电子电路第十二章习题及参考答案
- 格式:doc
- 大小:441.50 KB
- 文档页数:9
电工电子学课后习题答案目录电工电子学课后习题答案....................................... 错误!未定义书签。
第一章电路的基本概念、定律与分析方法....................... 错误!未定义书签。
练习与思考........................................... 错误!未定义书签。
习题................................................. 错误!未定义书签。
第二章正弦交流电 ........................................... 错误!未定义书签。
课后习题............................................. 错误!未定义书签。
第三章电路的暂态分析....................................... 错误!未定义书签。
第四章常用半导体器件....................................... 错误!未定义书签。
第五章基本放大电路......................................... 错误!未定义书签。
第六章集成运算放大器及其应用............................... 错误!未定义书签。
第七章数字集成电路及其应用................................. 错误!未定义书签。
第八章 Multisim简介及其应用................................. 错误!未定义书签。
第九章波形的产生与变换...................................... 错误!未定义书签。
第十章数据采集系统 ......................................... 错误!未定义书签。
第12章习题解答12-1 已知由与非门组成的基本RS触发器和输入端D R、D S的波形如题图12-1所示,试对应地画出Q和Q的波形,并说明状态“不定”的含义。
题图 12-1解:12.2 已知可控RS触发器CP、R和S的波形如题图12-2所示,试画出输出Q的波形。
设初始状态分别为0和1两种情况。
题图12-2解:12-3 在主从结构的JK触发器中,已知CP、J、K的波形如题图12-3所示,试画出Q端的波形。
设初始状态Q=0。
题图12-3解:12-4 维持阻塞型D触发器的输入D和时钟脉冲CP的波形如题图12-4所示,试画出Q端的波形。
设初始状态Q = 0。
题图12-4解:12-5 在T触发器中,已知T和CP的波形如题图12.5所示,试画出Q端的波形。
设初始状态Q= 0。
题图12-5解:12-6 写出题图12-6所示电路的逻辑关系式,说明其逻辑功能。
题图12-6解:逻辑关系为:Q D AQ BQ==+所以其功能为JK触发器。
12-7 如题图12-7所示的电路和波形,试画出D端和Q端的波形。
设初始状态Q= 0。
题图12-7解:12-8 将主从型JK触发器转换为T'触发器有几种方案?画出外部连线图。
解:12-9 电路如题图12-9所示。
画出Q0端和Q1端在六个时钟脉冲CP作用下的波形。
设初态Q=Q0= 0。
1题图12-9解:12-10 用题图12.10(a)所给器件构成电路,并在示波器上观察到如图12.10(b)所示波形。
试问电路是如何连接的?请画出逻辑电路图。
(a) (b)题图12-10解:12-11 已知如题图12.11(a)所示电路的各输入端信号如题图12-11(b)所示。
试画出触发器输出端Q0和Q1的波形。
设触发器的初态均为0。
(a) (b)题图12-11解:12-12 已知电路和时钟脉冲CP及输入端A的波形如题图12-12所示,试画出输出端Q、1Q 的波形。
假定各触发器初态为1。
(a) (b)题图12-12解:12-13 已知题图12-13(a)所示电路中输入A及CP的波形如题图12-13(b)所示。
12.1 三相电路三相电路由三相电源、三相负载和三相输电线路三部分组成。
三相电路的优点:发电方面:比单项电源可提高功率50%;输电方面:比单项输电节省钢材25%;配电方面:三相变压器比单项变压器经济且便于接入负载;运电设备:结构简单、成本低、运行可靠、维护方便。
以上优点使三相电路在动力方面获得了广泛应用,是目前电力系统采用的主要供电方式。
三相电路的特殊性:(1)特殊的电源;(2)特殊的负载(3)特殊的连接(4)特殊的求解方式研究三相电路要注意其特殊性。
1. 对称三相电源的产生三相电源是三个频率相同、振幅相同、相位彼此相差1200的正弦电源。
通常由三相同步发电机产生,三相绕组在空间互差120 °当转子以均匀角速度「转动时,在三相绕组中产生感应电压,从而形成对称三相电源。
a. 瞬时值表达式U A (t)二' 2U cos tW(t)二2U cos( t -120°)u C(t)二2U c°s( t 120°)A、B、C三端称为始端,X、Y、Z三端称为末端b. 波形图如右图所示c. 相量表示U:=U 0oU;=U -120oU:=U 120od. 对称三相电源的特点U A U B U c = 0u A u;U C-oe. 对称三相电源的相序定义:三相电源各相经过同一值(如最大值)的先后顺序。
正序(顺序):A —B—C—A负序(逆序):A —C—B—A (如三相电机给其施加正序电压时正转,反转则要施加反序电压)以后如果不加说明,一般都认为是正相序。
2. 三相电源的联接(1)星形联接(Y联接)X, Y, Z接在一起的点称为丫联接对称三相电源的中性点,用N表示。
4〜C ------------------------------- °N (2)三角形联接e联接)注意:三角形联接的对称三相电源没有中点3. 三相负载及其联接三相电路的负载由三部分组成,其中每一部分称为一相负载,三相负载也有二种联接方式。
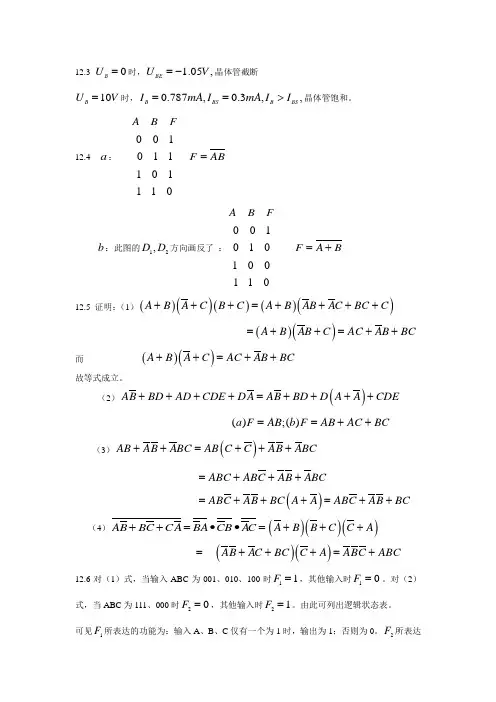
12.3 0B U =时, 1.05,BE U V =-晶体管截断10B U V =时,0.787,0.3,,B BS B BS I m A I m A I I ==>晶体管饱和。
12.4 a :0101110111A B F F A B = b :此图的12,D D 方向画反了 :0011010011A B F F A B =+ 12.5 证明:(1)()()()()()A B A CB C A B AB AC BC C +++=++++()()A B AB C AC AB BC =++=++而 ()()A B A C A C A B B C++=++ 故等式成立。
(2)()A B BD AD CDE D A A B BD D A A CDE ++++=++++();()a F A B b FA B A C B C ==++(3)()AB A B ABC AB C C A B ABC ++=+++ABC AB C A B ABC=+++()ABC A B BC A A ABC A B BC =+++=++(4)AB BC C A B A C B AC ++=∙∙=()()()A B B C C A +++=()()A B AC BC C A A BC ABC +++=+12.6对(1)式,当输入ABC 为001、010、100时11F =,其他输入时10F =。
对(2)式,当ABC 为111、000时20F =,其他输入时21F =。
由此可列出逻辑状态表。
可见1F 所表达的功能为:输入A 、B 、C 仅有一个为1时,输出为1;否则为0。
2F 所表达的功能为:输入A 、B 、C 相同时,输出为0;否则为1。
12.7 (1)F A B = (2)F A C =+ (3)F C = (4)F A C B D B EF =+++ (5)F AB C D =+ (6)F A D =+ (7)0F = 12.8逻辑状态表略。
第12章 集成运算放大器 习题参考答案一、填空题:1. 理想运放同相输入端和反相输入端的“虚短”指的是 同相输入端与反相输入端两点电位相等,在没有短接的情况下出现相当于短接时的现象。
2. 将放大器 输出信号 的全部或部分通过某种方式回送到输入端,这部分信号叫做 反馈 信号。
使放大器净输入信号减小,放大倍数也减小的反馈,称为 负 反馈;使放大器净输入信号增加,放大倍数也增加的反馈,称为 正 反馈。
放大电路中常用的负反馈类型有 并联电压 负反馈、 串联电压 负反馈、 并联电流 负反馈和 串联电流 负反馈。
3. 若要集成运放工作在线性区,则必须在电路中引入 负 反馈;若要集成运放工作在非线性区,则必须在电路中引入 开环 或者 正 反馈。
集成运放工作在线性区的特点是 输入电流 等于零和 输出电阻 等于零;工作在非线性区的特点:一是输出电压只具有 高电平、低电平两种稳定 状态和净输入电流等于 零 ;在运算放大器电路中,集成运放工作在 线性 区,电压比较器集成运放工作在 非线性 区。
4. 集成运放有两个输入端,称为 同相 输入端和 反相 输入端,相应有 同相输入 、 反相输入 和 双端输入 三种输入方式。
5. 放大电路为稳定静态工作点,应该引入 直流 负反馈;为提高电路的输入电阻,应该引入 串联 负反馈;为了稳定输出电压,应该引入 电压 负反馈。
6. 理想运算放大器工作在线性区时有两个重要特点是“虚短”和 “虚断” 。
三、选择题:(每小题2分,共16分)1.集成运算放大器能处理( C )。
A 、直流信号;B 、交流信号;C 、交流信号和直流信号。
2. 为使电路输入电阻高、输出电阻低,应引入( A )。
A 、电压串联负反馈;B 、电压并联负反馈;C 、电流串联负反馈;D 电流并联负反馈。
3. 在由运放组成的电路中,运放工作在非线性状态的电路是( D )。
A 、反相放大器;B 、差值放大器;C 、有源滤波器;D 、电压比较器。
第一章 直流电路 复习与考工模拟参考答案一、填空题1.12 V 、24 V 、36 V 2.5 W 3.2.178×108 J 4.并联 5.12 K Ω 二、选择题 1.D2.A3.D4.D5.C三、判断题1.× 2.× 3.× 4.√ 5.√ 四、分析与计算题1.0.01 A ;10 mA ;1.0×104 μA 2.(1)A 115(或0.45 A )(2)5.6 KW •h (3)2.8元第二章 电容与电感 复习与考工模拟参考答案一、填空题 1.106;1012 2.耐压3.储能;磁场;电场 4.103;1065.电阻(或欧姆) 二、选择题 1.D2.A3.C4.B5.A三、判断题1.√2.×3.×4.√5.√四、简答题略第三章磁场及电磁感应复习与考工模拟参考答案一、填空题1.安培定则(或右手螺旋定则)2.安培;BIlF=3.软磁物质;硬磁物质;矩磁物质4.电磁感应现象5.楞次二、选择题1.B 2.A 3.C 4.A 5.B三、判断题1.√2.√3.√4.×5.×四、分析与作图题1.略2.电流方向:BADCB第四章单相正弦交流电复习与考工模拟参考答案一、填空题1.振幅(最大值或有效值);频率(周期或角频率);初相2.V220(或311 V);s2.0;rad/s)02(或314πrad/s1003.有效值4.电压与电流同频同相;电压超前电流900;电流超前电压9005.正比;反比6.在电感性负载两端并联一容量适当的电容器二、选择题1.B 2.B 3.B 4.D 5.C三、判断题1.×2.√3.×4.×5.√ 6. ×7. ×四、分析与计算题1.最大值:10 A;有效值:A5;周期:0.2 s;频率:5 Hz;初相:150022.440 W3.(1)R=6Ω;L=25.5 mH (2)0.6第五章三相正弦交流电复习与考工模拟参考答案一、填空题1.线电压;相电压;相电压;线电压2.220 V;380 V3.3;等于4.使不对称负载获得对称的相电压5.3;等于二、选择题1.D2.C3.A4.B5. A三、判断题1.√2.√3.√4.√5.×四、分析与作图题1.星形和三角形两种;画图略2.星形联结承受220V相电压;三角形联结时则承受380V线电压。
《通信电子线路》课程的部分习题答案第一章习题参考答案:1-1:1-3:解:1-5:解:第二章习题解答: 2-3,解:2-4,由一并联回路,其通频带B 过窄,在L 、C 不变的条件下,怎样能使B 增宽? 答:减小Q 值或减小并联电阻2-5,信号源及负载对谐振回路有何影响,应该如何减弱这种影响? 答:1、信号源内阻及负载对串联谐振回路的影响:通常把没有接入信号源内阻和负载电阻时回路本身的Q 值叫做无载Q (空载Q 值)如式通常把接有信号源内阻和负载电阻时回路的Q 值叫做有载QL,如式为空载时的品质因数为有载时的品质因数 Q Q QQ LL <可见oo Q RL Q ==ωLS L R R R LQ ++=0ω结论:串联谐振回路通常适用于信号源内阻Rs 很小 (恒压源)和负载电阻RL 也不大的情况。
2、信号源内阻和负载电阻对并联谐振回路的影响2-8,回路的插入损耗是怎样引起的,应该如何减小这一损耗?答:由于回路有谐振电阻R p 存在,它会消耗功率因此信号源送来的功率不能全部送给负载R L ,有一部分功率被回路电导g p 所消耗了。
回路本身引起的损耗称为插入损耗,用K l 表示 无损耗时的功率,若R p = ∞, g p = 0则为无损耗。
有损耗时的功率插入损耗 通常在电路中我们希望Q 0大即损耗小,其中由于回路本身的Lg Q 0p 01ω=,而Lg g g Q 0L p s L )(1ω++=。
2-11,L ps p p p p p p p 11R R R R Q Q G C LG Q L ++===故ωω同相变化。
与L S L R R Q 、 性。
较高而获得较好的选择以使也较大的情况,很大,负载电阻内阻并联谐振适用于信号源L L S Q R R ∴11P P K l '=率回路有损耗时的输出功率回路无损耗时的输出功L2L s s L 201g g g I g V P ⋅⎪⎪⎭⎫ ⎝⎛+==L 2p L ss L 211g g g g I g V P ⋅⎪⎪⎭⎫ ⎝⎛++=='20L 1111⎪⎪⎪⎪⎭⎫⎝⎛-='=Q Q P P K l2-12,解:2-13,5.5Mhz 时,电路的失调为:66.655.0*23.33f f 2Q p 0==∆=ξ 2-14,解:又解:接入系数p=c1/(c1+c2)=0.5,折合后c0’=p 2*c0=0.5pf,R0’=R0/ p 2=20k Ω,总电容C=Ci+C0’+C1C2/(C1+C2)=15.5pf,回路谐振频率fp=45.2Mhz ,谐振阻抗Rp=1/(1/Ri+1/Rp0+1/R0’),其中Rp0为空载时回路谐振阻抗,Rp0=Q0*2π*fp*L=22.72K Ω,因此,回路的总的谐振阻抗为:Rp=1/(1/Ri+1/Rp0+1/R0’)=5.15 K Ω,有载QL=Rp/(2π*fp*L )=22.67,通频带B=fp/QL=1.994Mhz 2-17;第三章习题参考答案:3-3,晶体管的跨导gm是什么含义,它与什么参量有关?答:3-4,为什么在高频小信号放大器中,要考虑阻抗匹配问题?答:3-7,放大器不稳定的原因是什么?通常有几种方法克服?答:不稳定原因:克服方法:3-9,解:3-10;解:第四章习题参考答案:4-1,答:4-3,答:4-5,解:4-6;第五章习题参考答案:5-4,答:5-7,答:5-9,答:5-12,答:(e)图,在L 、C 发生谐振时,L 、C 并联阻抗为无穷大,虽然满足正反馈条件,但增益不满足≥1,故不能振荡?5-13,[书上(6)L1C1〈L3C3〈L2C2=〉f1〉f3〉f2,不能起振] 解:5-15;如图(a)所示振荡电路,(1)画出高频交流等效电路,说明振荡器类型;(2)计算振荡器频率57uH 57uH解:(1)图(b)是其高频交流等效电路,该振荡器为:电容三端式振荡器(2)振荡频率:L=57uH,振荡频率为:,f0=9.5Mhz第六章习题参考答案:6-1,6-3,6-5,解:6-7,解:6-9,解:6-13,解:6-14;答:第七章习题参考答案:7-3,7-5,解:7-9,什么是直接调频和间接调频?它们各有什么优缺点?答:7-10,变容二极管调频器获得线性调制的条件是什么?7.11答:7-12;如图是话筒直接调频的电路,振荡频率约为:20Mhz 。
1.5 限幅电路如图P1.5所示,设D 为理想二极管,输入电压v i 为正弦波,其振幅大于V R 。
试绘出输出电压v O 的波形。
解:(1)当v i <V R 时(V R >0),二极管D 导通,相当于短接,v O =v i ,输出为正弦波。
当v i >V R 时,二极管D 截止,相当于断路,输出电压v O =V R ,被限幅在V R 值上。
分析结果是,本电路只输出小于V R 值的正弦波部分,大于V R 的正弦波被限制在V R 上。
输出波形如图1.5—(a )所示。
(2)当v i <V R (V R <0)时,二极管D 导通,相当于短接,v O =v i ,输出为正弦波(输出为负半周部分波形)。
当v i >V R 时,二极管D 截止,相当于断路,输出电压v O =V R 。
分析结果是,本电路只输出小于V R 值的正弦波部分,大于V R 的正弦波被限制在V R 上。
输出波形如图1.5—(b )所示。
(3)当v i <V R (V R >0)时,二极管D 导通,相当于短路,v O =V R ,输出直流电压V R 。
当v i >V R 时,二极管D 截止,相当于断路,输出电压v O =v i ,输出正弦波。
分析结果是,本电路只输出大于V R 值的正弦波部分,小于V R 的输出波被限制在V R 上。
输出波形如图1.5—(c )所示。
(4)当v i <V R (V R >0)时,二极管D 截止,相当于断路,v O =V R ,输出直流电压V R 。
当v i >V R 时,二极管D 导通,相当于短接,输出电压v O =v i ,输出正弦波。
分析结果是,本电路只输出大于V R 值的正弦波部分,小于V R 的输出波被限制在V R 上。
输出波形如图1.5—(d )所示。
1.6 双向限幅电路如图P1.6所示,设D 1、D 2为理想二极管,输入电压v i 为正弦波,其振幅大于V im =3V R 。
12-3 某对称三相负载,每相阻抗为4030()Z j =+Ω,接于线电压=380l U V 的对称星形三相电源上,(1)若负载为星形联接,求负载相电压和相电流,并画出电压、电流相量图;(2)若负载为三角形联接,求负载相电流和线电流,并画出相电流和线电流的相量图。
解:星形联接的三相电源中,每相电压220()p l U V === 设A 相电压为=2200A U V ∠(1) 负载为星形联接时,电路如附图1所示。
因电路对称,'=0OO U ,故负载各相电压即为电源的各相电压,即'=2200AO A U U V =∠ '=220120BO B U U V =∠- '=220120CO C U U V =∠-UU CU I BI CI题12-3附图1此时负载上的相电流等于线电流,即 ''2200= 4.436.87()4030AO AO A U I I A Z j ∠===∠-+ '= 4.4(36.87120) 4.4156.87()BO B I I A =∠--=∠- '= 4.4(36.87120) 4.483.13()CO C I I A =∠-+=∠ 电压、电流相量图如附图2所示。
AII36.87'U 'CO U 'BO U题12-3附图2(2) 负载为三角形联接时,电路如附图3所示。
负载各相电流为 2203038030=7.6 6.87()40305036.87AB AB U I A Z j ∠===∠-+∠ 7.6( 6.87120)7.6126.87()BC I A =∠--=∠- 7.6( 6.87120)7.6113.13()CA I A =∠-+=∠ 各线电流为33037.6( 6.8730)13.236.87()A AB I I A =∠-=⨯∠--=∠- 33037.6(126.8730)13.2156.87()B BC I I A =∠-=⨯∠--=∠- 33037.6(113.1330)13.283.13()C CA I I A =∠-=⨯∠-=∠-CU U CU I B I CI ABI BCI CAI题12-3附图3相电流、线电流相量图如附图4所示。
习题一1-1 一个继电器的线圈,电阻为48Ω,当电流为0.18A 时才能动作,问线圈两端应施加多大的电压?答:根据欧姆定律可得:U =IR =0.18*48=8.64V1-2 一个1000W 的电炉,接在220V 电源使用时,流过的电流有多大?答:由电路的功率计算公式可知:P =UI ,所以A 55.42201000===U P I 1-3 求题图1-1(a)、(b)电路得U ab 。
解:(1)图(a),由a 到b 的电压降U ab =U ac +U cb ,假定电流方向如图所示,沿a —电池—c —a 回路逆时针方向绕行一周,电压方程式为: -6+4I +2I =0 即得:I =1A则U ac =2(-I )=-2V (或者U ac =-6+4I =-2V )对于cb 支路:因为构不成回路,所以电流为零。
故:U cb =4V # 所以:U ab =U ac +U cb =-2+4=2V #(2)图(b),由a 到b 的电压降U ab =U ac +U cb ,假定电流方向如图所示,与(a)同理在回路中列出电压方程为:-3+1I +2I =0 即得:I =1A则U ac =1(-I )=-1V (或者U ac =-3+2I =-1V )对于cb 支路:因为构不成回路,所以电流为零。
故:U cb =8V 所以:U ab =U ac +U cb =-1+8=7V #1-7 电路如题图1-2所示,求(1)列出电路得基尔霍夫电压定律方程; (2)求出电流(3)求U ab 及U cd解:(1)假设电流的参考方向如图所示,对于db支路,因为不构成回路,支路电流等于零,U db =10V由a 点出发按顺时针方向绕行一周的KVL 电压方程式为:2I +12+1I +2I +2I +1I -8+2I =0得:10I +4=0 #(2)求电流 由上面得回路电压方程式得:)A (4.0104-=-=I # 负号表示电流的实际方向与参考方向相反。
习题十二12-1 写出题图12-1所示逻辑电路输出F 的逻辑表达式,并说明其逻辑功能。
解:由电路可直接写出输出的表达式为:301201101001301201101001D A A D A A D A A D A A D A A D A A D A A D A A F +++==∙∙∙由逻辑表达式可以看出: 当A 1A 0=00 F =D 0 A 1A 0=01 F =D 1A 1A 0=10 F =D 2 A 1A 0=11 F =D 3这个电路的逻辑功能是,给定地址A 1A 0以后,将该地址对应的数据传输到输出端F 。
12-2 组合逻辑电路如题图12-2所示。
(1)写出函数F 的表达式;(2)将函数F 化为最简“与或”式,并用“与非”门实现电路; (3)若改用“或非”门实现,试写出相应的表达式。
解:(1)逻辑表达式为:C A D B D C B A F += (2)化简逻辑式CA DB D BC A C AD B D C A D B C A D C B BC A C A D B A C A D B D C B A C A D B D C B A F +=+++++=++++++=++++=+=∙)1()1())(()(这是最简“与或”表达式,用“与非”门实现电路见题解图12-2-1,其表达式为: C A D B F ∙=(3)若用“或非”门实现电路见题解图12-2-2,其表达式为: C A D B C A D B C A D B C A D B F +++=+++=++=+=))((由图可见,对于同一逻辑函数采用不同的门电路实现,所使用的门电路的个数不同,组合电路的速度也有差异,因此,在设计组合逻辑电路时,应根据具体不同情况,选用不同的门电路可使电路的复杂程度不同。
A A3210题图12-1 习题12-1电路图12-3 组合逻辑电路如题图12-3分析的结果,列成真值表的形式。
解:对于图12-3电路可以写出逻辑函数表达式为:ABCC AB C B ABC C A C B ABC C A F +=++==∙∙ =(AB )⊙C真值表如右图所示,由真值表可以看出,该电路是实现AB 与C 的“同或”,及当AB 与C 的值相同时,电路输出为“1”,否则输出为“0”。
12-4 在有原变量输入、又有反变量输入的条件下,用“与非”门设计实现下列逻辑函数的组合逻辑电路:(1)F (A ,B ,C ,D )=∑m (0,2,6,7,10,12,13,14,15) (2)F (A ,B ,C ,D )=∑m (0,1,3,4,6,7,10,12,13,14,15) (3)F (A ,B ,C ,D )=∑m (0,2,3,4,5,6,7,12,14,15)(4)⎪⎩⎪⎨⎧==∑∑)15,14,13,12,11,10,9,8,5,2(),,,()15,14,13,10,7,6,5,4,2(),,,(21m D C B A F m D C B A F解:将以上的逻辑函数填入卡诺图,用卡诺图法将将逻辑函数化简为最简的“与或”表达式,再根据最简的“与或”表达式用“与非”门实现该逻辑函数。
A B C D B D A C A B C 题图12-2 习题12-2电路图 题图12-3 习题12-3电路图《电路与电子技术基础》第十二章参考答案 第3页由于(4)是双输出函数,为了使得两个输出函数尽可能共享部分项,F 1我们不用最简式,而是尽可能和F 2相同的项化简,故将(4)-1的卡诺图重新化简,如图(4)-1附所示:经过重新对卡诺图化简,这样实现的电路如图(4)所示,该电路要比不经过重新化简的电路而言来说,要简单的多。
对于多输出电路的化简,一定要考虑如何共享门电路,使门电路的个数最少是组合逻辑电路设计中的一个关键问题,化简时要特别注意。
BC BD B A D C F +++=1D C B D C B A F ++=2D B A BC AB D C F +++= D AC D B A D C ABC AB F ++++=(1)(2)D B D A BC C A B A F ++++=(3)12-5 在有原变量输入、又有反变量输入的条件下,用“或非”门设计实现下列逻辑函数的组合逻辑电路:(1)F (A ,B ,C )=∑m (0,1,2,4,5)(2)F (A ,B ,C ,D )=∑m (0,1,2,4,6,10,14,15) 解:真值表和化简函数如下图所示。
根据以上化简的函数用“或非”门实现,其电路如下:12-6 在只有原变量输入、没有反变量输入的条件下,用“与非”门设计实现下列逻辑函数的组合逻辑电路:(1)C B C A D C A B A F +++=(2)F (A ,B ,C ,D )=∑m (1,5,6,7,12,13,14)解:根据题意要求,输入变量只有原变量而没有反变量,且用“与非”门来实现。
故对原逻辑函数化简。
(1) 将逻辑函数填入卡诺图,对卡诺图进行化简(2) 将逻辑函数的最小项填入卡诺图,并对卡诺图进行化简D C B D C BD C B A F +++=1A(4)()()()()CB B AC B B A BC AB F +++=++=+=()()()()()()D B A D C B C A DB A DC B C A F +++++++=+++++=(1)(2)《电路与电子技术基础》第十二章参考答案 第5页12-7 试设计一个8421BCD 码校验电路。
要求当输入量出F 为高电平,否则为低电平。
用“与非”门设计实现该电路,写出F 表达式。
解:根据题意可得真值表如图所示。
根据真值表的值,将其填入卡诺图,然后对卡诺图进行化简,得出逻辑函数,最后根据逻辑函数画出逻辑电路图。
填卡诺图时注意,由于该电路存在无关项,把无关项也填进去,有利于函数的化简,可以使电路大大简化。
ABC D C A C B D F +++=C B C A B A F ++=D BC BC A C AB D C A F +++=(1) (2)12-8 试用两个一位二进制数比较电路实现两个二位二进制数A 1A 0,B 1B 0的比较逻辑功能。
当A >B 时,F 1=1;A =B 时,F 2=1;A <B 时,F 3=1。
12-9 有一水塔,由两台一大一小的电动机M S 和M L 驱动水泵向水塔注水,当水塔的水位在C 以上时,不给水塔注水,当水位降到C 点,由小电动机M S 单独驱动,水位降到B 点时,由大电动机M L 单独驱动给水塔注水,降到A 点时,则两个电动机同时驱动,如题图12-4所示。
试设计一个控制电动机工作的逻辑电路。
解:设水位C 、B 、A 为逻辑变量,则水位低于C 、B 、A 时用1表示,否则用0表示,电动机M S 和M L 运行状况作为输出逻辑函数,M S 和M L 工作时用1表示,不工作时用0表示。
分析逻辑函数与变量之间关系可列出如图所示的真值表。
根据真值表写出逻辑表达式,然后利用代数法或卡诺图对逻辑表达式进行化简,由于该逻辑表达式比较简单,可以直接写出。
最后根据化简的逻辑表达式用门电路实现逻辑电路。
A ABC CB A M S (=+=⊙B )C BC BC A A ABC BC A M L =+=+=)(12-10 飞机在下列条件下不允许发动:门关上但座位皮带未束紧;束紧了座位皮带但是制动闸没有松开;松开了制动闸但门未关上。
但是在维修飞机时发动,则不受上述限制。
试写出飞机发动的逻辑表达式,并用“与非“门实现。
解:设关门、束紧皮带、制动、维修为逻辑变量A 、B 、C 、D ,逻辑函数输出为F 。
关门为1,没关门为0;束紧皮带为1、没束紧皮带为0;没制动为1、制动为0;没维修为1。
维修为0。
可发动飞机为1,不可以发动飞机为0。
可以想象,只有当门关好、皮带束紧、制动松开,飞机才允许发动,但本题只考虑两两的制约关系,所以应根据题意列出真值表。
()BCDD C AB D C B A D ABC C AB BC A C B A F ++=+++=B S LB C D《电路与电子技术基础》第十二章参考答案 第7页12-11 TTL “或非“门组成题图12-5所示电路。
(1)分析电路在什么时刻可能出现冒险现象?(2)用增加冗余项的方法来消除冒险,电路应该怎样修改? 解:(1)由逻辑电路可得D B C B B A D B C B B A F ++=+++++=由表达式可知,当A =0,D =0和C =0,D =0时出现B B +的形式,所以电路可能出现冒险现象。
(2)用增加冗余项消除冒险,就是利用逻辑函数等价的概念。
即用一个表达式不同但等价的逻辑函数代替原逻辑表达式,以便消除冒险组合。
本题中,利用公式BC C A AB C A AB F ++=+=可对上述逻辑函数进行如下变形:C D C B D B C B D B ++=+ A D A B D B A B D B ++=+显然,在这两种等价变换增加了两个冗余项C D 、A D ,而这正好是A =0,D =0和C =0,D =0出现冒险的情况,因此,增加这两个冗余项之后,可以消除冒险现象。
故将原函数表达式可以改为如下形式可以消除冒险:))()()()((D A C D D B C B B A D A C D D B C B B A F +++++=++++=所以可将原电路改为如图所示形式即可。
12-12 组合逻辑电路如题图12-6所示。
(1)分析图示电路,写出函数F 的逻辑表达式,用∑m 形式表示; (2)若允许电路的输入变量有原变量和反变量的形式,将电路改用最少数目的“与非”门实现; (3)检查上述(2)实现的电路是否存在竞争—冒险现象?若存在,则可能在什么时刻出现冒险现象? (4)试用增加冗余项的方法消除冒险(写出函数表达式即可)。
解:(1)根据图示的组合逻辑电路,写出其函数表达式。
为了表达式简单,在图中设中间变量F 1、F 2、F 3,则321F F F F =D AB B D AB AB B ABD AB B ABD AB B F +=++=+==∙)(1题图12-5 习题12-11电路图习题12-11改画电路图题图12-6 习题12-12电路图B ACD D AB A ABCD ACD ABD AB A ABCD ACD ABD AB A F ++=++==∙∙2 B ACD D ABC C ABCD ACD ABCD ABC C ABCD ACD ABCD ABC C F ++=++==∙∙3 ()()()DC B C B AD C A D B A C B A C A BD B A D C B C B A D C A D B A C B A D D C A C A BD C B A BCD CD A D C B C B A D C A BC A C A D C A ABD D B A C B A BD B A CDB A D ABC C CD B A D AB A D AB B CD B A D ABC C CD B A D AB A D AB B CD B A D ABC C CD B A D AB A DAB B F +++++++=++++++++++++=++++++++++++=++=+++++++=+++++=∙∙∙∙∙∙∙)1()1()1(将函数填入卡诺图如图所示。