三角函数辅助角公式练习题
- 格式:doc
- 大小:34.50 KB
- 文档页数:2
辅助角公式练习题辅助角公式练习题在数学中,辅助角公式是解决三角函数的重要工具之一。
它们帮助我们在计算复杂的三角函数问题时,能够简化运算并得到准确的结果。
本文将通过一些练习题来巩固和应用辅助角公式的知识。
题目一:计算sin(75°)解析:我们知道sin(75°)可以表示为sin(45°+30°)。
利用辅助角公式sin(A+B)=sinAcosB+cosAsinB,我们可以将sin(75°)转化为sin(45°)cos(30°)+cos(45°)sin(30°)。
根据三角函数的定义,sin(45°)=cos(45°)=√2/2,sin(30°)=1/2,cos(30°)=√3/2。
代入公式,我们得到sin(75°)=(√2/2)(√3/2)+(√2/2)(1/2)=(√6+√2)/4。
题目二:计算tan(105°)解析:我们可以将t an(105°)表示为tan(45°+60°)。
利用辅助角公式tan(A+B)=(tanA+tanB)/(1-tanAtanB),我们可以将tan(105°)转化为(tan(45°)+tan(60°))/(1-tan(45°)tan(60°))。
根据三角函数的定义,tan(45°)=1,tan(60°)=√3。
代入公式,我们得到tan(105°)=(1+√3)/(1-√3)。
题目三:计算cos(105°)解析:我们可以将cos(105°)表示为cos(45°+60°)。
利用辅助角公式cos(A+B)=cosAcosB-sinAsinB,我们可以将cos(105°)转化为cos(45°)cos(60°)-sin(45°)sin(60°)。
辅助角公式例题及解析十道辅助角公式是解决三角函数问题的一种重要工具,它可以将复杂的三角函数表达式化简为更易于处理的形式。
以下是十道辅助角公式的例题及解析:1. 例题:求函数y = 2sin(x + π/3) + cos(x - π/6) 的值域。
解析:利用辅助角公式将原函数化简为y = √3sinx + cosx + 1,再进一步化简为y = 2sin(x + π/6) + 1。
由于正弦函数的值域为 [-1, 1],因此原函数的值域为 [-1, 3]。
2. 例题:求函数 y = sin(2x - π/3) + cos(2x - π/6) 的单调递增区间。
解析:利用辅助角公式将原函数化简为y = √3sin(2x - π/6),再利用正弦函数的性质,求得单调递增区间为[kπ - π/6, kπ + π/3],其中 k 是整数。
3. 例题:求函数 y = sin(x) + cos(x) 的最大值和最小值。
解析:利用辅助角公式将原函数化简为y = √2sin(x + π/4),正弦函数的最大值为 1,最小值为 -1,因此原函数的最大值为√2,最小值为 -√2。
4. 例题:已知sinθ + sin(θ + π/3) = 1,求cos(θ + π/6) 的值。
解析:利用辅助角公式和已知条件,将原问题转化为求sin(2θ + π/6) 的值,再利用三角恒等式化简求解。
5. 例题:已知sinαcosβ = 1/2,求cosαsinβ 的取值范围。
解析:利用辅助角公式将原问题转化为求sin(α + β) 的取值范围,再利用三角恒等式和已知条件求解。
6. 例题:求函数 y = sin(x) + cos(x) 在区间[0, π] 上的最大值和最小值。
解析:利用辅助角公式将原函数化简为y = √2sin(x + π/4),再利用正弦函数的性质求解。
7. 例题:已知sinαcosβ = 1/3,求(sinαcosβ)^2 + (cosαsinβ)^2 的值。
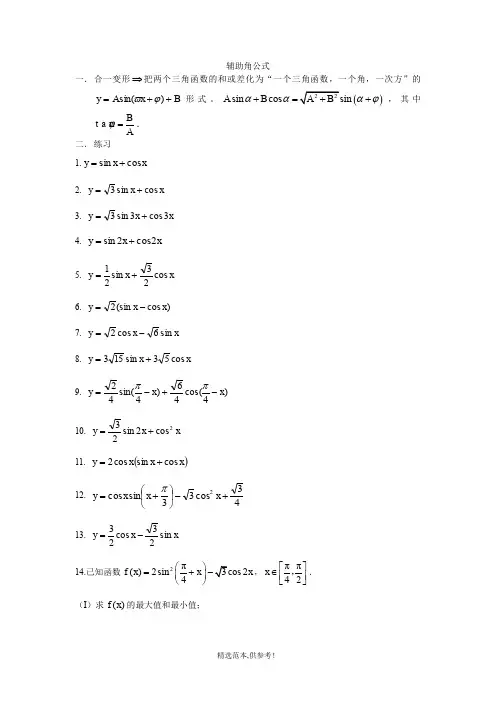
辅助角公式一. 合一变形⇒把两个三角函数的和或差化为“一个三角函数,一个角,一次方”的B x A y ++=)sin(ϕϖ形式。
()sin cos αααϕA +B =+,其中t a n ϕB =A. 二. 练习 1.x x y cos sin += 2. x x y cos sin 3+=3. x x y 3cos 3sin 3+=4. x x y 2cos 2sin +=5. x x y cos 23sin 21+=6. )cos (sin 2x x y -=7. x x y sin 6cos 2-= 8. x x y cos 53sin 153+= 9. )4cos(46)4sin(42x x y -+-=ππ 10. x x y 2cos 2sin 23+=11. ()x x x y cos sin cos 2+= 12. 43cos 33sin cos 2+-⎪⎭⎫ ⎝⎛+=x x x y π 13. x x y sin 23cos 23-=14.已知函数2π()2sin 24f x x x ⎛⎫=+ ⎪⎝⎭,ππ42x ⎡⎤∈⎢⎥⎣⎦,. (I )求()f x 的最大值和最小值;(II )若不等式()2f x m -<在ππ42x ⎡⎤∈⎢⎥⎣⎦,上恒成立,求实数m 的取值范围. 分析:观察角,单角二次型,降次整理为sin cos a x b x +形式.解:(Ⅰ)π()1cos 221sin 222f x x x x x ⎡⎤⎛⎫=-+=+ ⎪⎢⎥⎝⎭⎣⎦∵ π12sin 23x ⎛⎫=+- ⎪⎝⎭. 又ππ42x ⎡⎤∈⎢⎥⎣⎦,∵,ππ2π2633x -∴≤≤,即π212sin 233x ⎛⎫+- ⎪⎝⎭≤≤, max min ()3()2f x f x ==,∴. (Ⅱ)()2()2()2f x m f x m f x -<⇔-<<+∵,ππ42x ⎡⎤∈⎢⎥⎣⎦,, max ()2m f x >-∴且min ()2m f x <+,14m <<∴,即m 的取值范围是(14),. 15. (1)已知1sin sin 3x y +=,求2sin cos y x -的最大值与最小值. (2)求函数sin cos sin cos y x x x x =⋅++的最大值.分析:可化为二次函数求最值问题.解:(1)由已知得:1sin sin 3y x =-,sin [1,1]y ∈-,则2sin [,1]3x ∈-. 22111sin cos (sin )212y x x ∴-=--,当1sin 2x =时,2sin cos y x -有最小值1112-;当2sin 3x =-时,2sin cos y x -有最小值49.(2)设sin cos x x t +=(t ≤,则21sin cos 2t x x -⋅=,则21122y t t =+-,当t =时,y 有最大值为12+【本文档内容可以自由复制内容或自由编辑修改内容期待你的好评和关注,我们将会做得更好】。
辅助角公式经典例题The concept of the complementary angle formulas is a classic topic in trigonometry that is often encountered in mathematics classes. These formulas are essential tools that help us manipulate trigonometric functions to solve various problems involving angles. One of the well-known complementary angle formulas is the sine of a complementary angle. These formulas are based on the fact that the sine, cosine, and tangent of complementary angles are related in a specific way. By understanding and applying these formulas, students can simplify trigonometric expressions and equations, making it easier to solve complex problems.辅助角公式是三角学中经典的话题,经常在数学课堂中遇到。
这些公式是帮助我们操纵三角函数以解决涉及角度的各种问题的重要工具。
其中一个著名的辅助角公式是补角的正弦。
这些公式是基于事实,即互余角的正弦、余弦和切线有特定的关系。
通过理解和应用这些公式,学生可以简化三角函数表达式和方程,从而更容易解决复杂的问题。
One classic example of using the complementary angle formulas is finding the value of a trigonometric function for a given angle byusing the complementary angle of that angle. For instance, if we know the sine of 30 degrees, we can use the fact that the sine of a complementary angle is the cosine of the original angle to find the cosine of 60 degrees. This technique allows us to calculate trigonometric values for angles beyond the basic reference angles, increasing our problem-solving capabilities in trigonometry.使用辅助角公式的一个经典例子是通过使用给定角的补角来找到该角的三角函数值。
资料范本本资料为word版本,可以直接编辑和打印,感谢您的下载辅助角公式练习题地点:__________________时间:__________________说明:本资料适用于约定双方经过谈判,协商而共同承认,共同遵守的责任与义务,仅供参考,文档可直接下载或修改,不需要的部分可直接删除,使用时请详细阅读内容20200628手动选题组卷3副标题一、选择题(本大题共8小题,共40.0分)函数y=5sinx−π6−12cosx−π6的最大值是( )A. 13B. 17C. −13D. 12已知函数f(x)=4sin(ωx−π4)sin(ωx+π4)(ω>0)的最小正周期与函数y=2sin2x+cos2x的最小正周期相同,且tanα=34,α∈(0,π2),则f(α)等于( )A. 725B. −1425C. 2425D. −1225设函数f(x)=sin(2x+3π4)−cos(2x+3π4),则( )A. f(x)在(0,π2)单调递增,其图象关于直线x=π4对称B. f(x)在(0,π2)单调递增,其图象关于直线x=π2对称C. f(x)在(0,π2)单调递减,其图象关于直线x=π2对称D. f(x)在(0,π2)单调递减,其图象关于直线x=π4对称设当x=θ时,函数f(x)=2sinx−cosx取得最大值,则cosθ=()A. 255B. 55C. −255D. −55将偶函数f(x)=3sin(2x+φ)−cos(2x+φ)(0<φ<π)的图象向右平移π6个单位,得到y=g(x)的图象,则g(x)的一个单调递减区间为( )A. (-π3,π6)B. (π12,7π12)C. (π6,2π3)D. (π3,5π6)已知3sin x+cos x=2a−3,则a的取值范围是 ( )A. 12≤a≤52B. a≤12C. a>52D. −52≤a≤−12函数fx=2sinxcosx+2cos2x的最小正周期是( )A. 3πB. 2πC. πD. π2若函数f(x)=cosx+3sinx(0≤x<π2),则fx的最小值是( )A. 1B. -1C. 2D. -2二、填空题(本大题共2小题,共10.0分)已知函数f(x)=3sinx2−4cosx2的图象关于直线x=θ对称,则sinθ=________.函数f(x)=sinx+3cosx,则f(x)的最小正周期为__________.三、解答题(本大题共5小题,共60.0分)已知函数f(x)=cosx(sinx+cosx)−12.(1)若0<α<π2,且sinα=22,求f(α)的值;(2)求函数f(x)的最小正周期及单调递增区间.已知函数f(x)=cos4x−2sinxcosx−sin4x.(1)求f(x)的最小正周期;(2)若f(x0)=23,x0∈(0,π2),求cos2x0的值.已知函数f(x)=(sinx+cosx)2+cos2x-1.(1)求函数f(x)的最小正周期;(2)求函数f(x)在区间[-π4,π4]上的最大值和最小值.已知函数fx=sinx+cosx2+3cos2x.(1)求函数f(x)的最小正周期;(2)求函数fx在区间−π3,π3上的最大值及取得最大值时相应的x值.已知函数fx=23cosxsinx+2cos2x+2.(1)求函数fx的最小正周期和单调递减区间;(2)求函数fx在0,π2上的最大值和最小值.答案和解析1.【答案】A【解析】【分析】本题考查两角和与差的三角函数,考查计算能力,考查辅助角公式,属于基础题.由辅助角公式化简函数,即可得.【解答】解:∵y=5sinx−π6−12cosx−π6,为辅助角),则当x−π6 −φ=2kπ+ π 2,k为整数,y取最大值13,故选A.2.【答案】B【解析】【分析】本题考查三角函数的性质,辅助角公式,同角三角函数的关系,二倍角公式,属于中档题.先求出y=2sin2x+cos2x的最小正周期,进而求出ω,化简f(x),再根据二倍角公式以及同角三角函数关系求出答案.【解答】解:y=2sin2x+cos2x=5sin(2x+θ)(其中tanθ=12),其最小正周期为,且,由题意得f(x)的最小正周期为,所以,解得ω=1,所以f(x)=−2cos2x,又tanα=sinαcosα=34sin2α+cos2α=1,结合α∈(0,π2),解得cosα=45,所以f(α)=−2cos2α=−2(2cos2α−1)=−2×[2×(45)2−1]=−1425.故选B.3.【答案】C【解析】【分析】本题考查三角函数的化简,三角函数的图象和性质,属于基础题.利用辅助角公式化简函数解析式,判断y=f(x)在(0,π2)单调性,即可得到答案.【解答】解:f(x)=sin(2x+3π4)−cos(2x+3π4),由2kπ≤2x≤2kπ+π(k∈Z),得kπ≤x≤kπ+π2,即f(x)的递减区间为kπ,kπ+π2(k∈Z),令k=0,可知y=f(x)在0,π2上单调递减;当x=π2时,函数y=f(x)取得最小值,所以直线x=π2是函数y=f(x)的对称轴.故选C.4.【答案】D【解析】【分析】本题主要考查辅助角公式的应用,正弦函数的最大值,属于基础题.利用辅助角公式化简函数的解析式为函数f(x)=5sin(x+α),求出θ的值,再利用诱导公式求得cosθ的值.【解析】解:当x=θ时,函数f(x)=2sinθ−cosθ=5(25sinθ−15cosθ)=5sin(θ+α)取得最大值,(其中,cosα=25,sinα=−15),∴θ+α=2kπ+π2,k∈Z,即θ=2kπ+π2−α,k∈Z,∴cosθ=cos(2kπ+π2−α)=cos(π2−α)=sinα=−55,故选:D.5.【答案】C【解析】【分析】本题考查了辅助角公式,诱导公式,函数y=Asin(ωx+φ)的单调区间的求法,属于基础题.先把已知函数利用辅助角公式整理为,再由函数fx为偶函数,得到φ=2π3,进而得到,利用函数y=Asin(ωx+φ)的单调性,求出函数g(x)的单调递减区间,即可得结果.【解答】解:由已知函数:,∵函数fx为偶函数,∴φ−π6=π2+kπ,k∈Z,∴φ=2π3+kπ,k∈Z,∵0<φ<π,∴φ=2π3,,,∴由2kπ≤2x−π3≤π+2kπ,k∈Z,解得π6+kπ≤x≤2π3+kπ,k∈Z,∴函数g(x)的单调递减区间为:π6+kπ,2π3+kπ,k∈Z∴当k=0时,(π6,2π3)是g(x)的一个单调递减区间.故选C.6.【答案】A【解析】【分析】本题主要考查了辅助角公式以及三角函数的最值,属于基础题.由题意得3sin x+cos x=2sinx+π6=2a−3,由sinx+π6的范围得出a−32的不等式,求出a的范围即可.【解答】解:由3sin x+cos x=2sinx+π6=2a−3,得sinx+π6=a−32,∴a-32≤1,即12≤a≤52.7.【答案】C【解析】【分析】本题考查三角函数的性质及二倍角公式与辅助角公式,属于基础题.利用二倍角公式与辅助角公式化简f(x),进而得出f(x)的最小正周期.【解答】解:∵fx=2cos2x+2sinxcosx=1+cos2x+sin2x=1+2sin2x+π4,∴fx的最小正周期是.故选C.8.【答案】A【解析】【分析】本题主要考查三角函数的辅助角公式以及最值的求法.化简函数为,求出的取值范围,即可求出结果.【解答】解:,,,,∴1≤fx≤2,∴f(x)的最小值为1.故选A.9.【答案】−2425【解析】【分析】本题考查三角函数的图象和性质及辅助角公式,首先利用辅助角公式化简函数式,再根据图象关于x=θ对称即可求出结果,属中档题.【解答】解:fx=3sinx2−4cosx2=5sinx2−φ,其中,sinφ=45,cosφ=35,因为图象关于x=θ对称,sinθ2−φ=±1,所以θ2−φ=kπ+π2,即θ=2kπ+π+2φ,k∈Z,所以sinθ=−sin2φ=−2sinφcosφ=−2×45×35=−2425.故答案为−2425.10.【答案】2π【解析】【分析】本题考查了辅助角公式以及三角函数的最小正周期问题,是基础题.利用辅助角公式化简函数f(x),即可求出它的最小正周期.【解答】解:由于f(x)=2(12sinx+32cosx)=2sin(x+π3),∴函数的最小正周期为:2π.故答案为:2π.11.【答案】解:(1)∵0<α<π2,且sinα=22,∴cosα=22,∴fα=cosαsinα+cosαα−12=22×22+22−12=12.(2)fx=cosxsinx+cosx−12=sinxcosx+cos2x−12=12sin2x+12cos2x=22sin2x+π4,∴T=2π2=π,由2kπ−π2≤2x+π4≤2kπ+π2,k∈Z,得kπ−3π8≤x≤kπ+π8,k∈Z,∴f(x)的单调递增区间为kπ−3π8,kπ+π8,k∈Z.【解析】本题主要考查了三角函数恒等变换的应用.考查了学生对基础知识的综合运用.(1)利用同角三角函数关系求得cosα的值,分别代入函数解析式即可求得f(α)的值.(2)利用两角和公式和二倍角公式对函数解析式进行恒等变换,进而利用三角函数性质和周期公式求得函数最小正周期和单调增区间.12.【答案】解:(1)解:f(x)=(cos4x−sin4x)−2sin xcos x=(cos2x+sin2x)(cos2x−sin2x)−sin 2x=cos 2x−sin 2x=2cos (2x+π4)∴T=2π2=π,∴f(x)的最小正周期为π,又x0∈(0,π2),则,则,,=13×22+223×22=4+26.【解析】本题主要考查了两角和与差的三角函数公式及二倍角公式的使用,同时考查三角函数的周期性,属于基础题.(1)利用两角和差的三角函数公式及二倍角公式进行化简,再根据最简形式即可得到最小正周期.(2)由,再根据两角和差的余弦公式进行求解即可.13.【答案】解:,,∴函数f(x)的最小正周期T=2π2=π.(2)由(1)可知,,∵x∈[−π4,π4],,,,故函数f(x)在区间[−π4,π4]上的最大值和最小值分别为2,−1.【解析】本题考查二倍角公式及辅助角公式,同时考查函数y=Asin(ωx+φ)的图象与性质,考查学生的计算能力,难度适中.(1)利用二倍角公式及辅助角公式化简f(x)即可求解;(2)求出2x+π4∈[−π4,3π4],然后利用正弦函数的性质即可求解.14.【答案】解:(1)fx=1+sin2x+3cos2x=2sin2x+π3+1∴T=π(2)∵x∈−π3,π3,∴2x+π3∈−π3,π,sin2x+π3∈−32,1,∴fx∈−3+1,3当2x+π3=π2,即x=π12时,fxmax=3【解析】本题主要考查两角和与差的三角函数公式、二倍角公式、辅助角公式,以及函数y=Asin(ωx+φ)的图像与性质,属中档题.(1)利用两角和与差的三角函数公式、二倍角公式、辅助角公式化简原式,再根据求最小正周期的公式,即可得到最后结果;(2)根据已知条件,结合函数y=Asin(ωx+φ)的图像与性质,可得函数fx 在区间−π3,π3上的最大值及取得最大值时相应的x值.15.【答案】解:,T=2π2=π,令2x+π6∈π2+2kπ,3π2+2kπ⇒x∈π6+kπ,2π3+kπ,即单减区间为π6+kπ,2π3+kπ,k∈Z;(2)由x∈0,π2⇒t=2x+π6∈π6,7π6,当t=7π6时,fx的最小值为:−2;当t=π2时,fx的最大值为:5.【解析】本题考查三角函数解析式的化简,函数基本性质的求解(周期、单调性、在给定区间的最值),属于中档题(1)根据二倍角公式和辅助角公式化简即可;(2)由x∈0,π2求出2x+π6的范围,再根据函数图像求最值即可得解.。