(整理)高数下册同济六版知识网络图[1]
- 格式:doc
- 大小:438.50 KB
- 文档页数:8
同济大学六版高等数学同济大学高等数学第六版下册第八章空间解析几何与向量代数数一考第九章多元函数微分的基本概念第三节全微分二、全微分在近似计算中的应用不考第六节多元函数微分学的几何应用数一考第七节方向导数与梯度数一考第九节二元函数的泰勒公式(非重点)数一考一、二函数的泰勒公式(119)二、极值充分条件的证明非重点第十节最小二乘法不考第十章重积分第二节三、二重积分的换元法不考第三节三重积分数一考第四节重积分的应用数一考第五节含参变量的积分不考总习题十第十二章无穷级数数一数三考第一节常数项级的概念和性质数一数三考第二节常数项级数的审敛法数一数三考第三节幂级数数一数三考第四节函数展开成幂级数数一考第五节函数的幂级数展开式的应用不考第六节函数项级数的一致收敛性及一致收敛级数的基本性质不考傅里叶级数数一考第八节一般周期函数的傅里叶级数数一考浙大概率论与数理统计第四版第七章参数估计1点估计数一数三考2基于截尾样本的最大似然估计不考3估计量的评选标准数一考区间估计数一考5正态总体均值与方差的区间估计数一考6(—1)分布参数的区间估计不考7单侧置信区间数一考第八章假设检验数一考5样本容量的选取不考分布拟合检验不考7秩合检验不考8假设检验问题的P值法不考同济大学线性代数第五版第一章行列式第二章矩阵及其运算第三章矩阵的初等变换与线性方程组第四章向量组的线性相关性第五章相似矩阵及二次型第六章线性空间与线性变化数学一考。
高数同济版下高数(下)小结一、微分方程复习要点解微分方程时,先要判断一下方程是属于什么类型,然后按所属类型的相应解法求出其通解. 一阶微分方程的解法小结:高数同济版下二阶微分方程的解法小结:非齐次方程的特解的形式为:高数同济版下主要一阶1、可分离变量方程、线性微分方程的求解; 2、二阶常系数齐次线性微分方程的求解; 3、二阶常系数非齐次线性微分方程的特解二、多元函数微分学复习要点一、偏导数的求法 1、显函数的偏导数的求法时,应将看作常量,对求导,在求时,应将看作常量,对求导,所运用的是一元函数的求导法则与求导公式2、复合函数的偏导数的求法设,,,则,几种特殊情况: 1),,,则2),,则 3),则3、隐函数求偏导数的求法 1)一个方程的情况,设是由方程唯一确定的隐函数,则,高数同济版下或者视,由方程两边同时对 2)方程组的情况由方程组 . 两边同时对求导解出即可二、全微分的求法方法1:利用公式方法2:直接两边同时求微分,解出即可.其中要注意应用微分形式的不变性:三、空间曲线的切线及空间曲面的法平面的求法 1)设空间曲线Г的参数方程为,则当时,在曲线上对应处的切线方向向量为,切线方程为法平面方程为2)若曲面的方程为,则在点处的法向,切平面方程为法线方程为高数同济版下若曲面的方程为,则在点处的法向,切平面方程为法线方程为四、多元函数极值(最值)的求法 1 无条件极值的求法设函数在点的某邻域内具有二阶连续偏导数,由,解出驻点,记, 1)若时有极小值 2)若,则在点处无极值 3)若,不能判定在点处是否取得极值,则在点处取得极值,且当时有极大值,当2 条件极值的求法函数在满足条件下极值的方法如下: 1)化为无条件极值:若能从条件解出代入中,则使函数成为一元函数无条件的极值问题 2)拉格朗日乘数法作辅助函数,其中为参数,解方程组高数同济版下求出驻点坐标,则驻点可能是条件极值点 3 最大值与最小值的求法若多元函数在闭区域上连续,求出函数在区域内部的驻点,计算出在这些点处的函数值,并与区域的边界上的最大(最小)值比较,最大(最小)者,就是最大(最小)值. 主要1、偏导数的求法与全微分的求法;2、空间曲线的切线及空间曲面的法平面的求法3、最大值与最小值的求法三、多元函数积分学复习要点七种积分的概念、计算方法及应用如下表所示:高数同济版下高数同济版下*定积分的几何应用定积分应用的常用公式: (1)面积 (2)体积(型区域的面积)(横截面面积已知的立体体积)(所围图形绕的立体体积)(所围图形绕体体积)(所围图形绕轴的立体体积)。
高数下(同济六)知识点高等数学教案期末总复习高等数学下册习题常见类型题型1 求向量的坐标、模、方向角、方向余弦、数量积、向量积题型2 已知条件求平面与直线方程题型3 计算一阶偏导数及高阶偏导数题型 4 求多元复合函数的偏导数题型5 求方程所确定的隐函数的偏导数题型6 求方向导数、梯度、曲线的切线、曲面的切平面题型7 求极值、利用拉格郎日乘数法求最值题型8 利用直角坐标计算二重积分题型9 利用极坐标计算二重积分题型10 计算带绝对值的二重积分题型11 利用二重积分证明恒等式题型12 利用对称性质计算二重积分题型13 只有一种积分次序可计算的积分例1、求21dxx42sinysinydydxdyx2xyy解:dx12x42sinysinysinysinydydxdydxdydxdyx2xyyyyD1D22y2 siny2sinydxdydydx(y1)sinydycos1sin11y1yyD1D2 题型14 利用投影法计算三重积分题型15 利用柱坐标计算三重积分题型16 利用球坐标计算三重积分题型17 利用切片法计算三重积分题型18 利用三重积分计算立体的体积题型19 计算对弧长的曲线积分题型20 计算对面积的曲面积分题型21 计算对坐标的曲线积分题型22 利用格林公式计算对坐标的曲线积分题型23 曲线积分与路径无关及全微分求积题型24 计算对坐标的曲面积分- 2 -高等数学教案期末总复习题型25 利用高斯公式计算对坐标的曲面积分题型26 可分离变量的微分方程、齐次方程题型27一阶线性微分方程题型29 可降阶方程题型30二阶常系数非齐次线性方程第八章向量与解析几何定义向量模向量代数定义与运算的几何表达在直角坐标系下的表示 aaxiayjazk(ax,ay,az) 有大小、有方向. 记作a或AB 向量a的模记作a axprjxa,ayprjya,azprjza aax2ay2az2 和差cab ca-b 单位向量cabaxbx,ayby,azbz aa0,则ea a设a与x,y,z轴的夹角分别为,,,则方向余弦分别为cos,cos,cos ea(ax,ay,az)axayaz222 方向余弦 aaacosx,cosy,cosz aaaea(cos,cos,cos) cos2+cos2cos21 点乘 ababcos,为向量a与b的夹角abaxbxaybyazbz iabaxbxjaybykaz bzcabsin 叉乘为向量a与b的夹角 cab 向量c与a,b都垂直定理与公式垂直平行abab0 a//bab0 abaxbxaybyazbz0 a//bcosaxayaz bxbybz2222交角余弦 ab两向量夹角余弦cos ab向量a在非零向量b上的投影axbxaybyazbzaxayazbxbybzprjbaaxbxaybyazbzbxbybz22222 投影 ab prjbaacos(ab)b- 3 -高等数学教案期末总复习平面法向量n{A,B,C} 点M0(x0,y0,z0) 方程名称一般式点法式方程形式及特征直线方向向量T{m,n,p} 点M0(x0,y0,z0) 方程名称一般式点向式方程形式及特征A1xB1yC1zD10 A2xB2yC2zD20AxByCzD0A(xx0)B(yy0)C(zz0)0 xx1yy1y2y1y3y1zz1z2z10z3z1xx0yy0zz0 mnpxx0mtyy0nt zzpt0xx0yy0zz0x1x0y1y0z1z0三点式 x2x1x3x1参数式截距式面面垂直面面平行线面垂直xyz1 abcA1A2B1B2C1C20 A1B1C1A2B2C2ABC mnp两点式线线垂直线线平行线面平行m1m2n1n2p1p20 m1n1p1 m2n2p2AmBnCp0 点面距离M0(x0,y0,z0) AxByCzD0 面面距离AxByCzD10 AxByCzD20 dAx0By0Cz0DABC222 dD1D2ABC222 面面夹角n1{A1,B1,C1}n2{A2,B2,C2} 线线夹角s1{m1,n1,p1}s2{m2,n2,p2} 线面夹角s{m,n,p} n{A,B,C} AmBnCpA2B2C2m2n2p2cos|A1A2B1B2C1C2|A1B1C1A2B2C22222 22 cosm1m2n1n2p1p2222m12n12p12m2n2p2 sin x(t),y(t),z(t),切“线”方程:切向量 xx0yy0zz0 (t0)(t0)(t0)空间(t) 曲线:T((t0),(t0),(t0)) 法平“面”方程:(t0)(xx0)(t0)(yy0)(t0)(zz0)0 切“线”方程:y(x)切向量 z(x)T(1,(x),(x)) xx0yy0zz0 1(x0)(x0)法平“面”方程: (xx0)(x0)(yy0)(x0)(zz0)0- 4 -高等数学教案期末总复习法向量F(x,y,z)0 空间曲面:n(Fx(x0,y0,z0),Fy(x0,y0,z0),Fz(x0,y0,z0))n(fx(x0,y0),fy(x0,y0),1) 切平“面”方程:Fx(x0,y0,z0)(xx0)Fx(x0,y0,z0)(yy0)Fx(x0,y0,z0)(zz0) 0法“线“方程:xx0yy0zz0 Fx(x0,y0,z0)Fy(x0,y0,z0)Fz(x0,y0,z0)切平“面”方程:fx(x0,y0)(xx0)fy(x0,y0)(yy0)(zz0)0 法“线“方程:zf(x,y) 或n(fx(x0,y0),fy(x0,y0),1)xx0yy0zz0 fx(x0,y0)fy(x0,y0)1 重积分计算方法第十章重积分积分类型二重积分典型例题利用直角坐标系 X—型Y—型Df(x,y)dxdydxadcb2(x)1(x)2(y)f(x,y)dy P141—例1、例3 Df(x,y)dxdydy1(y)f(x,y)dx Ifx,ydD利用极坐标系使用原则 (1) 积分区域的边界曲线易于用极坐标方程表示( 含圆弧,直线段 ); (2) 被积函数用极坐标变量表示较简单( 含(xy), 22 平面薄片的质量质量=面密度面积为实数 ) P147—例 5 f(cos,sin)ddDd2 1 f(cos,sin)d02 0 2 利用积分区域的对称性与被积函数的奇偶性 P141—例2 应用该性质更方便当D关于y 轴对称时,- 5 -高等数学教案期末总复习0I2f(x,y)dxdyD1计算步骤及注意事项 f(x,y)对于x是奇函数,即f(x,y)f(x,y)f(x,y)对于x是偶函数,即f(x,y)f(x,y)D1是D的右半部分1.画出积分区域 2.选择坐标系标准:域边界应尽量多为坐标轴,被积函数关于坐标变量易分离 3.确定积分次序原则:积分区域分块少,累次积分好算为妙 4.确定积分限方法:图示法先积一条线,后扫积分域 5.计算要简便注意:充分利用对称性,奇偶性三重积分 (1) 利用直角坐标投影投影法截面法ba y2(x)f(x,y,z)dVdxy1(x)dyz2(x,y)z1(x,y)f(x,y,z)dzP159—例1 P160—例2 xrcos 利用柱面坐标yrsin zz 相当于在投影法的基础上直角坐标转换成极坐标适用范围: 1积分区域表面用柱面坐标表示时方程简单;如旋转体○2被积函数用柱面坐标表示时变量易分离.如f(xy)f(xz) ○If(x,y,z)dvP161—例 3 空间立体物的质量质量=密度面积2222f(x,y,z)dVdzdabr2 r1 f(cos,sin,z)d xcosrsincos利用球面坐标ysinrsinsin zrcosdvr2sindrdd 适用范围: 1积分域表面用球面坐标表示时方程简单;如,球体,锥体. ○2被积函数用球面坐标表示时变量易分离. 如,f(xyz) ○P165—10-(1) 222Idd11222(,)1(,)f(sincos,sinsin,cos)2sind 利用积分区域的对称性与被积函数的奇偶性- 6 -。
高等数学下册习题常见鬓型求向疑得坐标、模、方向角、方向余弦、数量积、向量积计算一阶偏导数及高阶偏导数利用直角坐标计算二重枳分利用二重积分证明恒等式例1. 求解:(将二次积分交换顺序);沁4,胡注如y+JJ 空竺畑y 才 y " y Di y 址 y= JJ sin 兀'y dxdy = J" d)j 对 n "舐=Jjy -1) sin 九•ydy = cos1 — sin 1 qua y I y y ' 题型14利用投影法讣算三重积分题型27—阶线性微分方程 题型29可降阶方程题型15 利用柱坐标计算三重积分题型16 利用球坐标讣算三重积分 题型17 利用切片法讣算三重积分 题型18 利用三重积分计算立体得体积 题型19 il 算对弧长得曲线积分 题型20 il 算对而积得曲而积分 题型21 讣算对坐标得曲线积分题型22 利用格林公式计算对坐标得曲线枳分 题型23 曲线枳分与路径无关及全微分求枳 题型24 讣算对坐标得曲而积分题型25 利用高斯公式计算对坐标得曲面积分题型26 可分离变量得微分方程、齐次方程 题型1 题型2 由已知条件求平而与直线方程题型4 求多元复合函数得偏导数 题型5 求方程所确定得隐函数得偏导数题型6 求方向导数、梯度、曲线得切线、曲而得切平而 题型7 求极值、利用拉格郎日乘数法求最值题型9 利用极坐标讣算二重积分 题型10 计算带绝对值得二重积分题型12 利用对称性质计算二重枳分 题型13只有一种积分次序可计算得积分题型30二阶常系数非齐次线性方程第八章向量与解析几何切向量切“线”方程:法平“面”方程:法向量切平“面”方程:法“线“方程:或切平“面”方程:法“线“方程:第十章重积分(1) 积分区域得边界曲线易于用极坐标方程表示(含圆弧,宜线段); (2) 被枳函数用极坐标变量表示较简单(含;为实数)积分类型 二重枳分 平面薄片得质 质量=而密度而积重积分 计算方法(1) 利用直角坐标系X-型 y —型①利用极坐标系使用原则典型例题P141-例 I 、例3PI47-例 5⑶利用积分区域得对称性与被积函数得奇偶性当D 关于y 轴对称时,(关于X 轴对称时,有类似结PI41-例 2 应用该性质更方便计算步骤及注意事项1・画出积分区域 2・选择坐标系 3.确定积分次序 t 确定枳分限 5.计算要简便标准:域边界应尽量多为坐标轴,被积函数关于坐标变量易分离原则:积分区域分块少,累次积分好算为妙 方法:图示法先积一条线,后扫枳分域 注意:充分利用对称性,奇偶性X三重积分空间立体物得质量质量=密度而积①定义:四步法一分割、代替、求与、取极限:②性质:对积分得范用具有可加性,具有线性性:③对坐标得积分,积分区域对称与被积函数得奇偶性。
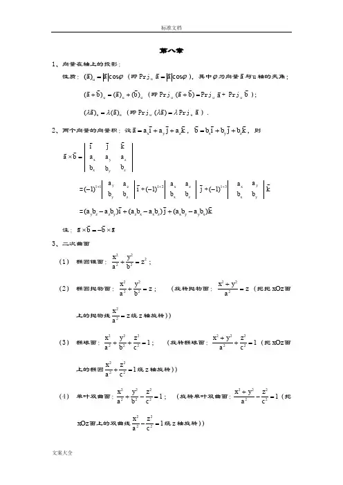
第八章1、向量在轴上的投影:性质:ϕcos )(a a u =(即Prj u ϕcos a a =),其中ϕ为向量a与u 轴的夹角;u u u b a b a )()()( +=+(即Prj u =+)(b a Prj u a+ Prj u b );u u a a )()( λλ=(即Prj u λλ=)(a Prj u a).2、两个向量的向量积:设k a j a i a a z y x++=,k b j b i b b z y x ++=,则=⨯b ax x b a iyy b a j z z b a k=11)1(+-yy b az z b a i +21)1(+-x x b a zzb aj +31)1(+- x x b ayyb a k=k b a b a j b a b a i b a b a x y y x z x x z y z z y)()()(-+-+-注:a b b a⨯-=⨯3、二次曲面(1) 椭圆锥面:22222z by a x =+;(2) 椭圆抛物面:z by a x =+2222; (旋转抛物面:z a y x =+222(把把xOz 面上的抛物线z ax =22绕z 轴旋转))(3) 椭球面:1222222=++c z b y a x ; (旋转椭球面:122222=++cz a y x (把xOz 面上的椭圆12222=+cz a x 绕z 轴旋转))(4) 单叶双曲面:1222222=-+c z b y a x ; (旋转单叶双曲面:122222=-+cz a y x (把xOz 面上的双曲线12222=-cz a x 绕z 轴旋转))(5) 双叶双曲面:1222222=--c z b y a x ; (旋转双叶双曲面:122222=+-c z y a x (把xOy 面上的双曲线12222=-cz a x 绕x 轴旋转)) (6) 双曲抛物面(马鞍面):z by a x =-2222;(7) 椭圆柱面:12222=+b y a x ; 双曲柱面:12222=-by a x ; 抛物柱面:ay x =24、平面方程(1) 平面的点法式方程:0)()()(000=-+-+-z z C y y B x x A ,其中),,(0000z y x M 是平面上一点,),,(C B A n =为平面的一个法向量.(2) 平面的一般方程:0=+++D Cz By Ax ,其中),,(C B A n =为平面的一个法向量.注:由平面的一般方程可得平面的一个法向量),,(C B A n =若D =0,则平面过原点;若⎩⎨⎧≠==轴,则平面平行于轴则平面过x D x D A 0,0,0若⎩⎨⎧≠===面,则平面平行于面,则平面表示,xOy D xOy D B A 000 (3) 平面的截距式方程:1=++czb y a x ,其中c b a ,,分别叫做平面在z y x ,,轴上的截距.5、两平面的夹角:222222212121212121cos C B A C B A C C B B A A ++⋅++++=θ特殊:0212121=++⇔C C B B A A 两平面互相垂直 212121C C B B A A ==⇔两平面互相平行或重合 6、点),,000z y x P (到平面0=+++D Cz By Ax 的距离公式:222000CB A DCz By Ax d +++++=7、空间直线方程(1) 空间直线的一般方程:⎩⎨⎧=+++=+++0022221111D z C y B x A D z C y B x A(2) 空间直线的对称式(点向式)方程:pz z n y y m x x 000-=-=-,其中),,(p n m s =为直线的一个方向向量,),,(000z y x M 为直线上一点(3) 空间直线的参数方程:⎪⎩⎪⎨⎧+=+=+=ptz z nt y y mt x x 0008、两直线的夹角:222222212121212121cos p n m p n m p p n n m m ++⋅++++=ϕ特殊:0212121=++⇔p p n n m m 两直线互相垂直 212121p pn n m m ==⇔两直线互相平行或重合 9、直线与平面的夹角:222222sin pn m C B A Cp Bn Am ++⋅++++=ϕ特殊:pC n B m A ==⇔直线与平面垂直 直线与平面平行或在平面内:0=++Cp Bn Am 10、平面束的方程:设直线L 由方程组⎩⎨⎧=+++=+++0022221111D z C y B x A D z C y B x A 所确定,其中222111,,,,C B A C B A 与不成比例,则平面0)(22221111=+++++++D z C y B x A D z C y B x A λ为通过直线L 的所有平面(不包含平面02222=+++D z C y B x A )第九章1、内点一定是聚点;边界点不一定是聚点2、二重极限存在是指),(y x P 以任何方式趋于),(000y x P 时,),(y x f 都无限接近于A ,因此当),(y x P 以不同方式趋于),(000y x P 时,),(y x f 趋于不同的值,那么这个函数的极限不存在3、偏导数:求x f∂∂时,只要把其他量),,( z y 看作常量而对x 求导数;求yf∂∂时,只要把其他量),,( z x 看作常量而对y 求导数; 注意:(1)偏导数都存在并不一定连续;(2)xz∂∂为整体,不可拆分;(3)分界点,不连续点处求偏导数要用定义求4、若函数),(y x f z =在点),(y x 可微分,则该函数在点),(y x 的偏导数x z ∂∂、yz∂∂必定存在,且函数),(y x f z =在点),(y x 的全微分为dy yz dx x z dz ∂∂+∂∂=5、若函数),(y x f z =的偏导数x z∂∂、yz ∂∂在点),(y x 连续,则函数在该点可微分 6、),(y x f 连续,偏导数不一定存在,偏导数存在,),(y x f 不一定连续; ),(y x f 连续,不一定可微,但可微,),(y x f 一定连续; 可微,偏导数一定存在,偏导数存在, ),(y x f 不一定可微; 可微,偏导数不一定都连续;偏导数都连续, ),(y x f 一定可微 7、多元复合函数的求导法则:(1)一元函数与多元函数符合的情形:若函数)(t u ϕ=及)(t v ψ=都在点t 可导,函数),(v u f z =在对应点),(v u 具有连续偏导数,则复合函数)](),([t t f z ψϕ=在点t 可导,且有dtdvv z dt du u z dt dz ∂∂+∂∂= (2)多元函数与多元函数复合的情形:若函数),(y x u ϕ=及),(y x v ψ=都在点),(y x 具有对x 及对y 的偏导数,函数),(v u f z =在对应点),(v u 具有连续偏导数,则复合函数)],(),,([y x y x f z ψϕ=在点),(y x 的两个偏导数都存在,且x v v z x u u z x z ∂∂∂∂+∂∂∂∂=∂∂;yvv z y u u z y z ∂∂∂∂+∂∂∂∂=∂∂ (3)其他情形:若函数),(y x u ϕ=在点),(y x 具有对x 及对y 的偏导数,函数)(y v ψ=在点y 可导,函数),(v u f z =在对应点),(v u 具有连续偏导数,则复合函数)](),,([y y x f z ψϕ=在点),(y x 的两个偏导数都存在,且xuu z x z ∂∂∂∂=∂∂;yv v z y u u z y z ∂∂∂∂+∂∂∂∂=∂∂ 8、隐函数求导公式: (1)函数),(y x F :yx F F dx dy-= (2)函数),,(z y x F :z x F F x z -=∂∂,zy F F y z-=∂∂9、空间曲线的切线与法平面:设空间曲线Γ的参数方程为⎪⎩⎪⎨⎧===),(),(),(t z t y t x ωψϕ ],[βα∈t ),,(000z y x M 为曲线上一点假定上式的三个函数都在],[βα上可导,且三个导数不同时为零则向量=T ))('),('),('()('0000t t t t f ωψϕ=为曲线Γ在点M 处的一个切向量,曲线Γ在点M 处的切线方程为:)(')(')('000000t z z t y y t x x ωψϕ-=-=-,法平面方程为:0))(('))(('))(('000000=-+-+-z z t y y t x x t ωψϕ 如果空间曲线Γ的方程以⎩⎨⎧==),(),(x z x y ψϕ的形式给出,则Γ在点M 处的切线方程为:)(')('100000x z z x y y x x ψϕ-=-=-, 法平面方程为:0))(('))((')(00000=-+-+-z z x y y x x x ψϕ如果空间曲线Γ的方程以⎩⎨⎧==,0),,(,0),,(z y x G z y x F 的形式给出,则Γ在点M 处的切线方程为:Myyx x M x x z z Mz z y y G F G F z z G F G F y y G F G F x x 000-=-=-法平面方程为:0)()()(000=-+-+-z z F F G F y y G F G F x x G F G F yy x x Mxx z z Mzz y y10、曲面的切平面与法线:设曲面方程为0),,(=z y x F ,),,(000z y x M 为曲面上一点,则曲面在点M 处的切平面方程为:0))(,,())(,,())(,,(000000000000=-+-+-z z z y x F y y z y x F x x z y x F z y x ,法线方程为:),,(),,(),,(0000000000z y x F z z z y x F y y z y x F x x o z o y x -=-=-11、方向导数:若函数),(y x f 在点),(000y x P 可微,那么函数在该点沿任一方向l 的方向导数存在,且 βαcos ),(cos ),(000o y x y x f y x f lf+=∂∂,其中βαcos ,cos 是方向l 的方向余弦 12、梯度:j y x f i y x f y x),(),(0000+称为函数),(y x f 在点),(000y x P 的梯度,记作),(),(000y x f y x gradf o ∇或,即),(),(000y x f y x gradf o ∇==j y x f i y x f y o x),(),(000+13、设函数),(y x f z =在点),(00y x 具有偏导数,且在点),(00y x 处有极值,则0),(,0),(0000==y x f y x f y x14、设函数),(y x f z =在点),(00y x 的某邻域里连续且有一阶及二阶偏导数,又0),(,0),(000==y x f y x f y o x ,令C y x f B y x f A y x f yy xy o xx ===),(,),(,),(00000,则),(y x f 在点),(00y x 处是否取得极值的条件如下:(1)02>-B AC 时具有极值,且当0<A 时有极大值,当0>A 时有极小值; (2)02<-B AC 时没有极值;(3)02=-B AC 时可能有极值,也有可能没有极值 15、具有二阶连续偏导数的函数),(y x f z =的极值求法:第一步:解方程组0),(,0),(==y x f y x f y x ,求得一切实数解,即可求得一切驻点;第二步:对每一个驻点),(00y x ,求出二阶偏导数的值B A ,和C ; 第三步:定出2B AC -的符号,按14的结论判定),(00y x f 是不是极值,是极大值还是极小值注:上述步骤是求具有二阶连续偏导数的函数得情况下,那..........................么在考虑函数......极值时,除了考虑函数的驻点外,如果有偏导数不存在的点,那么对这些点.................................也要考虑....16、拉格朗日乘数法:要找函数),(y x f z =在附加条件0),(=y x ϕ下的可能极值点,可以先作拉格朗日函数),(),(),(y x y x f y x L λϕ+=,其中λ为参数.求其对x 及y 的一阶偏导数,并使之为零,然后与方程0),(=y x ϕ联立起来:⎪⎩⎪⎨⎧==+=+0),(0),(),(0),(),(y x y x y x f y x y x f y y x x ϕλϕλϕ,由这方程组解出y x ,及λ,这样得到的),(y x 就是函数),(y x f 在附加条件0),(=y x ϕ下的可能极值点第十章1、二重积分的性质性质1:设βα、为常数,则⎰⎰⎰⎰⎰⎰+=+DDDd y x g d y x f d y x g y x f σβσασβα),(),()],(),([.性质2:如果闭区域D 被有限曲线分为有限个部分闭区域,则在D 上的二重积分等于在各个部分闭区域上的二重积分之和.(二重积分对于积分区域具有可加性)性质3:如果在D 上,1),(=y x f ,σ为D 的面积,则⎰⎰⎰⎰=⋅=DDd d σσσ1性质4:如果在D 上,),,(),(y x y x f ϕ≤则有:⎰⎰⎰⎰≤DDd y x d y x f .),(),((σϕσ特殊地,由于,),(),(),(y x f y x f y x f ≤≤-则⎰⎰⎰⎰≤DDd y x f d y x f σσ),(),(.性质5:设m M ,分别是),(y x f 在闭区域D 上的最大值和最小值,σ是D 的面积,则有⎰⎰≤≤DM d y x f m σσσ),(.性质6(二重积分的中值定理):设函数),(y x f 在闭区域D 连续,σ是D 的面积,则在D 上至少存在一点),(ηξ,使得⎰⎰⋅=Df d y x f σηξσ),(),(.2、二重积分直角坐标的计算法:(1)若积分区域D 可用不等式)()(21x y x ϕϕ≤≤,b x a ≤≤(X 型)来表示,其中)(1x ϕ、)(2x ϕ在区间],[b a 上连续.则⎰⎰⎰⎰=Dx x ba dy y x f dx d y x f )()(21.),(),(ϕϕσ(2)若积分区域D 可用不等式)()(21x x x φφ≤≤,b y a ≤≤(Y 型)来表示,其中)(1x φ、)(2x φ在区间],[d c 上连续.则⎰⎰⎰⎰=Dx x dc dx y x f dyd y x f )()(21.),(),(φφσ注:确定次序原则:(1) 函数原则:内层积分可以积出; (2) 区域原则; (3) 少分块原则.3、二重积分极坐标的计算法:(极坐标系中的面积元素:θρρd d )若积分区域D 可用不等式)()(21x x ϕρϕ≤≤,βθα≤≤来表示,其中)(1x ϕ、)(2x ϕ在区间],[βα上连续.则:⎰⎰⎰⎰⎰⎰==βαθϕθϕρρθρθρθθρρθρθρσ)()(21)sin ,cos ()sin ,cos (),(d f d d d f d y x f DD(详见P145,146)4、确定上下限原则:(1)每层下限小于上限;(2)内层一般是与外层积分变量的有关的函数,也可以是常数; (3)外层一定为常数.5、利用被积函数的奇偶性及积分区域的对称性简化: (1)若积分区域D 关于0=x 对称,则:⎰⎰⎰⎰⎪⎪⎩⎪⎪⎨⎧=--=-=DD y x f y x f dxdy y x f y x f y x f dxdy y x f 1),(),(,),(2),(),(,0),(当当, 其中}{0,),(),(1≥∈=x D y x y x D(2)若积分区域D 关于0=y 对称,则:⎰⎰⎰⎰⎪⎪⎩⎪⎪⎨⎧=--=-=DD y x f y x f dxdy y x f y x f y x f dxdy y x f 1),(),(,),(2),(),(,0),(当当, 其中}{0,),(),(2≥∈=y D y x y x D 6、直角坐标三重积分的计算:(1)先一后二:若}{xy D y x y x z z y x z z y x ∈≤≤=Ω),(),,(),(),,(21,闭区域}{b x a x y y x y y x D xy ≤≤≤≤=),()(),(21,则:⎰⎰⎰⎰⎰⎰=Ω),(),(2221),,(),,(y x z y x z y y badz z y x f dy dx dv z y x f (详见P158,159)(2)先二后一(截面法):S1:将Ω向某轴投影,如z 轴,],[21c c z ∈;S2:对],[21c c z ∈,用平行于xoy 面的平面截Ω,截出部分记为z D ;S3:计算⎰⎰zD dxdy z f )(;S4:计算⎰21),(c c dz y x F若空间区域{}21,),(),,(c z c D y x z y x z ≤≤∈=Ω,其中z D 是竖坐标为z 的平面截闭区域Ω所得到的一个平面闭区域,则:⎰⎰⎰⎰⎰⎰=Ω21),,(),,(c c D zdxdy z y x f dz dv z y x f注:适用于被积函数只有一个变量或为常数 7、柱面坐标三重积分的计算:+∞<≤ρ0;πθ20≤≤;+∞<<∞-zρ=常数,即以z 轴为轴的圆柱面; θ=常数,即过z 轴的半平面;z =常数,即与xoy 面平行的平面⎪⎩⎪⎨⎧===z z y x θρθρsin cos 柱面坐标系中的体积元素:dz d d dv θρρ=⎰⎰⎰⎰⎰⎰ΩΩ=dz d d z F dxdydz z y x f θρρθρ),,(),,(,其中),sin ,cos (),,(z f z F θρθρθρ=再化为三次积分计算⎰⎰⎰⎰⎰⎰=Ω),(),(212121),,(),,(θρθρϕϕθθθρρρθz z dz z F d d dxdydz z y x f ,其中),(1θρz ,),(2θρz 为沿z 轴穿线穿过的两个平面方程(个人理解)8、球面坐标三重积分的计算:+∞<≤r 0,πϕ≤≤0,πθ20≤≤⎪⎩⎪⎨⎧===ϕθϕθϕcos sin sin cos sin r z r y r x 球面坐标系中的体积元素:θϕϕd drd r dv sin 2=⎰⎰⎰⎰⎰⎰ΩΩ=θϕϕθϕd drd r r F dxdydz z y x f sin ),,(),,(2,其中)cos ,sin sin ,cos sin (),,(ϕθϕθϕθϕr r r f r F =,再化为三次积分计算⎰⎰⎰⎰⎰⎰=Ω212121sin ),,(),,(2),(),(θθϕϕθϕθϕϕθϕϕθdr r r F d d dxdydz z y x f r r ,其中),(1θϕr ,),(2θϕr 为沿z 轴穿线穿过的两个平面方程(个人理解)典例:求由曲面a z y x 2222≤++与22y x z +≥所围成立体体积(利用三种坐标系求解)解:a z y x 2222≤++表示球心在原点,半径为a 2的球体,22y x z +≥表示xoy 上半面圆锥体 直角坐标:32222020)12(34)2(11a dz z a dz z dxdy dz dxdy dz dv V aaaaa D a D -=-+=+==⎰⎰⎰⎰⎰⎰⎰⎰⎰⎰⎰Ωπππ柱面坐标:⎰⎰⎰⎰⎰⎰-Ω==aa dz d d v d V 022022ρρπρρθ球面坐标:⎰⎰⎰⎰⎰⎰==Ω402220sin ππϕϕθaodr r d d v d V十一章1、对弧长的曲线积分的计算法:设(,)f x y 在曲线弧L 上有定义且连续,L 的参数方程为()()x t y t ϕφ=⎧⎨=⎩ ,()t αβ≤≤,其中(t ϕ),)t φ(在[,]αβ上具有一阶连续导数,且22'()'()0t t ϕφ+≠,则曲线积分(,)Lf x y ds ⎰存在,且(,)[(),(Lf x y ds f t t βαϕφ=⎰⎰ ()αβ<同理:空间曲线Γ:()()()x t y t z t ϕφω=⎧⎪=⎨⎪=⎩(,,)[(),(),(f x y z ds f t t t βαϕφωΓ=⎰⎰2、对坐标的曲线积分的计算方法:设(,)P x y 、(,)Q x y 在有向曲线弧L 上有定义且连续,L 的参数方程为()()x t y t ϕφ=⎧⎨=⎩,当参数t 单调地由α变到β时,点(,)M x y 从L 的起点A 沿L 运动到终点B ,(t ϕ),)t φ(在以α及β为端点的闭区间上具有一阶连续导数,且22'()'()0t t ϕφ+≠,则曲线积分(,)(,)LP x y dx Q x y dy +⎰存在,且(,)(,){[(),()]'()[(),()]'()}LLP x y dx Q x y dy P t t t Q t t t dt ϕφϕϕφφ+=+⎰⎰(下限α对应于L 的起点,上限β对应于L 的终点)同理:空间曲线Γ:()()()x t y t z t ϕφω=⎧⎪=⎨⎪=⎩(,,)(,,)(,,){[(),(),()]'()[(),(),()]'()[(),(),()]}LLP x y z dx Q x y z dy R x y z dzP t t t t Q t t t t R t t t dtϕφωϕϕφωφϕφω++=++⎰⎰3、平面曲线L 上两类曲线积分的联系:(cos cos )LLPdx Qdy P Q ds αβ+=+⎰⎰,其中(,,),(,,)x y z x y z αβ为有向曲线弧L 在点(,)x y处的切向量方向角cos α=cos α=同理:空间曲线Γ上两类曲线积分的联系:(cos cos cos )Pdx Qdy Rdz P Q R ds αβγΓΓ++=++⎰⎰4、格林公式:设闭区域D 由分段光滑曲线L 围城,函数(,)P x y 及(,)Q x y 在D 上具有一阶连续偏导数,则有()L DQ Pdxdy Pdx Qdy x y∂∂-=+∂∂⎰⎰⎰,其中L 是D 的取正向的边界曲线注:取,P y Q x =-=,则2LDdxdy xdy ydx =-⎰⎰⎰,左端表示闭区D 的面积A 的两倍,因此,12LA xdy ydx =-⎰5、设D 为单连通区域,函数(,)P x y 及(,)Q x y 在D 上具有一阶连续偏导数,则下列四个命题等价:(1)沿D 内任一条光滑曲线有(,)(,)0LP x y dx Q x y dy +=⎰(2)对D 内任一条分段光滑曲线L 曲线积分(,)(,)LP x y dx Q x y dy +⎰与路径无关(3)存在(,)u x y D ∈,使得(,)(,)du P x y dx Q x y dy =+ (4)在D 内没一点都有Q Px y∂∂=∂∂6、对面积的曲面积分的计算法:(,,)[,,(,xyD f x y z dS f x y z x y ∑=⎰⎰⎰⎰(,,)[,(,),xzD f x y z dS f x y x z z ∑=⎰⎰⎰⎰(,,)[(,),,yzD f x y z dS f x y z y z ∑=⎰⎰⎰⎰7、对坐标的区面积分的计算法:(,,)[,,(,)]xyD R x y z dxdy R x y z x y dxdy ∑=±⎰⎰⎰⎰,等式右端符号取决于积分曲面上下侧(,,)[,(,),]zxD Q x y z dzdx Q x y z x z dzdx ∑=±⎰⎰⎰⎰,等式右端符号取决于积分曲面左右侧(,,)[(,),,]xyD P x y z dydz P x x y y z dydz ∑=±⎰⎰⎰⎰,等式右端符号取决于积分曲面前后侧8、两类曲面积分之间的联系:cos cos cos )Pdydz Qdzdx Rdxdy P Q R dS αβγ∑∑++=++⎰⎰⎰⎰,其中cos ,cos ,cos αβγ时有向曲面∑在点(,,)x y z 处的法向量的方向余弦9、高斯公式:设空间闭区域Ω是由分片光滑的闭曲面∑所围城的,函数(,,)P x y z 、(,,)Q x y z 、(,,)R x y z 在Ω上具有一阶连续偏导数,则有:()(cos cos cos )P Q R dv Pdydz Qdzdx Rdxdy P Q R dSx y zαβγΩ∑∑∂∂∂++=++=++∂∂∂⎰⎰⎰⎰⎰⎰⎰10、斯托克斯公式:设Γ为分段光滑的空间有向闭曲线,∑是以Γ为边界的分片光滑的有向曲面,Γ的正向与∑的侧符合右手规则,函数(,,)P x y z 、(,,)Q x y z 、(,,)R x y z 在曲面∑(连同边界Γ)上具有一阶连续偏导数,则有:()()()R Q P R Q Pdydz dzdx dxdy Pdx Qdy Rdz y z z x x yΓ∑∂∂∂∂∂∂-+-+-=++∂∂∂∂∂∂⎰⎰⎰。
注:数字都是书的页数!基础公式和方法,不用说,肯定得记得差不多,才有信心考好,千万别以60分为目标。
1.向量积公式19(对物理计算也有好处)模长公式9 方向余弦10 单位向量112.全微分表达式733.隐函数求导也有公式854.计算曲线的切线和法平面方程需要求什么【切线的方向向量(即要求法平面的法向量)+一点】94例题计算曲面的切平面和法线方程需要求什么【切平面的法向量(即要求法线的方向向量)+一点】99例题当然你写完了方程要知道哪个是直线哪个是平面所以要熟悉直线和平面方程形式!5.极值公式(做题流程)110 111例题当然重要的是偏导公式高数上册中的一些常见求导公式牢记!上册书956.多元复合函数求导(画出关系图)+隐函数高阶求导易错!注意计算细心多检查多动笔计算!7.二重积分几何意义就是以D是底,f(x,y)为顶的曲顶柱体的体积(直角坐标法138 极坐标法144)更换积分次序8.三重积分需要投影(直角坐标法158 柱面坐标法161 球面坐标法162)注意:能画出图的尽量画图直观清晰!再可以把D xoy或者Ω各个量的取值范围写出来极坐标系中的面积元素代换柱面坐标系和球面坐标系中的体积元素代换9.对弧长的曲线积分计算法187 公式!!!记好三种形式188 其实就一种因为方法都一样(定积分的下限一定要小于上限)10.对坐标的曲线积分计算法194 (L是有向曲线,定积分的下限不一定小于上限,根据终点与起点)11.两类曲线积分的联系转化公式!19912.格林公式202 曲线积分与二重积分的转化联系!(公式到底是P,Q对x求导还是对y,记清楚!)使用条件:1.具有一阶连续偏导(一般都有)2. D是闭区域,L必须封闭(所以有一类题,补充曲线变成封闭,才能使用格林公式,然后再减去补充的曲线的积分205例题)L是D的取正向的边界曲线,正向是逆时针方向13.曲线与路径无关14.全微分求积210 211例题或者复习试卷上5,6题(验证...是某一函数的全微分,并求出函数这种题!)15.对面积的曲面积分计算法217 公式!!!记好16.对坐标的曲面积分计算法224 (Σ是有向曲面,曲面的法向量与相应坐标轴的夹角,cosα>0取正号 ,cosα<0取负号)考试或许它只考第一卦限,或者cosα>0的情况,但是还是多多了解一点!17.两类曲面积分的联系转化联系!22718.高斯公式229 曲面积分和三重积分的转化联系!(注意P,Q,R是对x,y,z进行求导!一一对应)使用条件:1.具有连续一阶偏导(一般都有)2.Ω是闭区域,Σ是闭曲面(当然也有一类题,补充曲面变成封闭,才能使用高斯公式,然后再减去补充的曲面的积分231例题2 复习题中没有这类型题目,或许考试不会考这个吧,但万一它考了呢?!了解一下~)19.对于面积曲面积分:Σ是围成闭区域Ω的闭曲面对于坐标曲面积分:Σ是Ω的整个边界曲面外侧(第一类不分内外侧)曲线积分和曲面积分最终都会转化成二重积分计算,可见二重积分的重要性!然后又可能会运用到各种积分公式,高数上册203代换205 公式可以复习复习!21.等比数列的求和公式22.各种级数的审敛法常用几种:p级数257 p>1 收敛p≤1 发散比较审敛法极限形式258(去记常用的等价无穷小公式!)比值审敛法(达朗贝尔判别法)259ρ<1 收敛ρ>1 发散ρ=1 可能收敛也可能发散莱布尼茨定理(交错级数)262满足两个条件,交错级数才收敛23.绝对级数和条件级数263定理8 如果一个级数绝对收敛,则它必定收敛。
第八章总结=-c a b第十章 总结2()(cos ,sin )(cos ,sin )Df d d d f d βϕθρθρθρρθθρθρθρρ=⎰⎰⎰⎰02θπ≤≤ 0θπ≤≤ 2πθπ≤≤ (3)利用积分区域的对称性与被积函数的奇偶性当D 关于y 轴对称时,(关于x 轴对称时,有类似结论)0(,)f x y x ⎧对于是奇函数,第十一章总结所有类型的积分:○1定义:四步法——分割、代替、求和、取极限;○2性质:对积分的范围具有可加性,具有线性性;○3对坐标的积分,积分区域对称与被积函数的奇偶性。
无穷级数常数项级数傅立叶级数幂级数一般项级数正项级数用收敛定义,nns∞→lim存在常数项级数的基本性质常数项级数的基本性质○1若级数收敛,各项同乘同一常数仍收敛.○2两个收敛级数的和差仍收敛.注:一敛、一散之和必发散;两散和、差必发散.○3去掉、加上或改变级数有限项,不改变其收敛性.○4若级数收敛,则对这级数的项任意加括号后所成的级数仍收敛,且其和不变。
推论:如果加括号后所成的级数发散,则原来级数也发散.注:收敛级数去括号后未必收敛.○5(必要条件)如果级数收敛,则0lim=→nnu莱布尼茨判别法若1+≥nnuu且0lim=∞→nnu,则∑∞=--11)1(nnn u收敛nu∑和nv∑都是正项级数,且nnvu≤.若nv∑收敛,则nu∑也收敛;若nu∑发散,则nv∑也发散.比较判别法比较判别法的极限形式nu∑和nv∑都是正项级数,且lvunnn=∞→lim,则○1若+∞<<l0,nu∑与nv∑同敛或同散;○2若0=l,nv∑收敛,nu∑也收敛;○3如果+∞=l,nv∑发散,nu∑也发散。
比值判别法根值判别法nu∑是正项级数,ρ=+∞→nnn uu1lim,ρ=∞→nnnulim,则1<ρ时收敛;1>ρ(ρ=+∞)时发散;1=ρ时可能收敛也可能发散.收敛性和函数展成幂级数nnnxa∑∞=0,ρ=+∞→nnn aa1lim,1,0;,0;0,.R R Rρρρρ=≠=+∞===+∞缺项级数用比值审敛法求收敛半径)(xs的性质○1在收敛域I上连续;○2在收敛域),(RR-内可导,且可逐项求导;○3和函数)(xs在收敛域I上可积分,且可逐项积分.(R不变,收敛域可能变化).直接展开:泰勒级数间接展开:六个常用展开式11(11)1nnx xx∞==-<<-∑11()!x nne x xn∞==-∞<<+∞∑22TT lπ==∑∞=++=10)sincos(2)(nnnnxbnxaaxf⎰-=πππdxxfa)(1⎰-=πππnxdxxfancos)(1⎰-=πππnxdxxfbnsin)(1收敛定理x是连续点,收敛于)(xf;x是间断点,收敛于)]()([21+-+xfxf周期延拓)(xf为奇函数,正弦级数,奇延拓;)(xf为偶函数,余弦级数、偶延拓.交错级数。
高数下(同济六)知识点高等数学下册习题常见类型题型 1 求向量的坐标、模、方向角、方向余弦、数量积、向量积题型2 由已知条件求平面与直线方程题型3 计算一阶偏导数及高阶偏导数题型4 求多元复合函数的偏导数题型5 求方程所确定的隐函数的偏导数题型 6 求方向导数、梯度、曲线的切线、曲面的切平面题型7 求极值、利用拉格郎日乘数法求最值题型8 利用直角坐标计算二重积分题型9 利用极坐标计算二重积分题型10 计算带绝对值的二重积分题型11 利用二重积分证明恒等式题型12 利用对称性质计算二重积分题型13 只有一种积分次序可计算的积分例1、求24212xdx dx +⎰⎰解:(将二次积分交换顺序)12212242122211sin sin sin sin (1)sin cos1sin1xD D y y D D y ydx dx dxdy dxdyy y yy dxdy dy dx y ydy y y πππππ+=+===-=-⎰⎰⎰⎰⎰⎰⎰⎰⎰⎰⎰U题型14 利用投影法计算三重积分 题型15 利用柱坐标计算三重积分 题型16 利用球坐标计算三重积分 题型17 利用切片法计算三重积分 题型18 利用三重积分计算立体的体积 题型19 计算对弧长的曲线积分 题型20 计算对面积的曲面积分 题型21 计算对坐标的曲线积分题型22 利用格林公式计算对坐标的曲线积分 题型23 曲线积分与路径无关及全微分求积 题型24 计算对坐标的曲面积分题型25 利用高斯公式计算对坐标的曲面积分 题型26 可分离变量的微分方程、齐次方程 题型27一阶线性微分方程题型29 可降阶方程题型30二阶常系数非齐次线性方程第八章 向量与解析几何向量代数定义定义与运算的几何表达 在直角坐标系下的表示向量 有大小、有方向. 记作a 或AB u u u ra (,,)xyzxyza i a j a k a a a =++=,,x x y y z za prj a a prj a a prj a ===r r r 模 向量a 的模记作aa 222x y za a a =++ 和差c a b =+ c a b =-=+c a b {},,=±±±x x y y z z a b a b a b单位向量a ≠,则a a e a=a e 222(,,)=++x y z x y za a a a a a方向余弦设a 与,,x y z 轴的夹角分别为αβγ,,,则方向余弦分别为cos αβγ,cos ,cos cos y x za a aa a a αβγ===r r r ,cos ,coscos a e αβγ=(,cos ,cos )222cos 1αβγ+=+cos cos点乘(数量θcos b a b a =⋅, θ为向量a 与b 的夹角zz y y x x b a b a b a ++=⋅b a平面薄片的质量质量=面密度⨯面积21()()(cos ,sin )(cos ,sin )Df d d d f d βϕθαϕθρθρθρρθθρθρθρρ=⎰⎰⎰⎰02θπ≤≤ 0θπ≤≤ 2πθπ≤≤(3)利用积分区域的对称性与被积函数的奇偶性当D 关于y 轴对称时,(关于x 轴对称时,有类似结论) 110(,)(,)(,)2(,)(,)(,)(,)D f x y x f x y f x y I f x y dxdyf x y x f x y f x y D D ⎧⎪⎪-=-⎪⎪=⎨⎪⎪-=⎪⎪⎩⎰⎰对于是奇函数,即对于是偶函数,即是的右半部分P141—例2应用该性质更方便计算步骤及注意事项1. 画出积分区域2. 选择坐标系 标准:域边界应尽量多为坐标轴,被积函数关于坐标变量易分离3. 确定积分次序 原则:积分区域分块少,累次积分好算为妙4. 确定积分限 方法:图示法先积一条线,后扫积分域5. 计算要简便 注意:充分利用第十一章曲线积分与曲面积分所有类型的积分:○1定义:四步法——分割、代替、求和、取极限;○2性质:对积分的范围具有可加性,具有线性性;○3对坐标的积分,积分区域对称与被积函数的奇偶性。
第八章 总结
c a b =+ c a b =-
0a ≠,则a a
e a
=x z a
a
a
=
=
,,
0(z F x 或
第十章 总结
2()(cos ,sin )(cos ,sin )D
f d d d f d β
ϕθρθρθρρθ
θρθρθρρ
=⎰⎰⎰⎰
02θπ≤≤ 0θπ≤≤ 2πθπ≤≤
(3)利用积分区域的对称性与被积函数的奇偶性
当D 关于y 轴对称时,(关于x 轴对称时,有类似结论)0(,)f x y x ⎧
对于是奇函数,
第十一章总结
所有类型的积分:
○1定义:四步法——分割、代替、求和、取极限;
○2性质:对积分的范围具有可加性,具有线性性;
○3对坐标的积分,积分区域对称与被积函数的奇偶性。
第十二章总结
无穷级数常
数
项
级
数
傅
立
叶
级
数
幂
级
数
一
般
项
级
数
正
项
级
数
用收敛定义,
n
n
s
∞
→
lim存在
常数项级数的基本性质
常数项级数的基本性质
○1若级数收敛,各项同乘同一常数仍收敛.
○2两个收敛级数的和差仍收敛.
注:一敛、一散之和必发散;两散和、差必发散.
○3去掉、加上或改变级数有限项,不改变其收敛性.
○4若级数收敛,则对这级数的项任意加括号后所成
的级数仍收敛,且其和不变。
推论:如果加括号后所成的级数发散,则原来级数
也发散.注:收敛级数去括号后未必收敛.
○5(必要条件)如果级数收敛,则0
lim
=
→
n
n
u
莱布尼茨判别法若1+
≥
n
n
u
u且0
lim=
∞
→
n
n
u,则∑∞
=
-
-
1
1
)1
(
n
n
n u收敛
n
u
∑和
n
v
∑都是正项级数,且
n
n
v
u≤.若
n
v
∑收敛,则
n
u
∑也收敛;若
n
u
∑发散,则
n
v
∑也发散.
比较判别法
比较判别法
的极限形式
n
u
∑和
n
v
∑都是正项级数,且l
v
u
n
n
n
=
∞
→
lim,则○1若
+∞
<
<l
0,
n
u
∑与
n
v
∑同敛或同散;○2若0
=
l,
n
v
∑收
敛,
n
u
∑也收敛;○3如果+∞
=
l,
n
v
∑发散,
n
u
∑也发散。
比值判别法
根值判别法
n
u
∑是正项级数,ρ
=
+
∞
→
n
n
n u
u
1
lim,ρ
=
∞
→
n
n
n
u
lim,则1
<
ρ时收
敛;1
>
ρ(ρ=+∞)时发散;1
=
ρ时可能收敛也可能发散.
收
敛
性
和
函
数
展
成
幂
级
数
n
n
n
x
a
∑∞
=0
,ρ
=
+
∞
→
n
n
n a
a
1
lim
,1,0;,0;0,.
R R R
ρρρ
ρ
=≠=+∞===+∞缺项级数用比值审敛法求收敛半径
)
(x
s的性质○1在收敛域I上连续;○2在收敛域)
,
(R
R
-内可导,且可逐项求导;○3和函数)
(x
s在收敛域I上可积分,且可逐项积分.(R不变,收敛域可能变化).
直接展开:泰勒级数间接展开:六个常用展开式
1
1
(11)
1
n
n
x x
x
∞
=
=-<<
-
∑
1
1
()
!
x n
n
e x x
n
∞
=
=-∞<<+∞
∑
2
2
T
T l
π
=
=
∑∞
=
+
+
=
1
0)
sin
cos
(
2
)
(
n
n
n
nx
b
nx
a
a
x
f⎰-
=π
π
π
dx
x
f
a)
(
1
⎰-
=π
π
π
nxdx
x
f
a
n
cos
)
(
1
⎰-
=π
π
π
nxdx
x
f
b
n
sin
)
(
1收敛定理
x是连续点,收敛于)
(x
f;x是间断点,收敛于)]
(
)
(
[
2
1
+
-+x
f
x
f
周期
延拓
)
(x
f为奇函数,正弦级数,奇延拓;)
(x
f为偶函数,余弦级数、偶延拓.
交错
级数。