七年级下册数学幂的运算练习题
- 格式:doc
- 大小:98.08 KB
- 文档页数:2
—1—专题复习提升训练卷(幂的运算)-苏科版七年级数学下册一、选择题1、1纳米等于1米的10亿分之一,人的头发的直径约为6万纳米,用科学记数法表示一根头发的直径是 米.()A .B .C .D .7610-⨯6610-⨯5610-⨯4610-⨯2、下列运算正确的是 ()A .B .C .D . 632a a a ÷=224m m m +=325()a a a -= 3(2a 327)8a =3、下列计算正确的是( )A .(3×103)2=6×105B .36×32=384、在等式中,括号内的代数式应是( )()()512a a a ⋅-=A .B .C . D .6a ()6a - 6a -7()a -5、若,则m -n 等于( ).3122m m n n x y x y -++⋅99x y =A .0B .2C .4D .无法确定6、计算()2019×()2020的结果是( )125-522A .B .C .D .﹣2020125-512-1257、若m=,n=,则m 、n 的大小关系正确的是( )722483A .m >n B .m <n C .m=n D .大小关系无法确定8、如果,,,那么、、三数的大小为 0(2019)a =-1(0.1)b -=-25(3c -=-a b c ()A .B .C .D .a b c >>c a b >>a c b >>c b a>>9、若有意义,则取值范围是 01(3)2(24)x x ----x ()A .B .C .或D .且3x ≠2x ≠3x ≠2x ≠3x ≠2x ≠10、如果,那么用含m 的代数式表示n 为()31,29a a m n =+=+A .B .C .D .23n m=+2n m =2(1)2n m =-+22n m =+二、填空题—2—11、计算:_____()()4223-⋅=a a 12、当a ______时,(a -2)0=1.13、下列计算中,不正确的有( )①(ab 2)3=ab 6;②(3xy 2)3=9x 3y 6;③(﹣2x 3)2=﹣4x 6;④(﹣a 2m )3=a 6m .A .1个B .2个C .3个D .4个14、已知3m =15,3n =29,3m+n 的值为_____.15、若9×32m ×33m =322,则m 的值为_____.16、已知2x﹣6y+6=0,则2x ÷8y =_____.17、若,,则_____________.45m =23n=432m n -=18、计算:()2019×()﹣2020=_____.878719、用科学记数法表示-0.0000058,结果是_____________.20、若,则x 的值为 ()3211x x +-=三、解答题21、计算:(1) (2)()()524232)(a a a -÷⋅()()()34843222b a b a ⋅-+-(3) (4) ()123041323--⎪⎭⎫ ⎝⎛--+-()a b -()3a b -()5b a - (5). (6)211122(3)2()m m m m a a a a a +-+--+÷ 424422()()y y y y +÷--22、计算:—3—(1) ( ) ·() (2) ( -)÷(-)·(-)3a -42a -5p q 4p q 3p q 2(3)()÷()·()(≠0) (4) (-2)-(-)·(-2)2a bc 42ab c 3abc 2abc x 5x 3x 2(5)(-1)+2-()+(π-3.14) (6) (-0.125) ×(-1)×(-8) ×(-)20151-322-0122371335823、(1)已知4 × 16×64=4,求(-m )÷(m ·m )的值m m 212332(2)已知=4,=8,求代数式的值.m a n a 202023)33(--m n a(3)已知,求的值.3142x x -=x (4)已知,,求的值.23n a =35m a =69n m a -24、(1)若=2,=3,=4,试比较、、的大小a 55b 44c 33a b c (2)若.猜想与的大小关系;证明你的猜想.2510a b ==a b +ab 25、用简便方法计算:—4—(1) (2)333)31()32()9(⨯-⨯-3014225.0⨯-(3). (4).201520164(( 1.25)5⨯-1211318(3()(2)825⨯⨯-26、如果x n =y ,那么我们规定(x ,y )=n .例如:因为32=9,所以(3,9)=2.(1)[理解]根据上述规定,填空:(2,8)= ,(2,)= ;41(2)[说理]记(4,12)=a ,(4,5)=b ,(4,60)=c .试说明:a +b =c ;(3)[应用]若(m ,16)+(m ,5)=(m ,t ),求t 的值.27、材料:一般地,若且,那么叫做以为底的对数,记作,比如指数(0x a N a =>1)a ≠x a N log a x N =式可以转化为对数式,对数式可以转化为指数式.328=23log 8=62log 36=2636=根据以上材料,解决下列问题:(1)计算: , , ;2log 4=2log 16=2log 64=(2)观察(1)中的三个数,猜测: 且,,,并加以证log log a a M N +=(0a >1a ≠0M >0)N >明这个结论;(3)已知:,求和的值且.log 35a =log 9a log 27a (0a >1)a ≠—5—专题复习提升训练卷(幂的运算)-苏科版七年级数学下册一、选择题1、1纳米等于1米的10亿分之一,人的头发的直径约为6万纳米,用科学记数法表示一根头发的直径是 米.()A .B .C .D .7610-⨯6610-⨯5610-⨯4610-⨯【分析】绝对值小于1的正数也可以利用科学记数法表示,一般形式为,与较大数的科学记数法10n a -⨯不同的是其所使用的是负指数幂,指数由原数左边起第一个不为零的数字前面的0的个数所决定.【答案】解:由题意可得:6万,95160000106101000000000--⨯=⨯=⨯故选:.C 2、下列运算正确的是 ()A .B .C .D . 632a a a ÷=224m m m +=325()a a a -= 3(2a 327)8a =【分析】分别根据同底数幂的除法法则,合并同类项的法则,同底数幂的乘法法则以及积的乘方运算法则逐一判断即可.【答案】解:,故选项不合题意;633a a a ÷=A ,故选项不合题意;2222m m m +=B ,正确,故选项符合题意;325()a a a -= C ,故选项不合题意.3(2a 39)8a =D 故选:.C 3、下列计算正确的是( )A .(3×103)2=6×105B .36×32=38C .()4×34=﹣1D .36÷32=3331-【分析】直接利用同底数幂的乘除运算法则、积的乘方运算法则分别化简得出答案.—6—【解答】解:A 、(3×103)2=9×106,故此选项错误;B 、36×32=38,正确;C 、()4×34=1,故此选项错误;31-D 、36÷32=34,故此选项错误;故选:B .4、在等式中,括号内的代数式应是( )()()512a a a ⋅-=A .B .C . D .6a ()6a - 6a -7()a -【答案】C【分析】先计算:再计算从而可得答案.()56,a a a -=- ()126,a a ÷-【详解】解:由 所以:括号内填的是: ()56,a a a -=- ()1266,a a a ∴÷-=-6.a -故选:.C 5、若,则m -n 等于( ).3122m m n n x y x y -++⋅99x y =A .0B .2C .4D .无法确定【答案】B 【分析】根据同底数幂的乘法法则运算,再结合等式性质,即可列出m 和n 的二元一次方程组,求解方程组即可得到答案.【解析】∵∴312299m m n n x y x y x y -++= +32199m n n m x y x y +++=∴ ∴ ,∴39219m n n m ++=⎧⎨++=⎩24n m =⎧⎨=⎩2m n -= 故选:B .6、计算()2019×()2020的结果是( )125-522A .B .C .D .﹣2020125-512-125—7—【分析】先根据积的乘方进行变形,再求出即可.【解答】解:原式=﹣()2019×()2020125512=﹣(×)2019×125512512=﹣1×=-,512512故选:B .7、若m=,n=,则m 、n 的大小关系正确的是( )722483A .m >nB .m <nC .m=nD .大小关系无法确定【答案】B【分析】把m=272化成=824,n=348化成924,根据8<9即可得出答案.【解析】解:∵m=,n=,∵8<9∴∴m<n ,2723244(2)28==2482244(3)39==242489<故选:B .8、如果,,,那么、、三数的大小为 0(2019)a =-1(0.1)b -=-25(3c -=-a b c ()A .B .C .D .a b c >>c a b >>a c b >>c b a>>【答案】解:,,, ,1a =11(1010b -=-=-239()525c =-=a c b ∴>>故选:.C 9、若有意义,则取值范围是 01(3)2(24)x x ----x ()B .B .C .或D .且3x ≠2x ≠3x ≠2x ≠3x ≠2x ≠【答案】解:若有意义,01(3)2(24)x x ----则且,解得:且.故选:.30x -≠240x -≠3x ≠2x ≠D—8—10、如果,那么用含m 的代数式表示n 为( )31,29a a m n =+=+A .B .C .D .23n m=+2n m =2(1)2n m =-+22n m =+【答案】C 【分析】由题意可知,,再将代入中,即可得出答案.31a m =-2(3)2a n =+31a m =-2(3)2a n =+【详解】∵,∴.∵,∴.31a m =+31a m =-92a n =+2(3)2a n =+将代入中,得:.31a m =-2(3)2a n =+2(1)2n m =-+故选:C .二、填空题11、计算:_____()()4223-⋅=a a 【答案】2a 【分析】根据幂的乘方法则:底数不变,指数相乘;同底数幂的乘法法则:同底数幂相乘,底数不变,指数相加进行计算即可.【解析】解:原式,故答案为:.862a a a -=⋅=2a 12、当a ______时,(a -2)0=1.【答案】a ≠2【分析】根据零指数幂的定义进行求解即可.【详解】根据零指数幂的定义:任何非零数的零指数幂为1,得到,解得故答案为.20a -≠2a ≠2a ≠13、下列计算中,不正确的有( )①(ab 2)3=ab 6;②(3xy 2)3=9x 3y 6;③(﹣2x 3)2=﹣4x 6;④(﹣a 2m )3=a 6m .A .1个B .2个C .3个D .4个【答案】D 【分析】根据整数指数幂的运算法则进行计算并做出判断即可.【解析】解:①(ab 2)3=a 2b 6,故①错误;②(3xy 2)3=27x 3y 6,故②错误;—9—③(-2x 3)2=4x 6,故③错误;④(-a 2m )3=-a 6m ,故④错误.所以不正确的有4个.故选D.14、已知3m =15,3n =29,3m+n 的值为_____.【答案】435【分析】根据同底数幂乘法的逆运算进行求解即可.【详解】解:∵3m =15,3n =29,∴3m+n =3m ·3n =15×29=435,故答案为:435.15、若9×32m ×33m =322,则m 的值为_____.【答案】4【分析】先变形9=32,再利用同底数幂的乘法运算法则运算,然后指数相等列等式求解即可.【解析】∵9×32m ×33m =32×32m ×33m =32+2m+3m =322∴2+2m+3m=22,即5m=20,解得:m=4,故答案为:4.16、已知2x﹣6y+6=0,则2x ÷8y =_____.【答案】18【分析】根据已知条件,先求出x﹣3y =﹣3,然后根据幂的乘方的逆运算和同底数幂的除法即可求出结论.【详解】解:2x﹣6y+6=0,2(x﹣3y )=﹣6,x﹣3y =﹣3,∴2x ÷8y =2x ÷23y =2x﹣3y =2﹣3=.故答案为:.181817、若,,则_____________.45m =23n=432m n -=【答案】2527【分析】根据同底数幂的除法运算法则以及幂的乘方运算法则.4343222m n m n -=÷22323(2)(2)4(2)m n m n =÷=÷23(4)(2)m n =÷23255327=÷=—10—【解答】解:故答案为:.4343222m n m n -=÷223(2)(2)m n =÷234(2)m n =÷23255327=÷=252718、计算:()2019×()﹣2020=_____.8787【答案】78【分析】根据负整数指数幂的定义以及同底数幂的乘法法则计算即可.【解析】解:()2019×()﹣2020=.8787201920201887778--⎛⎫⎛⎫== ⎪ ⎪⎝⎭⎝⎭故答案为:.7819、用科学记数法表示-0.0000058,结果是_____________.【答案】65.810--⨯【分析】绝对值小于1的数用科学记数法表示为a ×10n ,与较大数的科学记数法不同的是n 是负整数,指数由原数左边起第一个不为零的数字前面的0的个数所决定.【详解】用科学记数法表示﹣0.0000058,a 为-5.8,数字5前面共有6个0,所以用科学记数法表示为:﹣5.8×10﹣6.故答案为:﹣5.8×10﹣6.20、若,则x 的值为()3211x x +-=【答案】-2; 1【详解】情况1: 解得:x =-2; 21030x x -≠⎧⎨+=⎩情况2:,解得:x =1;211x -=情况3:,解得:x =0;x +3=3(奇数),故不符合条件211x -=-故答案为:-2; 1三、解答题—11—21、计算:(1) (2)()()524232)(a a a -÷⋅()()()34843222b a b a ⋅-+-(3) (4) ()123041323--⎪⎭⎫ ⎝⎛--+-()a b -()3a b -()5b a - (5). (6)211122(3)2()m m m m a a a a a +-+--+÷ 424422()()y y y y +÷--解:(1)原式;)(1086a a a -÷⋅=)(1014a a-÷=4a -=(2)原式;128128816b a ba ⋅+=12824b a =(3)原式;49811-+-=875=(4)原式 .()a b -=()3a b -()5b a -()9b a -=(5)原式2222292m m m a a a a +=-+÷22292m m m a a a =-+210ma = (6).42442248444444()()y y y y y y y y y y y y +÷--=+÷-=+-=22、计算:(1) ( ) ·() (2) ( -)÷(-)·(-)3a -42a -5p q 4p q 3p q 2(3)()÷()·()(≠0) (4) (-2)-(-)·(-2)2a bc 42ab c 3abc 2abc x 5x 3x 2(5)(-1)+2-()+(π-3.14) (6) (-0.125) ×(-1)×(-8) ×(-)20151-322-01223713358解:(1)原式= ·(-)=-12a 10a 22a - (2)原式=3()q ρ- (3)原式=÷·==448cb a 363c b a 222c b a 234264238+-+-+-c b a73a c (4)原式==-28235432x x x ∙+-5x(5)原式=-1+-+1=2194181—12—(6)原式=()×[-()]×[-8]×()811235713538 =(×8)×8×(×)×=8112355375324523、(1)已知4 × 16×64=4,求(-m )÷(m ·m )的值m m 212332(2)已知=4,=8,求代数式的值.m a n a 202023)33(--m n a (3)已知,求的值.3142x x -=x (4)已知,,求的值.23n a =35m a =69n m a -解:(1)∵4 × 16×64=4,m m 21∴==,2+10m=42,∴m=4,22∙m 42m 62∙m m 6422++422∴∴原式=-÷=-m=一46m 5m (2)原式=(-33)m na a 23÷2020=[()÷()-33]n a 3m a 22020=()=(-1)=1334823-÷20202020(3),3142x x -= ,23122x x -∴=则,231x x =-解得:;1x =(4),,23n a = 35m a =.6969n m n m a a a -∴=÷2333()()n m a a =÷3335=÷27125=24、(1)若=2,=3,=4,试比较、、的大小a 55b 44c 33a b c (2)若.猜想与的大小关系;证明你的猜想.2510a b==a b +ab 解:(1)∵,b=3==,44114)3(1181 又∵<<,∴<C<.113211641181a b (2);a b ab +=—13—,210a = ①,210ab b ∴=又,510b = ②,510ab a ∴=①②得到,⨯251010ab ab a b⨯=⨯即,(25)10ab a b +⨯=故.a b ab +=25、用简便方法计算:(1)(2)333)31()32()9(⨯-⨯-3014225.0⨯-(3). (4).201520164(( 1.25)5⨯-1211318(3()(2)825⨯⨯-解:(1)原式;823132()9[(33==⨯-⨯-=(2)原式.3014225.0⨯-=44)41(1514-=⨯-=(3)201520164(( 1.25)5⨯-20152015455()(()544=⨯-⨯-2015455[((544=⨯-⨯-;51()4=-⨯-54=(4)原式111125258()()(8)8825=⨯⨯⨯-1125825(825=-⨯⨯.25=-26、如果x n =y ,那么我们规定(x ,y )=n .例如:因为32=9,所以(3,9)=2.(1)[理解]根据上述规定,填空:(2,8)= ,(2,)= ;41—14—(2)[说理]记(4,12)=a ,(4,5)=b ,(4,60)=c .试说明:a +b =c ;(3)[应用]若(m ,16)+(m ,5)=(m ,t ),求t 的值.【分析】(1)根据规定的两数之间的运算法则解答;(2)根据积的乘方法则,结合定义计算;(3)根据定义解答即可.【解答】解:(1)23=8,(2,8)=3,=,(2,)=﹣2,22-4141故答案为:3;﹣2;(2)证明:∵(4,12)=a ,(4,5)=b ,(4,60)=c ,∴4a =12,4b =5,4c =60,∴4a ×4b =60,∴4a ×4b =4c ,∴a +b =c ;(3)设(m ,16)=p ,(m ,5)=q ,(m ,t )=r ,∴m p =16,m q =5,m r =t ,∵(m ,16)+(m ,5)=(m ,t ),∴p +q =r ,∴m p +q =m r ,∴m p •m r =m t ,即16×5=t ,∴t =80.27、材料:一般地,若且,那么叫做以为底的对数,记作,比如指数(0x a N a =>1)a ≠x a N log a x N =式可以转化为对数式,对数式可以转化为指数式.328=23log 8=62log 36=2636=根据以上材料,解决下列问题:(1)计算: , , ;2log 4=2log 16=2log 64=(2)观察(1)中的三个数,猜测: 且,,,并加以证log log a a M N +=(0a >1a ≠0M >0)N >明这个结论;—15—(3)已知:,求和的值且.log 35a =log 9a log 27a (0a >1)a ≠【分析】(1)根据,,写成对数式;224=4216=6232=(2)设,,根据对数的定义可表示为指数式为:,,据此计算即log a M x =log a N y =x a M =y a N =可;(3)由,得,再根据同底数幂的乘法法则计算即可.log 35a =53a =【答案】解:(1),,,224= 4216=6232=;;2log 42∴=2log 164=2log 646=故答案为:2;4;6;(2)设,,log a M x =log a N y =则,, ,x a M =y a N =x y x y M N a a a +∴== 根据对数的定义,,log a x y MN +=即; 故答案为:.log log log a a a M N MN +=log a MN (3)由,得,log 35a =53a =,5510933a a a =⨯== 5551527333a a a a =⨯⨯== 根据对数的定义,,.∴log 910a =log 2715a =。
七年级数学下册第八章《幂的运算》单元测试卷-苏科版(含答案)一.选择题(共7小题,满分21分)1.若a•2•23=26,则a等于()A.4B.8C.16D.322.已知a≠0,下列运算中正确的是()A.a2•a3=a6B.a5﹣a3=a2C.(﹣a3)2=a5D.a•a3=a43.若10m=5,10n=3,求102m﹣3n的值()A.B.C.675D.4.若(2x﹣1)0有意义,则x的取值范围是()A.x=﹣2B.x≠0C.x≠D.x=5.若(x﹣3)0﹣2(2x﹣4)﹣1有意义,则x取值范围是()A.x≠3B.x≠2C.x≠3且x≠﹣2D.x≠3且x≠2 6.“绿水青山就是金山银山”.某地积极响应党中央号召,大力推进农村厕所革命,已经累计投资1.102×108元资金.数据1.102×108用科学记数法可表示为()A.1102亿B.1.102亿C.110.2亿D.11.02亿7.嫦娥五号返回器携带月球样品安全着陆,标志着中国航天业向前又迈出了一大步.嫦娥五号返回器在接近大气层时,飞行1m大约需要0.0000893s.数据0.0000893s用科学记数法表示为()A.8.93×10﹣5B.893×10﹣4C.8.93×10﹣4D.8.93×10﹣7二.填空题(共7小题,满分21分)8.将2x﹣3y(x+y)﹣1表示成只含有正整数指数幂的形式为.9.新型冠状病毒直径约为100nm,计m(用科学记数法表示).10.若有意义,则x的取值范围是.11.若a2n=2(n为正整数),则(4a3n)2÷4a4n的值为.12.目前全国疫情防控形势依旧严峻,我们应该坚持“勤洗手,戴口罩,常通风”.一双没有洗过的手,带有各种细菌约7.5×105个,则科学记数法数据7.5×105的原数为.13.已知x2n=5,则(3x3n)2﹣4(x2)2n的值为.14.已知m x=2,m y=4,则m x+y=.三.解答题(共6小题,满分58分)15.计算:(1)2+(﹣2)×3+(﹣7)0;(2)×12.16.在数学中,我们经常会运用逆向思考的方法来解决一些问题,例如:“若a m=4,a m+n =20,求a n的值.”这道题我们可以这样思考:逆向运用同底数幂的乘法公式,即a m+n =a m•a n,所以20=4•a n,所以a n=5.(1)若a m=2,a2m+n=24,请你也利用逆向思考的方法求出a n的值.(2)下面是小贤用逆向思考的方法完成的一道作业题,请你参考小贤的方法解答下面的问题:小贤的作业计算:89×(﹣0.125)9.解:89×(﹣0.125)9=(﹣8×0.125)9=(﹣1)9=﹣1.①小贤的求解方法逆用了哪一条幂的运算性质,直接写出该逆向运用的公式:.②计算:52023×(﹣0.2)2022.17.(1)若3×27m÷9m=316,求m的值;(2)已知a x=﹣2,a y=3,求a3x﹣2y的值;(3)若n为正整数,且x2n=4,求(3x2n)2﹣4(x2)2n的值.18.我们知道,同底数幂的乘法法则为a m•a n=a m+n(其中a≠0,m、n为正整数),类似地,我们规定关于任意正整数m、n的一种新运算:f(m)•f(n)=f(m+n)(其中m、n为正整数).例如,若f(3)=2,则f(6)=f(3+3)=f(3)•f(3)=2×2=4.f(9)=f(3+3+3)=f(3)•f(3)•f(3)=2×2×2=8.(1)若f(2)=5,①填空:f(6)=;②当f(2n)=25,求n的值;(2)若f(a)=3,化简:f(a)•f(2a)•f(3a)•…•f(10a).19.如表是某河流今年某一周内的水位变化情况,上周末(星期六)的水位已经达到警戒水位33米.(正号表示水位比前一天上升,负号表示水位比前一天下降).(单位:米)星期日一二三四五六水位变化+0.2+0.8﹣0.4+0.2+0.3﹣0.5﹣0.2(1)本周哪一天河流的水位最高?哪一天河流的水位最低?分别是多少?(2)与上周末相比,本周末河流的水位是上升了还是下降了?本周末的水位是多少?(3)若水位每下降1厘米,就有2.5×102吨水蒸发到大气中,请计算这个星期共有多少吨水蒸发到大气中?20.已知10﹣2α=3,,求106α+2β的值.参考答案一.选择题(共7小题,满分21分)1.解:∵a•2•23=26,∴a=26÷24=22=4.故选:A.2.解:A、原式=a5,故不符合题意;B、a5与a3不是同类项,故不能合并,故不符合题意;C、原式=﹣a6,故不符合题意;D、原式=a4,故符合题意.故选:D.3.解:∵10m=5,10n=3,∴102m﹣3n=102m÷103n=.故选:D.4.解:(2x﹣1)0有意义,则2x﹣1≠0,解得:x≠.故选:C.5.解:若(x﹣3)0﹣2(2x﹣4)﹣1有意义,则x﹣3≠0且2x﹣4≠0,解得:x≠3且x≠2.故选:D.6.解:1.102×108=1.102亿.故选:B.7.解:0.0000893=8.93×10﹣5,故选:A.二.填空题(共7小题,满分21分)8.解:原式=•=.故答案为:.9.解:新型冠状病毒的直径约为100nm=100×10﹣9m=1×10﹣7m,故答案为1×10﹣7.10.解:∵有意义,∴0.∴x+2≠0,x﹣2≠0,∴x≠±2.故答案为:x≠±2.11.解:当a2n=2时,(4a3n)2÷4a4n=16(a2n)3÷4(a2n)2=16×23÷(4×22)=16×8÷(4×4)=16×8÷16=8.故答案为:8.12.解:7.5×105=750000,故答案为:750000.13.解:∵x2n=5,∴(3x3n)2﹣4(x2)2n=9x6n﹣4x4n=9(x2n)3﹣4(x2n)2=9×53﹣4×52=1125﹣100=1025.故答案为:1025.14.解:∵m x=2,m y=4,∴m x+y=m x•m y=8,故答案为:8.三.解答题(共6小题,满分58分)15.解:(1)原式=2﹣6+1=﹣3;(2)原式=×12+=5+8﹣1616.解:(1)∵a m=2,∴a2m+n=24,∴a2m×a n=24,(a m)2×a n=24,22×a n=24,∴4a n=24,∴a n=6;(2)①逆用积的乘方,其公式为:a n•b n=(ab)n,故答案为:a n•b n=(ab)n;②52023×(﹣0.2)2022=5×52022×(﹣0.2)2022=5×(﹣0.2×5)2022=5×(﹣1)2022=5×1=5.17.解:(1)∵3×27m÷9m=316,∴3×33m÷32m=316,∴33m+1﹣2m=316,∴3m﹣2m+1=16,解得m=15;(2)∵a x=﹣2,a y=3,∴a3x=﹣8,a2y=9,∴a3x﹣2y=a3x÷a2y=(﹣8)÷9=﹣;(3)∵x2n=4,∴(3x2n)2﹣4(x2)2n=(3x2n)2﹣4(x2n)2=(3×4)2﹣4×42=122﹣4×16=144﹣64=80.18.解:(1)①∵f(2)=5,∴f(6)=f(2+2+2)=f(2)•f(2)•f(2)=125;故答案为:125;②∵25=5×5=f(2)•f(2)=f(2+2),f(2n)=25,∴f(2n)=f(2+2),∴2n=4,∴n=2;(2)∵f(2a)=f(a+a)=f(a)•f(a)=3×3=31+1=32,f(3a)=f(a+a+a)=f(a)•f(a)•f(a)=3×3×3=31+1+1=33,…,f(10a)=310,∴f(a)•f(2a)•f(3a)•…•f(10a)=3×32×33×…×310=31+2+3+…+10=355.19.解:(1)周日:33+0.2=33.2(米),周一:33.2+0.8=34(米),周二:34﹣0.4=33.6(米),周三:33.6+0.2=33.8(米),周四:33.8+0.3=34.1(米),周五:34.1﹣0.5=33.6(米),周六:33.6﹣0.2=33.4(米).答:周四水位最高,最高水位是34.1米,周日水位最低,最低水位是33.2米;(2)33.4﹣33=0.4>0,答:与上周末相比,本周末河流的水位上升了,水位是33.4米;(3)100×(0.4+0.5+0.2)×2.5×102吨=2.75×104(吨),答:这个星期共有2.75×104吨水蒸发到大气中.20.解:∵10﹣2α==3,10﹣β==﹣,∴102α=,10β=﹣5,∴106α+2β=(102α)3•(10β)2,=()3×(﹣5)2,=×25,=.。
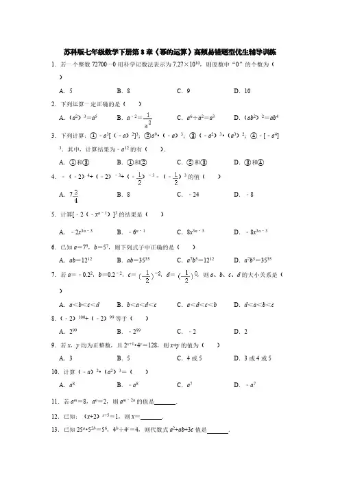
苏科版七年级数学下册第8章《幂的运算》高频易错题型优生辅导训练1.若一个整数72700…0用科学记数法表示为7.27×1010,则原数中“0”的个数为( )A.5B.8C.9D.102.下列运算一定正确的是( )A.(a2)3=a5B.a﹣2=C.a6÷a2=a3D.(ab2)2=ab4 3.下列计算:①﹣a3[(﹣a)2]3;②a9•(﹣a)3;③(﹣a2)3•(a3)2;④﹣[﹣a4] 3.其中,计算结果为﹣a12的有( ).A.①和③B.①和②C.②和③D.③和④4.﹣(﹣2)4+(﹣2)﹣3+(﹣)﹣3﹣(﹣)3的值( )A.7B.8C.﹣24D.﹣85.计算[﹣2(﹣x n﹣1)]3的结果是( )A.﹣2x3n﹣3B.﹣6n﹣1C.8x3n﹣3D.﹣8x3n﹣36.已知a=75,b=57,则下列式子中正确的是( )A.ab=1212B.ab=3535C.a7b5=1212D.a7b5=35357.若a=﹣0.22,b=0.2﹣2,c=,d=,则a、b、c、d的大小关系是( )A.a<b<c<d B.b<a<d<c C.a<d<c<b D.d<a<b<c 8.(﹣2)100+(﹣2)99等于( )A.299B.﹣299C.﹣2D.29.若x,y均为正整数,且2x+1•4y=128,则x+y的值为( )A.3B.5C.4或5D.3或4或510.计算(﹣a)2•(a2)3=( )A.a8B.﹣a8C.a7D.﹣a711.若a m=8,a n=2,则a m﹣2n的值是 .12.已知:(x+2)x+5=1,则x= .13.已知25a•52b=56,4b÷4c=4,则代数式a2+ab+3c值是 .14.已知5x=30,6y=30,则等于 .15.计算(﹣9)3×(﹣)6×(1+)3= .16.2020年1月24日,中国疾控中心成功分离我国首株新型冠状病毒毒种,该毒种直径大约为90纳米(1纳米=0.000001毫米),数据“90纳米”用科学记数法表示为 毫米.17.计算:(﹣1)2020﹣(π﹣3.14)0的结果为 .18.计算(x﹣y)2(y﹣x)3(x﹣y)= (写成幂的形式).19.计算:42019×(﹣0.25)2020= .20.若3x+2=36,则= .21.对于正整数n,2n+4﹣2n,除以30的商等于 .22.已知(a x)y=a6,(a x)2÷a y=a3(1)求xy和2x﹣y的值;(2)求4x2+y2的值.23.“若a m=a n(a>0且a≠1,m、n是正整数),则m=n”.你能利用上面的结论解决下面的问题吗?试试看,相信你一定行!(1)如果27x=39,求x的值;(2)如果2÷8x•16x=25,求x的值;(3)如果3x+2•5x+2=153x﹣8,求x的值.24.我们约定:a★b=10a×10b,例如3★4=103×104=107.(1)试求2★5和3★17的值;(2)猜想:a★b与b★a的运算结果是否相等?说明理由.25.(1)若3m=6,9n=2,求32m﹣4n+1的值;(2)若10m=20,10n=,求9m÷32n的值.26.(x4)2+(x2)4﹣x(x2)4﹣x(x2)2•x3﹣(﹣x)3•(﹣x2)2•(﹣x)27.小松学习了“同底数幂的除法”后做这样一道题:若(2x﹣1)2x+1=1,求x的值.小松解答过程如下:解:∵1的任何次幂为1,∴2x﹣1=1,即x=1,故(2x﹣1)2x+1=13=1,∴x=1.老师说小松考虑问题不全面,聪明的你能帮助小松解决这个问题吗?请把他的解答补充完整.28.已知10x=a,5x=b,求:(1)50x的值;(2)2x的值;(3)20x的值.(结果用含a、b的代数式表示)29.化简:(﹣a2)n﹣2•(﹣a n+1)3•a+a3n•[(﹣a2)n+(﹣a n)2](n为大于2的正整数)参考答案1.解:用科学记数法表示为7.27×1010的原数为72700000000,所以原数中“0”的个数为8,故选:B.2.解:A.(a2)3=a6,原计算错误,故本选项不合题意;B.a﹣2=,原计算正确,故本选项合题意;C.a6÷a2=a4,原计算错误,故本选项符合题意;D.(ab2)2=a2b4,原计算错误,故本选项不合题意.故选:B.3.解:①﹣a3[(﹣a)2]3=﹣a3•(﹣a6)=a9;②a9•(﹣a)3=a9•(﹣a3)=﹣a12③(﹣a2)3•(a3)2=(﹣a6)•a6=﹣a12;④﹣[﹣a4]3=﹣(﹣a12)=a12,∴结果为﹣a12的有②和③.故选:C.4.解:﹣(﹣2)4+(﹣2)﹣3+(﹣)﹣3﹣(﹣)3=﹣16++﹣(﹣)=﹣16﹣﹣8+=﹣24故选:C.5.解:原式=(﹣2)3(﹣x n﹣1)3=﹣8•(﹣x3n﹣3)=8x3n﹣3,故选:C.6.解:∵a=75,b=57,∴ab=75×57≠1212,ab≠3535,a7b5=(75)7×(57)5=735×535=(7×5)35=3535,而a7b5≠1212,∴选项A、B、C都不正确;只有选项D正确;故选:D.7.解:∵a=﹣0.22=﹣0.04,b=0.2﹣2=25,c==4,d==1,∵﹣0.04<1<4<25,∴a<d<c<b.故选:C.8.解:原式=(﹣2)×(﹣2)99+(﹣2)99=(﹣2)99×(﹣2+1)=299.故选:A.9.解:∵2x+1•4y=2x+1+2y,27=128,∴x+1+2y=7,即x+2y=6∵x,y均为正整数,∴或∴x+y=5或4,故选:C.10.解:(﹣a)2•(a2)3=a2•a6=a8,故选:A.11.解:∵a m=8,a n=2,∴a m﹣2n=a m÷a2n=a m÷(a n)2=8÷22=2,故答案为:2.12.解:根据0指数的意义,得当x+2≠0时,x+5=0,解得x=﹣5.当x+2=1时,x=﹣1,当x+2=﹣1时,x=﹣3,x+5=2,指数为偶数,符合题意.故填:﹣5或﹣1或﹣3.13.解:∵25a•52b=56,4b÷4c=4,∴52a+2b=56,4b﹣c=4,∴a+b=3,b﹣c=1,两式相减,可得a+c=2,∴a2+ab+3c=a(a+b)+3c=3a+3c=3×2=6,故答案为:6.14.解:∵5x=30,6y=30,∴5xy=(5x)y=30y=(5×6)y=5y×6y,∴=5xy﹣y=6y=30=5x,∴5xy﹣y﹣x=1=50∴xy﹣y﹣x=0,∴xy=x+y,∴=1.故答案为:1.15.解:(﹣9)3×(﹣)6×(1+)3,=(﹣9)3×[(﹣)2]3×()3,=[(﹣9)××]3,=(﹣6)3,=﹣216.16.解:因为1纳米=0.000001毫米,所以90纳米=90×10﹣6毫米=9×10﹣5毫米,故答案为:9×10﹣5.17.解:(﹣1)2020﹣(π﹣3.14)0=1﹣1=0.故答案为:0.18.解:(x﹣y)2(y﹣x)3(x﹣y)=﹣(x﹣y)2(x﹣y)3(x﹣y)=﹣(x﹣y)6.故答案为:﹣(x﹣y)6.19.解:(﹣0.25)2020×42019=(﹣0.25)2019×42019×(﹣0.25)=(﹣0.25×4)2019×(﹣0.25)=﹣1×(﹣0.25)=0.25.故答案为:0.25.20.解:原等式可转化为:3x×32=36,解得3x=4,把3x=4代入得,原式=2.故答案为:2.21.解:(2n+4﹣2n)÷30=(2n×24﹣2n)÷30=(2n×16﹣2n)÷30=2n×(16﹣1)÷30=2n×15÷30=2n÷2=2n﹣1.故答案为:2n﹣1.22.解:(1)∵(a x)y=a6,(a x)2÷a y=a3∴a xy=a6,a2x÷a y=a2x﹣y=a3,∴xy=6,2x﹣y=3.(2)4x2+y2=(2x﹣y)2+4xy=32+4×6=9+24=33.23.解:(1)27x=(33)x=33x=39,∴3x=9,解得:x=3.(2)2÷8x•16x=2÷(23)x•(24)x=2÷23x•24x=21﹣3x+4x=25,∴1﹣3x+4x=5,解得:x=4.(3)3x+2•5x+2=(3×5)x+2=15x+2=153x﹣8,∴x+2=3x﹣8,解得:x=5.24.解:(1)2★5=102×105=107,3★17=103×1017=1020;(2)a★b与b★a的运算结果相等,a★b=10a×10b=10a+bb★a=10b×10a=10b+a,∴a★b=b★a.25.解:(1)∵3m=6,9n=2,∴32m﹣4n+1=32m÷34n×3=32m÷(32)2n×3=32m÷92n×3=(3m)2÷(9n)2×3=36÷4×3=27;(2)∵10m=20,10n=,∴10m÷10n=20÷=100,即10m﹣n=100,∴m﹣n=2,∴9m÷32n=9m÷9n=9m﹣n=81.26.解:(x4)2+(x2)4﹣x(x2)4﹣x(x2)2•x3﹣(﹣x)3•(﹣x2)2•(﹣x)=x8+x8﹣x9﹣x8﹣x8=﹣x927.解:(2x﹣1)2x+1=1,分三种情况:①当2x﹣1=1时,x=1,此时(2x﹣1)2x+1=13=1,符合题意;②当2x+1=0,x=,此时(2x﹣1)2x+1=(﹣2)0=1,符合题意;③当x=0时,原式=(﹣1)1=﹣1,不合题意.综上所述:x=1或x=.28.解:(1)50x=10x×5x=ab;(2)2x===;(3)20x===.29.解:当n为大于2的奇数时,原式=﹣a2(n﹣2)•(﹣a3n+3)•a+a3n•[﹣a2n+a2n],=a2n﹣4+3n+3+1,=a5n;当n为大于2的偶数时,原式=a2(n﹣2)•(﹣a3n+3)•a+a3n•[a2n+a2n],=﹣a2n﹣4+3n+3+1+2a5n,=﹣a5n+2a5n,=a5n;综上所述,原式=a5n.。
6 a -^a =a / 八 3 3^3 (—ab )= - a bC . (a * 2) 3=a 5苏教版 七年级 数学 幂的运算 练习卷一 .选择题(共13小题) 1 .碳纳米管的硬度与金刚石相当,却拥有良好的柔韧性,可以拉伸,我国某物理所研究组已研制出直径为 的碳纳米管,1纳米=0.000000001米,则 A . 0.5X10^9 米 B . 5X 0-8米 C . 5X 0-9 米 D . 5X 0-10 米 0.5纳米用科学记数法表示为(2. -2.040 X 05表示的原数为( ) A . - 204000 B . - 0.000204 C . - 204.000 D . - 20400 3. (2007?十堰)下列运算正确的是( A6小 3 18 f / 3、2 2 5 A . a ?a =a B . (a ) a =a 一 6 3 2 f 33^3 C . a -^a =a D . a +a =2a 4. (2007?眉山)下列计算错误的是( z 、33A . (- 2x ) = - 2xC . (- x )9r- x )3 6=x)3B . - a ?a= - a3、2 , 6D . (- 2a )=4a0.5纳米6. (2004?三明)下列运算正确的是(A 2小 3 6 A . x ?x =x C . (x - 1) 0=1) ( 2) 3 6 (—x ) =x5 4 D . 6x 5-2x=3x 4 7. A . x>--B . XM —二2[2C . x <--D . x M2\2在①(-1) 0=1 ;②(-1) 3=-1 :③3a =,;④3a(-x ) 5— (- x ) 3= - x 2 中,A .①②B .②③C .①②③D .①②③④苦 (3、 右 a =( )-2 b= (- 1) -1,c=(--.)则 a , b ,c 的大小关系是()A . a > b > cB . a > c > bC . c > a > bD . c > b > a则 )8. 9. 正确的式子有(若( 2x+1 ) 0=110•通讯卫星的高度是 并同时反射给地面需要 A . 3.6X10「1秒 C . 2.4X10「2 秒3.6 X107米,电磁波在空中的传播速度是)B . 1.2 X 0^1 秒 D . 2.4 X 0「1 秒3X108米/秒,从地面发射的电磁波被通讯卫星接受5. 正确的是(1212B .D11.下列计算,结果正确的个数()(1) U) —1 =—3:—3; (2) 2 = —8;(3)(-上)—2——';(4) ( n—3.14) 0=134gA . 1个B. 2个C. 3个D. 4个12. 下列算式,计算正确的有-3 0①10 =0.0001 ;② (0.0001)=1;③ 3aA . 1个B. 2个C. 3个D. 4个13. 计算:^ 的结果是()5 4A .主B. §5 4C.(为仙D. (5他54二.填空题(共8小题)1 - 314. (2005?常州)(占)°= ---------------------------- ;©= ---------------------a+215. 已知(a- 3)a2=1,则整数a= ________________ .16 .如果(x - 1)x+4=1成立,那么满足它的所有整数x的值是24. ________________________________________________________________________ (2010?西宁)计算:(斗)7 —(2 14—兀)°+0.0X4°=________________________________________________________________________________ •25•计算:(1)(- 2.5x3) 2(- 4x3) = _ __ ;(2)(- 104) ( 5XI05) ( 3X102) = ______________ ;26 •计算下列各题:(用简便方法计算)2n 2n-1 2 2 3 2(1)- 10 XI00x( - 10) = ________________________________________ ; (2) [ (- a) (- b) ?a b c] = ;(3)(x3) 2^x2^x+x3-( - x) 2? (- x2) = _______________ ; (4)〔-9)0(-2)(丄)5= ____________3 327.把下式化成(a- b) p的形式:15 ( a- b) 3[ - 6 ( a- b) p+5] (b- a) 2^45 (b - a) 5= ____________ .28 .如果x m=5, x n=25,则x5m-2n的值为________________________ •,. n m k 戸「2n+m-2k 砧/古*29. 已知:a =2, a =3, a =4,贝U a 的值为.30 .比较2100与375的大小2100 ________________ 375.答案与评分标准一•选择题(共13小题)1 •碳纳米管的硬度与金刚石相当,却拥有良好的柔韧性,可以拉伸,我国某物理所研究组已研制出直径为0.5纳米的碳纳米管,1纳米=0.000000001米,贝U 0.5纳米用科学记数法表示为( )A • 0.5X10「9米B • 5 XI0「8米C. 5X10「9米 D • 5X10^10米考点:科学记数法一表示较小的数。
章节测试题1.【题文】已知,求的值.【答案】36或0【分析】先把已知条件转化成以3为底数的幂,求出a、b的值,再代入代数式计算即可.【解答】解:由条件得,所以,.当,时,,当,时,,所以或.2.【题文】()如果,求的值.()已知,求的值.【答案】()8;()16.【分析】(1)由,可求得,又由,即可求出答案;(2)利用幂的乘方的逆运算把化为,把已知代入即可求解.【解答】解:()因为,所以,所以.()因为,所以.3.【题文】计算:().().().().【答案】();();();().【分析】(1)先进行幂的乘方运算,再利用同底数幂的乘法法则计算即可;(2)先进行幂的乘方运算,再利用同底数幂的乘法法则计算即可;(3)先进行幂的乘方运算,再利用同底数幂的乘法法则计算即可;(4)将原式各项利用积的乘法及幂的乘方运算法则化简,合并同类项后即可得到结果.【解答】解:()原式.()原式.()原式.()原式.4.【题文】(1)已知2×8x×16=223,求x的值;(2)已知3m+2×92m-1×27m=98,求m的值.【答案】(1)6(2)2【分析】(1)利用积的乘方的逆运算可得结果;(2)由同底数幂的乘法得出3m+2×92m-1×27m=38m=98得出8m=16即可求解.【解答】解:(1)因为2×8x×16=223,所以23x+5=223,所以3x+5=23,所以x=6.(2)因为3m+2×92m-1×27m=3m+2×34m-2×33m=38m=98,所以38m=316.所以8m=16.所以m=2.5.【题文】已知2x=a,4y=b,8z=ab,试猜想x,y,z之间的数量关系,并说明理由.【答案】x+2y=3z【分析】观察等式2x=a,4y=b,8z=ab,易得前两个等式相乘右边可得ab,与第三个等式右边相等,可得等式“2x·4y=8z”,对等式进一步变形;可得2x+2y=23z,即得出含x、y、z的幂的等式,从而得出结果.【解答】解:猜想x+2y=3z.理由:因为2x·4y=ab,8z=ab,所以2x·4y=8z,即2x+2y=23z.所以x+2y=3z.6.【题文】已知2x+5y-9=0,求4x·32y的值.【答案】512【分析】根据幂的乘方,同底数幂的乘法,化要求的式子为已知条件,把已知代入即可得出结果.【解答】解:4x·32y=22x·25y=22x+5y.因为2x+5y-9=0,所以2x+5y=9.所以原式=29=512.7.【题文】已知x+4y=5,求4x·162y的值.【答案】1024【分析】根据积的乘方的逆用,把4x·162y化为4x+4y,代入即可.【解答】解:∵x+4y=5, ∴4x·162y=4x·44y=4x+4y=45=1 0248.【题文】已知(2x)n=22n(n为正整数),求正数x的值.【答案】2【分析】根据幂的乘方运算法则可得;再根据相等幂的指数相同,则底数也相等得关于x的方程,求解即可.【解答】解:由题意知(2x)n=22n=4n.又因为x为正数,所以2x=4,即x=2.9.【题文】计算: (x-y)3·(y-x)2·(x-y)4.【答案】(x-y)9【分析】按照同底数幂的运算法则进行运算即可.【解答】解:10.【题文】若x m=2,求x4m的值【答案】16【分析】根据幂的乘方法则可完成此题.【解答】解::x m =2,∵x4m=(x m)4,∴x4m的值为16.11.【题文】a3表示3个a相乘,(a3)4表示4个_____相乘,•因此(a3)4•=•____=____,由此推得(a m)n=______,其中m,n都是正整数,并利用你发现的规律计算:(1)(a4)5;(2)[(a+b)4] 5.12.【题文】阅读下列解题过程:试比较2100与375的大小.解:∵2100=(24)25=1625375=(33)25=2725而16<27,∴2100<375.请根据上述解答过程解答:比较255、344、433的大小.【答案】255<433<344【分析】根据题目中所给的方法,由幂的乘方的逆运算,把各数化为指数相同、底数不同的形式,再根据底数的大小比较即可.【解答】解:∵,且32<64<81,∴.13.【题文】若n为正整数,且x2n=4,求(3x3n)2-4(-x2)2n的值.【答案】512【分析】【解答】解:原式=9x6n-4x4n=9(x2n)3-4(x2n)2.∵x2n=4,∴原式=9×43-4×42=512.14.【答题】计算(﹣x3)2所得结果是()A. x5B. ﹣x5C. x6D. ﹣x6【答案】C【分析】根据幂的乘方法则计算即可.【解答】(﹣x3)2=x6,选C.15.【答题】下列运算中,正确的个数是()①;②;③;④;⑤A. 1个B. 2个C. 3个D. 4个【答案】A【分析】根据幂的乘方法则和有理数的运算计算即可.【解答】①不是同类项,不能够合并;②根据幂的乘方的运算法则可得原式=;③原式=1×2-1=2-1=1;④原式=-5+3=-2;⑤原式=;正确的只有②,选A.16.【答题】若5x=125y,3y=9z,则x:y:z等于()A. 1:2:3B. 3:2:1C. 1:3:6D. 6:2:1【答案】D【分析】根据幂的乘方法则计算即可.【解答】∵5x=(53)y=53y,3y=(32)z=32z,∴x=3y,y=2z,即x=3y=6z;设z=k,则y=2k,x=6k;(k≠0)∴x:y:z=6k:2k:k=6:2:1选D.17.【答题】下列运算正确的是()A. x2+x3=x5B. (﹣a3)•a3=a6C. (﹣x3)2=x6D. 4a2﹣(2a)2=2a2【答案】C【分析】根据整式的加减和幂的乘方法则计算即可.【解答】A选项: x2和x3不是同类项,不能直接相加,故是错误的;B选项: (﹣a3)•a3=-a6,故是错误的;C选项: (﹣x3)2=x6,计算正确;D选项: 4a2﹣(2a)2=0;选C.18.【答题】对于等式:(1);(2)判断正确的是()A. (1)正确B. (2)正确C. 都正确D. 无法判断【答案】B【分析】根据幂的乘方法则计算即可.【解答】解:(1)若n为奇数、m为偶数,则而故(1)错误;(2)由故(2)正确;选B.19.【答题】计算,正确结果是()A.B.C.D.【答案】B【分析】根据幂的乘方法则计算即可.【解答】解:=a6.选B.20.【答题】已知,,则可以表示为().A.B.C.D.【答案】A【分析】根据幂的乘方法则计算即可. 【解答】解:∵,,∴.故选.。
初一数学幂的运算练习姓名________ 学号____一.填空题1、-34πr 3的系数 次数 2、多项式2a 2b-35是 次 项式。
各项的系数分别是3、在下列各式53b a +, 3x , π1, a 2+b 2, 31-a 2bc, x 2+2x+x 1中单项式 有 多项式有 4、多项式a n b n+1+3a 3b+1是5次3项式,n= 。
5、减去3ab 得—2ab 的式子是___6、化简)()(325x x x x --=7、若31123x x x x n n =+,则n=8、若2,5m n a a ==,则m n a +=________;若1216x +=,则x=________. 9、化简)2()2()2(43y x x y y x ---=10、若4x =5,4y =3,则4x+y =________若2,x a =则3x a = 。
11、–a 12=a 3( )9=(-a)5( )7=-a 4( )8二.选择题1、m x -与m x )(-的关系是( )A :相等B :相反C :m 为奇数时相等,m 为偶数时相反D :m 为奇数时相反,m 为偶数时相等2、下列计算正确的是( )A 、102×102=2×102B 、102×102=104C 、102+102=104D 、102+102=2×1043、计算19992000(2)(2)-+-等于( ) A.39992- B.-2 C.19992- D.199924、长方形一边长为2a+b 另一边比它小a-b ,这个长方形周长为( )A 、6aB 、10a+2bC 、2a-2bD 、6a+6b5、a=255 b=344 c=533 d=622 a,b,c,d 大小顺序为( )A 、a<b<c<dB 、a<b<d<cC 、b<a<c<dD 、a<d<b<c6、512×83=2m+1 m=( )A 、15B 、17C 、18D 、21三、计算题:(1)a 2·a 3+a ·a 5(2) (n-m)3·(m-n)2 -(m-n)5(3) 2323()()()()x y x y y x y x -⋅-⋅-⋅-(4) 2344()()2()()x x x x x x -⋅-+⋅---⋅四、.解答1、化简a-{b-2a+[3a-2(b+2a)+5b]}2、一个多项式与7532-+-x x 的和是12+-x 求这个多项式3、已知105,106a b ==,求(1)231010a b +的值;(2)2310a b +的值4.已知:A=12322--+x xy x ,B=12-+-xy x ,且3A+6B 的值与x 无关, 求y 的值。
北师大版七年级数学下册幂的运算基础达标专项练习题2(附答案详解) 1.计算:4333a b a b ÷的结果是A .aB .3aC .abD .2a b 2.(-5b )3等于( ) A .-125b 3B .125b 10C .15b 9D .125b 33.x 2+5 可以写成( )A .x 2.x 5B .x 2.x 5C .2x .x 5D .2x .5x 4.下列计算的结果是6a 的为( ) A .122a a ÷ B .7a a -C .24a a ⋅D .23(a )-5.a 2m+2÷a 等于( )A .a 3mB .2a 2m+2C .a 2m+1D .a m +a 2m 6.已知x a =3,x b =5,则x 2a -b =( ) A .35B .65C .95D .17.下列运算正确的是( )A .5a 2+3a 2=8a 4B .a 3·a 4=a 12C .a +2b =2abD .a 5÷a 2=a 3 8.下列等式错误的是( ) A .()22224mn m n = B .()22224mn m n -= C .()3226628m n m n =D .()3225528m n m n -=-9.下列计算:①a 2n •a n =a 3n ;②22•33=65;③32÷32=1;④a 3÷a 2=5a ;⑤(﹣a )2•(﹣a )3=a 5.其中正确的式子有( ) A .4 个B .3 个C .2 个D .1 个10.下列运算结果是a 5的是( )A .a 10÷a 2B .(a 2)3C .(﹣a )5D .a 3•a 2 11.化简(-x)5x 2x(-x 3)=__________12.一个三角形的面积为4a 3b 4.底边的长为2ab 2,则这个三角形的高为_____. 13.已知(x m )n =x 5,则mn (mn -1)的值为_______. 14.14.计算(ab)3=_____.15.如果3x a =,那么3x a 的值为______ . 16.计算(﹣a )3•a 2的结果等于_____.17.已知 x -y =m ,那么(2x -2y)3=____. 18.计算:42x x ⋅=_____________.19.已知2139108n n -+=,则代数式(22)n n -的值为__________. 20.若x m =3,x n =-2,则x m+2n =_____. 21.已知2,2x y a b ==,求3222x y x y +++的值22.在一次测验中有这样一道题:“12na =, 3nb =,求()2n ab 的值.”马小虎是这样解的:解:()()22219324nn nab a b ⎛⎫==⨯= ⎪⎝⎭.结果卷子发下来,马小虎这道题没得分,而答案确实是94,你知道这是为什么吗?请你作出正确的解答.23.计算:()031321223⎛⎫⎛⎫-+---⨯- ⎪ ⎪⎝⎭⎝⎭.24.先化简,再求值:(x+y )2+(2x+y )(2x ﹣y )﹣x (x+y ),其中x 、y 分别为的整数部分和小数部分.25.已知x 2m =2,求(2x 3m )2-(3x m )2的值.26.先化简,再求值:,其中。
2021-2022学年苏科版七年级数学下册《第8章幂的运算》单元达标测试题(附答案)一.选择题(共8小题,满分40分)1.数字0.000000006用科学记数法表示为()A.6×10﹣8B.6×10﹣9C.6×10﹣10D.6×10﹣11 2.计算(﹣)2022×(﹣2)2022的结果是()A.﹣1B.0C.1D.20223.下列计算正确的是()A.(﹣2a2b)3=﹣8a6b3B.a6÷a3+a2=2a2C.2a+3b=5ab D.a2•a4=a84.已知10a=20,100b=50,则a+b+的值是()A.2B.C.3D.5.计算:(﹣x2y)3=()A.﹣2x6y3B.C.D.6.已知2a=5,2b=10,2c=50,那么a、b、c之间满足的等量关系是()A.ab=c B.a+b=cC.a:b:c=1:2:10D.a2b2=c27.若8x=21,2y=3,则23x﹣y的值是()A.7B.18C.24D.638.若22=4y﹣1,27y=3x+1,则x﹣y等于()A.﹣5B.3C.﹣1D.1二.填空题(共8小题,满分40分)9.计算:2×103﹣(﹣2)3×102=(把结果用科学记数法表示).10.若9a•27b÷81c=9,则2a+3b﹣4c的值为.11.若2x=3,4y=2,则2x﹣2y的值为.12.若3x﹣5y﹣1=0,则103x÷105y=.13.已知3x+1•5x+1=152x﹣3,则x=.14.若2m+2m+2m+2m=8,则m=.15.计算:=.16.已知(x+3)2﹣x=1,则x的值可能是.三.解答题(共5小题,满分40分)17.(1).(2)如果2m=3,.求23m+2n的值.18.m•(﹣m)2•(﹣m)2•(﹣m)2•(﹣m3)•(﹣m)3.19.(1)已知2m=a,32n=b,m、n为正整数,求23m+10n﹣2的值;(2)已知2a=3,4b=5,8c=7,求8a+c﹣2b的值.20.2(a3)4+a4•(﹣a2)4+a6•(﹣a2)3+(﹣a2)(﹣a5)2.21.某银行去年新增加居民存款10亿元人民币.(结果用科学记数法表示)(1)经测量,100张面值为100元的新版人民币大约厚0.9厘米,如果将10亿元面值为100元的新版人民币摞起来,大约有多高?(2)一台激光点钞机的点钞速度是8×104张/时,按每天点钞5小时计算,如果让点钞机点一遍10亿元面值为100元的新版人民币,点钞机大约要点多少天?参考答案一.选择题(共8小题,满分40分)1.解:0.000000006=6×10﹣9.故选:B.2.解:(﹣)2022×(﹣2)2022=[﹣×(﹣)]2022=12022=1,故选:C.3.解:A、(﹣2a2b)3=﹣8a6b3,故A符合题意;B、a6÷a3+a2=a3+a2,故B不符合题意;C、2a与3b不属于同类项,不能合并,故C不符合题意;D、a2•a4=a6,故D不符合题意;故选:A.4.解:∵10a×100b=10a×102b=10a+2b=20×50=1000=103,∴a+2b=3,∴原式=(a+2b+3)=×(3+3)=3,故选:C.5.解:(﹣x2y)3=﹣x6y3,故选:D.6.解:∵5×10=50,∴2a•2b=2c,∴2a+b=2c,∴a+b=c,故选:B.7.解:∵8x=21,2y=3,∴23x=21,∴23x﹣y=23x÷2y=21÷3=7.故选:A.8.解:∵22=4y﹣1=22y﹣2,27y=33y=3x+1,∴2y﹣2=2,3y=x+1,解得y=2,x=5,∴x﹣y=5﹣2=3.故选:B.二.填空题(共8小题,满分40分)9.解:2×103﹣(﹣2)3×102=2×103+8×102=2000+800=2800=2.8×103.故答案为:2.8×103.10.解:9a•27b÷81c=9,32a•33b÷34c=32,32a+3b﹣4c=32,∴2a+3b﹣4c=2,故答案为:2.11.解:∵2x=3,4y=2,∴22y=2,∴2x﹣2y=2x÷22y=3÷2=,故答案为:.12.解:因为3x﹣5y﹣1=0,所以3x﹣5y=1,所以103x÷105y=103x﹣5y=10.故答案为:10.13.解:∵3x+1•5x+1=152x﹣3,∴(3×5)x+1=152x﹣3,即15x+1=152x﹣3,∴x+1=2x﹣3,解得:x=4.故答案为:4.14.解:∵2m+2m+2m+2m=8,∴4×2m=8,∴22×2m=8,则有:2m+2=23,∴m+2=3,解得:m=1.故答案为:1.15.解:原式=1+﹣1=1+2﹣1=2.故答案为:2.16.解:当x+3=1时,解得:x=﹣2,故(x+3)2﹣x=(﹣2+3)2﹣(﹣2)=14=1;当x+3=﹣1时,解得:x=﹣4,故(x+3)2﹣x=(﹣4+3)6=1;当2﹣x=0时,解得:x=2,故(x+3)2﹣x=(2+3)0=1;综上所述,x的值可能是﹣2或﹣4或2.故答案为:﹣2或﹣4或2.三.解答题(共5小题,满分40分)17.解:(1)=﹣1+1﹣9+(﹣8)=﹣9﹣8=﹣17;(2)当2m=3,时,23m+2n=23m×22n=(2m)3×(2n)2=33×()2=27×=3.18.解:m•(﹣m)2•(﹣m)2•(﹣m)2•(﹣m3)•(﹣m)3=m•m2•m2•m2•(﹣m3)•(﹣m3)=m1+2+2+2+3+3=m13.19.解:(1)∵2m=a,32n=25n=b,m、n为正整数,∴23m+10n﹣2=(2m)3•(25n)2÷22=a3•b2÷4=;(2)∵2a=3,4b=22b=5,8c=23c=7,∴8a+c﹣2b=23a+3c﹣6b=(2a)3•23c÷(22b)3=33×7÷53=27×7÷125=.20.解:原式=2a12+a12﹣a12﹣a12.=a12.21.解:(1)10亿=1 000 000 000=109,∴10亿元的总张数为109÷100=107张,107÷100×0.9=9×104(厘米);(2)107÷(5×8×104),=(1÷40)×(107÷104),=0.025×103=25=2.5×10(天).。
试卷第1页,总5页一、选择题1.计算32)(x-的结果是( ) A.5x -; B.5x ; C.6x -; D.6x .2.计算下列各式,结果是8x 的是( )A .x 2·x 4;B .(x 2)6;C .x 4+x 4;D .x 4·x 4.3.在下列各式的括号内填入适当的代数式,使等式成立: ⑴103(____)a a a =∙∙; ⑵863(____)a a a ∙=∙.4.若1621=+x ,则x 等于( )A.7;B.4;C.3;D.2.5.32x x∙的计算结果是( ) A.5x B. 6x C.8x D.9x6.观察下列算式:21=2,22=4,23=8,24=16,25=32,26=64,27=128,28=256,…,则89的个位数字是( )A.2 ; B .4; C .8; D .6.7.若53=x ,43=y ,则y x -23等于( )8.对于非零实数m ,下列式子运算正确的是( )A .923)(m m =B .623m m m =⋅C .532m m m =+ D .426m m m =÷ 9.计算:()()()4325a a a -÷⋅-的结果,正确的是( ) A.7a B.6a - C.7a - D.6a10.下列各式计算结果不正确的是( )A.ab(ab)2=a 3b 3B.a 3b 2÷2b C.(2ab 2)3=8a 3b 6 D.a 3÷a 3·a 3=a 211.下列计算正确的是( )A .(-y )7÷(-y )4=y 3B .(x+y )5÷(x+y )=x 4+y 4C .(a -1)6÷(a -1)2=(a -1)3D .-x 5÷(-x 3)=x 2试卷第2页,总5页 12.计算:比较750与4825的大小.13.下列各式:①[]325)(a a -⋅-;②34)(a a -⋅;③2332)()(a a ⋅-;④[]34a --,计算结果为12a -的有( )A.①和③;B.①和②;C.②和③;D.③和④.14.下列四个算式中:①(a 3)3=a 3+3=a 6;②[(b 2)2]2=b 2×2×2=b 8;③ [(-x )3]4=(-x )12=x 12;④(-y 2)5=y 10,正确的算式有( )A .0个;B .1个;C .2个;D .3个.15.下列各式中计算正确的是( )A .(x 4)3=x 7; B.[(-a )2]5=-a 10;C.(a m )2=(a 2)m =a m 2;D.(-a 2)3=(-a 3)2=-a 6. 16.计算(a 3)2+a 2·a 4的结果为( )A.2a 9B.2a 6C.a 6+a 8D.a 1217.下列各式中,①824x x x =∙,②6332x x x =∙,③734a a a =∙,④1275a a a =+,⑤734)()(a a a =-∙-.正确的式子的个数是( )A.1个;B.2个;C.3个;D.4个.二、填空题18.在横线上填入适当的代数式:146_____x x =∙,26_____x x =÷.19.计算:26a a ÷= ,25)()(a a -÷-= . 20.)(234)2(=.(在括号内填数) 2122.计算:(x 4)3= .23.计算:()43a 表示 . 24.a (____)·a 4=a20.(在括号内填数) 25.计算:-x 2·(-x )3·(-x )2=__________.26.计算:a ·a 5·a 7= .27.计算:(a-b )3·(a-b )5= .试卷第3页,总5页28.计算:103×105= .29.如果8=m x ,5=n x ,则n m x -= .30.计算:23)()(m n n m -÷-=___________.31.计算:89)1()1(+÷+a a = .32.计算:559x x x ∙÷ = , )(355x x x ÷÷= .33.已知:0432=-+y x ,求y x 84⋅的值.34.在下列各式的括号中填入适当的代数式,使等式成立:⑴a 6=( )2;⑵2342225)()((_____))(a a a⋅=⋅. 35.计算:(y 3)2+(y 2)3= .36.计算:62753m m m m m m∙+∙+∙; 三、解答题37.计算:()()5243a a ⋅. 38.计算:324)(a a∙; 39.计算:[]423)1(a ⋅-; 40.计算: n m a a⋅3)(; 41.已知8=m a ,32=n a ,求n m a +的值.42.计算:32)()(a b b a -∙-;43.计算:3)(a a -∙-;44.计算:m m y y y +-∙∙321(m 是正整数).45.计算:25)32()32(y x y x +∙+; 46.计算:347a a a ∙∙;试卷第4页,总5页47.计算:86)101()101(∙; 48.已知235,310mn ==,求(1)9m n -;(2)29m n -. 49.已知3,9m n a a ==,求32m n a -的值.50.解方程:5)7(7-=x .1.解方程:15822=∙x ;2.地球上的所有植物每年能提供人类大约16106.6⨯大卡的能量,若每人每年要消耗5108⨯大卡的植物能量,试问地球能养活多少人?3.计算:[]233234)()()()(x x x x -÷-∙-÷-.4.计算:533248÷∙;5.计算:347)()()(a a a -⨯-÷-;6.计算:3459)(a a a ÷∙;78.24)32()32(y x y x +÷+;9.计算:2252)()(ab ab -÷-;10.计算:24)()(xy xy ÷; 11.若552=a ,443=b ,334=c ,比较a 、b 、c 的大小.12.已知:723921=-+n n ,求n 的值. 13.若510=x ,310=y ,求y x 3210+的值.14.计算:335210243254)()()()()(a a a a a a a-∙-∙--+∙---. 15.计算:()()3443a a -⋅-; 16.计算:23422225)()()()(2a a a a ⋅-⋅试卷第5页,总5页 17.计算:()43a +48a a ; 18.已知32=a ,62=b ,122=c ,求a 、b 、c 之间有什么样的关系?19.已知484212=++n n ,求n 的值. 20.计算:)2(2101100-+.21.一台电子计算机每秒可作1010次运算,它工作4103⨯秒可作运算多少次?22.计算:22)()()(b a b a b a n n +∙+∙+(n 是正整数). 23.计算:423)()(x x x -∙∙-;。
【精选】苏科版七年级下册数学第八章《幂的运算》测试卷(含答案)一、选择题(每题3分,共24分)1.【2021·南京市玄武区二模】计算a 3·(-a 2)的结果是( )A .a 5B .-a 5C .a 6D .-a 62.计算⎝ ⎛⎭⎪⎫130×⎝ ⎛⎭⎪⎫15-2的结果是( ) A.110 B .-110 C .25 D .-1253.【2022·宿迁】下列运算正确的是( )A .2m -m =1B .m 2·m 3=m 6C .(mn )2=m 2n 2D .(m 3)2=m 54.计算:(a ·a 3)2=a 2·(a 3)2=a 2·a 6=a 8,其中,第一步运算的依据是( )A .同底数幂的乘法法则B .幂的乘方法则C .乘法分配律D .积的乘方法则5.已知a a -1÷a =a ,则a =( )A .3B .1C .-1D .3或±16.【2022·长沙市校级期中】已知2x -3y =2,则(10x )2÷(10y )3的值为( )A .10 000B .1 000C .10D .1007.已知(x -1)|x |-1有意义且值为1,则x 的值为( )A .±1 B.-1 C .-1或2 D .28.【2022·青岛期中】如图,已知点P 从距原点右侧8个单位的点M 处向原点方向跳动,第一次跳动到OM 的中点M 1处,第二次从点M 1跳到OM 1的中点M 2处,第三次从点M 2跳到OM 2的中点M 3处,…,依次这样进行下去,第2 024次跳动后,该点到原点O 的距离为( )A .2-2 024B .2-2 023C .2-2 022D .2-2 021二、填空题(每题3分,共30分)9.【2022·苏州市吴江区期中】计算:(-3xy 3)3=__________.10.【2021·溧阳市期中】若83=25·2m ,则m =________.11.计算:(-5)2 023×⎝ ⎛⎭⎪⎫15 2 024=________.12.【2021·扬州市江都区期中】已知2a ÷4b =8,则a -2b 的值是________.13.【2022·湖北】科学家在实验室中检测出某种病毒的直径约为0.000 000 103m ,该直径用科学记数法表示为______________m.14.若0<x <1,则x -1,x ,x 2的大小关系是____________.15.【2021·盐城市建湖县月考】已知3x +1=6,2y +2=108,则xy 的值为________.16.设x =5a ,y =125a +1(a 为正整数),用含x 的代数式表示y ,则y =________.17.梯形的上、下底的长分别是4×103cm 和8×103cm ,高是1.6×104cm ,此梯形的面积是__________.18.我们知道,同底数幂的乘法法则为a m ·a n =a m +n (其中a ≠0,m 、n 为正整数).类似地,我们规定关于任意正整数m 、n 的一种新运算:g (m +n )=g (m )·g (n ),若g (1)=-13,则g (2 023)·g (2 024)=________________. 三、解答题(第19、20题每题6分,第21、22题每题8分,第23、24题每题9分,第25、26题每题10分,共66分)19.计算:(1)a3·a2·a+(a2)3; (2)(2m3)3+m10÷m-(m3)3. 20.计算:(1)0.62 023×(-53)2 024; (2)(-2)-2+⎝⎛⎭⎪⎫13-1×(2 023-π)0.21.已知2a=4b(a、b是正整数)且a+2b=8,求2a+4b的值.22.(1)比较221与314的大小;(2)比较86与411的大小.23.【2021·张家港市月考】(1)已知2×8x×16=223,求x的值;(2)已知a m=2,a n=3,求a3m-2n的值.24.某农科所要在一块长为1.2×105cm,宽为2.4×104cm的长方形实验地上培育新品种粮食,已知培育每种新品种需一块边长为1.2×104cm的正方形实验地,这块长方形实验地最多可以培育多少种新品种粮食?25.【2021·宿迁市沭阳县期中】(1)已知10a=5,10b=6,求102a+103b的值;(2)已知9n+1-9n=72,求n的值.26.【2022·盐城市亭湖区校级月考】规定两数a、b之间的一种运算,记作(a,b);如果a c=b,那么(a,b)=c.例如:因为23=8,所以(2,8)=3.。
北师大版七年级数学下册幂的运算基础达标专项练习题3(附答案详解)1.若()391528m m na b a b +=,则m n -的值为( ) A .-1 B .1 C .-2 D .22.下列计算正确的是( )A .y 7•y =y 8B .b 4﹣b 4=1C .x 5+x 5=x 10D .a 3×a 2=a 63.将数47300000用科学记数法表示为( )A .547310⨯B .647.310⨯C .74.7310⨯D .54.7310⨯ 4.下列等式正确的是( )A .3412a a a •=B .347a a a --÷=C .0(2)1-=-D .437(2)8a a = 5.下列运算正确的是( )A .9=±3B .(﹣a 3)2=a 6C .a 6÷a 3=a 2D .(x +y )2=x 2+y 26.x 2m +2可写成( )A .x m •x 2B .(x m +1)2C .x 2m +x 2D .(x 2m )2 7.下列运算中,计算结果正确的是( )A .B .C .D . 8.计算(-2)2014+(-2)2015等于( )A .-22014B .-2C .-1D .220149.下列运算正确的是( )A .224a a a +=B .()239a a =C .235a a a ⋅=D .322a a a ÷= 10.下列计算正确的是( )A .(﹣1)0=﹣1B .(﹣1)-1=1C .3a -2=23aD .(﹣x )5÷(﹣x )-3=x 2 11.长方形的周长为2L ,长为a ,则宽为( )A .2L-2aB .L-2aC .L-aD .2L-4a12.周末小光陪爸爸去陶瓷商城购买一些茶壶和茶杯,了解情况后发现甲、乙两家商店都在出售同样品牌的茶壶和茶杯,定价相同:茶壶每个30元,茶杯每个5元.现两家都有优惠:甲店“买一送一”(买1个茶壶送1个茶杯);乙店全场9折优惠.小光的爸爸需买茶壶5个,茶杯若干个(不少于5个).设购买茶杯x 个,若在甲店购买则需付________元;若在乙店购买则需付________元.(用含x 的代数式表示)13.计算:(-a 3)2·(-a 2)3=________,10m +1×10n +1=________.14.计算:201734()×2018113(﹣)=___________. 15.计算:()201820190.1258-⨯=________. 16.计算:()()2451242a a a ⎡⎤-÷⋅-=⎢⎥⎣⎦________________________. 17.计算的结果等于______. 18.(1)已知21233324m m ++=,则m =______.(2)已知3460x y +-=,则816x y ⋅=______.19.计算:()2322--=_______ ;20.已知84m =,85n =.则328m n +的值为________21.已知1x x m -+=,求22x x -+的值.22.在学习数学过程中,遇到难题可以从简单的情况入手,例如:求(x-1)(x 9+x 8+x 7+x 6+x 5+x 4+x 3+x 2+x+1)的值.分别计算下列各式的值:(1)填空:(x-1)(x+1)=______;(x-1)(x 2+x+1)=______;(x-1)(x 3+x 2+x+1)=______;…由此可得(x-1)(x 9+x 8+x 7+x 6+x 5+x 4+x 3+x 2+x+1)=______;(2)计算:1+2+22+23+…+27+28+29=______;(3)根据以上结论,计算:1+5+52+53+…+597+598+599.23.先化简,再求值:,其中,.24.(1)先化简,再求值:(x-3)2+2(x-2)(x+7)-(x+2)(x-2),其中x 2+2x-3=0.(2)已知2×8m ÷32m =213+m ,求:(-m 2)3÷(m 3•m 2)的值.25.计算()2015201480.125⨯-26.阅读材料: (1)1的任何次幂都为1;(2)﹣1的奇数次幂为﹣1;(3)﹣1的偶数次幂为1;(4)任何不等于零的数的零次幂为1.请问当x 为何值时,代数式(2x +3)x +2019的值为1.27.先化简,再求值:(x+y)(x-y)-(x-y)2-y(x-2y),其中x=2018,y=1201828.若一个两位数十位、个位上的数字分别为,m n ,我们可将这个两位数记为mn ,易知10mn m n =+;同理,一个三位数、四位数等均可以用此记法,如10010abc a b c =++.(基础训练)(1)解方程填空:①若2345x x +=,则x =______;②若7826y y -=,则y =______;③若9358131t t t +=,则t =______;(能力提升)(2)交换任意一个两位数mn 的个位数字与十位数字,可得到一个新数nm ,则mn nm +一定能被______整除,mn nm -一定能被______整除,mn nm mn •-+++6一定能被______整除;(请从大于5的整数中选择合适的数填空)(探索发现)(3)北京时间2019年4月10日21时,人类拍摄的首张黑洞照片问世,黑洞是一种引力极大的天体,连光都逃脱不了它的束缚.数学中也存在有趣的黑洞现象:任选一个三位数,要求个、十、百位的数字各不相同,把这个三位数的三个数字按大小重新排列,得出一个最大的数和一个最小的数,用得出的最大的数减去最小的数得到一个新数(例如若选的数为325,则用532-235=297),再将这个新数按上述方式重新排列,再相减,像这样运算若干次后一定会得到同一个重复出现的数,这个数称为“卡普雷卡尔黑洞数”.①该“卡普雷卡尔黑洞数”为______;②设任选的三位数为abc(不妨设a b c>>),试说明其均可产生该黑洞数.参考答案1.B【解析】【分析】先根据积的乘方和幂的乘方的运算性质展开得到8333m m n a b +=8915a b ,再根据相同字母的指数相等,得到3m=9,3m+3n=15,解出m,n 来,再代入m n -计算即可.【详解】解:依题意,得:393315m m n =⎧⎨+=⎩解得:m=3,n=2.∴m-n=1.故答案为B.【点睛】本题考查了积的乘方和幂的乘方的性质,掌握幂的运算性质是解题的关键.2.A【解析】【分析】利用同底数幂的乘法,合并同类项法则判断即可.【详解】解:A 、原式=y 8,符合题意;B 、原式=0,不符合题意;C 、原式=2x 5,不符合题意;D 、原式=a 5,不符合题意,故选A .【点睛】此题考查了同底数幂的乘法,熟练掌握运算法则是解本题的关键.3.C【解析】【分析】科学记数法的表示形式为a×10n 的形式,其中1≤|a|<10,n 为整数.确定n 的值时,要看把原数变成a 时,小数点移动了多少位,n 的绝对值与小数点移动的位数相同.当原数绝对值>1时,n 是正数;当原数的绝对值<1时,n 是负数.【详解】解:将47300000用科学记数法表示为74.7310⨯,故选:C .【点睛】此题考查科学记数法的表示方法.科学记数法的表示形式为a×10n 的形式,其中1≤|a|<10,n 为整数,表示时关键要正确确定a 的值以及n 的值.4.B【解析】【分析】根据幂的运算法则即可判断.【详解】解:A 、347•a a a =,错误;B 、347a a a --÷=,正确;C 、()021-=,错误;D 、()341228a a =,错误;故选:B .【点睛】此题主要考查幂的运算,解题的关键是熟知幂的运算法则.5.B【解析】【分析】根据正数的算术平方根是正数,积的乘方等于乘方的积,同底数幂的除法底数不变指数相减,和的平方等于平方和加积的二倍,可得答案.【详解】解:9的算术平方根是3,故A 错误;B、积的乘方等于乘方的积,故B正确;C、同底数幂的除法底数不变指数相减,故C错误;D、和的平方等于平方和加积的二倍,故D错误;故选:B.【点睛】本题考查了同底数幂的除法,熟记法则并根据法则计算是解题关键.6.B【解析】【分析】利用积的乘方的运算法则运算可判断B选项正确.【详解】解:x2m+2=(x m+1)2.故选:B.【点睛】本题考查了幂的乘方与积的乘方:幂的乘方法则:底数不变,指数相乘.把每一个因式分别乘方,再把所得的幂相乘.也考查了合并同类项.7.C【解析】【分析】分别根据同底数幂的乘法法则、幂的乘方法则、合并同类项的法则、积的乘方运算法则逐一判断即可.【详解】,故选项A错误;,故选项B错误;,故选项C正确;,故选项D错误.故选C.【点睛】本题考查了合并同类项,同底数幂的乘法以及幂的乘方与积的乘方,熟练掌握运算法则是解答本题的关键.8.A【解析】【分析】根据同底数幂的乘法法则,将20152-()写成201422()()-⨯-,原式提取公因式20142-(),化简合并即可求出.【详解】20142-()+20152-()=20142-()+201422()()-⨯- =20142-()(1-2) =20142-.故选A.【点睛】本题考查同底数幂的乘法.9.C【解析】【分析】根据合并同类项、幂的乘方和同底数幂的乘除法计算出各选项,进行判断即可.【详解】解:A.222 2a a a +=,故错误;B.()236 a a =,故错误;C. 235a a a ⋅=,正确;D. 3222a a a ÷=,故错误;故选C.【点睛】本题考查了幂的运算,熟练掌握幂的运算法则是解答本题的关键.同底数的幂相乘,底数不变,指数相加;同底数幂相除,底数不变指数相减;幂的乘方,底数不变,指数相乘;积的乘方,等于把积的每一个因式分别乘方,再把所得的幂相乘10.C【解析】【分析】根据零指数幂、负整指数幂和同底数幂的除法法则计算即可.【详解】A. (﹣1)0=1,选项A 错误;B. (﹣1)-1=-1,选项B 错误;C. 3a -2=23a ,选项C 正确; D. (﹣x )5÷(﹣x )-3=()8x -=8x ,选项D 错误;故选C .【点睛】本题考查了零指数幂、负整指数幂和同底数幂的除法,熟练掌握相关知识是解题的关键. 11.C【解析】【分析】根据长方形的周长公式C=(a+b )×2,即可求解宽的长度. 【详解】解:设宽为b2L=(a+b )×2,∴b= L-a故选C.【点睛】本题主要考查了长方形的周长公式的灵活应用.12.5x+125 4.5x+135【解析】【分析】由题意可知,在甲店买一把茶壶赠送茶杯一只,故需付5只茶壶的钱和x-5只茶杯的钱,已知茶壶和茶杯的钱,可列出付款关于x 的式子;在乙店购买全场9折优惠,同理也可列出付款关于x 的式子;【详解】解:设购买茶杯x 只,∵在甲店买一把茶壶赠送茶杯一只,且茶壶每把定价30元、茶杯每只定价5元, ∴在甲店购买需付:5×30+5×(x-5)=5x+125;∵在乙店购买全场9折优惠,∴在乙店购买需付:30×0.9×5+5×0.9×x=4.5x+135;故答案为:5x+125;4.5x+135;【点睛】本题考查了列代数式问题,关键是根据题意列出代数式解答即可.13.-a 12 , 10m +n +2【解析】【分析】先利用幂的乘方运算法则计算,再进行同底数幂的乘法运算即可.【详解】(-a 3)2·(-a 2)3=-a 6·a 6=-a 12;10m +1×10n +1=10m+1+n+1=10m+n+2.故答案为-a 12;10m +n +2.【点睛】此题主要考查了幂的乘方运算,正确掌握相关运算法则是解题关键. 14.43【解析】【分析】 先把原式化为201734()×20174433()⨯,再根据有理数的乘方法则计算. 【详解】 201734()×2018113(﹣) =201734()×201843() =201734()×20174433()⨯=2017344433⨯⨯() =143⨯ =43. 故答案为:43 . 【点睛】本题考查幂的乘方与积的乘方,同底数幂的乘法.15.8【解析】【分析】根据同底数幂的乘法底数不变指数相加,可化成指数相同的幂的乘法,根据积的乘方,可得答案.【详解】原式= (−0.125)2018×82018⨯ 8= (−0.125×8)2018⨯8=8, 故答案为:8.【点睛】本题考查的知识点是幂的乘方与积的乘方及同底数幂的乘方,解题的关键是熟练的掌握幂的乘方与积的乘方及同底数幂的乘方.16.-2a 20.【解析】【分析】根据幂的乘方,同底数幂的乘除法的法则进行计算即可.【详解】解:原式=(a 20÷a 12)2(-2a 4) =(a 8)2•(-2a 4)=a 16•(-2a 4)=-2a 20.故答案为:-2a 20.【点睛】本题考查了幂的乘方,同底数幂的乘除法.17.x .【解析】【分析】利用积的乘方法则:把每一个因式分别乘方,再把所得的幂相乘,进而得出答案.【详解】=x .故答案为:x .【点睛】此题考查积的乘方,解题关键在于掌握运算法则.18.(1)2. (2)64.【解析】【分析】(1)对21233324m m ++=,变形成为2381m =,即可求得m 的值;(2)对816x y ⋅变形成为342x y +,又由3460x y +-=得到3x+4y=6,即可求解;【详解】解:(1)21233324m m ++=,即22333324m m ⨯+=.()2331324m ∴⨯+=,故243813m ==,24m ∴=,2m =.(2)()()34343481622222x yx y x y x y +⋅=⋅=⋅=,而3460x y +-=, 6816264x y ∴⋅==.【点睛】本题考查了运用同底数幂的积和幂的乘方运算法则及其逆用,解答关键在于对运算法则的掌握.19.-32【解析】【分析】直接利用有理数的乘方运算法则结合积的乘方运算法则分别化简求出答案.【详解】()2322--=−8×4=−32,故答案为:-32.【点睛】此题考查幂的乘方与积的乘方,解题关键在于掌握运算法则.20.1600【解析】【分析】利用同底数幂乘法和幂的乘方的逆运算,即可得出.【详解】利用同底数幂乘法和幂的乘方的逆运算32323232888(8)(8)451600m n m n m n +=⨯=⨯=⨯= 故答案为:1600【点睛】本题考查了同底数幂乘法和幂的乘方的逆运算,稍有难度,熟练掌握同底数幂乘法和幂的乘方的逆运算是解题关键.21.22m -.【解析】【分析】由1x x m -+=得1x m x+=,然后两边平方化简即可. 【详解】解:∵1x x m -+=, ∴1x m x+=, ∴221()x m x+=, 22212x m x ++=, 2222x x m -+=-.【点睛】本题考查了负整数指数幂及完全平方公式,熟练掌握完全平方公式是解答本题的关键. 22.(1)x 2-1 , x 3-1 , x 4-1 , x 10-1 ;(2) 210-1;(3)()1001514⨯-. 【解析】【分析】(1)利用多项式乘以多项式法则计算,归纳得到规律,计算即可;(2)原式变形后,利用得出的规律计算即可求出值;(3)原式变形后,利用得出的规律计算即可求出值.【详解】解:(1)(x-1)(x+1)=x2-1;(x-1)(x 2+x+1)=x3-1;(x-1)(x 3+x 2+x+1)=x4-1;…由此可得(x-1)(x 9+x 8+x 7+x 6+x 5+x 4+x 3+x 2+x+1)=x10-1;(2)计算:1+2+22+23+…+27+28+29=(2-1)×(29+28+27+26+25+24+23+22+2+1)=210-1; (3)原式=14 ×(5-1)×(1+5+52+53+…+597+598+599)=14×(5100-1). 故答案为:(1)x 2-1;x 3-1;x 4-1;x 10-1;(2)210-1【点睛】此题考查了整式的混合运算-化简求值,以及规律型:数字的变化类,熟练掌握运算法则是解本题的关键.23.3ab ,-3.【解析】【分析】根据完全平方公式、平方差公式和单项式乘多项式可以化简题目中的式子,然后将a 、b 的值代入化简后的式子即可解答本题.【详解】解:原式=a 2+b 2-2ab -a 2+4b 2+5ab-5b 2,,当时,原式故答案为:3ab,-3.【点睛】本题考查整式的混合运算-化简求值,解题的关键是能熟练地运用整式的运算法则进行化简.24.(1)2x2+4x-15,-9 ;(2)4.【解析】【分析】(1)先算乘法,再合并同类项,最后将x2+2x-3=0变形为x2+2x=3代入求出即可;(2)先根据幂的乘方进行变形,再根据同底数幂的乘除法进行计算,最后得出9m+3m=6,求出m即可.【详解】解:(1) (x-3)2+2(x-2)(x+7)-(x+2)(x-2)=x2-6x+9+2x2+10x-28-x2+4=2x2+4x-15 ,当x2+2x=3时,原式=2(x2+2x)-15=-9 ;(2)2×8m÷32m=213+m,∴21×23m÷25m=213+m∴21+3m-5m=213+m∴1+3m-5m=13+m∴m=-4,(-m2)3÷(m3•m2)=-m6÷m5=-m=4.故所求式的值=4.【点睛】本题考查了幂的乘方,同底数幂的乘法,整式的混合运算和求值的应用,能运用知识点进行计算是解此题的关键.25.−0.125.【解析】【分析】根据同底数幂的乘法,可化成指数相同的幂的乘法,根据积的乘方,可得答案.【详解】原式=82014×(−0.125)2014×(−0.125)=(−8×0.125)2014×(−0.125)=−0.125,故答案为:−0.125.【点睛】此题考查同底数幂的乘法,幂的乘方与积的乘方,解题关键在于掌握运算法则.26.当x=﹣1,或x=﹣2019时,代数式(2x+3)x+2019的值为1.【解析】【分析】分为2x+3=1,2x+3=-1,x+2019=0三种情况求解即可.【详解】解:①当2x+3=1时,解得:x=﹣1.②当2x+3=﹣1时,解得:x=﹣2 ,此时x+2019=2017,则(2x+3)x+2019=(﹣1)2017=-1,所以此时不成立.③当x+2019=0时,x=﹣2019,此时2x+3≠0,所以x=﹣2019.综上所述,当x=﹣1,或x=﹣2019时,代数式(2x+3)x+2019的值为1.【点睛】考查的是零指数幂的性质、有理数的乘方,分类讨论是解题的关键.27.xy;1.【解析】【分析】根据平方差公式、完全平方公式和单项式乘多项式可以化简题目中的式子,然后将x、y的值代入化简后的式子即可解答本题.【详解】解:原式=x2-y2-(x2-2xy+y2)-xy+2y2=x2-y2-x2+2xy-y2-xy+2y2=xy,当x=2018,y=12018时, 原式=2018×12018=1. 【点睛】本题考查整式的混合运算-化简求值,解答本题的关键是明确整式的化简求值的方法. 28.(1)①2.②4;③7;(2)11;9;10.;(3)①495;②495【解析】【分析】(1)①根据10mn m n =+,结合已知可得关于x 的方程,解方程即可得;②根据题意可得关于y 的方程,解方程即可得;③由10010abc a b c =++及四位数的类似公式可得关于t 的方程,解方程即可得;(2)根据10mn m n =+分别对mn nm +、mn nm -、•mn nm mn -按此表示方法进行整理即可求得答案;(3)①若选的数为325,则用532-235=297,然后根据题中所给的规则继续计算即可求得答案; ②当任选的三位数为abc 时,根据规则第一次运算后得()()100101001099a b c c b a a c ++-++=-,结果为99的倍数,由于a b c >>,故12a b c ≥+≥+,继而确定出a-c=2,3,4,5,6,7,8,9,从而可得第一次运算后可能得到:198,297,396,495,594,693,792,891,对这些数字根据规则继而进行运算即可求得答案.【详解】(1)①∵10mn m n =+,∴若2345x x +=,则10210345x x ⨯+++=,∴2x =,故答案为:2;②若7826y y -=,则()10710826y y ⨯+-+=,解得4y =,故答案为:4;③由10010abc a b c =++及四位数的类似公式得若9358131t t t +=,则10010931005108100011003101t t t +⨯++⨯++=⨯+⨯++,∴100t=700,∴7t =,故答案为:7;(2)∵()1010111111mn nm m n n m m n m n +=+++=+=+,∴则mn nm +一定能被 11整除,∵()()1010999mn nm m n n m m n m n -=+-+=-=-,∴mn nm -一定能被9整除,∵()()•1010mn nm mn m n n m mn -=++-221001010mn m n mn mn =+++-()221010mn m n =++,∴•mn nm mn -一定能被10整除,故答案为:11;9;10;(3)①若选的数为325,则用532-235=297,以下按照上述规则继续计算, 972279693-=,963369594-=,954459495-=,954459495-=,故答案为:495;②当任选的三位数为abc 时,第一次运算后得:()()100101001099a b c c b a a c ++-++=-,结果为99的倍数,由于a b c >>,故12a b c ≥+≥+,∴2a c -≥,又90a c ≥>≥,∴9a c -≤,∴2a c -=,3,4,5,6,7,8,9,∴第一次运算后可能得到:198,297,396,495,594,693,792,891,再让这些数字经过运算,分别可以得到:981189792-=,972279693-=,963369594-=,954459495-=,-=…故都可以得到该黑洞数495.954459495【点睛】本题考查的是阅读理解题,弄清题意,理解和掌握题中所给的运算法则或运算规则是解题的关键.。
新教材七年级数学《幂的运算》题库一、选择题1.计算32)(x-的结果是( ) A.5x -; B.5x ; C.6x -; D.6x .【答案】C【解析】试题分析:根据幂的乘方法则即可得到结果。
=-32)(x 6x -,故选C. 考点:本题考查的是幂的乘方点评:解答本题的关键是熟练掌握幂的乘方法则:幂的乘方,底数不变,指数相乘。
2.计算下列各式,结果是8x 的是( )A .x 2·x 4;B .(x 2)6;C .x 4+x 4;D .x 4·x 4.【答案】D 【解析】试题分析:根据幂的乘方法则,同底数幂的乘法法则,合并同类项法则依次分析即可。
A .642x x x=⋅;B .1262)(x x =;C .4442x x x =+,故错误; D .844x x x =⋅,本选项正确。
考点:本题考查的是幂的乘方,同底数幂的乘法,合并同类项 点评:解答本题的关键是熟练掌握幂的乘方法则:幂的乘方,底数不变,指数相乘;同底数幂的乘法法则:同底数幂相乘,底数不变,指数相加。
3.在下列各式的括号内填入适当的代数式,使等式成立:⑴103(____)a a a =∙∙; ⑵863(____)a a a ∙=∙.【答案】⑴6a ;⑵11a 【解析】试题分析:根据同底数幂的乘法法则即可得到结果。
(1)1063a a a a =∙∙;(2)1486113a a a a a =∙=∙.考点:本题考查的是同底数幂的乘法点评:解答本题的关键是熟练掌握同底数幂的乘法法则:同底数幂相乘,底数不变,指数相加。
4.若1621=+x ,则x 等于( )A.7;B.4;C.3;D.2.【答案】C【解析】试题分析:先把16化为底数为2的乘方的形式,即可得到结果。
412162==+x ,41=+∴x ,3=x ,故选C.考点:本题考查的是有理数的乘方点评:解答本题的关键是把等式左右两边统一为底数为2的乘方的形式。
初一数学幂的运算性质专题测试题一.选择题(共10小题)1.计算x3•x2的结果是()A.x B.x5C.x6D.x92.若a•23=26,则a等于()A.2 B.4 C.6 D.83.下列计算正确的是()A.a3+a2=a5B.a4﹣a2=a2C.2a﹣3a=a D.a5•a5=2a54.若5x=2,5y=,则x,y之间的关系为()A.x,y互为相反数B.x,y互为倒数C.x=y D.无法判断5.计算:(﹣3x2y)•(﹣2x2y)的结果是()A.6x2y B.﹣6x2y C.6x4y2 D.﹣6x4y26.计算3n•()=﹣9n+1,则括号内应填入的式子为()A.3n+1B.3n+2C.﹣3n+2D.﹣3n+17.如果3x=m,3y=n,那么3x+y等于()A.m+n B.m﹣n C.mn D.8.化简(﹣x)3•(﹣x)2的结果正确的是()A.﹣x6B.x6C.﹣x5D.x59.若x,y为正整数,且2x•2y=25,则x,y的值有()A.4对B.3对C.2对D.1对10.在求1+6+62+63+64+65+66+67+68+69的值时,小林发现:从第二个加数起每一个加数都是前一个加数的6倍,于是她设:S=1+6+62+63+64+65+66+67+68+69①然后在①式的两边都乘以6,得:6S=6+62+63+64+65+66+67+68+69+610②②﹣①得6S﹣S=610﹣1,即5S=610﹣1,所以S=,得出答案后,爱动脑筋的小林想:如果把“6”换成字母“a”(a≠0且a≠1),能否求出1+a+a2+a3+a4+…+a2014的值?你的答案是()A. B. C. D.a2014﹣1二.填空题(共10小题)11.已知2x=3,那么2x+2= .12.一个长方体的长宽高分别为a2,a,a3,则这个长方体的体积是.13.若4x=2,4y=3,则4x+y= .14.(﹣b)2•(﹣b)3•(﹣b)5= .15.若x n﹣1•x n+5=x10,则n= .16.若32×83=2n,则n= .17.如果a2n﹣1•a n+5=a16,那么n= (n是整数).18.若a、b为正整数,且3a•3b=243,则a+b= .19.计算(x﹣y)2(x﹣y)3(y﹣x)4(y﹣x)5= .20.计算(﹣2)3•2=,(a﹣b)3•(a﹣b)2(b﹣a)= .三.解答题(共10小题)21.已知:8•2 2m﹣1•23m=217,求m的值.22.基本事实:若a m=a n(a>0且a≠1,m、n是正整数),则m=n.试利用上述基本事实分别求下列各等式中x的值:①2×8x=27;②2x+2+2x+1=24.23.记M(1)=﹣2,M(2)=(﹣2)×(﹣2),M(3)=(﹣2)×(﹣2)×(﹣2),…M(n)=(1)计算:M(5)+M(6);(2)求2M(2015)+M(2016)的值:(3)说明2M(n)与M(n+1)互为相反数.24.计算:(1)(﹣8)2011•(﹣)2012;(2)(a﹣b)5(b﹣a)3.25.先阅读下列材料,再解答后面的问题.材料:一般地,n个相同因数相乘,记为a n,如23=8,此时3叫做以2为底8的对数,记为(即)一般地,若a n=b(a>0且a≠1,b>0),则n叫做以a为底b的对数,记为(即).如34=81,4叫做以3为底81的对数,记为.问题(Ⅰ)计算以下各对数的值:= ;= ;= .(2)观察(Ⅰ)中三数4、16、64之间满足怎样的关系?、、之间又满足怎样的关系?(3)由(2)的结果,你能归纳出一个一般性的结论吗?+= (a>0,且a≠1,M>0,N>0)根据幂的运算法则a m•a n=a m+n以及对数的含义证明上述结论.26.在数学学习过程中,通常是利用已有的知识与经验,通过对研究对象进行观察、实验、推理、抽象概括,发现数学规律,揭示研究对象的本质特征.比如“同底数幂的乘法法则”的学习过程是利用有理数的乘方概念和乘法结合律,由“特殊”到“一般”进行抽象概括的:22×23=25,23×24=27,22×26=28…⇒2m×2n=2m+n…⇒a m×a n=a m+n(m、n都是正整数).我们亦知:,,,…(1)请你根据上面的材料,用字母a、b、c归纳出a、b、c(a>b>0,c>0)之间的一个数学关系式.(2)试用(1)中你归纳的数学关系式,解释下面生活中的一个现象:“若m克糖水里含有n克糖,再加入k克糖(仍不饱和),则糖水更甜了”.27.若1+2+3+…+n=a,求代数式(x n y)(x n﹣1y2)(x n﹣2y3)…(x2y n﹣1)(xy n)的值.28.计算:(1)(a﹣b)m+3•(b﹣a)2•(a﹣b)m•(b﹣a)5(m是正整数).(2)x•x7+x•x+x2•x6﹣3x4•x4.29.计算:(a﹣b﹣c)(b+c﹣a)2(c﹣a+b)3.30.计算:﹙3a﹣b﹚5×﹙b﹣3a﹚3.初一数学幂的运算性质专题测试题参考答案与试题解析一.选择题(共10小题)1.计算x3•x2的结果是()A.x B.x5C.x6D.x9【分析】根据同底数的幂相乘的法则即可求解.【解答】解:x3•x2=x5.故选B.【点评】本题主要考查了同底数的幂的乘方的计算法则,正确理解法则是关键.2.若a•23=26,则a等于()A.2 B.4 C.6 D.8【分析】根据同底数幂的乘法底数不变指数相加,可得答案.【解答】解:a•23=26,a=23=8,故选:D.【点评】本题考查了同底数幂的乘法,底数不变指数相加是解题关键.3.下列计算正确的是()A.a3+a2=a5B.a4﹣a2=a2C.2a﹣3a=a D.a5•a5=2a5【分析】根据同底数幂的乘法底数不变指数相加,同底数幂的除法底数不变指数相减,合并同类项系数相加字母及指数不变,可得答案.【解答】解:A、不是同底数幂的乘法指数不能相加,故A错误;B、不是同底数幂的除法指数不能相减,故B错误;C、合并同类项系数相加字母及指数不变,故C正确;D、同底数幂的乘法底数不变指数相加,故D错误;故选:C.【点评】本题考查了同底数幂的乘法,熟记法则并根据法则计算是解题关键.4.若5x=2,5y=,则x,y之间的关系为()A.x,y互为相反数B.x,y互为倒数C.x=y D.无法判断【分析】根据负整数指数幂与正整数指数幂互为倒数,可得答案.【解答】解:由负整数指数幂与正整数指数幂互为倒数,得x,y互为相反数,故选:A.【点评】本题考查了同底数幂的乘法,利用负整数指数幂与正整数指数幂互为倒数是解题关键.5.计算:(﹣3x2y)•(﹣2x2y)的结果是()A.6x2y B.﹣6x2y C.6x4y2 D.﹣6x4y2【分析】根据同底数幂的乘法可以解答本题.【解答】解:(﹣3x2y)•(﹣2x2y)=6x4y2,故选C.【点评】本题考查同底数幂的乘法,解题的关键是明确同底数幂的乘法的计算方法.6.计算3n•()=﹣9n+1,则括号内应填入的式子为()A.3n+1B.3n+2C.﹣3n+2D.﹣3n+1【分析】根据同底数幂相乘的性质的逆用,对等式右边整理,然后根据指数的关系即可求解.【解答】解:∵﹣9n+1=﹣(32)n+1=﹣32n+2=﹣3n+n+2=3n•(﹣3n+2),∴括号内应填入的式子为﹣3n+2.故选C.【点评】本题主要考查的是同底数幂的乘法的性质的逆用,熟练掌握性质并灵活运用是解题的关键.7.如果3x=m,3y=n,那么3x+y等于()A.m+n B.m﹣n C.mn D.【分析】根据3x=m,3y=n,利用同底数幂的乘法可以得到3x+y的值.【解答】解:∵3x=m,3y=n,∴3x×3y=3x+y=mn,故选C.【点评】本题考查同底数幂的乘法,解题的关键是明确同底数幂的乘法的计算方法.8.化简(﹣x)3•(﹣x)2的结果正确的是()A.﹣x6B.x6C.﹣x5D.x5【分析】根据同底数幂的乘法底数不变指数相加,可得答案.【解答】解:(﹣x)3•(﹣x)2=(﹣x)5=﹣x5,故选:C.【点评】本题考查了同底数幂的乘法,同底数幂的乘法底数不变指数相加是解题关键.9.若x,y为正整数,且2x•2y=25,则x,y的值有()A.4对B.3对C.2对D.1对【分析】根据同底数幂相乘,底数不变,指数相加,再根据指数相等即可求解.【解答】解:∵2x•2y=2x+y,∴x+y=5,∵x,y为正整数,∴x,y的值有x=1,y=4;x=2,y=3;x=3,y=2;x=4,y=1.共4对.故选A.【点评】灵活运用同底数幂的乘法法则是解决本题的关键.10.在求1+6+62+63+64+65+66+67+68+69的值时,小林发现:从第二个加数起每一个加数都是前一个加数的6倍,于是她设:S=1+6+62+63+64+65+66+67+68+69①然后在①式的两边都乘以6,得:6S=6+62+63+64+65+66+67+68+69+610②②﹣①得6S﹣S=610﹣1,即5S=610﹣1,所以S=,得出答案后,爱动脑筋的小林想:如果把“6”换成字母“a”(a≠0且a≠1),能否求出1+a+a2+a3+a4+…+a2014的值?你的答案是()A. B. C. D.a2014﹣1【分析】设S=1+a+a2+a3+a4+…+a2014,得出aS=a+a2+a3+a4+…+a2014+a2015,相减即可得出答案.【解答】解:设S=1+a+a2+a3+a4+…+a2014,①则aS=a+a2+a3+a4+…+a2014+a2015,②,②﹣①得:(a﹣1)S=a2015﹣1,∴S=,即1+a+a2+a3+a4+…+a2014=,故选:B.【点评】本题考查了有理数的乘方,同底数幂的乘法的应用,主要考查学生的阅读能力和计算能力.二.填空题(共10小题)11.已知2x=3,那么2x+2= 12 .【分析】根据2x=3,可以得到2x+2的值,本题得以解决.【解答】解:∵2x=3,∴2x+2=2x×22=3×4=12,故答案为:12.【点评】本题考查同底数幂的乘除、代数式求值,解题的关键是明确同底数幂的乘法的计算方法.12.一个长方体的长宽高分别为a2,a,a3,则这个长方体的体积是a6.【分析】根据长方体的体积公式=长×宽×高求解.【解答】解:长方体的体积=a2×a×a3=a6.故答案为:a6.【点评】本题考查了同底数幂的乘法,解答本题的关键是熟练掌握长方体的体积公式和同底数幂的乘法法则.13.若4x=2,4y=3,则4x+y= 6 .【分析】根据同底数幂的乘法的逆运算,可得4x+y=4x•4y,代入求解即可.【解答】解:∵4x=2,4y=3,∴4x+y=4x•4y=2×3=6.【点评】此题主要考查同底数幂的乘法的逆运算:a m+n=a m•a n.14.(﹣b)2•(﹣b)3•(﹣b)5= b10.【分析】根据同底数幂的乘法底数不变指数相加,可得答案.【解答】解:原式=(﹣b)2+3+5=(﹣b)10=b10.故答案为:b10.【点评】本题考查了同底数幂的乘法,底数不变指数相加,注意负数的偶次幂是正数.15.若x n﹣1•x n+5=x10,则n= 3 .【分析】根据同底数幂的乘法法则计算即可.【解答】解:∵x n﹣1•x n+5=x10,∴n﹣1+n+5=10,故答案为3.【点评】本题考查了同底数幂的乘法问题,关键是根据法则:同底数幂相乘,底数不变,指数相加解答.16.若32×83=2n,则n= 14 .【分析】先将等式左边化为同底数幂的乘法,再根据同底数幂的乘法法则,同底数幂相乘,底数不变,指数相加,即a m•a n=a m+n计算即可.【解答】解:∵32×83=2n,∴25×29=2n,即214=2n,∴n=14,故答案为14.【点评】主要考查同底数幂的乘法的性质,熟练掌握性质是解题的关键.17.如果a2n﹣1•a n+5=a16,那么n= 4 (n是整数).【分析】根据同底数幂的乘法法则:同底数幂相乘,底数不变,指数相加,可得出关于n的方程,解出即可.【解答】解:由题意得,a2n﹣1•a n+5=a2n﹣1+n+5=a16,故可得:2n﹣1+n+5=16,解得:n=4.故答案为:4.【点评】本题考查了同底数幂的乘法,属于基础题,解答本题的关键掌握同底数幂的运算法则.18.若a、b为正整数,且3a•3b=243,则a+b= 5 .【分析】根据同底数幂的乘法法则,同底数幂相乘,底数不变,指数相加,即a m•a n=a m+n计算即可.【解答】解:3a•3b=3a+b=243=35,故答案为:5.【点评】本题主要考查同底数幂的乘法的性质,熟练掌握性质是解题的关键.19.计算(x﹣y)2(x﹣y)3(y﹣x)4(y﹣x)5= ﹣(x﹣y)14.【分析】根据负数的奇数次幂是负数,负数的偶数次幂是正数,可得同底数幂的乘法,根据同底数幂的乘法,可得答案.【解答】解:原式=﹣(x﹣y)2(x﹣y)3(x﹣y)4(x﹣y)5=﹣(x﹣y)2+3+4+5=﹣(x﹣y)14,故答案为:﹣(x﹣y)14.【点评】本题考查了同底数幂的乘法,利用负数的奇数次幂是负数,负数的偶数次幂是正数得出同底数幂的乘法是解题关键.20.计算(﹣2)3•2=﹣16 ,(a﹣b)3•(a﹣b)2(b﹣a)= ﹣(a﹣b)6.【分析】根据积的乘方等于乘方的积,可得同底数幂的乘法,根据同底数幂的乘法底数不变指数相加,可得答案;根据相反数的意义,可得同底数幂的乘法,根据同底数幂的乘法底数不变指数相加,可得答案.【解答】解:(﹣2)3•2=﹣23•2=﹣16,(a﹣b)3•(a﹣b)2(b﹣a)=﹣(a﹣b)3•(a﹣b)2(a﹣b)=﹣(a﹣b)6,故答案为:﹣16,﹣(a﹣b)6.【点评】本题考查了同底数幂的乘法,利用积的乘方得出同底数幂的除法是解题关键.三.解答题(共10小题)21.已知:8•2 2m﹣1•23m=217,求m的值.【分析】根据幂的乘方底数不变指数相乘,可得同底数幂的乘法,根据同底数幂的乘法底数不变指数相加,可得关于m的方程,根据解方程,可得答案.【解答】解:由幂的乘方,得23•22m﹣1•23m=217.由同底数幂的乘法,得23+2m﹣1+3m=217.即5m+2=17,解得m=3,m的值是3.【点评】本题考查了同底数幂的乘法,利用幂的乘方得出同底数幂的乘法是解题关键.22.基本事实:若a m=a n(a>0且a≠1,m、n是正整数),则m=n.试利用上述基本事实分别求下列各等式中x的值:①2×8x=27;②2x+2+2x+1=24.【分析】①先化为同底数幂相乘,再根据指数相等列出方程求解即可;②先把2x+2化为2×2x+1,然后求出2x+1的值为8,再进行计算即可得解.【解答】解:①原方程可化为,2×23x=27,∴23x+1=27,3x+1=7,解得x=2;②原方程可化为,2×2x+1+2x+1=24,∴2x+1(2+1)=24,∴2x+1=8,∴x+1=3,解得x=2.【点评】本题考查了幂的乘方的性质,积的乘方的性质,是基础题,熟练掌握并灵活运用各性质是解题的关键.23.记M(1)=﹣2,M(2)=(﹣2)×(﹣2),M(3)=(﹣2)×(﹣2)×(﹣2),…M(n)=(1)计算:M(5)+M(6);(2)求2M(2015)+M(2016)的值:(3)说明2M(n)与M(n+1)互为相反数.【分析】(1)根据M(n)=,可得M(5),M(6),;根据有理数的加法,可得答案;(2)根据乘方的意义,可得M(2015),M(2016),根据有理数的加法,可得答案;(3)根据乘方的意义,可得M(n),M(n+1),根据有理数的加法,可得答案.【解答】解:(1)M(5)+M(6)=(﹣2)5+(﹣2)6=﹣32+64=32;(2)2M(2015)+M(2016)=2×(﹣2)2015+(﹣2)2016=﹣(﹣2)×(﹣2)2015+(﹣2)2016=﹣(﹣2)2016+(﹣2)2016=0;(3)2M(n)+M(n+1)=﹣(﹣2)×(﹣2)n+(﹣2)n+1=﹣(﹣2)n+1+(﹣2)n+1=0,∴2M(n)与M(n+1)互为相反数.【点评】本题考查了同底数幂的乘法,利用了同底数幂的乘法,相反数的性质:互为相反数的和为零.24.计算:(1)(﹣8)2011•(﹣)2012;(2)(a﹣b)5(b﹣a)3.【分析】(1)利用a n•b n=(ab)n计算即可;(2)由于(b﹣a)3=﹣(a﹣b)3,再利用同底数幂的法则计算即可.【解答】解:(1)原式=(﹣8)2011•(﹣)2011•(﹣),=[﹣8×(﹣)]2011×(﹣),=1×(﹣),=﹣;(2)原式=(a﹣b)5•[﹣(a﹣b)]3=﹣(a﹣b)8.【点评】本题考查了积的乘方、同底数幂的乘法法则.注意积的乘方法则的逆运算的利用,以及对互为相反数的变形.25.先阅读下列材料,再解答后面的问题.材料:一般地,n个相同因数相乘,记为a n,如23=8,此时3叫做以2为底8的对数,记为(即)一般地,若a n=b(a>0且a≠1,b>0),则n叫做以a为底b的对数,记为(即).如34=81,4叫做以3为底81的对数,记为.问题(Ⅰ)计算以下各对数的值:= 2 ;= 4 ;= 6 .(2)观察(Ⅰ)中三数4、16、64之间满足怎样的关系?、、之间又满足怎样的关系?(3)由(2)的结果,你能归纳出一个一般性的结论吗?+= log a MN (a>0,且a≠1,M>0,N>0)根据幂的运算法则a m•a n=a m+n以及对数的含义证明上述结论.【分析】(1)根据对数的定义,把求对数的数写成底数数的幂即可求解;(2)根据(1)的计算结果即可写出结论;(3)利用对数的定义以及幂的运算法则a m•a n=a m+n即可证明.【解答】解:(1)∵4=22,16=24,64=26,∴=2;=4;=6.(2)4×16=64,+=;(3)log a N+log a M=log a MN.证明:log a M=m,log a N=n,则M=a m,N=a n,∴MN=a m•a n=a m+n,∴log a MN=log a a m+n=m+n,故log a N+log a M=log a MN.故答案是:2,4,6.【点评】本题考查了同底数的幂的乘法,正确理解题意,理解对数的定义是关键.26.在数学学习过程中,通常是利用已有的知识与经验,通过对研究对象进行观察、实验、推理、抽象概括,发现数学规律,揭示研究对象的本质特征.比如“同底数幂的乘法法则”的学习过程是利用有理数的乘方概念和乘法结合律,由“特殊”到“一般”进行抽象概括的:22×23=25,23×24=27,22×26=28…⇒2m×2n=2m+n…⇒a m×a n=a m+n(m、n都是正整数).我们亦知:,,,…(1)请你根据上面的材料,用字母a、b、c归纳出a、b、c(a>b>0,c>0)之间的一个数学关系式.(2)试用(1)中你归纳的数学关系式,解释下面生活中的一个现象:“若m克糖水里含有n克糖,再加入k克糖(仍不饱和),则糖水更甜了”.【分析】(1)根据已知不等式可找出规律,因为3>2>0,1>0,2>0,3>0,,,,…故a >b>0,c>0,则<;(2)因为<,说明原来糖水中糖的质量分数小于加入k克糖后糖水中糖的质量分数,所以糖水更甜了.【解答】(1)你根据上面的材料可得:<.说明:∵﹣=﹣===,又∵a>b>0,c>0,∴a+c>0,b﹣a<0,∴<0,∴﹣<0,即:<成立;(2)∵原来糖水中糖的质量分数=,加入k克糖后糖水中糖的质量分数+,由(1)<可得<,所以糖水更甜了.【点评】本题考查了分式的混合运算,读懂题目信息,熟练掌握并灵活运用整式的加减混合运算进行计算是解题的关键,也是本题的难点.27.若1+2+3+…+n=a,求代数式(x n y)(x n﹣1y2)(x n﹣2y3)…(x2y n﹣1)(xy n)的值.【分析】根据同底数幂的乘法法则,同底数幂相乘,底数不变,指数相加,即a m•a n=a m+n计算即可.【解答】解:原式=x n y•x n﹣1y2•x n﹣2y3…x2y n﹣1•xy n=(x n•x n﹣1•x n﹣2…x2•x)•(y•y2•y3…y n﹣1•y n)=x a y a.【点评】主要考查同底数幂的乘法的性质,熟练掌握性质是解题的关键.28.计算:(1)(a﹣b)m+3•(b﹣a)2•(a﹣b)m•(b﹣a)5(m是正整数).(2)x•x7+x•x+x2•x6﹣3x4•x4.【分析】根据同底数幂的乘法法则求解.【解答】解:(1)原式=﹣(a﹣b)m+3•(a﹣b)2•(a﹣b)m•(a﹣b)5=﹣(a﹣b)2m+10;(2)原式=x8+x2+x8﹣3x8=x2﹣x8.【点评】本题考查了同底数幂的乘法,解答本题的关键是掌握同底数幂的乘法法则.29.计算:(a﹣b﹣c)(b+c﹣a)2(c﹣a+b)3.【分析】原式利用同底数幂的乘法法则计算即可得到结果.【解答】解:原式=(a﹣b﹣c)(b+c﹣a)5.【点评】此题考查了同底数幂的乘法,熟练掌握运算法则是解本题的关键.30.计算:﹙3a﹣b﹚5×﹙b﹣3a﹚3.【分析】先根据乘方的性质将﹙b﹣3a﹚3变形为﹣﹙3a﹣b﹚3,再利用有理数乘法符号法则及同底数幂的乘法运算性质求解即可.【解答】解:﹙3a﹣b﹚5×﹙b﹣3a﹚3=﹙3a﹣b﹚5×[﹣﹙3a﹣b﹚3]=﹣﹙3a﹣b﹚8.【点评】本题主要考查了同底数幂的乘法法则:同底数幂相乘,底数不变,指数相加.即a m•a n=a m+n(m,n是正整数).在应用同底数幂的乘法法则时,应注意:①底数必须相同,如23与25,(a2b2)3与(a2b2)4,(x﹣y)2与(x﹣y)3等;②a可以是单项式,也可以是多项式;③按照运算性质,只有相乘时才是底数不变,指数相加.。
第8章 幂的运算综合检测幂的运算一、选择题(共8小题,每小题3分,共24分) 1.(2022江苏徐州一模)下列计算正确的是 ( )A.3x 2·2x =5x 2B.y 6÷y 2=x 4C.(-3)-2×(−13)0=1 D.-a 2·(-a )3a 4=a 9 2.【跨学科·物理】 石墨烯是目前世界上最薄、最坚硬的纳米材料,单层石墨烯的厚度仅为0.000 000 000 34 m .用科学记数法表示0.000 000 000 34是( )A.34×10-9B.3.4×10-10C.3.4×10-9D.0.34×10-10 3.若(a -2)-1有意义,则a 的取值范围是 ( )A.a ≠0B.a ≠2C.a ≠-1D.a ≠1 4.已知3a =10,9b =5,则3a -2b 的值为 ( )A .5B .12C.25D .25.若3y -2x +2=0,则9x ÷27y 的值为 ( )A.9B.-9C.19D.−196.(2021江苏盐城射阳月考)如果m =3a +1,n =2+9a ,那么用含m 的代数式表示n 为( )A .n =2+3mB .n =m 2C .n =2+(m -1)2D .n =m 2+27.(2021四川泸州中考)已知10a =20,100b =50,则12a +b +32的值是( )A.2B.52C.3D.928. 【新独家原创】 观察下列等式:71=7,72=49,73=343,74=2 401,75= 16 807,……,通过观察,用你所发现的规律确定整数72 023的个位数字是( )A.9B.7C.3D.1 二、填空题(每题3分,共24分)9.一种细菌的半径是4.3×10-3 cm,则用小数可表示为 cm . 10.计算:y 3·(-y )·(-y )5·(-y )2= . 11.(2022江苏宿迁沭阳月考)计算:(−23)2 024×1.52 023= .12.若x a =2,x b =16,则ba = .13.(2022江苏苏州相城月考)若n 为正整数,且x 2n =2,则(3x 2n )2-4(x 2)2n 的值为 .14.(2022江苏泰州海陵月考)已知4x =6,2y =8,8z =48,那么x ,y ,z 之间满足的等量关系是 .15.【新独家原创】 若(2x +3)x +2 023=1,则x = .16.(2022江苏镇江期中)规定:a*b =2a ×2b ,例如:1*2=21×22=23=8,若2*(x +1)=32,则x = . 三、解答题(共52分) 17.(10分)计算:(1)(−14)−1+(-2)2×2 0230-(13)−2;(2)5.4×108÷(3×10-5)÷(3×10-2)2.18.(10分)计算:(1)m4·m5+m10÷m-(m3)3;(2)(x-y)2·(y-x)7·[-(x-y)3].19.【跨学科·物理】(6分)光的速度约为3×108 m/s,一颗恒星发出的光需要4年时间才能到达地球,1年以3×107 s计算,求这颗恒星与地球之间的距离.20.(2022江苏泰州姜堰月考)(8分)已知4×16m×64m=421,求(-m2)3÷(m3·m2)的值.21.(2022江苏无锡江阴月考)(8分)若a m=a n(a>0且a≠1,m,n是正整数),则m=n,利用上面结论解决下面的问题:(1)如果2÷8x×16x=25,求x的值;(2)如果3x×2x+1+2x×3x+1=180,求x的值.22.(2022江苏泰州兴化期中)(10分)规定:a☆b=10a×10b,如:2☆3=102×103=105.(1)求12☆3和4☆8的值;(2)(a+b)☆c与a☆(b+c)相等吗?请说明理由.答案全解全析1.D A .3x 2·2x =6x 3,故该选项不符合题意; B .y 6÷y 2=y 4,故该选项不符合题意;C .(-3)-2×(−13)0=19×1=19,故该选项不符合题意;D .-a 2·(-a )3a 4=a 9,故该选项符合题意.故选D.2.B 0.000 000 000 34=3.4×0.000 000 000 1=3.4×10-10.故选B. 3.B 若(a -2)-1有意义,则a -2≠0,解得a ≠2.故选B.4.D 因为3a =10,9b =32b =5,所以3a -2b =3a ÷32b =10÷5=2.故选D .5.A 因为3y -2x +2=0,所以3y -2x =-2,所以2x -3y =2, 则9x ÷27y =32x ÷33y =32x -3y =32=9.故选A.6.C 因为m =3a +1,所以3a =m -1,所以n =2+9a =2+(3a )2=2+(m -1)2.故选C .7.C 因为10a ×100b =10a ×102b =10a +2b =20×50=1 000=103,所以a +2b =3,所以12a +b +32=12(a +2b +3)=12×(3+3)=3.故选C.8.C 因为71=7,72=49,73=343,74=2 401,75=16 807,……, 所以这列数的个位数字依次以7,9,3,1循环出现, 因为2 023÷4=505……3,所以72 023的个位数字是3.故选C. 9.答案 0.004 3解析 4.3×10-3=4.3×0.001=0.004 3. 10.答案 y 11解析 原式=y 3·(-y )·(-y )5·y 2=y 3·(-y )·(-y 5)·y 2=y 3·y ·y 5·y 2=y 3+1+5+2=y 11. 11.答案 23解析 (−23)2 024×1.52 023=(23)2 024×(32)2 023=(23)2 023×23×(32)2 023=(23×32)2 023×23=12 023×23=1×23=23.故答案为23.12.答案 4解析 因为x a =2,所以(x a )4=24=16, 又x b =16,所以(x a )4=x b , 所以4a =b ,所以ba =4.13.答案 20 解析 当x 2n =2时,(3x 2n )2-4(x 2)2n =(3x 2n )2-4(x 2n )2=(3×2)2-4×22=62-4×4=36-16=20.故答案为20.14.答案 2x +y =3z解析 因为4x =6,2y =8,8z =48, 所以4x ·2y =8z , 所以22x ·2y =23z , 所以22x +y =23z , 所以2x +y =3z. 故答案为2x +y =3z. 15.答案 -1或-2 023解析 当x +2 023=0时,x =-2 023,此时2x +3≠0,符合题意. 当2x +3=1时,x =-1,此时x +2 023=2 022,符合题意. 当2x +3=-1时,x =-2,此时x +2 023=2 021,不符合题意. 故答案为-1或-2 023.16.答案 2解析根据题意,得2*(x+1)=22×2x+1=32,即22×2x+1=25,所以2+x+1=5,解得x=2.17.解析(1)原式=-4+4×1-9=-4+4-9=-9.(2)原式=5.4×108×1×105÷(9×10-4)3=1.8×1013÷(9×10-4)=0.2×1013-(-4)=0.2×1017=2×1016.18.解析(1)原式=m9+m9-m9=m9.(2)(x-y)2·(y-x)7·[-(x-y)3]=(y-x)2·(y-x)7·(y-x)3=(y-x)12.19.解析3×108×3×107×4=3.6×1016 (m).答:这颗恒星与地球之间的距离约为3.6×1016 m.20.解析因为4×16m×64m=421,所以41+2m+3m=421,所以5m+1=21,所以m=4,所以(-m2)3÷(m3·m2)=-m6÷m5=-m=-4.21.解析(1)因为2÷8x×16x=25,所以2÷(23)x×(24)x=25,所以2÷23x×24x=25,所以21-3x+4x=25,所以1-3x+4x=5,所以x=4.(2)因为3x×2x+1+2x×3x+1=180,所以3x×2x×2+2x×3x×3=180,所以3x×2x×(2+3)=22×32×5,所以3x×2x×5=32×22×5,所以x=2. 22.解析(1)12☆3=1012×103=1015; 4☆8=104×108=1012.(2)相等.理由如下:因为(a+b)☆c=10a+b×10c=10a+b+c, a☆(b+c)=10a×10b+c=10a+b+c,所以(a+b)☆c=a☆(b+c).。
(苏科版)七年级数学下册期末复习提升训练 幂的运算一、选择题1、下列运算中属于同底数幂相乘的是( )A .(﹣a )2•a 2B .﹣a 2•(﹣a )3C .﹣x 2•x 5D .(a ﹣b )2•(b ﹣a )32、计算的结果是( ).33(2)a -A . B . C . D .66a -96a -68a -98a -3、若,则的值为( )320a b +-=248a b ⨯A .B .C .D .524232224、若a n +1•a m +n =a 6,且m ﹣2n =1,求m n 的值为( ).B.-D.-A.1 B.-1C.3D.-35、计算:( )()202020190.254⨯-=A .B .C .1D .44-1-6、如果3x =m ,3y =n ,那么3x ﹣y 等于( )A .m +nB .m ﹣nC .mnD .nm7、若,其中为整数,则与的数量关系为( )122n n x +=+2322n n y ++=+n x y A .B .C .D .4x y =4y x =12x y =12y x=8、设a =255,b =333,c =422,则a 、b 、c 的大小关系是( )A .c <a <bB .a <b <cC .b <c <aD .c <b <a9、若(1﹣x )1﹣3x =1,则x 的取值有( )个.A .0B .1C .2D .310、若a ≠0,化简下列各式,正确的个数有( )(1)a 0•a •a 5=a 5;(2)(a 2)3=a 6;(3)(﹣2a 4)3=﹣6a 12;(4)a ÷a ﹣2=a 3;(5)a 6+a 6=2a 12;(6)2﹣2÷25×28=32;(7)a 2•(﹣a )7•a 11=﹣a 20A .1个B .2个C .3个D .4个二、填空题11、无意义,则x 的取值为 ________.()0x 7+12、若,则=__________.21,2n n a b ==()232-na b 13、若3m =2,3n =4,则3m +n =__________;14、已知,则的值为_________.340m n +-=28m n ⋅15、若,则____.2211392781n n ++⨯÷=n =16、若,则=_____.293,2x x y a a -==y a 17、若a x =3,a y =2,则a 3x ﹣2y 的值为 .18、已知2a =5,2b =10.2c =50,那么a 、b 、c 之间满足的等量关系是________.19、若,则x 的值为()3211x x +-=20、今年上半年,新冠病毒席卷全世界.已知某种病毒的直径为21.7微米(1毫米=1000微米),用科学记数法表示这种病毒的直径为 米.三、解答题21、计算:(1) (2)()()24576332x x x x x ⋅+⋅-+2324251(3)()()2a b a b -⋅-⋅-22、计算:(1)(y 2)3÷y 6•y (2)y 4+(y 2)4÷y 4﹣(﹣y 2)223、(1)计算:.()()1020*******π-⎛⎫--+-+- ⎪⎝⎭(2)计算:()2014×1.52012×(﹣1)20143224、(1)已知3×9m ÷27m =316,求m 的值.(2)若2x +5y ﹣3=0,求4x •32y 的值.(3)若n 为正整数,且x 2n =4,求(3x 3n )2﹣4(x 2)2n 的值.25、(1)若4a +3b =3,求92a •27b .(2)已知3×9m ×27m =321,求m 的值26、一般地,若(且),则n 叫做以a 为底b 的对数,记为,即na b =0a >1,0a b ≠>log a b .log a b n =譬如:,则4叫做以3为底81的对数,记为(即=4).4381=3log 813log 81(1)计算以下各对数的值: , , .2log 4=2log 16=2log 64=(2)由(1)中三数4、16、64之间满足的等量关系式,直接写出、、满足的2log 42log 162log 64等量关系式;(3)由(2)猜想一般性的结论: .(且),并根log log a a M N +=0a >1,0a M ≠>,0N >据幂的运算法则:以及对数的含义证明你的猜想.M N M N a a a +⋅=(苏科版)七年级数学下册期末复习提升训练 幂的运算一、选择题1、下列运算中属于同底数幂相乘的是( )A .(﹣a )2•a 2B .﹣a 2•(﹣a )3C .﹣x 2•x 5D .(a ﹣b )2•(b ﹣a )3C【分析】根据同底数幂的意义,只需底数相同就可以用,以此判断即可A 、底数-a 和a 不是同底数,故此选项错误;B 、底数a 和-a 不是同底数,故此选项错误;C 、底数都是x ,故此选项正确;D 、底数a-b 和b-a 不是同底数,故此选项错误,故选:C .2、计算的结果是( ).33(2)a -A . B . C .D .66a -96a -68a -98a -D 积的乘方等于乘方的积;幂的乘方法则:底数不变,指数相乘.3、若,则的值为( )320a b +-=248a b ⨯A .B .C .D .52423222B【分析】直接利用同底数幂的乘法运算法则和幂的乘方将原式变形得出答案.解:,,.故选:.320a b +-= 32a b ∴+=2262(3)4482222a b a b a b +∴⨯=⨯==B4、若a n +1•a m +n =a 6,且m ﹣2n =1,求m n 的值为( ).B.-D.-A.1 B.-1C.3D.-3C【分析】根据a n +1•a m +n =a 6,可得m +2n =5,然后与m ﹣2n =1联立,解方程组即可.解:由题意得,a n +1•a m +n =a m +2n +1=a 6,则m +2n =5,∵,∴,故m n =3.2521m n m n +=⎧⎨-=⎩31m n =⎧⎨=⎩5、计算:( )()202020190.254⨯-=A .B .C .1D .44-1-D 【分析】由同底数幂相乘的逆运算,积的乘方的运算法则进行计算,即可得到答案.【详解】解:;故选:D .()20202019201920202019110.254()4(4)4444⨯-=⨯=⨯⨯=6、如果3x =m ,3y =n ,那么3x ﹣y 等于( )A .m +nB .m ﹣nC .mnD .nm【分析】根据同底数幂相除,底数不变,指数相减,整理后再根据指数相等列出方程求解即可.∵3x =m ,3y =n ,∴3x ﹣y =3x ÷3y=,nm 故选:D .7、若,其中为整数,则与的数量关系为( )122n n x +=+2322n n y ++=+n x y A .B .C .D .4x y =4y x=12x y =12y x =【分析】先将y 变形为,进而可得答案.()21222n n +⨯+【详解】解:因为,()2122231222222222n n n n n n y ++++=⋅+=++⋅⨯=122n n x +=+所以.故选:B .224y x x =⋅=8、设a =255,b =333,c =422,则a 、b 、c 的大小关系是( )A .c <a <bB .a <b <cC .b <c <aD .c <b <aD【分析】直接利用指数幂的性质结合幂的乘方运算法则将原式变形进而得出答案.∵a =255=(25)11=3211,b =333=(33)11=2711,c =422=(42)11=1611,∴c <b <a .故选:D .9、若(1﹣x )1﹣3x =1,则x 的取值有( )个.A .0B .1C .2D .3【分析】直接利用零指数幂的性质以及有理数的乘方运算法则得出答案.解:∵(1﹣x )1﹣3x =1,∴当1﹣3x =0时,原式=()0=1,32当x =0时,原式=11=1,故x 的取值有2个.故选:C .10、若a ≠0,化简下列各式,正确的个数有( )(1)a 0•a •a 5=a 5;(2)(a 2)3=a 6;(3)(﹣2a 4)3=﹣6a 12;(4)a ÷a ﹣2=a 3;(5)a 6+a 6=2a 12;(6)2﹣2÷25×28=32;(7)a 2•(﹣a )7•a 11=﹣a 20A .1个B .2个C .3个D .4个【分析】分别根据零整数指数幂的定义,同底数幂的乘除法法则,幂的乘方与积的乘方运算法则,合并同类项法则以及负整数指数幂的定义逐一判断即可.解:a 0•a •a 5=a 6,故(1)错误;(a 2)3=a 6,故(2)正确;(﹣2a 4)3=﹣8a 12,故(3)错误;a ÷a ﹣2=a 3,故(4)正确;a 6+a 6=2a 6,故(5)错误;2﹣2÷25×28=2,故(6)错误;a 2•(﹣a )7•a 11=﹣a 20,故(7)正确,所以正确的个数为3个.故选:C .二、填空题11、无意义,则x 的取值为 ________.()0x 7+7x =-【分析】根据底数不为0的数的0次幂是1,可得底数不为0,可得答案.【详解】解:由题意得,解得,故.70x +=7x =-7x =-12、若,则=__________.21,2n n a b==()232-n a b 4【分析】先将写成含有和的代数式表示,然后再代入求值即可.()232-na b n a nb 解:.故答案为4.()()()664232222-124n n n n n a b a b a b ===⨯=13、若3m =2,3n =4,则3m +n =__________;8【分析】利用同底数幂的乘法法则运算即可.解:∵3m =2,3n =4,∴3m +n =3m ×3n =2×4=8,故8.14、已知,则的值为_________.340m n +-=28m n⋅【分析】用n 表示出m ,得,将m 代入到即可求解.43m n =-28m n ⋅【详解】解:∵,∴,.340m n +-=43m n =-34334222216282m n n n m n -===∴⋅= 故1615、若,则____.2211392781n n ++⨯÷=n =3【分析】根据幂的乘方把算式中的各底数变成同底数,然后按同底数幂运算法则,列方程即可.【详解】解: , ,2211392781n n ++⨯÷=22213143(3)(3)3n n ++⨯÷=2423343333n n ++⨯÷=,,,.故3242(33)433n n ++-+=1433n +=14n +=3n =16、若,则=_____.293,2x x y a a -==y a 2【分析】直接利用同底数除法的逆用、幂的乘方运算法则将原式变形进而得出答案.【详解】∵,,∴,3x a =292x y a -=22()x y x y a a a -=÷29(3)2y a =÷=∴.故2.2y a =17、若a x =3,a y =2,则a 3x ﹣2y 的值为 .【分析】先根据同底数幂的除法进行变形,再根据幂的乘方进行变形,再代入求出即可.∵a x =3,a y =2,∴a 3x ﹣2y =a 3x ÷a 2y=(a x )3÷(a y )2=33÷22=,427故.42718、已知2a =5,2b =10.2c =50,那么a 、b 、c 之间满足的等量关系是________.a+b=c【分析】根据同底数幂乘法法则:同底数幂相乘,底数不变,指数相加,即可得到a 、b 、c 之间的关系;解:∵2a =5,2b =10,∴,22251050a b a b +⨯==⨯=又∵=50=,∴a+b=c .故a+b=c .2c 22a b ⨯19、若,则x 的值为()3211x x +-=-2; 1【详解】情况1: 解得:x =-2; 情况2:解得:x =1;21030x x -≠⎧⎨+=⎩211x -=情况3:解得:x =0;x +3=3(奇数),故不符合条件211x -=-故-2; 120、今年上半年,新冠病毒席卷全世界.已知某种病毒的直径为21.7微米(1毫米=1000微米),用科学记数法表示这种病毒的直径为 米.【分析】绝对值小于1的正数也可以利用科学记数法表示,一般形式为a ×10﹣n ,与较大数的科学记数法不同的是其所使用的是负整数指数幂,指数n 由原数左边起第一个不为零的数字前面的0的个数所决定.解:21.7微米÷=2.17×10﹣5米;故2.17×10﹣5.三、解答题21、计算:(1) (2)()()24576332x x x x x ⋅+⋅-+2324251(3)()()2a b a b -⋅-⋅-(1)4;(2)12x 14132716a b 【分析】(1)先算幂的乘方、同底数幂相乘、再算加减;(2)先算积的乘方再算同底数幂乘法;解:(1) ===4()()24576332x x x x x ⋅+⋅-+1266122x x x x +⋅+1212122x x x ++12x (2)==2324251(3)()()2a b a b -⋅-⋅-63810127()16a b a b -⋅⋅-14132716a b 22、计算:(1)(y 2)3÷y 6•y (2)y 4+(y 2)4÷y 4﹣(﹣y 2)2【分析】(1)先根据幂的乘方法则化简,再根据同底数幂的乘除法法则计算即可;(2)先根据幂的乘方与积的乘方法则化简,再根据同底数幂的除法化简,然后合并同类项即可.解:(1)(y 2)3÷y 6•y =y 6÷y 6•y =y ;(2)y 4+(y 2)4÷y 4﹣(﹣y 2)2=y 4+y 8÷y 4﹣y 4=y 4+y 4﹣y 4=y 4.23、(1)计算:.()()1020*******π-⎛⎫--+-+- ⎪⎝⎭7【分析】原式利用负整数指数幂法则、零指数幂法则、绝对值的代数意义及乘方的意义计算即可得到结果.【详解】解:.()()10202013314π-⎛⎫--+-+- ⎪⎝⎭4131=-++7=(2)计算:()2014×1.52012×(﹣1)201432【分析】根据幂的乘方和积的乘方计算即可.解:()2014×1.52012×(﹣1)20143224、(1)已知3×9m ÷27m =316,求m 的值.(2)若2x +5y ﹣3=0,求4x •32y 的值.(3)若n 为正整数,且x 2n =4,求(3x 3n )2﹣4(x 2)2n 的值.【分析】(1)根据同底数幂乘、除法的运算法则进行计算即可;(2)根据同底数幂乘法的运算法则进行计算即可;(3)根据同底数幂乘法、积的乘方、幂的乘方的运算法则进行计算即可.【详解】解:(1)∵3×9m ÷27m =316,∴31+2m ﹣3m =316,∴1﹣m =16,∴m =﹣15;(2)∵2x +5y ﹣3=0,∴2x +5y =3,∴4x •32y =22x +5y =23=8;(3)∵x 2n =4,∴x n =2,∴(3x 3n )2﹣4(x 2)2n =9x 6n ﹣4x 4n =9×26﹣4×24=24×25=29.25、(1)若4a +3b =3,求92a •27b .(2)已知3×9m ×27m =321,求m 的值【分析】(1)根据幂的乘方以及同底数幂的乘法法则解答即可;(2)根据幂的乘方以及同底数幂的乘法法则解答即可.解:(1)∵4a +3b =3,∴92a •27b =34a •33b =33=27;(2)∵3×9m ×27m =3×32m ×33m =31+2m +3m =321,∴1+2m +3m =21,解得m =4.26、一般地,若(且),则n 叫做以a 为底b 的对数,记为,即na b =0a >1,0a b ≠>log a b .log a b n =譬如:,则4叫做以3为底81的对数,记为(即=4).4381=3log 813log 81(1)计算以下各对数的值: , , .2log 4=2log 16=2log 64=(2)由(1)中三数4、16、64之间满足的等量关系式,直接写出、、满足的2log 42log 162log 64等量关系式;(3)由(2)猜想一般性的结论: .(且),并根log log a a M N +=0a >1,0a M ≠>,0N >据幂的运算法则:以及对数的含义证明你的猜想.M N M N a a a +⋅=(1)2,4,6;(2)+=;(3)猜想:,证明见2log 42log 162log 64log log a a M N +=log ()a MN 解析.【分析】(1)根据材料中给出的运算,数值就是乘方运算的指数;(2)由(1)可以得出;(3)根据(2)可以写出,根据材料中的定义证明即可.(1),(2)2log 42=2log 164=,2log 646=222log 4log 16log 64+=(3)猜想: 证明:设,,则,log log log ()a a a M N MN +=1log a M b =2log a N b =1ba M =,2b a N =故可得,,即.1212•b b b b MN a a a +==12log ()a b b MN +=log log log ()a a a M N MN +=。
北师大版七年级数学下册幂的运算基础达标专项练习题(附答案详解)1.下列各式计算正确的是( )A .235x x xB .22434x x x +=C .824x x x ÷=D .()224236x y x y = 2.下列计算正确的是( )A .2352a a a +=B .44a a a ÷=C .236a a a ⋅=D .()326a a -=- 3.下列运算正确的是( )A .a 2•a 3=a 6B .(a 2)5=a 7C .(﹣ab )7=a 7b 7D .a 4÷a =a 3 4.下列计算正确的是( )A .5510a a a +=B .6424a a a ⨯=C .2a a a ÷=D .440a a a -= 5.计算下列各式①225()1a a ÷= ②4244()x x x -÷= ③0(3)1(3)x x -=≠ ④5352101()22a b a b a b -÷=-正确的有( )题 A .4 B .3 C .2 D .16.x 3m+3可以写成( )A .m 13x +B .3m 3x x +C .3m 1x x +⋅D .3m 3x x ⋅7.计算(2m )3的结果是( )A .2m 3B .8m 3C .6m 3D .8m8.下列各式计算正确的是( )A .236a a a =B .1025a a a ÷=C .()248a a -=D .()44428ab a b = 9.下列运算正确的是( )A .352()a a =B .235a a a ⋅=C .2(2)4a a =D .632a a a ÷= 10.下列计算正确的是( )A .2÷2-1=-1B .a 2·a -2=0C .3a -2=213aD .(-x)3÷x 5=-21x11.计算:0.25×55=__________.12.如果2139273m m ⨯⨯=那么m 的值为_______________.13.计算:(-2)2的结果是______.14.计算:()32482x x x -÷=________.15.a 2·a 5= ________________.16.计算:-x 3·x 2= ________________.17.(1)()()3m m -÷-=______;(2)()()63mn mn ÷-=______;(3)()526y y -÷=______;(4)()()32x y y x -÷-=______.18.已知m x =3,m y =2,那么m x ﹣2y 的值是_____.19.已知210x y +-=,则255x y =__________.20.用幂的形式表示234()()()x y y x x y ---=______21.先化简,再求值:(x ﹣y )(x ﹣2y )﹣(3x ﹣2y )(x +3y ),其中x =4,y =﹣1.22.已知x 2a =2,y 3a =3,求(x 2a )3+(y a )6﹣(x 2y )3a •y 3a 的值.23.计算:(1)(0.2x -0.3)(0.2x +0.3);(2)(2a 3b 2-4a 4b 3+6a 5b 4)÷(-2a 3b 2).24.已知32=a,5 3=b,用a,b 的代数式表示306。
2021学年苏科版七年级数学下册《第8章幂的运算》期末复习能力提升训练2(附答案)1.下列运算正确的是()A.(﹣x2)3=﹣x6B.x2•x4=x8C.x2+x2=2x4D.x9÷x3=x32.随着科技不断发展,芯片的集成度越来越高,我国企业中芯国际已经实现14纳米量产,14纳米=0.000014毫米,0.000014用科学记数法表示为()A.14×10﹣6B.1.4×10﹣5C.1.4×10﹣7D.0.14×10﹣43.计算(﹣x2y2z)2的结果正确的是()A.﹣x4y4z B.x4y4z2C.﹣x4y4z D.x4y4z24.计算﹣a2•(a2)3的结果是()A.a8B.﹣a8C.a7D.﹣a75.(﹣3)0+(﹣)﹣2=()A.9B.C.10D.6.计算(﹣a)12÷(﹣a)3的结果为()A.a4B.﹣a4C.a9D.﹣a97.(﹣)2021×(﹣2.6)2020=()A.1B.﹣1C.﹣D.﹣2.68.若x m=5,x n=,则x2m﹣n=()A.B.40C.D.1009.已知x a=3,x b=5,则x a﹣b=()A.B.C.D.1510.我们知道下面的结论:若a m=a n(a>0,且a≠1),则m=n.设2m=3,2n=6,2p=12,下列关于m,n,p三者之间的关系正确的是()A.n2﹣mp=1B.m+n=2p C.m+p=2n D.p+n=2m11.若2x=3,2y=6,则2x+2y的值为.12.若x3n=3,则(2x3n)3+(﹣3x2n)3=.13.计算:(﹣0.25)2021×42022=.14.3﹣1+(3﹣π)0=.15.若(a﹣3)a+1=1,则a=.16.已知32×9m÷27=323,则m=.17.如果2021a=7,2021b=2.那么20212a﹣3b=.18.若3x﹣2=y,则8x÷2y=.19.已知正整数a满足()a×()2a=8,则a=.20.已知某大米新品种一粒的质量约0.000019千克,现在研究员要选取100粒这样的大米进行试验,则100粒大米的质量用科学记数法表示为千克.21.(1)已知2x+5y﹣3=0,求4x•32y的值.(2)已知2×8x×16=223,求x的值.22.(1)已知3×9m×27m=311,求m的值.(2)已知2a=3,4b=5,8c=5,求8a+c﹣2b的值.23.计算:(﹣4﹣5)×(﹣)2﹣2﹣2+(﹣)3.24.计算:a3•a4•a+(a2)4﹣(﹣2a4)2.25.计算:.26.若a m=a n(a>0,a≠1,m、n都是正整数),则m=n,利用上面结论解决下面的问题:(1)如果2x•23=32,求x的值;(2)如果2÷8x•16x=25,求x的值;(3)若x=5m﹣2,y=3﹣25m,用含x的代数式表示y.27.规定两数a,b之间的一种运算,记作(a,b);如果a c=b,那么(a,b)=c.例如:因为23=8,所以(2,8)=3.(1)根据上述规定,填空:①(5,125)=,(﹣2,﹣32)=;②若(x,)=﹣3,则x=.(2)若(4,5)=a,(4,6)=b,(4,30)=c,试说明下列等式成立的理由:a+b=c.参考答案1.解:A.利用幂的乘方,底数不变,指数相乘,(﹣x2)3=﹣x6,故正确;B.x2•x4=x6≠x8,故B错误;C.x2+x2=2x2≠2x4,故C错误;D.x9÷x3=x6≠x3,故D错误.故选:A.2.解:将0.000014用科学记数法表示为1.4×10﹣5.故选:B.3.解:(﹣x2y2z)2==.故选:B.4.解:﹣a2•(a2)3=﹣a2•a6=﹣a8.故选:B.5.解:(﹣3)0+(﹣)﹣2=1+=1+9=10,故选:C.6.解:(﹣a)12÷(﹣a)3=(﹣a)12﹣3=(﹣a)9=﹣a9,故选:D.7.解:(﹣)2021×(﹣2.6)2020=====.故选:C.8.解:∵x m=5,x n=,∴x2m﹣n=(x m)2÷x n=25÷=100.故选:D.9.解:因为x a=3,x b=5,所以x a﹣b=.故选:B.10.解:∵2n=6=2×3=2×2m=21+m,∴n=1+m,∵2p=12=22×3=22+m,∴p=2+m,∴p=n+1,m+p=n﹣1+n+1=2n,故选:C.11.解:∵2x=3,2y=6,∴2x+2y=2x•22y=2x•(2y)2=3×62=3×36=108.故答案为:108.12.解:∵x3n=3,∴(2x3n)3+(﹣3x2n)3=8(x3n)3﹣27(x3n)2=8×33﹣27×32=8×27﹣27×9=(8﹣9)×27=﹣27.故答案为:﹣27.13.解:(﹣0.25)2021×42022=(﹣)2021×42021×4=﹣(×4)2021×4=﹣1×4=﹣4.故答案为:﹣4.14.解:原式=+1=.故答案为:.15.解:当a+1=0,a﹣3≠0时,a=﹣1;当a﹣3=1时,a=4;当a﹣3=﹣1时,a=2,此时a+1=3,不符合题意;综上,a=﹣1或4.故答案为:﹣1或4.16.解:∵32×9m÷27=32×32m÷33=32+2m﹣3=323,∴2+2m﹣3=23.解得m=12.故答案为:12.17.解:∵2021a=7,2021b=2.∴20212a﹣3b=20212a÷20213b=(2021a)2÷(2021b)3=72÷23=.故答案为:.18.解:因为3x﹣2=y,所以3x﹣y=2,所以8x÷2y=23x÷2y=23x﹣y=22=4.故答案为:4.19.解:()a×()2a===2a=8,∴a=3.故答案为:3.20.解:0.000019×100=0.0019=1.9×10﹣3.故答案为:1.9×10﹣3.21.解:(1)因为2x+5y﹣3=0,所以2x+5y=3,所以4x•32y=22x•25y=22x+5y=23=8;(2)因为2×8x×16=2×23x×24=223,所以1+3x+4=23,解得x=6.22.解:(1)∵3×9m×27m=3×32m×33m=311,∴31+2m+3m=311,∴1+2m+3m=11,解得:m=2;(2)∵2a=3,4b=5,8c=5,∴2a=3,4b=22b=5,8c=23c=5,∴8a+c﹣2b=23(a+c﹣2b)=23a×23c÷26b=(2a)3×23c÷(22b)3=33×5÷53=.23.解:原式=﹣9×﹣﹣=﹣4﹣﹣=﹣4.24.解:原式=a8+a8﹣4a8=﹣2a8.25.解:原式=﹣1+1﹣﹣8=﹣.26.解:(1)∵2x•23=32,∴2x+3=25,∴x+3=5,∴x=2;(2)∵2÷8x•16x=25,∴2÷23x•24x=25,∴21﹣3x+4x=25,∴1+x=5,∴x=4;(3)∵x=5m﹣2,∴5m=x+2,∵y=3﹣25m,∴y=3﹣(5m)2,∴y=3﹣(x+2)2=﹣x2﹣4x﹣1.27.解:(1)①∵53=125,∴(5,125)=3;∵(﹣2)5=﹣32,所以(﹣2,﹣32)=5;②由新定义的运算可得,x﹣3=,∴x3=8,∴x=2.故答案为:①3;5;②2;(2)∵(4,5)=a,(4,6)=b,(4,30)=c,∴4a=5,4b=6,4c=30,∵5×6=30,∴4a•4b=4c,∴a+b=c.。
七年级下册数学幂的运算练习题
一选择
1、下列运算,结果正确的是
A.B.
C.D.
2、观察下列算式:21=2,22=4,23=8,24=16,25=32,26=64,27=128,28=256,…,则89的个位数字是()
A.2 ;B.4;C.8;D.6.
3、若,,则等于( )
A.B.6 C.21 D.20
4、对于非零实数,下列式子运算正确的是()
A.B.
C.D.
5、计算:的结果,正确的是()
A.B.C.D.
6、下列各式计算结果不正确的是( )
A.ab(ab)2=a3b3B.a3b2÷2ab=a2b
C.(2ab2)3=8a3b6D.a3÷a3·a3=a2
二、填空
7、如果,,则= .8、计算:=_______.
9、计算:= .
10、计算: = ,= .
11、在下列各式的括号中填入适当的代数式,使等式成立:
⑴a=();⑵.
12、计算:= ,= .
13、在横线上填入适当的代数式:,.
14、已知:,求的值.
15、计算:(y)+(y)= .16、计算:(x)= .
17、计算:.
三、解答
18、已知,求(1);(2).
19、已知,求的值.
20、解方程:. 21、解方程:;
22、地球上的所有植物每年能提供人类大约大卡的能量,若每人每年要消耗
大卡的植物能量,试问地球能养活多少人?
23、计算:. 24、计算:;
25、计算:26、计算:;
27、计算:.
28、;
29、计算:;
30、计算:;。