(完整word)七年级下册数学幂的运算练习题
- 格式:doc
- 大小:98.09 KB
- 文档页数:2
幂的运算总结性练习题幂运算是数学中常见且重要的运算方法之一。
它的原理是将一个数字乘以自己多次,通过指数来表示运算的次数。
在实际应用中,幂运算常用于表示面积、体积、复利计算等方面。
为了巩固对幂运算的理解和运用,下面给出一些幂运算的练习题,帮助读者巩固相关知识点。
题目一:计算幂1. 计算 2^3。
2. 计算 4^2。
3. 计算 5^0。
4. 计算 6^1。
5. 计算 3^4。
题目二:幂的运算规则1. 计算 (2^3)^2。
2. 计算 2^(3+2)。
3. 计算 (4^2)^(1/2)。
4. 计算 2^(3-2)。
5. 计算 (6^3)^(-1)。
题目三:幂运算的性质1. 把一个数的幂的幂记作数的幂的幂的幂,简化表达式2^(2^3)。
2. 计算 2^0+2^1+2^2+2^3+2^4。
题目四:应用题1. 小明每年年末将10000元存入银行,年利率为5%。
存款连续存5年,计算五年后小明的本息合计。
2. 若一个正方形的边长为a,计算正方形的面积。
3. 若一个圆的半径为r,计算圆的周长。
4. 若一个正方体的边长为a,计算正方体的体积。
5. 若一个长方体的长、宽、高分别为a、b、c,计算长方体的体积。
以上练习题旨在通过计算幂的运算,帮助读者熟悉幂运算的基本概念、运算规则和性质,并将其应用于实际问题中。
通过多次练习,读者将对幂运算有更深入的理解和熟练的运用。
建议读者在完成练习题后,自行核对答案,找出自己的错误,并尝试录入实际数值进行计算,提高运算的准确性和速度。
一、同底数幂的乘法1、下列各式中,正确的是( ) A .844m m m = B.25552m m m = C.933m m m = D.66y y 122y =2、102·107= 3、()()()345-=-•-y x y x4、若a m =2,a n =3,则a m+n 等于( ) (A)5 (B)6 (C)8 (D)95、()54a a a =•6、在等式a 3·a 2·( )=a 11中,括号里面人代数式应当是( ).(A)a 7 (B)a 8 (C)a 6 (D)a 383a a a a m =••,则m=7、-t 3·(-t)4·(-t)58、已知n 是大于1的自然数,则()c -1-n ()1+-•n c 等于 ( )A. ()12--n c B.nc 2-C.c-n2 D.n c 29、已知x m-n ·x 2n+1=x 11,且y m-1·y 4-n =y 7,则m=____,n=____. 二、幂的乘方 1、()=-42x 2、()()84aa =3、( )2=a 4b 2;4、()21--k x =5、323221⎥⎥⎦⎤⎢⎢⎣⎡⎪⎭⎫ ⎝⎛-z xy =6、计算()734x x •的结果是 ( )A. 12xB. 14xC. x 19D.84x7、()()=-•342a a8、n n 2)(-a 的结果是 9、()[]52x --= 10、若2,x a =则3x a = 三、积的乘方1)、(-5ab)2 2)、-(3x 2y)2 3)、332)311(c ab - 4)、(0.2x 4y 3)2 5)、(-1.1x m y 3m )2 6)、(-0.25)11×411 7)、-81994×(-0.125)1995 四、同底数幂的除法 1、()()=-÷-a a 42、()45a a a =÷3、()()()333b a ab ab =÷4、=÷+22x x n5、()=÷44ab ab .6、下列4个算式: (1)()()-=-÷-24c c 2c(2) ()y -()246y y -=-÷(3)303z z z =÷ (4)44a a a m m =÷ 其中,计算错误的有 ( )A.4个B.3个C.2个D.1个 7、 ÷a 2=a 3。
.《幂的运算》提高练习题一、选择题1、计算(﹣2)100+(﹣2)99所得的结果是()①a5+a5=a10;②(﹣a)6•(﹣a)3•a=a10;③﹣a4•(﹣a)5=a20;④25+25=26.A、0 个B、1 个C、2 个D、3 个二、填空题A、﹣299B、﹣2C、299D、26、计算:x2•x3= ;(﹣a2)3+(﹣a3)2=2、当m 是正整数时,下列等式成立的有().(1)a2m=(a m)2;(2)a2m=(a2)m;(3)a2m=(﹣a m)2;(4)a2m=(﹣a2)m.A、4 个B、3 个C、2 个D、1 个3、下列运算正确的是()A、2x+3y=5xyB、(﹣3x2y)3=﹣9x6y37、若2m=5,2n=6,则2m+2n=.三、解答题8、已知 3x(x n+5)=3x n+1+45,求 x 的值。
9、若 1+2+3+…+n=a,求代数式(x n y)(x n﹣1y2)(x n﹣2y3)…(x2y n﹣1)(xy n)的3 21 2 4 4C、4x y•(﹣2x y)= ﹣2x yD、(x﹣y)值.3=x3﹣y34、a 与b 互为相反数,且都不等于0,n 为正整数,则下列各组中一定互为相反数的是()A、a n与b nB、a2n与b2nC、a2n+1 与b2n+1D、a2n﹣1 与﹣b2n﹣15、下列等式中正确的个数是()10、已知 2x+5y=3,求 4x•32y的值.11、已知 25m•2•10n=57•24,求 m、n..a 12、已知 a x =5,a x+y =25,求 a x +a y 的值.13、若 x m+2n =16,x n =2,求 x m+n 的值.14、比较下列一组数的大小.8131,2741,96115、如果 a 2+a=0(a ≠0),求 a 2005+a 2004+12 的值.16、已知 9n+1﹣32n =72,求 n 的值.18、若(a n b m b )3=a 9b 15,求 2m+n 的值. 19、计算:a n ﹣5(a n+1b 3m ﹣2)2+(a n ﹣1b m ﹣2)3(﹣b 3m+2) 20、若 x=3a n ,y=﹣1 2n ﹣1,当 a=2,n=3 时,求 a n x ﹣ay 的值. 2 21、已知:2x =4y+1,27y =3x ﹣1,求 x ﹣y 的值. 22、计算:(a ﹣b )m+3•(b ﹣a )2•(a ﹣b )m •(b ﹣a )5 23、若(a m+1b n+2)(a 2n ﹣1b 2n )=a 5b 3,则求 m+n 的值.24、用简便方法计算:1(1)(24)2×421(4)[(2)2]3×(23)3(2)(﹣0.25)12×412(3)0.52×25×0.125答案与评分标准一、选择题(共 5 小题,每小题 4 分,满分 20 分)1、计算(﹣2)100+(﹣2)99所得的结果是()A、﹣299B、﹣2C、299D、2考点:有理数的乘方。
完整版)幂的运算练习题及答案幂的运算》练题一、选择题1.计算(-2)^100+(-2)^99所得的结果是()A。
-299 B。
-2 C。
299 D。
22.当m是正整数时,下列等式成立的有()1)a^(2m)=(a^m)^2;(2)a^(2m)=(a^2)^m;(3)a^(2m)=(-a^m)^2;4)a^(2m)=(-a^2)^m.A。
4个 B。
3个 C。
2个 D。
1个3.下列运算正确的是()A。
2x+3y=5xy B。
(-3x^2y)^3=-9x^6y^3C。
D。
(x-y)^3=x^3-y^34.a与b互为相反数,且都不等于0,n为正整数,则下列各组中一定互为相反数的是()A。
an与XXX^(2n)与b^(2n)C。
a^(2n+1)与b^(2n+1) D。
a^(2n-1)与(-b^(2n-1))5.下列等式中正确的个数是()①a^5+a^5=a^10;②(-a)^6•(-a)^3•a=a^10;③(-a)^4•(-a)^5=a^20;④25+25=26.A。
0个 B。
1个 C。
2个 D。
3个二、填空题6.计算:x^2•x^3=_________;(-a^2)^3+(-a^3)^2=_________.7.若2^m=5,2^n=6,则2^(m+n)=_________.三、解答题8.已知3x(x^n+5)=3x^n+1+45,求x的值。
9.若1+2+3+…+n=a,求代数式(x^n*y)(x^(n-1)*y^2)(x^(n-2)*y^3)…(x^2*y^(n-1))10.已知2x+5y=3,求4x•3^2y的值.11.已知25^m•2•10^n=57•24,求m、n.12.已知a^x=5,a^(x+y)=25,求a^(x+y)的值.13.若x^m+2n=16,x^n=2,求x^(m+n)的值.14.比较下列一组数的大小:8131,2741,96115.如果a^2+a=0(a≠0),求a^2005+a^2004+12的值.16.已知9^(n+1)-32^n=72,求n的值.18.若(a^n*b^m)^3=a^9*b^15,求2m+n的值.19.计算:a^n-5(a^(n+1)*b^(3m-2))^2+(-a^(n-1)*b^(m-2))^3*(-b^(3m+2))20.若x=3^a*n,y=-2^n,当a=2,n=3时,求a^n*x-a^y的值.21.已知:2x=4y+1,27y=3x-1,求x-y的值.22.计算:(a-b)^(m+3)•(b-a)^2•(a-b)^m•(b-a)^523.若(a^(m+1)*b^(n+2))*(a^(2n-1)*b^(2n))=a^5*b^3,则求m+n的值.用简便方法计算:1)2×422)(-0.25)12×4123)0.52×25×0.1254)[(2×23)÷3]3答案与评分标准一、选择题(共5小题,每小题4分,满分20分)1、计算(-2)100+(-2)99所得的结果是()A、-299B、-2C、299解答:(-2)100+(-2)99=(-2)99×(-2)=-299,故选A。
幂的运算经典练习题一、选择题1. 下列运算错误的是 ( )A. x 2?x 4=x 6 B(.﹣ b)2?(﹣b)4=﹣ b 635 9()2(a+1)3=( a+1)5C. x?x ?x =xD. a+12. 计算的结果是( )A. B. C. D.3. ()A. B. C. D.4.A. 5B. 6C. 8D. 95. 若 3 x= 15,3 y=5,则 3 x -y等于 ( ).A. 5B. 3C. 15D. 106. 12 9 )数 N=2 × 5 是(A. 10 位数B. 11位数C. 12位数 D. 13位数7.9,b =4×103,则 a÷ 2b等于()若 a =1.6 × 105B. 27C. 26 5A. 4 × 10 × 10 ×10 D. 2 × 108. 计算的结果是()A. B. C. D.9. 我们约定,如,那么为()A. 32B.C.D.10. 已知 a=3 55, b=4 44,c=5 33,则有 ( )A. a<b<c B<.cb< a C.<ca<b D. <ac<b11. 若, ,则的值为()A. B. C. D.12. 已知 n 是大于 1 的自然数,则 (-c) n-1?(-c) n+1等于 ( )A. B. -2nc2n 2n C. -c D. c二、填空题13. 当 x__________时, ( x-4) 0=1.14. 若,则 (ab) 2x=.15. 若( 2x+1)o=(3x-6) o,则 x 的取值范围是16. 已知:,则17.18. 如果 9 m +3m +14m+7× 27 ÷ 3 = 81,则 m 的值为 __________.19.。
20.计算:()2014×(-)2015×(- 1)2016=________.21.22. 已知则的值为.三、解答题23.24. 计算: [ a 3(- a 4)] 3÷( a 2)3·( a 3)2.25.计算( a- b)m +3·( b- a)2·( a- b)m·( b- a)526. 比,,三数的大小,并用“>”号接.27. 若2,3,求出的?.10 1029. 算 ( × × ×⋯×× 1) ?(10 × 9× 8× 7×⋯× 3× 2× 1)30.算: (-x) 2?x 3?(-2y) 3+(2xy) 2?(-x) 3?y.28. ( 1)若,,求的值(2)若能被 x+1 整除,求 a 的值31.已知( x-1)x +2= 1,求整数 x.32.已知 2 a= 3, 2 b=6,2 c=12,那么 a, b, c 是否满足 a+ c= 2 b 的关系?请说明理由.33.若 5 2x+1=125,求( x-2)2 010+x的值.34.( 1)已知 a m=2, a n=3,求 a 2m +3n的值 .( 2)已知m 2n-2nm +316 =4 ×2,27 =9× 3 ,求 m,n.。
6 a -^a =a / 八 3 3^3 (—ab )= - a bC . (a * 2) 3=a 5苏教版 七年级 数学 幂的运算 练习卷一 .选择题(共13小题) 1 .碳纳米管的硬度与金刚石相当,却拥有良好的柔韧性,可以拉伸,我国某物理所研究组已研制出直径为 的碳纳米管,1纳米=0.000000001米,则 A . 0.5X10^9 米 B . 5X 0-8米 C . 5X 0-9 米 D . 5X 0-10 米 0.5纳米用科学记数法表示为(2. -2.040 X 05表示的原数为( ) A . - 204000 B . - 0.000204 C . - 204.000 D . - 20400 3. (2007?十堰)下列运算正确的是( A6小 3 18 f / 3、2 2 5 A . a ?a =a B . (a ) a =a 一 6 3 2 f 33^3 C . a -^a =a D . a +a =2a 4. (2007?眉山)下列计算错误的是( z 、33A . (- 2x ) = - 2xC . (- x )9r- x )3 6=x)3B . - a ?a= - a3、2 , 6D . (- 2a )=4a0.5纳米6. (2004?三明)下列运算正确的是(A 2小 3 6 A . x ?x =x C . (x - 1) 0=1) ( 2) 3 6 (—x ) =x5 4 D . 6x 5-2x=3x 4 7. A . x>--B . XM —二2[2C . x <--D . x M2\2在①(-1) 0=1 ;②(-1) 3=-1 :③3a =,;④3a(-x ) 5— (- x ) 3= - x 2 中,A .①②B .②③C .①②③D .①②③④苦 (3、 右 a =( )-2 b= (- 1) -1,c=(--.)则 a , b ,c 的大小关系是()A . a > b > cB . a > c > bC . c > a > bD . c > b > a则 )8. 9. 正确的式子有(若( 2x+1 ) 0=110•通讯卫星的高度是 并同时反射给地面需要 A . 3.6X10「1秒 C . 2.4X10「2 秒3.6 X107米,电磁波在空中的传播速度是)B . 1.2 X 0^1 秒 D . 2.4 X 0「1 秒3X108米/秒,从地面发射的电磁波被通讯卫星接受5. 正确的是(1212B .D11.下列计算,结果正确的个数()(1) U) —1 =—3:—3; (2) 2 = —8;(3)(-上)—2——';(4) ( n—3.14) 0=134gA . 1个B. 2个C. 3个D. 4个12. 下列算式,计算正确的有-3 0①10 =0.0001 ;② (0.0001)=1;③ 3aA . 1个B. 2个C. 3个D. 4个13. 计算:^ 的结果是()5 4A .主B. §5 4C.(为仙D. (5他54二.填空题(共8小题)1 - 314. (2005?常州)(占)°= ---------------------------- ;©= ---------------------a+215. 已知(a- 3)a2=1,则整数a= ________________ .16 .如果(x - 1)x+4=1成立,那么满足它的所有整数x的值是24. ________________________________________________________________________ (2010?西宁)计算:(斗)7 —(2 14—兀)°+0.0X4°=________________________________________________________________________________ •25•计算:(1)(- 2.5x3) 2(- 4x3) = _ __ ;(2)(- 104) ( 5XI05) ( 3X102) = ______________ ;26 •计算下列各题:(用简便方法计算)2n 2n-1 2 2 3 2(1)- 10 XI00x( - 10) = ________________________________________ ; (2) [ (- a) (- b) ?a b c] = ;(3)(x3) 2^x2^x+x3-( - x) 2? (- x2) = _______________ ; (4)〔-9)0(-2)(丄)5= ____________3 327.把下式化成(a- b) p的形式:15 ( a- b) 3[ - 6 ( a- b) p+5] (b- a) 2^45 (b - a) 5= ____________ .28 .如果x m=5, x n=25,则x5m-2n的值为________________________ •,. n m k 戸「2n+m-2k 砧/古*29. 已知:a =2, a =3, a =4,贝U a 的值为.30 .比较2100与375的大小2100 ________________ 375.答案与评分标准一•选择题(共13小题)1 •碳纳米管的硬度与金刚石相当,却拥有良好的柔韧性,可以拉伸,我国某物理所研究组已研制出直径为0.5纳米的碳纳米管,1纳米=0.000000001米,贝U 0.5纳米用科学记数法表示为( )A • 0.5X10「9米B • 5 XI0「8米C. 5X10「9米 D • 5X10^10米考点:科学记数法一表示较小的数。
幂的运算专项练习50题(有答案)1.2. (4ab2)2×(﹣a2b)33.(1);(2)(3x3)2•(﹣x);(3) m2•7mp2÷(﹣7mp);(4)(2a﹣3)(3a+1).4.已知a x=2,a y=3求:a x+y与a2x﹣y的值.5.已知3m=x,3n=y,用x,y表示33m+2n.6.若a=255,b=344,c=433,d=522,试比较a,b,c,d 的大小.7.计算:(﹣2 m2)3+m7÷m.8.计算:(2m2n﹣3)3•(﹣mn﹣2)﹣29.计算:.10.(﹣)2÷(﹣2)﹣3+2×(﹣)0.11.已知:2x=4y+1,27y=3x﹣1,求x﹣y的值.12.若2x+5y﹣3=0,求4x•32y的值.13.已知3×9m×27m=316,求m的值.14.若(a n b m b)3=a9b15,求2m+n的值.15.计算:(x2•x3)2÷x6.16.计算:(a2n)2÷a3n+2•a2.17.若a m=8,a n =,试求a2m﹣3n的值.18.已知9n+1﹣32n=72,求n的值.19.已知x m=3,x n=5,求x2m+n的值.20.已知3m=6,9n=2,求32m﹣4n+1的值.21.(x﹣y)5[(y﹣x)4]3(用幂的形式表示)22.若x m+2n=16,x n=2,(x≠0),求x m+n,x m﹣n的值.23.计算:(5a﹣3b4)2•(a2b)﹣2.24.已知:3m•9m•27m•81m=330,求m的值.25.已知x6﹣b•x2b+1=x11,且y a﹣1•y4﹣b=y5,求a+b的值.26.若2x+3y﹣4=0,求9x﹣1•27y.27.计算:(3a2x4)3﹣(2a3x6)2.28.计算:.29.已知16m=4×22n﹣2,27n=9×3m+3,求(n﹣m)2010的值.30.已知162×43×26=22m﹣2,(102)n=1012.求m+n的值.31.(﹣a)5•(﹣a3)4÷(﹣a)2.32.(a﹣2b﹣1)﹣3•(2ab2)﹣2.33.已知x a+b•x2b﹣a=x9,求(﹣3)b+(﹣3)3的值.34.a4•a4+(a2)4﹣(﹣3x4)235.已知(x5m+n y2m﹣n)3=x6y15,求n m的值.36.已知a m=2,a n=7,求a3m+2n﹣a2n﹣3m的值.37.计算:(﹣3x2n+2y n)3÷[(﹣x3y)2]n38.计算:(x﹣2y﹣3)﹣1•(x2y﹣3)2.39.已知a2m=2,b3n=3,求(a3m)2﹣(b2n)3+a2m•b3n的值40.已知n为正整数,且x3n=7,求(3x2n)3﹣4(x2)3n 的值.41.若n为正整数,且x2n=5,求(3x3n)2﹣34(x2)3n 的值.42.计算:(a2b6)n+5(﹣a n b3n)2﹣3[(﹣ab3)2]n.43..44.计算:a n﹣5(a n+1b3m﹣2)2+(a n﹣1b m﹣2)3(﹣b3m+2)45.已知x a=2,x b=6.(1)求x a﹣b的值.(2)求x2a﹣b 的值.46.已知2a•27b•37c=1998,其中a,b,c为整数,求(a﹣b﹣c)1998的值.47.﹣(﹣0.25)1998×(﹣4)1999.48.(1)(2a+b)2n+1•(2a+b)3•(2a+b)n﹣4(2)(x﹣y)2•(y﹣x)5.49.(1)(3x2y2z﹣1)﹣2•(5xy﹣2z3)2.(2)(4x2yz﹣1)2•(2xyz)﹣4÷(yz3)﹣2.50.计算下列各式,并把结果化为正整数指数幂的形式.(1)a2b3(2a﹣1b3);(2)(a﹣2)﹣3(bc﹣1)3;(3)2(2ab2c﹣3)2÷(ab)﹣2.幂的运算50题参考答案:1.解:原式=4﹣1﹣4=﹣1;2. 原式=16a2b4×(﹣a6b3)=﹣2a8b73.解:(1)原式=(﹣5)×3=﹣15;(2)原式=9x6•(﹣x)=﹣9x7;(3)原式=7m3p2÷(﹣7mp)=﹣m2p;(4)原式=6a2+2a﹣9a﹣3=6a2﹣7a﹣3.故答案为﹣15、﹣9x7、﹣m2p、6a2﹣7a﹣3 4.解:a x+y=a x•a y=2×3=6;a2x﹣y=a2x÷a y=22÷3=5.解:原式=33m×32n,=(3m)3×(3n)2,=x3y26.解:a=(25)11=3211;b=(34)11=8111;c=(43)11=4811;d=(52)11=2511;可见,b>c>a>d7.解:(﹣2m2)3+m7÷m,=(﹣2)3×(m2)3+m6,=﹣8m6+m6,=﹣7m68.解:(2m2n﹣3)3•(﹣mn﹣2)﹣2=8m6n﹣9•m﹣2n4= 9.解:原式=(﹣4)+4×1=010.解:原式=÷(﹣)+2×1=﹣2+2=011.解:∵2x=4y+1,∴2x=22y+2,∴x=2y+2 ①又∵27y=3x﹣1,∴33y=3x﹣1,∴3y=x﹣1②联立①②组成方程组并求解得,∴x﹣y=312.解:4x•32y=22x•25y=22x+5y∵2x+5y﹣3=0,即2x+5y=3,∴原式=23=813.解:∵3×9m×27m,=3×32m×33m,=31+5m,∴31+5m=316,∴1+5m=16,解得m=314.解:∵(a n b m b)3=(a n)3(b m)3b3=a3n b3m+3,∴3n=9,3m+3=15,解得:m=4,n=3,∴2m+n=27=12815.解:原式=(x5)2÷x6=x10÷x6=x10﹣6=x416.解:(a2n)2÷a3n+2•a2=a4n÷a 3n+2•a2=a4n﹣3n﹣2•a2=a n﹣2•a2=a n﹣2+2=a n17.解:a2m﹣3n=(a m)2÷(a n)3,∵a m=8,a n =,∴原式=64÷=512.故答案为51218.解:∵9n+1﹣32n=9n+1﹣9n=9n(9﹣1)=9n×8,而72=9×8,∴当9n+1﹣32n=72时,9n×8=9×8,∴9n=9,∴n=119.解:原式=(x m)2•x n=32×5=9×5=4520.解:由题意得,9n=32n=2,32m=62=36,故32m﹣4n+1=32m×3÷34n=36×3÷4=2721.解:(x﹣y)5[(y﹣x)4]3=(x﹣y)5[(x﹣y)4]3=(x﹣y)5•(x﹣y)12=(x﹣y)1722.解:∵x m+2n=16,x n=2,∴x m+2n÷x n=x m+n=16÷2=8,x m+2n÷x3n=x m﹣n=16÷23=223.解:(5a﹣3b4)2•(a2b)﹣2=25a﹣6b8•a﹣4b﹣2=25a﹣10b6=24.解:由题意知,3m•9m•27m•81m,=3m•32m•33m•34m,=3m+2m+3m+4m,=330,∴m+2m+3m+4m=30,整理,得10m=30,解得m=325.解:∵x6﹣b•x2b+1=x11,且y a﹣1•y4﹣b=y5,∴,解得:,则a+b=1026.解:∵2x+3y﹣4=0,∴2x+3y=4,∴9x﹣1•27y=32x﹣2•33y=32x+3y﹣2=32=927.解:(3a2x4)3﹣(2a3x6)2=27a6x12﹣4a6x12=23a6x12 28.解:原式=•a2b3=29.解:∵16m=4×22n﹣2,∴(24)m=22×22n﹣2,∴24m=22n﹣2+2,∴2n﹣2+2=4m,∴n=2m①,∵(33)n27n=9×3m+3,∴(33)n=32×3m+3,∴33n=3m+5,∴3n=m+5②,由①②得:解得:m=1,n=2,∴(n﹣m)2010=(2﹣1)2010=130.解:∵162×43×26=28×26×26=220=22m﹣2,(102)n=102n=1012.∴2m﹣2=20,2n=12,解得:m=11,n=6,∴m+n=11+6=1731.原式=(﹣a)5•a12÷(﹣a)2=﹣a5+12÷(﹣a)2=﹣a17÷a2=﹣a15.32.解:(a﹣2b﹣1)﹣3•(2ab2)﹣2=(a6b3)•(a﹣2b﹣4)=a4b﹣1=33.解:∵x a+b•x2b﹣a=x9,∴a+b+2b﹣a=9,解得:b=3,∴(﹣3)b+(﹣3)3=(﹣3)3+(﹣3)3=2×(﹣3)3=2×(﹣27)=﹣54 34.解:原式=a8+a8﹣9x8,=2a8﹣9x835.解:(x5m+n y2m﹣n)3=x15m+3n y6m﹣3n,∵(x5m+n y2m﹣n)3=x6y15,∴,解得:,则n m=(﹣9)3=﹣24336.解:∵a m=2,a n=7,∴a3m+2n﹣a2n﹣3m=(a m)3•(a n)2﹣(a n)2÷(a m)3=8×49﹣49÷8=37.解:(﹣3x2n+2y n)3÷[(﹣x3y)2]n,=﹣27x6n+6y3n÷(﹣x3y)2n,=﹣27x6n+6y3n÷x6n y2n,=﹣27x6y n38.解:(x﹣2•y﹣3)﹣1•(x2•y﹣3)2,=x2y3•x4y﹣6,=x6y﹣3,=39.解:(a3m)2﹣(b2n)3+a2m•b3n,=(a2m)3﹣(b3n)2+a2m•b3n,=23﹣32+2×3,=540.解:原式=27x6n﹣4x6n=23x6n=23(x3n)2=23×7×7=112741.解:∵x2n=5,∴(3x3n)2﹣34(x2)3n=9x6n﹣34x6n=﹣25(x2n)3=﹣25×53=﹣312542.解:原式=a2n b6n+5a2n b6n﹣3(a2b6)n=6a2n b6n﹣3a2n b6n=3a2n b6n43.解:原式=()50x50•()50x100=x15044.解:原式=a n﹣5(a2n+2b6m﹣4)+a3n﹣3b3m﹣6(﹣b3m+2),=a3n﹣3b6m﹣4+a3n﹣3(﹣b6m﹣4),=a3n﹣3b6m﹣4﹣a3n﹣3b6m﹣4,=045.解:(1)∵x a=2,x b=6,∴x a﹣b=x a÷x b=2÷6=;=(2)∵x a=2,x b=6,∴x2a﹣b=(x a)2÷x b=22÷6=46.解:∵2a•33b⋅37c=2×33×37,∴a=1,b=1,c=1,∴原式=(1﹣1﹣1)1998=147.解:原式=﹣()1998×(﹣4)1998×(﹣4),=﹣()1998×41998×(﹣4),=﹣(×4)1998×(﹣4),=﹣1×(﹣4),=448.解:(1)原式=(2a+b)(2n+1)+3+(n﹣4)=(2a+b)3n;(2)原式=﹣(x﹣y)2•(x﹣y)5=﹣(x﹣y)749.解:(1)原式=()﹣2•()2=•=;(2)原式=•÷=•y2z6=150.解:(1)a2b3(2a﹣1b3)=2a2﹣1b3+3=2ab6;(2)(a﹣2)﹣3(bc﹣1)3,=a6b3c﹣3,=;(3)2(2ab2c﹣3)2÷(ab)﹣2,=2(4a2b4c﹣6)÷(a﹣2b﹣2),=8a4b6c﹣6,。
七年级下册数学幂的运算练习题【1】
一选择
1、下列运算,结果正确的是
A.B.
C.D.
2、观察下列算式:21=2,22=4,23=8,24=16,25=32,26=64,27=128,28=256,…,则89的个位数字是()
A.2 ;B.4;C.8;D.6.
3、若,,则等于( )
A.B.6 C.21 D.20
4、对于非零实数,下列式子运算正确的是()
A.B.
C.D.
5、计算:的结果,正确的是()
A.B.C.D.
6、下列各式计算结果不正确的是( )
A.ab(ab)2=a3b3B.a3b2÷2ab=a2b
C.(2ab2)3=8a3b6D.a3÷a3·a3=a2
二、填空
7、如果,,则= .8、计算:=
_______.
9、计算:= .
10、计算: = ,= .
11、在下列各式的括号中填入适当的代数式,使等式成立:⑴a=();
⑵.
12、计算:= ,= .
13、在横线上填入适当的代数式:,.
14、已知:,求的值.
15、计算:(y)+(y)= .16、计算:(x)= .
17、计算:.
三、解答18、已知,求(1);(2).
19、已知,求的值.
20、解方程:.21、解方程:;
22、地球上的所有植物每年能提供人类大约大卡的能量,若每人每年要消耗
大卡的植物能量,试问地球能养活多少人?
23、计算:. 24、计算:;
25、计算:26、计算:;
27、计算:.
28、;
29、计算:;
30、计算:;。
幂的次方计算题是数学中常见的问题。
在七年级下册数学教材中,幂的次方计算是一个基础且重要的知识点。
下面是一些例题及其解答,帮助你更好地理解和掌握这个知识点。
例题一:计算:(-2)²解答:(-2)²=(-2)×(-2)=4例题二:计算:(-3)³解答:(-3)³=(-3)×(-3)×(-3)=-27例题三:计算:(-4)⁴解答:(-4)⁴=(-4)×(-4)×(-4)×(-4)=256例题四:计算:(-5)⁵解答:(-5)⁵=(-5)×(-5)×(-5)×(-5)×(-5)=-3125例题五:计算:2²×3²解答:2²×3²=(2×2)×(3×3)=4×9=36例题六:计算:(-5)⁴÷(-5)²解答:(-5)⁴÷(-5)²=(-5)×(-5)×(-5)×(-5)÷(-5)×(-5)=(-5)×(-5)×(-5)=-125例题七:计算:3⁴÷3³解答:3⁴÷3³=3×3×3×3÷3×3×3=3例题八:计算:(2⁵)²解答:(2⁵)²=(2×2×2×2×2)×(2×2×2×2×2)=2×2×2×2×2×2×2×2×2×2=1024例题九:计算:(-2)³×(-2)²解答:(-2)³×(-2)²=(-2)×(-2)×(-2)×(-2)×(-2)=32例题十:计算:(-3)⁴×3⁴解答:(-3)⁴×3⁴=(-3)×(-3)×(-3)×(-3)×3×3×3×3=81这些例题涵盖了幂的次方计算的基础知识点,通过解答这些题目,你可以更好地理解并掌握幂的次方计算。
初一数学幂的运算练习姓名________ 学号____一.填空题1、-34πr 3的系数 次数 2、多项式2a 2b-35是 次 项式。
各项的系数分别是3、在下列各式53b a +, 3x , π1, a 2+b 2, 31-a 2bc, x 2+2x+x 1中单项式 有 多项式有 4、多项式a n b n+1+3a 3b+1是5次3项式,n= 。
5、减去3ab 得—2ab 的式子是___6、化简)()(325x x x x --=7、若31123x x x x n n =+,则n=8、若2,5m n a a ==,则m n a +=________;若1216x +=,则x=________. 9、化简)2()2()2(43y x x y y x ---=10、若4x =5,4y =3,则4x+y =________若2,x a =则3x a = 。
11、–a 12=a 3( )9=(-a)5( )7=-a 4( )8二.选择题1、m x -与m x )(-的关系是( )A :相等B :相反C :m 为奇数时相等,m 为偶数时相反D :m 为奇数时相反,m 为偶数时相等2、下列计算正确的是( )A 、102×102=2×102B 、102×102=104C 、102+102=104D 、102+102=2×1043、计算19992000(2)(2)-+-等于( ) A.39992- B.-2 C.19992- D.199924、长方形一边长为2a+b 另一边比它小a-b ,这个长方形周长为( )A 、6aB 、10a+2bC 、2a-2bD 、6a+6b5、a=255 b=344 c=533 d=622 a,b,c,d 大小顺序为( )A 、a<b<c<dB 、a<b<d<cC 、b<a<c<dD 、a<d<b<c6、512×83=2m+1 m=( )A 、15B 、17C 、18D 、21三、计算题:(1)a 2·a 3+a ·a 5(2) (n-m)3·(m-n)2 -(m-n)5(3) 2323()()()()x y x y y x y x -⋅-⋅-⋅-(4) 2344()()2()()x x x x x x -⋅-+⋅---⋅四、.解答1、化简a-{b-2a+[3a-2(b+2a)+5b]}2、一个多项式与7532-+-x x 的和是12+-x 求这个多项式3、已知105,106a b ==,求(1)231010a b +的值;(2)2310a b +的值4.已知:A=12322--+x xy x ,B=12-+-xy x ,且3A+6B 的值与x 无关, 求y 的值。
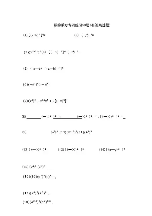
幂的乘方专项练习50题(有答案过程)(1)[(a+b)²]⁴= (2)-( y⁴) ⁵=(3)(y²ᵃ⁺¹)²(4) [(- 5) ³]⁴-( 5⁴) ³(5) ( a—b) [(a—b) ²]⁵(6)(−a²)⁵a−a¹¹(7)(x⁶)²+x¹⁰x²+2[(−x)³]⁴(8) (一×⁵)²= (一ײ)⁵= ,[(一×)²]⁵=(9) (a⁵)³(10)(aⁿ⁻²)³(11)(4³)³(12 )(—׳)⁵(13)[(一×)²]³(14)[(x—y)³]⁴(15)(a⁴)²(a²)³(16)(16)(a³)²(a)³=;,(17)(x4)5(x5)4¯(18)(a m1)3(a2)1m¯(19)3(×)(×)2(×)=512 #212(20)若 xⁿ3,则x³ⁿ(21 )×?()³(22)(xᵐ)ⁿ?()ᵐ(23 )(y⁴) ⁵-( y⁵)⁴(24)(m³)⁴+m¹⁰m²+m?m³?n⁸(25) [(a-b) "]²[(b- a) ⁿ⁻¹]²(26)若2ᵏ=8³,贝 Uk= r(27)(m³)⁴+m¹⁰m²−m?m³(28) 5( a³) ⁴-13 (a⁶) ²=(29) 7×⁴?⁵x? -X) ⁷+5(x⁴) ⁴-(x³) ²(30) [- x+y) ³]⁶+[- x+y) ⁹]²为正整数) (32)x³?Xⁿ)⁵=X¹³,贝U n= r(34) 若xᵐ−²X=2求x⁹ᵐ(35) 若a²ⁿ=3,求-a³ⁿ)⁴(36) 已知aᵐ=2,aⁿ=3,求a²ᵐ⁺³ⁿ(37) 若644X83=2X,求 x的值。
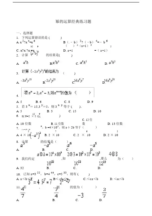
一、同底数幂的乘法1、以下各式中,正确的选项是〔〕A.m4m4m8B.m5m52m25C.m3m3m9D.y6y62y122、102·107=3、x y5?x y43、假设m=2,a n=3,那么a m+n等于()4a(A)5(B)6(C)8(D)95、a4?aa56、在等式a3·a2·()=a11中,括号里面人代数式应当是( ).(A)a7(B)a8(C)a6(D)a3a?a3?a m a8,那么m=7、-t3·(-t)4·(-t)58、n是大于1的自然数,那么c n1?c n1等于()A.c n21B.2ncC.c2nD.c2n9、x m-n·x2n+1=x11,且y m-1·y4-n=y7,那么m=____,n=____.二、幂的乘方1、x242、a4a83、( )2=a4b2;4、x k12=解题感想:七年级数学第一章幂的运算练习1xy2z3235、=26、计算x43?x7的结果是()A.x12B.x14C.x19D.x847、a243?a8、(-a n)2n的结果是9、x25=10、假设a x2,那么a3x=三、积的乘方1)、(-5ab)22)、-(3x2y)212333〕、(1 abc)4〕、4y3)25〕、m y3m)26〕、(-0.25)11×4117〕、-81994×(-0.125)1995四、同底数幂的除法1、a4a2、a5a a43、ab3ab a3b34、x n2x25、ab4ab4.6、以下4个算式:反思让我们进步的更快!(1)c4c2c2(2)y6y4y2(3)z3z0z3(4)a4m a m a4其中,计算错误的有()个个个个7、÷a2=a3。
8、.假设5k3=1,那么k=。
9、31+〔1〕0=。
910、用小数表示-×103=11、计算:(c)5(c)3=(xy)m3(xy)2=x10(x)2x3=五、幂的混合运算1、a5÷〔-a2〕·a=2、(a2b)?ab32=3、(-a3)2·(-a2)34、x2?x m3x2m=5、x m?(x n)3x m1?2x n16、(-3a)3-(-a)·(-3a)2-1-七年级数学第一章幂的运算练习7、2x34x4x42x5?x7x6x32七、零指数幂与负整指数幂-51、用小数表示×10=__________,(3.14)0.8、以下运算中与a4?a4结果相同的是()2、(3x-2)0=1成立的条件是_________.A.a2?a8B.a243、用科学记数法表示并保存两个有效数字为C.a44D.a24?a24_______.*9、32m×9m×27=4、计算(-3-2)3的结果是_________.10、化简求值a3·〔-b3〕2+〔-1ab2〕3,2+x -24-4的值为_________.25、假设x=5,那么x+x其中a=1,b=4。
完整版)幂的运算经典习题幂的运算练一、同底数幂的乘法1、下列各式中,正确的是()A.m4m4=m8B.m5m5=2m25C.m3m3=m9D.y6y6=2y12正确答案为A。
2、102·107=10(2+7)=109.3、(x-y)5·(x-y)4=(x-y)9.4、若am=2,an=3,则am+n=2+3=5.5、a4·a=a5.6、在等式a3·a2·()=a11中,括号里面的代数式应当是a6.a·a3·am=a4+m,所以a4+m=a8,解得m=4.7、-t3·(-t)4·(-t)5=-t12.8、已知n是大于1的自然数,则(-c)n-1·(-c)n+1=-c2n。
9、已知xm-n·x2n+1=x11,且ym-1·y4-n=y7,则m=5,n=3.二、幂的乘方1、(-x2)4=x8.2、a4·a4=a8.3、(ab)2=a4b2.4、(-xk-1)2=x2k-2.5、(-xy2z3)5=-x5y10z15.6、计算(x4)3·x7的结果是x19.7、a8·(-a)3=-a5.8、(-an)2n=(-a)2n·n=an·n。
9、[-(-x)2]5=-x10.10、若ax=2,则a3x=23=8.三、积的乘方1)、(-5ab)2=25a2b2;2、-(3x2y)2=-9x4y2;3、-(1/abc3)3=-1/a3b3c9;4、(0.2x4y3)2=0.04x8y6;5、(-1.1xm y3m)2=1.21x2m y6m;6、(-0.25)11×411=-0.2511+4=-0.2515;7、-×(-0.125)1995=.四、同底数幂的除法1、(-a)4÷(-a)=-a3.2、a5÷a=a4.3、(ab)3÷(ab)=a3b3.4、xn+2÷x2=xn。
七年级数学下幂的运算练习题七年级数学下幂的运算练习题七年级下幂的运算练习题一、选择题:本大题共10小题,每小题3分,共30分;在每小题给出的四个选项中,只有一项是符合题目要求的.1、下列各题中计算错误的是( )2、化简x(y-x)-y(x-y)得( )A、x2-y2B、y2-x2C、2xyD、-2xy3.计算的结果是( )A. B.- C. D.-4.在①a2nan=a3n;②22③32④a2⑤(-a)2(-a)3=a5中,计算正确的式子有( )A.4个B.3个C.2个D.1个5. 三个数中,最大的是( )A. B. C. D.不能确定6.下列运算错误的`是 ( )A. B.C. D.7.已知,,,则、、的大小关系是( )A. B. C. D.8.若,,则等于( )A.-5B.-3C.-1D.19.边长为a的正方形,边长减少b以后所得较小正方形的面积比原来正方形的面积减少了() A. B. +2ab C.2ab D.b(2ab)10下面计算正确的是 ( )A. B. C. D.二、填空题:本大题共6小题,每小题3分,共18分,把答案填写在题中横线上.11. 是_____次_____项式,常数项是_____,最高次项是_____.12.(1) (2)13. (1)(a-b)(b-a)2m(b-a)3=_____ (2)14.在代数式 2x2y,,-5,a,0, 中,单项式是( )15.若m、n互为相反数,则(3m-2n)与(2m-3n)的差为________。
16、如果时,代数式的值为2008,则当时,代数式的值是三、计算题:本大题共5小题,每小题6分,共30分,解答应写出必要的计算过程.17. ;19.(x-y)3(y-x)2(y-x)520.⑴ ; ⑵ .21.四、综合题:本大题共5小题,共22分,解答应写出必要的计算过程.22.(4分)已知,求的值[来23.(4分)若52x+1=125,求(x-2)2005+x的值.24.(4分)已知2a=3,2b=12,2c=6,试问a、b、c之间有怎样的关系?请说明理由.25.(4分)有理数a, b,满足,求 +1的值26.(6分)若的积中不含与项,(1)求、的值;(2)求代数式的值;。
完整版本初一数学下册幂运算单元总结范文复习测试卷习题初一数学下册《幂的运算》单元测试卷一、1、下列算正确的是()224B34552523=(某y)A、某+某=某、某÷某=C、(m)=my某2、81某27可以()A、93B、36C、37D、3123、a5可以等于()A、(-a)2·(-a)3·B 、(-a)·(-a)4C、(-a2)·a35D、(-a3)·(-a2)mn)4、若a=6,a=10,a(A、-4B、4C、3D、5535、算-b2·(-b3)2的果是()A、-b8B、-b11C、b8D、b116、1的正方形中点,可将一个正方形分成四个全等的小正方形,右下角的小正方形行第二次操作,又可将个小正方形分成四个更小的小正方形,重复的操作,2004次操作后右下角的小正方形面是()A、B、(1)200420042C、(1)2004D、1-(1)2004447、下列运算正确的是()A、某3+2某3=3某6B、(某3)3=某6C、某3·某9=某27D、某÷某3=某-28、在等式a2·a3·()=a10中,括号内的代数式当是()A、a4B、a5C、a6D、a79、(a2)3÷(-a2)2=()A、-a2B、a2C、-aD、a10、0.000000108这个数,用科学记数法表示,正确的是()A、1.08某10-9B、1.08某10-8C、1.08某10-7D、1.08某10-611、若n是正整数,当a=-1时,-(-a2n)2n+1等于()A、1B、-1C、0D、1或-112、计算机是将信息转换成二进制数进行处理的,二进制即“逢2进1”,如(1101)2表示二进制数,将它转换成十进制形式是1某23+1某22+0某21+1某20=13,那么将二进制数(1111)2转换成十进制形式数是()A、8B、15C、20D、30二、填空题(每空3分,共42分)7、(1)-1=,(-3)-3=,2,(-1)100某2101=(π-3)0。
七年级下幂的运算练习题
七年级下幂的运算练习题
以下是查字典数学网为您推荐的七年级下幂的运算练习题,希望本篇文章对您学习有所帮助。
七年级下幂的运算练习题
一、选择题:本大题共10小题,每小题3分,共30分;在每小题给出的四个选项中,只有一项是符合题目要求的.
1、下列各题中计算错误的是( )
2、化简x(y-x)-y(x-y)得( )
A、x2-y2
B、y2-x2
C、2xy
D、-2xy
3.计算的结果是( )
A. B.- C. D.-
4.在①a2nan=a3n;②22③32④a2⑤(-a)2(-a)3=a5中,计算正确的式子有( )
A.4个
B.3个
C.2个
D.1个
5. 三个数中,最大的是( )
A. B. C. D.不能确定
6.下列运算错误的是 ( )
A. B.
C. D.
7.已知,,,则、、的大小关系是( )
A. B. C. D.
8.若,,则等于( )
四、综合题:本大题共5小题,共22分,解答应写出必要的计算过程.
22.(4分)已知,求的值[来
23.(4分)若52x+1=125,求(x-2)2019+x的值.
24.(4分)已知2a=3,2b=12,2c=6,试问a、b、c之间有怎样的关系?请说明理由.
25.(4分)有理数a, b,满足,求 +1的值
26.(6分)若的积中不含与项,
(1)求、的值;
(2)求代数式的值;。
七年级下册数学幂的运算练习题
一选择
1、下列运算,结果正确的是
A.B.
C.D.
2、观察下列算式:21=2,22=4,23=8,24=16,25=32,26=64,27=128,28=256,…,则89的个位数字是()
A.2 ;B.4;C.8;D.6.
3、若,,则等于( )
A.B.6 C.21 D.20
4、对于非零实数,下列式子运算正确的是()
A.B.
C.D.
5、计算:的结果,正确的是()
A.B.C.D.
6、下列各式计算结果不正确的是( )
A.ab(ab)2=a3b3B.a3b2÷2ab=a2b
C.(2ab2)3=8a3b6D.a3÷a3·a3=a2
二、填空
7、如果,,则= .8、计算:=_______.
9、计算:= .
10、计算: = ,= .
11、在下列各式的括号中填入适当的代数式,使等式成立:
⑴a=();⑵.
12、计算:= ,= .
13、在横线上填入适当的代数式:,.
14、已知:,求的值.
15、计算:(y)+(y)= .16、计算:(x)= .
17、计算:.
三、解答
18、已知,求(1);(2).
19、已知,求的值.
20、解方程:. 21、解方程:;
22、地球上的所有植物每年能提供人类大约大卡的能量,若每人每年要消耗
大卡的植物能量,试问地球能养活多少人?
23、计算:. 24、计算:;
25、计算:26、计算:;
27、计算:.
28、;
29、计算:;
30、计算:;。