第二章_热力学第一定律公式总结1
- 格式:ppt
- 大小:230.50 KB
- 文档页数:9
物化期末公式总结一、热力学方面的公式1. 热力学第一定律:ΔU = Q + W这个公式表示了能量的守恒,其中,ΔU是系统内能的变化,Q是系统吸收或释放的热量,W是系统对外界做功。
2. 热力学第二定律:ΔS≥0这个公式表示了熵的增加趋势,系统在无限接近绝对零度时,熵趋于最小。
3. 热力学第三定律:绝对零度熵为0这个公式表示了在绝对零度下,熵为0。
4. 焓的变化:ΔH = ΔU + PΔV这个公式表示了焓的变化,其中,ΔH是焓的变化,ΔU是系统内能的变化,P是压强,ΔV 是体积的变化。
5. 熵的变化:ΔS = Q/T这个公式表示了熵的变化,其中,ΔS是熵的变化,Q是系统吸收或释放的热量,T是温度。
二、化学反应方程的计算1. 物质的量与摩尔质量:物质的量n = m/M其中,n是物质的量,m是物质的质量,M是摩尔质量。
2. 化学反应的平衡常数:Kc = ([C]^c[D]^d) / ([A]^a[B]^b)其中,[C]、[D]、[A]、[B]分别表示化学反应中的物质浓度,a、b、c、d分别表示化学反应中物质的摩尔系数。
3. 反应速率与物质浓度的关系:v = k[A]^a[B]^b其中,v表示反应速率,k表示速率常数,[A]、[B]分别表示反应物质的浓度。
三、电化学方面的公式1. Faraday定律:m = nFz其中,m是电化学反应的产物质量,n是电子数,F是法拉第定数,z是电化学反应的化学当量。
2. 电池方程:Ecell = Ecathode - Eanode这个公式表示了电池的电动势,Ecell是电池的电动势,Ecathode是阴极半反应的标准电势,Eanode是阳极半反应的标准电势。
3. 纳仑方程:Ecell = E°cell - (RT/nF)lnQ这个公式表示了电池的电动势,E°cell是标准电动势,R是理想气体常量,T是温度,n 是电子数,F是法拉第定数,Q是反应物质浓度的比值。
大学热统期末公式总结1. 热力学第一定律:ΔU = Q - W热力学第一定律是能量守恒定律在热力学中的体现,其中ΔU表示系统内能的增量,Q表示热量的增量,W表示外界对系统做功。
2. 热力学第二定律:ΔS = ΔS_hot + ΔS_cold ≥ 0热力学第二定律描述了自然界不可逆现象的基本规律,其中ΔS表示系统和环境总熵的增量,ΔS_hot表示热源(高温热源)的熵增量,ΔS_cold表示冷源(低温热源)的熵增量。
3. 熵的变化:ΔS = Q/T熵是描述系统无序程度的物理量,熵的增加代表系统的混乱度增加。
熵的变化与热量的变化和温度的关系。
4. 热力学温度:1/T = (∂S/∂U)V热力学温度是系统内部能量U对于熵S的变化率的倒数。
5. 热容:C = (∂Q/∂T)V热容是单位质量物质的温度对热量的响应程度,热容的计算需要知道系统的物质量。
6. 工作热力学:W = -∫PdV工作热力学研究外界对系统做功的过程,P是压力,V是体积,W是外界对系统做的机械功。
7. 理想气体状态方程:PV = nRT理想气体状态方程描述了理想气体的压力P、体积V、温度T之间的关系,其中n为气体的物质量,R为气体常数。
8. 绝热过程:PV^γ = 常数绝热过程指没有热量交换的过程,其中γ为气体的绝热指数,对于单原子分子气体,绝热指数γ为5/3,对于双原子分子气体,γ为7/5。
9. 卡诺循环效率:η = 1 - (T_cold/T_hot)卡诺循环是一个完全可逆的循环过程,其效率由冷热源的温度决定,其中T_cold和T_hot分别为冷热源的温度。
10. 热力学势函数:(a) 内能U:体积熵描述的函数。
(b) 焓H:压力熵描述的函数。
(c) 焓:H = U + PV(d) 自由能F:温度熵描述的函数。
(e) Gibbs自由能G:T、P、S的函数。
以上这些公式是热统课程中非常重要且常见的公式,同学们在复习和学习的时候可以结合具体的实例进行理解和应用。
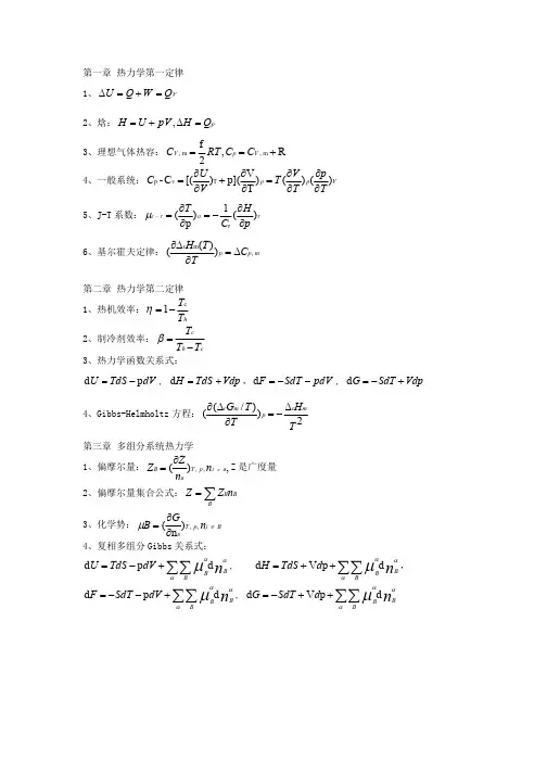
第一章热力学第一定律一、基本概念系统与环境,状态与状态函数,广度性质与强度性质,过程与途径,热与功,内能与焓。
二、基本定律热力学第一定律:ΔU =Q +W 。
焦耳实验:ΔU =f (T ) ; ΔH =f (T ) 三、基本关系式!1、体积功的计算 δW = -p e d V恒外压过程:W = -p e ΔV可逆过程:W =nRT 1221ln lnp p nRT V V2、热效应、焓等容热:Q V =ΔU (封闭系统不作其他功)等压热:Q p =ΔH (封闭系统不作其他功)焓的定义:H =U +pV ;d H =d U +d(pV )焓与温度的关系:ΔH =⎰21d p T T T C]3、等压热容与等容热容热容定义:V V )(T UC ∂∂=;p p )(T H C ∂∂=定压热容与定容热容的关系:nR C C =-V p热容与温度的关系:C p =a +bT +c’T 2四、第一定律的应用1、理想气体状态变化等温过程:ΔU =0 ; ΔH =0 ; W =-Q =⎰-p e d V (等容过程:W =0 ; Q =ΔU =⎰T C d V ; ΔH =⎰TC d p等压过程:W =-p e ΔV ; Q =ΔH =⎰T C d p ; ΔU =⎰T Cd V可逆绝热过程:Q =0 ; 利用p 1V 1γ=p 2V 2γ求出T 2,W =ΔU =⎰T C d V ;ΔH =⎰T C d p不可逆绝热过程:Q =0 ;利用C V (T 2-T 1)=-p e (V 2-V 1)求出T 2,W =ΔU =⎰T C d V ;ΔH =⎰T C d p%2、相变化可逆相变化:ΔH =Q =n Δ_H ;W=-p (V 2-V 1)=-pV g =-nRT ; ΔU =Q +W 3、热化学物质的标准态;热化学方程式;盖斯定律;标准摩尔生成焓。
摩尔反应热的求算:)298,()298(B H H m f B mr θθν∆=∆∑ 反应热与温度的关系—基尔霍夫定律:)(])([,p B C T H m p BB m r ∑=∂∆∂ν。
第二章 热力学第一定律主要公式及使用条件1. 热力学第一定律的数学表示式W Q U +=∆或 'a m b δδδd δd U Q W Q p V W=+=-+ 规定系统吸热为正,放热为负。
系统得功为正,对环境作功为负。
式中 p amb 为环境的压力,W ’为非体积功。
上式适用于封闭体系的一切过程。
2.焓的定义式3. 焓变(1) )(pV U H ∆+∆=∆式中)(pV ∆为pV 乘积的增量,只有在恒压下)()(12V V p pV -=∆在数值上等于体积功。
(2) 2,m 1d p H nC T ∆=⎰ 此式适用于理想气体单纯pVT 变化的一切过程,或真实气体的恒压变温过程,或纯的液体、固体物质压力变化不大的变温过程。
4.热力学能(又称内能)变 此式适用于理想气体单纯pVT 变化的一切过程。
5. 恒容热和恒压热V Q U =∆ (d 0,'0V W == p Q H =∆ (d 0,'0)p W ==6. 热容的定义式(1)定压热容和定容热容pVU H +=2,m 1d V U nC T ∆=⎰δ/d (/)p p p C Q T H T ==∂∂δ/d (/)V V V C Q T U T ==∂∂(2)摩尔定压热容和摩尔定容热容,m m /(/)p p p C C n H T ==∂∂,m m /(/)V V V C C n U T ==∂∂上式分别适用于无相变变化、无化学变化、非体积功为零的恒压和恒容过程。
(3)质量定压热容(比定压热容)式中m 和M 分别为物质的质量和摩尔质量。
(4) ,m ,m p V C C R -=此式只适用于理想气体。
(5)摩尔定压热容与温度的关系23,m p C a bT cT dT =+++式中a , b , c 及d 对指定气体皆为常数。
(6)平均摩尔定压热容21,m ,m 21d /()Tp p T C T T T C =-⎰7. 摩尔蒸发焓与温度的关系21vap m 2vap m 1vap ,m ()()d T p T H T H T C T ∆=∆+∆⎰ 或 v a p m v a p (/)p p H T C ∂∆∂=∆式中 vap ,m p C ∆ = ,m p C (g) —,m p C (l),上式适用于恒压蒸发过程。
第二章 热力学第一定律主要公式及使用条件1. 1. 热力学第一定律的数学表示式W Q U +=Δ或'amb δδδd δdU Q W Q p V W =+=−+规定系统吸热为正,放热为负。
系统得功为正,对环境作功为负。
式中 p amb 为环境的压力,W ’为非体积功。
上式适用于封闭体系的一切过程。
2. 2. 焓的定义式pVU H +=3. 3. 焓变(1) )(pV U H Δ+Δ=Δ式中为乘积的增量,只有在恒压下)(pV ΔpV )()(12V V p pV −=Δ在数值上等于体积功。
(2) 2,m 1d p H nC Δ=∫T 此式适用于理想气体单纯pVT 变化的一切过程,或真实气体的恒压变温过程,或纯的液体、固体物质压力变化不大的变温过程。
4. 4. 热力学能(又称内能)变此式适用于理想气体单纯pVT 变化的一切过程。
2,m 1d V U nC Δ=∫T5. 5. 恒容热和恒压热(d V Q U =Δ0,'0)V W ==p Q H =Δ(d 0,'0)p W ==6. 6. 热容的定义式(1)定压热容和定容热容δ/d (/)p p C Q T H T p ==∂∂δ/d (/)V V C Q T U T ==∂∂V p V R 3(2)摩尔定压热容和摩尔定容热容,m m /(/)p p C C n H T ==∂∂,m m /(/)V V C C n U T ==∂∂上式分别适用于无相变变化、无化学变化、非体积功为零的恒压和恒容过程。
(3)质量定压热容(比定压热容),m //p p p c C m C M==式中m 和M 分别为物质的质量和摩尔质量。
(4),m ,m p V C C −=此式只适用于理想气体。
(5)摩尔定压热容与温度的关系2,m p C a bT cT dT =+++式中a , b , c 及d 对指定气体皆为常数。
(6)平均摩尔定压热容21,m ,m 21d /()T p p T C T T T C =−∫7. 7. 摩尔蒸发焓与温度的关系21v ap m 2vap m 1v ap ,m ()()d T p T H T H T C T Δ=Δ+Δ∫或 vap m vap ,m (/)p p H T ∂Δ∂=ΔC d amb ∑−=−−=−−=式中 = C (g) —C (l),上式适用于恒压蒸发过程。
热一定律总结一、 通用公式ΔU = Q + W绝热: Q = 0,ΔU = W 恒容W ’=0:W = 0,ΔU = Q V恒压W ’=0:W =-p ΔV =-ΔpV ,ΔU = Q -ΔpV ΔH = Q p 恒容+绝热W ’=0 :ΔU = 0 恒压+绝热W ’=0 :ΔH = 0焓的定义式:H = U + pV ΔH = ΔU + ΔpV典型例题:思考题第3题,第4题;二、 理想气体的单纯pVT 变化恒温:ΔU = ΔH = 0变温: 或或如恒容,ΔU = Q ,否则不一定相等;如恒压,ΔH = Q ,否则不一定相等;C p , m – C V , m = R双原子理想气体:C p , m = 7R /2, C V , m = 5R /2 单原子理想气体:C p , m = 5R /2, C V , m = 3R /2典型例题:思考题第2,3,4题书、三、 凝聚态物质的ΔU 和ΔH 只和温度有关或 典型例题:书四、可逆相变一定温度T 和对应的p 下的相变,是恒压过程ΔU ≈ ΔH –ΔnRTΔn :气体摩尔数的变化量;如凝聚态物质之间相变,如熔化、凝固、转晶等,则Δn = 0,ΔU ≈ ΔH ;ΔU = n C V, m d T T 2T1 ∫ ΔH = n C p, md T T2 T1∫ ΔU = nC V, m T 2-T 1 ΔH = nC p, m T 2-T 1ΔU ≈ ΔH = n C p, m d TT 2T 1∫ΔU ≈ ΔH = nC p, m T 2-T 1ΔH = Q p = n Δ H m α βkPa 及其对应温度下的相变可以查表; 其它温度下的相变要设计状态函数不管是理想气体或凝聚态物质,ΔH 1和ΔH 3均仅为温度的函数,可以直接用C p,m 计算;或典型例题:作业题第3题 五、化学反应焓的计算其他温度:状态函数法ΔU 和ΔH 的关系:ΔU = ΔH –ΔnRT Δn :气体摩尔数的变化量;典型例题:思考题第2题典型例题:见本总结“十、状态函数法;典型例题第3题” 六、体积功的计算通式:δW = -p amb ·d V恒外压:W = -p amb ·V 2-V 1Δ H m T = ΔH 1 +Δ H m T 0 + ΔH 3α ββα Δ H m TαβΔH 1ΔH 3Δ H m T 0α β可逆相变K:ΔH = nC p, m T 2-T 1ΔH = n C p, m d T T 2T1∫恒温可逆可逆说明p amb = p :W = nRT ·ln p 2/p 1 = -nRT ·ln V 2/V 1 绝热可逆:pV γ= 常数γ = C p , m /C V , m ; 利用此式求出末态温度T 2,则W =ΔU = nC V , m T 2 – T 1或:W = p 2V 2 – p 1V 1/ γ–1典型例题: 书,作业第1题 七、p -V 图斜率大小:绝热可逆线 > 恒温线 典型例题:如图,A→B 和A→C 均为理想气体变化过程,若 B 、C 在同一条绝热线上,那么U AB 与U AC 的关系是: A U AB > U AC ; B U AB < U AC ; C U AB =U AC ; D 无法比较两者大小;八、可逆过程可逆膨胀,系统对环境做最大功因为膨胀意味着p amb ≤ p ,可逆时p amb 取到最大值p ;可逆压缩,环境对系统做最小功; 典型例题:1 mol 理想气体等温313 K 膨胀过程中从热源吸热600 J,所做的功仅是变到相同终态时最大功的1/10,则气体膨胀至终态时,体积是原来的___倍;九、求火焰最高温度: Q p = 0, ΔH = 0求爆炸最高温度、最高压力:Q V = 0, W = 0 ΔU = 0 典型例题:见本总结“十、状态函数法;典型例题第3题” 十、状态函数法重要设计途径计算系统由始态到终态,状态函数的变化量; 典型例题:1、 将及Θ的水汽100 dm 3,可逆恒温压缩到10 dm 3,试计算此过程的W,Q 和ΔU ;2、 1mol 理想气体由2atm 、10L 时恒容升温,使压力到20 atm;再恒压压缩至体积为1L;求整个过程的W 、Q 、ΔU 和ΔH ;3、 298K 时,1 mol H 2g 在10 mol O 2g 中燃烧H 2g + 10O 2g = H 2Og + g恒容过程恒压过程p 恒温过程绝热可逆过程p V已知水蒸气的生成热Δr H m H2O, g = kJ·mol-1, C p,m H2 = C p,m O2 = J·K-1·mol-1,C p,m H2O = J·K-1·mol-1.a)求298 K时燃烧反应的Δc U m;b)求498 K时燃烧反应的Δc H m;c)若反应起始温度为298 K,求在一个密封氧弹中绝热爆炸的最高温度;十、了解节流膨胀的过程并了解节流膨胀是绝热、恒焓过程典型例题:1、理想气体经过节流膨胀后,热力学能____升高,降低,不变2、非理想气体的节流膨胀过程中,下列哪一种描述是正确的:A Q = 0,H = 0,p < 0 ;B Q = 0,H < 0,p < 0 ;C Q > 0,H = 0,p < 0 ;D Q < 0,H = 0,p < 0 ;十一、其他重要概念如系统与环境,状态函数,平衡态,生成焓,燃烧焓,可逆过程等,无法一一列举典型例题:1、书2、体系内热力学能变化为零的过程有:A 等温等压下的可逆相变过程B 理想气体的绝热膨胀过程C 不同理想气体在等温等压下的混合过程D 恒容绝热体系的任何过程十二、本章重要英语单词system 系统surroundings 环境state function 状态函数equilibrium 平衡态open/closed/isolated system 开放/封闭/隔离系统work 功heat 热energy 能量expansion/non-expansion work 体积功/非体积功free expansion 自由膨胀vacuum 真空thermodynamic energy/internal energy 热力学/内能perpetual motion machine 永动机The First Law of Thermodynamics热力学第一定律heat supplied at constant volume/pressure 恒容热/恒压热adiabatic 绝热的diathermic 导热的exothermic/endothermic 放热的/吸热的isothermal 等温的isobaric 等压的heat capacity 热容heat capacity at constant volume/pressure 定容热容/定压热容enthalpy 焓condensed matter 凝聚态物质phase change 相变sublimation 升华vaporization 蒸发fusion 熔化reaction/formation/combustion enthalpy反应焓/生成焓/燃烧焓extent of reaction 反应进度Kirchhoff’s Law 基希霍夫公式reversible process 可逆过程Joule-Thomson expansion 焦耳-汤姆逊膨胀/节流膨胀isenthalpic 恒焓的。
第一章 热力学第一定律一、基本概念系统与环境,状态与状态函数,广度性质与强度性质,过程与途径,热与功,内能与焓。
二、基本定律热力学第一定律:ΔU =Q +W 。
焦耳实验:ΔU =f (T ) ; ΔH =f (T )三、基本关系式1、体积功的计算 δW = -p e d V恒外压过程:W = -p e ΔV可逆过程: W =nRT 1221ln ln p p nRT V V =2、热效应、焓等容热:Q V =ΔU (封闭系统不作其他功)等压热:Q p =ΔH (封闭系统不作其他功)焓的定义:H =U +pV ; d H =d U +d(pV )焓与温度的关系:ΔH =⎰21d p T T T C3、等压热容与等容热容 热容定义:V V )(T U C ∂∂=;p p )(T H C ∂∂=定压热容与定容热容的关系:nR C C =-V p热容与温度的关系:C p =a +bT +c’T 2四、第一定律的应用1、理想气体状态变化等温过程:ΔU =0 ; ΔH =0 ; W =-Q =⎰-p e d V 等容过程:W =0 ; Q =ΔU =⎰T C d V ; ΔH =⎰T C d p 等压过程:W =-p e ΔV ; Q =ΔH =⎰T C d p ; ΔU =⎰T C d V可逆绝热过程:Q =0 ; 利用p 1V 1γ=p 2V 2γ求出T 2,W =ΔU =⎰T C d V ;ΔH =⎰T C d p不可逆绝热过程:Q =0 ;利用C V (T 2-T 1)=-p e (V 2-V 1)求出T 2,W =ΔU =⎰T C d V ;ΔH =⎰T C d p2、相变化可逆相变化:ΔH =Q =n Δ_H ;W=-p (V 2-V 1)=-pV g =-nRT ; ΔU =Q +W3、热化学物质的标准态;热化学方程式;盖斯定律;标准摩尔生成焓。
摩尔反应热的求算:)298,()298(B H H m f B mr θθν∆=∆∑ 反应热与温度的关系—基尔霍夫定律:)(])([,p B C T H m p BB m r ∑=∂∆∂ν。
第一章热力学第一定律一、基本概念系统与环境,状态与状态函数,广度性质与强度性质,过程与途径,热与功,内能与焓。
二、基本定律热力学第一定律:U=Q+W。
焦耳实验:U=f(T) ; H=f(T)三、基本关系式1、体积功的计算δW=-p e dV恒外压过程: W= - p e VV1p2可逆过程: W=nRT ln V nRT ln p212、热效应、焓等容热: Q V = U(封闭系统不作其他功)等压热: Q p = H(封闭系统不作其他功)焓的定义:H=U+pV;dH=dU+d(pV)T2焓与温度的关系: H= TC p dT13、等压热容与等容热容热容定义:C V(UT) V;C p(HT) p定压热容与定容热容的关系:C p C VnR热容与温度的关系:2C p =a+bT+c ’T四、第一定律的应用1、理想气体状态变化等温过程:U=0 ; H=0 ; W=- Q=p e dV等容过程: W=0 ; Q= U= C VdT; H= C pdT等 压 过 程 : W= - p e V ; Q= H=C pdT;U= C VdT可逆绝热过程:γ γQ=0 ; 利用 p 1V 1 =p 2V 2 求出 T 2,W= U= C V dT; H=C p dT不可逆绝热过程: Q=0 ;利用 C V (T 2-T 1)=- p e (V 2-V 1)求出 T 2,W= U=C VdT; H=C pdT2、相变化可逆相变化:H=Q=n _ H ;W=- p(V 2-V 1)=- pV g =-nRT ; U=Q+W3、热化学物质的标准态;热化学方程式;盖斯定律;标准摩尔生成焓。
摩尔反应热的求算:r H m (298) B f H m (B,298)反应热与温度的关系 —基尔霍夫定律:[( rH m )]pB C p ,m( B)。
TB第二章 热力学第二定律一、基本概念自发过程与非自发过程二、热力学第二定律1、热力学第二定律的经典表述克劳修斯, 开尔文,奥斯瓦尔德。
第一章 热力学第一定律一、基本概念系统与环境,状态与状态函数,广度性质与强度性质,过程与途径,热与功,内能与焓。
二、基本定律热力学第一定律:ΔU =Q +W 。
焦耳实验:ΔU =f (T ) ; ΔH =f (T )三、基本关系式1、体积功的计算 δW = -p e d V恒外压过程:W = -p e ΔV可逆过程: W =nRT 1221ln ln p p nRT V V =2、热效应、焓等容热:Q V =ΔU (封闭系统不作其他功)等压热:Q p =ΔH (封闭系统不作其他功)焓的定义:H =U +pV ; d H =d U +d(pV )焓与温度的关系:ΔH =⎰21d p T T T C3、等压热容与等容热容 热容定义:V V )(T U C ∂∂=;p p )(T HC ∂∂=定压热容与定容热容的关系:nR C C =-V p热容与温度的关系:C p =a +bT +c’T 2四、第一定律的应用1、理想气体状态变化等温过程:ΔU =0 ; ΔH =0 ; W =-Q =⎰-p e d V 等容过程:W =0 ; Q =ΔU =⎰T C d V ; ΔH =⎰T C d p 等压过程:W =-p e ΔV ; Q =ΔH =⎰T C d p; ΔU =⎰T C d V可逆绝热过程:Q =0 ; 利用p 1V 1γ=p 2V 2γ求出T 2,W =ΔU =⎰T C d V ;ΔH =⎰T C d p不可逆绝热过程:Q =0 ;利用C V (T 2-T 1)=-p e (V 2-V 1)求出T 2,W =ΔU =⎰T C d V ;ΔH =⎰T C d p2、相变化可逆相变化:ΔH =Q =n Δ_H ;W=-p (V 2-V 1)=-pV g =-nRT ; ΔU =Q +W3、热化学物质的标准态;热化学方程式;盖斯定律;标准摩尔生成焓。
摩尔反应热的求算:)298,()298(B H H m f B mr θθν∆=∆∑ 反应热与温度的关系—基尔霍夫定律:)(])([,p B C T H m p BB m r ∑=∂∆∂ν。
第一章 热力学第一定律一、基本概念系统与环境,状态与状态函数,广度性质与强度性质,过程与途径,热与功,内能与焓。
二、基本定律热力学第一定律:ΔU =Q +W 。
焦耳实验:ΔU =f (T ) ; ΔH =f (T ) 三、基本关系式1、体积功的计算 δW = -p e d V恒外压过程:W = -p e ΔV可逆过程: W =nRT 1221ln ln p p nRT V V =2、热效应、焓等容热:Q V =ΔU (封闭系统不作其他功) 等压热:Q p =ΔH (封闭系统不作其他功) 焓的定义:H =U +pV ; d H =d U +d(pV ) 焓与温度的关系:ΔH =⎰21d p T T TC 3、等压热容与等容热容热容定义:V V )(TUC ∂∂=;p p )(T H C ∂∂=定压热容与定容热容的关系:nR C C =-V p热容与温度的关系:C p =a +bT +c’T 2四、第一定律的应用1、理想气体状态变化等温过程:ΔU =0 ; ΔH =0 ; W =-Q =⎰-p e d V 等容过程:W =0 ; Q =ΔU =⎰T Cd V; ΔH =⎰T C d p等压过程:W =-p e ΔV ; Q =ΔH =⎰T C d p; ΔU =⎰T C d V可逆绝热过程:Q =0 ; 利用p 1V 1γ=p 2V 2γ求出T 2, W =ΔU =⎰T Cd V;ΔH =⎰TC d p不可逆绝热过程:Q =0 ;利用C V (T 2-T 1)=-p e (V 2-V 1)求出T 2,W =ΔU =⎰T Cd V;ΔH =⎰T C d p2、相变化可逆相变化:ΔH =Q =n Δ_H ;W=-p (V 2-V 1)=-pV g =-nRT ; ΔU =Q +W 3、热化学物质的标准态;热化学方程式;盖斯定律;标准摩尔生成焓。
摩尔反应热的求算:)298,()298(B H H m f B m r θθν∆=∆∑反应热与温度的关系—基尔霍夫定律:)(])([,p B C T H m p BB m r ∑=∂∆∂ν。
第二章 热力学第一定律主要公式及使用条件1. 热力学第一定律的数学表示式W Q U +=∆或 'amb δδδd δdU Q W Q p V W =+=-+规定系统吸热为正,放热为负。
系统得功为正,对环境作功为负。
式中 p amb 为环境的压力,W ’为非体积功。
上式适用于封闭体系的一切过程。
2.焓的定义式3. 焓变(1) )(pV U H ∆+∆=∆式中)(pV ∆为pV 乘积的增量,只有在恒压下)()(12V V p pV -=∆在数值上等于体积功。
(2) 2,m 1d p H nC T ∆=⎰ 此式适用于理想气体单纯pVT 变化的一切过程,或真实气体的恒压变温过程,或纯的液体、固体物质压力变化不大的变温过程。
4.热力学能(又称内能)变 此式适用于理想气体单纯pVT 变化的一切过程。
5. 恒容热和恒压热V Q U =∆ (d 0,'0)V W ==p Q H =∆ (d 0,'0)p W ==6. 热容的定义式(1)定压热容和定容热容pV U H +=2,m 1d V U nC T ∆=⎰δ/d (/)p p p C Q T H T ==∂∂δ/d (/)V V V C Q T U T ==∂∂(2)摩尔定压热容和摩尔定容热容,m m /(/)p p p C C n H T ==∂∂,m m /(/)V V V C C n U T ==∂∂上式分别适用于无相变变化、无化学变化、非体积功为零的恒压和恒容过程。
(3)质量定压热容(比定压热容)式中m 和M 分别为物质的质量和摩尔质量。
(4) ,m ,m p V C C R -=此式只适用于理想气体。
(5)摩尔定压热容与温度的关系23,m p C a bT cT dT =+++式中a , b , c 及d 对指定气体皆为常数。
(6)平均摩尔定压热容21,m ,m 21d /()Tp p T C T T T C =-⎰7. 摩尔蒸发焓与温度的关系21vap m 2vap m 1vap ,m ()()d T p T H T H T C T ∆=∆+∆⎰ 或 vap m vap ,m (/)p p H T C ∂∆∂=∆式中 vap ,m p C ∆ = ,m p C (g) —,m p C (l),上式适用于恒压蒸发过程。
第一章热力学第一定律一、基本概念系统与环境,状态与状态函数,广度性质与强度性质,过程与途径,热与功,内能与焓。
二、基本定律热力学第一定律:ΔU=Q+W。
焦耳实验:ΔU=f(T); ΔH=f(T)三、基本关系式1、体积功的计算δW= -p e d V恒外压过程:W= -p eΔV可逆过程:W=nRT2、热效应、焓等容热:Q V=ΔU(封闭系统不作其他功)等压热:Q p=ΔH(封闭系统不作其他功)焓的定义:H=U+pV; d H=d U+d (pV)焓与温度的关系:ΔH=3、等压热容与等容热容热容定义:;定压热容与定容热容的关系:热容与温度的关系:C p=a+bT+c’T2四、第一定律的应用1、理想气体状态变化等温过程:ΔU=0 ; ΔH=0 ;W=-Q=p e d V 等容过程:W=0 ; Q=ΔU= ;ΔH=等压过程:W=-p eΔV ; Q=ΔH= ;ΔU=可逆绝热过程:Q=0 ; 利用p1V1γ=p2V2γ求出T2,W=ΔU=;ΔH=不可逆绝热过程:Q=0 ;利用C V(T2-T1)=-p e(V2—V1)求出T2,W=ΔU=;ΔH=2、相变化可逆相变化:ΔH=Q=nΔ_H;W=-p(V2—V1)=-pV g=-nRT; ΔU=Q+W3、热化学物质的标准态;热化学方程式;盖斯定律;标准摩尔生成焓。
摩尔反应热的求算:反应热与温度的关系—基尔霍夫定律:。
第二章热力学第二定律一、基本概念自发过程与非自发过程二、热力学第二定律1、热力学第二定律的经典表述克劳修斯,开尔文,奥斯瓦尔德。
实质:热功转换的不可逆性。
2、热力学第二定律的数学表达式(克劳修斯不等式)“=”可逆;“>”不可逆三、熵1、熵的导出:卡若循环与卡诺定理2、熵的定义:3、熵的物理意义:系统混乱度的量度。
4、绝对熵:热力学第三定律5、熵变的计算(1)理想气体等温过程:(2)理想气体等压过程:(3)理想气体等容过程:(4)理想气体pTV都改变的过程:(5)可逆相变化过程:(6)化学反应过程:四、赫姆霍兹函数和吉布斯函数1、定义:A=U—TS;G=H—TS等温变化:ΔA=ΔU-TΔS;ΔG=ΔH-TΔS2、应用:不做其他功时,ΔA T,V≤0 ;自发、平衡ΔG T,V≤0 ;自发、平衡3、热力学基本关系式d A=—S d T—V d p;d G=—S d T+p d V4、ΔA和ΔG的求算(1)理想气体等温过程用公式:ΔA=ΔU-TΔS;ΔG=ΔH—TΔS用基本关系式:d A=-S d T-V d p;d G=-S d T+p d V(2)可逆相变过程ΔA=ΔU—TΔS=W=-nRT;ΔG=0 (3)化学反应过程的ΔG标准熵法:ΔG=ΔH-TΔS标准生成吉布斯函数法:(4)ΔG与温度的关系ΔG=ΔH-TΔS ,设ΔH、ΔS不遂温度变化。
第一章热力学第一定律一、基本概念系统与环境,状态与状态函数,广度性质与强度性质,过程与途径,热与功,内能与焓。
二、基本定律热力学第一定律:ΔU=Q+W.焦耳实验:ΔU=f(T);ΔH=f(T)三、基本关系式1、体积功的计算δW= -p e d V恒外压过程:W= -p eΔV可逆过程:W=nRT2、热效应、焓等容热:Q V=ΔU(封闭系统不作其他功)等压热:Q p=ΔH(封闭系统不作其他功)焓的定义:H=U+pV; d H=d U+d (pV)焓与温度的关系:ΔH=3、等压热容与等容热容热容定义:;定压热容与定容热容的关系:热容与温度的关系:C p=a+bT+c'T2四、第一定律的应用1、理想气体状态变化等温过程:ΔU=0 ;ΔH=0 ;W=-Q=p e d V 等容过程:W=0 ; Q=ΔU= ;ΔH=等压过程:W=-p eΔV ; Q=ΔH= ;ΔU=可逆绝热过程:Q=0 ; 利用p1V1γ=p2V2γ求出T2,W=ΔU=;ΔH=不可逆绝热过程:Q=0 ;利用C V(T2-T1)=-p e(V2-V1)求出T2,W=ΔU=;ΔH=2、相变化可逆相变化:ΔH=Q=nΔ_H;W=-p(V2-V1)=-pV g=-nRT; ΔU=Q+W3、热化学物质的标准态;热化学方程式;盖斯定律;标准摩尔生成焓。
摩尔反应热的求算:反应热与温度的关系—基尔霍夫定律:。
第二章热力学第二定律一、基本概念自发过程与非自发过程二、热力学第二定律1、热力学第二定律的经典表述克劳修斯,开尔文,奥斯瓦尔德。
实质:热功转换的不可逆性。
2、热力学第二定律的数学表达式(克劳修斯不等式)“="可逆;“>”不可逆三、熵1、熵的导出:卡若循环与卡诺定理2、熵的定义:3、熵的物理意义:系统混乱度的量度。
4、绝对熵:热力学第三定律5、熵变的计算(1)理想气体等温过程:(2)理想气体等压过程:(3)理想气体等容过程:(4)理想气体pTV都改变的过程:(5)可逆相变化过程:(6)化学反应过程:四、赫姆霍兹函数和吉布斯函数1、定义:A=U—TS;G=H—TS等温变化:ΔA=ΔU—TΔS;ΔG=ΔH—TΔS2、应用:不做其他功时,ΔA T,V≤0 ;自发、平衡ΔG T,V≤0 ;自发、平衡3、热力学基本关系式d A=—S d T—V d p;d G=—S d T+p d V4、ΔA和ΔG的求算(1)理想气体等温过程用公式:ΔA=ΔU-TΔS;ΔG=ΔH-TΔS用基本关系式:d A=—S d T—V d p;d G=—S d T+p d V(2)可逆相变过程ΔA=ΔU-TΔS=W=—nRT;ΔG=0 (3)化学反应过程的ΔG标准熵法:ΔG=ΔH—TΔS标准生成吉布斯函数法:(4)ΔG与温度的关系ΔG=ΔH-TΔS ,设ΔH、ΔS不遂温度变化。