量情况作为样本进行统计,绘制了如图所示的条形统计图和扇形统计图(部分信息未给出)陕西中考15题22题专题训练(二)15.计算:| - 3| - 1X : + (-2) 2.和丽应干天0固畳情厨爭初Art■團fV启1 £工阳i庐忆、鱼X—^+1叶1~3rF3 116. (1 )解方程:忧良轻騷塔虔中!S A-K M请你根据图中提供的信息,解答下列问题:(1 )计算被抽取的天数;(2)请补全条形统计图,并求扇形统计图中表示"优”的扇形的圆心角度数;(3)请估计该市这一年(365天)达到“优”和“良”的总天数.(2)如果该厂每天至少投入成本25000元,且生产B种品牌的酒不少于全天产量的55%那么共有几种生产方案并求出每天至少获利多少元20. 如图,某测量人员的眼睛A与标杆顶端F、电视塔顶端E在同一条直线上,已知此人的眼睛到地面的距离AB=,标杆FC=,且BC=1m CD=5m标杆FC ED垂直于地面.求电视塔的高ED14.小明和小亮玩一种游戏:三张大小,质地都相同的卡片上分别标有数字 1 , 2, 3,现将标有数字的一面朝下,小明从中任意抽取一张,记下数字后放回洗匀,然后小亮从中任意抽取一张,计算小明和小亮抽得的两个数字之和,如果和为奇数,则小明胜,若和为偶数则小亮胜.(1)用列表或画树状图等方法,列出小明和小亮抽得的数字之和所有可能出现的情况.(2 )请判断该游戏对双方是否公平并说明理由.21. 某酒厂生产A B两种品牌的酒,每天两种酒共生产600瓶,每种酒每瓶的成本和利润如下表所示•设每天共获利y元,每天生产A种品牌的酒x瓶.A B成本(元) 5035利润(元) 2015(1) 请写出y关于x的函数关系式;陕西中考15题一一22题专题训练(三)(3)请估计该市中小学生一天中阳光体育运动的平均时间.16. (1)解方程::,-;'._ 19.如图,已知平行四边形ABCD中,/ BCD=90 ,(2 )化简求值:凤7 +( 1 +沪1 ), x^2 - 1.CEL BD于E, CF平分/ DCE与DB交于点F,求证:BF=BC17. 如图,在平行四边形ABCD中, AB< BC.禾U用尺规作图,在BC边上确定点E,使点E到边AB, AD 的距离相等。
202o陕西中考数学试题及答案一、选择题(每题3分,共30分)1. 下列哪个选项是最小的正整数?A. 0B. 1C. 2D. 3答案:B2. 如果一个圆的半径是5,那么它的面积是多少?A. 25πB. 50πC. 75πD. 100π答案:B3. 已知等差数列的首项是3,公差是2,求第10项的值。
A. 23B. 21B. 19D. 17答案:A4. 一个长方体的长、宽、高分别是2米、3米和4米,它的体积是多少?A. 24立方米B. 26立方米C. 28立方米D. 30立方米答案:A5. 下列哪个表达式的结果不是偶数?A. 2 + 4B. 3 × 4C. 5 - 2D. 6 ÷ 2答案:C6. 如果一个三角形的内角和为180度,那么一个直角三角形的两个锐角之和是多少?A. 90度B. 120度C. 150度D. 180度答案:A7. 一个数的平方根是它本身,这个数是?A. 1B. 0C. -1D. 4答案:B8. 已知一个等腰三角形的底边是6,两腰相等,求周长。
A. 12B. 18C. 24D. 30答案:B9. 下列哪个数是质数?A. 2B. 4C. 6D. 8答案:A10. 一个数的立方根是它本身,这个数可以是?A. 1B. 0C. -1D. 所有选项答案:D二、填空题(每题2分,共20分)11. 一个数的绝对值是它本身,这个数是______或______。
答案:正数;012. 如果一个数的平方是25,那么这个数是______或______。
答案:5;-513. 一个数的相反数是-3,那么这个数是______。
答案:314. 一个数的倒数是1/4,那么这个数是______。
答案:415. 如果一个分数的分子和分母都乘以2,那么这个分数的大小______。
答案:不变16. 一个数的平方根是2,那么这个数是______。
答案:417. 一个数的立方是27,那么这个数是______。
1.有一组互不全等的三角形,它们的边长均为整数,每个三角形有两条边的长分别为5和7.(1)请写出其中一个三角形的第三边的长;(2)设组中最多有n个三角形,求n的值;(3)当这组三角形个数最多时,从中任取一个,求该三角形周长为偶数的概率.2.在平面直角坐标系内,反比例函数和二次函数y=k(x2+x﹣1)的图象交于点A(1,k)和点B(﹣1,﹣k).(1)当k=﹣2时,求反比例函数的解析式;(2)要使反比例函数和二次函数都是y随着x的增大而增大,求k应满足的条件以及x的取值范围;(3)设二次函数的图象的顶点为Q,当△ABQ是以AB为斜边的直角三角形时,求k的值.3.已知,如图,在梯形ABCD中,AD∥BC,DA=DC,以点D为圆心,DA长为半径的⊙D与AB相切于A,与BC交于点F,过点D作DE⊥BC,垂足为E.(1)求证:四边形ABED为矩形;(2)若AB=4,AD3BC4,求CF的长.4.为进一步建设秀美、宜居的生态环境,某村欲购买甲、乙、丙三种树美化村庄,已知甲、乙丙三种树的价格之比为2:2:3,甲种树每棵200元,现计划用210000元资金,购买这三种树共1000棵.(1)求乙、丙两种树每棵各多少元?(2)若购买甲种树的棵树是乙种树的2倍,恰好用完计划资金,求这三种树各能购买多少棵?(3)若又增加了10120元的购树款,在购买总棵树不变的前提下,求丙种树最多可以购买多少棵?5.如图,矩形OABC的顶点A、C分别在x、y轴的正半轴上,点D为对角线OB的中点,点E(4,n)在边AB上,反比例函数(k≠0)在第一象限内的图象经过点D、E,且tan∠BOA=.(1)求边AB的长;(2)求反比例函数的解析式和n的值;(3)若反比例函数的图象与矩形的边BC交于点F,将矩形折叠,使点O与点F重合,折痕分别与x、y轴正半轴交于点H、G,求线段OG的长.6.某汽车租赁公司拥有20辆汽车.据统计,当每辆车的日租金为400元时,可全部租出;当每辆车的日租金每增加50元,未租出的车将增加1辆;公司平均每日的各项支出共4800元.设公司每日租出工辆车时,日收益为y元.(日收益=日租金收入一平均每日各项支出)(1)公司每日租出x辆车时,每辆车的日租金为元(用含x的代数式表示);(2)当每日租出多少辆时,租赁公司日收益最大?最大是多少元?(3)当每日租出多少辆时,租赁公司的日收益不盈也不亏?7.将△ABC绕点A按逆时针方向旋转θ度,并使各边长变为原来的n倍,得△AB′C′,即如图①,我们将这种变换记为[θ,n].(1)如图①,对△ABC作变换[60°,]得△AB′C′,则S△AB′C′:S△ABC=;直线BC与直线B′C′所夹的锐角为度;(2)如图②,△ABC中,∠BAC=30°,∠ACB=90°,对△ABC作变换[θ,n]得△AB'C',使点B、C、C′在同一直线上,且四边形ABB'C'为矩形,求θ和n的值;(4)如图③,△ABC中,AB=AC,∠BAC=36°,BC=l,对△ABC作变换[θ,n]得△AB′C′,使点B、C、B′在同一直线上,且四边形ABB'C'为平行四边形,求θ和n的值.8.周末,小明骑自行车从家里出发到野外郊游.从家出发0.5小时后到达甲地,游玩一段时间后按原速前往乙地.小明离家1小时20分钟后,妈妈驾车沿相同路线前往乙地,如图是他们离家的路程y(km)与小明离家时间x(h)的函数图象.已知妈妈驾车的速度是小明骑车速度的3倍.(1)求小明骑车的速度和在甲地游玩的时间;(2)小明从家出发多少小时后被妈妈追上?此时离家多远?(3)若妈妈比小明早10分钟到达乙地,求从家到乙地的路程.9.如图,一次函数y1=kx+b的图象与反比例函数y2=的图象相交于点A(2,3)和点B,与x轴相交于点C(8,0).(1)求这两个函数的解析式;(2)当x取何值时,y1>y2.10.为了鼓励市民节约用水,某市居民生活用水按阶梯式水价计费.如表是该市居民“一户一表”生活用水及提示计费价格表的部分信息:自来水销售价格污水处理价格每户每月用水量单价:元/吨单价:元/吨17吨以下a0.80超过17吨但不超过30吨的部分b0.80超过30吨的部分 6.00 0.80(说明:①每户产生的污水量等于该户自来水用水量;②水费=自来水费用+污水处理费用)已知小王家2012年4月份用水20吨,交水费66元;5月份用水25吨,交水费91元.(1)求a、b的值;(2)随着夏天的到来,用水量将增加.为了节省开支,小王计划把6月份的水费控制在不超过家庭月收入的2%.若小王家的月收入为9200元,则小王家6月份最多能用水多少吨?11.在锐角△ABC中,AB=4,BC=5,∠ACB=45°,将△ABC绕点B按逆时针方向旋转,得到△A1BC1.(1)如图1,当点C1在线段CA的延长线上时,求∠CC1A1的度数;(2)如图2,连接AA1,CC1.若△ABA1的面积为4,求△CBC1的面积;(3)如图3,点E为线段AB中点,点P是线段AC上的动点,在△ABC绕点B按逆时针方向旋转过程中,点P的对应点是点P1,求线段EP1长度的最大值与最小值.12.如图,等边△OAB和等边△AFE的一边都在x轴上,双曲线y=kx(k>0)经过边OB的中点C和AE的中点D.已知等边△OAB的边长为4.(1)求该双曲线所表示的函数解析式;(2)求等边△AEF的边长.13.小明参加班长竞选,需进行演讲答辩与民主测评,民主测评时一人一票,按“优秀、良好、一般”三选一投票.如图是7位评委对小明“演讲答辩”的评分统计图及全班50位同学民主测评票数统计图.(1)求评委给小明演讲答辩分数的众数,以及民主测评为“良好”票数的扇形圆心角度数;(2)求小明的综合得分是多少?(3)在竞选中,小亮的民主测评得分为82分,如果他的综合得分不小于小明的综合得分,他的演讲答辩得分至少要多少分?14.如图,在△ABC中,BE是它的角平分线,∠C=90°,D在AB边上,以DB为直径的半圆O经过点E,交BC于点F.(1)求证:AC是⊙O的切线;(2)已知sinA=,⊙O的半径为4,求图中阴影部分的面积.15.在直角坐标系中,点A是抛物线y=x2在第二象限上的点,连接OA,过点O作OB⊥OA,交抛物线于点B,以OA、OB为边构造矩形AOBC.(1)如图1,当点A的横坐标为时,矩形AOBC是正方形;(2)如图2,当点A的横坐标为12时,①求点B的坐标;②将抛物线y=x2作关于x轴的轴对称变换得到抛物线y=-x2,试判断抛物线y=-x2经过平移交换后,能否经过A,B,C三点?如果可以,说出变换的过程;如果不可以,请说明理由.16.邻边不相等的平行四边形纸片,剪去一个菱形,余下一个四边形,称为第一次操作;在余下的四边形纸片中再剪去一个菱形,又剩下一个四边形,称为第二次操作;…依此类推,若第n次操作余下的四边形是菱形,则称原平行四边形为n阶准菱形.如图1,▱ABCD中,若AB=1,BC=2,则▱ABCD为1阶准菱形.(1)判断与推理:①邻边长分别为2和3的平行四边形是_________阶准菱形;②小明为了剪去一个菱形,进行了如下操作:如图2,把▱ABCD沿BE折叠(点E在AD上),使点A落在BC边上的点F,得到四边形ABFE.请证明四边形ABFE是菱形.(2)操作、探究与计算:①已知▱ABCD的邻边长分别为1,a(a>1),且是3阶准菱形,请画出▱ABCD及裁剪线的示意图,并在图形下方写出a的值;②已知▱ABCD的邻边长分别为a,b(a>b),满足a=6b+r,b=5r,请写出▱ABCD是几阶准菱形.参考答案:1.解:(1)设三角形的第三边为x,∵每个三角形有两条边的长分别为5和7,∴7﹣5<x<5+7,∴2<x<12,∴其中一个三角形的第三边的长可以为10.(2)∵2<x<12,它们的边长均为整数,∴x=3,4,5,6,7,8,9,10,11,∴组中最多有9个三角形,∴n=9;(3)∵当x=4,6,8,10时,该三角形周长为偶数,∴该三角形周长为偶数的概率是.2.解:(1)当k=﹣2时,A(1,﹣2),∵A在反比例函数图象上,∴设反比例函数的解析式为:y=,代入A(1,﹣2)得:﹣2=,解得:m=﹣2,∴反比例函数的解析式为:y=﹣;(2)∵要使反比例函数和二次函数都是y随着x的增大而增大,∴k<0,∵二次函数y=k(x2+x﹣1)=k(x+)2﹣k,的对称轴为:直线x=﹣,要使二次函数y=k(x2+x﹣1)满足上述条件,在k<0的情况下,x必须在对称轴的左边,即x<﹣时,才能使得y随着x的增大而增大,∴综上所述,k<0且x<﹣;(3)由(2)可得:Q(﹣,k),∵△ABQ是以AB为斜边的直角三角形,A点与B点关于原点对称,(如图是其中的一种情况)∴原点O平分AB,∴OQ=OA=OB,作AD⊥OC,QC⊥OC,∴OQ==,∵OA==,∴=,解得:k=±.3.(1)证明:∵⊙D与AB相切于点A,∴AB⊥AD。
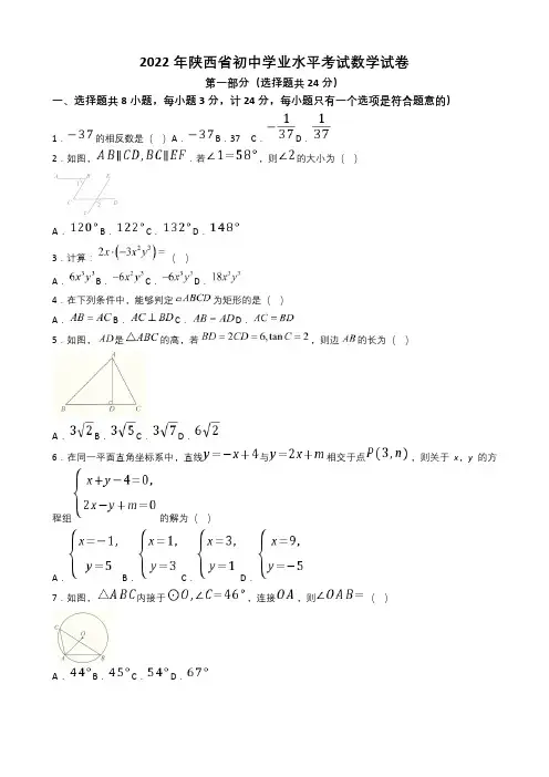
2022年陕西省初中学业水平考试数学试卷第一部分(选择题共24分)一、选择题共8小题,每小题3分,计24分,每小题只有一个选项是符合题意的)1.的相反数是()A.B.37 C.D.2.如图,.若,则的大小为()A.B.C.D.3.计算:()A.B.C.D.4.在下列条件中,能够判定为矩形的是()A.B.C.D.5.如图,是的高,若,则边的长为()A.B.C.D.6.在同一平面直角坐标系中,直线与相交于点,则关于x,y的方程组的解为()A.B.C.D.7.如图,内接于,连接,则()A.B.C.D.8.已知二次函数的自变量对应的函数值分别为.当时,三者之间的大小关系是()A.B.C.D.第二部分(非选择题共96分)二、填空题(共5小题,每小题3分,计15分)9.计算:.10.实数a,b在数轴上对应点的位置如图所示,则a.(填“>”“=”或“<”)11.在20世纪70年代,我国著名数学家华罗庚教授将黄金分割法作为一种“优选法”,在全国大规模推广,取得了很大成果。
如图,利用黄金分割法,所做将矩形窗框分为上下两部分,其中E为边的黄金分割点,即.已知为2米,则线段的长为米.12.已知点在一个反比例函数的图象上,点与点A关于y轴对称。
若点在正比例函数的图象上,则这个反比例函数的表达式为.13.如图,在菱形中,.若M、N分别是边上的动点,且,作,垂足分别为E、F,则的值为.三、解答题(共13小题,计81分。
解答应写出过程)14.(本题满分5分)计算:.15.(本题满分5分)解不等式组:16.(本题满分5分)化简:.17.(本题满分5分)如图,已知是的一个外角.请用尺规作图法,求作射线,使.(保留作图痕迹,不写作法)18.(本题满分5分)如图,在中,点D在边上,.求证:.19.(本题满分5分)如图,的顶点坐标分别为.将平移后得到,且点A的对应点是,点B、C的对应点分别是.(1)点A、之间的距离是;(2)请在图中画出.20.(本题满分5分)有五个封装后外观完全相同的纸箱,且每个纸箱内各装有一个西瓜,其中,所装西瓜的重量分别为.现将这五个纸箱随机摆放.(1)若从这五个纸箱中随机选1个,则所选纸箱里西瓜的重量为的概率是;(2)若从这五个纸箱中随机选2个,请利用列表或画树状图的方法,求所选两个纸箱里西瓜的重量之和为的概率.21.(本题满分6分)小明和小华利用阳光下的影子来测量一建筑物顶部旗杆的高.如图所示,在某一时刻,他们在阳光下,分别测得该建筑物的影长为16米,的影长为20米,小明的影长为2.4米,其中O、C、D、F、G五点在同一直线上,A、B、O三点在同一直线上,且.已知小明的身高为1.8米,求旗杆的高.22.(本题满分7分)如图,是一个“函数求值机”的示意图,其中y是x的函数.下面表格中,是通过该“函数求值机”得到的几组x与y的对应值.输人x…02…2根据以上信息,解答下列问题:(1)当输入的x值为1时,输出的y值为;(2)求k,b的值;(3)当输出的y值为0时,求输入的x值.23.(本题满分7分)某校为了了解本校学生“上周内做家务劳动所用的时间”(简称“劳动时间”)情况,在本校随机调查了100名学生的“劳动时间”,并进行统计,绘制了如下统计表:根据上述信息,解答下列问题:(1)这100名学生的“劳动时间”的中位数落在组;(2)求这100名学生的平均“劳动时间”;(3)若该校有1200名学生,请估计在该校学生中,“劳动时间”不少于90分钟的人数.24.(本题满分8分)如图,是的直径,是的切线,、是的弦,且,垂足为E,连接并延长,交于点P.(1)求证:;(2)若的半径,求线段的长.25.(本题满分8分)现要修建一条隧道,其截面为抛物线型,如图所示,线段表示水平的路面,以O为坐标原点,以所在直线为x轴,以过点O垂直于x轴的直线为y轴,建立平面直角坐标系.根据设计要求:,该抛物线的顶点P到的距离为.(1)求满足设计要求的抛物线的函数表达式;(2)现需在这一隧道内壁上安装照明灯,如图所示,即在该抛物线上的点A、B处分别安装照明灯.已知点A、B到的距离均为,求点A、B的坐标.26.(本题满分10分)问题提出(1)如图1,是等边的中线,点P在的延长线上,且,则的度数为.问题探究(2)如图2,在中,.过点A作,且,过点P作直线,分别交于点O、E,求四边形的面积.问题解决(3)如图3,现有一块型板材,为钝角,.工人师傅想用这块板材裁出一个型部件,并要求.工人师傅在这块板材上的作法如下:①以点C为圆心,以长为半径画弧,交于点D,连接;②作的垂直平分线l,与于点E;③以点A为圆心,以长为半径画弧,交直线l于点P,连接,得.请问,若按上述作法,裁得的型部件是否符合要求?请证明你的结论.2022年陕西省初中学业水平考试数学参考答案及评分标准第一部分(选择题共24分)一、选择题(共8小题,每小题3分,计24分)二、填空题(共5小题,每小题3分,计15分)9.10.< 11.12.13.三、解答题(共13小题,计81分。
陕西中考数学试题及答案一、选择题(每题3分,共30分)1. 下列哪个选项是正整数?A. -3B. 0C. 2D. -1答案:C2. 以下哪个图形是轴对称图形?A. 平行四边形B. 圆C. 任意三角形D. 不规则多边形答案:B3. 计算下列表达式的值:\[ 3x - 2(x + 1) \]A. \( x - 2 \)B. \( x + 2 \)C. \( 3x - 2x - 2 \)D. \( 3x + 2x + 2 \)答案:C4. 一个圆的半径为3厘米,它的面积是多少平方厘米?A. 28.26B. 9C. 18.84D. 36答案:C5. 以下哪个选项是不等式 \( 2x - 3 < 5 \) 的解?A. \( x < 4 \)B. \( x > 4 \)C. \( x < 2 \)D. \( x > 2 \)答案:A6. 函数 \( y = 2x + 3 \) 的图象是一条直线,它的斜率是多少?A. 2B. 3C. -2D. -3答案:A7. 以下哪个选项是等腰三角形?A. 三条边长分别为3,4,5的三角形B. 三条边长分别为2,2,3的三角形C. 三条边长分别为1,1,2的三角形D. 三条边长分别为4,5,6的三角形答案:B8. 计算下列表达式的值:\[ (x - 1)^2 \]A. \( x^2 - 2x + 1 \)B. \( x^2 - 2x - 1 \)C. \( x^2 + 2x + 1 \)D. \( x^2 + 2x - 1 \)答案:A9. 下列哪个选项是二次函数 \( y = ax^2 + bx + c \) 的顶点坐标?A. \( (b, c) \)B. \( (-b, c) \)C. \( (-b/2a, c - b^2/4a) \)D. \( (b/2a, c) \)答案:C10. 一个长方体的长、宽、高分别为5厘米、3厘米和2厘米,它的体积是多少立方厘米?A. 30B. 15C. 10D. 6答案:A二、填空题(每题3分,共15分)11. 一个数的相反数是-5,这个数是 ______ 。
2022年陕西中考数学试题及答案详解(试题部分)一、选择题(共8小题,每小题3分,计24分。
每小题只有一个选项是符合题意的)1. ―37的相反数是 ( )A.―37B.37C.―137D.1372. 如图,AB ∥CD ,BC ∥EF.若∠1=58°,则∠2的大小为( )A.120°B.122°C.132°D.148°3. 计算:2x ·(―3x 2y 3)= ( )A.6x 3y 3B.―6x 2y 3C.―6x 3y 3D.18x 3y 34. 在下列条件中,能够判定▱ABCD 为矩形的是 ( )A.AB =ACB.AC ⊥BDC.AB =ADD.AC =BD5. 如图,AD 是△ABC 的高.若BD =2CD =6,tan C =2,则边AB 的长为 ( )A.3√2B.3√5C.3√7D.6√26. 在同一平面直角坐标系中,直线y =―x +4与y =2x +m 相交于点P (3,n ),则关于x ,y 的方程组{x +y −4=0,2x −y +m =0的解为( )A.{x =−1y =5B.{x =1y =3C.{x =3y =1D.{x =9y =−57. 如图,△ABC 内接于☉O ,∠C =46°,连接OA ,则∠OAB =( )A.44°B.45°C.54°D.67°8.已知二次函数y=x2―2x―3的自变量x1,x2,x3对应的函数值分别为y1,y2,y3.当―1<x1<0,1<x2<2,x3>3时,y1,y2,y3三者之间的大小关系是()A.y1<y2<y3B.y2<y1<y3C.y3<y1<y2D.y2<y3<y1二、填空题(共5小题,每小题3分,计15分)9.计算:3―√25=.10.实数a,b在数轴上对应点的位置如图所示,则a―b.(填“>”“=”或“<”)11.在20世纪70年代,我国著名数学家华罗庚教授将黄金分割法作为一种“优选法”,在全国大规模推广,取得了很大成果.如图,利用黄金分割法,所做EF将矩形窗框ABCD分为上下两部分,其中E为边AB的黄金分割点,即BE2=AE·AB.已知AB为2米,则线段BE的长为米.12.已知点A(―2,m)在一个反比例函数的图象上,点A'与点A关于y轴对x的图象上,则这个反比例函数的表达式称。
22题如图,AC是▱ABCD的对角线,∠BAC=∠DAC.(1)求证:AB=BC;(2)若AB=2,AC=2,求▱ABCD的面积.如图,点A、C、D、B四点共线,且AC=BD,∠A=∠B,∠ADE=∠BCF,求证:DE=CF.娄底市卷(2016)如图,将等腰∠ABC绕顶点B逆时针方向旋转α度到∠A1B1C1的位置,AB与A1C1相交于点D,AC与A1C1、BC1分别交于点E、F.(1)求证:∠BCF∠∠BA1D.(2)当∠C=α度时,判定四边形A1BCE的形状并说明理由.邵阳市卷(2016)如图所示,点E,F是平行四边形ABCD对角线BD上的点,BF=DE,求证:AE=CF.如图,点O是线段AB和线段CD的中点.第17题图(1)求证:△AOD ≌△BOC ; (2)求证:AD ∥BC .如图,在中,AE ⊥BD 于E ,CF ⊥BD 于F , 连接AF ,CE . 求证:AF =CE .如图,四边形ABCD 为平行四边形,∠BAD 的角平分线AE 交CD 于点F ,交BC 的延长线于点E . (1)求证:BE=CD ;(2)连接BF ,若BF∠AE ,∠BEA=60°,AB=4,求平行四边形ABCD 的面积.如图,在菱形ABCD 中,AB=2,∠ABC=60°,对角线AC 、BD 相交于点O ,将对角线AC 所在的直线绕点O顺时针旋转角α(0°<α<90°)后得直线l,直线l与AD、BC两边分别相交于点E和点F。
(1)求证:△AOE≌△COF;(2)当α=30°时,求线段EF的长度。
如图,四边形ABCD是矩形,把矩形沿对角线AC折叠,点B落在点E处,CE与AD相交于点O,(1) 求证:△AEO≌△CDO;(2)若∠OCD=30°,AB=3,求△ACO的面积;如图,A,P,B,C是半径为8的∠O上的四点,且满足∠BAC=∠APC=60°,(1)求证:∠ABC是等边三角形;(2)求圆心O到BC的距离OD.如图,在⊙O中,直径AB与弦CD相交于点P,∠CAB=40°,∠APD=65°。
2024年陕西省初中学业水平考试数 学 试 卷注意事项:1.本试卷分为第一部分(选择题)和第二部分(非选择题),全卷共8页,总分120分,考试时间120分钟2.领到试卷和答题卡后,请用0.5毫米黑色墨水签字笔,分别在试卷和答题卡上填写姓名和准考证号,同时用2B 铅笔在答题卡上填涂对应的试卷类型信息点(A 或B )3.请在答题卡上各题的指定区域内作答,否则作答无效4.作图时,先用铅笔作图,再用规定签字笔描黑5.考试结束,本试卷和答题卡一并交回第一部分(选择题 共24分)一、选择题(共8小题,每小题3分,计24分,每小题只有一个选项是符合题意的)1. 3-的倒数是( )A. 3B. 13 C. 13- D. 3-2. 如图,将半圆绕直径所在的虚线旋转一周,得到的立体图形是( )A. B. C. D.3. 如图,AB DC ∥,BC DE ∥,145B ∠=︒,则D ∠的度数为( )A. 25︒B. 35︒C. 45︒D. 55︒4. 不等式()216x -≥的解集是( )A 2x ≤ B. 2x ≥ C. 4x ≤ D. 4x ≥5. 如图,在ABC 中,90BAC ∠=︒,AD 是BC 边上的高,E 是DC 的中点,连接AE ,则图中的直角三角形有().A. 2个B. 3个C. 4个D. 5个6. 一个正比例函数的图象经过点()2,A m 和点(),6B n -,若点A 与点B 关于原点对称,则这个正比例函数的表达式为 ( )A. 3y x =B. 3y x =-C. 13y x =D. 13y x =-7. 如图,正方形CEFG 的顶点G 在正方形ABCD 的边CD 上,AF 与DC 交于点H ,若6AB =,2CE =,则DH 的长为( )A. 2 B. 3 C. 52 D. 838. 已知一个二次函数2y ax bx c =++的自变量x 与函数y 的几组对应值如下表,则下列关于这个二次函数结论正确的是( )A. 图象的开口向上B. 当0x >时,y 的值随x 的值增大而增大C. 图象经过第二、三、四象限D. 图象的对称轴是直线1x =第二部分(非选择题 共96分)二、填空题(共5小题,每小题3分,计15分)9. 分解因式:2a ab -=_______________.10. 小华探究“幻方”时,提出了一个问题:如图,将0,2-,1-,1,2这五个数分别填在五个小正方形内,使横向三个数之和与纵向三个数之和相等,则填入中间位置的小正方形内的数可以是________.(写出一个符合题意的数即可)的11. 如图,BC 是O 的弦,连接OB ,OC ,A ∠是 BC所对的圆周角,则A ∠与OBC ∠的和的度数是________.12. 已知点()12,A y -和点()2,B m y 均在反比例函数5y x=-的图象上,若01m <<,则12y y +________0.13. 如图,在ABC 中,AB AC =,E 是边AB 上一点,连接CE ,在BC 右侧作BF AC ∥,且BF AE =,连接CF .若13AC =,10BC =,则四边形EBFC 的面积为________.三、解答题(共13小题,计81分。
陕西2024中考试题数学一、选择题(每题3分,共30分)1. 下列哪个数是无理数?A. 3.14159B. √2C. 0.33333D. 1/32. 一个直角三角形的两条直角边分别为3和4,求斜边的长度。
A. 5B. 6C. 7D. 83. 以下哪个代数式是二次方程的判别式?A. ax^2 + bx + cB. b^2 - 4acC. a + b + cD. ax + b4. 一个圆的半径为5,求其面积。
A. 25πB. 50πC. 100πD. 125π5. 某工厂生产一批零件,合格率为95%,若生产了200个零件,求不合格的零件个数。
B. 10C. 15D. 206. 某商品原价为100元,打8折后的价格是多少?A. 80元B. 90元C. 100元D. 120元7. 一个数的平方根是4,这个数是多少?A. 16B. 8C. 12D. 208. 一个长方体的长、宽、高分别是2米、3米、4米,求其体积。
A. 8立方米B. 12立方米C. 24立方米D. 36立方米9. 以下哪个函数是一次函数?A. y = x^2B. y = 2x + 3C. y = 1/xD. y = x^310. 一个等差数列的首项是2,公差是3,第5项是多少?A. 7C. 14D. 17二、填空题(每题3分,共15分)11. 一个数的立方根是2,这个数是________。
12. 如果一个三角形的内角和为180°,那么一个四边形的内角和是多少度?__________。
13. 一个数的相反数是-5,那么这个数是________。
14. 一个直角三角形的斜边长为13,一条直角边长为5,另一条直角边长是________。
15. 一个正六边形的内角是________。
三、解答题(共55分)16. 解一元二次方程:x^2 - 8x + 16 = 0。
(5分)17. 已知一个直角三角形的两条直角边长分别为6和8,求其周长。
(5分)18. 某工厂计划生产一批产品,预计成本为每件产品100元,预计销售价格为每件产品150元,如果工厂希望获得的总利润为30000元,那么需要生产多少件产品?(5分)19. 某班有40名学生,其中30名学生参加了数学竞赛,20名学生参加了物理竞赛,5名学生两项竞赛都参加了。
陕西中考15题——22题专题训练(五)15、.16.(1)解方程:1+=.(2)化简求值:÷(2+),x=﹣1.17.如图,已知∠AOB和C、D两点,求作一点P,使PC=PD,且P到∠AOB两边的距离相等.(不写画图过程,保留作图痕迹)18.某校积极开展“阳光体育”活动,共开设了跳绳、足球、篮球、跑步四种运动项目,为了解学生最喜爱哪一种项目,随机抽取了部分学生进行调查,并绘制了如下的条形统计图和扇形统计图(部分信息未给出).(1)求本次被调查的学生人数;(2)补全条形统计图;(3)该校共有1200名学生,请估计全校最喜爱篮球的人数比最喜爱足球的人数多多少?19、如图,CD是一高为4米的平台,AB是与CD底部相平的一棵树,在平台顶C点测得树顶A点的仰角α=30°,从平台底部向树的方向水平前进3米到达点E,在点E处测得树顶A点的仰角β=60°,求树高AB(结果保留根号)20.如图,某公司组织员工假期去旅游,租用了一辆耗油量为每百公里约为25L的大巴车,大巴车出发前油箱有油100L,大巴车的平均速度为80km/h,行驶若干小时后,由于害怕油箱中的油不够,在途中加了一次油,油箱中剩余油量y(L)与行驶时间x(h)之间的关系如图所示,请根据图象回答下列问题:(1)汽车行驶h后加油,中途加油L;(2)求加油前油箱剩余油量y与行驶时间x的函数解析式;(3)若当油箱中剩余油量为10L时,油量表报警,提示需要加油,大巴车不再继续行驶,则该车最远能跑多远?此时,大巴车从出发到现在已经跑了多长时间?21.联通公司手机话费收费有A套餐(月租费15元,通话费每分钟0.1元)和B套餐(月租费0元,通话费每分钟0.15元)两种.设A套餐每月话费为y1(元),B套餐每月话费为y2(元),月通话时间为x分钟.(1)分别表示出y1与x,y2与x的函数关系式.(2)月通话时间为多长时,A、B两种套餐收费一样?(3)什么情况下A套餐更省钱?22.一个不透明的布袋里装有2个白球,1个黑球和若干个红球,它们除颜色外其余都相同,从中任意摸出1个球,是白球的概率为.(1)布袋里红球有多少个?(2)先从布袋中摸出1个球后不放回,再摸出1个球,请用列表法或画树状图等方法求出两次摸到的球都是白球的概率.。
陕西中考数学试题汇编及答案一、选择题(本题共10小题,每小题3分,共30分)1. 下列哪个数是正数?A. -3B. 0C. 2D. -1答案:C2. 一个数的相反数是-5,这个数是:A. 5B. -5C. 0D. 1答案:A3. 绝对值等于4的数是:A. 4B. -4C. 4或-4D. 以上都不对答案:C4. 计算下列哪个表达式的结果为0?A. 3 + 2B. 5 - 5C. 7 × 0D. 8 ÷ 8答案:C5. 一个直角三角形的两个直角边长分别为3和4,斜边长为:A. 5B. 6C. 7D. 8答案:A6. 以下哪个分数是最简分数?A. 3/6B. 4/8C. 5/10D. 7/14答案:A7. 一个圆的半径为5厘米,其面积为:A. 25π cm²B. 50π cm²C. 75π cm²D. 100π cm²答案:B8. 以下哪个是二次方程?A. x + 3 = 0B. x² - 4x + 4 = 0C. 2x - 5 = 0D. x³ - 2x² + 3 = 0答案:B9. 一个数的立方是-8,这个数是:A. 2B. -2C. 8D. -8答案:B10. 以下哪个是不等式?A. 3x + 2 = 7B. 5y - 3 < 2C. 4z = 12D. 6w + 1 > 0答案:B二、填空题(本题共5小题,每小题4分,共20分)11. 一个数的平方是16,这个数是______。
答案:±412. 一个数的立方根是2,这个数是______。
答案:813. 如果一个角的补角是120°,那么这个角的度数是______。
答案:60°14. 一个等腰三角形的底角是45°,那么顶角的度数是______。
答案:90°15. 一个数的算术平方根是3,那么这个数是______。
陕西中考数学试卷真题2022年2022年陕西中考数学试卷真题一、选择题1. 单选题(1)设函数f(x) = 2x - 3, g(x) = 3x + 1,若f(g(x)) = 7x - 5,则x的值为多少?A. -2B. -1C. 0D. 1(2)已知等差数列{an}的前三项分别为a1 = 2,a2 = 5,a3 = 8,求an的通项公式。
A. an = 2n - 3B. an = 3n - 1C. an = 3n + 1D. an = 3n + 22. 填空题(1)已知平行四边形ABCD的边长AB = 6cm,BC = 8cm,对角线AC = 10cm,求BD的长度。
(2)已知α是第一象限的角,sinα = 0.6,求cosα的值。
二、解答题1. 计算题(1)已知三角形ABC,AB = 6cm,BC = 8cm,AC = 10cm,求三角形ABC的面积。
(2)解方程:2x - 5 = 3x + 1(3)有一个面积为48平方厘米的矩形,长和宽的比为2:3,求矩形的长和宽。
2. 应用题公式计算题(1)工程中需要挖一个梯形平均坡渠,上底宽10米,下底宽20米,高3米,每立方米挖掘费用为120元。
求挖掘费用。
问题解决题(2)树影的长度是5米,太阳的高度是40度,求这棵树的高度。
总结:在本篇文章中,我们给出了2022年陕西中考数学试卷的真题,并按照题目要求,进行了对应的格式和排版。
文章涵盖了选择题和解答题两个部分,其中选择题包含了单选题和填空题,解答题则包含了计算题和应用题。
希望这些真题的练习对您的数学学习有所帮助。
精品文档2021 年陕西中考数学试卷第一卷〔选择题共30分〕一.选择题〔共10小题,每题3分,计30分.每题只有一个选项是符合题意的〕的算术平方根是〔〕A.-11 C. D.222.下面是一个正方体被截去一个直三棱柱得到的几何体,那么该几何体的左视图是〔〕3 .假设点A〔-2,m〕在正比例函数1x的图像上,那么m的值是〔〕y=A.112B. D.-1 444 .小军旅行箱的密码是一个六位数,由于他忘记了密码的末位数字,那么小军能一次翻开该旅行箱的概率是〔〕A.1 B.1 C.1 D.1 109655.把不等式组的解集表示在数轴上,正确的选项是〔〕6.某区10名学生参加市级汉字听写大赛,他们得分情况如下表:人数3421得分80859095那么这10名学生所得分数的平均数和众数分别是〔〕和和85和85和807.如图,AB∥CD,∠A=45°,∠C=28°,那么∠AEC的大小为〔〕°°°°.精品文档8. 假设x=-2是关于x 的一元二次方程x25ax a 20的一个根,那么a 的值为〔〕2或4 B.-1或-4C.-1或4 D.1 或-49. 如图,在菱形ABCD 中,AB=5,对角线 AC=6,假设过点A 作AE ⊥BC ,垂足为E ,那么AE 的长为〔〕A .4 B.12C.245510.二次函数yax 2 bx c(a 0)的图像如下图,那么以下结论中正确的选项是〔〕A .c >-1>0 C.2a+b ≠0D.9a 2+c >3b第二卷〔非选择题共90分〕二.填空题〔共 6小题,每题3分,计18分〕11. 计算:(1 )2 =______.312. 因式分解:m(x-y)+n(x-y)=_____________.13. 请从以下两个小题中任选一个 作答,假设多项选择,那么按所选做的第一题计分. .... A.一个正五边形的对称轴共有 _____条.B.用科学计算器计算: 31 3tan56≈________.(结果精确到0.01)如图,在正方形ABCD 中,AD=1,将△ABD 绕点B 顺时针旋转45°得到△A ′BD ′,此时A ′D ′与CD 交于点E ,那么DE 的长度为_______.15.P 1(x 1,y 1),P 2(x 2,y 2)是同一个反比例函数图像上的两点.假设x 2 x 12,且1 11,那么这个反比例函数的表达式为_________. y 2 y 1 216. 如图,⊙O 的半径是2,直线l 与⊙O 相交于A 、B 两点,M 、N 是⊙O 上两个动点,且在直线l 的异侧,假设∠AMB=45°,那么四边形MANB 面积的最大值是________..精品文档 三.解答题〔共 9小题,计72分.解容许写出过程〕〔此题总分值5分〕 先化简,再求值:2x 2x,其中x=1x 21 x1.2〔此题总分值6分〕如图,在Rt △ABC 中,∠ABC=90°,点D 在边AB 上,使DB=BC ,过点D 作EF ⊥AC ,分别交AC 于点E 、CB 的延长线于点F.求证:AB=BF.〔此题总分值7分〕根据?2021年陕西省国民经济和社会开展统计公报?提供的大气污染物〔 A —二氧化硫,B —氮氧化物, C —化学需氧量, D —氨氮〕排放量的相关数据,我们将这些数据用条形统计图和扇形统计图统计如下:.精品文档根据以上统计图提供的信息,解答以下问题:1〕补全上面的条形统计图和扇形统计图;2〕国务院总理李克强在十二届全国人大二次会议的政府工作报告中强调,建设美好家园、加大节能减排力度,今年二氧化硫、化学需氧量的排放量在去年根底上都要减少2%.按此指示精神,求出陕西省2021年二氧化硫、化学需氧量的排放量共需减少约多少万吨?〔结果精确到〕〔此题总分值8分〕某一天,小明和小亮来到一河边,想用遮阳帽和皮尺测量这条河的大致宽度,两人在确保无平安隐患的情况下,先在河岸边选择了一点B〔点B与河对岸岸边上的一棵树的底部点D所确定的直线垂直于河岸〕.①小明在B点面向树的方向站好,调整帽檐,使视线通过帽檐正好落在树的底部点D处,如下图,这时小亮测得小明眼睛距地面的距离米;②小明站在原地转动180°后蹲下,并保持原来的观察姿态〔除身体重心下移外,其他姿态均不变〕,这时视线通过帽檐落在了DB延长线上的点E处,此时小亮测得米,小明的眼睛距地面的距离米.根据以上测量过程及测量数据,请你求出河宽BD是多少米?〔此题总分值8分〕小李从西安通过某快递公司给在南昌的外婆寄一盒樱桃,快递时,他了解到这个公司除收取每次6元的包装费外,樱桃不超过1kg收费22元,超过1kg,那么超出局部按每千克10元加收费用.设该公司从西安到南昌快寄樱桃的费用为y〔元〕,所寄樱桃为x(kg).求y与x之间的函数关系式;〔2〕小李给外婆快寄了樱桃,请你求出这次快寄的费用是多少元?〔此题总分值8分〕小英与她的父亲、母亲方案外出旅游,初步选择了延安、西安、汉中、安康四个城市.由于时间仓促,他们只能.精品文档去其中一个城市,到底去哪一个城市三人意见不统一.在这种情况下,小英父亲建议,用小英学过的摸球游戏来决定.规那么如下:①在一个不透明的袋子中装一个红球〔延安〕、一个白球〔西安〕、一个黄球〔汉中〕和一个黑球〔安康〕,这四个球除颜色不同外,其余完全相同;②小英父亲先将袋中球摇匀,让小英从袋中随机摸出一球,父亲记录下其颜色,并将这个球放回袋中摇匀,然后让小英母亲从袋中随机摸出一球,父亲记录下它的颜色;③假设两人所摸出球的颜色相同,那么去该球所表示的城市旅游,否那么,前面的记录作废,按规那么②重新摸球,直到两人所摸出球的颜色相同为止.按照上面的规那么,请你解答以下问题:1〕小英的理想旅游城市是西安,小英和母亲随机各摸球一次,均摸出白球的概率是多少?2〕小英母亲的理想旅游城市是汉中,小英和母亲随机各摸球一次,至少有一人摸出黄球的概率是多少?〔此题总分值8分〕如图,⊙O的半径为4,B是⊙O外一点,连接OB,且OB=6.过点B作⊙O的切线BD,切点为D,延长BO交⊙O于点A,过点A作切线BD的垂线,垂足为 C.(1)求证:AD平分∠BAC;(2)求AC的长.〔此题总分值10分〕抛物线C:yx2bxc经过A〔-3,0〕和B〔0,3〕两点.将这条抛物线的顶点记为M,它的对称轴于x轴的交点记为N.求抛物线C的表达式;〔2〕求点M的坐标;〔3将抛物线C平移到C′,抛物线C′的顶点记为M′,它的对称轴于x轴的交点记为N′.如果以点M、N、M′、N′为顶点的四边形是面积为16的平行四边形,那么应将抛物线C怎样平移?为什么?.精品文档〔此题总分值12分〕问题探究〔1〕如图①,在矩形ABCD中,AB=3,BC=4.如果BC边上存在点P,使△APD为等腰三角形,那么请画出满足条件的一个等腰△APD,并求出此时BP的长;..〔2〕如图②,在△ABC中,∠ABC=60°,BC=12,AD是BC边上的高,E、F分别为边AB、AC的中点.当AD=6时,BC边上存在一点Q,使∠EQF=90°,求此时BQ的长;问题解决〔3〕有一山庄,它的平面图为如图③的五边形ABCDE,山庄保卫人员想在线段CD上选一点M安监控装置,用来监视边AB.现只要使∠AMB大约为60°,就可以让监控装置的效果到达最正确.∠A=∠E=∠D=90°,AB=270m,AE=400m,ED=285m,CD=340m问.在线段CD上是否存在点M,使∠AMB=60°?假设存在,请求出符合条件的DM的长;假设不存在,请说明理由.图①图②图③参考答案1、B2、A3、C4、A5、D6、B7、D8、B9、C10、D........。
陕西中考数学23题专练(总2页)--本页仅作为文档封面,使用时请直接删除即可----内页可以根据需求调整合适字体及大小--陕西23题专练1.如图,在⊙O中,M是弦AB定的中点,过点B作⊙O的切线,与OM延长线交于点C.(1)求证:∠A=∠C;(2)若OA=5,AB=8,求线段OC的长.2.如图,⊙O的半径为4,B是⊙O外一点,连接OB,且OB=6,过点B作⊙O的切线BD,切点为D,延长BO交⊙O于点A,过点A作切线BD的垂线,垂足为C.(1)求证:AD平分∠BAC;(2)求AC的长.3.如图,⊙O的半径为3,C是⊙O外一点,且OC=6,过点C作⊙O的两条切线CB,CD.切点分别为B,D,连接BO并延长交切线CD于点A.(1)求AD的长;(2)若M是⊙O上一动点,求CM长的最大值,并说明理由.4.如图,在Rt△ABC中,∠BAC=90°,∠BAC的平分线交BC于点O,以O为圆心做圆,⊙O与AC相切于点D.(1)试判断AB与⊙O的位置关系,并加以证明.(2)在Rt△ABC中,若AC=6,AB=3,求切线AD的长.5.如图,在△ABC中,∠B=60°,⊙O是△ABC外接圆,过点A作⊙O的切线,交CO的延长线于P点,CP交⊙O于D;(1)求证:AP=AC;(2)若AC=3,求PC的长.6.如图,⊙O是△ABC的外接圆,过点A、B两点分别作⊙O的切线PA、PB交于一点P,连接OP(1)求证:∠APO=∠BPO;(2)若∠C=60°,AB=6,点Q是⊙O上的一动点,求PQ的最大值.7.如图,在Rt△ABC中,∠ABC=90°,AC=10,BC=6,∠ACB的平分线CO交AB于点O,以OB为半径作⊙O.(1)请判断AC与⊙O的位置关系,并说明理由;(2)求⊙O的半径.8.如图,PA、PB分别与⊙O相切于点A、B,点M在PB上,且OM∥AP,MN⊥AP,垂足为N.(1)求证:OM=AN;(2)若⊙O的半径R=3,PA=9,求OM的长.9.如图,直线l与⊙O相切于点D,过圆心O作EF∥l交⊙O于E、F两点,点A是⊙O上一点,连接AE、AF,并分别延长交直线l于B、C两点.(1)求证:∠ABC+∠ACB=90°;(2)当⊙O的半径R=5,BD=12时,求tan∠ACB的值.10.如图,AB是⊙O的直径,延长AB至点C,过点C作⊙O的切线CD,切点为D,连接AD、BD,过圆心O作AD的垂线交CD于点P.(1)求证:直线PA是⊙O的切线;(2)若AB=4BC ,求的值.3。
数学试题及答案中考陕西一、选择题(每题3分,共30分)1. 下列哪个数是无理数?A. 3.14B. √2C. 0.33333…D. 22/7答案:B2. 一个等腰三角形的底边长为6,腰长为5,那么它的周长是多少?A. 16B. 17C. 18D. 19答案:A3. 如果一个数的平方等于9,那么这个数可能是?A. 3B. -3C. 3或-3D. 以上都不是答案:C4. 一个圆的半径是3,那么它的面积是多少?A. 9πB. 18πC. 27πD. 36π答案:B5. 以下哪个函数是一次函数?A. y = 2x + 3B. y = x^2 + 1C. y = 1/xD. y = x^3 - 2答案:A6. 一个数列的前三项分别是1, 4, 7,那么第四项是多少?A. 10B. 11C. 13D. 16答案:A7. 一个长方体的长、宽、高分别是2, 3, 4,那么它的体积是多少?A. 24B. 36C. 48D. 52答案:A8. 一个二次函数的顶点坐标是(1, -4),对称轴是x=1,那么它的解析式可能是?A. y = (x-1)^2 - 4B. y = -(x-1)^2 - 4C. y = (x+1)^2 - 4D. y = -(x+1)^2 - 4答案:B9. 一个角的补角是它的余角的两倍,那么这个角的度数是多少?A. 30°B. 45°C. 60°D. 90°答案:B10. 一个等差数列的前三项分别是2, 5, 8,那么它的公差是多少?A. 3B. 4C. 5D. 6答案:A二、填空题(每题3分,共30分)11. 如果一个角的正弦值是1/2,那么这个角的度数可能是________。
答案:30°12. 如果一个等腰三角形的底角是45°,那么它的顶角是________。
答案:90°13. 如果一个数的立方根是2,那么这个数是________。
中考陕西数学试题及答案一、选择题(每题3分,共30分)1. 下列哪个选项是正确的?A. 2x + 3 = 5x - 1B. 2x + 3 = 5x + 1C. 2x - 3 = 5x + 1D. 2x - 3 = 5x - 1答案:B2. 已知等腰三角形的两边长分别为3和5,那么第三边的长度是多少?A. 2B. 3C. 4D. 5答案:D3. 一个数的平方是25,这个数是多少?A. 5B. -5C. 5 或 -5D. 以上都不是答案:C4. 一个圆的直径是10厘米,那么这个圆的面积是多少平方厘米?A. 25πC. 100πD. 200π答案:C5. 一个数的相反数是-3,这个数是多少?A. 3B. -3C. 0D. 6答案:A6. 一个数的绝对值是5,这个数是多少?A. 5B. -5C. 5 或 -5D. 0答案:C7. 一个直角三角形的两个锐角的度数之和是多少?A. 90°B. 180°C. 270°D. 360°答案:A8. 一个等差数列的首项是2,公差是3,那么第5项是多少?B. 14C. 11D. 8答案:A9. 一个二次函数的顶点是(2, -1),开口向上,那么这个函数的解析式是什么?A. y = (x - 2)^2 - 1B. y = (x + 2)^2 - 1C. y = (x - 2)^2 + 1D. y = (x + 2)^2 + 1答案:A10. 一个正方体的体积是64立方厘米,那么它的棱长是多少?A. 4厘米B. 8厘米C. 2厘米D. 16厘米答案:A二、填空题(每题3分,共15分)11. 一个数的立方是-8,这个数是______。
答案:-212. 一个数的平方根是2,那么这个数是______。
答案:413. 一个等腰三角形的底角是45°,那么顶角是______。
答案:90°14. 一个圆的周长是31.4厘米,那么这个圆的半径是______。
陕西中考15题——22题专题训练(一)15.计算+|2﹣3|﹣()﹣1﹣(2015+)0.16.(1))解方程:=﹣1.(2)化简:÷(x+2﹣)17.如图,已知在△ABC中,∠A=90°,请用圆规和直尺作出⊙P,使圆心P在AC边上,且与AB,BC 两边都相切(保留作图痕迹,不写作法和证明).18.某校为了了解初三年级1000名学生的身体健康情况,从该年级随机抽取了若干名学生,将他们按体重(均为整数,单位:kg)分成五组(A:39.5~46.5;B:46.5~53.5;C:53.5~60.5;D:60.5~67.5;E:67.5~74.5),并依据统计数据绘制了如下两幅尚不完整的统计图.解答下列问题:(1)这次抽样调查的样本容量是,并补全频数分布直方图;(2)C组学生的频率为,在扇形统计图中D 组的圆心角是度;(3)请你估计该校初三年级体重超过60kg的学生大约有多少名?19.如图,四边形ABCD是平行四边形,E、F是对角线BD上的点,∠1=∠2.(1)求证:BE=DF;(2)求证:AF∥CE.20.如图,某校数学兴趣小组利用自制的直角三角形硬纸板DEF来测量操场旗杆AB的高度,他们通过调整测量位置,使斜边DF与地面保持平行,并使边DE与旗杆顶点A在同一直线上,已知DE=0.5米,EF=0.25米,目测点D到地面的距离DG=1.5米,到旗杆的水平距离DC=20米,求旗杆的高度.21.暑假期间,小刚一家乘车去离家380公里的某景区旅游,他们离家的距离y(km)与汽车行驶时间x(h)之间的函数图象如图所示.(1)从小刚家到该景区乘车一共用了多少时间?(2)求线段AB对应的函数解析式;(3)小刚一家出发2.5小时时离目的地多远?22.有一个可以自由转动的转盘,被分成了4个相同的扇形,分别标有数1、2、3、4(如图所示),另有一个不透明的口袋装有分别标有数0、1、2的三个小球(除数字不同外,其余都相同).小亮转动一次转盘,停止后指针指向某一扇形,记下扇形所对应的数,小红任意摸出一个小球,记下小球上所对应的数,然后计算这两个数的乘积.(1)请你用画树状图或列表的方法,求这两个数的乘积为0的概率;(2)小亮与小红做游戏,规则是:若这两个数的积为奇数,小亮赢;否则,小红赢.你认为该游戏公平吗?为什么?陕西中考15题——22题专题训练(二)15.计算:|﹣3|﹣×+(﹣2)2.16.(1)解方程:.(2)化简:(﹣).17.如图,已知△ABC,∠C=90°,AC<BC.求作一点D为BC上一点,且到A,B两点的距离相等.18.为了解我市的空气质量情况,某环保兴趣小组从环境监测网随机抽取了若干天的空气质量情况作为样本进行统计,绘制了如图所示的条形统计图和扇形统计图(部分信息未给出).请你根据图中提供的信息,解答下列问题:(1)计算被抽取的天数;(2)请补全条形统计图,并求扇形统计图中表示“优”的扇形的圆心角度数;(3)请估计该市这一年(365天)达到“优”和“良”的总天数.19.在Rt△ABC中,∠BAC=90°,D是BC的中点,E是AD的中点,过点A作AF∥BC交BE的延长线于点F.(1)求证:△AEF≌△DEB;(2)证明四边形ADCF是菱形;(3)若AC=4,AB=5,求菱形ADCF的面积.20.如图,某测量人员的眼睛A与标杆顶端F、电视塔顶端E在同一条直线上,已知此人的眼睛到地面的距离AB=1.6m,标杆FC=2.2m,且BC=1m,CD=5m,标杆FC、ED垂直于地面.求电视塔的高ED.21.某酒厂生产A、B两种品牌的酒,每天两种酒共生产600瓶,每种酒每瓶的成本和利润如下表所示.设每天共获利y元,每天生产A种品牌的酒x 瓶.A B成本(元)50 35利润(元)20 15(1)请写出y关于x的函数关系式;(2)如果该厂每天至少投入成本25000元,且生产B种品牌的酒不少于全天产量的55%,那么共有几种生产方案?并求出每天至少获利多少元?14.小明和小亮玩一种游戏:三张大小,质地都相同的卡片上分别标有数字1,2,3,现将标有数字的一面朝下,小明从中任意抽取一张,记下数字后放回洗匀,然后小亮从中任意抽取一张,计算小明和小亮抽得的两个数字之和,如果和为奇数,则小明胜,若和为偶数则小亮胜.(1)用列表或画树状图等方法,列出小明和小亮抽得的数字之和所有可能出现的情况.(2)请判断该游戏对双方是否公平?并说明理由.陕西中考15题——22题专题训练(三)15.计算:(﹣2)2+|﹣1|﹣.16.(1)解方程:.(2)化简求值:÷(1+),x=﹣1.17.如图,在平行四边形ABCD中,AB<BC.利用尺规作图,在BC边上确定点E,使点E到边AB,AD的距离相等。
18.某调查小组采用简单随机抽样方法,对某市部分中小学生一天中阳光体育运动时间进行了抽样调查,并把所得数据整理后绘制成如下的统计图:(1)该调查小组抽取的样本容量是多少?(2)求样本学生中阳光体育运动时间为1.5小时的人数,并补全占频数分布直方图;(3)请估计该市中小学生一天中阳光体育运动的平均时间.19.如图,已知平行四边形ABCD中,∠BCD=90°,CE⊥BD于E,CF平分∠DCE与DB交于点F,求证:BF=BC;20.为有效开发海洋资源,保护海洋权益,我国对南海诸岛进行了全面调查,一测量船在A岛测得B 岛在北偏西30°,C岛在北偏东15°,航行100海里到达B岛,在B岛测得C岛在北偏东45°,求B,C两岛及A,C 两岛的距离(≈2.45,结果保留到整数)21.某地为了鼓励居民节约用水,决定实行两级收费制,即每月用水量不超过12吨(含12吨)时,每吨按政府补贴优惠价收费;每月超过12吨,超过部分每吨按市场调节价收费,小黄家1月份用水24吨,交水费42元.2月份用水20吨,交水费32元.(1)求每吨水的政府补贴优惠价和市场调节价分别是多少元;(2)设每月用水量为x吨,应交水费为y元,写出y与x之间的函数关系式;(3)小黄家3月份用水26吨,他家应交水费多少元?22.第十五届中国“西博会”将于2014年10月底在成都召开,现有20名志愿者准备参加某分会场的工作,其中男生8人,女生12人.(1)若从这20人中随机选取一人作为联络员,求选到女生的概率;(2)若该分会场的某项工作只在甲、乙两人中选一人,他们准备以游戏的方式决定由谁参加,游戏规则如下:将四张牌面数字分别为2,3,4,5的扑克牌洗匀后,数字朝下放于桌面,从中任取2张,若牌面数字之和为偶数,则甲参加,否则乙参加.试问这个游戏公平吗?请用树状图或列表法说明理由.陕西中考15题——22题专题训练(四)15.计算:|﹣3|﹣×+(﹣2)3.16.(1)解方程:+ =1.(2)先化简再求值:,其中.17.已知,如图,直线AB与直线BC相交于点B,点D是直线BC上一点,求作:点E,使直线DE∥AB,且点E到B、D两点的距离相等.(要求:尺规作图,不写作法,保留作图痕迹)18.某学校为了增强学生体质,决定开设以下体育课外活动项目:A.篮球B.乒乓球C.羽毛球D.足球,为了解学生最喜欢哪一种活动项目,随机抽取了部分学生进行调查,并将调查结果绘制成了两幅不完整的统计图,请回答下列问题:(1)这次被调查的学生共有人;(2)请你将条形统计图(2)补充完整;(3)在平时的乒乓球项目训练中,甲、乙、丙、丁四人表现优秀,现决定从这四名同学中任选两名参加乒乓球比赛,求恰好选中甲、乙两位同学的概率19.已知:如图,E是正方形ABCD的对角线BD 上的点,连接AE、CE.(1)求证:AE=CE;(2)若将△ABE沿AB对折后得到△ABF;当点E在BD的何处时,四边形AFBE 是正方形?请证明你的结论.20.如图,大楼AB右侧有一障碍物,在障碍物的旁边有一幢小楼DE,在小楼的顶端D处测得障碍物边缘点C的俯角为30°,测得大楼顶端A的仰角为45°(点B,C,E在同一水平直线上),已知AB=80m,DE=10m,求障碍物B,C两点间的距离(结果精确到0.1m)(参考数据:≈1.414,≈1.732)21.李明乘车从永康到某景区旅游,同时王红从该景区返回永康.线段OB表示李明离永康的路程S1(km)与时间t(h)的函数关系;线段AC表示王红离永康的路程S2(km)与时间t(h)的函数关系.行驶1小时,李明、王红离永康的路程分别为100km、280km,王红从景区返回永康用了4.5小时.(假设两人所乘的车在同一线路上行驶)(1)分别求S1,S2关于t的函数表达式;(2)当t为何值时,他们乘坐的两车相遇;(3)当李明到达景区时,王红离永康还有多少千米?22.在一只不透明的袋中,装着标有数字3,4,5,7的质地、大小均相同的小球,小明和小东同时从袋中随机各摸出1个球,并计算这两个球上的数字之和,当和小于9时小明获胜,反之小东获胜.(1)请用树状图或列表的方法,求小明获胜的概率;(2)这个游戏公平吗?请说明理由.陕西中考15题——22题专题训练(五)15、.16.(1)解方程:1+=.(2)化简求值:÷(2+),x=﹣1.17.如图,已知∠AOB和C、D两点,求作一点P,使PC=PD,且P到∠AOB两边的距离相等.(不写画图过程,保留作图痕迹)18.某校积极开展“阳光体育”活动,共开设了跳绳、足球、篮球、跑步四种运动项目,为了解学生最喜爱哪一种项目,随机抽取了部分学生进行调查,并绘制了如下的条形统计图和扇形统计图(部分信息未给出).(1)求本次被调查的学生人数;(2)补全条形统计图;(3)该校共有1200名学生,请估计全校最喜爱篮球的人数比最喜爱足球的人数多多少?19、如图,CD 是一高为4米的平台,AB 是与CD 底部相平的一棵树,在平台顶C 点测得树顶A 点的仰角α=30°,从平台底部向树的方向水平前进3米到达点E ,在点E 处测得树顶A 点的仰角β=60°,求树高AB (结果保留根号)20.如图,某公司组织员工假期去旅游,租用了一辆耗油量为每百公里约为25L 的大巴车,大巴车出发前油箱有油100L ,大巴车的平均速度为80km/h ,行驶若干小时后,由于害怕油箱中的油不够,在途中加了一次油,油箱中剩余油量y (L )与行驶时间x (h )之间的关系如图所示,请根据图象回答下列问题:(1)汽车行驶h 后加油,中途加油 L ; (2)求加油前油箱剩余油量y 与行驶时间x 的函数解析式;(3)若当油箱中剩余油量为10L 时,油量表报警, 提示需要加油,大巴车不再继续行驶,则该车最远能跑多远?此时,大巴车从出发到现在已经跑了多长时间?21.联通公司手机话费收费有A 套餐(月租费15元,通话费每分钟0.1元)和B 套餐(月租费0元,通话费每分钟0.15元)两种.设A 套餐每月话费为y1(元),B 套餐每月话费为y2(元),月通话时间为x 分钟.(1)分别表示出y1与x ,y2与x 的函数关系式.(2)月通话时间为多长时,A、B两种套餐收费一样?(3)什么情况下A套餐更省钱?22.一个不透明的布袋里装有2个白球,1个黑球和若干个红球,它们除颜色外其余都相同,从中任意摸出1个球,是白球的概率为.(1)布袋里红球有多少个?(2)先从布袋中摸出1个球后不放回,再摸出1个球,请用列表法或画树状图等方法求出两次摸到的球都是白球的概率.THANKS!!!致力为企业和个人提供合同协议,策划案计划书,学习课件等等打造全网一站式需求欢迎您的下载,资料仅供参考。