线性代数考试题库及答案(五)
- 格式:doc
- 大小:450.73 KB
- 文档页数:10
线性代数单元测试卷(含答案)一、选择题(每题2分,共20分)1. 在线性代数中,什么是矩阵的秩?A. 矩阵的行数B. 矩阵的列数C. 矩阵的非零行数D. 矩阵的最大线性无关行数正确答案:D2. 下列哪个不是矩阵的运算?A. 矩阵的加法B. 矩阵的减法C. 矩阵的除法D. 矩阵的乘法正确答案:C3. 矩阵的转置满足下列哪个性质?A. (A^T)^T = AB. (AB)^T = B^T * A^TC. (A + B)^T = A^T + B^TD. (AB)^T = A^T + B^T正确答案:B4. 什么是向量的线性组合?A. 向量相加B. 向量相减C. 向量乘以常数后相加D. 向量与常数相乘正确答案:C5. 下列哪组向量线性无关?A. (1, 0)B. (0, 1)C. (1, 1)D. (1, -1)正确答案:C二、填空题(每题3分,共30分)1. 给定矩阵A = [[1, 2], [3, 4]],求A的逆矩阵。
正确答案:[[-2, 1], [1.5, -0.5]]2. 给定矩阵B = [[2, 4], [1, 3]],求B的特征值。
正确答案:[5, 0]3. 给定向量v = (1, 2, 3),求v的范数。
正确答案:sqrt(14)4. 给定矩阵C = [[1, 2, 3], [4, 5, 6]],求C的秩。
正确答案:25. 给定矩阵D = [[1, 2], [3, 4], [5, 6]],求D的转置矩阵。
正确答案:[[1, 3, 5], [2, 4, 6]]三、解答题(每题10分,共40分)1. 什么是线性相关和线性无关?线性相关表示向量之间存在线性组合的系数不全为零的情况,即存在非零向量组合得到零向量。
线性无关表示向量之间不存在这样的关系,即只有全为零的线性组合才能得到零向量。
2. 什么是矩阵的行列式?矩阵的行列式是一个标量,它是一个方阵中各个元素按照一定规律相乘再求和的结果。
行列式可以用来判断方阵的逆是否存在,以及计算方阵的特征值等。
考研数学一(线性代数)历年真题试卷汇编5(题后含答案及解析) 题型有:1. 选择题 2. 填空题 3. 解答题选择题下列每题给出的四个选项中,只有一个选项符合题目要求。
1.(16年)设二次型f(x1,x2,x3)=x12+x22+x32+4x1x2+4x1x3+4x2x3,则f(x1,x2,x3)=2在空间直角坐标下表示的二次曲面为A.单叶双曲面.B.双叶双曲面.C.椭球面.D.柱面.正确答案:B解析:二次型f(x1,x2,x3)的矩阵为由得A的全部特征值为λ1=5,λ2=λ3=一1,因此,二次曲面方程f(x1,x2,x3)=2在适当的旋转变换下可化成方程5y12一y22一y32=2,由此可知该二次曲面是双叶双曲面.知识模块:线性代数2.(98年)设A、B是两个随机事件,且0<P(A)<1,P(B)>0,P(B | A)=,则必有A.P(A | B)=.B.P(A|B))≠.C.P(AB)=P(A)P(B).D.P(AB)≠P(A)P(B).正确答案:C 涉及知识点:概率论与数理统计3.(06年)设A,B为随机事件,且P(B)>0,P(A | B)=1,则必有A.P(A ∪B)>P(A).B.P(A ∪B)>P(B).C.P(A ∪B)=P(A).D.P(A ∪B)=P(B).正确答案:C解析:由1=P(A|B)=得P(B)=P(AB)故P(A ∪B)=P(A)+P(B)一P(AB)=P(A),选(C).知识模块:概率论与数理统计4.(07年)某人向同一目标独立重复射击,每次射击命中目标的概率为p(0<p<1),则此人第4次射击恰好第2次命中目标的概率为A.3p(1-p)2.B.6p(1一p)2.C.3p2(1一p)2.D.6p2(1一p)2.正确答案:C解析:P{第4次射击恰好第2次命中目标}=P{前3次射击恰中1枪,第4次射击命中目标}=P{前3次射击恰中1枪}.P{第4次射击命中目标}=C31p(1一p)2.p=3p2(1一p)2 知识模块:概率论与数理统计5.(14年)设随机事件A与B相互独立,且P(B)=0.5,P(A—B)=0.3,则P(B—A)=A.0.1B.0.2C.0.3D.0.4正确答案:B 涉及知识点:概率论与数理统计6.(15年)若A,B为任意两个随机事件,则A.P(AB)≤P(A)P(B).B.P(AB)≥P(A)P(B).C.D.正确答案:C 涉及知识点:概率论与数理统计填空题7.(87年)设在一次试验中A发生的概率为p,现进行n次独立试验,则A 至少发生一次的概率为_____;而事件A至多发生一次的概率为____.正确答案:1一(1一p)n;(1一p)n+np(1一p)n-1.解析:由贝努里概型的概率计算公式,A至少发生一次的概率为1一P(A发生0次)=1—Cn0p0(1一p)n-0。
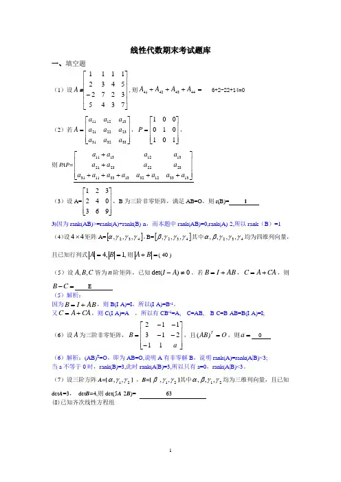
线性代数期末考试题库一、填空题(1)设A =⎥⎥⎥⎥⎦⎤⎢⎢⎢⎢⎣⎡-7345327254321111,则=+++44434241A A A A 6+2-22+14=0 (2)若⎥⎥⎥⎦⎤⎢⎢⎢⎣⎡=333231232221131211a a a a a a a a a A ,⎥⎥⎥⎦⎤⎢⎢⎢⎣⎡=101010001P , 则P AP=⎥⎥⎥⎦⎤⎢⎢⎢⎣⎡+++++++13331232133311312322232113121311a a a a a a a a a a a a a a a a (3)设A=⎥⎥⎥⎦⎤⎢⎢⎢⎣⎡963042321,B 为三阶非零矩阵,满足AB=O ,则r(B)= 1 3)因为rank(AB)>=rank(A)+rank(B)-n ,而本题中rank(AB)=0,rank(A)-2,所以rank (B )=1 (4)设44⨯矩阵A=[]432,,,γγγα,B=[]432,,,γγγβ其中432,,,,γγγβα均为四维列向量,且已知行列式,1,4==B A 则=+B A ( 40 )(5)设C B A ,,皆为n 阶矩阵,已知0)det(≠-A I 。
若AB I B +=,CA A C +=,则=-C BE(5)解析:因为AB I B +=,则B(I-A)=I ,所以(I-A)=B -1。
又CA A C +=,则C(I-A)=A ,所以有CB -1=A, C=AB, B-C=B-AB=B(I-A)=I;(6)设A 为三阶非零矩阵,⎥⎥⎥⎦⎤⎢⎢⎢⎣⎡-----=a B 11213112,且O AB T=)(,则=a 0(6)解析:(AB)T =O ,即为AB=O,说明A 有非零解B ,说明rank(A)=rank(A|B)<3;当a 不等于0时,rank(B)=3,此时rank(A|B)=3,所以只有a=0,rank(A|B)<3。
(7)设三阶方阵A =[21,,γγα] ,B=[β21,,γγ]其中21,,,γγβα均为三维列向量,且已知det A =3, det B=4,则det(5A -2B )= 63 (8)已知齐次线性方程组⎪⎩⎪⎨⎧=++=+-+-=-+-++00)3(0)2()2(3213213221ax x x abx x a x x a ab x a b bx 的解空间是二维的,则=a 2 ,=b -1(8)注:齐次线性方程组的解空间的维数=n-r(A).非齐次线性方程组的解不够成线性空间。
自考试题线性代数题库及答案线性代数是数学的一个重要分支,广泛应用于工程、物理、计算机科学等领域。
以下是一套自考试题线性代数题库及答案,供学习者参考。
一、选择题1. 下列矩阵中,哪一个是可逆矩阵?A. \( A = \begin{bmatrix} 1 & 0 \\ 0 & 0 \end{bmatrix} \)B. \( B = \begin{bmatrix} 1 & 2 \\ 3 & 4 \end{bmatrix} \)C. \( C = \begin{bmatrix} 0 & 1 \\ 1 & 0 \end{bmatrix} \)D. \( D = \begin{bmatrix} 1 & 1 \\ 1 & 1 \end{bmatrix} \)答案: C2. 设 \( A \) 是一个 \( n \times n \) 矩阵,\( I \) 是 \( n\times n \) 的单位矩阵,若 \( A^2 = I \),则 \( A \) 称为:A. 正交矩阵B. 反对称矩阵C. 正交变换矩阵D. 反射变换矩阵答案: D二、填空题1. 设向量 \( \mathbf{v} = (1, 2, 3) \),向量 \( \mathbf{w} =(4, 5, 6) \),这两个向量的点积为 __________。
答案: 322. 若 \( A \) 是一个 \( m \times n \) 矩阵,\( B \) 是一个\( n \times p \) 矩阵,则 \( AB \) 的行列数为 __________。
答案: \( m \times p \)三、解答题1. 证明:若 \( A \) 是一个 \( n \times n \) 矩阵,且 \( A^n =I \),则 \( A \) 必定可逆。
解答:由于 \( A^n = I \),我们可以得出 \( A \) 的 \( n \) 次幂是单位矩阵。
《线性代数》期末考试题及答案一、单项选择题(每小题3分,共24分).1.设行列式1112132122233132331a a a a a a a a a =,则111112132121222331313233234234234a a a a a a a a a a a a --=-( ). A. 6; B. -6; C. 8; D. -8.2.设B A ,都是n 阶矩阵,且0=AB , 则下列一定成立的是( ).A. 0A =或0B =;B. 0A =且0B =;C. 0=A 或0=B ;D. 0=A 且0=B .3.设A ,B 均为n 阶可逆矩阵,则下列各式中不正确...的是( ). A. ()T T T A B A B +=+; B . 111()A B A B ---+=+; C. 111()AB B A ---= ; D. ()T T T AB B A =.4.设12,αα是非齐次线性方程组Ax b =的解,是β对应的齐次方程组0Ax =的解,则Ax b =必有一个解是( ).A .21α+α;B .21α-α;C . 21α+α+β ;D .121122βαα++.5.齐次线性方程组123234 020x x x x x x ++=⎧⎨--=⎩的基础解系所含解向量的个数为( ).A. 1;B. 2;C. 3;D. 4. 6.向量组12,,αα…,s α(2)s ≥线性无关的充分必要条件是( ).A. 12,,αα…,s α都不是零向量;B. 12,,αα…,s α任意两个向量的分量不成比例;C. 12,,αα…,s α每一个向量均不可由其余向量线性表示;D. 12,,αα…,s α至少有一个向量不可由其余向量线性表示. 7.若( ),则A 相似于B .A. A B = ; B . 秩(A )=秩(B );C. A 与B 有相同的特征多项式;D. n 阶矩阵A 与B 有相同的特征值,且n 个特征值各不相同. 8.正定二次型1234(,,,)f x x x x 的矩阵为A ,则( )必成立.A. A 的所有顺序主子式为非负数;B. A 的所有顺序主子式大于零;C. A 的所有特征值为非负数;D. A 的所有特征值互不相同.二、填空题(每小题3分,共18分)1.设3阶矩阵100220333A ⎛⎫ ⎪= ⎪ ⎪⎝⎭,*A 为A 的伴随矩阵,则*A A =_____________.2.1111n⎛⎫⎪⎝⎭=__________________(n 为正整数). 3.设a b A c d ⎛⎫= ⎪⎝⎭,且det()0A ad bc =-≠,则1A -=________________.4.已知4阶方阵A 的秩为2,则秩(*A )=_________________.5.已知向量组123(1,3,1),(0,1,1),(1,4,)a a a k ===线性相关,则k =____________.6.3阶方阵A 的特征值分别为1,-2,3,则1A -的特征值为_________.三、计算题(10分,共44分)1.(7分)计算行列式01231000100001x x a a a a ---2.(7分)设矩阵121348412363A a -⎛⎫ ⎪=- ⎪ ⎪-⎝⎭,问a 为何值时,(1) 秩(A )=1; (2) 秩(A )=2.3.(15分)给定向量组12103a -⎛⎫ ⎪ ⎪ ⎪ ⎪ ⎪⎝⎭=,21324a ⎛⎫⎪- ⎪ ⎪ ⎪ ⎪⎝⎭=,33021a ⎛⎫ ⎪ ⎪ ⎪ ⎪ ⎪-⎝⎭=,40149a ⎛⎫ ⎪- ⎪ ⎪ ⎪ ⎪⎝⎭=,试判断4a 是否为123,,a a a 的线性组合;若是,则求出组合系数4.(15分)λ取何实值时,线性方程组12233414x x x x x x x x λλλλλλλλ-=⎧⎪-=⎪⎨-=⎪⎪-+=⎩有唯一解、无穷多解、无解?在有无穷多解的情况求通解。
线性代数试题(完整试题与详细答案)一、单项选择题(本大题共10小题,每小题2分,共20分)1.行列式111101111011110------第二行第一列元素的代数余子式21A =( )A .-2B .-1C .1D .22.设A 为2阶矩阵,若A 3=3,则=A 2( ) A .21 B .1 C .34 D .23.设n 阶矩阵A 、B 、C 满足E ABC =,则=-1C ( ) A .AB B .BA C .11--B AD .11--A B4.已知2阶矩阵⎪⎪⎭⎫ ⎝⎛=d c b a A 的行列式1-=A ,则=-1*)(A ( ) A .⎪⎪⎭⎫⎝⎛----d c b aB .⎪⎪⎭⎫⎝⎛--a c b dC .⎪⎪⎭⎫ ⎝⎛--a cb d D .⎪⎪⎭⎫ ⎝⎛d c b a5.向量组)2(,,,21≥s s ααα 的秩不为零的充分必要条件是( ) A .s ααα,,,21 中没有线性相关的部分组 B .s ααα,,,21 中至少有一个非零向量 C .s ααα,,,21 全是非零向量D .s ααα,,,21 全是零向量6.设A 为n m ⨯矩阵,则n 元齐次线性方程组0=Ax 有非零解的充分必要条件是( )A .n r =)(AB .m r =)(AC .n r <)(AD .m r <)(A 7.已知3阶矩阵A 的特征值为-1,0,1,则下列矩阵中可逆的是( ) A .A B .AE - C .A E -- D .A E -2 8.下列矩阵中不是..初等矩阵的为( )A .⎪⎪⎪⎭⎫ ⎝⎛101010001B .⎪⎪⎪⎭⎫⎝⎛-101010001C .⎪⎪⎪⎭⎫⎝⎛100020001D .⎪⎪⎪⎭⎫⎝⎛1010110019.4元二次型4332412143212222),,,(x x x x x x x x x x x x f +++=的秩为( ) A .1B .2C .3D .410.设矩阵⎪⎪⎪⎭⎫ ⎝⎛=001010100A ,则二次型Ax x T 的规范形为( )A .232221z z z ++ B .232221z z z ---C .232221z z z --D .232221z z z -+二、填空题(本大题共10小题,每小题2分,共20分)请在每小题的空格中填上正确答案。
一、单项选择题(共20题)1.下列矩阵中不是二次型的矩阵的是()【正确答案】C【您的答案】A【答案解析】2.n元实二次型正定的充分必要条件是()A.该二次型的秩=nB.该二次型的负惯性指数=nC.该二次型的正惯性指数=它的秩D.该二次型的正惯性指数=n【正确答案】D【您的答案】A【答案解析】二次型正定的充分必要条件是二次型的正惯性指数=n3.下列条件不能保证n阶实对称阵A为正定的是()A.A-1正定B.A没有负的特征值C.A的正惯性指数等于nD.A合同于单位阵【正确答案】B【您的答案】A【答案解析】A-1正定表明存在可逆矩阵C使C T A-1C=I n,两边求逆得到C-1A(C T)-1= C-1A(C -1)T=I n即A合同于I n,A正定,因此不应选A。
C是A正定的定义,也不是正确的选择。
D表明A的正惯性指数等于n,故A是正定阵,于是只能B。
事实上,一个矩阵没有负的特征值,但可能有零特征值,而正定阵的特征值必须全是正数。
4.矩阵的特征值为()A.1,1B.2,2C.1,2D.0,0【正确答案】A【您的答案】A【答案正确】【答案解析】得到特征值是1,1。
5.已知相似,则有()【正确答案】D【您的答案】A【答案解析】6.设矩阵相似.则下列结论错误的是()【正确答案】B【您的答案】A【答案解析】根据相似矩阵的性质判断B错误.7.设A为3阶矩阵,且已知,则A必有一个特征值为()【正确答案】B【您的答案】A【答案解析】8.已知3阶矩阵A的特征值为1,2,3,则|A-4E|=()A.2B.-6C.6D.24【正确答案】B【您的答案】A【答案解析】∵3阶矩阵A的特征值为1,2,3∴|λE - A | 展开式含有三个因子乘积:(λ-1)(λ-2)(λ-3)∵|λE -A | 展开式λ3项系数为1∴|λE - A |=(λ-1)(λ-2)(λ-3)∵A为3阶矩阵∴| A-λE |=(-1)3|λE - A |=(-1)3(λ-1)(λ-2)(λ-3)将4代入上式得到-6。
习题五1. 求下列矩阵的特征值和特征向量:1)1124-⎛⎫ ⎪⎝⎭;2)123213336⎛⎫ ⎪ ⎪ ⎪⎝⎭;3)001010100⎛⎫ ⎪ ⎪ ⎪⎝⎭;4)310410482⎛⎫⎪-- ⎪ ⎪--⎝⎭。
并说明哪些矩阵可以相似于对角形矩阵。
解:1)11(2)(3)24λλλλ-=----,特征值2,3λ= 。
当2λ=时, 1(1,1)η'=- ,故属于2λ=的特征向量为 11k η(10k ≠)。
当3λ=时 ,2(1,2)η'=- ,故属于3λ=的特征向量为 22k η(20k ≠)。
由于线性无关的特征向量个数为2,故可以对角化。
2)123213(1)(9)336λλλλλλ------=+----,特征值0,1,9λ=- 。
当0λ=时, 1(1,1,1)η'=-- ,故属于0λ=的特征向量为 11k η(10k ≠)。
当1λ=-时, 2(1,1,0)η'=- ,故属于1λ=-的特征向量为 22k η(20k ≠)。
当9λ=时, 3(1,1,2)η'= ,故属于9λ=的特征向量为 33k η(30k ≠)。
由于线性无关的特征向量个数为3,故可以对角化。
3)201010(1)(1)10λλλλλ--=+--,特征值1,1λ=- 。
当1λ=时, 1(0,1,0)η'= ,2(1,0,1)η'=。
故属于1λ=的特征向量为1122k k ηη+(12,k k 不全为零)。
当1λ=-时, 3(1,0,1)η'=- ,故属于1λ=-的特征向量为 33k η(30k ≠)。
由于线性无关的特征向量个数为3,故可以对角化。
4)2310410(1)(2)482λλλλλ--+=-+-+ ,特征值1,2λ=- 。
当1λ=时, 1(3,6,20)η'=- ,故属于1λ=的特征向量为 11k η(10k ≠)。
当2λ=-时, 2(0,0,1)η'= ,故属于2λ=-的特征向量为 22k η(20k ≠)。
线性代数第五章答案第五章相似矩阵及二次型1. 试用施密特法把下列向量组正交化:(1)=931421111) , ,(321a a a ;解根据施密特正交化方法,==11111a b ,-=-=101],[],[1112122b b b a b a b ,-=--=12131],[],[],[],[222321113133b b b a b b b b a b a b .(2)---=011101110111) , ,(321a a a .解根据施密特正交化方法,-==110111a b ,-=-=123131],[],[1112122b b b a b a b , ?-=--=433151],[],[],[],[222321113133b b b a b b b b a b a b . 2. 下列矩阵是不是正交阵:(1)---121312112131211;解此矩阵的第一个行向量非单位向量, 故不是正交阵.(2)------979494949198949891.解该方阵每一个行向量均是单位向量, 且两两正交, 故为正交阵.3. 设x 为n 维列向量, x T x =1, 令H =E -2xx T , 证明H 是对称的正交阵. 证明因为H T =(E -2xx T )T =E -2(xx T )T =E -2(xx T )T =E -2(x T )T x T =E -2xx T , 所以H 是对称矩阵. 因为H T H =HH =(E -2xx T )(E -2xx T ) =E -2xx T -2xx T +(2xx T )(2xx T ) =E -4xx T +4x (x T x )x T =E -4xx T +4xx T =E , 所以H 是正交矩阵.4. 设A 与B 都是n 阶正交阵, 证明AB 也是正交阵. 证明因为A ,B 是n 阶正交阵, 故A -1=A T , B -1=B T ,(AB )T (AB )=B T A T AB =B -1A -1AB =E ,故AB 也是正交阵.5. 求下列矩阵的特征值和特征向量:(1)----201335212;解 3)1(201335212||+-=-------=-λλλλλE A ,故A 的特征值为λ=-1(三重). 对于特征值λ=-1, 由----=+000110101101325213~E A ,得方程(A +E )x =0的基础解系p 1=(1, 1, -1)T , 向量p 1就是对应于特征值λ=-1的特征值向量.(2)633312321;解 )9)(1(633312321||-+-=---=-λλλλλλλE A ,故A 的特征值为λ1=0, λ2=-1, λ3=9. 对于特征值λ1=0, 由=000110321633312321~A ,得方程A x =0的基础解系p 1=(-1, -1, 1)T , 向量p 1是对应于特征值λ1=0的特征值向量. 对于特征值λ2=-1, 由=+000100322733322322~E A ,得方程(A +E )x =0的基础解系p 2=(-1, 1, 0)T , 向量p 2就是对应于特征值λ2=-1的特征值向量. 对于特征值λ3=9, 由--???? ??---=-00021101113333823289~E A ,得方程(A -9E )x =0的基础解系p 3=(1/2, 1/2, 1)T , 向量p 3就是对应于特征值λ3=9的特征值向量.(3)0001001001001000.(和书后答案不同,以书后为主,但解题步骤可以参考)解22)1()1(001010010100||+-=----=-λλλλλλλE A ,故A 的特征值为λ1=λ2=-1, λ3=λ4=1. 对于特征值λ1=λ2=-1,由=+00000000011010011001011001101001~E A , 得方程(A +E )x =0的基础解系p 1=(1, 0, 0, -1)T , p 2=(0, 1, -1, 0)T , 向量p 1和p 2是对应于特征值λ1=λ2=-1的线性无关特征值向量.对于特征值λ3=λ4=1, 由------=-00000000011010011001011001101001~E A , 得方程(A -E )x =0的基础解系p 3=(1, 0, 0, 1)T , p 4=(0, 1, 1, 0)T , 向量p 3和p 4是对应于特征值λ3=λ4=1的线性无关特征值向量.6. 设A 为n 阶矩阵, 证明A T 与A 的特征值相同. 证明因为|A T -λE |=|(A -λE )T |=|A -λE |T =|A -λE |,所以A T 与A 的特征多项式相同, 从而A T 与A 的特征值相同.7.设n阶矩阵A、B满足R(A)+R(B)<n,证明a与b有公共的特征值,有公共的特征向量.< p="">证明设R(A)=r,R(B)=t,则r+t<n.< p="">若a1,a2,,a n-r是齐次方程组A x=0的基础解系,显然它们是A的对应于特征值λ=0的线性无关的特征向量.类似地,设b1,b2,,b n-t是齐次方程组B x=0的基础解系,则它们是B的对应于特征值λ=0的线性无关的特征向量.由于(n-r)+(n-t)=n+(n-r-t)>n,故a1,a2,,a n-r,b1,b2,,b n-t 必线性相关.于是有不全为0的数k1,k2,,k n-r,l1,l2,,l n-t,使k1a1+k2a2++k n-r a n-r+l1b1+l2b2++l n-r b n-r=0.记γ=k1a1+k2a2++k n-r a n-r=-(l1b1+l2b2++l n-r b n-r),则k1,k2,,k n-r不全为0,否则l1,l2,,l n-t不全为0,而l1b1+l2b2++l n-r b n-r=0,与b1,b2,,b n-t线性无关相矛盾.因此,γ≠0,γ是A的也是B的关于λ=0的特征向量,所以A与B有公共的特征值,有公共的特征向量.8.设A2-3A+2E=O,证明A的特征值只能取1或2.证明设λ是A的任意一个特征值,x是A的对应于λ的特征向量,则(A2-3A+2E)x=λ2x-3λx+2x=(λ2-3λ+2)x=0.因为x≠0,所以λ2-3λ+2=0,即λ是方程λ2-3λ+2=0的根,也就是说λ=1或λ=2.9.设A为正交阵,且|A|=-1,证明λ=-1是A的特征值.证明因为A为正交矩阵,所以A的特征值为-1或1.(需要说明)因为|A|等于所有特征值之积,又|A|=-1,所以必有奇数个特征值为-1,即λ=-1是A的特征值.10.设λ≠0是m阶矩阵A m?n B n?m的特征值,证明λ也是n阶矩阵BA的特征值.证明设x是AB的对应于λ≠0的特征向量,则有(AB)x=λx,于是B(AB)x=B(λx),或BA(B x)=λ(B x),从而λ是BA的特征值,且B x是BA的对应于λ的特征向量.11.已知3阶矩阵A的特征值为1, 2, 3,求|A3-5A2+7A|.解令?(λ)=λ3-5λ2+7λ, 则?(1)=3, ?(2)=2, ?(3)=3是?(A )的特征值, 故 |A 3-5A 2+7A |=|?(A )|=?(1)??(2)??(3)=3?2?3=18.12. 已知3阶矩阵A 的特征值为1, 2, -3, 求|A *+3A +2E |. 解因为|A |=1?2?(-3)=-6≠0, 所以A 可逆, 故 A *=|A |A -1=-6A -1, A *+3A +2E =-6A -1+3A +2E .令?(λ)=-6λ-1+3λ+2, 则?(1)=-1, ?(2)=5, ?(-3)=-5是?(A )的特征值, 故 |A *+3A +2E |=|-6A -1+3A +2E |=|?(A )|=?(1)??(2)??(-3)=-1?5?(-5)=25.13. 设A 、B 都是n 阶矩阵, 且A 可逆, 证明AB 与BA 相似.证明取P =A , 则P -1ABP =A -1ABA =BA ,即AB 与BA 相似.14. 设矩阵=50413102x A 可相似对角化, 求x .解由)6()1(50413102||2---=---=-λλλλλλx E A ,得A 的特征值为λ1=6, λ2=λ3=1.因为A 可相似对角化, 所以对于λ2=λ3=1, 齐次线性方程组(A -E )x =0有两个线性无关的解, 因此R (A -E )=1. 由-???? ??=-00030010140403101)(~x x E A r知当x =3时R (A -E )=1, 即x =3为所求.15. 已知p =(1, 1, -1)T 是矩阵---=2135212b a A 的一个特征向量.(1)求参数a , b 及特征向量p 所对应的特征值;解设λ是特征向量p 所对应的特征值, 则(A -λE )p =0, 即=???? ??-???? ??------0001112135212λλλb a ,解之得λ=-1, a =-3, b =0.(2)问A 能不能相似对角化?并说明理由. 解由3)1(201335212||--=-------=-λλλλλE A ,得A 的特征值为λ1=λ2=λ3=1. 由-???? ??----=-00011010111325211~r b E A知R (A -E )=2, 所以齐次线性方程组(A -E )x =0的基础解系只有一个解向量. 因此A 不能相似对角化.16. 试求一个正交的相似变换矩阵, 将下列对称阵化为对角阵:(1)----020212022;解将所给矩阵记为A . 由λλλλ-------=-20212022E A =(1-λ)(λ-4)(λ+2),得矩阵A 的特征值为λ1=-2, λ2=1, λ3=4. 对于λ1=-2, 解方程(A +2E )x =0, 即0220232024321=----x x x , 得特征向量(1, 2, 2)T , 单位化得T)32 ,32 ,31(1=p .对于λ2=1, 解方程(A -E )x =0, 即0120202021321=-----x x x , 得特征向量(2, 1, -2)T , 单位化得T )32 ,31 ,32(2-=p . 对于λ3=4, 解方程(A -4E )x =0, 即0420232022321=-------x x x , 得特征向量(2, -2, 1)T , 单位化得T )31 ,32 ,32(3-=p . 于是有正交阵P =(p 1, p 2, p 3), 使P -1AP =diag(-2, 1, 4).(2)----542452222. (和书后答案不同,以书后答案为准,解题步骤可以参考)解将所给矩阵记为A . 由λλλλ-------=-542452222E A =-(λ-1)2(λ-10),得矩阵A 的特征值为λ1=λ2=1, λ3=10. 对于λ1=λ2=1, 解方程(A -E )x =0, 即=???? ?????? ??----000442442221321x x x , 得线性无关特征向量(-2, 1, 0)T 和(2, 0, 1)T , 将它们正交化、单位化得T 0) 1, ,2(511-=p , T 5) ,4 ,2(5312=p .对于λ3=10, 解方程(A -10E )x =0, 即=???? ?????? ??-------000542452228321x x x ,得特征向量(-1, -2, 2)T , 单位化得T )2 ,2 ,1(313--=p . 于是有正交阵P =(p 1, p 2, p 3), 使P -1AP =diag(1, 1, 10).17. 设矩阵------=12422421x A 与-=Λy 45相似, 求x , y ; 并求一个正交阵P , 使P -1AP =Λ.解已知相似矩阵有相同的特征值, 显然λ=5, λ=-4, λ=y 是Λ的特征值, 故它们也是A 的特征值. 因为λ=-4是A 的特征值, 所以0)4(9524242425|4|=-=---+---=+x x E A ,解之得x =4.已知相似矩阵的行列式相同, 因为100124242421||-=-------=A , y y2045||-=-=Λ,所以-20y =-100, y =5.对于λ=5, 解方程(A -5E )x =0, 得两个线性无关的特征向量(1, 0, -1)T , (1, -2, 0)T . 将它们正交化、单位化得T )1 ,0 ,1(211-=p , T )1 ,4 ,1(2312-=p .对于λ=-4, 解方程(A +4E )x =0, 得特征向量(2, 1, 2)T , 单位化得T )2 ,1 ,2(313=p .于是有正交矩阵?--=23132212343102313221P , 使P -1AP =Λ. 18. 设3阶方阵A 的特征值为λ1=2, λ2=-2, λ3=1; 对应的特征向量依次为p 1=(0, 1, 1)T , p 2=(1, 1, 1)T , p 3=(1,1, 0)T , 求A .解令P =(p 1, p 2, p 3), 则P -1AP =diag(2, -2, 1)=Λ, A =P ΛP -1.因为---=???? ??=--11011101101111111011P ,所以---???? ??-???? ??=Λ=-1101110111000200020111111101P P A------=244354332. 19. 设3阶对称阵A 的特征值为λ1=1, λ2=-1, λ3=0; 对应λ1、λ2的特征向量依次为p 1=(1, 2, 2)T , p 2=(2, 1, -2)T , 求A .解设=653542321x x x x x x x x x A , 则A p 1=2p 1, A p 2=-2p 2, 即 =++=++=++222222122653542321x x x x x x x x x , ---① =-+-=-+-=-+222122222653542321x x x x x x x x x . ---② 再由特征值的性质, 有x 1+x 4+x 6=λ1+λ2+λ3=0. ---③由①②③解得612131x x --=, 6221x x =, 634132x x -=,642131x x -=, 654132x x +=. 令x 6=0, 得311-=x , x 2=0, 323=x ,314=x , 325=x . 因此-=022********A . 20. 设3阶对称矩阵A 的特征值λ1=6, λ2=3, λ3=3, 与特征值λ1=6对应的特征向量为p 1=(1, 1, 1)T , 求A .解设=653542321x x x x x x x x x A .因为λ1=6对应的特征向量为p 1=(1, 1, 1)T , 所以有=???? ??1116111A , 即?=++=++=++666653542321x x x x x x x x x ---①. λ2=λ3=3是A 的二重特征值, 根据实对称矩阵的性质定理知R (A -3E )=1. 利用①可推出--???? ??---=-331113333653542653542321~x x x x x x x x x x x x x x x E A .因为R (A -3E )=1, 所以x 2=x 4-3=x 5且x 3=x 5=x 6-3, 解之得x 2=x 3=x 5=1, x 1=x 4=x 6=4.因此=411141114A .21. 设a =(a 1, a 2, , a n )T , a 1≠0, A =aa T . (1)证明λ=0是A 的n -1重特征值;证明设λ是A 的任意一个特征值, x 是A 的对应于λ的特征向量, 则有A x =λx ,λ2x =A 2x =aa T aa T x =a T a A x =λa T ax , 于是可得λ2=λa T a , 从而λ=0或λ=a T a .设λ1, λ2, ? ? ?, λn 是A 的所有特征值, 因为A =aa T 的主对角线性上的元素为a 12, a 22, ? ? ?, a n 2, 所以a 12+a 22+ ? ? ? +a n 2=a T a =λ1+λ2+ ? ? ? +λn ,这说明在λ1, λ2, ? ? ?, λn 中有且只有一个等于a T a , 而其余n -1个全为0, 即λ=0是A 的n -1重特征值.(2)求A 的非零特征值及n 个线性无关的特征向量. 解设λ1=a Ta , λ2= ? ? ? =λn =0.因为A a =aa T a =(a T a )a =λ1a , 所以p 1=a 是对应于λ1=a T a 的特征向量.对于λ2= ? ? ? =λn =0, 解方程A x =0, 即aa T x =0. 因为a ≠0, 所以a T x =0, 即a 1x 1+a 2x 2+ ? ? ? +a n x n =0, 其线性无关解为p 2=(-a 2, a 1, 0, , 0)T ,p 3=(-a 3, 0, a 1, , 0)T , ? ? ?,p n =(-a n , 0, 0, , a 1)T .因此n 个线性无关特征向量构成的矩阵为--=112212100), , ,(a a a aa a a nn n p p p . 22. 设-=340430241A , 求A 100. 解由)5)(5)(1(340430241||+---=----=-λλλλλλλE A ,得A 的特征值为λ1=1, λ2=5, λ3=-5.对于λ1=1, 解方程(A -E )x =0, 得特征向量p 1=(1, 0, 0)T . 对于λ1=5, 解方程(A -5E )x =0, 得特征向量p 2=(2, 1, 2)T . 对于λ1=-5, 解方程(A +5E )x =0, 得特征向量p 3=(1, -2, 1)T . 令P =(p 1, p 2, p 3), 则P -1AP =diag(1, 5, -5)=Λ, A =P ΛP -1, A 100=P Λ100P -1. 因为Λ100=diag(1, 5100, 5100),--=???? ??-=--1202105055112021012111P ,所以--???? ?????? ??-=12021050555112021012151100100100A-=1001001005000501501.23. 在某国, 每年有比例为p 的农村居民移居城镇, 有比例为q 的城镇居民移居农村, 假设该国总人口数不变, 且上述人口迁移的规律也不变. 把n 年后农村人口和城镇人口占总人口的比例依次记为x n 和y n (x n +y n =1).(1)求关系式??=??++n n n n y x A y x 11中的矩阵A ;解由题意知x n +1=x n +qy n -px n =(1-p )x n +qy n , y n +1=y n +px n -qy n = px n +(1-q )y n , 可用矩阵表示为--=??? ??++n n n n y x q p q p y x 1111,因此--=q p q p A 11.(2)设目前农村人口与城镇人口相等, 即??? ??=??? ??5.05.000y x , 求?n n y x .解由??=??++n n n n y x A y x 11可知??=??00y x A y x n n n . 由)1)(1(11||q p q p qp E A ++--=----=-λλλλλ,得A 的特征值为λ1=1, λ2=r , 其中r =1-p -q .对于λ1=1, 解方程(A -E )x =0, 得特征向量p 1=(q , p )T . 对于λ1=r ,解方程(A -rE )x =0, 得特征向量p 2=(-1, 1)T . 令??-==11) ,(21p q P p p , 则 P -1AP =diag(1, r )=Λ, A =P ΛP -1, A n =P Λn P -1.于是 11100111-??-??? ????? ??-=p q r p q A n n-??? ????? ??-+=q p r p q q p n 11001111+--++=n n n n qr p pr p qr q pr q q p 1,+--++=??? ??5.05.01n n n n n n qr p pr p qr q pr q q p y x ??-+-++=n n r p q p r q p q q p )(2)(2)(21.24. (1)设??--=3223A , 求?(A )=A 10-5A 9; 解由)5)(1(3223||--=----=-λλλλλE A ,得A 的特征值为λ1=1, λ2=5.对于λ1=1, 解方程(A -E )x =0, 得单位特征向量T )1 ,1(21. 对于λ1=5, 解方程(A -5E )x =0, 得单位特征向量T )1 ,1(21-.于是有正交矩阵?-=111121P , 使得P -1AP =diag(1, 5)=Λ,从而A =P ΛP -1, A k =P Λk P -1. 因此?(A )=P ?(Λ)P -1=P (Λ10-5Λ9)P -1 =P [diag(1, 510)-5diag(1, 59)]P -1 =P diag(-4, 0)P -1-??? ??-??? ??-=1111210004111121-=??? ??----=111122222.(2)设=122221212A , 求?(A )=A 10-6A 9+5A 8.解求得正交矩阵为---=20223123161P , 使得P -1AP =diag(-1, 1, 5)=Λ, A =P ΛP -1. 于是?(A )=P ?(Λ)P -1=P (Λ10-6Λ9+5Λ8)P -1 =P [Λ8(Λ-E )(Λ-5E )]P -1=P diag(1, 1, 58)diag(-2, 0, 4)diag(-6, -4, 0)P -1 =P diag(12, 0,0)P -1---???? ?---=222033*********223123161----=4222112112. 25. 用矩阵记号表示下列二次型: (1) f =x 2+4xy +4y 2+2xz +z 2+4yz ; 解=z y x z y x f 121242121) , ,(.(2) f =x 2+y 2-7z 2-2xy -4xz -4yz ; 解-------=z y x z y x f 722211211) , ,(.(3) f =x 12+x 22+x 32+x 42-2x 1x 2+4x 1x 3-2x 1x 4+6x 2x 3-4x 2x 4.解------=432143211021013223111211) , , ,(x x x x x x x x f .26. 写出下列二次型的矩阵: (1)x x x ?=1312)(T f ;解二次型的矩阵为=1222A .(2)x x x=987654321)(T f .解二次型的矩阵为=975753531A .27. 求一个正交变换将下列二次型化成标准形: (1) f =2x 12+3x 22+3x 33+4x 2x 3;解二次型的矩阵为=320230002A . 由)1)(5)(2(320230002λλλλλλλ---=---=-E A ,得A 的特征值为λ1=2, λ2=5, λ3=1. 当λ1=2时, 解方程(A -2E )x =0, 由=-0001002101202100002~E A ,得特征向量(1, 0, 0)T . 取p 1=(1, 0, 0)T . 当λ2=5时, 解方程(A -5E )x =0, 由-???? ??---=-0001100012202200035~E A ,得特征向量(0, 1, 1)T . 取T )21 ,21,0(2=p .当λ3=1时, 解方程(A -E )x =0, 由=-000110001220220001~E A ,得特征向量(0, -1, 1)T . 取T )21 ,21 ,0(3-=p .于是有正交矩阵T =(p 1, p 2, p 3)和正交变换x =T y , 使f =2y 12+5y 22+y 32.(2) f =x 12+x 22+x 32+x 42+2x 1x 2-2x 1x 4-2x 2x 3+2x 3x 4.解二次型矩阵为----=1101111001111011A . 由2)1)(3)(1(1101111001111011--+=--------=-λλλλλλλλE A ,得A 的特征值为λ1=-1, λ2=3, λ3=λ4=1.当λ1=-1时, 可得单位特征向量T )21 ,21 ,21 ,21(1--=p .当λ2=3时, 可得单位特征向量T )21 ,21 ,21 ,21(2--=p . 当λ3=λ4=1时, 可得线性无关的单位特征向量T )0 ,21 ,0 ,21(3=p , T )21 ,0 ,21 ,0(4=p .于是有正交矩阵T =( p 1, p 2, p 3, p 4)和正交变换x =T y , 使f =-y 12+3y 22+y 32+y 42.28. 求一个正交变换把二次曲面的方程3x 2+5y 2+5z 2+4xy -4xz -10yz =1化成标准方程.解二次型的矩阵为----=552552223A .由)11)(2(552552223||---=-------=-λλλλλλλE A , 得A 的特征值为λ1=2,λ2=11, λ3=0, .对于λ1=2, 解方程(A -2E )x =0, 得特征向量(4, -1, 1)T , 单位化得)231 ,231 ,234(1-=p .对于λ2=11, 解方程(A -11E )x =0, 得特征向量(1, 2, -2)T , 单位化得)32 ,32 ,31(2-=p . 对于λ3=0, 解方程A x =0, 得特征向量(0, 1, 1)T , 单位化得)21 ,21,0(3=p .于是有正交矩阵P =(p 1, p 2, p 3), 使P -1AP =diag(2, 11, 0), 从而有正交变换--=???? ??w v u z y x 21322312132231031234,使原二次方程变为标准方程2u 2+11v 2=1.29. 明: 二次型f =x T A x 在||x ||=1时的最大值为矩阵A 的最大特征值. 证明 A 为实对称矩阵, 则有一正交矩阵T , 使得TAT -1=diag(λ1, λ2, ? ? ?, λn )=Λ成立, 其中λ1, λ2, ? ? ?, λn 为A 的特征值, 不妨设λ1最大. 作正交变换y =T x , 即x =T T y , 注意到T -1=T T , 有 f =x T A x =y T TAT T y =y T Λy =λ1y 12+λ2y 22+ ? ? ? +λn y n 2. 因为y =T x 正交变换, 所以当||x ||=1时, 有||y ||=||x ||=1, 即y 12+y 22+ ? ? ? +y n 2=1.因此f =λ1y 12+λ2y 22+ ? ? ? +λn y n 2≤λ1,又当y 1=1, y 2=y 3=? ? ?=y n =0时f =λ1, 所以f max =λ1.30. 用配方法化下列二次形成规范形, 并写出所用变换的矩阵. (1) f (x 1, x 2, x 3)=x 12+3x 22+5x 32+2x 1x 2-4x 1x 3;解 f (x 1, x 2, x 3)=x 12+3x 22+5x 32+2x 1x 2-4x 1x 3 =(x 1+x 2-2x 3)2+4x 2x 3+2x 22+x 32 =(x 1+x 2-2x 3)2-2x 22+(2x 2+x 3)2.令 ??+==-+=323223211222x x y x y x x x y , 即+-==+-=323223211221225y y x y x y y y x , 二次型化为规范形f =y 12-y 22+y 32,所用的变换矩阵为--=12002102251C .(2) f (x 1, x 2, x 3)=x 12+2x 32+2x 1x 3+2x 2x 3; 解 f (x 1, x 2, x 3)=x 12+2x 32+2x 1x 3+2x 2x 3 =(x 1+x 3)2+x 32+2x 2x 3; =(x 1+x 3)2-x 22+(x 2+x 3)2.令 +==+=32322311x x y x y x x y , 即+-==-+=3 23223211y y x y x y y y x ,二次型化为规范形f =y 12-y 22+y 32,所用的变换矩阵为--=110010111C .(3) f (x 1, x 2, x 3)=2x 12+x 22+4x 32+2x 1x 2-2x 2x 3. 解 f (x 1, x 2, x 3)=2x 12+x 22+4x 32+2x 1x 2-2x 2x 3.</n.<></n,证明a与b有公共的特征值,有公共的特征向量.<>。
《线性代数B 》模拟试卷五参考答案一、填空题(每空3分,共18分)1.设(1,1,1)α=,(1,1,1)T β=-,则T T βα= 1 ;解:1(1,1,1)111T Tβα⎛⎫ ⎪=-= ⎪ ⎪⎝⎭2.设(1,1,1,2)T α=-,(1,2,1,1)T β=--,则向量αβ+与αβ-的夹角为 2π; 解:因为(1,1,1,2)(1,2,1,1)(0,3,2,3)T T T αβ-+--=-+=,(1,1,1,2)(1,2,1,1)(2,1,0,1)T T T αβ----=---=,而[,]023(1)20(3)(1)0αβαβ+-=⨯+⨯-+⨯+-⨯-=, 所以αβ+与αβ-正交,即αβ+与αβ-的夹角为2π(或者090) 3.设向量组1230224571:1,,1A ααα⎛⎫⎛⎫⎛⎫ ⎪ ⎪ ⎪=== ⎪ ⎪ ⎪⎪ ⎪ ⎪⎝⎭⎝⎭⎝⎭,则A 的一个最大线性无关组为:12,αα; 解:因为21212331321021021022(,,)1240220115157055000r r r A r r r r ααα⎛⎫⎛⎫⎛⎫-÷ ⎪ ⎪ ⎪==−−−−→−−−−→ ⎪ ⎪ ⎪-- ⎪ ⎪ ⎪⎝⎭⎝⎭⎝⎭, 所以()2R A =,从而A 的一个最大线性无关组为:12,αα(或者13,αα,或者23,αα) 4.已知 3 阶方阵A 有特征值 -1,1,2,则 22A A +=24-。
解:因为2()2f A A A =+,则22()x f x x +=,因为3 阶方阵A 有特征值 -1,1,2 所以12(1)1f --==-,223(1)1f +==,2228(2)2f +⨯== 从而2(1)(1)(2)242f f f A A =-=-+5.设4元非齐次线性方程组Ax b =的系数矩阵A 的秩为3 , 且它的三个解向量123,,ηηη 满足1(1,1,1,1)Tη=,23(1,2,1,1)Tηη+=,则Ax b =的通解为: ; 解:因为()3R A =,所以0Ax =的基础解系含向量的个数为:4()431R A -=-=, 又Ax b =的三个解向量123,,ηηη,所以12322(1,1,1,1)()(1,2,1,1)(1,0,1,1)TT Tξηηη==-+-=是0Ax =的一个非零解,从而可作为其基础解系。
04184线性代数(经管类)一、二、单选题1、B:-1A:-3C:1 D:3做题结果:A 参考答案:D 2、B:dA:abcdC:6 D:0做题结果:A 参考答案:D 3、B:15A:18C:12 D:24做题结果:A 参考答案:B 4、B:-1A:-3C:1 D:3做题结果:A 参考答案:D 6、B:15A:18C:12 D:24做题结果:A 参考答案:B 20、B:kA:k-1C:1 D:k+1做题结果:A 参考答案:B 21、行列式D如果按照第n列展开是【】A.,B.,C.,D.做题结果:A 参考答案:A22、关于n个方程的n元齐次线性方程组的克拉默法则,说法正确的是【】A:如果行列式不等于0,则方程组必有无穷多解B:如果行列式不等于0,则方程组只有零解C:如果行列式等于0,则方程组必有唯一解D:如果行列式等于0,则方程组必有零解做题结果:A 参考答案:B23、已知三阶行列D中的第二列元素依次为1、2、3,它们的余子式分别为-1、1、2,则D的值为。
【】A:-3B:-7C:3 D:7做题结果:A 参考答案:A24、A:0B:1C:-2 D:2做题结果:A 参考答案:C25、B:dA:abcdC:6 D:0做题结果:A 参考答案:D26、B:a≠0A:a≠2C:a≠2或a≠0 D:a≠2且a≠0做题结果:A 参考答案:D27、A.,B.,C.,D.做题结果:B 参考答案:B 28、A:-2|A|B:16|A|C:2|A| D:|A|做题结果:A 参考答案:B29、下面结论正确的是【】A:含有零元素的矩阵是零矩阵B:零矩阵都是方阵C:所有元素都是零的矩阵是零矩阵D:若A,B都是零矩阵,则A=B做题结果:A 参考答案:C30、设A是n阶方程,λ为实数,下列各式成立的是【】C.,D.做题结果:C 参考答案:C31、A.,B.,C.,D.做题结果:B 参考答案:B32、设A是4×5矩阵,r(A)=3,则▁▁▁▁▁。
《线性代数》练习测试题库一.选择题1、=-0000000000121nn a a a a ( B )A. n n a a a 21)1(-B. n n a a a 211)1(+-C. n a a a 212、n 阶行列式0000000000a a a a= ( B )A.na B. (1)2(1)n n n a -- C. (1)n n a -3、n21= ( B )A. (1)!nn - B. (1)2(1)!n n n -- C. 1(1)!n n +-4、 A 是n 阶方阵,m, l 是非负整数,以下说法不正确的是 ( C ). A. ()m l mlA A = B. mlm lA A A+⋅= C. m m mB A AB =)(5、A 、B 分别为m n ⨯、s t ⨯矩阵, ACB 有意义的条件是 ( C ) A. C 为m t ⨯矩阵; B. C 为n t ⨯矩阵; C. C 为n s ⨯矩阵6、下面不一定为方阵的是 (C )A.对称矩阵.B.可逆矩阵.C. 线性方程组的系数矩阵.7、 ⎥⎦⎤⎢⎣⎡-1021 的伴随矩阵是 (A ) A. ⎥⎦⎤⎢⎣⎡1021 B. ⎥⎦⎤⎢⎣⎡-1201 C. ⎥⎦⎤⎢⎣⎡-1021 8、 分块矩阵 00A B ⎡⎤⎢⎥⎣⎦(其中A 、B 为可逆矩阵)的逆矩阵是 ( A )A. 1100A B --⎡⎤⎢⎥⎣⎦ B. 00BA ⎡⎤⎢⎥⎣⎦ C. 1100B A --⎡⎤⎢⎥⎣⎦9、线性方程组Ax b = 有唯一解的条件是 ( A )A.()()r A r A b A ==的列数B.()()r A r A b = .C.()()r A r A b A ==的行数10、线性方程组 ⎪⎩⎪⎨⎧=++=++=++23213213211a ax x x a x ax x x x ax 有唯一解的条件是 (A )A. 2,1-≠aB. 21-==a a 或.C. 1≠a11、 的是则下面向量组线性无关),,,=(),,,=()6,2,4(054312--=--γβα(B )A. 0,,βα B. γβ, C. γα, 12、设A 为正交矩阵,下面结论中错误的是 ( C )A. A T 也为正交矩阵.B. A -1也为正交矩阵.C. 总有 1A =-13、二次型()233221214321342,,,,x x x x x x x x x x f --+=的矩阵为 ( C )A 、⎥⎥⎥⎦⎤⎢⎢⎢⎣⎡---340402021B 、⎥⎥⎥⎦⎤⎢⎢⎢⎣⎡---320201011 C 、⎥⎥⎥⎥⎦⎤⎢⎢⎢⎢⎣⎡---0000032002010011 14、设r 是实二次型),,,(21n x x x f 的秩,p 是二次型的正惯性指数,q 是二次型的负惯性指数,s 是二次型的符号差,那么 ( B )A. q p r -=;B. q p r +=;C. q p s +=; 15、下面二次型中正定的是 ( B )A. 21321),,(x x x x x f =B.2322213212),,(x x x x x x f ++= C.22213212),,(x x x x x f +=二、判断题1、若行列式主对角线上的元素全为0,则此行列式为0. ( ⨯ )2、A 与B 都是3×2矩阵,则A 与B 的乘积也是3×2矩阵。
线性代数考试练习题带答案一、单项选择题(每小题3分,共15分)1.设A 为m n ⨯矩阵,齐次线性方程组0AX =仅有零解的充分必要条件是A 的( A ). (A ) 列向量组线性无关, (B ) 列向量组线性相关, (C )行向量组线性无关, (D ) 行向量组线性相关. 2.向量,,αβγ线性无关,而,,αβδ线性相关,则( C )。
(A ) α必可由,,βγδ线性表出, (B )β必不可由,,αγδ线性表出, (C )δ必可由,,αβγ线性表出, (D )δ必不可由,,αβγ线性表出. 3. 二次型()222123123(,,)(1)1f x x x x x x λλλ=-+++,当满足( C )时,是正定二次型.(A )1λ>-; (B )0λ>; (C )1λ>; (D )1λ≥.4.初等矩阵(A );(A ) 都可以经过初等变换化为单位矩阵;(B ) 所对应的行列式的值都等于1; (C ) 相乘仍为初等矩阵; (D ) 相加仍为初等矩阵 5.已知12,,,n ααα线性无关,则(C )A. 12231,,,n n αααααα-+++必线性无关;B. 若n 为奇数,则必有122311,,,,n n n αααααααα-++++线性相关;C. 若n 为偶数,则必有122311,,,,n n n αααααααα-++++线性相关;D. 以上都不对。
二、填空题(每小题3分,共15分)6.实二次型()232221213214,,x x x x tx x x x f +++=秩为2,则=t7.设矩阵020003400A ⎛⎫⎪= ⎪ ⎪⎝⎭,则1A -=8.设A 是n 阶方阵,*A 是A 的伴随矩阵,已知5A =,则*AA 的特征值为 。
9.行列式111213212223313233a b a b a b a b a b a b a b a b a b =______ ____;10. 设A 是4×3矩阵,()2R A =,若102020003B ⎛⎫ ⎪= ⎪ ⎪⎝⎭,则()R AB =_____________;三、计算题(每小题10分,共50分)11.求行列式111213212223313233a b a b a b D a b a b a b a b a b a b +++=++++++的值。
《线性代数》题库及答案本页仅作为文档封面,使用时可以删除This document is for reference only-rar21year.March《线性代数》题库及答案一、选择题1.如果D=333231232221131211a a a a a a a a a ,则行列式33323123222113121196364232a a a a a a a a a 的值应为: A . 6D B .12D C .24D D .36D 2.设A 为n 阶方阵,R (A )=r<n,那么:A .A 的解不可逆B .0=A中所有r 阶子式全不为零 D. A 中没有不等于零的r 阶子式 3.设n 阶方阵A 与B 相似,那么:A .存在可逆矩阵P ,使B AP P =-1 B .存在对角阵D ,使A 与B 都相似于DC .E B E A λλ-=-D .B A ≠4.如果3333231232221131211==a a a a a a a a a D ,则131211332332223121333231323232a a a a a a a a a a a a ---等于A . 6B . -9C .-3D .-6 5.设矩阵n m ij a A ⨯=)(,m<n,且R (A )=r,那么:A .r<mB .r<nC .A 中r 阶子式不为零D .A 的标准型为⎪⎪⎭⎫⎝⎛0E , 其中E 为r 阶单位阵。
6.A 为n 阶可逆矩阵,λ是A 的一个特征根,则A 的伴随矩阵*A 的特征根之一是:A .nA1-λ B .A λ C .A 1-λ D .nA λ7.如果⎪⎩⎪⎨⎧=--=+=++050403z y kx z y z ky x 有非零解,则k 应为:____________。
A . k =0B . k =1C . k =2D . k =-28.设A 是n 阶方阵,3≥n 且2)(-=n A R ,*A 是A 的伴随阵,那么:___________。
第五章 相似矩阵及二次型一、 是非题(正确打√,错误打×)1.若线性无关向量组r αα,,1 用施密特法正交化为r ββ,,1 则对任何),1(r k k ≤≤向量组kαα,,1 与向量组r ββ,,1 等价. (√)2. 若向量组r αα,,1 两两正交,则r αα,,1 线性无关. (√)3.n 阶正交阵A 的n 个行(列)向量构成向量空间n R 的一个规范正交基. (√)4.若A 和B 都是正交阵,则AB 也是正交阵. (√)5.若A 是正交阵, Ax y =,则x y =. (√)6.若112⨯⨯⨯=n n n n x x A ,则2是n n A ⨯的一个特征值. (×) 7.方阵A 的特征向量只能对应唯一的特征值,反之亦成立. (×) 8.n 阶矩阵A 在复数范围内有n 个不同的特征值. (×) 9. 矩阵A 有零特征值的充要条件是0=A . (√) 10.若λ是A 的特征值,则)(λf 是)(A f 的特征值(其中)(λf 是λ的多项式).(√)11.设1λ和)(212λλλ≠是A 的特征值, 1x 和2x 为对应特征向量,则21x x +也是A 的特征向量. (×) 12. T A 与A 的特征值相同. (√)13.n 阶矩阵A 有n 个不同特征值是A 与对角矩阵相似的充分必要条件. (×) 14.若有可逆矩阵P ,使n 阶矩阵A ,B 满足: B PAP =-1,则A 与B有相同的特征值. (√)15.两个对角矩阵的对角元素相同,仅排列位置不同,则这两个对角矩阵相似. (√)16.设n 阶矩阵A ,B 均与对角阵相似且有相同的特征值,则A 与B 相似. (√) 17.实对称矩阵A 的非零特征值的个数等于它的秩. (√)18. 若k ααα,,,21 线性无关且都是A 的特征向量,则将它们先正交化,再单位化后仍为A 的特征向量. (√)19. 实对称阵A 与对角阵 Λ相似:Λ=-AP P 1,这里P 必须是正交阵 。
第五章n 维向量空间习题一1. 解:a-b = a+(-b)= (1,1,0)T +(0,-1,-1)T = (1,0,-1)T3a+2b-c = 3a+2b+(-c)= (3,3,0)T +(0,2,2)T +(-3,-4,0)T = (0,1,2)T2. 解: 3(a 1-a)+2(a 2+a) = 5(a 3+a) 3a 1+2a 2+(-3+2)a = 5a 3+5a 3a 1+2a 2+(-a) = 5a 3+5a3a 1+2a 2+(-a)+a+(-5)a 3 = 5a 3+5a+a+(-5)a 3 3a 1+2a 2+(-5)a 3 = 6a61[3a 1+2a 2+(-5)a 3] = 61⨯6a 21a 1+31a 2+(-65)a 3 = a将a 1=(2,5,1,3)T ,a 2=(10,1,5,10)T ,a 3=(4,1,-1,1)T 代入a =21a 1+31a 2+(-65)a 3 中可得: a=(1,2,3,4)T .3. (1) V 1是向量空间.由(0,0,…,0)∈V 1知V 1非空.设a=(x 1,x 2,…,x n )∈V 1,b=(y 1,y 2,…,y n )∈V 1,则有x 1+x 2+…+x n =0,y 1+y 2+…+y n =0.因为(x 1+y 1)+(x 2+y 2)+…+(x n +y n )= (x 1+x 2+…+x n )+( y 1+y 2+…+y n )=0所以a+b=( x 1+y 1,x 2+y 2,…,x n +y n )∈V 1.对于k ∈R ,有 kx 1+kx 2+…+kx n =k(x 1+x 2+…+x n )=0所以ka=( kx 1,kx 2,…,kx n ) ∈V 1.因此V 1是向量空间.(2) V 2不是向量空间.因为取a=(1, x 2,…,x n )∈V 2 ,b=(1, y 2,…,y n )∈V 2,但a+b=(2, x 2+y 2,…,x n +y n )∉V 2.因此V 2不是向量空间.习 题 二1. 求向量b 关于向量组a 1,a 2,a 3,a 4的线性组合表达式:(1) 解:设向量b 关于向量组a 1,a 2,a 3,a 4的线性组合表达式为: b=k 1a 1+k 2a 2+k 3a 3+k 4a 4其中, k 1,k 2,k 3,k 4为待定常数.则将b=(0,2,0,-1)T ,a 1=(1,1,1,1)T ,a 2=(1,1,1,0)T ,a 3=(1,1,0,0)T ,a 4=(1,0,0,0)T 向量b 关于向量组a 1,a 2,a 3,a 4的线性组合表达式中可得: (0,2,0,-1)T =k 1(1,1,1,1)T +k 2(1,1,1,0)T +k 3(1,1,0,0)T +k 4(1,0,0,0)T根据对分量相等可得下列线性方程组:⎪⎪⎩⎪⎪⎨⎧-====++++++1201213214321k k k k k k k k k k解此方程组可得:k 1=-1,k 2=1,k 3=2,k 4=-2.因此向量b 关于向量组a 1,a 2,a 3,a 4的线性组合表达式为: b=-a 1+a 2+2a 3-2a 4 .(2) 与(1)类似可有下列线性方程组:⎪⎪⎩⎪⎪⎨⎧===-=+++++++++121332223212143214321k k k k k k k k k k k k k由方程组中的第一和第二个方程易解得:k 2=4,于是依次可解得:k 1=-2,k 3=-9, k 4=2.因此向量b 关于向量组a 1,a 2,a 3,a 4的线性组合表达式为: b=-2a 1+4a 2-9a 3+2a 4 .2.(1) 解:因为向量组中向量的个数大于每个向量的维数,由推论2知a 1,a 2 ,a 3,a 4线性相关.(2) 解:()⎪⎪⎪⎭⎫ ⎝⎛--→⎪⎪⎪⎭⎫ ⎝⎛-→⎪⎪⎪⎭⎫ ⎝⎛=400510111220510111331621111321a a a因为()3321=a a a R所以a 1,a 2,a 3线性无关.(3) 解:()⎪⎪⎪⎭⎫ ⎝⎛-→⎪⎪⎪⎭⎫ ⎝⎛--→⎪⎪⎪⎭⎫ ⎝⎛-=00021011142012601117131442111321a a a因为()32321<=a a a R所以a 1,a 2,a 3线性相关. (4) 解:()⎪⎪⎪⎭⎫ ⎝⎛--→⎪⎪⎪⎭⎫ ⎝⎛---→⎪⎪⎪⎭⎫ ⎝⎛---=500410111320410111211301111321a a a因为()3321=a a a R所以a 1,a 2,a 3线性无关.3. 证明:假设有常数k 1,k 2,k 3,使 k 1b 1+k 2b 2+k 3b 3=0又由于b 1=a 1,b 2=a 1+a 2,b 3=a 1+a 2+a 3,于是可得 k 1a 1+k 2(a 1+a 2)+k 3(a 1+a 2+a 3)=0 即(k 1+k 2+k 3)a 1+ (k 2+k 3)a 2+k 3a 3=0 因为a 1,a 2,a 3线性无关,所以有⎪⎩⎪⎨⎧==+=++000332321k k k k k k 解得⎪⎩⎪⎨⎧===000321k k k因此向量组b 1,b 2,b 3线性无关.4. 设存在常数k 1,k 2,k 3,k 4使k 1b 1+k 2b 2+k 3b 3+k 4b 4=0因为b 1=a 1+a 2,b 2= a 2+a 3,b 3=a 3+a 4,b 4= a 4+a 1 于是可得:k 1 (a 1+a 2)+k 2(a 2+a 3)+k 3(a 3+a 4)+k 4(a 4+a 1)=0 整理得:(k 1+k 4)a 1+ (k 2+k 1)a 2+(k 2+k 3)a 3+(k 3+k 4)a 4=0, (下用两种方法解)法 一:因为a 1,a 2,a 3,a 4为同维向量,则 (1) 当向量组a 1,a 2,a 3,a 4线性无关时,k 1+k 4=0, k 2+k 1=0,k 2+k 3=0,k 3+k 4=0可解得:k 2=- k 1,k 4=- k 1,k 3=k 1取k 1≠0可得不为0的常数k 1,k 2,k 3,k 4使k 1b 1+k 2b 2+k 3b 3+k 4b 4=0 因此b 1,b 2,b 3,b 4线性相关。
线性代数考试题库及答案一、单项选择题(共5小题,每题2分,共计10分)1.在111()111111x f x x x -+=-+-展开式中,2x 的系数为 ( )(A) -1 (B) 0 (C) 1 (D) 22.A 是m ×n 矩阵,(),r A r B =是m 阶可逆矩阵,C 是m 阶不可逆矩阵,且()r C r <,则 ( )(A) BAX O =的基础解系由n-m 个向量组成 (B) BAX O =的基础解系由n-r 个向量组成 (C) CAX O =的基础解系由n-m 个向量组成 (D) CAX O =的基础解系由n-r 个向量组成3.设n 阶矩阵,A B 有共同的特征值,且各自有n 个线性无关的特征向量,则( ) (A)A B = (B) ,0A B A B ≠-=但(C) AB (D) A B 与不一定相似,但A B =4.设,,A B C 均为n 阶矩阵,且AB BC CA E ===,其中E 为n 阶单位阵,则222A B C ++= ( )(A) O (B) E (C) 2E (D) 3E5.设1010,0203A B ⎛⎫⎛⎫== ⎪ ⎪⎝⎭⎝⎭,则A B 与 ( ) (A)合同,且相似 (B)不合同,但相似 (C)合同,但不相似 (D )既不合同,又不相似二、填空题(共 二、填空题(共10小题,每题 2分,共计 20 分)1.已知1112223330a b c a b c m a b c =≠,则111122223333232323a b c c a b c c a b c c ++=+ 。
2.设101020101A ⎛⎫⎪= ⎪ ⎪⎝⎭,若三阶矩阵Q 满足2,AQ E A Q +=+则Q 的第一行的行向量是 。
3.已知β为n 维单位列向量,T β为β的转置,若T C ββ= ,则2C = 。
4.设12,αα分别是属于实对称矩阵A 的两个互异特征值12,λλ的特征向量,则12T αα= 。
5.设A 是四阶矩阵,A *为其伴随矩阵,12,αα是齐次方程组0AX =的两个线性无关解,则()r A *= 。
6.向量组123(1,3,0,5,0),(0,2,4,6,0),(0,3,0,6,9)T T T ααα===的线性关系是 。
7.已知三阶非零矩阵B 的每一列都是方程组1231231232202030x x x x x x x x x λ+-=⎧⎪-+=⎨⎪+-=⎩的解,则λ= 。
8.已知三维向量空间3R 的基底为123(1,1,0),(1,0,1),(0,1,1)T T T ααα===,则向量(2,0,0)T β=在此基底下的坐标是 。
9.设21110012100,112004A a a ⎛⎫⎛⎫⎪⎪== ⎪⎪ ⎪ ⎪⎝⎭⎝⎭则 。
10.二次型222123123121323(,,)222222f x x x x x x x x x x x x =++++-的秩为 。
三、计算题(一)(共4小题,每题8分,共计32分)1.试求行列式1234ab b b ba b bD b b a b =的第四行元素的代数余子式之和.2.设100100020,010003031A B ⎛⎫⎛⎫ ⎪ ⎪== ⎪ ⎪ ⎪ ⎪⎝⎭⎝⎭, 求1()AB -.3.设n 阶方阵,A B 满足2A B AB +=,已知120120003B ⎛⎫⎪=- ⎪⎪⎝⎭,求矩阵A . 4.设二次型22212312313(,,)222(0)f x x x ax x x bx x b =+-+>中,二次型的矩阵A 的特征值之和为1,特征值之积为-12 .(1)求,a b 的值;(2)用配方法化该二次型为标准形.四、计算题(二)(共3小题,每题10 分,共30分) 1.当λ为何值时,方程组1231231232124551x x x x x x x x x λλ+-=⎧⎪-+=⎨⎪+-=-⎩ 无解、有唯一解或有无穷多组解?在有无穷多组解时,用导出组的基础解系表示全部解.2已知向量组1(1,3,2,0)T α=,2(7,0,14,3)Tα= ,3(2,1,0,1)T α=-,45(5,1,6,2),(2,1,4,1)T T αα==-,(1)求向量组的秩;(2)求该向量组的一个极大无关组,并把其余向量分别用该极大无关组线性表示.3.已知矩阵122212221A ⎛⎫⎪= ⎪ ⎪⎝⎭;判断A 能否对角化,若可对角化,求正交矩阵P ,使1PAP -为对角矩阵,并写出相应的对角矩阵。
五、证明题(共2小题,每题4分,共计8分)1.设α是n 阶矩阵A 的属于特征值λ的特征向量.证明:α也是534A A E -+的特征向量. 其中E 为n 阶单位矩阵.2. 设n 维向量组,,αβγ线性无关,向量组,,αβδ 线性相关,证明:δ必可由,,αβγ线性表示.《线性代数》(A 卷)答案要点及评分标准一.选择题(共5小题,每题2分,共计10分)1.A ; 2.B ; 3.C ; 4.D ; 5.C .二.填空题(共10小题,每题2分,共计20分)1.6m ; 2.(2,0,1); 3.Tββ; 4.0; 5.0; 6.线性无关; 7. 1; 8. 1,1,-1; 9. 1; 10. 2.三、计算题(一)(共4小题,每题8分,共计32分)1、解:414243441111a b b bb a b bA A A A b b a b +++=………4分 300()001a b a b a b a b a b a b b a b ----==-- ………8分2、解:方法一:100100100020010020003031093AB ⎛⎫⎛⎫⎛⎫ ⎪⎪ ⎪== ⎪⎪ ⎪ ⎪⎪ ⎪⎝⎭⎝⎭⎝⎭………2分100100()0200100931ABE ⎛⎫ ⎪= ⎪ ⎪⎝⎭→10010010********312⎛⎫ ⎪ ⎪⎪ ⎪ ⎪ ⎪- ⎪⎝⎭→10010010100023100123⎛⎫ ⎪ ⎪ ⎪ ⎪ ⎪ ⎪- ⎪⎝⎭所以11001()00231023AB -⎛⎫ ⎪ ⎪⎪= ⎪ ⎪ ⎪- ⎪⎝⎭………8分(2)方法二:11110010010011()010000022********0323AB B A ---⎛⎫⎛⎫⎪ ⎪⎛⎫⎪⎪⎪ ⎪ ⎪=== ⎪⎪ ⎪ ⎪-⎪ ⎪⎝⎭ ⎪ ⎪-⎝⎭⎝⎭………8分3、解:方法一:由2A B AB +=, 得到()2A E B B -=-,……2分→110010210100021001002⎛⎫- ⎪ ⎪⎪- ⎪ ⎪⎪- ⎪⎝⎭ ……5分 所以,E B -可逆,12()A B E B -=--=320120003-⎛⎫ ⎪⎪ ⎪⎝⎭. ……8分020100(,)110010002001E B E -⎛⎫ ⎪-=- ⎪ ⎪-⎝⎭方法二:由2A B AB +=, 得到()2A E B B -=-, ……2分 用初等列变换求A0201100022240240006E B B -⎛⎫ ⎪- ⎪ ⎪--⎛⎫= ⎪ ⎪---⎝⎭ ⎪ ⎪- ⎪ ⎪-⎝⎭ → 100010001320120003⎛⎫⎪ ⎪ ⎪⎪- ⎪ ⎪ ⎪ ⎪⎝⎭……6分所以, 320120003A -⎛⎫⎪= ⎪ ⎪⎝⎭. ……8分4、 解:二次型的矩阵002002a b A b ⎛⎫⎪= ⎪ ⎪-⎝⎭ 根据题意得到22(2)1,4212a a b ++-=--=- 1,2a b == ………4分f =222222123131323224(2)26x x x x x x x x x +-+=++- 令 11322332y x x y x y x=+⎧⎪=⎨⎪=⎩,标准形为22212326y y y +-. ………8分四、计算题(二)(共3小题,每题10分,共计30分)1、解: 2111(1)(54)455A λλλλ-=-=-+- 由克莱姆法则当415λλ≠≠-且时,方程组有唯一解; ……2分当45λ=-时(,)r A b =42115411254551⎛⎫-- ⎪ ⎪⎪-- ⎪ ⎪-- ⎪ ⎪⎝⎭→⋅⋅⋅→1045545510009--⎛⎫ ⎪-- ⎪ ⎪⎝⎭有()(,)r A r A b ≠,所以方程组无解; ……4分 当1λ=时(,)r A b =211111124551-⎛⎫⎪- ⎪ ⎪--⎝⎭→⋅⋅⋅→100101110000⎛⎫ ⎪-- ⎪ ⎪⎝⎭ 有()(,)23r A r A b ==<,方程组有无穷多组解,原方程组等价于方程组为12311x x x =⎧⎨-=-⎩ 取30x =,得到特解(1,1,0)T η=-令31x =,代入等价方程组的齐次线性方程组中求得基础解系为(1,0,1)T ξ=方程组的全部解为x k ηξ=+ 其中k 为任意常数 ……10分2、解:初等行变换矩阵12345(,,,,)ααααα到行最简梯矩阵为123451725230111(,,,,)21406403121ααααα⎛⎫⎪-- ⎪= ⎪ ⎪ ⎪⎝⎭→ 211003311010330011000000⎛⎫- ⎪ ⎪ ⎪⎪ ⎪ ⎪ ⎪⎝⎭……6分可得向量组的秩为3,向量组的一个极大无关组为123,,ααα,且41235122111,3333ααααααα=++=-+ ……10分3、解:A 的特征多项式为2122212(5)(1)221E A λλλλλλ----=---=-+--- ………3分得到矩阵A 的全部特征值为1231,5λλλ==-= 当121λλ==-时,由()0E A x --=得一个基础解系12(1,1,0),(1,0,1)T T ξξ=-=-正交化,单位化1(T β=,2(Tβ=当35λ=时,由(5)0E A x -=的一个基础解 3(1,1,1)T ξ=将其单位化得3Tβ= ………8分 因此A 能对角化且正交阵123(,,)6Pβββ⎛⎫⎪==-⎝,1P AP-=Λ使,相应的对角阵为100010005-⎛⎫⎪Λ=-⎪⎪⎝⎭……10分五、证明题(共2小题,每题4分,共计8分)1、证明:因为,Aαλα=有53535353(4)44(41)A A E A Aααααλαλααλλα-+=-+=-+=-+根据特征值和特征向量的定义得α也是534A A E-+的特征向量.………4分2、证明:由,,αβγ线性无关,得到,αβ线性无关,又,,αβδ线性相关,则δ可以由,αβ线性表示,所以δ必可由,,αβγ线性表示.………4分。