1_4条件概率共26页
- 格式:ppt
- 大小:3.51 MB
- 文档页数:26
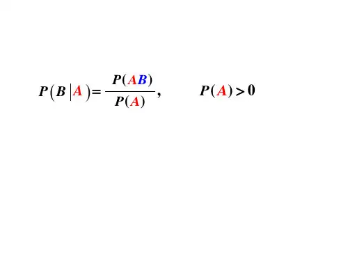
第四节条件概率一、条件概率二、乘法定理三、全概率公式与贝叶斯公式四、小结将一枚硬币抛掷两次,观察其出现正反两面的情况,设事件A 为“至少有一次为正面”,事件B 为“两次掷出同一面”. 现在来求已知事件A 已经发生的条件下事件B 发生的概率.解:分析样本空间}. , , , {TT TH HT HH S=()P B =事件A 已经发生的条件下事件B 发生的概率,记为),(A B P 31)(=A B P 则).(B P ≠4341=()P AB =. , 为反面为正面设T H 引例1一、条件概率},,{},,,{TT HH B TH HT HH A ==21.42=()P A)()()(B P AB P B A P =同理可得为事件B 发生的条件下事件A 发生的条件概率.条件事件不能是不可能事件条件事件不能是不可能事件,,概率总大于0..)()()(,0)(,,条件概率发生的发生的条件下事件为在事件称且是两个事件设B A A P AB P A B P A P B A =>定义定义::条件概率Conditional Probability例1.家有枣树(Luxun's Jujube Tree)鲁迅在散文里说道鲁迅在散文里说道::自家院子里有两棵树,一棵是枣树,另一棵也是枣树;如果我们还不知道另一棵是什么树,求另一棵也是枣树的概率.不妨设另一棵可能是榆树不妨设另一棵可能是榆树((或槐树或槐树,,等等等等),),),则事件则事件“院子里有两棵树院子里有两棵树””为样本空间为样本空间,,其元素构成为()P A B =S ={(={(枣枣,枣),(),(枣枣,榆),(),(榆榆,榆)}事件B :已知一棵是枣树已知一棵是枣树,,(即有一棵是枣树即有一棵是枣树););事件A :另一棵也是枣树另一棵也是枣树..则二者的交事件为则二者的交事件为::两棵都是枣树两棵都是枣树。
由条件概率计算公式由条件概率计算公式::()()P AB P B =1/32/312=例2.发牌(Play Poke)在52张四种花色的扑克(不要小鬼大鬼)里任取一张里任取一张,,已知摸到梅花已知摸到梅花,,求摸到的是梅花九的概率.不妨设样本空间S :={(从52张扑克里任取1张)}解()()()P AB P A B P B =事件B :摸到梅花;事件A :摸到梅花9;则二者的交事件为A :摸到梅花9。