数学课程三角函数公式练习题及答案
- 格式:docx
- 大小:37.09 KB
- 文档页数:3
【新教材】人教统编版高中数学A版必修第一册第五章教案教学设计+课后练习及答案5.1.1《任意角和弧度制---任意角》教案教材分析:学生在初中学习了o 0~o 360,但是现实生活中随处可见超出o 0~o 360范围的角.例如体操中有“前空翻转体o 540”,且主动轮和被动轮的旋转方向不一致.因此为了准确描述这些现象,本节课主要就旋转度数和旋转方向对角的概念进行推广.教学目标与核心素养:课程目标1.了解任意角的概念.2.理解象限角的概念及终边相同的角的含义.3.掌握判断象限角及表示终边相同的角的方法.数学学科素养1.数学抽象:理解任意角的概念,能区分各类角;2.逻辑推理:求区域角;3.数学运算:会判断象限角及终边相同的角.教学重难点:重点:理解象限角的概念及终边相同的角的含义;难点:掌握判断象限角及表示终边相同的角的方法.课前准备:多媒体教学方法:以学生为主体,采用诱思探究式教学,精讲多练。
教学工具:多媒体。
教学过程:一、情景导入初中对角的定义是:射线OA 绕端点O 按逆时针方向旋转一周回到起始位置,在这个过程中可以得到o 0~o 360范围内的角.但是现实生活中随处可见超出o 0~o 360范围的角.例如体操中有“前空翻转体o 540”,且主动轮和被动轮的旋转方向不一致.请学生思考,如何定义角才能解决这些问题呢?要求:让学生自由发言,教师不做判断。
而是引导学生进一步观察.研探.二、预习课本,引入新课阅读课本168-170页,思考并完成以下问题1.角的概念推广后,分类的标准是什么?2.如何判断角所在的象限?3.终边相同的角一定相等吗?如何表示终边相同的角?要求:学生独立完成,以小组为单位,组内可商量,最终选出代表回答问题。
三、新知探究1.任意角(1)角的概念角可以看成平面内一条射线绕着端点从一个位置旋转到另一个位置所成的图形.(2)角的表示如图,OA是角α的始边,OB是角α的终边,O是角的顶点.角α可记为“角α”或“∠α”或简记为“α”.(3)角的分类按旋转方向,角可以分为三类:名称定义图示正角按逆时针方向旋转形成的角负角按顺时针方向旋转形成的角零角一条射线没有作任何旋转形成的角2.象限角在平面直角坐标系中,若角的顶点与原点重合,角的始边与 x轴的非负半轴重合,那么,角的终边在第几象限,就说这个角是第几象限角;如果角的终边在坐标轴上,就认为这个角不属于任何一个象限.3.终边相同的角所有与角α终边相同的角,连同角α在内,可构成一个集合S={β|β=α+k·360°,k∈Z},即任一与角α终边相同的角,都可以表示成角α与整数个周角的和.四、典例分析、举一反三题型一任意角和象限角的概念例1(1)给出下列说法:①锐角都是第一象限角;②第一象限角一定不是负角;③小于180°的角是钝角、直角或锐角;④始边和终边重合的角是零角.其中正确说法的序号为________(把正确说法的序号都写上).(2)已知角的顶点与坐标原点重合,始边与x轴的非负半轴重合,作出下列各角,并指出它们是第几象限角.①420°,②855°,③-510°.【答案】(1)①(2)图略,①420°是第一象限角.②855°是第二象限角.③-510°是第三象限角.【解析】(1)①锐角是大于0°且小于90°的角,终边落在第一象限,是第一象限角,所以①正确;②-350°角是第一象限角,但它是负角,所以②错误;③0°角是小于180°的角,但它既不是钝角,也不是直角或锐角,所以③错误;④360°角的始边与终边重合,但它不是零角,所以④错误.(2) 作出各角的终边,如图所示:由图可知:①420°是第一象限角.②855°是第二象限角.③-510°是第三象限角.解题技巧:(任意角和象限角的表示)1.判断角的概念问题的关键与技巧.(1)关键:正确的理解角的有关概念,如锐角、平角等;(2)技巧:注意“旋转方向决定角的正负,旋转幅度决定角的绝对值大小.2.象限角的判定方法.(1)图示法:在坐标系中画出相应的角,观察终边的位置,确定象限.(2)利用终边相同的角:第一步,将α写成α=k·360°+β(k∈Z,0°≤β<360°)的形式;第二步,判断β的终边所在的象限;第三步,根据β的终边所在的象限,即可确定α的终边所在的象限.跟踪训练一1.已知集合A={第一象限角},B={锐角},C={小于90°的角},则下面关系正确的是( )A.A=B=C B.A⊆CC.A∩C=B D.B∪C⊆C【答案】D【解析】由已知得B C,所以B∪C⊆C,故D正确.2.给出下列四个命题:①-75°是第四象限角;②225°是第三象限角;③475°是第二象限角;④-315°是第一象限角.其中正确的命题有( )A.1个 B.2个 C.3个 D.4个【答案】D【解析】-90°<-75°<0°,180°<225°<270°,360°+90°<475°<360°+180°,-315°=-360°+45°且0°<45°<90°.所以这四个命题都是正确的.题型二终边相同的角的表示及应用例2(1)将-885°化为k·360°+α(0°≤α<360°,k∈Z)的形式是________.(2)写出与α=-910°终边相同的角的集合,并把集合中适合不等式-720°<β<360°的元素β写出来.【答案】(1)(-3)×360°+195°,(2)终边相同的角的集合为{β|β=k·360°-910°,k∈Z},适合不等式-720°<β<360°的元素-550°、-190°、170°.【解析】(1)-885°=-1 080°+195°=(-3)×360°+195°.(2)与α=-910°终边相同的角的集合为{β|β=k·360°-910°,k∈Z},∵-720°<β<360°,即-720°<k·360°-910°<360°,k∈Z,∴k取1,2,3.当k=1时,β=360°-910°=-550°;当k=2时,β=2×360°-910°=-190°;当k=3时,β=3×360°-910°=170°.解题技巧:(终边相同的角的表示)1.在0°到360°范围内找与给定角终边相同的角的方法(1)一般地,可以将所给的角α化成k·360°+β的形式(其中0°≤β<360°,k∈Z),其中β就是所求的角.(2)如果所给的角的绝对值不是很大,可以通过如下方法完成:当所给角是负角时,采用连续加360°的方式;当所给角是正角时,采用连续减360°的方式,直到所得结果达到所求为止.2.运用终边相同的角的注意点所有与角α终边相同的角,连同角α在内可以用式子k·360°+α,k∈Z表示,在运用时需注意以下四点:(1)k是整数,这个条件不能漏掉.(2)α是任意角.(3)k·360°与α之间用“+”连接,如k·360°-30°应看成k·360°+(-30°),k∈Z.(4)终边相同的角不一定相等,但相等的角终边一定相同,终边相同的角有无数个,它们相差周角的整数倍.跟踪训练二1.下面与-850°12′终边相同的角是( )A .230°12′B .229°48′C .129°48′D .130°12′【答案】B【解析】与-850°12′终边相同的角可表示为α=-850°12′+k ·360°(k ∈Z),当k =3时,α=-850°12′+1 080°=229°48′.2.写出角α的终边落在第二、四象限角平分线上的角的集合为________.【答案】{α|α=k ·180°+135°,k ∈Z}.【解析】落在第二象限时,表示为k ·360°+135°.落在第四象限时,表示为k ·360°+180°+135°,故可合并为{α|α=k ·180°+135°,k ∈Z}. 题型三 任意角终边位置的确定和表示例3 (1)若α是第一象限角,则α2是( )A .第一象限角B .第一、三象限角C .第二象限角D .第二、四象限角(2)已知,如图所示.①分别写出终边落在OA ,OB 位置上的角的集合;②写出终边落在阴影部分(包括边界)的角的集合.【答案】(1)B (2) ①终边落在OA 位置上的角的集合为{α|α=135°+k ·360°,k ∈Z};终边落在OB 位置上的角的集合为{β|β=-30°+k ·360°,k ∈Z}.②故该区域可表示为{γ|-30°+k ·360°≤γ≤135°+k ·360°,k ∈Z}.【解析】(1) 因为α是第一象限角,所以k ·360°<α<k ·360°+90°,k ∈Z ,所以k ·180°<α2<k ·180°+45°,k ∈Z ,当k 为偶数时,α2为第一象限角;当k 为奇数时,α2为第三象限角.所以α2是第一、三象限角.(2) ①终边落在OA位置上的角的集合为{α|α=90°+45°+k·360°,k∈Z}={α|α=135°+k·360°,k∈Z};终边落在OB位置上的角的集合为{β|β=-30°+k·360°,k∈Z}.②由题干图可知,阴影部分(包括边界)的角的集合是由所有介于[-30°,135°]之间的与之终边相同的角组成的集合,故该区域可表示为{γ|-30°+k·360°≤γ≤135°+k·360°,k∈Z}.解题技巧:(任意角终边位置的确定和表示)1.表示区间角的三个步骤:第一步:先按逆时针的方向找到区域的起始和终止边界;第二步:按由小到大分别标出起始和终止边界对应的-360°~360°范围内的角α和β,写出最简区间{x|α<x<β},其中β-α<360°;第三步:起始、终止边界对应角α,β再加上360°的整数倍,即得区间角集合.提醒:表示区间角时要注意实线边界与虚线边界的差异.2.nα或所在象限的判断方法:的范围;(1)用不等式表示出角nα或αn所在象限.(2)用旋转的观点确定角nα或αn跟踪训练三1.如图所示的图形,那么终边落在阴影部分的角的集合如何表示?【答案】角β的取值集合为{β|n·180°+60°≤β<n·180°+105°,n∈Z}.【解析】在0°~360°范围内,终边落在阴影部分(包括边界)的角为60°≤β<105°与240°≤β<285°,所以所有满足题意的角β为{β|k·360°+60°≤β<k·360°+105°,k∈Z}∪{β|k·360°+240°≤β<k·360°+285°,k∈Z}={β|2k·180°+60°≤β<2k·180°+105°,k∈Z}∪{β|(2k+1)·180°+60°≤β<(2k+1)·180°+105°,k∈Z}={β|n·180°+60°≤β<n·180°+105°,n∈Z}.故角β的取值集合为{β|n·180°+60°≤β<n·180°+105°,n∈Z}.五、课堂小结让学生总结本节课所学主要知识及解题技巧六、板书设计七、作业课本171页练习及175页习题5.1 1、2、7题.教学反思:本节课主要采用讲练结合与分组探究的教学方法,让学生从旋转方向和旋转度数熟悉角的概念,象限角,终边相同的角等,并且掌握其应用.5.1.2《任意角和弧度制---弧度制》教案教材分析:前一节已经学习了任意角的概念,而本节课主要依托圆心角这个情境学习一种用长度度量角的方法—弧度制,从而将角与实数建立一一对应关系,为学习本章的核心内容—三角函数扫平障碍,打下基础.教学目标与核心素养:课程目标1.了解弧度制,明确1弧度的含义.2.能进行弧度与角度的互化.3.掌握用弧度制表示扇形的弧长公式和面积公式.数学学科素养1.数学抽象:理解弧度制的概念;2.逻辑推理:用弧度制表示角的集合;3.直观想象:区域角的表示;4.数学运算:运用已知条件处理扇形有关问题.教学重难点:重点:弧度制的概念与弧度制与角度制的转化;难点:弧度制概念的理解.课前准备:多媒体教学方法:以学生为主体,采用诱思探究式教学,精讲多练。
最新初中数学锐角三角函数的技巧及练习题(2)一、选择题1.如图,Rt△AOB中,∠AOB=90°,AO=3BO,OB在x轴上,将Rt△AOB绕点O顺时针旋转至△RtA'OB',其中点B'落在反比例函数y=﹣2x的图象上,OA'交反比例函数y=kx的图象于点C,且OC=2CA',则k的值为()A.4 B.72C.8 D.7【答案】C【解析】【详解】解:设将Rt△AOB绕点O顺时针旋转至Rt△A'OB'的旋转角为α,OB=a,则OA=3a,由题意可得,点B′的坐标为(acosα,﹣asinα),点C的坐标为(2asinα,2acosα),∵点B'在反比例函数y=﹣2x的图象上,∴﹣asinα=﹣2acosα,得a2sinαcosα=2,又∵点C在反比例函数y=kx的图象上,∴2acosα=k2asinα,得k=4a2sinαcosα=8.故选C.【点睛】本题主要考查反比例函数与几何图形的综合问题,解此题的关键在于先设旋转角为α,利用旋转的性质和三角函数设出点B'与点C的坐标,再通过反比例函数的性质求解即可.2.为了方便行人推车过某天桥,市政府在10m高的天桥一侧修建了40m长的斜道(如图所示),我们可以借助科学计算器求这条斜道倾斜角的度数,具体按键顺序是( )A .B .C .D .【答案】A 【解析】 【分析】先利用正弦的定义得到sinA=0.25,然后利用计算器求锐角∠A . 【详解】解:因为AC =40,BC =10,sin ∠A =BCAC, 所以sin ∠A =0.25.所以用科学计算器求这条斜道倾斜角的度数时,按键顺序为故选:A . 点睛:本题考查了计算器-三角函数:正确使用计算器,一般情况下,三角函数值直接可以求出,已知三角函数值求角需要用第二功能键.3.如图所示,在△ABC 中,∠C =90°,AB =8,CD 是AB 边上的中线,作CD 的中垂线与CD 交于点E ,与BC 交于点F .若CF =x ,tanA =y ,则x 与y 之间满足( )A .2244x y+=B .2244x y -=C .2288x y -=D .2288x y+=【答案】A 【解析】 【分析】由直角三角形斜边上的中线性质得出CD =12AB =AD =4,由等腰三角形的性质得出∠A =∠ACD ,得出tan ∠ACD =GE CE=tan A =y ,证明△CEG ∽△FEC ,得出GE CECE FE ,得出y =2FE ,求出y 2=24FE ,得出24y=FE 2,再由勾股定理得出FE 2=CF 2﹣CE 2=x 2﹣4,即可得出答案. 【详解】 解:如图所示:∵在△ABC 中,∠C =90°,AB =8,CD 是AB 边上的中线,∴CD =12AB =AD =4, ∴∠A =∠ACD , ∵EF 垂直平分CD ,∴CE =12CD =2,∠CEF =∠CEG =90°, ∴tan ∠ACD =GECE=tanA =y , ∵∠ACD+∠FCE =∠CFE+∠FCE =90°, ∴∠ACD =∠FCE , ∴△CEG ∽△FEC , ∴GE CE =CEFE , ∴y =2FE , ∴y 2=24FE , ∴24y=FE 2, ∵FE 2=CF 2﹣CE 2=x 2﹣4,∴24y =x 2﹣4, ∴24y+4=x 2, 故选:A .【点睛】本题考查了解直角三角形、直角三角形斜边上的中线性质、等腰三角形的性质、相似三角形的判定与性质等知识;熟练掌握直角三角形的性质,证明三角形相似是解题的关键.4.某游乐场新推出了一个“极速飞车”的项目.项目有两条斜坡轨道以满足不同的难度需求,游客可以乘坐垂直升降电梯AB自由上下选择项目难度.其中斜坡轨道BC的坡度(或坡比)为i=1:2,BC=12米,CD=8米,∠D=36°,(其中点A、B、C、D均在同一平面内)则垂直升降电梯AB的高度约为()米.(精确到0.1米,参考数据:tan36°≈0.73,cos36°≈0.81,sin36°≈0.59)A.5.6 B.6.9 C.11.4 D.13.9【答案】C【解析】【分析】根据勾股定理,可得CE,BE的长,根据正切函数,可得AE的长,再根据线段的和差,可得答案.【详解】解:如图,延长DC、AB交于点E,,由斜坡轨道BC的坡度(或坡比)为i=1:2,得BE:CE=1:2.设BE=xm,CE=2xm.在Rt△BCE中,由勾股定理,得BE2+CE2=BC2,即x2+(2x)2=(12)2,解得x=12,BE=12m,CE=24m,DE=DC+CE=8+24=32m,由tan36°≈0.73,得=0.73,解得AB=0.73×32=23.36m.由线段的和差,得AB=AE﹣BE=23.36﹣12=11.36≈11.4m,故选:C.【点睛】本题考查解直角三角形的应用,利用勾股定理得出CE,BE的长是解题关键,又利用了正切函数,线段的和差.5.如图,已知AB是⊙O的直径,点C在⊙O上,过点C的切线与AB的延长线交于点P,连接AC,若∠A=30°,PC=3,则⊙O的半径为()A.3B.23C.32D.23【答案】A【解析】连接OC,∵OA=OC,∠A=30°,∴∠OCA=∠A=30°,∴∠COB=∠A+∠ACO=60°,∵PC是⊙O切线,∴∠PCO=90°,∠P=30°,∵PC=3,∴OC=PC•tan30°3故选A6.如图,某建筑物的顶部有一块标识牌CD,小明在斜坡上B处测得标识牌顶部C的仰角为 45°,沿斜坡走下来在地面A处测得标识牌底部D的仰角为 60°,已知斜坡AB的坡角为30°,AB=AE=10 米.则标识牌CD的高度是( )米.A .15-53B .20-103C .10-53D .53-5【答案】A 【解析】 【分析】过点B 作BM ⊥EA 的延长线于点M ,过点B 作BN ⊥CE 于点N ,通过解直角三角形可求出BM ,AM ,CN ,DE 的长,再结合CD =CN +EN−DE 即可求出结论. 【详解】解:过点B 作BM ⊥EA 的延长线于点M ,过点B 作BN ⊥CE 于点N ,如图所示.在Rt △ABE 中,AB =10米,∠BAM =30°,∴AM =AB•cos30°=3BM =AB•sin30°=5(米). 在Rt △ACD 中,AE =10(米),∠DAE =60°, ∴DE =AE•tan60°=3在Rt △BCN 中,BN =AE +AM =10+3CBN =45°, ∴CN =BN•tan45°=10+3(米),∴CD =CN +EN−DE =10+33=3 故选:A . 【点睛】本题考查了解直角三角形−仰角俯角问题及解直角三角形−坡度坡脚问题,通过解直角三角形求出BM ,AM ,CN ,DE 的长是解题的关键.7.如图,在Rt ABC V 中,90C ∠︒=,30B ∠=︒,AD 是BAC ∠的角平分线,6AC =,则点D 到AB 的距离为( )A.33B.3C.23D.33【答案】C【解析】【分析】如图,过点D作DE⊥AB于E,根据直角三角形两锐角互余的性质可得∠BAC=60°,由AD 为∠BAC的角平分线可得∠DAC=30°,根据角平分线的性质可得DE=CD,利用∠DAC的正切求出CD的值即可得答案.【详解】∵∠B=30°,∠C=90°,∴∠BAC=60°,∵AD平分∠BAC,∴∠DAC=30°,DE=CD,∵AC=6,∴CD=AC·tan∠DAC=6×3=23,即DE=23,∴点D到AB的距离为23,故选:C.【点睛】本题考查解直角三角形及角平分线的性质,在直角三角形中,锐角的正弦是角的对边比斜边;余弦是邻边比斜边;正切是对边比邻边;余切是邻边比对边;角平分线上的点到角两边的距离相等;熟练掌握三角函数的定义是解题关键.8.cos60tan45o o的值等于()A.32B2C3D.1【答案】A【解析】 【分析】根据特殊角的三角函数值计算即可. 【详解】 解:原式13122=+=. 故选A . 【点睛】本题考查了特殊角的三角函数值,解题的关键是熟练掌握特殊角的三角函数值.9.如图,在等腰直角△ABC 中,∠C =90°,D 为BC 的中点,将△ABC 折叠,使点A 与点D 重合,EF 为折痕,则sin ∠BED 的值是( )A 5B .35C .22D .23【答案】B 【解析】 【分析】先根据翻折变换的性质得到DEF AEF ∆≅∆,再根据等腰三角形的性质及三角形外角的性质可得到BED CDF ∠=,设1CD =,CF x =,则2CA CB ==,再根据勾股定理即可求解. 【详解】解:∵△DEF 是△AEF 翻折而成, ∴△DEF ≌△AEF ,∠A =∠EDF , ∵△ABC 是等腰直角三角形,∴∠EDF =45°,由三角形外角性质得∠CDF +45°=∠BED +45°, ∴∠BED =∠CDF ,设CD =1,CF =x ,则CA =CB =2, ∴DF =FA =2﹣x ,∴在Rt △CDF 中,由勾股定理得, CF 2+CD 2=DF 2, 即x 2+1=(2﹣x )2, 解得:34x =,3sin sin 5CF BED CDF DF ∴∠=∠==. 故选:B . 【点睛】本题考查的是图形翻折变换的性质、等腰直角三角形的性质、勾股定理、三角形外角的性质,涉及面较广,但难易适中.10.如图,在Rt ABC V 中,90ACB ∠=︒,3tan 4B =,CD 为AB 边上的中线,CE 平分ACB ∠,则AEAD的值( )A .35B .34C .45D .67【答案】D 【解析】 【分析】根据角平分线定理可得AE :BE =AC :BC =3:4,进而求得AE =37AB ,再由点D 为AB 中点得AD =12AB ,进而可求得AE AD的值. 【详解】解:∵CE 平分ACB ∠, ∴点E 到ACB ∠的两边距离相等, 设点E 到ACB ∠的两边距离位h , 则S △ACE =12AC·h ,S △BCE =12BC·h , ∴S △ACE :S △BCE =12AC·h :12BC·h =AC :BC , 又∵S △ACE :S △BCE =AE :BE , ∴AE :BE =AC :BC ,∵在Rt ABC V 中,90ACB ∠=︒,3tan 4B =, ∴AC :BC =3:4, ∴AE :BE =3:4∴AE=37 AB,∵CD为AB边上的中线,∴AD=12AB,∴367172ABAEAD AB==,故选:D.【点睛】本题主要考查了角平分线定理的应用及三角函数的应用,通过面积比证得AE:BE=AC:BC 是解决本题的关键.11.如图,平面直角坐标系中,A(8,0),B(0,6),∠BAO,∠ABO的平分线相交于点C,过点C作CD∥x轴交AB于点D,则点D的坐标为()A.(163,2)B.(163,1)C.(83,2)D.(83,1)【答案】A【解析】【分析】延长DC交y轴于F,过C作CG⊥OA于G,CE⊥AB于E,根据角平分线的性质得到FC=CG=CE,求得DH=CG=CF,设DH=3x,AH=4x,根据勾股定理得到AD=5x,根据平行线的性质得到∠DCA=∠CAG,求得∠DCA=∠DAC,得到CD=HG=AD=5x,列方程即可得到结论.【详解】解:延长DC交y轴于F,过C作CG⊥OA于G,CE⊥AB于E,∵CD∥x轴,∴DF⊥OB,∵∠BAO,∠ABO的平分线相交于点C,∴FC=CG=CE,∴DH=CG=CF,∵A(8,0),B(0,6),∴OA=8,OB=6,∴tan∠OAB=DHAH=OBOA=34,∴设DH=3x,AH=4x,∴AD=5x,∵CD∥OA,∴∠DCA=∠CAG,∵∠DAC=∠GAC,∴∠DCA=∠DAC,∴CD=HG=AD=5x,∴3x+5x+4x=8,∴x=23,∴DH=2,OH=163,∴D(163,2),故选:A.【点睛】本题考查了等腰三角形的判定和性质,进行的判定和性质,解直角三角形,正确的作出辅助线构造矩形和直角三角形是解题的关键.12.如图,有一个边长为2cm的正六边形纸片,若在该纸片上沿虚线剪一个最大圆形纸片,则这个圆形纸片的半径是()A3cm B.2cm C.23cm D.4cm【答案】A【解析】【分析】根据题意画出图形,再根据正多边形圆心角的求法求出∠AOB的度数,最后根据等腰三角形及直角三角形的性质解答即可. 【详解】解:如图所示,正六边形的边长为2cm ,OG ⊥BC , ∵六边形ABCDEF 是正六边形, ∴∠BOC=360°÷6=60°, ∵OB=OC ,OG ⊥BC ,∴∠BOG=∠COG=12∠BOC =30°, ∵OG ⊥BC ,OB=OC ,BC=2cm ,∴BG=12BC=12×2=1cm , ∴OB=sin 30BGo=2cm , ∴OG=2222213OB BG -=-=, ∴圆形纸片的半径为3cm , 故选:A .【点睛】本题考查的是正多边形和圆,根据题意画出图形,利用直角三角形的性质及正六边形的性质解答是解答此题的关键.13.如图,在Rt △ABC 中,∠ABC=90°,AB=23,BC=2,以AB 的中点为圆心,OA 的长为半径作半圆交AC 于点D ,则图中阴影部分的面积为( )A 532π- B 532π+ C .23πD .432π【答案】A 【解析】 【分析】连接OD,过点O作OH⊥AC,垂足为 H,则有AD=2AH,∠AHO=90°,在Rt△ABC中,利用∠A的正切值求出∠A=30°,继而可求得OH、AH长,根据圆周角定理可求得∠BOC =60°,然后根据S阴影=S△ABC-S△AOD-S扇形BOD进行计算即可.【详解】连接OD,过点O作OH⊥AC,垂足为 H,则有AD=2AH,∠AHO=90°,在Rt△ABC中,∠ABC=90°,AB=23,BC=2,tan∠A=3323BCAB==,∴∠A=30°,∴OH=12OA=32,AH=AO•cos∠A=3332⨯=,∠BOC=2∠A=60°,∴AD=2AH=3,∴S阴影=S△ABC-S△AOD-S扇形BOD=()26031132323222360π⨯⨯⨯-⨯⨯-=532π-,故选A.【点睛】本题考查了垂径定理,圆周角定理,扇形面积,解直角三角形等知识,正确添加辅助线,熟练掌握和灵活运用相关知识是解题的关键.14.一艘轮船从港口O出发,以15海里/时的速度沿北偏东60°的方向航行4小时后到达A 处,此时观测到其正西方向50海里处有一座小岛B.若以港口O为坐标原点,正东方向为x轴的正方向,正北方向为y轴的正方向,1海里为1个单位长度建立平面直角坐标系(如图),则小岛B所在位置的坐标是()A.3,30) B.(30,3-50) C.330) D.(30,3)【答案】A【解析】【分析】【详解】解:OA=15×4=60海里,∵∠AOC=60°,∴∠CAO=30°,∵sin30°=OCAO=12,∴CO=30海里,∴AC=303海里,∴BC=(303-50)海里,∴B(303-50,30).故选A【点睛】本题考查掌握锐角三角函数的应用.15.如图,矩形ABCD 中,AB>AD,AB=a,AN 平分∠DAB,DM⊥AN 于点M,CN⊥AN于点N.则DM+CN 的值为(用含a 的代数式表示)( )A.a B.45a C.22a D.32a【答案】C【解析】【分析】根据“AN平分∠DAB,DM⊥AN于点M,CN⊥AN于点N”得∠MDC=∠NCD=45°,cos45°=DM CNDE CE,所以DM+CN=CDcos45°;再根据矩形ABCD,AB=CD=a,DM+CN的值即可求出.【详解】∵AN平分∠DAB,DM⊥AN于点M,CN⊥AN于点N,∴∠ADM=∠MDC=∠NCD=45°,∴cos 4545D CN M cos +=CD ,在矩形ABCD 中,AB=CD=a , ∴DM+CN=acos45°=2a. 故选C. 【点睛】此题考查矩形的性质,解直角三角形,解题关键在于得到cos45°=DM CNDE CE=16.已知在 Rt ABC 中, ∠C = 90°,AC = 8, BC = 15 ,那么下列等式正确的是( )A .8sin 17A =B .cosA=815C .tan A =817D .cot A=815【答案】D 【解析】 【分析】根据锐角三角函数的定义进行作答.【详解】由勾股定理知,AB=17;A.15sin 17BC A AB == ,所以A 错误;B.8cos 17AC A AB ==,所以,B 错误;C.15tan 8BC A AC ==,所以,C 错误;D.cot AC A BC ==815,所以选D. 【点睛】本题考查了锐角三角函数的定义,熟练掌握锐角三角函数的定义是本题解题关键.17.在Rt △ABC 中,∠C =90°,如果∠A =α,BC =a ,那么AC 等于( ) A .a•tanα B .a•cotαC .a•sinαD .a•cosα【答案】B 【解析】 【分析】画出图形,根据锐角三角函数的定义求出即可. 【详解】如图,∠C =90°,∠A =α,BC =a , ∵cot αAC BC=, ∴AC =BC•cotα=a•cotα,故选:B . 【点睛】本题考查了锐角三角函数的定义的应用,在直角三角形中,锐角的正弦是角的对边与斜边的比;余弦是角的邻边与斜边的比;正切是对边与邻边的比;余切是邻边与对边的比;熟练掌握三角函数的定义是解题关键.18.如图,在Rt △ABC 内有边长分别为a ,b ,c 的三个正方形.则a 、b 、c 满足的关系式是( )A .b=a+cB .b=acC .b 2=a 2+c 2D .b=2a=2c【答案】A 【解析】 【分析】利用解直角三角形知识.在边长为a 和b 两正方形上方的两直角三角形中由正切可得a b cb ac -=-,化简得b =a +c ,故选A. 【详解】请在此输入详解!19.如图,河堤横断面迎水坡AB 的坡比是,堤高BC=10m ,则坡面AB 的长度是( )A .15mB .C .20mD .【答案】C 【解析】 【分析】 【详解】解:∵Rt △ABC 中,BC=10m ,tanA=,∴AC===m .∴AB=m .故选C . 【点睛】本题考查解直角三角形的应用(坡度坡角问题),锐角三角函数,特殊角的三角函数值及勾股定理,熟练掌握相关知识点正确计算是本题的解题关键.20.如图所示,Rt AOB ∆中,90AOB ∠=︒ ,顶点,A B 分别在反比例函数()10y x x=>与()50y x x=-<的图象器上,则tan BAO ∠的值为( )A 5B 5C 25D 10【答案】B 【解析】 【分析】过A 作AC ⊥x 轴,过B 作BD ⊥x 轴于D ,于是得到∠BDO=∠ACO=90°,根据反比例函数的性质得到S △BDO =52,S △AOC =12,根据相似三角形的性质得到=5OBOA =,根据三角函数的定义即可得到结论. 【详解】解:过A 作AC ⊥x 轴,过B 作BD ⊥x 轴于D ,则∠BDO=∠ACO=90°,∵顶点A ,B 分别在反比例函数()10y x x =>与()50y x x=-<的图象上, ∴S △BDO =52,S △AOC =12,∵∠AOB=90°,∴∠BOD+∠DBO=∠BOD+∠AOC=90°,∴∠DBO=∠AOC,∴△BDO∽△OCA,∴251522 BODOACS OBS OA⎛⎫==÷=⎪⎝⎭△△,∴5OBOA=,∴tan∠BAO=5OBOA=.故选B.【点睛】本题考查了反比例函数的性质以及直角三角形的性质,三角形相似的判定和性质.解题时注意掌握数形结合思想的应用,注意掌握辅助线的作法.。
6讲 正弦定理和余弦定理课时作业1.(2020·广东广雅中学模拟)已知a ,b ,c 为△ABC 的三个内角A ,B ,C 所对的边,若3b cos C =c (1-3cos B ),则sin C ∶sin A =( )A .2∶3B .4∶3C .3∶1D .3∶2答案 C解析 由正弦定理得3sin B cos C =sin C -3sin C cos B,3sin(B +C )=sin C ,因为A +B +C =π,所以B +C =π-A ,所以3sin A =sin C ,所以sin C ∶sin A =3∶1,故选C.2.(2019·南昌模拟)在△ABC 中,已知C =π3,b =4,△ABC 的面积为23,则c =( )A .27B .7C .2 2D .2 3答案 D解析 由S =12ab sin C =2a ×32=23,解得a =2,由余弦定理得c 2=a 2+b 2-2ab cos C=12,故c =2 3.3.(2019·兰州市实战考试)△ABC 的内角A ,B ,C 的对边分别为a ,b ,c ,若b 2=ac ,c =2a ,则cos C =( )A.24B .-24C.34 D .-34答案 B解析 由题意得,b 2=ac =2a 2,所以b =2a ,所以cos C =a 2+b 2-c 22ab =a 2+2a 2-4a 22a ×2a=-24,故选B. 4.(2019·广西南宁模拟)在△ABC 中,角A ,B ,C 的对边分别为a ,b ,c ,ac =3,且a =3b sin A ,则△ABC 的面积等于( )A.12 B .32 C .1 D .34答案 A解析 ∵a =3b sin A ,∴由正弦定理得sin A =3sin B sin A ,∴sin B =13.∵ac =3,∴△ABC的面积S =12ac sin B =12×3×13=12.故选A.5.在△ABC 中,角A ,B ,C 所对的边的长分别为a ,b ,c ,若a sin A +b sin B <c sin C ,则△ABC 的形状是( )A .锐角三角形B .直角三角形C .钝角三角形D .不确定答案 C解析 根据正弦定理可得a 2+b 2<c 2.由余弦定理,得cos C =a 2+b 2-c 22ab<0,故C 是钝角.6.已知△ABC 的内角A ,B ,C 的对边分别为a ,b ,c ,且c -b c -a =sin Asin C +sin B,则B =( ) A.π6 B .π4C.π3D .3π4答案 C 解析 因为c -b c -a =sin A sin C +sin B ,所以c -b c -a =a c +b,即(c -b )(c +b )=a (c -a ),所以a 2+c 2-b 2=ac ,所以cos B =12,又B ∈(0,π),所以B =π3.7.(2019·大连双基测试)△ABC 中,AB =2,AC =3,B =60°,则cos C =( ) A.33 B .±63C .-63D .63答案 D解析 由正弦定理得AC sin B =ABsin C,∴sin C =AB ·sin B AC =2×sin60°3=33,又AB <AC ,∴0<C <B =60°,∴cos C =1-sin 2C =63.故选D. 8.(2018·全国卷Ⅲ)△ABC 的内角A ,B ,C 的对边分别为a ,b ,c .若△ABC 的面积为a 2+b 2-c 24,则C =( )A.π2B .π3C.π4 D .π6答案 C解析 由题可知S △ABC =12ab sin C =a 2+b 2-c 24,所以a 2+b 2-c 2=2ab sin C .由余弦定理得a2+b 2-c 2=2ab cos C ,∴sin C =cos C .∵C ∈(0,π),∴C =π4.故选C.9.(2019·江西新八校第二次联考)我国南宋著名数学家秦九韶提出了由三角形三边求三角形面积的“三斜求积”,设△ABC 的三个内角A ,B ,C 所对的边分别为a ,b ,c ,面积为S ,则“三斜求积”公式为S =14⎣⎢⎡⎦⎥⎤a 2c 2-⎝ ⎛⎭⎪⎫a 2+c 2-b 222,若a 2sin C =2sin A ,(a +c )2=6+b 2,则用“三斜求积”公式求得△ABC 的面积为( )A.32B . 3 C.12 D .1答案 A解析 因为a 2sin C =2sin A ,所以a 2c =2a ,所以ac =2, 因为(a +c )2=6+b 2,所以a 2+c 2+2ac =6+b 2, 所以a 2+c 2-b 2=6-2ac =6-4=2, 从而△ABC 的面积为S △ABC =14×⎣⎢⎡⎦⎥⎤22-⎝ ⎛⎭⎪⎫222=32,故选A. 10.(2019·南阳模拟)设△ABC 的内角A ,B ,C 所对边的长分别为a ,b ,c ,若b +c =2a,3sin A =5sin B ,则C =( )A.π3 B .3π4C.5π6D .2π3答案 D解析 因为3sin A =5sin B ,所以由正弦定理可得:3a =5b ,所以a =5b3.又b +c =2a ,所以c =2a -b =7b3,不妨取b =3,则a =5,c =7,所以cos C =a 2+b 2-c 22ab =52+32-722×5×3=-12.因为C ∈(0,π),所以C =2π3. 11.已知△ABC 的内角A ,B ,C 的对边分别为a ,b ,c ,若2b cos B =a cos C +c cos A ,b =2,则△ABC 的面积的最大值是( )A .1B . 3C .2D .4答案 B解析 ∵2b cos B =a cos C +c cos A ,∴2sin B cos B =sin A cos C +sin C cos A =sin(A +C )=sin B .∵0<B <π,∴cos B =12,∴B =π3.∵cos B =a 2+c 2-b 22ac =12,b =2,∴a 2+c 2-4=ac .∵a 2+c 2≥2ac ,∴2ac -4≤ac ,即ac ≤4,当且仅当a =c 时等号成立,∴S △ABC =12ac sin B≤12×4×32=3,故△ABC 的面积的最大值为 3. 12.在△ABC 中,角A ,B ,C 的对边分别为a ,b ,c ,若2(b cos A +a cos B )=c 2,b =3,3cos A =1,则a =( )A. 5 B .3 C.10 D .4答案 B解析 由正弦定理可得2(sin B cos A +sin A cos B )=c sin C ,∵2(sin B cos A +sin A cos B )=2sin(A +B )=2sin C ,∴2sin C =c sin C ,∵sin C >0,∴c =2,由余弦定理得a 2=b 2+c 2-2bc cos A =32+22-2×3×2×13=9,∴a =3.故选B.13.(2020·北京海淀模拟)在△ABC 中,A =2π3,a =3c ,则bc =________.答案 1解析 由题意知sin 2π3=3sin C ,∴sin C =12,又0<C <π3,∴C =π6,从而B =π6,∴b =c ,故b c=1.14.△ABC 的内角A ,B ,C 的对边分别为a ,b ,c ,若2b cos B =a cos C +c cos A ,则B =________. 答案π3解析 解法一:由2b cos B =a cos C +c cos A 及正弦定理, 得2sin B cos B =sin A cos C +sin C cos A . ∴2sin B cos B =sin(A +C ). 又A +B +C =π,∴A +C =π-B . ∴2sin B cos B =sin(π-B )=sin B . 又sin B ≠0,∴cos B =12.∴B =π3.解法二:∵在△ABC 中,a cos C +c cos A =b , ∴条件等式变为2b cos B =b ,∴cos B =12.又0<B <π,∴B =π3.15.(2019·杭州模拟)已知a ,b ,c 分别为△ABC 三个内角A ,B ,C 的对边,a =2,且(2+b )(sin A -sin B )=(c -b )·sin C ,则△ABC 的面积的最大值为________.答案3解析 因为a =2,(2+b )(sin A -sin B )=(c -b )sin C ,所以根据正弦定理,得(a +b )(a-b )=(c -b )c ,所以a 2-b 2=c 2-bc ,所以b 2+c 2-a 2=bc ,根据余弦定理,得cos A =b 2+c 2-a 22bc=12,因为A ∈(0,π),故A =π3.因为b 2+c 2-bc =4,所以4=b 2+c 2-bc ≥2bc -bc =bc (当且仅当b =c =2时取等号),所以△ABC 的面积S △ABC =12bc sin A =34bc ≤34×4=3,所以△ABC 的面积的最大值为 3.16.已知在△ABC 中,AB =AC =4,BC =2.点D 为AB 延长线上一点,BD =2,连接CD ,则△BDC 的面积是________,cos ∠BDC =________.答案152104解析 依题意作出图形,如图所示, 则sin ∠DBC =sin ∠ABC .由题意知AB =AC =4,BC =BD =2, 则sin ∠ABC =154,cos ∠ABC =14. 所以S △BDC =12BC ·BD ·sin∠DBC=12×2×2×154=152.因为cos ∠DBC =-cos ∠ABC =-14=BD 2+BC 2-CD 22BD ·BC =8-CD 28,所以CD =10.由余弦定理,得cos ∠BDC =4+10-42×2×10=104. 17.(2019·全国卷Ⅰ)△ABC 的内角A ,B ,C 的对边分别为a ,b ,c .设(sin B -sin C )2=sin 2A -sinB sinC .(1)求A ;(2)若2a +b =2c ,求sin C .解 (1)由已知得sin 2B +sin 2C -sin 2A =sinB sinC , 故由正弦定理得b 2+c 2-a 2=bc .由余弦定理得cos A =b 2+c 2-a 22bc =12.因为0°<A <180°,所以A =60°. (2)由(1)知B =120°-C ,由题设及正弦定理,得2sin A +s in(120°-C )=2sin C , 即62+32cos C +12sin C =2sin C , 可得cos(C +60°)=-22. 因为0°<C <120°,所以sin(C +60°)=22, 故sin C =sin(C +60°-60°)=sin(C +60°)cos60°-cos(C +60°)sin60°=6+24. 18.(2019·天津高考)在△ABC 中,内角A ,B ,C 所对的边分别为a ,b ,c .已知b +c =2a,3c sin B =4a sin C .(1)求cos B 的值; (2)求sin ⎝⎛⎭⎪⎫2B +π6的值. 解 (1)在△ABC 中,由正弦定理b sin B =csin C ,得b sin C =c sin B .由3c sin B =4a sin C , 得3b sin C =4a sin C ,即3b =4a ,所以b =43a .因为b +c =2a ,所以c =23a .由余弦定理可得cos B =a 2+c 2-b 22ac =a 2+49a 2-169a 22·a ·23a=-14.(2)由(1)可得sin B =1-cos 2B =154, 从而sin2B =2sin B cos B =-158, cos2B =cos 2B -sin 2B =-78,故sin ⎝ ⎛⎭⎪⎫2B +π6=sin2B cos π6+cos2B sin π6=-158×32-78×12=-35+716. 19.(2019·河南安阳一模)如图,在圆内接四边形ABCD 中,AB =2,AD =1,3BC =3BD cos α+CD sin β.(1)求角β的大小;(2)求四边形ABCD 周长的取值范围. 解 (1)∵3BC =3BD cos α+CD sin β, ∴3sin ∠BDC =3sin βcos α+sin αsin β, ∴3sin(α+β)=3sin βcos α+sin αsin β, ∴3(sin αcos β+sin βcos α) =3sin βcos α+sin αsin β,∴3sin αcos β=sin αsin β,∴tan β=3, 又β∈(0,π),∴β=π3.(2)根据题意,得∠BAD =2π3,由余弦定理,得BD 2=AB 2+AD 2-2AB ·AD cos ∠BAD=4+1-2×2×1×cos 2π3=7,又BD 2=CB 2+CD 2-2CB ·CD cos β =(CB +CD )2-3CB ·CD ≥(CB +CD )2-3(CB +CD )24=(CB +CD )24,∴CB +CD ≤27,又CB +CD >7,∴四边形ABCD 的周长AB +BC +CD +DA 的取值范围为(3+7,3+27].20.(2019·河南联考)如图,在△ABC 中,内角A ,B ,C 的对边分别为a ,b ,c ,已知c =4,b =2,2c cos C =b ,D ,E 分别为线段BC 上的点,且BD =CD ,∠BAE =∠CAE .(1)求线段AD 的长; (2)求△ADE 的面积.解 (1)因为c =4,b =2,2c cos C =b ,所以cos C =b 2c =14.由余弦定理得cos C =a 2+b 2-c 22ab =a 2+4-164a =14,所以a =4,即BC =4. 在△ACD 中,CD =2,AC =2,所以AD 2=AC 2+CD 2-2AC ·CD ·cos∠ACD =6,所以AD = 6. (2)因为AE 是∠BAC 的平分线,所以S △ABE S △ACE =12AB ·AE ·sin∠BAE12AC ·AE ·sin∠CAE =AB AC=2,又S △ABE S △ACE =BE EC ,所以BEEC=2, 所以EC =13BC =43,DE =2-43=23.又cos C =14,所以sin C =1-cos 2C =154.所以S △ADE =12DE ·AC ·sin C =156.附:什么样的考试心态最好大部分学生都不敢掉以轻心,因此会出现很多过度焦虑。
高中必修三数学习题带答案高中必修三数学习题带答案在高中数学课程中,必修三是一门重要的课程,它包含了许多重要的数学概念和方法。
本文将介绍几个典型的高中必修三数学习题,并给出详细的解答。
一、函数的概念与性质1. 设函数 f(x) = 2x + 3,求 f(4) 的值。
解答:将 x = 4 代入函数 f(x) = 2x + 3,得到 f(4) = 2(4) + 3 = 11。
2. 已知函数 f(x) = x^2 + 3x - 2,求 f(-2) 的值。
解答:将 x = -2 代入函数 f(x) = x^2 + 3x - 2,得到 f(-2) = (-2)^2 + 3(-2) - 2 =4 - 6 - 2 = -4。
二、三角函数1. 已知sinθ = 1/2,求θ 的值。
解答:根据sinθ = 1/2,可知θ = π/6 或5π/6。
2. 已知cosθ = -√3/2,求θ 的值。
解答:根据cosθ = -√3/2,可知θ = 5π/6 或7π/6。
三、立体几何1. 已知正方体的边长为 a,求其表面积和体积。
解答:正方体的表面积为 6a^2,体积为 a^3。
2. 已知圆柱体的底面半径为 r,高为 h,求其表面积和体积。
解答:圆柱体的表面积为2πr(r + h),体积为πr^2h。
四、概率与统计1. 有 5 个红球和 3 个蓝球放在一个盒子里,从中随机抽取一个球,求抽到红球的概率。
解答:总共有 8 个球,其中 5 个红球,所以抽到红球的概率为 5/8。
2. 一个班级有 40 名学生,其中 20 名男生,30 名学生会参加夏令营,求参加夏令营的学生中男生的比例。
解答:参加夏令营的学生有 30 人,其中男生有 20 人,所以男生的比例为20/30 = 2/3。
五、数列与数列的和1. 求等差数列 1,4,7,...,97 的和。
解答:首项 a1 = 1,公差 d = 4 - 1 = 3,末项 an = 97。
根据等差数列求和公式Sn = (n/2)(a1 + an),代入数据得到S49 = (49/2)(1 + 97) = 49 × 49 = 2401。
数学课程函数周期性练习题及答案本文将为大家提供一些数学课程中关于函数周期性的练习题及其答案。
函数周期性是数学中的一个重要概念,在数学中广泛应用于各种实际问题的建模和解决过程中。
通过这些练习题的训练,我们能够更好地理解和应用函数周期性的概念。
下面将为大家提供一些练习题及其答案,供大家学习参考。
1. 练习题:给定函数 f(x) = sin(2x),请问这个函数的周期是多少?答案:根据三角函数的性质,sin函数的周期是2π,由于这里定义的函数中2x作为参数,所以周期缩短为π。
因此,这个函数的周期是π。
2. 练习题:给定函数g(x) = 3cos(4x),请问这个函数的周期是多少?答案:同上,根据三角函数的性质,cos函数的周期是2π,由于这里定义的函数中4x作为参数,所以周期缩短为π/2。
因此,这个函数的周期是π/2。
3. 练习题:给定函数 h(x) = tan(x),请问这个函数的周期是多少?答案:tan函数的周期是π,因此这个函数的周期是π。
4. 练习题:根据给定的函数 f(x) = sin(x) + cos(x),求函数的最小正周期。
答案:根据三角函数的和差化积公式,sin(x) + cos(x)可以化简为sqrt(2)sin(x + π/4),其中sqrt(2)是常数。
根据sin函数的周期是2π,因此这个函数的最小正周期是2π。
5. 练习题:根据给定的函数 g(x) = 2cos(3x) - sin(6x),求函数的最小正周期。
答案:注意到函数中的3x和6x这两个参数,对应的周期分别为2π/3和2π/6,两者的最小公倍数是2π,因此这个函数的最小正周期是2π。
通过上述的练习题及其答案,我们可以加深对函数周期性的理解,并学会灵活应用周期性概念解决实际问题。
希望大家通过不断练习,掌握函数周期性的特点与应用,提高数学解题能力。
祝愿大家在学习数学的道路上取得更好的成绩!。
第5讲 两角和与差及二倍角的三角函数公式1.(2016年新课标Ⅱ)若cos ⎝ ⎛⎭⎪⎫π4-α=35,则sin 2α=( )A.725B.15 C .-15 D .-7252.4cos 50°-tan 40°=( )A. 2B.2+32C. 3 D .2 2-13.(2017年上海师大附中统测)函数y =2cos 2⎝⎛⎭⎪⎫x -π4-1是( ) A .最小正周期为π的奇函数 B .最小正周期为π的偶函数C .最小正周期为π2的奇函数D .最小正周期为π2的偶函数4.(2015年上海)已知点A 的坐标为(4 3,1),将OA 绕坐标原点O 逆时针旋转π3至OB ,则点B 的纵坐标为( )A.3 32 B.5 32 C.112 D.1325.(2017年江苏)若tan ⎝⎛⎭⎪⎫α-π4=16, 则tan α=________. 6.(2017年北京)在平面直角坐标系xOy 中,角α与角β均以Ox 为始边,它们的终边关于y 轴对称.若sin α=13,cos(α-β)=________.7.(2016年新课标Ⅲ)函数y =sin x -3cos x 的图象可由函数y =2sin x 的图象至少向右平移______个单位长度得到.8.(2016年上海)若函数f (x )=4sin x +a cos x 的最大值为5,则常数a =________. 9.(2016年上海)方程3sin x =1+cos 2x 在区间[0,2π]上的解为__________.10.(2015年浙江)函数f (x )=sin 2x +sin x cos x +1的最小正周期是________,最小值是________,单调递减区间是____________________.11.(2014年江苏)已知α∈⎝ ⎛⎭⎪⎫π2,π,sin α=55. (1)求sin ⎝ ⎛⎭⎪⎫π4+α的值; (2)求cos ⎝ ⎛⎭⎪⎫5π6-2α的值.12.(2017年北京)已知函数f (x )=3cos ⎝⎛⎭⎪⎫2x -π3-2sin x cos x . (1)求f (x )的最小正周期;(2)求证:当x ∈⎣⎢⎡⎦⎥⎤-π4,π4时,f (x )≥-12.第5讲 两角和与差及二倍角的三角函数公式1.D 解析:cos ⎣⎢⎡⎦⎥⎤2⎝ ⎛⎭⎪⎫π4-α=2cos 2⎝ ⎛⎭⎪⎫π4-α-1=2×⎝ ⎛⎭⎪⎫352-1=-725,且cos ⎣⎢⎡⎦⎥⎤2⎝ ⎛⎭⎪⎫π4-α=cos ⎝ ⎛⎭⎪⎫π2-2α=sin 2α.故选D. 2.C 解析:原式=4sin 40°-sin 40°cos 40°=4cos 40°sin 40°-sin 40°cos 40°=2sin 80°-sin 40°cos 40°=2sin 120°-40°-sin 40°cos 40°=3cos 40°+sin 40°-sin 40°cos 40°=3cos 40°cos 40°= 3.故选C.3.A 解析:由y =2cos 2⎝ ⎛⎭⎪⎫x -π4-1=cos ⎝ ⎛⎭⎪⎫2x -π2=sin2x ,∴T =π,且y =sin 2x 是奇函数,即函数y =2cos 2⎝⎛⎭⎪⎫x -π4-1是奇函数.故选A. 4.D 解析:设直线OA 的倾斜角为α,B (m ,n )(m >0,n >0),则直线OB 的倾斜角为π3+α.因为A (4 3,1),所以tan α=14 3,tan ⎝ ⎛⎭⎪⎫π3+α=n m ,nm =3+14 31-3·14 3=133 3,即m 2=27169n 2.因为m 2+n 2=(4 3)2+12=49,所以n 2+27169n 2=49.所以n =132或n =-132(舍去).所以点B 的纵坐标为132.5.75 解析:tan α=tan ⎣⎢⎡⎦⎥⎤⎝ ⎛⎭⎪⎫α-π4+π4=tan ⎝ ⎛⎭⎪⎫α-π4+tan π41-tan ⎝⎛⎭⎪⎫α-π4tanπ4=16+11-16=75.6.-79解析:因为角α与角β它们的终边关于y 轴对称,所以α+β=2k π+π()k ∈Z ,sin α=sin β=13,cos α=-cos β,cos(α-β)=cos αcos β+sin αsinβ=-cos 2α+sin 2α=2sin 2α-1=-79.7.π3 解析:因为y =sin x -3cos x =2sin ⎝ ⎛⎭⎪⎫x -π3,所以函数y =sin x -3cos x的图象可由函数y =2sin x 的图象至少向右平移π3个单位长度得到.8.±3 解析:f (x )=16+a 2sin(x +φ),其中tan φ=a4,故函数f (x )的最大值为16+a 2,由已知,得16+a 2=5,解得a =±3.9.π6或5π6解析:3sin x =1+cos 2x ,即3sin x =2-2sin 2x ,所以2sin 2x +3sin x -2=0.解得sin x =12或sin x =-2(舍).所以方程在区间[0,2π]上的解为π6或5π6.10.π 3-22 ⎣⎢⎡⎦⎥⎤3π8+k π,7π8+k π,k ∈Z解析:f (x )=sin 2x +sin x cos x +1=12sin 2x +1-cos 2x 2+1=12sin 2x -12cos 2x +32=22·sin ⎝⎛⎭⎪⎫2x -π4+32,所以T =2π2=π,f (x )min =32-22.单调递减区间为⎣⎢⎡⎦⎥⎤3π8+k π,7π8+k π,k ∈Z . 11.解:(1)因为α∈⎝ ⎛⎭⎪⎫π2,π,sin α=55,所以cos α=-1-sin 2α=-2 55.故sin ⎝ ⎛⎭⎪⎫π4+α=sin π4cos α+cos π4sin α =22×⎝ ⎛⎭⎪⎫-2 55+22×55=-1010. (2)由(1),得sin 2α=2sin αcos α=-45,cos 2α=2cos 2α-1=35.所以cos ⎝ ⎛⎭⎪⎫5π6-2α=cos 5π6cos 2α+sin 5π6sin 2α =-32×35+12×⎝ ⎛⎭⎪⎫-45=-3 3+410. 12.(1)解:f (x )=32cos 2x +32sin 2x -sin 2x =12sin 2x +32cos 2x =sin ⎝ ⎛⎭⎪⎫2x +π3. 所以f (x )的最小正周期T =2π2=π.(2)证明:因为-π4≤x ≤π4,所以-π6≤2x +π3≤5π6.所以sin ⎝ ⎛⎭⎪⎫2x +π3≥sin ⎝ ⎛⎭⎪⎫-π6=-12. 所以当x ∈⎣⎡⎦⎤-π4,π4时,f (x )≥-12.附:什么样的考试心态最好大部分学生都不敢掉以轻心,因此会出现很多过度焦虑。
4.4 两角和与差、二倍角的公式(三)●知识梳理 1.化简要求(1)能求出值的应求出值.(2)使三角函数种数、项数尽量少;分母尽量不含三角函数;被开方式尽量不含三角函数. 2.化简常用方法(1)活用公式(包括正用、逆用、变形用). (2)切割化弦、异名化同名、异角化同角等. 3.常用技巧(1)注意特殊角的三角函数与特殊值的互化.(2)注意利用代数上的一些恒等变形法则和分数的基本性质. (3)注意利用角与角之间的隐含关系. (4)注意利用“1”的恒等变形. ●点击双基1.满足cos αcos β=23+sin αsin β的一组α、β的值是 A.α=12π13,β=4π3 B.α=2π,β=3πC.α=2π,β=6π D.α=3π,β=6π解析:由已知得cos (α+β)=23,代入检验得A. 答案:A2.已知tan α和tan (4π-α)是方程ax 2+bx +c =0的两个根,则a 、b 、c 的关系是 A.b =a +cB.2b =a +cC.c =b +aD.c =ab解析:⎪⎪⎩⎪⎪⎨⎧=--=-+,)(,)(a c ab αααα4πtan tan 4πtan tan∴tan 4π=aca b --1=1.∴-a b =1-ac . ∴-b =a -c .∴c =a +b . 答案:C3.f (x )=xx xx cos sin 1cos sin ++的值域为A.(-3-1,-1)∪(-1,3-1)B.[212--,-1)∪(-1,212-] C.(213--,213-) D.[212--,212-] 解析:令t =sin x +cos x =2sin (x +4π)∈[-2,-1)∪(-1,2], 则f (x )=t t +-1212=21-t ∈[212--,-1)∪(-1,212-].答案:B4.已知cos α-cos β=21,sin α-sin β=31,则cos (α-β)=_______. 解析:(cos α-cos β)2=41,(sin α-sin β)2=91. 两式相加,得2-2cos (α-β)=3613. ∴cos (α-β)=7259. 答案:7259 ●典例剖析 【例1】 求证:αβαsin 2sin )(+-2cos (α+β)=αβsin sin .剖析:先转换命题,只需证sin (2α+β)-2cos (α+β)·sin α=sin β,再利用角的关系:2α+β=(α+β)+α,(α+β)-α=β可证得结论.证明:sin (2α+β)-2cos (α+β)sin α =sin [(α+β)+α]-2cos (α+β)sin α=sin (α+β)cos α+cos (α+β)sin α-2cos (α+β)sin α =sin (α+β)cos α-cos (α+β)sin α=sin [(α+β)-α]=sin β. 两边同除以sin α得 αβαsin 2sin )(+-2cos (α+β)=αβsin sin .评述:证明三角恒等式,可先从两边的角入手——变角,将表达式中出现了较多的相异的角朝着我们选定的目标转化,然后分析两边的函数名称——变名,将表达式中较多的函数种类尽量减少,这是三角恒等变形的两个基本策略.【例2】 P 是以F 1、F 2为焦点的椭圆上一点,且∠PF 1F 2=α,∠PF 2F 1=2α,求证:椭圆的离心率为e =2cos α-1.xyF F 12O剖析:依据椭圆的定义2a =|PF 1|+|PF 2|,2c =|F 1F 2|,∴e =ac 22. 在△PF 1F 2中解此三角即可得证.证明:在△PF 1F 2中,由正弦定理知α2sin ||1PF =αsin ||2PF =)(α3πsin||21-F F .由比例的性质得α3sin ||21F F =ααsin 2sin ||||21++PF PF⇒e =||||||2121PF PF F F +=αααsin 2sin 3sin +=ααααααα2cos sin 2sin 2sin cos 2cos sin ++ =)()(αααααcos 21sin cos sin 2cos 2sin 22+⋅+1-=1+-ααcos 21cos 42=2cos α-1. 评述:恰当地利用比例的性质有事半功倍之效.深化拓展求cot10°-4cos10°的值.分析:给出非特殊角,怎样化为特殊角或非特殊角,互相抵消、约分求出值. 提示:cot10°-4cos10° =︒︒10sin 10cos -4cos10°=︒︒-︒10sin 20sin 210cos=︒︒-︒-︒10sin 20sin 22030cos )(=︒︒-︒+︒10sin 20sin 220sin 2120cos 23=︒︒-︒10sin 20sin 2320cos 23=︒︒-︒10sin 2030sin 3)(=3.答案:3. ●闯关训练夯实基础1.(2003年高考新课程卷)已知x ∈(-2π,0),cos x =54,则tan2x 等于A.247B.-247C.724 D.-724 解析:∵cos x =54,x ∈(-2π,0), ∴sin x =-53.∴tan x =-43.∴tan2x =x x 2tan 1tan 2-=169123--=-23×716=-724. 答案:D2.(2004年春季北京)已知sin (θ+π)<0,cos (θ-π)>0,则下列不等关系中必定成立的是A.tan2θ<cot 2θ B.tan2θ>cot 2θC.sin 2θ<cos 2θD.sin 2θ>cos 2θ解析:由已知得sin θ>0,cos θ<0,则tan 2θ-cot 2θ=2cos 2sinθ-2sin2cosθ=-θθsin cos 2>0. ∴tan2θ>cot 2θ. 答案:B3.下列四个命题中的假命题是A.存在这样的α、β,使得cos (α+β)=cos αcos β+sin αsin βB.不存在无穷多个α、β,使得cos (α+β)=cos αcos β+sin αsin βC.对于任意的α、β,cos (α+β)=cos αcos β-sin αsin βD.不存在这样的α、β,使得cos (α+β)≠cos αcos β-sin αsin β解析:由cos (α+β)=cos αcos β+sin αsin β=cos αcos β-sin αsin β,得 sin αsin β=0.∴α=k π或β=k π(k ∈Z ). 答案:B4.函数y =5sin x +cos2x 的最大值是_______. 解析:y =5sin x +cos2x =5sin x +1-2sin 2x =-2(sin x -45)2+833. ∴sin x =1时,y max =4.答案:45.求周长为定值L (L >0)的直角三角形的面积的最大值. 解法一:a +b +22b a +=L ≥2ab +ab 2. ∴ab ≤22+L.∴S =21ab ≤21(22+L )2=21·[222L )(-]2=4223-L 2.解法二:设a =c sin θ,b =c cos θ.abc∵a +b +c =L ,∴c (1+sin θ+cos θ)=L . ∴c =θθcos sin 1++L.∴S =21c 2sin θcos θ=22L 2cos sin 1cos sin )(θθθθ++. 设sin θ+cos θ=t ∈(1,2],则S =22L ·22121)(t t +-=42L ·11+-t t =42L (1-12+t )≤42L (1-122+)=4223-L 2. 6.(2004年湖南,17)已知sin (4π+2α)·sin (4π-2α)=41,α∈(4π,2π),求2sin 2α+tan α-cot α-1的值.解:由sin (4π+2α)·sin (4π-2α)=sin (4π+2α)·cos (4π+2α)=21sin (2π+4α)=21cos4α=41,得cos4α=21. 又α∈(4π,2π),所以α=12π5. 于是2sin 2α+tan α-cot α-1=-cos2α+ααααcos sin cos sin 22-=-cos2α+αα2sin 2cos 2-=-(cos2α+2cot2α)=-(cos 6π5+2cot 6π5)=-(-23-23)=253.培养能力7.求证:2sin 2sin 12αα-1+=2tan12tan1αα-+. 证明:左边=ααcos sin 1+=2sin 2cos 2cos 2sin 222αααα-+)(=2sin 2cos 2sin 2cos αα-+,右边=2cos2sin12cos2sin1αααα-+=2sin 2cos 2sin 2cos αααα-+, ∵左边=右边,∴原式成立.8.(2005年春季北京,15)在△ABC 中,sin A +cos A =22,AC =2,AB =3,求tan A 的值和△ABC 的面积.分析:本题主要考查三角恒等变形、三角形面积公式等基本知识,考查运算能力.解法一:∵sin A +cos A =2cos (A -45°)=22, ∴cos (A -45°)=21. 又0°<A <180°,∴A -45°=60°,A =105°. ∴tan A =tan (45°+60°)=3131-+=-2-3.∴sin A =sin105°=sin (45°+60°) =sin45°cos60°+cos45°sin60°=462+. ∴S △ABC =21AC ·AB sin A =21·2·3·462+=43(2+6). 解法二:∵sin A +cos A =22, ①∴(sin A +cos A )2=21.∴2sin A cos A =-21. ∵0°<A <180°,∴sin A >0,cos A <0. ∴90°<A <180°.∵(sin A -cos A )2=1-2sin A cos A =23, ∴sin A -cos A =26.②①+②得sin A =462+. ①-②得cos A =462-.∴tan A =A Acos sin =462+·624-=-2-3.(以下同解法一)探究创新9.锐角x 、y 满足sin y csc x =cos (x +y )且x +y ≠2π,求tan y 的最大值. 解:∵sin y csc x =cos (x +y ), ∴sin y csc x =cos x cos y -sin x sin y , sin y (sin x +csc x )=cos x cos y . ∴tan y =x x x csc sin cos +=x xx sin 1cos sin +=x x x x 22cos sin 2cos sin +=x x 2tan 21tan +≤xx tan 22tan =42, 当且仅当tan x =22时取等号. ∴tan y 的最大值为42. ●思悟小结1.证明三角恒等式的基本思路,是根据等式两端的特征,通过三角恒等变换,应用化繁为简、左右归一、变更命题等方法,使等式两端的“异”化为“同”.2.条件等式的证明,通过认真观察,发现已知条件和待证等式之间的关系,选择适当的途径把条件用上去.常用方法有代入法、消去法、综合法(即从已知条件出发,以待证式为目标进行代数或三角恒等变形,逐步推出待证式)、分析法等.3.三角函数的应用主要是借用三角函数的值域求最值,这首先应将原函数通过降幂、辅助角公式等化成y =A sin (ωx +ϕ)(A ≠0,ω>0)的形式,或者通过换元转化成二次函数,然后再求之.●教师下载中心 教学点睛1.三角恒等式的证明实际上就是三角函数式的化简过程.2.有条件的三角函数求值有两个关键:①三角函数各关系式及常用公式的熟练应用.②条件的合理应用:注意条件的整体功能,注意将条件适当简化、整理或重新改造组合,使其与所计算的式子更加吻合.3.注意方程思想的应用. 拓展题例【例1】 试证:θθθθθθsin sin 1tan sin sin 1tan -+++)()(=θθθθsin tan sin tan +.证明:左边=θθθθθθθθsin sin 1cos sin sin sin 1cos sin -+++)()( =θθθθcos sin cos sin 1-+1++=2sin 22cos 2sin 22cos 22cos 2sin 222θθθθθθ++=2sin2cosθθ=cot 2θ,右边=θθθθθθsin cos sin sin cos sin ⋅+=θθsin cos 1+=2cos2sin22cos 22θ=cot2θ,∴原等式成立. 【例2】 已知α、β∈(0,4π),3sin β=sin (2α+β),4tan 2α=1-tan 22α.求α+β的值.解:∵4tan2α=1-tan 22α,∴2·tan α=1,tan α=21. ∵3sin β=sin (2α+β),∴3sin β=sin (α+β)cos α+cos (α+β)sin α. ∴3sin (α+β)cos α-3cos (α+β)sin α =sin (α+β)cos α+cos (α+β)sin α. ∴sin (α+β)cos α=2cos (α+β)sin α. ∴tan (α+β)=2tan α=1.∴α+β=4π. 评述:角的变换是常用技巧.如2α+β=(α+β)+α,β=(α+β)-α等.。
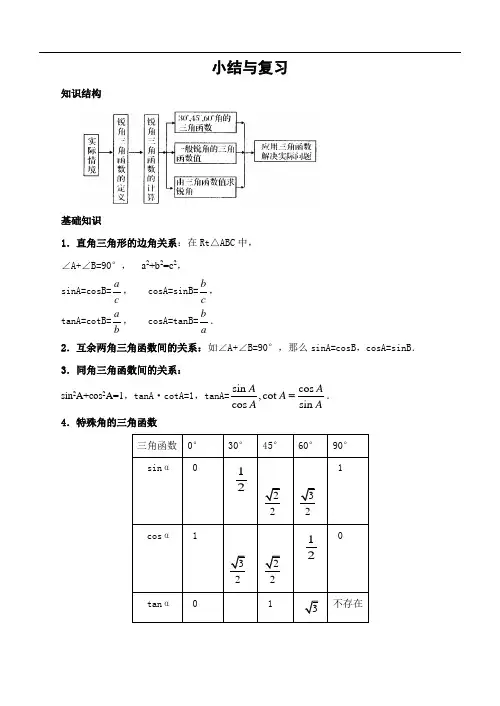
小结与复习知识结构基础知识1.直角三角形的边角关系:在Rt △ABC 中, ∠A+∠B=90°, a 2+b 2=c 2,sinA=cosB=a c, cosA=sinB=b c ,tanA=cotB=a b , cosA=tanB=ba.2.互余两角三角函数间的关系:如∠A+∠B=90°,那么sinA=cosB ,cosA=sinB . 3.同角三角函数间的关系: sin 2A+cos 2A=1,tanA ·cotA=1,tanA=sin cos ,cot cos sin A AA A A. 4.特殊角的三角函数解直角三角形的基本类型解直角三角形的基本类型及其解法如下表:解直角三角形注意点1.尽量使用原始数据,使计算更加准确.2.有的问题不能直接利用直角三角形内部关系解题,•但可以添加合适的辅助线转化为解直角三角形的问题.3.一些较复杂的解直角三角形的问题可以通过列方程或方程组的方法解题.4.解直角三角形的方法可概括为“有弦(斜边)用弦(正弦、余弦),无弦有切(正切、余切),宁乘毋除,取原避中”其意指:当已知或求解中有斜边时,可用正弦或余弦;无斜边时,就用正切或余切;当所求元素既可用乘法又可用除法时,则用乘法,不用除法;既可由已知数据又可用中间数据求解时,则取原始数据,忌用中间数据.5.必要时按照要求画出图形,注明已知和所求,•然后研究它们置于哪个直角三角形中,应当选用什么关系式来进行计算.6.要把添加辅助线的过程准确地写在解题过程之中.7.解含有非基本元素的直角三角形(即直角三角形中中线、高、角平分线、•周长、面积等),一般将非基本元素转化为基本元素,或转化为元素间的关系式,再通过解方程组来解.应用题解题步骤度量工具、工程建筑、测量距离等方面应用题的解题步骤可概括为如下几步:第一步,审清题意,要弄清仰角、俯角、坡度、坡角、水平距离、垂直距离、水平等概念的意义.第二步,构造出要求解的直角三角形,对于非直角三角形的图形可作适当的辅助线把它们分割成一些直角三角形和矩形(包括正方形).第三步,选择合适的边角关系式,使运算尽可能简便,不易出错.第四步,按照题目中已知数的精确度进行近似计算,并按照题目要求的精确度确定答案及注明单位.思想方法总结1.转化思想转化思想贯穿于本章的始终.例如,利用三角函数定义可以实现边与角的转化,利用互余两角三角函数关系可以实现“正”与“余”的互化;利用同角三角函数关系可以实现“异名”三角函数之间的互化.此外,利用解直角三角形的知识解决实际问题时,首先要把实际问题转化为数学问题.2.数形结合思想本章从概念的引出到公式的推导及直角三角形的解法和应用,无一不体现数形结合的思想方法.例如,在解直角三角形的问题时,常常先画出图形,使已知元素和未知元素更直观,有助于问题的顺利解决.3.函数思想锐角的正弦、余弦、正切、余切都是三角函数,其中都蕴含着函数的思想.例如,任意锐角a与它的正弦值是一一对应的关系.也就是说,对于锐角a任意确定的一个度数,sina都有惟一确定的值与之对应;反之,对于sina在(01)之间任意确定的一个值,锐角a都有惟一确定的一个度数与之对应.4.方程思想在解直角三角形时,若某个元素无法直接求出,往往设未知数,根据三角形中的边角关系列出方程,通过解方程求出所求的元素. 中考新题型 例1 计算:(1)sin 230°-cos45°·tan60°(223tan 30︒+分析:把特殊角的三角函数值代入计算即可. 解:(1)sin30°-cos45°·tan60°=1414(2)原式×(3)2(1-2)=2 说明:熟记30°、45°、60°角的三角函数值,是解决这类问题的关键,•这类题也是中考考查的重点,在选择题和填空题中出现的更多. 例2 如右图,已知缆车行驶线与水平线间的夹角α=30°,β=45°.•小明乘缆车上山,从A 到B ,再从B 到D 都走了200米(即AB=BD=200米),•请根据所给的数据计算缆车垂直上升的距离.(计算结果保留整数,以下数据供选用:sin47°≈0.7314,cos47•°≈0.6820,tan47°≈1.0724)分析:缆车垂直上升的距离分成两段:BC 与DF .分别在Rt △ABC 和Rt △DBF•中求出BC 与DF ,两者之和即为所求.解:在Rt △ABC 中,AB=200米,∠BAC=α=30°, ∴BC=AB ·sin α=200sin30°=100(米). 在Rt △BDF 中,BD=200米,∠DBF=β47°,∴DF=BD ·sin β=200·sin47°≈200×0.7314=146.28(米).∴BC+DF=100+146.28=246.28(米). 答:缆车垂直上升了246.28米.说明:解直角三角形在实际生活中的应用,是中考考查的重点,也是考查的热点.要解决好这类问题:一是要合理地构造合适的直角三角形;•二是要熟记特殊角的三角函数值;三是要有很好的运算能力和分析问题的能力. 单元测试 一、选择题.1.在△ABC 中,∠C=90°,AB=15,sinA=13,则BC 等于( ). A .45 B .5 C .15 D .1452.在Rt △ABC 中,∠ACB=90°,若cotA=34,则cosA 等于( ).A .45B .35C .43D .343.如图,为测一河两岸相对两电线杆A 、B 间的距离,在距A 点15米的C 处(AC ⊥AB )测得∠ACB=50°,则A 、B 之间的距离应为( ).A .15sin50°米B .15cos50°米;C .15tan50°米D .15cot50°米CBAaADC(第3题) (第6题) (第7题) 4.如果si n 2a+sin 230°=1,那么锐角a 的度数是( ). A .15° B .30° C .45° D .60° 5.在Rt △ABC 中,∠C=90°,若,则cosB 的值为( ). A .12 B.2C .2 D .16.如图,为了测量河两岸A 、B 两点的距离,在与AB 垂直的方向上取点C ,•测得AC=a ,∠ACB=a ,那么AB 等于( ).A .a ·sinaB .a ·cosaC .a ·tanaD .a ·cota7.如图Rt △ABC 中,∠ACB=90°,CD ⊥AB ,D 为垂足.若AC=4,BC=3,则sin ∠ACD 的值为( ). A .43 B .34 C .45D .358.已知直角三角形中30°角所对的直角边长是2cm ,则斜边的长是( ). A .2cm B .4cm C .6cm D .8cm 9.在△ABC 中,sinB=cos (90°-C )=12,那么△ABC 是( ). A .等腰三角形 B .等边三角形 C .直角三角形 D .等腰直角三角形10.在Rt △ABC 中,∠C=90°,AB=13,AC=12,BC=5,则下列各式中正确的是( ). A .sinA=125 B .cosA=1213 C .tanA=125 D .cotA=121311.如图,为测楼房BC 的高,在距离房30米的A 处测得楼顶的仰角为α,则楼高BC•的高为( ).A .30tan α米B .3030.30sin .tan 30sin C D ααα米米 BAαCBDC(第11题) (第12题)12.如图,在等腰直角三角形ABC 中,∠C=90°,AC=6,D 是AC 上一点,若tan ∠DBA=15,则AD 的长为( ). A.2 C .1 D .二、填空题.13.如图,如果△APB 绕点B 按逆时针方向旋转30°后得到△A ′P ′B ′,且BP=2,•那么PP′的长为________.(不取近似值,以下数据供解题使用:sin15°=,cos1544︒=)(第13题) (第14题) (第21题)14.如图,沿倾斜角为33°的山坡植树,要求相邻两棵树的水平距离AC为2m,那么相邻两棵树的斜坡距离AB约为________m.(精确到0.01m)15.sin30°=________.16°=________.(精确到0.01)17.若圆周角α所对弦长为sinα,则此圆的半径r为_______.18.锐角A满足2sin(A-15°)A=________.19.计算:3tan30°+cot45°-2tan45°-2cos60°=_________.20.已知A是锐角,且sinA=13,则cos(90°-A)=________.21.为了测量一个圆形铁环的半径(如图),某同学采用了如下办法:•将铁环平放在水平桌面上,用一个锐角为30°的三角板和一个刻度尺,按如图所示的方法得到相关数据,进而可求得铁环的半径,若测得PA=5cm,则铁环的半径是______cm.三、计算题.22°-).23.计算:cos60°-1.24.计算:(1)sin30°+cos45°+tan60°-cot30°.(2cot303tan30 cos27sin30cos45︒-︒︒+︒-︒25.若方程2x2+(4sinθ)x+1=0(0<θ<90°)有两个相等的实数根,求θ的值.四、解答题.26.如图,为申办2010年冬奥会,需改变哈尔滨市的交通状况.在大道拓宽工程中,要伐掉一棵树AB,在地面上事先划定以B为圆心,半径与AB等长的圆形区域为危险区,现在某工人站在离B点3米处的D处测得树的顶端A点的仰角为60°,树的底部B•点的俯角为30°,问距离B点8 1.73)27.我边防战士在海拔高度(即CD的长)为50米的小岛顶部D处执行任务,上午8时发现在海面上的A处有一艘船,此时测得该船的俯角为30°,该船沿着AC•方向航行一段时间后到达B处,又测得该船的俯角为45°,求该船在这一段时间内的航程.(•计算结果保留根号)28.如图,在离地面高度5米处引拉线固定电线杆,拉线和地面成58°,•求拉线下端点A 与杆底D的距离AD.(精确到0.01米)一、1.B 2.B 3.C 4.D 5.B 6.C 7.C 8.B 9.A 10.B 11.A 12.B 二、13.2.38 15.12 16.1.10 17.1218.75° 19.1321.三、22°-)0.23.解:原式=12+1224.(1)12+ (2)1 25.θ=45°. 四、26.过点C 作CE ⊥AB 于E ,Rt △CBE 中,tan30°=BECE, ∴BE=CE ·tan30° Rt △CAE 中,tan60°=AEEC, ∴AE=CE·tan60°∴4×1.73=6.92<8. ∴保护物不在危险区.27.解:根据题意,∠ADC=60°,∠BDC=∠DBC=45°,∴BC=DC=50.在Rt △ADC 中,AC=CD ×tan ∠AB=AC-BC=50)(米).答:该船在这段时间内的航程为50)米.28.解:在Rt△ACD中,∠ADC=90°,∠CAD=58°,CD=5米.∵tan∠CAD=CD AD,∴AD=5tan tan58CDCAD=∠︒≈3.12(米).答:拉线下端点A与杆底D的距离AD约为3.12米.。
数学课程三角函数公式练习题及答案在学习数学的过程中,三角函数是一个非常重要的概念。
它们是研究三角形及各种周期现象的数学工具。
熟练掌握三角函数公式可以帮助我们解决很多实际问题。
本文将为大家提供一些三角函数公式的练习题及答案,以帮助大家巩固对这一知识点的掌握。
练习题一:正弦函数的基本关系式
1. 已知角A的正弦值sin(A)=0.6,求角A的度数。
2. 已知角B的度数为45°,求sin(B)的值。
3. 已知角C的正弦值为√3/2,求角C的度数。
答案一:
1. 根据正弦函数的定义,sin(A)=对边/斜边,可得对边=0.6×斜边。
由此可知,三角形中的角A的度数为arcsin(0.6)。
2. 对于一个45°的角度,根据特殊角的性质得知,
sin(B)=cos(B)=1/√2。
3. 根据正弦函数的定义,sin(C)=√3/2,可得角C的度数为
arcsin(√3/2)。
练习题二:余弦函数的基本关系式
1. 已知角D的余弦值cos(D)=0.8,求角D的度数。
2. 已知角E的度数为60°,求cos(E)的值。
3. 已知角F的余弦值为1/2,求角F的度数。
答案二:
1. 根据余弦函数的定义,cos(D)=邻边/斜边,可得邻边=0.8×斜边。
由此可知,三角形中的角D的度数为arccos(0.8)。
2. 对于一个60°的角度,根据特殊角的性质得知,cos(E)=1/2。
3. 根据余弦函数的定义,cos(F)=1/2,可得角F的度数为arccos(1/2)。
练习题三:正切函数的基本关系式
1. 已知角G的正切值tan(G)=1.5,求角G的度数。
2. 已知角H的度数为30°,求tan(H)的值。
3. 已知角I的正切值为√3,求角I的度数。
答案三:
1. 根据正切函数的定义,tan(G)=对边/邻边,可得对边=1.5×邻边。
由此可知,三角形中的角G的度数为arctan(1.5)。
2. 对于一个30°的角度,根据特殊角的性质得知,tan(H)=1/√3。
3. 根据正切函数的定义,tan(I)=√3,可得角I的度数为arctan(√3)。
练习题四:辅助角公式的应用
1. 已知sin(A)=0.6,判断cos(A)的正负。
2. 已知cos(B)=0.5,判断sin(B)的正负。
答案四:
1. 根据三角函数之间的基本关系式sin²(A)+cos²(A)=1,可得
cos(A)=±√(1-sin²(A))。
由已知sin(A)=0.6,代入公式计算可得
cos(A)=±√(1-0.6²)=±0.8。
因此,cos(A)的正负取决于角A所在的象限。
2. 类似地,根据三角函数之间的基本关系式sin²(B)+cos²(B)=1,可
得sin(B)=±√(1-cos²(B))。
由已知cos(B)=0.5,代入公式计算可得
sin(B)=±√(1-0.5²)=±0.866。
因此,sin(B)的正负取决于角B所在的象限。
通过以上练习题和答案,相信大家对三角函数的公式有了更深入的
理解,并且能够灵活运用这些公式来解决问题。
在学习数学的过程中,多多进行练习是非常重要的,希望大家能够坚持下去,不断提高自己
的数学水平。