中国历年法定存款准备金率变动表
- 格式:doc
- 大小:234.62 KB
- 文档页数:7
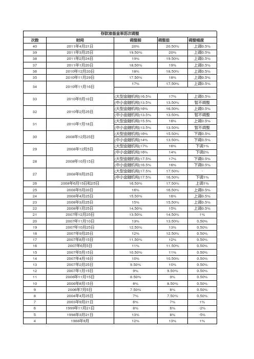
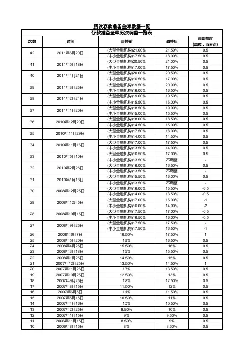
次数实施时间422011年6月20日412011年5月18日402011年4月21日392011年3月25日382011年2月24日372011年1月20日362010年12月20日352010年11月29日342010年11月16日2010年10月11日332010年5月10日322010年2月25日312010年1月18日302008年12月25日292008年12月5日282008年10月15日272008年9月25日262008年6月7日252008年5月20日242008年4月25日232008年3月18日222008年1月25日212007年12月25日202007年11月26日192007年10月25日182007年9月25日172007年8月15日162007年6月5日152007年5月15日142007年4月16日132007年2月25日122007年1月15日112006年11月15日102006年8月15日92006年7月5日82004年4月25日72003年9月21日61999年11月21日51998年3月21日41988年9月387年285年184年调整内容大型金融机构存款准备金率调至21.5%大型金融机构存款准备金率调至21%大型金融机构存款准备金率调至20.5%大型金融机构存款准备金率调至20%大型金融机构存款准备金率调至19.5%大型金融机构存款准备金率调至19%大型金融机构存款准备金率调至18.5%大型金融机构存款准备金率调至18%大型金融机构存款准备金率调至17.5%存款准备金率调至17.5%,仅对四大国有银行和招商、民生6家银行执行两个月大型金融机构存款准备金率调至17%大型金融机构存款准备金率调至16.5%大型金融机构存款准备金率调至16%大型金融机构存款准备金率调至15.5%大型金融机构存款准备金率调至16%大型金融机构存款准备金率调至17%大型金融机构存款准备金率调至17.5%存款准备金率调至17.5%存款准备金率调至16.5%存款准备金率调至16%存款准备金率调至15.5%存款准备金率调至15.0%存款准备金率调至14.5%存款准备金率调至13.5%存款准备金率调至13.0%存款准备金率调至12.5%上调存款准备金率0.5个百分点至12%上调存款准备金率0.5个百分点至11.5%上调存款准备金率0.5个百分点至11%上调存款准备金率0.5个百分点至10.5%存款准备金率调至10%存款准备金率调至9.5%存款准备金率调至9%存款准备金率调至8.5%存款准备金率调至8%实行差别存款准备金率制度,执行7.5%的存款准备金率存款准备金率调至7%存款准备金率调到6%存款准备金从13%下调到8%紧缩银根,抑制通货膨胀,进一步上调为13%紧缩银根,抑制通货膨胀,从10%上调为12%央行将法定存款准备金率统一调整为10%央行按存款种类规定法定存款准备金率,企业存款20%,农村存款25%,储蓄存款40%中小金融机构存款准备金率调至18%中小金融机构存款准备金率调至17.5%中小金融机构存款准备金率调至17%中小金融机构存款准备金率调至16.5%中小金融机构存款准备金率调至16%中小金融机构存款准备金率调至15.5%中小金融机构存款准备金率调至15%中小金融机构存款准备金率调至14.5%中小金融机构存款准备金率调至14%中小金融机构存款准备金率不调整中小金融机构存款准备金率不调整中小金融机构存款准备金率不调整中小金融机构存款准备金率调至13.5%中小金融机构存款准备金率调至14%中小金融机构存款准备金率调至16%中小金融机构存款准备金率调至16.5%. . . . . . ... . . . . . . . . . . . . .. .. . . . . . .。
央⾏存款准备⾦率历次调整调整介绍次数时间调整前调整后调整幅度(调整原因)3310年5⽉10⽇16.50%17.00%0.5%(农村信⽤社、村镇银⾏暂不上调.)3210年2⽉25⽇(⼤型⾦融机构)16.00%16.50%,(中⼩⾦融机构)13.50%不调整3110年1⽉18⽇14.5%15%0.5%(为增强⽀农资⾦实⼒,⽀持春耕备耕,农村信⽤社等⼩型⾦融机构暂不上调) 3008年12⽉22⽇15%14.5%0.5%(⼯、农、中、建、交、邮政储蓄银⾏等⼤型存款类⾦融机构)14%13.5%0.5%(中⼩型存款类⾦融机构)2908年12⽉5⽇16%15%1%(⼯商银⾏、农业银⾏、中国银⾏、建设银⾏、交通银⾏、邮政储蓄银⾏等⼤型存款类⾦融机构)16%14%2%(中⼩型存款类⾦融机构(继续对汶川地震灾区和农村⾦融机构执⾏优惠的存款准备⾦率)2808年10⽉15⽇16.5%16%0.5%2708年09⽉25⽇17.5%16.5%1%16.5%14.5%2%(限汶川地震重灾区地⽅法⼈⾦融机构)17.5%17.5%-(⼯、农、中、建、交、邮⾏暂不调整)2608年06⽉25⽇17%17.5%1%2608年06⽉15⽇16.5%17%2508年05⽉20⽇16%16.5%0.5%2408年04⽉25⽇15.5%16%0.5%2308年03⽉25⽇15%15.5%0.5%2208年01⽉25⽇14.5%15%0.5%2107年12⽉25⽇13.5%14.5%1%2007年11⽉26⽇13%13.5%0.5%1907年10⽉13⽇12.5%13%0.5%1807年09⽉25⽇12%12.5%0.5%1707年08⽉15⽇11.5%12%0.5%1607年06⽉5⽇11%11.5%0.5%1507年05⽉15⽇10.5%11%0.5%1407年04⽉16⽇10%10.5%0.5%1307年02⽉25⽇9.5%10%0.5%1207年01⽉15⽇9%9.5%0.5%1106年11⽉15⽇8.5%9%0.5%1006年08⽉15⽇8%8.5%0.5%906年07⽉05⽇7.5%8%0.5%804年04⽉25⽇7%7.5%0.5%703年09⽉21⽇6%7%1%699年11⽉21⽇8%6%-2%598年03⽉21⽇13%8%-5%488年9⽉12%13%1%387年10%12%2%285年央⾏将法定存款准备⾦率统⼀调整为10%184年央⾏按存款种类规定法定存款准备⾦率,企业存款20%,农村存款25%,储蓄存款40%。
法定存款准备金率在我国历次调整情况
1984年我国开始实行法定存款准备金政策,当时中国人民银行(简称央行)按存款种类规定法定
存款准备金率,企业存款20%,农村存款25%,储蓄存款40%。
1985年金融机构法定存款准备金率
统一为10%。
1998年-1999年我国对存款准备金制度进行改革,央行将存款准备金率从13%下调到6%。
为加强银行体系流动性管理,抑制货币信贷过快增长,2007年-2008年,央行频繁的使用了法定
存款准备金政策(如图所示),2007年央行对法定存款准备金率进行7次上调,2008年做了9次调整,并且在2008年9月25日央行对大型金融机构和中小型金融机构的法定存款准备金率进行差异化管理1,此后中国人民银行积极运用货币政策工具大力支持经济结构调整,两类金融机构的法定存款准备金差
异进一步扩大,到2012年5月两类金融机构的法定存款准备金率的差异已达到3.5个百分点。
为鼓励和引导金融机构更多地将新增或者盘活的信贷资源配置到“三农”等领域,加强金融对
“三农”发展的支持,拓展资金来源,引导加大涉农资金投放,进一步提升农村金融服务的能力和水平,中国人民银行决定从2014年4月25日起下调县域农村商业银行人民币存款准备金率2个百分点,下调县域农村合作银行人民币存款准备金率0.5个百分点。
至此,我国金融机构的法定存款准备金率
已有四个层次。
见表19.3。
图19.14 1985年-2014年法定存款准备金率在我国历次调整情况
表19.3 2014年4月我国法定存款准备金率(%)
资料来源:根据央行公开数据整理。
历年准备金率调整表随着金融市场的不断发展和监管政策的调整,央行对于商业银行的准备金率也进行了多次调整。
准备金率是指商业银行在存款中必须按照一定比例存入央行的资金,用于保证金融体系的稳定运行。
准备金率的调整直接影响着商业银行的资金成本和贷款利率,对于金融市场的稳定和经济的发展都具有重要意义。
我们来看一下历年准备金率的调整情况。
2007年,央行将商业银行的准备金率从12%调整为14%,以应对金融市场的流动性风险。
随后,在2008年金融危机爆发后,央行又相继降低了准备金率,以刺激经济增长。
2010年,随着经济的逐渐复苏,央行开始提高准备金率,以稳定金融市场的运行。
2011年至2015年期间,准备金率逐步上升至20%,以应对国内外的金融风险。
2015年后,央行开始采取定向降准的政策,根据市场的需求和经济的发展状况,有针对性地调整准备金率。
准备金率的调整对于商业银行的经营和金融市场的稳定有着重要影响。
首先,调整准备金率可以影响商业银行的资金成本。
当准备金率上升时,商业银行需要将更多的资金存入央行,导致其可贷款资金减少,进而提高了银行的资金成本。
相反,准备金率的降低会增加商业银行的可贷款资金,降低其资金成本。
这直接影响了商业银行的贷款利率,进而影响了实体经济的融资成本和企业的经营环境。
准备金率的调整还可以影响金融市场的流动性。
当准备金率上升时,商业银行需要将更多的资金存入央行,导致市场上的货币供应量减少,进而影响了市场的流动性。
相反,准备金率的降低会增加市场上的货币供应量,增加了市场的流动性。
这对于金融市场的稳定和经济的发展都具有重要意义。
准备金率的调整还可以影响货币政策的传导机制。
当准备金率上升时,商业银行的存款减少,银行的贷款能力下降,进而影响了货币政策的传导机制。
相反,准备金率的降低会增加商业银行的存款,提高了银行的贷款能力,有助于货币政策的传导。
历年准备金率的调整对于商业银行的经营、金融市场的稳定以及货币政策的传导机制都具有重要影响。
法定存款准备金率调整 CKBOOD was revised in the early morning of December 17, 2020.
法定存款准
备金率调整表
2007年
+1%
2008年9次调
+1%
2010年6次调
2011年7次调整,
2012年至今调整7
3.物价情况
CPI是(consumerpriceindex)的简称。
居民消费价格指数,是一个反映居民家庭一般所购买的消费商品和服务价格水平变动情况的。
它是一组代表性消费商品及服务项目的价格水平随时间而变动的相对数,是用来反映居民家庭购买消费商品及服务的价格水平的变动情况。
零售物价指数(RetailPriceIndex),简称RPI。
商品零售价格指数(RetailPriceIndex)是指反映一定时期内商品零售价格变动趋势和变动程度的相对数。
商品零售价格指数分为食品、饮料烟酒、服装鞋帽、纺织品、中西药品、化妆品、书报杂志、文化体育用品、日用品、家用电器、首饰、燃料、建筑装潢材料、机电产品等十四个大类,。
中国货币政策这些年(1997-2011)2011年01月14日 14:18:15 来源:中华工商时报【字号大小】【留言】【打印】【关闭】1997年亚洲金融危机,之后为应对当时的严峻经济形势,中国开始实行稳健的货币政策。
1998年-2002年中国面临通缩压力,货币政策趋向是增加货币供应量。
2003年-2007年为控制经济增长过快,稳健的货币政策内涵开始发生变化,适当紧缩银根,多次上调存款准备金率和利率。
2007年6月13日国务院召开常务会议,货币政策开始“稳中适度从紧”。
2007年底中央经济工作会议将2008年宏观调控的首要任务定为“两个防止”:防止经济增长由偏快转为过热、防止价格由结构性上涨演变为明显通货膨胀。
会议要求实行从紧的货币政策。
2008年7月至2008年底面对国际金融危机加剧、国内通胀压力减缓等情况,中国人民银行调整金融宏观调控措施,连续三次下调存贷款基准利率,两次下调存款准备金率,取消对商业银行信贷规划的约束,并引导商业银行扩大贷款总量。
2008年11月5日国务院常务会议要求实行积极的财政政策和适度宽松的货币政策。
2009年中央经济工作会议提出:2010年要保持宏观经济政策的连续性和稳定性,继续实施积极的财政政策和适度宽松的货币政策。
货币政策要保持连续性和稳定性,增强针对性和灵活性。
2010年3月5日政府工作报告指出,2010年继续实施积极的财政政策和适度宽松的货币政策。
2010年7月22日中共中央政治局召开会议,强调继续实施积极的财政政策和适度宽松的货币政策。
2010年12月12日中央经济工作会议提出:2011年我国宏观经济政策的基本取向要积极稳健、审慎灵活,重点是更加积极稳妥地处理好保持经济平稳较快发展、调整经济结构和管理通胀预期的关系。
所谓“积极稳健、审慎灵活”,就是指实施积极的财政政策和稳健的货币政策,增强宏观调控的针对性、灵活性、有效性。
2003年开始,中国经济形势再次发生变化,出现了通货膨胀压力加大、信贷和投资增长过快、外资流入偏多等问题。
中国人民银行决定,从2011年3月25日起,上调存款类金融机构人民币存款准备金率0.5个百分点。
以下是历年存款准备金率调整走势图及图表:2011年06月20日21.00% 21.50% 0.50% 17.50% 18.00% 0.50%-0.90%-0.99%2011年05月18日20.50% 21.00% 0.50% 17.00% 17.50% 0.50%0.95%0.70%2011年04月21日20.00% 20.50% 0.50% 16.50% 17.00% 0.50%0.22%0.27%次数时间调整前调整后调整幅度%392011 03 25(大型金融机构)19.50%(中小金融机构)16.00%20.00%16.50%0.50.5382011 02 24(大型金融机构)19.00%(中小金融机构)15.50%19.50%16.00%0.50.5372011 01 20(大型金融机构)18.50%(中小金融机构)15.00%19.00%15.50%0.50.5362010 12 20(大型金融机构)18.00%(中小金融机构)14.50%18.50%15.00%0.50.5352010 11 29(大型金融机构)17.50%(中小金融机构)14.00%18.00%14.50%0.50.5342010 11 16(大型金融机构)17.00%(中小金融机构)13.50%17.50%14.00%0.50.5332010 05 10(大型金融机构)16.50%(中小金融机构)13.50%17.00%13.50%0.5-322010 02 25(大型金融机构)16.00%16.50%0.5(中小金融机构)13.50%不调整-312010 01 12(大型金融机构)15.50%16.00%0.5(中小金融机构)13.50%不调整-302008 12 25(大型金融机构)16.00%15.50%-0.5(中小金融机构)14.00%13.50%-0.5 292008 12 05(大型金融机构)17.00%16.00%-1(中小金融机构)16.00%14.00%-2 282008 10 15(大型金融机构)17.50%17.00%-0.5(中小金融机构)16.50%16.00%-0.5 272008 09 25(大型金融机构)17.50%不调整-(中小金融机构)17.50%16.50%-126 252008 06 072008 05 2016.50%17.50%116%16.50%0.50242008 04 2515.50%16%0.50 232008 03 1815%15.50%0.50 222008 01 2514.50%15%0.50 212007 12 2513.50%14.50%1 202007 11 2613%13.50%0.50 192007 10 2512.50%13%0.50 182007 09 2512%12.50%0.50 172007 08 1511.50%12%0.50 162007 06 0511%11.50%0.50 152007 05 1510.50%11%0.50 142007 04 1610%10.50%0.50132007 02 259.50%10%0.50 122007 01 159%9.50%0.50 112006 11 158.50%9%0.50 102006 08 158%8.50%0.50 92006 07 57.50%8%0.50 82004 04 257%7.50%0.50 72003 09 216%7%1 61999 11 218%6%-2 51998 03 2113%8%-5 41988 0912%13%1 38710%12%2285年央行将法定存款准备金率统一调整为10%--184年央行按存款种类规定法定存款准备金率,企业存款20%,农村存款25%,储蓄存款40%--2011年06月14日2011年06月20日21.00% 21.50% 0.50%17.50% 18.00% 0.50%-0.90%-0.99% 2011年05月12日2011年05月18日20.50% 21.00% 0.50%17.00% 17.50% 0.50%0.95%0.70% 2011年04月17日2011年04月21日20.00% 20.50% 0.50%16.50% 17.00% 0.50%0.22%0.27% 2011年03月18日2011年03月25日19.50% 20.00% 0.50%16.00% 16.50% 0.50%0.08%-0.62% 2011年02月18日2011年02月24日19.00% 19.50% 0.50%15.50% 16.00% 0.50% 1.12% 2.06% 2011年01月14日2011年01月20日18.50% 19.00% 0.50%15.00% 15.50% 0.50%-3.03%-4.55% 2010年12月10日2010年12月20日18.00% 18.50% 0.50%14.50% 15.00% 0.50% 2.88% 3.57% 2010年11月19日2010年11月29日17.50% 18.00% 0.50%14.00% 14.50% 0.50%-0.15%0.06% 2010年11月09日2010年11月16日17.00% 17.50% 0.50%13.50% 14.00% 0.50% 1.04%-0.15% 2010年05月02日2010年05月10日16.50% 17.00% 0.50%13.50% 13.50% 0.00% -1.23%-1.81% 2010年02月12日2010年02月25日16.00% 16.50% 0.50%13.50% 13.50% 0.00% -0.49%-0.74% 2010年01月12日2010年01月18日15.50% 16.00% 0.50%13.50% 13.50% 0.00% -3.09%-2.73% 2008年12月22日2008年12月25日16.00% 15.50% -0.50% 14.00% 13.50% -0.50%-4.55%-4.69% 2008年11月26日2008年12月05日17.00% 16.00% -1.00% 16.00% 14.00% -2.00% 1.05% 4.04% 2008年10月08日2008年10月15日17.50% 17.00% -0.50% 16.50% 16.00% -0.50%-0.84%-2.40% 2008年09月15日2008年09月25日17.50% 17.50% 0.00% 17.50% 16.50% -1.00%-4.47%-0.89% 2008年06月07日2008年06月25日16.50% 17.50% 1.00%16.50% 17.50% 1.00%-7.73%-8.25%2008年05月12日 2008年05月20日 16.00% 16.50% 0.50% 16.00% 16.50% 0.50% -1.84% -0.70% 2008年04月16日 2008年04月25日 15.50% 16.00% 0.50% 15.50% 16.00% 0.50% -2.09% -3.37% 2008年03月18日 2008年03月25日 15.00% 15.50% 0.50% 15.00% 15.50% 0.50% 2.53% 4.45% 2008年01月16日 2008年01月25日 14.50% 15.00% 0.50% 14.50% 15.00% 0.50% -2.63% -2.41% 2007年12月08日 2007年12月25日 13.50% 14.50% 1.00% 13.50% 14.50% 1.00% 1.38% 2.07% 2007年11月10日 2007年11月26日 13.00% 13.50% 0.50% 13.00% 13.50% 0.50% -2.40% -0.55% 2007年10月13日 2007年10月25日 12.50% 13.00% 0.50% 12.50% 13.00% 0.50% 2.15% -0.24% 2007年09月06日 2007年09月25日 12.00% 12.50% 0.50% 12.00% 12.50% 0.50% -2.16% -2.21% 2007年07月30日 2007年08月15日 11.50% 12.00% 0.50% 11.50% 12.00% 0.50% 0.68% 0.92% 2007年05月18日 2007年06月05日 11.00% 11.50% 0.50% 11.00% 11.50% 0.50% 1.04% 1.40% 2007年04月29日 2007年05月15日 10.50% 11.00% 0.50% 10.50% 11.00% 0.50% 2.16% 1.66% 2007年04月05日 2007年04月16日 10.00% 10.50% 0.50% 10.00% 10.50% 0.50% 0.13% 1.17% 2007年02月16日 2007年02月25日 9.50% 10.00% 0.50% 9.50% 10.00% 0.50% 1.41% 0.19% 2007年01月05日 2007年01月15日 9.00% 9.50% 0.50% 9.00% 9.50% 0.50% 2.49% 2.45%0.00%2.00%4.00%6.00%8.00%10.00%12.00%14.00%16.00%18.00%20.00%22.00%24.00%1985 111987 091988 091998 03 211999 11 212003 09 212004 04 252006 07 52006 08 152006 11 152007 01 152007 02 252007 04 162007 05 152007 06 052007 08 152007 09 252007 10 252007 11 262007 12 252008 01 252008 03 182008 04 252008 05 202008 06 072008 09 252008 10 152008 12 052008 12 252010 01 122010 02 252010 05 102010 11 162010 11 292010 12 202011 01 202011 02 242011 03 252011 04 212011 05 18201106 20大型金融机构小型金融机构。
法定存款准备金率调整表公布时间 生效日期 大型金融机构 中小金融机构调整前 调整后 调整前 调整后2007年1月5日 9.00% 9.00%2007年1月5日 2007年1月15日 9.00% 9.50% 9.00% 9.50%2007年2月16日 2007年2月25日 9.50% 10.00% 9.50% 10.00% 2007年4月5日 2007年4月16日 10.00% 10.50% 10.00% 10.50% 2007年4月29日 2007年5月15日 10.50% 11.00% 10.50% 11.00%2007年5月18日 2007年6月5日 11.00% 11.50% 11.00% 11.50% 2007年7月30日 2007年8月15日 11.50% 12.00% 11.50% 12.00%2007年9月6日 2007年9月25日 12.00% 12.50% 12.00% 12.50% 2007年10月13日 2007年10月25日 12.50% 13.00% 12.50% 13.00% 2007年11月10日 2007年11月26日 13.00% 13.50% 13.00% 13.50% 2007年12月8日 2007年12月25日 13.50% 14.50% 13.50% 14.50% 2008年1月16日 2008年1月25日 14.50% 15.00% 14.50% 15.00% 2008年3月18日 2008年3月25日 15.00% 15.50% 15.00% 15.50% 2008年4月16日 2008年4月25日 15.50% 16.00% 15.50% 16.00% 2008年5月12日 2008年5月20日 16.00% 16.50% 16.00% 16.50% 2008年6月7日 2008年6月25日 16.50% 17.50% 16.50% 17.50% 2008年9月15日 2008年9月25日 17.50% 17.50% 17.50% 16.50%2008年10月8日 2008年10月15日 17.50% 17.00% 16.50% 16.00% 2008年11月26日 2008年12月5日 17.00% 16.00% 16.00% 14.00% 2008年12月22日 2008年12月25日 16.00% 15.50% 14.00% 13.50% 2010年1月12日 2010年1月18日 15.50% 16.00% 13.50% 13.50% 2010年2月12日 2010年2月25日 16.00% 16.50% 13.50% 13.50% 2010年5月2日 2010年5月10日 16.50% 17.00% 13.50% 13.50% 2010年11月9日 2010年11月16日 17.00% 17.50% 13.50% 14.00%2010年11月19日 2010年11月29日 17.50% 18.00% 14.00% 14.50% 2010年12月10日 2010年12月20日 18.00% 18.50% 14.50% 15.00% 2011年1月14日 2011年1月20日 18.50% 19.00% 15.00% 15.50% 2011年2月18日 2011年2月24日 19.00% 19.50% 15.50% 16.00%2011年3月18日 2011年3月25日 19.50% 20.00% 16.00% 16.50% 2011年4月17日 2011年4月21日 20.00% 20.50% 16.50% 17.00% 2011年5月12日 2011年5月18日 20.50% 21.00% 17.00% 17.50%2011年6月14日 2011年6月20日 21.00% 21.50% 17.50% 18.00% 2011年11月30日 2011年12月5日 21.50% 21.00% 18.00% 17.50% 2012年2月18日 2012年2月24日 21.00% 20.50% 17.50% 17.00% 2012年5月12日 2012年5月18日 20.50% 20.00% 17.00% 16.50% 2015年2月4日 2015年2月5日 20.00% 19.50% 16.50% 16.00% 2007年10次上调 +1% 2008年9次调整,5次上调 +1%2010年6次调整,均上调 2011年7次调整,1次下调 2012年至今调整7次均下调2015年4月19日2015年4月20日19.50% 18.50% 16.00% 15.00%2015年6月27日2015年6月28日18.50% 18.00% 15.00% 14.50%2015年8月26日2015年9月6日18.00% 17.50% 14.50% 14.00%2015年10月23日 2015年10月24日17.50% 17.00% 14.00% 13.50%数据来源:中金在线3.物价情况CPI是居民消费价格指数(consumer price index)的简称。
次调整幅
数时间调整前调整后
调整机构与
原因
度
央行按存款
种类规定法
定
存款准备金
1 84 年
率:
企业存款
20%
农村存款
25%
储蓄存款
40%
央行将法定企业存
款20% 农村存存款准备金
2 85 年款 25% 率
储蓄存款 40% 统一调整为1
0%
3 87 年10% 12% 2%
4 88 年 9 月12% 13% 1%
5 98
年
03 月 2
13% 8% -5% 1 日
6 99
年
11 月 2
8% 6% -2% 1 日
7 03
年
09 月 2
6% 7% 1% 1 日
8 04
年
04 月 2
7% 7.5% 0.5% 5 日
9 06
年
07 月 0
7.5% 8% 0.5% 5 日
10 06
年
08 月 1
8% 8.5% 0.5% 5 日
11 06 年 11 月 1
8.5%
9% 0.5%
5 日
1207年01月1
9.5%
0.5
%
9%
5 日
1307年02月2
10%
0.5
%
9.5%
5 日
1407年04月1
10.5%
0.5
%
10%
6 日
1507年05月1
11%
0.5
%
10.5%
5 日
1607年06月0
11.5%
0.5
%
11%
5 日
1707年08月1
12%
0.5
%
11.5%
5 日
1807年09月2
12.5%
0.5
%
12%
5 日
1907年10月2
13%
0.5
%
12.5%
5 日
2007年11月2
13.5%
0.5
%
13%
6 日
2107年12月2
14.5% 1%
13.5%
5 日
2208年01月2
15%
0.5
%
14.5%
5 日
2308年03月2
15.5%
0.5
%
15%
5 日
2408年04月2
16%
0.5
%
15.5%
5 日
2508年05月2
16.5%
0.5
%
16%
0 日
2608年06月1
17%
0.5
%
16.5%
5 日
2708年06月2
17.5%
0.5
%
17%
5 日
(限汶川地
震
17.5%
16.5%
1%
重灾区地方 28 08年09月2
14.5%
2%
16.5%
法人金融机
构)
5 日
17.5%
-
17.5%
(工、农、
中、
建、交、邮
行
暂不调整)
29
08年10月1 17%
0.5%
16.5%
5 日
(工、农、中、
建、交、邮行 08年12月5 17%
16%
1%
等大型存款类
30
14%
13.5%
0.5%
金融机构)
日
(中小型存款 类金融机构)
(工、农、中、
建、交、
邮行
08年12月2 16%
15.5% 0.5% 等大型存款类
31
14%
13.5%
0.5%
金融机构)
2 日
(中小型存款 类金融机构)
为增支农资金 实力 10年1月18
15.5%
16%
0.5% 支持春耕备
耕,
32
日
农村信用等小
型
金融机构暂不
上调 10年2月25
(大型金融机构、
16.00%
16.50%
0.5%
33
中小金融机构
日
不上调)
10年5月10
16.50%
17.00%
0.5% 农村信用社、
34
日
村镇银行 暂不上调 10年11月1
17.00%
17.50%
0.5%
35
存款类金融机
构
6 日
10年11月2
加强流动性
17.50%
18.00%
0.5%
36
管理、适度调
控
9 日
货币信贷投放
3710年12月2
18.00% 18.50% 0.5%
抑制通
胀
0 日
3811年01月2
18.50% 19.00% 0.5%
抑制通
胀
0 日
3911年02月2
19.00% 19.50% 0.5%
抑制通
胀
4 日
4011年03月2
19.50% 20.00% 0.5%
抑制通
胀
5 日
4111年04月2
20.00% 20.50% 0.5%
抑制通
胀
1 日
4211年05月1
20.50% 21.00% 0.5%
抑制通
胀
8 日
(大型金融机构)
21.
21.50% 0.5%
00%
11年06月1
43
抑制通
胀
4 日(中小金融机构)
17.
18% 0.5%
50%。