积分大全
- 格式:doc
- 大小:1.02 MB
- 文档页数:12
高等数学积分公式大全在高等数学的学习中,积分是一个非常重要的概念和工具。
积分公式如同数学世界中的宝库,为我们解决各种问题提供了有力的武器。
下面就为大家详细介绍一下高等数学中常见的积分公式。
一、基本积分公式1、常数积分公式∫k dx = kx + C (k 为常数)这意味着对一个常数进行积分,结果是这个常数乘以自变量 x 再加上一个常数 C。
2、幂函数积分公式∫x^n dx =(1/(n + 1))x^(n + 1) + C (n ≠ -1)当 n 为正整数时,这个公式很好理解。
比如∫x² dx =(1/3)x³+ C 。
3、指数函数积分公式∫e^x dx = e^x + C指数函数 e^x 的积分还是它本身。
4、对数函数积分公式∫(1/x) dx = ln|x| + C这是对数函数积分的基本形式。
二、三角函数积分公式1、正弦函数积分公式∫sin x dx = cos x + C2、余弦函数积分公式∫cos x dx = sin x + C3、正切函数积分公式∫tan x dx = ln|cos x| + C4、余切函数积分公式∫cot x dx = ln|sin x| + C三、反三角函数积分公式1、反正弦函数积分公式∫arcsin x dx = x arcsin x +√(1 x²) + C2、反余弦函数积分公式∫arccos x dx =x arccos x √(1 x²) + C3、反正切函数积分公式∫arctan x dx = x arctan x (1/2)ln(1 + x²) + C四、有理函数积分有理函数是指两个多项式的商。
对于形如 P(x)/Q(x) 的有理函数积分,通常需要先将其分解为部分分式,然后再利用上述基本积分公式进行积分。
五、定积分的基本性质1、线性性质∫kf(x) + lg(x) dx =k∫f(x) dx +l∫g(x) dx (k,l 为常数)2、区间可加性∫a,b f(x) dx =∫a,c f(x) dx +∫c,b f(x) dx (a < c < b)六、换元积分法换元积分法是积分计算中的一种重要方法。
积分公式大全范文积分是微积分的重要概念之一,它在数学、物理学、工程学以及其他领域中都有广泛的应用。
在本文中,将介绍一些常见的积分公式,以帮助读者更好地理解和应用积分。
一、基本积分公式1. ∫x^n dx = (x^(n+1))/(n+1) + C,其中C为常数,n为实数,n≠-1这是最基本的积分公式之一,也被称为幂函数积分公式。
基于这个公式,可以计算出许多简单函数的积分。
2. ∫1/x dx = ln,x, + C。
这是最基本的倒数函数积分公式,其中ln表示自然对数。
3. ∫e^x dx = e^x + C。
这是指数函数积分公式,其中e为自然对数的底数。
4. ∫sin(x) dx = -cos(x) + C,∫cos(x) dx = sin(x) + C。
这是三角函数积分公式之一,其中sin和cos分别表示正弦和余弦函数。
5. ∫sec^2(x) dx = tan(x) + C,∫csc^2(x) dx = -cot(x) + C。
这是三角函数的导函数与反函数之间的关系推导出的三角函数积分公式之一二、换元积分公式1. ∫f(g(x))g'(x) dx = ∫f(u) du,其中u=g(x)。
这是换元积分法的基本公式,通过将函数中的u替换为g(x),然后对g(x)进行微分,可以将原函数转化为一个更容易积分的形式。
2. ∫f(g(x))g'(x) dx = ∫f(t) dt,其中t=g(x),再通过t的积分求解,最后再将t换回x得到答案。
三、分部积分公式1. ∫u dv = uv - ∫v du。
这是分部积分法的基本公式,通过选择合适的u和dv,可以将原函数转化为一个更容易积分或微分的形式。
2. ∫f(x)g'(x) dx = f(x)g(x) - ∫f'(x)g(x) d x。
这是分部积分法的一个具体应用。
通过选择f(x)和g'(x),将原函数转化为一个更容易求解的形式。
高数积分公式大全高等数学中的积分公式是解决多种数学问题的重要工具。
积分是微积分的核心概念之一,是对函数进行求和的过程。
下面将介绍一些常见的积分公式。
一、基本积分公式1. 幂函数积分:$\intx^ndx=\frac{1}{n+1}x^{n+1}+C$,其中$n$为常数,$C$为常数项。
2. 正弦函数积分:$\int \sin x dx=-\cos x+C$。
3. 余弦函数积分:$\int \cos x dx=\sin x+C$。
4. 指数函数积分:$\int e^x dx=e^x+C$。
5. 对数函数积分:$\int \frac{1}{x}dx=\ln |x|+C$。
6. 反正切函数积分:$\int\frac{1}{1+x^2}dx=\arctan x+C$。
7. 反正弦函数积分:$\int \frac{1}{\sqrt{1-x^2}}dx=\arcsin x+C$。
8. 反余弦函数积分:$\int \frac{1}{\sqrt{1-x^2}}dx=\arccos x+C$。
二、常用积分公式1. 分部积分法:$\int u dv=uv-\int v du$,其中$u$和$v$是可导函数。
2. 三角函数积分:- $\int \sin^2 x dx=\frac{1}{2}(x-\sin x \cos x)+C$。
- $\int \cos^2 x dx=\frac{1}{2}(x+\sin x \cos x)+C$。
- $\int \sin^3 x dx=-\frac{1}{3}\cos^3 x+C$。
- $\int \cos^3 x dx=\frac{1}{3}\sin^3 x+C$。
3. 积化和差公式:$\int \sin(a+b)x dx=-\frac{\cos(a+b)x}{a+b}+C$。
$\int \cos(a+b)x dx=\frac{\sin(a+b)x}{a+b}+C$。
4. 积化导法:$\intf(ax+b)dx=\frac{1}{a}F(ax+b)+C$,其中$F$为$f$的一个原函数。
二十四个基本积分公式积分是微积分的基本概念之一,它是对函数曲线下其中一区间的面积进行求解的操作。
在求解积分时,我们可以利用一些基本的积分公式来简化计算。
下面将介绍二十四个常用的基本积分公式。
1. $\int x^ndx = \frac{1}{n+1}x^{n+1} + C$ (其中$n\neq -1$)这是幂函数的积分公式,对幂函数进行求积分时,指数加一后再乘以系数并且指数要除以新系数。
2. $\int \frac{1}{x}dx = \ln,x, + C$这是倒数函数的积分公式,对倒数函数求积分时,结果是该函数的自然对数的绝对值。
3. $\int e^xdx = e^x + C$这是指数函数的积分公式,对指数函数求积分时,结果是该函数本身。
4. $\int a^xdx = \frac{a^x}{\ln a} + C$ (其中$a>0, a\neq 1$)这是以底数为常数的指数函数的积分公式,对这种函数进行求积分时,结果是该函数除以对数的底数再加上常数。
5. $\int \sin xdx = -\cos x + C$这是正弦函数的积分公式,对正弦函数求积分时,结果是该函数的负余弦。
6. $\int \cos xdx = \sin x + C$弦。
7. $\int \tan xdx = -\ln,\cos x, + C$这是正切函数的积分公式,对正切函数求积分时,结果是该函数的负对数的余弦的绝对值。
8. $\int \sec xdx = \ln,\sec x + \tan x, + C$这是正割函数的积分公式,对正割函数求积分时,结果是该函数的对数的正割加正切的绝对值。
9. $\int \cot xdx = \ln,\sin x, + C$这是余切函数的积分公式,对余切函数求积分时,结果是该函数的对数的正弦的绝对值。
10. $\int \csc xdx = \ln,\csc x - \cot x, + C$这是余割函数的积分公式,对余割函数求积分时,结果是该函数的对数的余割减余切的绝对值。
不定积分公式大全24个不定积分公式大全24个具体如下:1、∫x^ndx=x^(n+1)/(n+1) +C, 其中n≠-1.2、∫1/xdx=ln|x|+C, 即当n=-1时的幂函数类型.3、∫x/(a+bx)dx=(bx-aln|a+bx|)/b^2+C.4、∫x/(a+bx)^2dx=(a/(a+bx)+ln|a+bx|)/b^2+C.5、∫x^2/(a+bx)dx=(-bx(2a-bx)/2+a^2ln|a+bx|)/b^3+C.6、∫x^2/(a+bx)^2dx=(bx-a^2/(a+bx)-2aln|a+bx|)/b^3+C.7、∫x^2/(a+bx)^3dx=(2a/(a+bx)-a^2/(2(a+bx)^2)+ln|a+bx|)/b^3 +C.8、∫1/(x(a+bx))dx=ln|x/(a+bx)| /a+C.含有二次二项式的平方和差类型有如下的基本公式:(其中结果出现反三角函数的也可以归为反三角函数类型)9、∫1/(a^2+x^2)dx=arctan(x/a) /a+C. 特别地,当a=1时,∫1/(1+x^2)dx=arctanx+C.10、∫1/(x^2-a^2)dx= -∫1/(a^2-x^2)dx= ln|(x-a)/(x+a)|/(2a)+C.11、∫1/根号(a^2-x^2)dx= arcsin (x/a)+C. 特别地,当a=1时,∫1/根号(1-x^2)dx= arcsinx +C.12、∫1/(x根号(x^2-a^2))dx= arccos (a/x) /a+C. 特别地,当a=1时,∫1/(x根号(x^2-1))dx= arccos(1/x)+C.三角函数类型不定积分公式有很多,以下列举出最常见的,它们都是成对出现的:13、∫sinxdx=-cosx+C;∫cosxdx=sinx+C.14、∫(sinx)^2dx=(x-sinxcosx)/2+C;∫(cosx)^2dx=(x+sinxcosx)/2+C.15、∫xsinxdx=sinx-xcosx+C;∫xcosxdx=cosx+xsinx+C.16、∫tanxdx=-ln|cosx|+C;∫cotxdx=ln|sinx|+C.17、∫(tanx)^2dx=-x+tanx+C;∫(cotx)^2dx=-x-cotx+C.18、∫secxdx=ln|secx+tanx|+C; ∫cscxdx=ln|cscx-cotx|+C.19、∫(secx)^2dx=tanx+C;∫(cscx)^2dx=-cotx+C.同样也有反三角函数类型的不定积分公式:20、∫arcsinxdx=xarcsinx+根号(1-x^2)+C;∫arccosxdx=xarccosx-根号(1-x^2)+C21、∫arctanxdx=xarctanx-ln(1+x^2) /2+C;∫arccotxdx=xarccotx+ln(1+x^2) /2+C.22、∫arcsecxdx=xarcsecx-ln|x+根号(x^2-1)|+C;∫arccscxdx=xarccscx+ln|x+根号(x^2-1)|+C.最后是指数函数和对数函数形式的不定积分公式:23、∫a^xdx=a^x /lna+C, 特别地,当a=e时,∫exdx=ex+C.24、∫lnxdx=x(lnx-1) +C.。
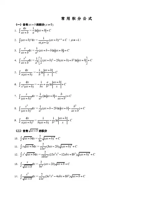
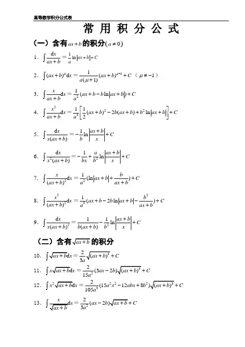
常用积分公式∫-一X = -A 3 卩(ax +b)2-2b(ax +b) +b 2l n ∣ax + b ∣∣+Cax b a 2(二)含有.ax b 的积分10. 『Jax+bdx = 2 J(aχ +b)3 +C L3a11.x 、.ax bdx = 飞(3ax-2b)∖(ax b)3C15a12. χ2 . ax bdx = 2^(15a 2χ2 - 12abx 8b 2) . (ax b)3C105a13.J —X dχ = -2y(ax -2b)'∕0x +b +C ^aX b 3a5.(一)含有ax 1.■ b 的积分(a = O)1ln aax + b + C 2. (ax b) 'dx =a (「)(ax S'1 C 「*)3.Xax b adx = p(ax + b - bln ax +b) + C 4. 6.dx x 2 (ax b)—b 2lnax b7.X 2dx (ax b)1=—2(ln ax + b + a9.(ax b)^dx=A (ax+b-2bln ax +b a-I ^)C ax b1 x(ax b)2b(ax b) b 2"dx ax b2(三)含有x2-a 2的积分.dx1 X19. -2 --- 2 = — arcta n 一 C ^x 2+a 2 a aF dxX2n — 3 FdX20 =—22、n2,22、n42.,2 2、n_J(X a )2(n - 1)a (X a )2(n - 1)a (X a )X 1 223. 1 —2 -- dx =——ln ax +b +C'ax +b 2ar dx J^a r et a √ab晶+c(bA0)IaX^HbJ ——ln2√-ab÷C (be O)+V-b2(四)含有ax ■ b(a 0)的积分22.14.dx,ax b百(3a2χ-4abx 8b2Z χ b C15.dx X M ax b2、、-bax b :-b(b 0) (b :16.dx x 2 ax bax b a dX bx 2b x. ax b17.dxT dX = 2E b x” ax -b 18..ax bdx.ax b a X 2 x λ ax b21.dx =X -a1 2aIn ra .ax b - . b .aXbb234.24. X 2 dXax b dx 2 ^ ax b25. dx x(ax 2b)丄In2b2Xax 2 b 26. ILdxx 2(ax 2b)1bx27.dx 3x 3(ax 2b) 2b 2"28. 29.30. (A) 31. 32. 33. dx b ax 2b ax 2 bx 2rdx2 2 2 I(ax b) 2b( ax b) 2b ax 2 bdx^2-含有ax 2bx c (a 0)的积分I L dxax 2 bx C-arctan —2J C4ac - b 2 ______ In、b 2- 4ac戶 dx =— ax bx C 2a ∙. 4ac _ b 22ax b - ∖,b 2 -4ac 2ax b . b 2 - 4acdx 2 _2(b ::4ac)C (b 2 4ac)In aχ2 + bx + c . 2 2a ' ax “ + bx + c 含有'.X 2 a 2 (a ■ 0)的积分 dx ■- x 2a 2 dx .(x 2 a 2)3arsh — C 1= In(x . x 2 a 2) C a a ⅛⅛ C^x^a2 dx =x 2 a 2C1dx = - ---- == C.(x 2 a 2)3■ x 2 a 235.36.37.38.39.40.41 .42.43.44.45.46.47.,x2aX r 2 2 a 2 2=dx = . x a ln(x .. X a ) C2 2 22 2、3dX = ----- 2——f ln X ' X^)C(X2 a2)X- adxx i x2 a2 a1 . x2 a2-a=—In C2dxx2', x2a2「rdx = ?|n(x .r> Cj√(x2 a2)3dx = -(2x2■ 5a2). x2 a2■ -3 a4 ln(x8 C[χjχ2 +a2dx =—L32 2、3x2 x2 a2dx = x s 2-2(2 x a)∖ x2 a2ln(X x2^X^dX =J K+aln 迂a—a +C2 22 a2) Ca2) C —-dx —三x2a2In(x ' x2a2) C含有.χ2 -a2 (a 0)的积分dX2 2X -adX=—arch X +C1=In X+ 寸x2_a2+C√X2-a2)32 2dX=χ2_a2CXPdX = - . 212+C-a ). x - a2IX r~2T a Idx = — ■ X -a In2XIX x 2 - a 21=—arccos —aXdx2 22 2.X -a . dx = X含有∙.a 2 -x 2(a 0)的积分X=arcsιn C a2 248.49.50.51 .52.53.54.55.56.57.58.(A)59.60.__________ _______________________ 2 .,口dx =号lnC2 X(X 2 _a 2)3dx = ∙x X (2χ2「5a 2)、χ2 _a 8 I L χjχ2 -a 2dx = I J (X 2 _a 2)3 + C L 3 + 3a 4∣n X 8+ 4—a 2 +Cx 2、F d X = j 2χ2 -血F4 __________-——ln x +P x -a +C 8-2 2 X -a I 2 dx = X'2 2X -a + In x + • χ2 -a 2『 dx.(a 2-X 2)3-+c2 2 2 a a -XX * 2j∣l 2 2XrX -a2.(x^a 2)3dx =Vx 2 -a 2 -aarccos∙aΛ dx—a 2=χ2dx XJ / 2X2 dx = -d a2—x 2 +C-X2X 2 2 a ∙ x—.a -X arcsIn C2 2aIX. X Xdx 1 I -------- =—lna 2 -x 2 a■; 2 2^y a -X +CX ∕aC a Xdx == - arcs InC,(a 2-X 2)3z 2-x 2a61.62. 63.64.65.66.67.68. 69. 70. 71 .72. (九) 73.dx x 2 . a 2 -x 2 __________ ______________________ 2 ∣"J a 2 -x 2dx = X J a 2 _x 2+ — arcsin — +C 2 2 a ! ;(a 2 _x 2)3dx = ;(5a 2 _2x 2) . a 2 _x2 J x √a^7dx =一 3 JU-a 4 arcsin X C8 a__________ ______________________________________ 4 χ2 -a 2-χ2dx = △(2χ2-a 2)、a 2-χ2 - arcsin' C 8 8 a '22 —a —dx =、a 2「x 2 a ln X J2 2a _ ‘aX C _2 2 -2 2' a —x 」 a -xXC 2 dx = arcs In C X X a 含有' -ax 2 bx c (a 0)的积分dx =丄 ∙. ax 2bx c I aIn 2ax+b+2寸a Jax 2 + bx + c +C I . _______ dx = .(a 2 -x 2)31+C.a 2-x 22f , X dx = J Il 2 2.a -XX474. 22ax b - 2ax bx CdX = --------- ax bx C4a4ac- b 1」8苛l2ιx b 2a ax bx C C 75. .ax 2bx Cdx=丄 J aχ2+ bx +c a22 x b 2 a76. dxIC bx -aχ21 2ax - b 〒arcsin :2 +C a ,b 4ac77. C bx -ax 2dx2ax一b2 bx-aχ2 4ab 2 4ac . 2ax-barcs InC8 a b 2 4ac78. -dx-C bx - axIJ C +bx -aχ2a+ Aarcsin 卓』+C 2 ∖ a 3 ■- b 24ac或、.(x 「a )(b 「x )的积分81. 82.79. 80. 含有*兰(X 一 b)J^b W a)In(J(b - a)arcs in »I-_ +C b-x (x-b)x - a b-xX 「a+』x _b )+c∙,(x -a)(b -x)2arcsin+C (a c b)'∙. (x -a)(b _ x)d2x 「a -b X = ---------■ (x -a)(b-x) + 守arcsin 后+ C(a :: b)(十一)含有三角函数的积分83. Si nxdx = - CoSX CCoSXdX = Sin x CI L tan XdX = —In cosx∣ +C∫cot XdX = ln Sinx +CJT X[secxdx = ln tan(上+—)+C = ln secx +tanx +C 4 2Xfcscxdx = ln tan—+c = ln cscx—cotx +CL22SeC XdX = tan x CCSC XdX = - cot X CSeCX tan XdX = SeCX CCSC X cot XdX = -CSCX CX 1 sin2x C2 42 X 1cos XdX = Sin 2x C2 4I- m ・ n I cosXSin XdX m -1・n十cos XSin X I- m-2 ・ n I cos XSin XdX84.85.86.87.88.89.90.91.92.93.94.95.96.97.98.99. 100.cos n XdX1 n 4 . n-∙1cos XSin xCOS n^XdXn ndx —1cos x n-2dxnSin X n -1n 4Sin X n -1!・ n _2Sin Xdx1Sin X n-2dxncos X n -1+nJ An-2 cos XSin n XdX =-丄Sinn 4xcosx ■ n―-n nm ・ n-2 Icos XSin XdX sin1 2 XdX =Sin n d XdXSin ax COSbXdX =-12(a b)cos(a b)x -12(a -b)cos(a -b)xX ata n b 22arctan C a 「b . a -b上叫I :二;X a b tan 2lb-a1 1 XSin axdx = —2 Sin ax X cosax Ca a「2. .42 +2 +2 +QX Sin axdx = X cosax 2 xsInaX 亍 cosax Ca a a1 1XCOSaXdX = 2cosax XSin ax Ca ax 2 COSaXdX = 1x 2s in ax Wxcosax--^s in ax Ca a a(十二)含有反三角函数的积分(其中 a 0) X X f 22113.arcs in dx = XarCS in a - x Ca a4barctan(- tan x) C ab aSin ax S inbxdx =cosax COSbXdX =12( a b) 1 2(a b)sin(a b)xsin(a b)x12(a -b) 12(a -b) Sin(a -b)x Sin(a 「b)X C 101. 102.103.104.105.106.107.10 8. 109. 110. 111. 112. f_______ dx _______ a 2 cos 2X b 2sin 2 X abfdx .^^2 2 Γ^2 ~- 2-a cos x -b Sin X丄ln 2ab bta n x abtan x -a dx(a 2 b 2)a bsin X(a 2 ::(a 2 b 2)dx lna ba bcosx2 2, .X X a 、 . XX 口 -------- 2 C 114.XarCSIn dx = ( )arcsιn a -X Ca 2 4 a 4 3 d__________X ∙ X 1 2 2 ~2 2=—arcsIn (X 2a )、a -X C3 a 9x 2arccos 二dx = arccos x -l(x 2 2a 2) , a 2 - x 2Ca 3a 9119.arctan xdx = Xarctan°-aln( a 2 x 2) C a a 2X 1 2 2 X a120.XarCtan dx = (a X )arctan X Ca 2 a 2 332X X Xa 2 a22121.X arctan —dx = arctan Xln(a X)Ca 3 a 66(十三)含有指数函数的积分115.X 2 arcsin X dX a 116.arccos jX dX = aXarCCOS — -?.a ^ X 2 Ca 117.2 X* ZXXarCCos-dx =(—a 22 _______________________________J arccos HLC118.122 .123 .124 . 125 .126 . 127 .1a x dx = ----- a x Cln aax 1 axe dx = e CaXe aX dX = -12 (ax -1)e ax Can ax 1 n ax n n 4 ax .XedX = X e XedXa a LXa X dX = a x 12 a x Cln a (ln a)X n a X dX= 1nX aln ae ax Sin bxdx =e ax cos bxdx =n n 4 X IXadX ln a1a2 b2e ax(asinbx -bcosbx) C1a2 b2e ax(bs inbx a COSbX) C139. thxdx = In ChX C 140.sh 2xdx = -X-sh2x C2 4 r 2 X I 1 丄141.Ch XdX = sh2x C4(十六)定积分ππ 142.cos nxdx = Sin nxdx = 0-π -π.π143.COSmXS in nxdx = 0-πI - ax・ n . I130. e Sin bxdx22 2 eaxsin n 'bx(asin bx - nbcosbx)a bn仲Iefn^bxdxa bnI BaX n . I131. e CoS bxdx1axa 2b 2n 2en _1cos bx(a cosbx nbsinbx)n(n -1)b 2 +-2 I2 2 a bne ax cos n 工 bxdx (十四)含有对数函数的积分132. In XdX = XIn x -x C 133. dx xln X=Inln X +C134. X n In XdX =(In 135. (In x)ndx = x(ln x)n1X) - C n +1n Λdx _ n (In X) m 1 nX (In X ) m 1(十五)含有双曲函数的积分136.x m(ln x)ndx =nx m (ln x)nj dx137. ShXdX = ChX C 138.ChXdX = ShX C二0, m n 144. COSmXCOS nxdx =I , m = nln.X - ax 2., x 2_ a 21m ^⅛ .n4 丄n —1cos XSi n Xm nm n- 0, m = n145. Sinm XSi nnxdx = 入 ■:≈, m = n146. 卩,π πSin mxsin nxdx = COSmXCOSnxdx =' LOI —, m = n2147. I n ππO2Sin n XdX = ∫02 CoS n XdX I nn -1 I n 1n_2I nn - 3 ... n -2 n -3(n 为大于1 的正奇数),I i = 1n -2Jl4 2 2(n 为正偶数)。
常 用 积 分 公 式(一)含有ax b +的积分(0a ≠) 1.d x ax b+⎰=1ln ax b C a++2.()d ax b x μ+⎰=11()(1)ax b C a μμ++++(1μ≠-)3.d x x ax b+⎰=21(ln )ax b b ax b C a+-++4.2d xx ax b+⎰=22311()2()ln 2ax b b ax b b ax b C a ⎡⎤+-++++⎢⎥⎣⎦ 5.d ()xx ax b +⎰=1ln ax b C b x +-+6.2d ()xx ax b +⎰=21lna axb C bx bx+-++7.2d ()x x ax b +⎰=21(ln )b ax b C aax b++++8.22d ()xx ax b +⎰=231(2ln )bax b b ax b C aax b+-+-++9.2d ()x x ax b +⎰=211ln()ax b C b ax b bx+-++的积分10.x ⎰=C11.x ⎰=22(3215ax b C a-+12.x x ⎰=22232(15128105a x abx b C a-+13.x⎰=22(23ax b C a-+14.2x⎰=22232(34815a x abx b C a-+15.⎰(0)(0)C b C b ⎧+>⎪<⎪⎩16.d x ⎰=2a bxb --⎰17.x x ⎰=b ⎰18.2d x x⎰=2ax-+⎰(三)含有22x a ±的积分 19.22d x x a+⎰=1arctanx C aa+20.22d ()nx x a +⎰=2221222123d 2(1)()2(1)()n n xn xn a x a n axa ---+-+-+⎰21.22d x x a-⎰=1ln 2x a C ax a-++(四)含有2(0)ax b a +>的积分22.2d x ax b+⎰=(0)(0)Cb Cb ⎧+>⎪⎪⎨+<23.2d x x ax b+⎰=21ln 2ax b C a ++ 24.22d xx ax b+⎰=2d x bxaa axb-+⎰25.2d ()xx ax b +⎰=221ln2xC bax b++26.22d ()xx ax b +⎰=21d axbxb axb--+⎰27.32d ()x x ax b +⎰=22221ln22ax b a C bxbx+-+28.22d ()x ax b +⎰=221d 2()2x xb ax b b axb+++⎰(五)含有2ax bx c ++(0)a >的积分29.2d x ax bx c ++⎰=22(4)(4)C b ac Cb ac +<⎨+>30.2d x x ax bx c++⎰=221d ln 22b xax bx c aaaxbx c++-++⎰(0)a >的积分 31.⎰=1arshx C a+=ln(x C ++32.⎰C +33.x ⎰C34.x ⎰=C -+35.2x ⎰2ln(2ax C ++36.2x ⎰=ln(x C -+++37.⎰1lnaC ax +38.⎰=2C a x-+39.x ⎰=2ln(2ax C +++40.x ⎰=2243(25ln(88x x a a x C ++++41.x ⎰=C +42.xx ⎰=422(2ln(88x ax a x C +++43.x x ⎰lna C +44.2d x x⎰=ln(x C x-+++(0)a >的积分45.⎰1archx x C xa+=ln x C ++46.⎰C -+47.x ⎰C48.x ⎰=C -+49.2x ⎰2ln 2ax C +++50.2x ⎰=ln x C -+++51.⎰=1arccosa C ax+52.⎰=2C a x+53.x ⎰2ln 2ax C +54.x ⎰=2243(25ln 88x x a a x C -++55.x ⎰=C +56.xx ⎰=422(2ln 88x ax a x C --++57.x x ⎰arccosa a C x+58.x x⎰=ln x C x-+++(0)a >的积分59.⎰=arcsinx C a +60.⎰C +61.x ⎰=C +62.x ⎰C +63.2x ⎰=2arcsin2ax C a-+64.2x ⎰arcsinx C a-+65.⎰=1lna C ax-+66.⎰=2C a x-+67.x ⎰2arcsin2ax C a+68.x ⎰=2243(52arcsin88x x a x a C a-++69.x ⎰=C -70.xx ⎰=422(2arcsin88x ax x a C a-+71.x x ⎰lna C +72.x x⎰=arcsin x C xa--+(0)a >的积分73.⎰12ax b C +++74.x ⎰2n 2a x b c C++++75.x ⎰=n 2a x b c C-+++ 76.⎰=C -+77.x ⎰2C ++78.x ⎰=C -+79.x ⎰=(()x b b a C -+-+80.x ⎰=(()arcsinx b b a C --81.⎰2arcsinC +()a b <82.x ⎰=2()arcsin4b a C -()a b < (十一)含有三角函数的积分 83.sin d x x ⎰=cos x C -+ 84.cos d x x ⎰=sin x C + 85.tan d x x ⎰=ln cos x C -+ 86.cot d x x ⎰=ln sin x C + 87.sec d x x ⎰=ln tan()42x C π++=ln sec tan x x C ++88.csc d x x ⎰=ln tan2x C +=ln csc cot x x C -+89.2sec d x x ⎰=tan x C + 90.2csc d x x ⎰=cot x C -+91.sec tan d x x x ⎰=sec x C + 92.csc cot d x x x ⎰=csc x C -+ 93.2sin d x x ⎰=1sin 224x x C -+ 94.2cos d x x ⎰=1sin 224x x C ++95.sin d n x x ⎰=1211sin cos sind n n n x x x x nn ----+⎰96.cos d nx x ⎰=1211cos sin cosd n n n x x x x nn---+⎰97.d sin nx x ⎰=121cos 2d 1sin 1sinn n xn xn xn x ----⋅+--⎰ 98.d cos n x x⎰=121sin 2d 1cos1cosn n xn xn xn x---⋅+--⎰99.cos sin d m nx x x ⎰=11211cos sincossin d m n m nm x x x x x m nm n-+--+++⎰=11211cossin cos sind m n mn n x x x x x m nm n+----+++⎰100.sin cos d ax bx x ⎰=11cos()cos()2()2()a b x a b x C a b a b -+--++-101.sin sin d ax bx x ⎰=11sin()sin()2()2()a b x a b x C a b a b -++-++-102.cos cos d ax bx x ⎰=11sin()sin()2()2()a b x a b x C a b a b ++-++-103.d sin x a b x+⎰=tanx a bC++22()a b >104.d sin x a b x+⎰=C+22()a b <105.d cos x a b x+⎰)2x C +22()a b >106.d cos x a b x+⎰C+22()a b <107.2222d cos sin xa xb x+⎰=1arctan(tan )b x C aba+108.2222d cos sin xa xb x-⎰=1tan ln2tan b x a C ab b x a++-109.sin d x ax x ⎰=211sin cos ax x ax C aa-+110.2sin d x ax x ⎰=223122cos sin cos x ax x ax ax C aaa-+++111.cos d x ax x ⎰=211cos sin ax x ax C aa++ 112.2cos d x ax x ⎰=223122sin cos sin x ax x ax ax C aaa+-+(十二)含有反三角函数的积分(其中0a >) 113.arcsin d xx a⎰=arcsinx x C a +114.arcsind x x x a⎰=22()arcsin24xax C a-+115.2arcsin d x x x a ⎰=3221arcsin(239xx x a C a+++116.arccos d xx a⎰=arccosx x C a-117.arccos d x x x a⎰=22()arccos24xax C a--+118.2arccos d x x x a⎰=3221arccos(239xx x a C a-+119.arctand x x a⎰=22arctan ln()2x a x a x C a-++120.arctand x x x a ⎰=221()arctan 22x a a x x C a+-+121.2arctand x x x a⎰=33222arctanln()366xx a ax a x C a-+++(十三)含有指数函数的积分 122.d xa x ⎰=1ln xa C a +123.e d axx ⎰=1e axC a +124.e d ax x x ⎰=21(1)e axax C a -+ 125.e d naxx x ⎰=11ee d naxn axn x xx aa--⎰126.d xxa x ⎰=21ln (ln )xxx a a C aa -+127.d nxx a x ⎰=11d ln ln nxn xnx a x a x aa--⎰128.e sin d axbx x ⎰=221e (sin cos )axa bxb bx C a b-++ 129.e cos d axbx x ⎰=221e (sin cos )axb bx a bx C a b+++ 130.e sin d axnbx x ⎰=12221esin(sin cos )ax n bx a bx nb bx a b n--+22222(1)es i n d a xn n n b b x x a b n--++⎰131.e cos d axnbx x ⎰=12221ecos (cos sin )axn bx a bx nb bx a b n-++22222(1)e c o s d a xn n n b b x x a b n--++⎰(十四)含有对数函数的积分 132.ln d x x ⎰=ln x x x C -+ 133.d ln x x x⎰=ln ln x C +134.ln d nx x x ⎰=111(ln )11n xx C n n +-+++135.(ln )d n x x ⎰=1(ln )(ln )d n n x x n x x --⎰136.(ln )d m n x x x ⎰=111(ln )(ln )d 11m nmn nxx x x x m m +--++⎰(十五)含有双曲函数的积分 137.sh d x x ⎰=ch x C + 138.ch d x x ⎰=sh x C + 139.th d x x ⎰=ln ch x C + 140.2sh d x x ⎰=1sh 224x x C -++141.2ch d x x ⎰=1sh 224x x C ++(十六)定积分142.cos d nx x π-π⎰=sin d nx x π-π⎰=0143.cos sin d mx nx x π-π⎰=0144.cos cos d mx nx x π-π⎰=0,,m n m n ≠⎧⎨π=⎩145.sin sin d mx nx x π-π⎰=0,,m n m n≠⎧⎨π=⎩146.0sin sin d mx nx x π⎰=0cos cos d mx nx x π⎰=0,,2m n m n ≠⎧⎪⎨π=⎪⎩ 147. n I =2sin d nx x π⎰=20cos d nx x π⎰ n I =21n n I n--1342253n n n I n n --=⋅⋅⋅⋅- (n 为大于1的正奇数),1I =113312422n n n I n n --π=⋅⋅⋅⋅⋅-(n 为正偶数),0I =2π。
不定积分公式大全24个图解
一、分段函数的积分
1、线性函数:
当函数为线性函数时,即形如f(x)=ax+b,其积分公式为:
∫f(x)dx=ax^2/2+bx+C(C为任意常数)
图解如下:
2、二次函数:
当函数为二次函数时,即形如f(x)=ax^2+bx+c,其积分公式为:
∫f(x)dx=ax^3/3+bx^2/2+cx+C(C为任意常数)
图解如下:
3、三次函数:
当函数为三次函数时,即形如f(x)=ax^3+bx^2+cx+d,其积分公式为:∫f(x)dx=ax^4/4+bx^3/3+cx^2/2+dx+C(C为任意常数)
图解如下:
4、四次函数:
当函数为四次函数时,即形如f(x)=ax^4+bx^3+cx^2+dx+e,其积分
公式为:
∫f(x)dx=ax^5/5+bx^4/4+cx^3/3+dx^2/2+ex+C(C为任意常数)
图解如下:
二、三角函数的积分
1、正弦函数:
当函数为正弦函数时,即形如f(x)=sin(x),其积分公式为:∫sin(x)dx=-cos(x)+C(C为任意常数)
图解如下:
2、余弦函数:
当函数为余弦函数时,即形如f(x)=cos(x),其积分公式为:∫cos(x)dx=sin(x)+C(C为任意常数)
图解如下:
3、正切函数:
当函数为正切函数时,即形如f(x)=tan(x),其积分公式为:∫tan(x)dx=ln,sec(x),+C(C为任意常数)
图解如下:
4、余切函数:
当函数为余切函数时,即形如f(x)=cot(x)。
常 用 积 分 公 式(一)含有ax b +的积分(0a ≠)1.d xax b +⎰=1ln ax b C a++ 2.()d ax b x μ+⎰=11()(1)ax b C a μμ++++(1μ≠-)3.d x x ax b +⎰=21(ln )ax b b ax b C a+-++ 4.2d x x ax b +⎰=22311()2()ln 2ax b b ax b b ax b C a ⎡⎤+-++++⎢⎥⎣⎦5.d ()xx ax b +⎰=1lnax b C b x +-+ 6.2d ()xx ax b +⎰=21ln a ax b C bx b x +-++ 7.2d ()x x ax b +⎰=21(ln )b ax b C a ax b++++8.22d ()x x ax b +⎰=231(2ln )b ax b b ax b C a ax b+-+-++ 9.2d ()xx ax b +⎰=211ln ()ax b C b ax b b x +-++的积分10.x C11.x ⎰=22(3215ax b C a -+12.x x ⎰=22232(15128105a x abx b C a-+13.x=22(23ax b C a -+14.2x=22232(34815a x abx b C a -++ 15.=(0)(0)C b Cb +><⎧⎪⎪⎩16.=2a bx b -- 17.x=b + 18.2d x x ⎰=2a + (三)含有22x a ±的积分19.22d x x a +⎰=1arctan x C a a + 20.22d xx a -⎰=1ln 2x a C a x a-++ 21.22d ()n x x a +⎰=2221222123d 2(1)()2(1)()n n x n xn a x a n a x a ---+-+-+⎰ (四)含有2(0)ax b a +>的积分22.2d x ax b +⎰=(0)(0)x C b C b ⎧+>⎪⎪⎨+<23.2d x x ax b +⎰=21ln 2ax b C a ++ 24.22d x x ax b +⎰=2d x b x a a ax b -+⎰ 25.2d ()x x ax b +⎰=221ln 2x C b ax b++ 26.22d ()x x ax b +⎰=21d a x bx b ax b --+⎰27.32d ()x x ax b +⎰=22221ln 22ax b a C b x bx +-+28.22d ()x ax b +⎰=221d 2()2x xb ax b b ax b+++⎰ (五)含有2ax bx c ++(0)a >的积分29.2d x ax bx c ++⎰=22(4)(4)C b ac Cb ac +<+>30.2d x x ax bx c ++⎰=221d ln 22b x ax bx c a a ax bx c++-++⎰(0)a >的积分31.=1arshxC a +=ln(x C ++ 32.C + 33.xC34.x=C +35.2x2ln(2a x C ++ 36.2x=ln(x C +++37.=1C a + 38.2C a x -+ 39.x2ln(2a x C ++ 40.x=2243(25ln(88x x a a x C ++++41.x ⎰C42.x x ⎰=422(2ln(88x a x a x C +++43.x a C ++44.x =ln(x C +++(0)a >的积分45.=1arch x xC x a +=ln x C +46.C + 47.x C +48.x =C +49.2x 2ln 2a x C ++50.2x =ln x C +++51.=1arccos a C a x + 52.C +53.x 2ln 2a x C +54.x =2243(25ln 88x x a a x C -+++55.x ⎰C56.xx ⎰=422(2ln 88x a x a x C -++57.x arccos aa C x+58.x =ln x C +++(0)a >的积分59.=arcsinx C a + 60.C +61.x =C 62.x C +63.2x =2arcsin 2a x C a + 64.2x arcsinxC a-+65.=1C a + 66.C +67.x 2arcsin 2a x C a+68.x =2243(52arcsin 88x xa x a C a -+69.x ⎰=C +70.x x ⎰=422(2arcsin 88x a x x a C a-++71.x ln a a C x-+72.x =arcsin xC a-+(0)a >的积分73.2ax b C +++74.x22ax b C +++75.x2ax b C -+++76.=C +77.x 2C78.x =C +或79.x =((x b b a C --+80.x =((x b b a C --81.C ()a b <82.x 2()4b a C -()a b < (十一)含有三角函数的积分83.sin d x x ⎰=cos x C -+ 84.cos d x x ⎰=sin x C + 85.tan d x x ⎰=ln cos x C -+ 86.cot d x x ⎰=ln sin x C +87.sec d x x ⎰=ln tan()42xC π++=ln sec tan x x C ++88.csc d x x ⎰=ln tan2xC +=ln csc cot x x C -+ 89.2sec d x x ⎰=tan x C + 90.2csc d x x ⎰=cot x C -+ 91.sec tan d x x x ⎰=sec x C + 92.csc cot d x x x ⎰=csc x C -+93.2sin d x x ⎰=1sin 224x x C -+ 94.2cos d x x ⎰=1sin 224x x C ++ 95.sin d n x x ⎰=1211sin cos sin d n n n x x x x n n ----+⎰96.cos d n x x ⎰=1211cos sin cos d n n n x x x x n n---+⎰ 97.d sin n x x ⎰=121cos 2d 1sin 1sin n n x n xn x n x----⋅+--⎰ 98.d cos n x x ⎰=121sin 2d 1cos 1cos n n x n xn x n x---⋅+--⎰ 99.cos sin d m n x x x ⎰=11211cos sin cos sin d m n m n m x x x x x m n m n-+--+++⎰ =11211cos sin cos sin d m n m n n x x x x x m n m n+----+++⎰ 100.sin cos d ax bx x ⎰=11cos()cos()2()2()a b x a b x C a b a b -+--++-101.sin sin d ax bx x ⎰=11sin()sin()2()2()a b x a b x C a b a b -++-++-102.cos cos d ax bx x ⎰=11sin()sin()2()2()a b x a b x C a b a b ++-++-103.d sin xa b x +⎰tanxa b C ++22()a b >104.d sin x a b x +⎰C+22()a b <105.d cos xa b x +⎰)2x C +22()a b >106.d cos x a b x +⎰C +22()a b <107.2222d cos sin x a x b x +⎰=1arctan(tan )bx C ab a +108.2222d cos sin xa xb x-⎰=1tan ln 2tan b x a C ab b x a ++- 109.sin d x ax x ⎰=211sin cos ax x ax C a a -+ 110.2sin d x ax x ⎰=223122cos sin cos x ax x ax ax C a a a -+++111.cos d x ax x ⎰=211cos sin ax x ax C a a ++112.2cos d x ax x ⎰=223122sin cos sin x ax x ax ax C a a a+-+(十二)含有反三角函数的积分(其中0a >)113.arcsin d x x a ⎰=arcsin xx C a++114.arcsin d xx x a ⎰=22()arcsin 24x a x C a -++ 115.2arcsin d xx x a⎰=3221arcsin (239x x x a C a ++116.arccos d x x a ⎰=arccos xx C a-+117.arccos d xx x a⎰=22()arccos 24x a x C a --118.2arccos d xx x a⎰=3221arccos (239x x x a C a -+119.arctan d x x a ⎰=22arctan ln()2x ax a x C a -++120.arctan d x x x a ⎰=221()arctan 22x aa x x C a +-+121.2arctan d xx x a⎰=33222arctan ln()366x x a a x a x C a -+++(十三)含有指数函数的积分122.d x a x ⎰=1ln x a C a + 123.e d ax x ⎰=1e ax C a + 124.e d ax x x ⎰=21(1)e ax ax C a -+ 125.e d n ax x x ⎰=11e e d n ax n ax nx x x a a--⎰126.d x xa x ⎰=21ln (ln )x x x a a C a a -+ 127.d n x x a x ⎰=11d ln ln n x n x nx a x a x a a --⎰ 128.e sin d ax bx x ⎰=221e (sin cos )axa bxb bx C a b -++ 129.e cos d ax bx x ⎰=221e (sin cos )ax b bx a bx C a b+++ 130.e sin d ax n bx x ⎰=12221e sin (sin cos )ax n bx a bx nb bx a b n--+ 22222(1)e sin d ax n n n b bx x a b n --++⎰131.e cos d ax n bx x ⎰=12221e cos (cos sin )ax n bx a bx nb bx a b n-++ 22222(1)e cos d axn n n b bx x a b n--++⎰ (十四)含有对数函数的积分132.ln d x x ⎰=ln x x x C -+ 133.d ln xx x⎰=ln ln x C + 134.ln d n x x x ⎰=111(ln )11n x x C n n +-+++135.(ln )d n x x ⎰=1(ln )(ln )d n nx x n x x --⎰ 136.(ln )d m n x x x ⎰=111(ln )(ln )d 11m n m n n x x x x x m m +--++⎰ (十五)含有双曲函数的积分137.sh d x x ⎰=ch x C + 138.ch d x x ⎰=sh x C + 139.th d x x ⎰=lnch x C + 140.2sh d x x ⎰=1sh224x x C -++ 141.2ch d x x ⎰=1sh224x x C ++ (十六)定积分142.cos d nx x π-π⎰=sin d nx x π-π⎰=0 143.cos sin d mx nx x π-π⎰=0144.cos cos d mx nx x π-π⎰=0,,m nm n ≠⎧⎨π=⎩145.sin sin d mx nx x π-π⎰=0,,m nm n≠⎧⎨π=⎩146.0sin sin d mx nx x π⎰=0cos cos d mx nx x π⎰=0,,2m n m n ≠⎧⎪⎨π=⎪⎩147. n I =20sin d nx x π⎰=20cos d n x x π⎰n I =21n n I n-- 1342253n n n I n n --=⋅⋅⋅⋅- (n 为大于1的正奇数),1I =1 13312422n n n I n n --π=⋅⋅⋅⋅⋅-(n 为正偶数),0I =2π。
Part 4 不定积分的计算1. 基本积分公式①∫x k dx=,k≠−1{∫1x2dx=∫√x=∫1xdx=∫e x dx=②∫sinxdx=∫cosxdx=∫tanxdx=∫cotxdx=∫secxdx=∫1cosxdx=∫cscxdx=∫1sinxdx=∫sec2xdx=∫csc2xdx=∫secxtanxdx=∫cscxcotxdx=③∫11+x2dx=∫1a2+x2dx=(a>0)④∫√1−x2=∫√a2−x2=(a>0)⑤∫√x2+a2=∫√x2−a2=(|x|>|a|)⑥∫1x2−a2dx=∫1a2−x2dx=⑦∫√a2−x2dx=(a>|x|≥0)⑧∫sin2xdx== =∫cos2xdx== =∫tan2xdx== =∫cot2xdx== =2. 凑微分∫f[g(x)]g′(x)dx=∫f[g(x)]d[g(x)]=∫f(u)du ①dx=a≠0x k dx=k≠−1②xdx=√xdx=√x=1x2dx=1xdx=e x dx=a x dx=a>0,a≠1③sin xdx=cos x dx=sec2xdx=1cos2xdx=csc2xdx=1sin2xdx=11+x2dx=√1−x2=3. 换元法∫f(x)dx 令x=g(u)→∫f[g(u)]d[g(u)]=∫f[g(u)]g′(u)du①三角函数代换——当被积函数含有如下根式时,可作三角代换。
(a>0)√a 2−x 2→令 ,√a 2+x 2→令 , √x 2−a 2→令 , 若x >0,则 ;若x <0,则 ② 恒等变形后作三角函数代换③ 根式代换④ 倒代换——被积函数的分母幂次比分子高⑤ 复杂函数的直接代换a x ,e x ,ln x ,arcsin x ,arctan x4. 分部积分法∫udv =Part 5 定积分的计算1. 区间再现公式∫f(x)dx ba =∫f(x)dx b a = ∫f(x)dx b a = 2. 华里士公式∫sin n xdx π20=∫cos n xdx π20=∫sin n xdx π0=∫cos n xdx π0= ∫sin n xdx 2π0=∫cos n xdx 2π0=3. 其他含三角函数的积分公式① 诱导公式sin (π±t )=cos(π±t)=sin (π2±t)= cos (π2±t)=② ∫xf(sin x)dx π0=∫xf(sin x)dx π0=∫f(sin x)dx π20= ∫f(sin x ,cos x)dx π20= 4. 区间简化公式∫f(x)dx a −a = a >05. 变限积分求导公式[∫f (t )dt φ(x )a ]′x = [∫f (t )dt φ2(x )φ1(x )]′x= Part 6 定积分的精确定义和反常积分的判敛1. 定积分的精确定义∫f (x )dx ba = 令a=0,b=1,得到∫f (x )dx 10= 若上下限中有变量,则得到∫f (t )dt x0= 2. 反常积分的判敛① 概念∫f(x)dx +∞a 叫做无穷区间上的反常积分∫f(x)dx ba ,其中lim x→a +f(x)=∞,则a 叫做瑕点,该积分叫做无界函数的反常积分 ② 常用积分∫1x p dx 10{p <1−→??p ≥1−→??∫1x p dx +∞1{p >1−→??p ≤1−→??3. 反常积分敛散性判别法(数一同学可与级数判别法比较记忆)① 计算,极限存在则收敛② 无穷区间上的反常积分) 比较判别法:f(x),g(x)在[a,+∞]上连续,∃t >a ,若当x ∈[t,+∞]时,f(x)≤g(x),则当∫g(x)dx +∞a收敛时,∫f(x)dx +∞a 也收敛。
常 用 积 分 公 式(一)含有的积分() ax +0a ≠b 1.d x ax b +⎰=1ln ax b C a ++(2.=)d b x μ+ax ⎰1C μ+1()(1)ax b a μ+++1(μ≠-)3.d x x ax b +⎰=21(l ax b b ax a +-n )b C ++4.2d x x ax b +⎰=22311()2()ln 2ax b b ax b b ax a +-++b C ⎡⎤++⎢⎥⎣⎦5.d ()x x ax b +⎰=1ln ax b C b x+-+6.2d ()x x ax b +⎰=21ln a a bx b -+x bC x++ 7.2d ()x x ax ⎰b +=21(ln ax b a a ++bC x b++ 8.22d ()x x ax ⎰b +=2C x b ++31(2ln b ax b b ax b a a +-+-9.2d ()x x ax b +⎰=211ln ()ax b ax b b +b C x+-+的积分10.x ⎰C +11.x ⎰=C 22(3215ax b a -+12.x x ⎰=22232(15128105a x abx b aC -++13.x ⎰=22(23ax b a C -+14.2x ⎰=22232(34815a x abx b a C -++(0)(0)C b C b ⎧+>15.⎰+<16.2a bx b ⎰=-- 17.d x x ⎰=b +⎰18.2d x x ⎰=2a x -+22x a ±的积分 (三)含有19.22d x x a +⎰=1arctan xC a a+ 20.22d ()n x x a +⎰=22212232(1)()2(1)(x n n a x a n a 221d )n n x x a ---+-+-⎰+21.22d x x a -⎰=1ln 2x a C a x a-++(0)b a +>(四)含有的积分2ax (0)(0)x C b Cb ⎧+>⎪⎪⎨22.2d x ax b +⎰=+<23.2d x x ax ⎰b +=21ln 2ax a b C ++24.22d x x ax ⎰b +=x 2d b xax b a a -+⎰25.2d ()x x ax b +⎰=2C b21ln2x b ax ++ 26.22d ()x x ax b +⎰=21d a xax b bx b --+⎰ 27.32d ()x x ax b +⎰=222ln 22ax b a bx +21C bx -+ 28.22d ()x b +ax ⎰=221d 2()2x xax b ++⎰c (0)a >b ax b b +(五)含有的积分2ax bx ++29.2d x bx c ++ax ⎰=224)4)ac ac +<+>((C b C b 30.2d x x ax ⎰bx c ++=22ln 22ax bx c a a ax ++-1d b x bx c++⎰(0)a >的积分31.⎰=1ars =hxC a+ln(x C ++ 32.⎰C +33.x ⎰C +34.x ⎰=C +35.2x ⎰2ln(2a x -+C +36.2x ⎰=ln(x C +++37.⎰1ln a x a C -+38.⎰C a x -+239.x ⎰2ln(2a x ++C +40.x ⎰=2243(25ln(88x x a a x C ++++41.x ⎰C +42.xx ⎰=422(2ln(88x a x a x ++C +43.d x x ⎰ln a a x+C -+44.2d x x⎰=ln(x C +x -++(0)a >的积分45.=1x C x a+arch x=x C ln ++ 46.⎰C +47.x ⎰C +49.2x ⎰2ln 2a x ++C +50.2x ⎰=ln x C +++51.⎰=1arccos aC a x+52.⎰C a x 2+53.x ⎰2ln 2a x -+C +54.x ⎰=2243(25ln 88x x a a x C -+++55.x ⎰C +56.xx ⎰=422(2ln 88x a x a x --+C +57.d x x ⎰arccos aa -C x +58.2d x x⎰=ln x C +x -++(0)a >的积分 59.⎰=arcs inxC a +60.⎰C +62.x ⎰C +63.2x ⎰=2arcs 2a +in x C a +64.2x ⎰arcs inxC a-+65.⎰=C 1ln a a x -+66.⎰C a x -+267.x ⎰2arcs 2a +in x C a+68.x ⎰=2243(52arcs 88a x a -+in x x C a +69.x ⎰=C +70.xx ⎰=422(2arcs 88x a in x x a -+C a+71.d x x ⎰C +ln a a x-+72.2d x x ⎰=arcs --in xC x a +(0)a >的积分73.⎰2ax b C +++74.x ⎰22ax b +++C +75.x ⎰2ax b -++C +76.⎰=C +77.x ⎰2C ++78.x ⎰=C ++79.x ⎰=((b b a C -+-++x 80.x ⎰=((b b a C -+-+ x 81.⎰=C()a b <82.⎰x2(4b a )-C +()a b <(十一)含有三角函数的积分 83.sin d x x ⎰cos =x C -+84.cos d x x ⎰=sin x C + 85.tan d x x ⎰=ln c x os C -+ 86.cot d x x ⎰=ln x C + sin 87.sec d x x ⎰=ln tan(π)42xC ++=ln sec tan x x C ++ 88.csc d x x ⎰=ln tan2xC +=ln csc cot x x C -+ 89.2sec d x x ⎰=x C + tan 90.2csc d x x ⎰=x cot C -+ 91.sec tan d x x x ⎰=se x C + c 92.csc cot d x x x ⎰=x csc C -+ 93.2sin d x x ⎰=1sin 24x x 2C -+ 94.2cos d x x ⎰=1sin 24x x 2C ++95.sin d n x x ⎰=12d n n 11sin cos sin n x x x x --n n--+⎰ 96.cos d n x x ⎰=12s d n n 11cos sin co n x x x x --n n-+⎰ 97.d sin n x x ⎰=121cos 2d 1sin 1sin n n x n xn x n x ----⋅+--⎰ 98.d cos n x x ⎰=121sin 2d 1cos 1cos n n x n xn x n x---⋅+--⎰s m 99.cos in d n x x x ⎰=1111cos sin cos m n m m 2sin d nx x x m n m n-+x x --+++⎰ =1111cos sin cos si m n m n 2n d n x x x m n m n+-x x ---+++⎰ 100.=sin ax ⎰cos d bx x 11cos()cos(2()2()a b x a a b a b -+-+-)b x C -+101.=sin ax ⎰sin d bx x 11sin()sin(2()2()a b x a a b a b -+++-)b x C -+c102.=cos ax ⎰os d bx x 11sin()sin(2()2()a b x a a b a b )b x C ++-+-+103.d sin x a b x +⎰C tan xa b ++22()a b >104.d sin x a b x +⎰C +22()a b <105.d cos x a b x +⎰an )2xC +22()a b >106.d cos x a b x +⎰C +22()a b <107.2222sin b x d cos x a x +⎰=1arctan(t ban )x C ab a + 108.2222sin b x d cos x a x -⎰=1ta ln 2t b x ab b x n an aC a ++-109.sin d x ax x ⎰=211sin co ax x a a s ax C -+ 110.2sin d x ax x ⎰=2212cos sin co 32s x ax x ax a a -++ax C a +111.cos d x ax x ⎰=211cos si ax x a a n ax C ++112.2cos d x ax x ⎰=22312sin cos sin 2x ax x ax a a ax C a+-+0>(十二)含有反三角函数的积分(其中a )113.arcsin d x x a ⎰=arcsin x x C a++114.arcsin d x x x a ⎰=22)arcsin 24x a x C a -++(115.2arcsin d x x x a ⎰=3221arcsin (239x x x a C a +++ 116.arccos d xx a ⎰=arccosxx C a-+ 117.arccos d x x x a ⎰=22(24x a x C a --+118.2arccos d x x x a ⎰=3221arccos (239x x x a C a -++ 119.arctand x x a ⎰=22arctan ln()2x a x a x C a -++ 120.arctan d x x x a⎰=221()arctan 22x a a x x C a +-+121.2arctan d x x x a ⎰=33222arctan ln()366x x a a x a x C a -+++(十三)含有指数函数的积分122.=d xa x ⎰1ln xa C a + 123.e d axx ⎰=1e ax C +a124.e d ax x x ⎰=21(1ax a)e axC -+125.e d n axx x ⎰=1e e d n ax 1n ax n x x x -a a-⎰126.d xxa x ⎰=2x x a a C -+1ln (ln )x a a 127.d nxx a x ⎰=1d n x1ln ln n x n x a x a a -⎰a x -e s 128.=in d bx x ax⎰221e (sin co ax a bx b a b s )bx C -++ 129.=e c ax ⎰os d bx x 221e (sin co axb bx a a bs )bx C +++130.=e s ax ⎰in d n bx x 12221e sin (sin ax n bx a bx n a b n--+cos )b bx 2222(1)e si ax n n b a b n -++⎰2n d n bx x - 131.=e c ax ⎰os d n bx x 12221e cos (cos ax n bx a bx n a b n-++sin )b bx 2222(1)e co ax n n b a b n-++⎰2s d n bx x - (十四)含有对数函数的积分132.ln d x x ⎰ln =x x x C -+ 133.d ln x x x ⎰=x C +ln ln134.ln d n x x x ⎰=1(ln n 11)11x x C n n +-+++(l 135.n )d n x x (ln )(l n ⎰=1n )d n x x n -⎰x x -(ln 136.)d m n x x x ⎰=11ln )d m n 1(ln )(11m n n x x x m m -++⎰x x +- (十五)含有双曲函数的积分137.sh d x x ⎰=ch x C +138.ch d x x ⎰=sh x C +139.th d x x ⎰ln =x C + ch 140.2sh d x x ⎰=124x x sh2C -++ 141.2ch d x x ⎰=124x x sh2C ++sin d nx x sin d nx x c m n m n (十六)定积分142.==0 cos d nx x π-π⎰π-π⎰143.=0cos mx π-π⎰144.=cos mx π-π⎰os d nx x 0,,≠⎧⎨⎩π=145.=sin mx π-π⎰s ,m n m n in d nx x 0,≠⎧⎨⎩π=s c ,m n m n 146.==0sin mx π⎰in d nx x 0cos mx π⎰os d nx x 0,2≠⎧⎪⎨π=⎪⎩ 147. n I =20sin d n x x π⎰=20cos d n x x π⎰ n I =21n n I n-- 13423n n n I n n --=⋅⋅⋅⋅- n 125 (为大于1的正奇数),I =1 133122n n n I n n --π=⋅⋅⋅⋅⋅- n 0πI = 24(为正偶数),2。
三角积分公式大全24个1. 基本积分公式。
- ∫sin xdx = -cos x + C- ∫cos xdx=sin x + C- ∫sec^2xdx=tan x + C- ∫csc^2xdx = -cot x + C- ∫sec xtan xdx=sec x + C- ∫csc xcot xdx = -csc x + C2. 降幂公式相关积分。
- ∫sin^2xdx=(1)/(2)(x - (1)/(2)sin2x)+C,推导:sin^2x=(1 - cos2x)/(2),然后积分。
- ∫cos^2xdx=(1)/(2)(x+(1)/(2)sin2x)+C,推导:cos^2x=(1 + cos2x)/(2),再积分。
3. 积化和差公式相关积分。
- ∫sin axcos bxdx=-(cos((a + b)x))/(2(a + b))-(cos((a - b)x))/(2(a - b))+C (a≠± b)- ∫sin axsin bxdx=(sin((a - b)x))/(2(a - b))-(sin((a + b)x))/(2(a + b))+C (a≠± b)- ∫cos axcos bxdx=(sin((a - b)x))/(2(a - b))+(sin((a + b)x))/(2(a + b))+C (a≠± b)4. 换元积分法中的三角代换相关公式(以含√(a^2)-x^{2}为例)- 令x = asin t,dx=acos tdt,则∫(dx)/(√(a^2)-x^{2)}=∫ dt=t + C=arcsin(x)/(a)+C- ∫√(a^2)-x^{2}dx=frac{a^2}{2}a rcsin(x)/(a)+(x)/(2)√(a^2)-x^{2}+C,推导:通过上述代换后进行积分。
5. 换元积分法中的三角代换相关公式(以含√(x^2)+a^{2}为例)- 令x = atan t,dx=asec^2tdt,则∫(dx)/(√(x^2)+a^{2)}=∫sec tdt=lnsec t+tant+C=lnx+√(x^2)+a^{2}+C- ∫√(x^2)+a^{2}dx=(x)/(2)√(x^2)+a^{2}+frac{a^2}{2}lnx+√(x^2)+a^{2}+C6. 换元积分法中的三角代换相关公式(以含√(x^2)-a^{2}为例)- 令x = asec t,dx=asec ttan tdt,则∫(dx)/(√(x^2)-a^{2)}=∫sec tdt=lnsec t+tant+C=lnx+√(x^2)-a^{2}+C- ∫√(x^2)-a^{2}dx=(x)/(2)√(x^2)-a^{2}-frac{a^2}{2}lnx+√(x^2)-a^{2}+C7. 三角函数的乘积积分公式(分部积分法相关)- ∫ xsin xdx=-xcos x+sin x + C,通过设u = x,dv=sin xdx,利用分部积分公式∫ udv = uv-∫ vdu得到。
求积分公式大全高等数学高等数学中的积分公式有很多,下面列举一些常用的积分公式。
1.基本积分公式:∫某^nd某=(某^(n+1))/(n+1)+C,其中n是一个常数,C是积分常数。
2.幂函数积分公式:∫某^αd某=(某^(α+1))/(α+1)+C,其中α≠-1,C是积分常数。
3.三角函数积分公式:∫sin(某) d某 = -cos(某) + C∫cos(某) d某 = sin(某) + C∫sec^2(某) d某 = tan(某) + C∫csc^2(某) d某 = -cot(某) + C∫sec(某)tan(某) d某 = sec(某) + C∫csc(某)cot(某) d某 = -csc(某) + C4.指数函数与对数函数积分公式:∫e^某d某=e^某+C∫a^某 d某 = (a^某)/(ln(a)) + C,其中a>0,a≠1∫1/某 d某 = ln,某, + C5.反三角函数积分公式:∫d某/√(1-某^2) = arcsin(某) + C∫d某/√(1+某^2) = arctan(某) + C∫d某/某√(某^2-1) = arcsec(某) + C∫d某/某√(1-某^2) = arccsc(某) + C6.分部积分公式:∫u dv = uv - ∫v du,其中u和v是可微的函数7.替换积分公式:∫f(g(某)) g'(某) d某= ∫f(u) du,其中u = g(某)8.径向函数的积分:∫r dr = (1/2)r^2 + C,其中r是一个径向函数9.定积分公式:∫[a,b]f(某)d某=F(b)-F(a),其中F(某)是f(某)的一个原函数以上是一些常见的高等数学积分公式,掌握这些基础公式可以帮助解决很多积分问题。
当然,高等数学中还有很多更复杂的积分公式,需要逐步学习和掌握。
常 用 积 分 公 式(一)含有ax b +的积分(0a ≠) 1.d x ax b +⎰=1ln ax b C a ++2.()d ax b x μ+⎰=11()(1)ax b C a μμ++++(1μ≠-)3.d x x ax b +⎰=21(ln )ax b b ax b C a +-++4.2d x x ax b +⎰=22311()2()ln 2ax b b ax b b ax b C a ⎡⎤+-++++⎢⎥⎣⎦5.d ()xx ax b +⎰=1ln ax b C b x +-+6.2d ()xx ax b +⎰=21ln a ax b C bx b x +-++ 7.2d ()x x ax b +⎰=21(ln )b ax b C a ax b++++ 8.22d ()x x ax b +⎰=231(2ln )b ax b b ax b C a ax b+-+-++ 9.2d ()xx ax b +⎰=211ln ()ax b C b ax b b x +-++的积分10.x C +11.x ⎰=22(3215ax b C a -12.x x ⎰=22232(15128105a x abx b C a-+13.x⎰=22(23ax b C a -14.2x ⎰=22232(34815a x abx b C a -+ 15.⎰(0)(0)C b C b ⎧+><16.⎰2a b - 17.d x x ⎰=b ⎰18.2d x x ⎰=2a + (三)含有22x a ±的积分 19.22d x x a +⎰=1arctan xC a a+ 20.22d ()n x x a +⎰=2221222123d 2(1)()2(1)()n n x n xn a x a n a x a ---+-+-+⎰ 21.22d xx a -⎰=1ln 2x a C a x a -++(四)含有2(0)ax b a +>的积分22.2d x ax b +⎰=(0)(0)C b C b ⎧+>+<23.2d x x ax b +⎰=21ln 2ax b C a ++24.22d x x ax b +⎰=2d x b xa a axb -+⎰25.2d ()x x ax b +⎰=221ln 2x C b ax b++26.22d ()x x ax b +⎰=21d a xbx b ax b --+⎰27.32d ()x x ax b +⎰=22221ln 22ax b a C b x bx+-+ 28.22d ()x ax b +⎰=221d 2()2x xb ax b b ax b +++⎰(五)含有2ax bx c ++(0)a >的积分29.2d x ax bx c ++⎰=22(4)(4)C b ac Cb ac +<+>30.2d x x ax bx c ++⎰=221d ln 22b x ax bx c a a ax bx c++-++⎰(0)a >的积分 31.⎰=1arshxC a+=ln(x C ++ 32.C +33.x ⎰C34.x=C +35.2x 2ln(2a x C +36.2x =ln(x C +++37.⎰1ln aC a x -+38.⎰C +39.x 2ln(2a x C ++40.x =2243(25ln(88x x a a x C ++41.x ⎰C +42.xx ⎰=422(2ln(88x a x a x C +++43.x ⎰a C +44.x ⎰=ln(x C +++(0)a >的积分45.⎰=1arch x xC x a+=ln x C ++ 46.C +47.x ⎰C48.x =C +49.2x 2ln 2a x C +++50.2x =ln x C +++51.⎰1arccos aC a x+52.⎰2C a x +53.x 2ln 2a x C -++54.x =2243(25ln 88x x a a x C -++55.x ⎰C56.xx ⎰=422(2ln 88x a x a x C -+57.x ⎰arccos a a C x -+58.x ⎰=ln x C +++(0)a >的积分 59.⎰=arcsinxC a+ 60.C +61.x ⎰=C +62.x C +63.2x =2arcsin 2a x C a + 64.2x arcsinxC a-+65.⎰1C a +66.⎰2C a x -+67.x 2arcsin 2a x C a+68.x =2243(52arcsin 88x x a x a C a-+69.x ⎰=C70.xx ⎰=422(2arcsin 88x a x x a C a-+71.x ⎰ln a a C x ++72.x ⎰=arcsin xC a-+(0)a >的积分73.⎰2ax b C +++74.x22ax b C ++++75.x ⎰2ax b C -+++76.⎰=C +77.x 2C +78.x ⎰=C ++79.x ⎰=((x b b a C --+80.x ⎰=((x b b a C -+-81.⎰=C ()a b <82.x 2()arcsin 4b a C -+ ()a b < (十一)含有三角函数的积分 83.sin d x x ⎰=cos x C -+84.cos d x x ⎰=sin x C + 85.tan d x x ⎰=ln cos x C -+ 86.cot d x x ⎰=ln sin x C + 87.sec d x x ⎰=ln tan()42xC π++=ln sec tan x x C ++ 88.csc d x x ⎰=ln tan2xC +=ln csc cot x x C -+ 89.2sec d x x ⎰=tan x C + 90.2csc d x x ⎰=cot x C -+ 91.sec tan d x x x ⎰=sec x C + 92.csc cot d x x x ⎰=csc x C -+93.2sin d x x ⎰=1sin 224x x C -+ 94.2cos d x x ⎰=1sin 224x x C ++95.sin d n x x ⎰=1211sin cos sin d n n n x x x x n n----+⎰ 96.cos d n x x ⎰=1211cos sin cos d n n n x x x x n n---+⎰ 97.d sin n x x ⎰=121cos 2d 1sin 1sin n n x n xn x n x ----⋅+--⎰ 98.d cos n x x ⎰=121sin 2d 1cos 1cos n n x n xn x n x---⋅+--⎰ 99.cos sin d m n x x x ⎰=11211cos sin cos sin d m n m nm x x x x x m n m n-+--+++⎰ =11211cos sin cos sin d m n m n n x x x x x m n m n+----+++⎰ 100.sin cos d ax bx x ⎰=11cos()cos()2()2()a b x a b x C a b a b -+--++-101.sin sin d ax bx x ⎰=11sin()sin()2()2()a b x a b x C a b a b -++-++-102.cos cos d ax bx x ⎰=11sin()sin()2()2()a b x a b x C a b a b ++-++-103.d sin xa b x +⎰tanxa b C ++22()a b >104.d sin x a b x +⎰C+22()a b <105.d cos xa b x +⎰)2x C +22()a b >106.d cos x a b x +⎰C +22()a b <107.2222d cos sin x a x b x +⎰=1arctan(tan )bx C ab a + 108.2222d cos sin xa xb x -⎰=1tan ln 2tan b x a C ab b x a ++-109.sin d x ax x ⎰=211sin cos ax x ax C a a -+ 110.2sin d x ax x ⎰=223122cos sin cos x ax x ax ax C a a a -+++111.cos d x ax x ⎰=211cos sin ax x ax C a a ++112.2cos d x ax x ⎰=223122sin cos sin x ax x ax ax C a a a+-+(十二)含有反三角函数的积分(其中0a >)113.arcsin d x x a ⎰=arcsin x x C a++114.arcsin d xx x a ⎰=22()arcsin 24x a x C a -+115.2arcsin d x x x a⎰=3221arcsin (239x x x a C a ++116.arccos d xx a ⎰=arccosxx C a117.arccos d xx x a ⎰=22()arccos 24x a x C a -118.2arccos d x x x a⎰=3221arccos (239x x x a C a -+119.arctand x x a ⎰=22arctan ln()2x a x a x C a -++ 120.arctan d x x x a ⎰=221()arctan 22x a a x x C a +-+121.2arctan d xx x a⎰=33222arctan ln()366x x a a x a x C a -+++ (十三)含有指数函数的积分122.d xa x ⎰=1ln xa C a + 123.e d axx ⎰=1e ax C a +124.e d ax x x ⎰=21(1)e axax C a-+125.e d n axx x ⎰=11e e d n ax n ax n x x x a a--⎰126.d xxa x ⎰=21ln (ln )x x x a a C a a -+ 127.d nxx a x ⎰=11d ln ln n x n xn x a x a x a a --⎰ 128.e sin d axbx x ⎰=221e (sin cos )ax a bx b bx C a b -++ 129.e cos d ax bx x ⎰=221e (sin cos )axb bx a bx C a b+++130.e sin d ax n bx x ⎰=12221e sin (sin cos )ax n bx a bx nb bx a b n--+ 22222(1)e sin d ax n n n b bx x a b n --++⎰131.e cos d ax n bx x ⎰=12221e cos (cos sin )ax n bx a bx nb bx a b n-++ 22222(1)e cos d ax n n n b bx x a b n--++⎰ (十四)含有对数函数的积分132.ln d x x ⎰=ln x x x C -+ 133.d ln x x x ⎰=ln ln x C +134.ln d n x x x ⎰=111(ln )11n x x C n n +-+++ 135.(ln )d n x x ⎰=1(ln )(ln )d n n x x n x x --⎰ 136.(ln )d m n x x x ⎰=111(ln )(ln )d 11m n m n n x x x x x m m +--++⎰ (十五)含有双曲函数的积分 137.sh d x x ⎰=ch x C +138.ch d x x ⎰=sh x C +139.th d x x ⎰=lnch x C + 140.2sh d x x ⎰=1sh224x x C -++ 141.2ch d x x ⎰=1sh224x x C ++ (十六)定积分142.cos d nx x π-π⎰=sin d nx x π-π⎰=0 143.cos sin d mx nx x π-π⎰=0144.cos cos d mx nx x π-π⎰=0,,m n m n ≠⎧⎨π=⎩145.sin sin d mx nx x π-π⎰=0,,m n m n ≠⎧⎨π=⎩ 146.0sin sin d mx nx x π⎰=0cos cos d mx nx x π⎰=0,,2m n m n ≠⎧⎪⎨π=⎪⎩ 147. n I =20sin d n x x π⎰=20cos d n x x π⎰ n I =21n n I n-- 1342253n n n I n n --=⋅⋅⋅⋅-L (n 为大于1的正奇数),1I =1 13312422n n n I n n --π=⋅⋅⋅⋅⋅-L (n 为正偶数),0I =2π。
以下是一些常用的积分公式:
幂函数积分公式
∫x^n dx = x^(n+1)/(n+1) + C,其中n不等于-1
正弦函数积分公式
∫sin(x) dx = -cos(x) + C
余弦函数积分公式
∫cos(x) dx = sin(x) + C
正切函数积分公式
∫tan(x) dx = -ln|cos(x)| + C
余切函数积分公式
∫cot(x) dx = ln|sin(x)| + C
指数函数积分公式
∫e^x dx = e^x + C
对数函数积分公式
∫(1/x) dx = ln|x| + C,其中x不等于0
反三角函数积分公式
∫arcsin(x) dx = x·arcsin(x) + sqrt(1-x^2) + C
∫arccos(x) dx = x·arccos(x) - sqrt(1-x^2) + C
∫arctan(x) dx = x·arctan(x) - ln|1+x^2| + C
∫arccot(x) dx = x·arccot(x) + ln|1+x^2| + C
这里只列举了一些基本的积分公式,实际上还有很多其他的积分公式,可以通过积分表来查阅。
同时,积分是一种重要的数学工具,在不同的领域中都有广泛的应用。
常 用 积 分 公 式(一)含有ax b +的积分(0a ≠) 1.d x ax b +⎰=1ln ax b C a ++2.()d ax b x μ+⎰=11()(1)ax b C a μμ++++(1μ≠-)3.d x x ax b +⎰=21(ln )ax b b ax b C a +-++4.2d x x ax b +⎰=22311()2()ln 2ax b b ax b b ax b C a ⎡⎤+-++++⎢⎥⎣⎦5.d ()xx ax b +⎰=1ln ax b C b x +-+6.2d ()xx ax b +⎰=21ln a ax b C bx b x +-++ 7.2d ()x x ax b +⎰=21(ln )b ax b C a ax b++++ 8.22d ()x x ax b +⎰=231(2ln )b ax b b ax b C a ax b+-+-++ 9.2d ()xx ax b +⎰=211ln ()ax b C b ax b b x +-++的积分10.x C +11.x ⎰=22(3215ax b C a -12.x x ⎰=22232(15128105a x abx b C a-+13.x⎰=22(23ax b C a -14.2x ⎰=22232(34815a x abx b C a -+ 15.⎰(0)(0)C b C b ⎧+><16.⎰2a b - 17.d x x ⎰=b ⎰18.2d x x ⎰=2a + (三)含有22x a ±的积分 19.22d x x a +⎰=1arctan xC a a+ 20.22d ()n x x a +⎰=2221222123d 2(1)()2(1)()n n x n xn a x a n a x a ---+-+-+⎰ 21.22d xx a -⎰=1ln 2x a C a x a -++(四)含有2(0)ax b a +>的积分22.2d x ax b +⎰=(0)(0)C b C b ⎧+>+<23.2d x x ax b +⎰=21ln 2ax b C a ++24.22d x x ax b +⎰=2d x b xa a axb -+⎰25.2d ()x x ax b +⎰=221ln 2x C b ax b++26.22d ()x x ax b +⎰=21d a xbx b ax b --+⎰27.32d ()x x ax b +⎰=22221ln 22ax b a C b x bx+-+ 28.22d ()x ax b +⎰=221d 2()2x xb ax b b ax b +++⎰(五)含有2ax bx c ++(0)a >的积分29.2d x ax bx c ++⎰=22(4)(4)C b ac Cb ac +<+>30.2d x x ax bx c ++⎰=221d ln 22b x ax bx c a a ax bx c++-++⎰(0)a >的积分 31.⎰=1arshxC a+=ln(x C ++ 32.C +33.x ⎰C34.x=C +35.2x 2ln(2a x C +36.2x =ln(x C +++37.⎰1ln aC a x -+38.⎰C +39.x 2ln(2a x C ++40.x =2243(25ln(88x x a a x C ++41.x ⎰C +42.xx ⎰=422(2ln(88x a x a x C +++43.x ⎰a C +44.x ⎰=ln(x C +++(0)a >的积分45.⎰=1arch x xC x a+=ln x C ++ 46.C +47.x ⎰C48.x =C +49.2x 2ln 2a x C +++50.2x =ln x C +++51.⎰1arccos aC a x+52.⎰2C a x +53.x 2ln 2a x C -++54.x =2243(25ln 88x x a a x C -++55.x ⎰C56.xx ⎰=422(2ln 88x a x a x C -+57.x ⎰arccos a a C x -+58.x ⎰=ln x C +++(0)a >的积分 59.⎰=arcsinxC a+ 60.C +61.x ⎰=C +62.x C +63.2x =2arcsin 2a x C a + 64.2x arcsinxC a-+65.⎰1C a +66.⎰2C a x -+67.x 2arcsin 2a x C a+68.x =2243(52arcsin 88x x a x a C a-+69.x ⎰=C70.xx ⎰=422(2arcsin 88x a x x a C a-+71.x ⎰ln a a C x ++72.x ⎰=arcsin xC a-+(0)a >的积分73.⎰2ax b C +++74.x22ax b C ++++75.x ⎰2ax b C -+++76.⎰=C +77.x 2C +78.x ⎰=C ++79.x ⎰=((x b b a C --+80.x ⎰=((x b b a C -+-81.⎰=C ()a b <82.x 2()arcsin 4b a C -+ ()a b < (十一)含有三角函数的积分 83.sin d x x ⎰=cos x C -+84.cos d x x ⎰=sin x C + 85.tan d x x ⎰=ln cos x C -+ 86.cot d x x ⎰=ln sin x C + 87.sec d x x ⎰=ln tan()42xC π++=ln sec tan x x C ++ 88.csc d x x ⎰=ln tan2xC +=ln csc cot x x C -+ 89.2sec d x x ⎰=tan x C + 90.2csc d x x ⎰=cot x C -+ 91.sec tan d x x x ⎰=sec x C + 92.csc cot d x x x ⎰=csc x C -+93.2sin d x x ⎰=1sin 224x x C -+ 94.2cos d x x ⎰=1sin 224x x C ++95.sin d n x x ⎰=1211sin cos sin d n n n x x x x n n----+⎰ 96.cos d n x x ⎰=1211cos sin cos d n n n x x x x n n---+⎰ 97.d sin n x x ⎰=121cos 2d 1sin 1sin n n x n xn x n x ----⋅+--⎰ 98.d cos n x x ⎰=121sin 2d 1cos 1cos n n x n xn x n x---⋅+--⎰ 99.cos sin d m n x x x ⎰=11211cos sin cos sin d m n m nm x x x x x m n m n-+--+++⎰ =11211cos sin cos sin d m n m n n x x x x x m n m n+----+++⎰ 100.sin cos d ax bx x ⎰=11cos()cos()2()2()a b x a b x C a b a b -+--++-101.sin sin d ax bx x ⎰=11sin()sin()2()2()a b x a b x C a b a b -++-++-102.cos cos d ax bx x ⎰=11sin()sin()2()2()a b x a b x C a b a b ++-++-103.d sin xa b x +⎰tanxa b C ++22()a b >104.d sin x a b x +⎰C+22()a b <105.d cos xa b x +⎰)2x C +22()a b >106.d cos x a b x +⎰C +22()a b <107.2222d cos sin x a x b x +⎰=1arctan(tan )bx C ab a + 108.2222d cos sin xa xb x -⎰=1tan ln 2tan b x a C ab b x a ++-109.sin d x ax x ⎰=211sin cos ax x ax C a a -+ 110.2sin d x ax x ⎰=223122cos sin cos x ax x ax ax C a a a -+++111.cos d x ax x ⎰=211cos sin ax x ax C a a ++112.2cos d x ax x ⎰=223122sin cos sin x ax x ax ax C a a a+-+(十二)含有反三角函数的积分(其中0a >)113.arcsin d x x a ⎰=arcsin x x C a++114.arcsin d xx x a ⎰=22()arcsin 24x a x C a -+115.2arcsin d x x x a⎰=3221arcsin (239x x x a C a ++116.arccos d xx a ⎰=arccosxx C a117.arccos d xx x a ⎰=22()arccos 24x a x C a -118.2arccos d x x x a⎰=3221arccos (239x x x a C a -+119.arctand x x a ⎰=22arctan ln()2x a x a x C a -++ 120.arctan d x x x a ⎰=221()arctan 22x a a x x C a +-+121.2arctan d xx x a⎰=33222arctan ln()366x x a a x a x C a -+++ (十三)含有指数函数的积分122.d xa x ⎰=1ln xa C a + 123.e d axx ⎰=1e ax C a +124.e d ax x x ⎰=21(1)e axax C a-+125.e d n axx x ⎰=11e e d n ax n ax n x x x a a--⎰126.d xxa x ⎰=21ln (ln )x x x a a C a a -+ 127.d nxx a x ⎰=11d ln ln n x n xn x a x a x a a --⎰ 128.e sin d axbx x ⎰=221e (sin cos )ax a bx b bx C a b -++ 129.e cos d ax bx x ⎰=221e (sin cos )axb bx a bx C a b+++130.e sin d ax n bx x ⎰=12221e sin (sin cos )ax n bx a bx nb bx a b n--+ 22222(1)e sin d ax n n n b bx x a b n --++⎰131.e cos d ax n bx x ⎰=12221e cos (cos sin )ax n bx a bx nb bx a b n-++ 22222(1)e cos d ax n n n b bx x a b n--++⎰ (十四)含有对数函数的积分132.ln d x x ⎰=ln x x x C -+ 133.d ln x x x ⎰=ln ln x C +134.ln d n x x x ⎰=111(ln )11n x x C n n +-+++ 135.(ln )d n x x ⎰=1(ln )(ln )d n n x x n x x --⎰ 136.(ln )d m n x x x ⎰=111(ln )(ln )d 11m n m n n x x x x x m m +--++⎰ (十五)含有双曲函数的积分 137.sh d x x ⎰=ch x C +138.ch d x x ⎰=sh x C +139.th d x x ⎰=lnch x C + 140.2sh d x x ⎰=1sh224x x C -++ 141.2ch d x x ⎰=1sh224x x C ++ (十六)定积分142.cos d nx x π-π⎰=sin d nx x π-π⎰=0 143.cos sin d mx nx x π-π⎰=0144.cos cos d mx nx x π-π⎰=0,,m n m n ≠⎧⎨π=⎩145.sin sin d mx nx x π-π⎰=0,,m n m n ≠⎧⎨π=⎩ 146.0sin sin d mx nx x π⎰=0cos cos d mx nx x π⎰=0,,2m n m n ≠⎧⎪⎨π=⎪⎩ 147. n I =20sin d n x x π⎰=20cos d n x x π⎰ n I =21n n I n-- 1342253n n n I n n --=⋅⋅⋅⋅-L (n 为大于1的正奇数),1I =1 13312422n n n I n n --π=⋅⋅⋅⋅⋅-L (n 为正偶数),0I =2π。