大学商务英语写作考试复习题
- 格式:doc
- 大小:89.50 KB
- 文档页数:3
商务英语写作考试试题一、选择题(共 20 题,每题 2 分)1、 When writing a business email, which of the following salutations is the most appropriate?A Dear Sir or MadamB To whom it may concernC HelloD Hi2、 Which of the following is the correct format for the date in a business letter?A 05/06/2023B 5th June, 2023C June 5, 2023D 2023/6/53、 In a business report, which section should come first?A Executive summaryB IntroductionC FindingsD Conclusions and recommendations4、 When expressing gratitude in a business letter, which phrase is more formal?A Thank you very muchB I am truly gratefulC Many thanksD I appreciate your assistance5、 What is the correct way to write a subject line in a business email?A Meeting tomorrowB About the meeting tomorrowC Meeting about tomorrowD Tomorrow's meeting6、 In a business proposal, which part should provide detailed information about the solution to the problem?A BackgroundB Proposed solutionC BenefitsD Implementation plan7、 Which of the following is a proper closing for a business letter?A Best regardsB Sincerely yoursC Kind regardsD All of the above8、 When writing a complaint letter, which tone is most appropriate?A Angry and aggressiveB Polite but firmC Casual and friendlyD Indifferent9、 What is the purpose of a cover letter?A To introduce yourself and your qualificationsB To request informationC To follow up on a previous communicationD To express gratitude10、 In a business contract, which clause is essential?A Confidentiality clauseB Force majeure clauseC Termination clauseD All of the above11、 Which of the following is an example of a buffer in a negative business message?A I understand your frustration, butB Unfortunately, we cannotC This is a difficult situation, howeverD We apologize for the inconvenience12、 When making a request in a business email, which phrase is more polite?A I need you toB Could you pleaseC You mustD I want you to13、 What is the correct structure of a business memo?A Heading, date, to, from, subject, bodyB Date, heading, to, from, subject, bodyC Heading, date, from, to, subject, bodyD Date, heading, from, to, subject, body14、 In a business presentation, which visual aid is most effective for presenting data?A GraphsB PicturesC VideosD Maps15、 Which of the following is a common mistake in business writing?A Using jargon and technical termsB Writing in a passive voiceC Failing to proofreadD All of the above16、 When writing a job advertisement, which information should be included?A Job title, duties, qualifications, salaryB Company history, mission statementC Employee benefits, working hoursD All of the above17、 What is the difference between a memo and a letter?A A memo is more formal than a letterB A memo is used for internal communication, while a letter is for externalC A memo is longer than a letterD A memo does not require a salutation or closing18、 In a business email, how many paragraphs are ideal for the main content?A 1-2B 3-4C 5-6D As many as needed19、 Which of the following is an example of a positive message in business communication?A A promotion announcementB A layoff noticeC A price increase notificationD A delay in delivery20、 What is the purpose of a minutes of meeting?A To record the decisions made and actions agreed uponB To summarize the discussion pointsC To provide a detailed account of who attended the meetingD All of the above二、填空题(共 10 题,每题 2 分)1、 The three main parts of a business letter are the __________, the body, and the closing2、 A __________ is a short written message used for internal communication within an organization3、 In a business report, the __________ section provides an overview of the report's purpose and key findings4、 When writing a business email, it's important to keep the message __________ and to the point5、 The __________ is the person or group to whom a business letter or email is addressed6、 A __________ is a formal written offer to supply goods or services at a stated price and under specified conditions7、 In business writing, using __________ language helps to ensure clarity and understanding8、 The __________ of a business email should be specific and convey the main idea of the message9、 A __________ is a detailed written plan for a project or activity10、 In a complaint letter, it's important to include specific __________ to support your complaint三、简答题(共 5 题,每题 8 分)1、 Explain the difference between formal and informal business writing2、 Describe the steps involved in writing a business proposal3、 What are the key elements of a good business email?4、 How can you ensure the clarity and accuracy of your business writing?5、 Discuss the importance of proofreading in business writing and list some common proofreading errors四、写作题(共 2 题,每题 20 分)1、 Write a business letter to a potential client introducing your company and its products or services2、 Write a business report on a problem your company has faced and the solutions you propose。
商务英语复习题information should be contained in the first information section of a resumejob objective history and gender identificationdate informationof the following is a “6C”is the first thing to appear on a bussiness letterdate letterheadinside address attention linewriting the date on a business letter you should take care to do what sure you always put the year first before the month and dayuse only numbers in the date fieldsure you always put the month first before the date and yearout the monthmany spaces are needed between the complimentary close of a letter and the typed name of the person writing the letterD. as many as neededshould you do if you are worried that the reader of a request you are asking will not honor your requestthe letter in an indirect stylethe letter in a direct stylethem to please grant your requestforceful and demand they honor your requestwriting a letter of reply it should not beof applications are better know asapplication formon how to use a productlettersis not a background area that most likely will not be included in a cover letter A. education B. personal hobbies C. experiences informationletter of adjustment should be written in what stylea sales letter you should never ….their curiosity a great desire for you productbad about a customer a needinvitation letter can either be written by hard on paper or on a(n)…board font wind onletter should always begin with….reasons for writing it reasoningwill opening of thanksare not used for…communications instructionscommunications D. announcing policiesare used for….activities sensitive material。
商务英语复习题1、What information should be contained in the first information section of a resume?A、the job objectiveB、family history and gender identificationC、the dateD、contect information2、Which of the following is a “6C”?A、ColorfulnessB、ConcretenessC、ComfortabilityD、Compatibility3、What is the first thing to appear on a bussiness letter ?A、the dateB、the letterheadC、the inside addressD、the attention line4、When writing the date on a business letter you should take care to do what?A、make sure you always put the year first before the month and dayB、always use only numbers in the date fieldC、make sure you always put the month first before the date and yearD、spell out the month5、How many spaces are needed between the complimentary close of a letter and the typed name of the person writing the letter?A、3B、2C、4D、 as many as needed6、What should you do if you are worried that the reader of a request you are asking will not honor your request?A、write the letter in an indirect styleB、write the letter in a direct styleC、ask them to please grant your requestD、be forceful and demand they honor your request7、When writing a letter of reply it should not beA、promptB、directC、elaborateD、accurate8、Letters of applications are better know asA、an application formB、directions on how to use a productC、memorandumsD、cover letters9、What is not a background area that most likely will not be included in a cover letter?A、 educationB、 personal hobbiesC、 experiencesD、personal information10、A letter of adjustment should be written in what style ?A、indirectB、directC、orderlyD、induction11、In a sales letter you should never …、A、inspire their curiosityB、create a great desire for you productC、talk bad about a customerD、create a need12、An invitation letter can either be written by hard on paper or on a(n)…A、cardB、envelopeC、bulletin boardD、store font wind on13、Thank-you letter should always begin with…、A、the reasons for writing itB、inductive reasoningC、good will openingD、statement of thanks14、Memos are not used for…A、internal communicationsB、employee instructionsC、external communicationsD、 announcing policies15、Minutes are used for…、A、invitationsB、group activitiesC、relay sensitive materialD、meetings。
商务英语复习题1.The most important thing for you is to the climate there first.A. used toB. use toC. be used toD. use2.I still have something.A. to be doneB. didC. doingD. to do3.My teacher told me again.A. not to be lateB. don,t be lateC. to not be lateD. not to late4.Only of the students passed the exam.A. two-fifthB. two-fiveC. two-fifthsD. second-five5.They didn,t go swimming today the bad weathe r.A. asB. because ofC. becauseD. in spite of6.She required that he the books soon he borrowed from her.A. returnB. returnedC. would returnD. returns7.Though Jim is only 20 , he is an engineer of our factory.A. experienceB. experiencingC. experiencedD. experimental8.Since I was a child we in America.A. liveB. have livedC. livedD. were living9.Could you lend me your bike? Mine was broken and it neededA. repairingB. be repairedC. to repairD. repaired10.You should start early you won,t get stuck in the traffic.A. now thatB. so thatC. in orderD. lest11.1know, this musician lived in China.A. As soon asB. As long as1.As far as D. As well as12.It is essential we to decide whether television is a blessingor a curse.A. must tryB. tryC. have triedD. are trying13.He is seriously in computer games.A. engageB. addictedC. absorbedD. related14.She is the only one of the girls who the violin well.A. playB. playsC. playedD. should play15.She,s thirsty because she forgot a drink with her.A. to bringB. bringingC. to have broughtD. to be bring16.It was not long the news spread and people from all over theworld came to visit this miracle of nature.A. afterB. beforeC. untilD. when17.The smaller the house is,.A. the less pay youB. the less you pay for itC. you pay the lessD. the less you paying for it18.Although at times, learning a language was frustrating, it was well the effort.A. worthB. worthyC. deserveD. deserving19.He's sleeping. He's to be cleaning his room.A. knownB. supposedC. regardedD. considered20.Her mother objected to the young man, though he had a lot ofmoney.A. her marrying withB. marryingC. marryD. her marrying21.I have some difficulty _D_ my spoken English. That is to say it is difficult me to speak English.A. in; ofB. with; ofC. in ; forD. with ; for22.Which do you prefer _D_, tea or coffee?A. betterB. bestC. toD./23.My teacher told me —A_ again.A. not to be lateB. don't be lateC. to not be lateD. not to late24.It shows what has happened _B_ the forests of the USA in the last 300 years.A. onB. toC. forD. with25.How much did you C_ repairing the bike ?A. payB. useC. spendD. take26.The schools in Shanghai are not different from —A—.A. those in BeijingB. that of BeijingC. BeijingD. Beijing students27.Her voice _B a bird.A. sounds asB. sounds likeC. is sounded likeD. is sounded as28.Beijing is C city in China.A. largestB. second largestC. the second largestD. the second large29.Please remember to keep in A with me through e-mail whenyou are abroad.A. touchB. troubleC. promiseD. approval30.—A he can recover soon, I don't mind how much money I have to pay.A. So long asB. So far asC. In caseD. When31.He made _C_ progress that he did very well in the exam.A. such a rapidB. so rapidC. such rapidD. so rapid a32.We adopted the new ways with a view to A our efficiency.A. raiseB. raisingC. riseD. rising33.The report showed us clearly how the car got D and crashed at last.A. into controlB. under controlC. within controlD. out of control34.I didn,t know the word. I had to C a dictionary.A. look outB. make outC. refer toD. goover35.The rules of safe driving D to everyone.A. adoptB. approachC. attachD. apply36.What a lovely party ! It,s worth __B all our lives.A. to rememberB. rememberingC. to be rememberedD. being remembering37. A you are on your own, you can make your own decisions.A. Now thatB. WhenC. AsD. Because of38.His courage and confidence were based C knowledge.A. ofB. toC. onD. for39.Joan has been B on her sick mother for years.A. attainingB. attendingC. attemptingD. attracting40.You must be in a hurry, otherwise, you can,t C the schoolbus.A. keep up withB. getC. catchD. catch up withTask 2 (每题1分,共10分)Directions: There are 10 incomplete sentences here. You should fill in each blank with the proper form of the word given in the brackets.21.Neither the clerks nor the manager (know) knows _anything about the accident now.22.He has to check the (spell) —spelling of a difficult word before he uses it.23.He knows even (little)Less about the Olympic Games than I do.24.The street is a very (desire)desirabie place for you toopen a new store.25.The police promised that they (try)wouldtry their bestto look into the matter.26.Most of the people (invite)invited to the dinner partyyesterday were my friends.27.This is a very (danger)dangerous road; there were atleast five serious accidents last year.28.During the earthquake the room (shake)shook and all thepictures fell off the wall.29.This is my (favor)favorite novel, and I have read itthree times..30.The teacher didn,t mind (help)helping the students in herspare time.31.His teacher is busy (correct)correcting papers.32.They are (eager)eagerly waiting for the coming of NewYear.33.He rushed out (hurry )hurriedly.34.I,ll have my mother (mend)_mend the shirt for you.35.I sincerely thank you for your (invite)invitaion to theparty.36.Which job is (dangerous) moer dangerous, a police,s or a fireman,s ?37.What she said (surprise)suprised me.38.Most of the students don,t know the (important)importance of the event.39.Playing table tennis is my (favor)favorite sport.40.We have been informed the (equip) equipment will bearriving here in ten days.Part II ReadingDirections: This part is to test your reading ability. There are 5 tasks for you to fulfill. You should read the material carefully and do the tasks as you are instructed.Task 1 (每题1分,共5分)Directions: After reading the following passage, you will find 5 questions or unfinished statements. For each question or statement there are 4 choices marked A),B), C) and D). You should make the correct choice.To be a good teacher, you need some of the gifts of a good actor; you must be able to hold the attention of your audience; you must be a clever speaker, with a good, strong, pleasing voice which is fully under your control; and you must be able to act what you are teaching, in order to make its meaning clear.The fact that a good teacher has some of the gifts of an actor doesn't mean that he will indeed be able to act well on the stage, for there are very important differences between the teacher,s work and actor,s. The actor has to speak words which he has learnt by heart; he has to repeat exactly the same words each time he plays a certain part, even his movements and the ways in which he uses his voice are usually fixed beforehand. What he has to do is to make all these carefully learnt words and actions seem natural on the stage.A good teacher works in quite a different way. His audience takes an active part in his play; they ask and answer questions, they obey orders, and if they do n,t understand something, they say no. The teacher therefore has to suit his act to the needs of his audience, which is his class. He can,t learn his part by heart, but must invent it as he goes along.1.The word “gifts” in Line One means C.A. presentsB. clevernessC. something belongs to a good actorD. the way a teacher should act in class2.In what way is a teacher,s work different from an actor,s? CA.The teacher must learn everything by heart.B.He knows to control his voice better than an actor.C.He has to deal with unexpected situations.D.He has to use more facial expressions.3.There are some similarities between teachers and actors except —D.A. a good, strong and pleasing voiceB.the ability to hold the attention of the listenersC.you must be a clever speakerD.the ability to control unexpected situation4.Which of the following is TRUE ? AA. A teacher cannot decide beforehand what exactly he is going to say in class.B. A teacher must have better memory than an actor.C. A teacher's voice must be nicer than an actor.D. A teacher has to learn by heart what exactly he is going to say in class.5.According to the passage, which is the best title ? BA.How to Become a Good Actor.B.Teachers and Actors.C.How to Become a Good Teacher.D. A Good Teacher.Task 2 (每题1分,共5分)Directions: This task is the same as Task l.First impressions are often lasting ones. Indeed, if you play your cards right, you can enjoy the benefits of what is called “halo (光环)e ffect”.This means that if you are viewed positively within the critical first four minutes, the person you have met will likely assume everything you do is positive.Four minutes. Studies tell us that is the critical period in which impressions are forme d by someone we,ve just met. People tend to focus on what they see (dress, eye contact, movement), on what they hear (how fast or slowly we talk, our voice, tone and volume), and on our actual words.Most employers believe that those who look as if they care about themselves are more likely to care about their jobs. We know “It,s what's inside that counts, ” but research shows that physic attractive people are generally perceived by employers as more intelligent, likable and believable.Here,s how to make those critical four minutes count:First, look your best. It signals success. Studies have linked clothing consciousness to high self-respect and job satisfaction.Second, monitor your body language. How you move and gesture will greatly influence an interviewer's first impression of you.Third, say what you mean. Your goal is to show confidence and be believed. Hold that favorable first impression by making your words consistent with your body language and appearance.Finally, there is a matter of how you speak. Any professional voice coach will tell you that you can learn how to sound more relaxed, more assertive(坚定的),and more confident.6.What kind of person is to be accepted by the employer? DA.One who is physically excellent.B.One who is capable of talking.C.One who is fairly modest?D.One who cares about oneself.7.When people meet you for the first time, they will A.A.notice all your behaviorsB.listen to you patientlyC.try to avoid eye-contact with youD.act as friendly as possible8.If you want to benefit from the so-called “halo-effect”, you have to learn how to C.A.create a lasting impressionB.act as if you were playing cardsC.make the first impression rightD.be critical within the first four minutes9.In the sentence “It,s what,s inside that counts,” (L.3, Para.3) what do es the word “count” mean? DA.Do calculation.B.Make a conclusion.C.Take into consideration.D.Be important.10.Which of the following could probably be the title of this passageBA.Be More ConfidentB.The Deepest Impression.C.The Attractive Four MinutesD.How to Impress InterviewersTask 3 (每题1分,共5分)Directions: The following is an article. After reading it, you should complete the information by filling in the blanks marked 11 through15 in the table below.Experience two great theme parks in one Resort——Disney,s California Adventure park and right next door Disneyland park. Just footsteps away, extraordinary entertainment, shopping and dining await in the Downtown Disney District. And when you and your family stay at one of the Hotels of the Disneyland Resort, you,re right in the middle of all the magic!And now, one child receives a free Disneyland Resort Park Hopper Ticket with each adult ticked purchased in a Disney vacation package. You can go back and forth between Parks as often as you like.Discover the friendly faces and magical places of the Disneyland Resort and see why thisspectacular destination is more vacation magic than you could ever imagine!Disney VacationThere are two great theme parks in the great resort: Disney,s California Adventure Park and _11—Disneyland Park.In the Downtown Disney District you can have extraordinary entertainment,—12. shopping and_13dining .Andnow, one child receives a _14_free Disneyland Resort Parkticket with each 15_ adult ticket purchased in a vacation package.G ------ high rate savings currencyI ----- authorized signatureK ------- not transferableM ------- demand depositO ------- only valid in this country Q ------- repayableExamples: (F)注销帐户16.( G )高息储蓄17.( O )国内有效18.( K )不得转让B ------ fixed depositD ------ a ccounts payableF ----- c ancel an accountH ------ receipt in foreignJ ------ i nterest rateL ------ t he sum of the depositN ------ credit cardP ------ received from(C)不可撤消信用证( I )授权签章(B )定期存款Task 4 (每题1分,共5分)Directions: The following is a list of kitchen items. After reading it, you are required to find the items equivalent to those given in Chinese in the table below. Then you should put the proper letters in the bracketsA ------- c urrent accountC -------irrevocable creditE ------ open an account(A )活期帐户19.(H )外币存单(N )信用卡20.( E )开户(J )利率Part III Reading ComprehensionDirections: This part is to test your reading ability. There are 5 tasks for you to fulfill. You should read the material carefully and do the tasks as you are instructed.Task 1 (每题1分,共5分)Directions: After reading the following passage, you will find 5 questions or unfinished statements. For each question or statement there are 4 choices marked A),B), C) and D). You should make the correct choice.Everyone knows the small insects called mosquito. It is possible to find mosquitoes in almost every part of the world except in the places where it is extremely cold or where it is very dry. During the summer, it is almost certain that you can find many mosquitoes near swamps(沼泽),ponds, and lakes.Mosquitoes have an interesting life cycle. The female mosquito bites a person or animal in order to get some blood. She needs this blood before she can lay her eggs.Second, she flies to an area of water and deposits (存放)her eggs in the water. In a few days the eggs open, and the baby mosquitoes , called larvae, come out . In a short time, they will be mature and fly away.It is interesting to note that only the female will bite for blood. She has aspecial mouth which can go into an animal's skin or a person's skin. On the other hand, the male mosquito can only drink plant juices with his mouth.1.The author suggests that all mosquitoes like BA . blood B. wet areas C. cold water D. dry climates2.Only the A will bite for blood.A. femaleB. mosquitoC. maleD. baby mosquitoesrvae are C.A. mosquito eggsB. animal skinC. baby mosquitoesD. male mosquitoes4.Female mosquitoes lay eggs _D.A. in human bloodB. in plant juicesC. in cold areasD. in water5.The male mosquito —A with his mouth.A. can only drink plant juicesB. can get bloodC. can eat anythingD. Both A and BTask 2 (每题1分,共5分)Directions: This task is the same as Task l.We walked in so quietly that the nurse at the desk didn,t even lift her eyesfrom the book. Mum pointed at a big chair by the door and I knew she wanted me tosit down. When I watched, mouth open in surprise, Mum took off her hat and coat and gave them to me to hold. She walked quietly to the small room by the lift and took out wet mop. She pushed the mop past the desk and as the nurse looked up, Mum nodded and said, “Very dirty floor s.”“Yes. I,m glad they,ve finally decided to clean them,” the nurse answered. She looked at Mum strangely and said, “But aren,t you working late?” Mum just pushed harder, each swipe of the mop taking her farther and farther down the hall. I watched until she was out of sight and the nurse had turned back to writing in the big book.After a long time Mum came back . Her eyes were shining. She quickly put the mop back and took my hand. As we turned to go out of the door,Mum nodded politely to the nurse a nd said, “Thank you.”Outside , Mum told me: “Dagmar is fine. No fever.”“You saw her, Mum?”“Of course. I told her about the hospital rules, and she will not expect me until tomorrow. Dad will stop worrying as well. It,s a fine hospital. But such floors! A mop is no good. You need a brush.”6.When she took a mop from the small room what Mum really wanted to do was C.A. to clean the floorB. to please the nurseC. to see a patientD. to surprise the story-teller7.When the nurse talked to Mum she thought Mum was a D.A. nurseB. visitorC. patientD. cleaner8.After reading the story what can we infer about the hospital? BA.It is a children,s hospitalB.It has strict rules about visiting hours.C.The nurses and doctors there don,t work hard.D. A lot of patients come to this hospital every day.9.Why did Mum go to see Dagmar in the hospital ?D.A.To give her some message about Dad.B.To make sure her room was clean.C.To check that she was still there.D.To find out how she was.10.Which of the following words best describe Mum?AA. cleverB. patientC. changeable d. politeTask 3 (每题1分,共5分)Directions: The following is an article. After reading it, you should complete theinformation by filling in the blanks marked 11 through 15 in the table below.All of us who live a busy life may ask this question: how can I find time to read? The answer may be 15 minutes a day at any time. No universal formula can be prescribed; each of us must find our own 15-minute period each day. It is better if it is regular.The only requirement is the will to read. With it you can find the 15 minutes no matter how busy the day is. And you must have the book at hand. Not even seconds of your 15 minutes should be wasted starting to read. Set the book out in advance. Put it into your pocket when you dress. Put another book beside your bed. Place one in your bathroom. Keep one near your dining table.You can,t escape reading 15 minutes a day, and that means you will read half a book a week, 2 books a month, 20 a year, and 1,000 or more in a lifetime reading. It,s an easy way to become well read.How to Find Time to ReadThe suitable time may be 11_minutes a day at any time.It,ll be better if 12_it is regular.The only requirement is the 13_ will to read.You must have the book at hand in order not to waste even seconds of your 15 minutes to_14 start to read.If you can keep on , it will be an easy way to become _15_ well readTask 4 (每题1分,共5分)Directions: The following is a list of kitchen items. After reading it, you are required to find the items equivalent to those given in Chinese in the table below. Then you should put the proper letters in the bracketsA——fridge B ----- cupboardC ---- cookerD ----- oven gloveE ---- microwaveF ----- draining boardG ---- dishes H ----- washing machineI ----- dishwasher J ------- toasterK ----- food processor L ------ fire extinguisherM ----- breadboard N ------- w astebasketO ----- dishclothExamples : (M)面包片加热器16.(K )食品加工器(H )洗衣机17( E )微波炉(J )烤炉18.(A )冰箱(N )废纸篓19.(I )洗碗机(L )灭火器20.(B )碗柜(C )橱具Part III TranslationDirections: This part numbered 61 through 65 is to test your ability to translate English into Chinese. After each sentence, you will read four choices of suggested translation. You should choose the best translation and mark the corresponding letter on the answer sheet. And write your translation in the corresponding space at last.1.It is not until the day before yesterday that he was aware of the truth.A.直到前天他也没有意识到真相。
商务英语写作复习题1.建立业务关系的信函●信息来源(告知对方你是从何渠道了解到对方的)●对你的公司做简单介绍(公司的业务范围,稍稍“宣传”一下你公司的产品和服务。
●写信的目的(你想与对方做什么生意,比如,想购买对方的产品,推销你自己的产品,想与对方建立合资公司等)。
●表达与对方合作和早日收到回复的愿望。
Sample LetterMay 10, 2003Dear Sirs,We have obtai ned the name and address of your corporation from the Commercial Counselor’s Office of your Embassy in our country, through whom we learned that you are the manufacturers and exporters of bamboo products.We are very pleased to communicate you for the possibility of trading together. We have been in business as importers of general merchandise since 1965 and can particularly boast of having vast and wide experience in the business line of bamboo products. Our bankers are Guarantee Trust bank, Holland, from whom you will be able to get any information you may require concerning our business character and financial standing.We should appreciate it if you would let us know your trade terms and forward us copy of your catalogue or helpful literature and your latest price list.We look forward to the pleasure of hearing from you soon.Yours faithfully2.订购函你公司准备向某公司订购一批产品。
大学商务英语试题及答案一、选择题(每题2分,共20分)1. The term "B2B" refers to:A. Business to BusinessB. Business to ConsumerC. Consumer to ConsumerD. None of the above答案:A2. Which of the following is not a function of a marketing mix?A. ProductB. PlaceC. PriceD. Profit答案:D3. In international trade, a Letter of Credit (L/C) is used to:A. Secure paymentB. Reduce costsC. Increase salesD. Promote products答案:A4. What is the meaning of "FOB" in shipping terms?A. Free on BoardB. Freight on BoardC. Full of BeliefD. First of Business答案:A5. The process of negotiating a contract is known as:A. ContractingB. ContractualizationC. Contracting outD. None of the above答案:B6. Which of the following is a type of business agreement?A. Memorandum of Understanding (MOU)B. Memorandum of Disagreement (MOD)C. Memorandum of Non-Compliance (MNC)D. Memorandum of Agreement (MOA)答案:A7. The acronym "ROI" stands for:A. Return on InvestmentB. Risk of InvestmentC. Rate of InterestD. Regulation of Industry答案:A8. What is the role of a "wholesaler" in the supply chain?A. They sell products directly to consumersB. They buy products in bulk and sell them to retailersC. They manufacture productsD. They provide raw materials for production答案:B9. The term "SWOT analysis" refers to:A. Strengths, Weaknesses, Opportunities, ThreatsB. Skills, Workforce, Opportunities, TechnologyC. Systems, Workflows, Operations, TechnologyD. None of the above答案:A10. In business, "due diligence" is the process of:A. Paying taxesB. Conducting a thorough investigationC. Preparing financial statementsD. Hiring new employees答案:B二、填空题(每空1分,共10分)1. The four Ps of marketing are Product, Price, ______, and Promotion.答案:Place2. A ______ is a document that outlines the terms andconditions of a business agreement.答案:Contract3. The acronym "BOPIS" stands for Buy Online, Pick up In-Store, which is a strategy used by retailers to enhance the ______ experience.答案:Customer4. In business, a "________" is a situation where a company has more liabilities than assets.答案:Insolvency5. The process of identifying and analyzing the target market is known as ______.答案:Market Segmentation6. A "________" is a financial statement that provides a snapshot of a company's financial position at a specific point in time.答案:Balance Sheet7. The term "________" refers to the process of identifying, anticipating, and assessing risks in a business.答案:Risk Management8. A "________" is a type of financial instrument that represents ownership in a company.答案:Stock9. The "________" is a measure of the value of goods and services produced by an economy over a specific time period.答案:Gross Domestic Product (GDP)10. A "________" is a form of indirect taxation levied on the sale of goods and services.答案:Value Added Tax (VAT)三、简答题(每题5分,共20分)1. What are the key elements of a business plan?答案:A business plan typically includes an executive summary, company description, market analysis, organization and management structure, product or service line, marketing and sales strategy, funding request, and financial projections.2. Explain the concept of "branding" in business.答案:Branding is the process of creating a unique name, symbol, or design that identifies and differentiates a company's products or services from those of other competitors. It aims to create a lasting impression in the minds of consumers and establish a strong brand identity.3. What is the purpose of a SWOT analysis in business strategy?答案:A SWOT analysis helps a business to identify its Strengths, Weaknesses, Opportunities, and Threats. It is used to assess the internal and external factors that can。
《商务英语》复习题(含答案)选择填空-As you know, I'm not quite familiar with how to shop online-It's a piece of cake! I'll show you how to do it.First of all, you should find a good e-commerce site.Consumerscan't digest too much information on a web page, resulting in low rates of return.-Great! Maybe from now on, I should try to buy goods online.-Why not? Go ahead. Just give it a try.I know personal selling is also a very effective tool for building up buyers' confidence.-I think we can use two or more kinds of media together in an advertisingcampaign.-That's quite right. We can attract morepeople.In China, Taobao is one of the most popular e-commerce sites.In my opinion, the first thing to be discussed iswhat tools we should use.It can be aimed at individuals with select surfing behavior.-Morning, Daniel. Today I'd like to discuss the promotional events of ourproducts with you.-Ok. I think we should draw up a thorough plan,first.-Uh, I think online shopping is very time-consuming.-I somewhat agree with you, but not completely.As it is known that the aim of every business is to make asmuch profit as possible.-But why is it so much higher in this market?-There are many rich people in this area.-I wonder if you are able to offer market exclusivity for all of China?-Thank you for your interest in representingour product.-It seems that the sales volume has not reached our objective.-It's true. I'm sorry about that.-Ok, what are your initial thoughts on ourcomputers in China? Is there amarket?-I am very optimistic about the marketopportunities in China.Sometimes it takes up over half the total time spent on a researchproblem.This is one of the main ways that a business learns what customers want.We are full of confidence in the Chinese market.-We are now looking for agents to conver southern China.-Excellent.I'm very familiar with the market there.When data has been collected, it has to be analyzed to decide what it allmeans.-How soon will you finish our TV commercial?-It will take at least three weeks.-What is your intention after resigning yourcurrent job?-I'm planning to go to Canada for further study.-How often does your department hold a meeting?-Once a week.-Which edition would you like youradvertisementto appear in?-We would like to get in with the fall publication, if possible.It will take at least two weeks just to get the storyboard written up.Our advertising rates are based on size and location.Remember we want to create a forward-looking image as well as increase the awareness of our brand.The Digital Image Processing of this copier is a prime reason you can count on it.The Smart Color Laser Copier is comparable to professional editing.-This is Focus Advertising Agency. How may I help you?-I need some information on the advertisingrates of your magazines.-What does taxable income refer to?-In most cases, it is the total income received.-Generally speaking, value added tax is mainly charged on the taxable services.-Well,what do you mean by that?The higher our income is,themore tax we should pay.Denial, do you know how to register with the taxation bureau now?-Is there any time requirement for registration?-Certainly. We should register,within 30 days after we receive our business license.Mobile banking functions nearly the same as telephone banking.-Need we fill in the application form?-Yes, you must.Tax,which can be used in public services, is veryimportant to our country.You should make sure that your password is long enough to prevent it from being easily hacked.-You want to know about the value added tax, don't you?-Yes, could you give me a brief overview of it?-How is everything going?-It is not bad. I have worked in this bank for two years and I love my currentjob.-Do you mean that deposits and withdrawals areposted to my account immediately?-Yes, we process cash transactions as soon asthey take place.-Hi, Wang Li, is that you? Long time no see.-Yes, it's been ages. It's nice to see youhere.-How about your friend, Li Yan? Does she work in the same department with you?-She is an assistant auditor and works in theauditing department.I have just changed some dollars into RMB.Many of the larger banks may deal in financial instruments.Online computer systems help us provide a speedy service to our customers.The Operations Department is the one which takes care mostof the day-to-daybusiness of the bank.What a coincidence! I didn't expect to meet you here.-Your bank is huge! It must have many departments.-It's true. Our bank consists of many departments.-Can we discuss the question of commodityinspection?-OK. As an integral part of the contract, theinspection of goods is particularly important.Needless to say, our customer was veryhappy with the quality of service.-But in your case, we strongly recommend War Risks and WPA.-OK, then please cover both War Risks and WPAfor us.-I suggest that you conduct a commodity re-inspection in a month.-That sounds good, but I'd like to know howmuch time it will take.-I'd like to know what insurance you will cover for your clients.-I suggest a Free of Particular Average Policy.-Now shall we move on to the next question?-Sure. Let's talk about the time of shipmentand payment.The sandbags stopped her property from being flooded.We'll accept the goods only if the results fromthe two inspections areidentical.What's the insurance rate for the shipment?Who issues the inspection certificate?-Could I suggest we meet to review the issue and propose a mutually satisfactorysolution?-Sure, we will try our best jointly to dealwith the issue.Consumption and investment, meanwhile, accounted for 4.5 and 1.2 percentage points offirst-quarter growth respectively.-Could I suggest we meet to review the issue and propose a mutually satisfactorysolution?-Sure, we will try our best jointly to dealwith the issue.-I'm afraid the goods we received yesterday are short of weight.-I'm sorry to say the shipment didn't turn outto be satisfactory.-Is it possible to find alternative payment terms for this order?-I'm afraid not. We insist on a letter ofcredit.-So could you make an exception and accept D/P?-I shall tell you frankly it would drasticallyincrease our riskThe company owns branches not only in Europe but also in North America.We enclose a copy of the statement for your reference.-We regret we cannot review your weight-shortage claim as it really has nothingto do with us.-But 15 tons of goods can't simply disappearinto thin air.We won't entertain your claim unless you have the inspection certification from theCommodity Inspection Bureau.You should be confident with our products,which enjoys a high prestige among the consumers.No matter what it may lead to, they always pursue the profitmaximization.A healthy diet should contain all the necessary nutrients.-How can people avoid food contamination nowadays?-The government should set strict rulestostandardize the production of food.-I'd like to have credit information about my corporate partner in Australia.-Well, our department deals with all kinds ofconsultant service.It assures that you are dealing with a trustworthy business partner.Nowadays, more and more attention is being paid to Business Ethics.The only thing for you to do is to fill in a form and sign it.-What do I have to do to get the credit information of our corporate partner?-It's not complicated. Just fill in a form andsign it.-What should a healthy diet contain?-A healthy diet should contain all theessential nutrients.-Why does food contamination seem to occur so frequently these days?-Because those food manufacturers only focus onmaking money.翻译题Actually, I have been thinking about online shopping for a long time.事实上,我一直考虑网上购物已有很长时间了。
《商务英语写作》考试试卷(5)《商务英语写作》考试试卷(5)Ⅰ.Fill in the blanks with appropriate words:(每小题1分,共25%)1.We have established an irrevocable letter of credit______ your favor with the Bank of China,Guandong.2.We are glad to enter ______ business relations with your corporation.3.We are awaiting your revised draft keen interest.4.Our foreign trade policy is based ______equality and mutual benefit.5.We shall book a trial order with you,______ goods are competitive in price and of good quality.6.As we are heavily committed, we are sorry that we are not in a ______ to accept new orders.7.We prefer payment by D/P ______ draft at 60-day's sight.8.Your quotation happens to be exactly the same______ we have received from Australia.9.We hereby register a claim with you____ the basis of here, we can obtain a number of orders foryou.10.Since we are well connected ______the department stores here, we can obtain a number of ordersfor you.11._____ you know, this is a popular brand, which can see easily in our market.12.We hope that you will look______ the cause of the defective goods.13.There is no question______ getting the necessary import license from our authorities.14.Please take the necessary steps ______delay.15.Your immediate reply should reach us not later ____ the end of this month.16.If the first shipment is satisfactory, we can______ with you some repeat orders.17.We hope this unfortunate incident will not affect the friendly relations ______ us.18.Please cable us as soon as ______,giving us all necessary information.19.We wish to acknowledge receipt of your letter of March 15,______ reached us yesterday.20.In view of the long-stinging business relations ______ us, we wish to settles this disputeamicably.21.Risks other______ All Risks and War Risk can be covered if the extra premium should be borneby the buyer.22.Please do everything necessary ______ as to enable us to send you the relevant documents at anearly date.23.We trust the mentioned shipment will reach you ______ sound condition.24.As to chemical products we are well connected _____ the major producers in America.25.We are glad that in the past few years,______ joint efforts, have greatly promoted both businessand friendship.Ⅱ.Choose the best answer:(每小题1分,共20%)1.We look forward to a trial order.A.Receiving B. receive from you C.receipt D.receipt your2.We some brochures to illustrate the products we manufactured.A.enclose to you B.enclose you C.enclose D.Enclose you3.If you will send us a catalog by air, we shall very much.A.appreciate B.appreciating C.appreciation D.Appreciate it4.We would like to take this to establish business relations with you.A.step B.opportunity C.advantage D.Opening5.The shipment time is June or July at our and the goods will be shipped in oneA.option,lot B.option,consignmentC.choice shipment D.decision,cargo6.The first shipment of pens has turned out to the of the of our customersA.satisfy B.satisfied C.satisfaction D.Satisfactory7.I want to acquaint myself the supply position of steel products.A.of B.with C.for D.About8.As it only a smal1 quantity,we hope you will have no difficulty in settling this matter.A.involves B.involved C.has involved D.may have involved9.In case the said goods are not available stock. Please keep us informed at all early date.A.i n B.by C.from D.Out of10.It is the usual practice here that shirts are packed cartonand l0 cartons strongseaworthy wooden case.A.in,in B .in,to C.to,in D.to,to11.You can find for black tea here.A.a ready market B.most popular C.great popularity D.Selling fast12.We are glad that We have an agreement on this matterA.come B.got C.reached D.Arrived13.We cannot see any possibility of business your price is too highA.since B.while C. thought D.that14.we have made that we would accept D/P terms for your future orders.A.clear B.it clear C.that clear D.it is clear15.we would make you the following offer,subject to your reply us not later thanNovember 25.A.reach B.reaching C.reaches D.Being reached16.Please to let us have your offer as soon as possible.A.do the best B.Do your best C. make the best D. Make your best17.we assure you of our ful1 in executing the contract.A.cooperation B.attention C.Intention D.Appreciation18.our S/C No.301,we wish to say that the goods will be shipped by Oct.10.A.With reference to B.Refer to C.Referring D.With refer to19.After inspection of the shipment,we found 5 casesA.missing B.1osing C.missed D.Lost20.your letter of March 5,we are pleased to inform you thatthe L/C has been received.A.Replying to B.Replying for C.Replied to D.Replied for Ⅲ.Translate the following sentences into Chinese:(每小题2分,共20%)1.we regret that your counter-offer is not acceptable to us as the price we quoted is quite realistic.2.samples and quotations at favorable prices will be immediately sent to you upon receipt of yourspecific enquiry.3.we desire some sample of your products in order to acquaint ourselves with the material andworkmanship before we place a large order with you.4.with regard to our order for 600 sets “Butterfly” Brand sewing Machines,We have alreadyreceived your Sales Contract No.5678.5.As the goods under Contract No. 1986 are now ready for shipment、please rush your L/C withthe least possible delay6.We might add here that,owing to heavy demand,our offer remains firm until December 20 andthat there is little likelihood of the goods remaining unsold once this particular offer has lapsed.7.We are lodging a claim on the shipment ex S/S “East Wind” for short delivery.8.We wish to call your attention to the validity of the L/C since there is no possibility of L/Cextension.9.We confirm having cabled you an offer of 30 metric tons walnut meat at RMB 21,860 Yuan permetric ton CIF European Main Ports for November shipment.10.It will be appreciated if you will immediately let us have your firm offer for machine tools,preferably by cable.Ⅳ Translate the following sentences into English:(每题3分,共15%)1.按照你方要求,兹另邮寄中国棉布的样本二份.2.制造厂接订货太多,我们只能答应3月份装船.3.兹随函退回销售合同一份,该合同我们已经会签.4.你方必须降价2%,否则没有成交的可能.5.如果没有你的明确,指示,我们将按一般惯例投保水渍险和战争险.V. Write a business letter in English: (20%)来信收悉,在收到你公司信件之后,我们立即与制造厂取得联系,催促他们赶快交货.因为他们迟尺不复,装船期不能肯定,我们在上个月没有答复你方的信件,深为抱歉.经过再三努力,已商定装“东风”轮,预计本月二十四日左右开航.装货完毕,当即电告装运通知.。
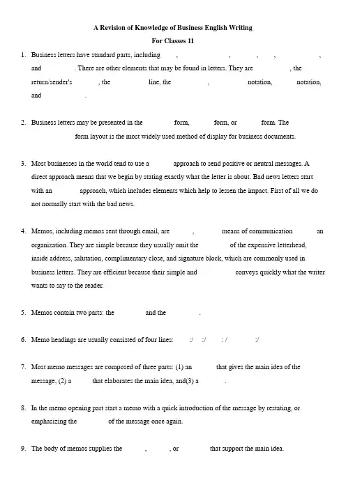
A Revision of Knowledge of Business English WritingFor Classes 111.Business letters have standard parts, including ____, ______________, _______, ____, ____________,and _________. There are other elements that may be found in letters. They are __________, thereturn/sender's _______, the __________ line, the __________, __________ notation, ______ notation, and ____________.2.Business letters may be presented in the ________ form, ______ form, or ______ form. The____________ form layout is the most widely used method of display for business documents.3.Most businesses in the world tend to use a ______ approach to send positive or neutral messages. Adirect approach means that we begin by stating exactly what the letter is about. Bad news letters start with an _______ approach, which includes elements which help to lessen the impact. First of all we do not normally start with the bad news.4.Memos, including memos sent through email, are ______, _______ means of communication ______ anorganization. They are simple because they usually omit the ________ of the expensive letterhead, inside address, salutation, complimentary close, and signature block, which are commonly used in business letters. They are efficient because their simple and __________ conveys quickly what the writer wants to say to the reader.5.Memos contain two parts: the ________ and the _________.6.Memo headings are usually consisted of four lines: ____:/ __:/ ____: /________:/7.Most memo messages are composed of three parts: (1) an ______ that gives the main idea of themessage, (2) a _____ that elaborates the main idea, and(3) a _______.8.In the memo opening part start a memo with a quick introduction of the message by restating, oremphasizing the ________ of the message once again.9.The body of memos supplies the ______, ______, or ________ that support the main idea.10.A business meeting notice involves determining the ________ of the meeting and deciding its__________, ____, and ____. The second is to inform all the participants of this information in advance, so that they could understand what role they would be in the meeting, read all the papers related to the issue, think about what they would say during the meeting, and expect what result would be achieved.11.The agenda, a _____ ______ for a meeting, is an important document to help the meeting run smoothly.It contains a list of ______ to be discussed in the meeting, the ______ of the person responsible for the topic, and the approximated amount of ____ for each topic. Chinese students often get confused between the words agenda and schedule. The former is a list of the subjects to be discussed at a meeting and the latter shows the times when and event starts and ends. Another word to be mentioned, ___________, isa plan for the places to go.12.The format of the agenda of a formal meeting consists of title date of the meeting, and the four columnsindicating ____time__________, _____order_______, ______event______, ______responsibleperson____________.13. Business reports can mainl be classified by content: ________, ________, ________ reports; or by function: _________, _____________ reports.13.The organization and components of a formal report depend on the type and the length of the report andthe requirements of your readers. However, a typical formal report includes three parts: ________ parts, _____, and ___________ parts.14.The prefatory part is composed of the _____, ________ page, letter of ________ and letter of _______,letter of ________, executive _______, table of ________, and list of ________.15.A business plan is a written proposal that allows potential supporters to evaluate ideas for a ___ ___________. It is often written for financial institutions, consulting firms, or business partners to seek________, ________, or _______.16.A business plan differs from a business propasal in that the former is created for the purpose of_______________, while the latter is for various purposes, such as ________________, selling a new product, adopting a new production method, or purchasing new equipment.17.The body of a business plan comprises: _____________; Market _______ and ________; The_________; __________.18.The corporate annual report is a _______ ________ document that companies publish annually in_______ newspapers and filed at relevant ______ ______. Increasingly, it is made available on the company’s ___ ____.19.Despite some differences, the annual report typically falls into six major sections: ________ _______,________’s Statement to the shareholders, Chief Executive’s ________, ________’s Report, ______ ________, and _______ of Directors.20.The press release is a type of ___________ writing companies and organizations usually produce toannounce to the _______ their new _______ or _______, special ______ of the companies ororganizations, management _______, or ___________ of social action or cultural programs.21.The press release is usually typed on letterheaded paper. The its layout falls into five components, suchas ______ ____, ________, _____, ______ and General _____.1.Business letters have standard parts, including date, inside address, salutation, body, complimentaryclose, and signature. There are other elements that may be found in letters. They are reference, the return/sender's address, the attention line, the subject line, enclosure notation, copy notation, andpostscript. The sample below presents the standard and optional parts of business letters.2.Business letters may be presented in the full block form, indented form, or mixed form. The full blockform layout is the most widely used method of display for business documents. The sample letter in the sample business letter is in full block form.3.Most businesses in the world tend to use a direct approach to send positive or neutral messages. A directapproach meands that we begin by stating exactly what the letter is about. Bad news letters start with an indirect approach, which includes elements which help to lessen the impact. First of all we do notnormally start wiht the bad news.4.Memos, including memos sent through email, are simole, efficient means of communication within anorganization. They are simple because they usually omit the formality of the expensive letterhead, inside address, salutation, complimentary close, and signature block, which are commonly used in business letters. They are efficient because their simple and direct composition conveys quickly what the writer wants to say to the reader。
商务英语试题及答案一、选择题(每题2分,共20分)1. Which of the following is NOT a common business activity?A. MarketingB. ProductionC. Human ResourcesD. Personal Hobbies2. What does the abbreviation "CEO" stand for?A. Chief Executive OfficerB. Chief Engineering OfficerC. Chief Education OfficerD. Chief Environmental Officer3. In a business context, what does "B2B" refer to?A. Business to BusinessB. Business to ConsumerC. Business to GovernmentD. Business to Environment4. When writing a business email, which of the following is NOT recommended?A. Using a professional email addressB. Keeping the subject line clear and conciseC. Writing in all capital lettersD. Including a signature with contact information5. The term "due diligence" is commonly used in which of the following scenarios?A. Preparing a business planB. Conducting an auditC. Negotiating a merger or acquisitionD. Organizing a product launch6. What is the purpose of a SWOT analysis in business?A. To analyze the strengths and weaknesses of a companyB. To outline the company's mission and visionC. To create a financial forecastD. To set sales targets7. Which of the following is NOT a type of business structure?A. Sole ProprietorshipB. PartnershipC. CorporationD. Non-profit organization8. What does "ROI" stand for in business?A. Return on InvestmentB. Risk of InvestmentC. Revenue of InvestmentD. Rate of Investment9. In a negotiation, what is the meaning of "BATNA"?A. Best Alternative to a Negotiated AgreementB. Basic Agreement Terms and NegotiationsC. Business Agreement Trade Negotiations AgreementD. Business Analysis Terms and Negotiations10. Which of the following is a key element of a business proposal?A. Executive summaryB. Personal biographyC. Detailed budget for personal expensesD. List of competitors' weaknesses二、填空题(每空2分,共20分)1. The process of identifying, analyzing, and mitigating potential risks is known as ________.2. A business plan typically includes a section on ________, which outlines the company's goals and strategies.3. In a sales contract, the ________ clause specifies the terms under which the buyer may return the product.4. The ________ is responsible for managing the company's finances and ensuring compliance with financial regulations.5. When a company is looking to expand, it may consider________, which involves entering a new market or creating a new product line.6. The ________ is a document that outlines the terms and conditions of a business agreement.7. A ________ is a type of financial statement that shows a company's income and expenses over a specific period.8. The ________ is the process of evaluating a company's financial performance over time.9. A ________ is a type of business entity that is owned and operated by a single individual.10. The ________ is the process of researching and analyzing the market to understand customer needs and preferences.三、简答题(每题15分,共40分)1. Describe the importance of effective communication in international business and provide examples of potential communication barriers.2. Explain the role of a project manager in a businesssetting and outline the key responsibilities associated with this role.四、案例分析题(20分)Read the following scenario and answer the questions that follow:A multinational company is considering entering the Asian market. The company has identified several potential partners for a joint venture. The management team is now preparing for a series of negotiations to determine the best partner for the venture.Questions:1. What factors should the management team consider when evaluating potential partners?2. How can the company ensure that the negotiations are conducted in a culturally sensitive manner?商务英语试题答案一、选择题1. D. Personal Hobbies2. A. Chief Executive Officer3. A. Business to Business4. C. Writing in all capital letters5. C. Negotiating a merger or acquisition6. A. To analyze the strengths and weaknesses of a company7. D. Non-profit organization8. A. Return on Investment9. A. Best Alternative to a Negotiated Agreement10. A. Executive summary二、填空题。
商务英语写作复习资料Ⅰ. Choose the Best Answer.1. We ______ be glad if you could send us samples and quotations.A. shallB. willC. shouldD. could2. If you find our price ______, please send us an email for our final confirmation.A. acceptanceB. acceptedC. acceptingD. acceptable3. By joint efforts we can _____ both friendship and business.A. increaseB. promoteC. expandD. extend4. The sugar was dispatched two weeks ago and __________ you by now.A. should have reachedB. should reachC. have reachedD. reach5. We wish to establish direct business relations __________ you.A. forB. withC. fromD. to6. Please send us your ___________catalogue together with samples you can let ushave.A. illustrateB. illustratedC. illustratingD. illustration7. We shall appreciate it if you will see to it that amendment is cabled _________delay.A. inB. out ofC. withinD. without8. We are unable to _______ with your request in your letter of Jan. 31, 2002.A. composeB. confirmC. conformD. comply9. We offer these goods subject ___________their being unsold on receipt of your order.A. inB. withC. onD. to10. _________, we are interested in building business trade relations throughout theworld.A. As your requestB. For your confirmationC. You informedD. For your information11. _______ you can reduce your quotations, we shall have to buy elsewhere.A. BeforeB. AfterC. Seeing thatD. Unless12. We are not in a position to supply you, as the goods are _______.A. without stockB. outside in stockC. out of stockD. no stock13. The goods under Contract NO. 3617 left here _______.A. in a good conditionB. in good conditionsC. in good conditionD. in the good condition14. We are ______ your letter of January 8 and will duly act on your instruction.A. upon receipt ofB. in receipt ofC. receiveD. to receive15.Our best quality products will find a ready ______ in your area.A. marketB. orderC. customerD. consignment16. Could you make us a firm offer _____________ shoes?A. ofB. forC. offD. at17. We _____ you for the special offer you send us.A. thankB. appreciateC. be gratefulD. thankful18. We are looking forward to _____ your L/C for Order No 123.A. receiveB. receivingC. be receivedD. be receiving19.As it involves only a small _____,we hope you will have no difficulty on promotion.A. qualityB. figureC. quantityD. number20. The stipulations in the relevant L/C should strictly __________ the terms set force in our Sales Confirmation.A. in conformity withB. in accordance withC. conform toD. conform with21. We will forward all the necessary information of the item mentioned above ____ receipt of your specific inquiry.A. atB. ofC. uponD. for22.We offer these goods subject ___________their being unsold on receipt of your order.A. inB. withC. onD. to23 Will you please send us your catalogue together ______ a detailed offer?A withB toC ofD for24 We are well acquainted ________ the market conditions in Southeast Asia.A. ofB. withC. forD. in25. When submitting our quotation, we suggested that the relevant L/C ___________as early as possible.A. be establishedB. establishesC. is establishedD. would be established26. As you failed to make delivery in time, we have no choice ___________ our order with you.A. but to cancelB. but cancelC. but cancelingD. but cancelled27. We shall appreciate ___________ us CIF Melbourne.A you quote B. you to quoteC. you quotingD. to you quoting28. We have been happy to ___________ your credit based on your promise to pay according to our terms.A. expandB. prolongC. extendD. lengthen29. The stipulations in the relevant L/C should strictly __________ the terms set force in our Sales Confirmation.A. in conformity withB. in accordance withC. conform toD. conform withⅡ.In Each Blank Space Write out the Word with the First Letter Given. 1. Please make out your Sales Contract in t______.2.Since we s__________ in the export of cotton and rayon goods, we wish to express our desire to trade with you in this line.3. Our urgent need of the goods requires prompt s______, for any delay in it would cause us inconvenience.4.If you do not have any of the listed in stock, please do not send s__________ intheir place.5. Owing to heavy c_________, many orders haven’t been made, we can only accept orders for October shipment.6.If the first order proves satisfactory, we will place with you many r_______orders.7.We look f_______ to your further orders.8.Thanks to your c_________, we succeeded in putting the deal through.9.We think that the quality of other products does not m_________ up to that ofours.10.I’m ready to place an o______ with you,but only one condition is that the goodsare confined to us.11.We are in the market for bed-sheets and would like you to q ______ us on theCFR Paris basis including sizes, colors and patterns.12.Will you please send us s_____ of the best printing papers you can offer of thefollowing kinds答案1.triplicate2. specialize3. shipment4. substitutes5. commitments6. repeat7.forward8.cooperation9.measure 10. order11.quote 12. samplesⅢ. Translate the Following Sentences into Chinese.1.We very much hope that you will be able to attend our wedding ceremony andlook forward to meeting you on 22 November.2. Customers will be provided with the best service owing to our long experience in the catering business.3. On behalf of every staff in the company, I would like to sincerely congratulate you on your recent appointment to General Manager of the Nottingham Bureau.4. We have great interest in importing your Ivory camera displayed at Guangzhou Trade Fair.5. Under the circumstances, all we can do concerning your request is to suggest you change to one of our European tours.6. Although the ABC Company has reserved the clubhouse for Saturday, we can instead offer you our conference room, which seats 60.7.The recommendation is based on the research I’ve done in the past three y ears,and I believe it will work well.8.We are interested in importing motorcycles and would be grateful if you wouldsend us a copy of your latest catalogue, your price list, and export term.9. As our market is now somewhat slow and prices are generally low, you can very fortunate in making purchase at this time.10. For your information, the market is strong with an upward tendency. We recommend your immediate acceptance.答案:1.我们非常希望你能参加我们的结婚典礼,希望能在11月22日那天见到你。
商务英语写作复习题I.Structure and vocabulary.1.The company was slow to restructure, and its problems could carry over into another _____c___ profit decline in 1996.A. essentialB. substanceC. substantialD. sensatory2. The profit or loss on the disposal of ____b____ must be accounted for.A. a setB. an assetC. an assaultD. a resolve3.The overseas aid budget has been almost ____d____, from $18m to just over $10m.A. halfedB. splittedC. halfD. halved4. This profit has been resulted largely from a reduction of RMB 27 million in expenditure, ___c___ because of two factors.A. drawnB. reachedC. achievedD. provided5. In my opinion, he's ____d__ the most imaginative of all the contemporary poets.A. in allB. at bestC. for allD. by far6. It’s estimated that the company has a(an)__c____of 2 million US dollars and is regarded as one of the most trustworthy clients in this area.A. numberB. financeC. assetD. status7. Moreover, __b____ Nikon tractors were considered more attractive in appearance; I suggest experimenting with new designs for our next model.A. withB. sinceC. due toD. so as to8. He soon received promotion for his superiors realized that he was a man of considerable ___a___.A. abilityB. futureC. possibilityD. opportunity9. We would cordially like to invite Liebert Corporation that has established business relationship with us to __d____ a visit to our synthetic dye production factory.A. offerB. haveC. giveD. pay10. Last year we shipped walnuts to you __d____ the extent of 500metric tons.A. byB. withinC. inD. to11. Among other matters, the city council ___a_____ more funds for additional police officers.A. authorizedB. accreditedC. empoweredD. licensed12. She said Thresher was aware of the ____b____ for £18.37 and had established that it belonged to another customer.A. receiveB. receiptC. receivingD. achieve13. The European Union countries were once worried that they would not have __d__ supplies of petroleum.A. proficientB. efficientC. potentialD. sufficient14. The goods you delivered are below the standard we expected __c____ the sample.A. fromB. toC. onD. in15. We take pleasure in ___b___ you a copy of our price-list.A. sendB. sendingC. sentD. to send16. The stipulations in the relevant L/C should strictly ______c____ the terms set forth in our Sales Confirmation.A. in conformity withB. in accordance withC. conform toD. conform with17. You would be _d___ a risk to let your child go to school by himself.A. omittingB. attachingC. affordingD. running18. We are sorry to learn in your letter that 200 pairs of leather shoes ___c___ under the above order are damaged when they reach you.A. offerB. demandC. supplyD. requirement19. Through our joint efforts, we have successfully concluded a __d_____ with your company.A. businessB. orderC. tradeD. deal20. We'd like to __b__ a table for five for dinner this evening.A. preserveB. reserveC. retainD. sustain21. Fifty cases of Green Tea you sent us were found to be badly damaged. This was apparently attributable to __a___ packing.A. inferiorB. superiorC. faultyD. mistake22. Look forward to your visit. ___d__ you be interested, please let us know at your earliest convenience.A. IfB. ShouldC. WouldD. May23. We are looking forward to ___b__ your L/C for Order No 123.A. receiveB. receivingC. be receivedD. be receiving24. He is always here. It's ___b___ you've never met him.A. uniqueB. specialC. rareD. peculiar25. Please see to it that the goods we ordered are shipped as soon as the covering letter of credit __d___ you.A. getsB. comesC. arrivesD. reaches26. Although a teenager, Fred could resist __a____ what to do and what not to do.A. being toldB. tellingC. to be toldD. to tell27. We shall advise you by cable as soon as the goods __d___.A. will shipB. will be shippedC. shipD. are shipped28. He didn't have time to read the report word for word, he just ____a__ it.A. skimmedB. observedC. overlookedD. glanced29. We cannot ___b__ present entertain any fresh orders for Younger Brand Men's Shirts.A. ofB. atC. toD. for30. Their products are frequently overpriced and ___b___ in quality.A. influentialB. inferiorC. superiorD. subordinate31. Pay for the hotel room when you leave, and the company will ____c____ you later.A. imburseB. purseC. reimburseD. urge32. Morris ___a_____ the trust the firm had shown in him.A. abusedB. abasedC. abuttedD. abetted33. we are taking steps to supply you immediately___a___200 electronic and 300 language translators.A. withB. forC. atD. to34. We left the meeting, there obviously ___b___ no point in staying.A. wereB. beingC. to beD. having35. We thank you ____a__ for you cooperation.A. in advanceB. in beforehandC. in progressD. in proceed36. We trust you will do your best to have this matter __d____right away.A. settleB. to settleC. settlingD. settled37. We prefer to ship whatever is ready __d____ waiting for the completion of the entire lot.A. in spite ofB. because ofC. replace ofD. instead of38. By joint efforts we can ___b___ both friendship and business.A. increaseB. promoteC. expandD. extend39. We have for acknowledgment your letter dated 26th September ___c___ connection ______ the above subject.A、for, with B. for, to C. in, with D. in, to40. This is our best price, __d____ which we have concluded many orders with other buyers in your city.A. onB. forC. byD. at41. We are pleased to ___b___ you that 6000 dozen shirts under Sales Confirmation No.C123,L/C No.5678have gone off on S.S. "Dongfeng"A. askB. informC. speakD. talk42. We lodge a claim ___c__ you _____the short-weight.A. with…withB. for…forC. with…forD. for …with43. He was asked to _____b___ proposals for reforming the law.A. draw onB. draw upC. draw awayD. draw down44. The management have ____d____ all factory employees a 5% pay increase.A. been aware ofB. been awardedC. been wary ofD. awarded45. Food production will have to increase if we are not to ____d____ epic crises.A. facingB. face withC. faceD. be faced with46. We need a great ___d___of coal for this coming winter.A. empireB. pitC. bubbleD. bulk47. There should be __d____ to fire doors as workers must leave the building quickly if there is a fire.A. a wayB. leapC. a gateD. access48. To his great __a____ he passed the examination easily.A. delightB. despairC. facultyD. convenience49. We ___a___ your quoting us your competitive prices on a CIF basis for the following.A. appreciateB.are appreciatedC. appreciate itD.will be appreciated50. There was not enough ___b ___ to prove his guilty of crime.A. facultyB. evidenceC. conflictD. police51. Claims for ___c___ or incorrect material must be made within 30days after arrival of the goods.A. lackB. scarcityC. shortageD. rarity52. We would ask you to do everything possible __c____ punctual shipment.A. ensuringB. to be ensuredC. to ensureD. while ensuring53. Though he didn't have much money to give, he was very ____c__ with his money.A. curiousB. magnificentC. generousD. neutral54. We can only ___a___ this very advantageous offer for a few weeks.A. hold openB. hold be open55. They built a ___a___ in memory of Abraham Lincoln.A. monumentB. cemeteryC. freightD. majestyC. holding openingD. hold to open56. We have seen your advertisement of portable typewriters ___d___ "South China Morning Post".A. asB. onC. atD. in57. Under such ___b____, it is impossible to decline our price again.A. circumstanceB. circumstancesC. caseD. cases58. Please see to ___b___ that goods should be delivered in 3 equal lots.A. usB. itC. the L/CD. them59. We hope to receive your quotation with details ___c___ the possible time of shipment.A. to includeB. to be includedC. includingD. being included60. We feel ___a___ very regrettable that we cannot accept any order for Tin Foil Sheels at present.A. itB. thisC. thatD. what61. We hope you will consider our counter-offer most favorable and cable us acceptance ____d__ your earliest convenience.A. ofB. forC. onD. at62. ___a__ you like other items, kindly let us know and we shall be only too pleased to make you offers direct.A. In caseB. In the caseC. In this caseD. In that case63. This offer is firm, subject to your immediate reply ___d__ should reach us not later than the end of this month.A. itB. theyC. whatD. which64. Sales of large-scale data storage devices also increased strongly, while earnings from computer___a_____ services hardly changed.A. maintenanceB. sustainingC. maintainingD. retaining65. Even when other factors were taken into ___b_____, shorter men had a higher risk of heart attacks.A. countB. accountC. accountingD. accounts66. Your full cooperation in this respect will be highly ____b__.A. appreciatingB. appreciatedC. thankingD. thanked67. We regret ___b___ unable to agree to the buyer's request as stated in the L/C stipulations for insurance to be covered up to the inland city.A. to beB. beingC. to have beenD. been68. We need effective strategies to combat sexual ___d_____ in the workplace.A. rascaldomB. rascallionC. harassingD. harassment69. The auto manufacturer ____b____ a $843.6 million loss in 1990.A. occurredB. incurredC. occurred toD. incurred with70. Because the accident had not been her fault, Barbara was able to ____b____ damages.A. acclaimB. claimC. declaimD. declareII.Give the antonym of each word1. [obscurity] clarity2. [proscribed] permitted3. [scorn] respect4. clear [evidence] proof5. [shallow] deep6. [soul] body7. a great [faculty] capability for music8. [absolute] relative9. [vanish] appear10. [frequent] rare11. [begin] conclude12. [equity] unfairness13. [shame] boldness14. [generous] mean15. large [sum] amount of money16. [industrious] lazy17. [release] hold18. [evident] ambiguous19. a bulk of [freight] cargo20. [delight] sorrow21. [confound] discriminate22. [encourage] disappoint23. [shun] seek actively [demand] grant24. a [handy] convenient little box25. [rude] politeIII.Translate the following words( ) free carrier 交货承运人( ) technical expertise 专业技术( )format 版式,格式( )graphics 图形( )inefficient 效率低/不能胜任的( )database 数据库( )intangible assets 无形资产( ) managerial job 管理工作( )average revenue 平均收入( )utility 效用,有用( )horizontal audit 横式查账( )refund 偿还额,退款( ) token compliance 表面服从( )additive 添加剂( )anticipate 预期,期望( )slip-up 疏忽,错误( )inconvenience 麻烦/不方便之处( ) documents against payment 付款交单( )withhold 抑制( )line manager 生产线管理人( )proportion 比例,部分( )efficiency average 平均生产率( )alternative reserve assets 代用储备资产( )defect 过失( )assets and liabilities 资产与负债( )balance sheet audit 资产结算表审计( )logo (某个组织的)标识( )jeopardize 危害( )cost-effective 划算的( ) individual proprietorship 个体经营( )artificial 人造的,假的( )financial activities 筹资活动ⅡTranslate the numbered Chinese words or expressions into English in the following letters.Letter one:An Inquiry about a CompanyDear Sirs:As we are ①(正准备执行一份大宗订单) from J.A Husman Co. P. O.Box 386, Karahi, we should ②(非常感谢) if you would inform us, in confidence, ③. (他们的财务状况和经营风格).The reference they have given us is the Standard Chartered Bank, Karachi Branch. Will you please be good enough to approach the said bank for ④?(我们咨询的所有可能获得的信息).If goes without saying that ⑤(我们一定不会泄露您提供的任何信息) and you are free from any responsibility.We thank you in advance.Yours faithfully,Joseph ChanSales Manager①on the point of executing a considerable order②be much obliged③of their financial standing an modes of business④all possible information we required⑤any information you may obtain for us will be treated in the strictest confidenceLetter two:An Inquiry about a CompanyDear Sirs:As we are ①(正准备执行一份大宗订单) from J.A Husman Co. P. O. Box 386,Karahi, we should ②(非常感谢) if you would inform us, in confidence, ③. (他们的财务状况和经营风格).The reference they have given us is the Standard Chartered Bank, Karachi Branch. Will you please be good enough to approach the said bank for ④?(我们咨询的所有可能获得的信息)If goes without saying that ⑤(我们一定不会泄露您提供的任何信息) and you are free from any responsibility.We thank you in advance.Yours Faithfully,Joseph ChanSales Manager①on the point of executing a considerable order②be much obliged③of their financial standing and modes of business④all possible information we required⑤any information you may obtain for us will be treated in the strictest confidenceLetter three:Gentleman:We ①(很高兴注意到3月1日的来信) that you, as exporters of Chinese Cotton Piece Goods, are willing to establish direct business relations with us. ②(这正好与我们公司的愿望相一致).At present, we are interested in Printing Shirting and shall be pleased if you will kindly send us by airmail catalogues, sample books, and ③(所有关于印花细布的必要信息), so as to acquaint us with the material and workmanship of your supplies.④(如果你们的价格有竞争力) and delivery date acceptable, ⑤(我公司将大量订货) with you.Your early reply will be highly appreciated.Yours Faithfully,①are glad to note from your letter of the 1st March②This happens to coincide with our desire③all necessary information regarding Printed Shirting④Should your price be found competitive⑤we intend to place a large orderLetter four:Dear Tomas Moore:We understand from our trade contacts that your company has reestablished itself in Beirut and is once again ①(生意发展迅速). We would like to extend our congratulations and offer our very best wishes for your ②(蒸蒸日上). Before the war in Lebanon, our companies were involved in a ③(大宗纺织品交易). We wee from our records that you were among our best long-term customers. We very much hope that we can resume our ④(互惠的业务联系) now that peace has returned to Lebanon. Since we last traded, our lines have changed beyond recognition. While they reflect current European taste in fabrics, some of our designs are specifically targeted at the Middle Eastern market. As an initial step, I enclose our ⑤(配有插图的商品目录供参考). Should you wish to receive samples for closer inspection, we will be very happy to forward them. We look forward to hearing from you.Yours sincerely,①trading successfully in your region②continued success③large volume of trade in our textiles④mutually beneficial relationship⑤illustrated catalogue for your perusalLetter five:Dear Sirs,Please issue a Marine Insurance Policy in the name of Guangzhou Trading Company. Claims payable at ①(华盛顿).②(投保金额): US $ 80000.Against the risk of ③(“综合险”及“战争险”).Mark, Quantity & ④(货物种类):Shirts; ⑤(8000打,分装80大箱,每箱为100打).Marks: GTCCGuangzhouNo. 1/25V oyage from Guangzhou to Washington per S. S. “Sun” sailing on or about 1st August, 2002. Yours Faithfully,①Washington②Amount of Insurance required③All Risk & War Risk④Description of Merchandise⑤Eight thousand dozens packed in eighty cases, 100 dozen eachLetter six:Dear Sirs,We are sending you with pleasure by fax a copy of our ①(“春花”牌吸尘器的最新目录), from which you will understand why it is diffi8cult for us to meet the ②(市场需求). The high quality of our products is well known and ③(极为畅销) and we are confident that they will be ④(在你方市场上很受欢迎).In order to popularize these cleaners, all the catalogue prices are subject to a special discount of 20% during this month only. We are offering you good products on generous terms and ⑤(希望早日收到你方订单).①latest catalogue of our “Spring Flower” Vacuum Cleaner②needs of markets③universally acknowledged④welcomed in your market⑤wish to have your early ordersLetter seven:Dear Sirs,We are ①(现收悉) your letter dated June 6 and very pleased to be told that there are ②(大量需求) electronic alarm clock in Seoul.In order to start a concrete transaction between us, we ③(非常乐意向贵方报个特价), ④(取决于) our final confirmation, as follows:Commodity: Electronic Alarm ClockSpecification: M SizeQuantity: 20,000Price: US $ 15 CIFC2% SeoulShipment: October 2008Payment: By ⑤(保兑的不可撤销信用证) payable by draft at sight to be opened 30 days before the time of shipmentCertificate: Certificate of Quality to be issued by the China commodity Inspection Bureau. Certificate of Origin to be issued by the China Council for the Promotion of International Trade.We trust the above will be acceptable to you and await with keen interest your trial order. Yours Sincerely,①in receipt of②extremely brisk demands for③take pleasure in making you a special offer④subject to⑤confirmed, irrevocable L/CLetter eight:Dear Mr. Mayor:We have ①(取得贵公司名称和地址) from Aristo Shoes, Milan, and we are writing to enquire whether you would be willing to ②(与我方建立业务关系). We have been importers of shoes for many years. At present, we are interested in ③(扩展业务范围) and would ④(如能惠赐商品目录和报价表将不胜感谢). If ⑤(你方价格具有竞争力) we would expect to transact a significant volume of business. We look forward to your early reply. Yours Sincerely①obtained your name and address②establish business relations with us③extending our range④appreciate your catalogues and quotations⑤your prices are competitiveLetter nine:Dear Mr. Hooper:We are glad to ①(获悉您要来中国) to pave the way for cooperation between out two companies.We agree with you that a discussion between us in person in beneficial and necessary. As the next session of the Chinese Export Commodities fair in Guangzhou is to be held from October 6 to 20, 2005 in the city, we would like to suggest that you attend it. The general manager and sales representative of our company will be there to meet you and ②(与您进行谈判磋商). Some of the new products will be on display at our stands. After your visit to the Fair, you may come to some of the factories you are interested in.Provided you have decided to come to visit, we will ③(发送正式的邀请函). We are confident that ④(我们在博览会期间的会晤将会卓有成效) and lead to advance of our business relations.We sincerely hope that we can meet at the Fair. ⑤(一旦您定下访问的日程), please inform us so that we will make necessary arrangement to welcome you.Yours Faithfully①learn that you are considering a visit to China②conduct negotiations with you③forward you a formal invitation④our meeting at the fair will be productive⑤Once you have fixed your schedule for the visitLetter ten:Dear Sir and Madam,It is a pleasure to know of your continued interest in our products. ①(您要的样品我们可以供应). Samples are ②(免费), but according to our company policy, the costumer must pay the shipping cost.Samples will be sent immediately as soon as the standard US $ 70 shipping payment ③(转入我方账户) No. 009-334833299-2432 at Hong Kong & Shanghai Banking Corporation (HSBC) or when you provide us with your DHL, UPS or FedEx account number.Sorry for the inconvenience, I hope this little formality will not ④(阻碍) our future relationship.We hope you can understand our position and ⑤(希望继续合作).Yours sincerely,Hillary①the samples you have requested are now available②free of charge③is transferred to our account④stand in the way of⑤look forward to our future cooperationLetter eleven:Dear Sirs:We are pleased to inform you that all the goods ordered on the order ①(你方6月6日信中所附) have now been shipped by S. S. Merchant Prince, which sailed from Liverpool yesterday and ②(预计到达) at Alexandria on 9th August.③(按照要求), the consignment will be handled on arrival at Alexandria by Messrs. Beheren & Co., who will ④(安排所有发货事宜) to you. We have impressed upon them the need for urgency.The bill of lading and invoice, and also our account for commission and charges, are encloses. The suppliers have been informed that ⑤(您将直接结算).We look forward to hearing from you that the goods have arrived safely and in good order and that you are pleased with them.Yours Sincerely①enclosed with your letter of 6th June②is due to arrive③as requested④make all the arrangements for its delivery⑤you will settle their account directLetter twelve:6.Dear Sir and Madam,It is a pleasure to know of your continued interest in our products. ①(您要的样品我们可以供应). Samples are ②(免费), but according to our company policy, the costumer must pay the shipping cost.Samples will be sent immediately as soon as the standard US $70 shipping payment ③(转入我方账户) No. 009-334833299-2432 at Hong Kong & Shanghai Banking Corporation (HSBC) or when you provide us with your DHL, UPS or FedEx account number.Sorry for the inconvenience, I hope this little formality will not ④(阻碍) our future relationship.We hope you can understand our position and ⑤(希望继续合作).Yours sincerely,Hilary①The samples you have requested are now available②free of charge③is transferred to our account④stand in the way of⑤look forward to our future cooperationIII Translate the numbered English words or expressions underlined into Chinese in the following letters.Letter one:Dear Sir/Madam:Your advertisement for a ①Network Maintenance Engineer in the April 20 StudentDaily appealed to me because the position that you described sounds exactly the kind of job I am seeking.According to the advertisement, your position requires top university, ②Bachelor or above in Computer Science or equivalent field and proficient in windows NT 4.0 and LINUX System. I feel that I am competent to meet the requirements. I will be graduating from Graduate School of Tsinghua University this year with a M. S. degree. My studies have included courses in computer control and management and I designed a ③control simulation system with Microsoft Visual Interdev and SQL Server.During my education, I have grasped the principals of my major and ④skills of practice. Not only have I passed CET-6, but more important I can communicate with others freely in English. My ⑤ability to write and speak English is out of question.I would appreciate your time in reviewing my enclosed resume and if there is any additional information you require, please contact me. I would welcome an opportunity to meet with you for a personal interview.Sincerely,①(网络维护工程师)②(计算机或者相关专业的本科以上学历)③(模拟控制系统)④(操作技能)⑤(英语读写能力都没有问题)Letter two:To: Wang XiaoyanFrom: Mark WilsonSubject: Weekly MeetingDate: July 20, 2008Could you please prepare the notice and agenda for the next meeting of the ①Human resources Department? Make it 26 July at three o’clock in the afternoon. Please issue the notice at least two days before the meeting. Include the usual items plus the following:David wants to talk ②about holding a simulated interview. He feels it’s about time since last one occurred three months ago. Anna feels we should discuss ③about the salary improvement and promotion this year now that we’ve received several letters in which salary increase is claimed. ④What’s more, include the issue of the prospective campus employment of 2009. Please inform all the departments that need more staff of ⑤handing over the employment plan.Thanks!①(人力资源部)②(组织模拟招聘的事宜)③(有关涨工资和晋升之事)④(此外)⑤(递交招聘计划)Letter three:Dear Sirs,①Our new-factory will be commencing production on April 10 and we would like to invite you and your wife to be present at a celebration to mark the occasion.As you know, ②it is an important milestone for our company, resulting from the increasing demand for our products both at ③home and overseas. We are inviting all those individuals and firms that have contributed to our success, and believe that ④you will payus the compliment of accepting.The luncheon will be arranged at the Grand Hotel, followed by the opening ceremony and a tour of the factory. ⑤In the evening there will be a banquet at the same hotel. Please confirm that you will be able to attend by informing us of your arrival time – we can arrange for you to be met. We will pay for all the arrangements for your stay overnight on the 15th.Best wishes,Sally TunerHr Manager21st Century Green CompanyRSVP by 5 April①(我们的新厂将开始生产)②(这是很重要的里程碑)③(海内外)④(相信您会赏光光临)⑤(晚上在同一家酒店举行晚宴)Letter four:The Market Investment association Record of the Monthly MeetingDate: 2:00 p.m. , February 27, 2008Presiding: Russell JohnPresent: Betty Barton, Jonathan Gray, Sara Olivet, Cindy Martin, Dennis Walsh, Brown Peters, Wang Haiyang, Fu GuoqiangAbsent: Howard Lamont, Qin HaiqingAfter declaring the meeting at 2:00 p.m. , the president asked the treasurer, Jonathan Gray, for a brief report. Mr. Gray ①distributed to each member a statement that indicated the member’s president investment in club’s holdings. He emphasized that a share was currently worth $ 14.7 and that this month’s contributions ②accumulated dividends amounted to a total of $ 7,234,000.00 that the club could invest.The president asked Fu Guoqing, chairperson of the investment committee, for the committee’s recommendation. Mr. Fu said that the committee had studied the stocks of the building supplies companies. He pointed out that the committee believed that ③the depressed housing market would improve eventually and that these companies were bound to do better when the improvement came. He said that his committee had kept frequent connection with two companies whose shares were very low and ④would probably benefit most from a rebound.The president asked Sara Olivet, the club’s broker, to make comments. Mr. Peters said that he agree with the committee’s analysis. He noted that one of the two companies, Benton Company, was Diversified and that ⑤7 percent dividend was rather secure. Mr. Wang then moved that Benton Company be purchased. The motion was approved unanimously.Cindy Martin announced that the club’s annual banquet was scheduled for Saturday, March 1, 2008, at Shenyang World Exposition. Each member was entitled to bring one family member.Respectfully submittedJames Martin①(向每一位成员分发了一份报表)②(累计股息总额达到)③(萧条的住房市场最终会好转)④(很可能从反弹中获得收益)⑤(确保获得7%的股息)Letter five:Dear Sir:We are sorry to learn from your letter of 23rd August that you find our prices too high. We do our best to ①keep prices as low as possible without sacrificing quality and to this end we are constantly enquiring into new methods of manufacture.Considering the quality of the goods offered we do not feel that ②the prices we quoted are at all excessive, but bearing in mind the special character of your trade, we have decided to ③offer you a special discount of 4% on a first order for cotton underwear. We make this allowance because we should like to do business with you if possible, but we must stress that it is ④the furthest we can go to help you. At least we hope ⑤this revised offer will now enable you to place an order.Yours Faithfully①(尽量维持低价)②(我方报价)③(给予你4%的特殊折扣)④(尽我们之所能对你的帮助)⑤(此次修改了的报价)Letter six:Dear Sirs:Thank you for your letter of 12 April proposing a sole agency for our office machines. Having examined our long and ①mutually beneficial collaboration, we would be very pleased to entrust you with the sole agency for Bahrain.From our records, we are pleased to note that you have ②two service engineers who took training courses at our Milan factory. The sole agency will naturally be contingent on your maintaining qualified ③after sales staff.We have drawn up a ④draft agreement that is enclosed. Please examine the detailed terms and conditions and let us know whether they meet with your approval.On a personal note, I must say that I am delighted that we are probably going to strengthen our relationship. I have very pleasant memories of my last visit to Bahrain when you ⑤entertained me so delightfully. I look forward to reciprocating on your next visit to Milan.①(互利合作)②(两个服务技师)③(售后服务人员)④(随信附上协议草稿)⑤(承蒙盛情款待)Letter seven:Dear Sir,Referring to our previous letters, we wish to call your attention to the fact that up to the present moment no news has come from you about the shipment ①under the captioned contract. As you have been informed in one of our previous letter, the users ②__ are in urgent need of the machines contracted and are in fact pressing us for assurance of an early delivery.Under the circumstances, it is obviously impossible for us to again ③__ extend L/C No. 123456, which ④expires on 20th August, and we feel it our duty to remind you of this matter again.As your prompt attention to shipment is most desirable to all parties concerned, ⑤we hope you will fax us your shipment advice without further delay.Yours Truly,①(按指定合同要求)②(急需)。
科目名称:大工20春《商务英语写作》在线作业1学校名称:奥鹏-大连理工大学一、单选题 (共 15 道试题,共 90 分)1.In reply, we have the pleasure of informing you that an L/C has been opened amounting ____$2,000.A.atB.toC.upD.for提示:本题为必答题,请认真阅读题目后再作答--本题参考答案:B2.Should your L/C____ us at the beginning of May, we shall be able to ship your order.A.arriveB.reacheD.get提示:本题为必答题,请认真阅读题目后再作答--本题参考答案:B3.We will do our best to _____ shipment to meet your requirements in time.plyB.makeC.expeditee提示:本题为必答题,请认真阅读题目后再作答--本题参考答案:C4.______ you accept our offer, please cable us for our confirmation.A.UntilB.UnlessC.IfD.In提示:本题为必答题,请认真阅读题目后再作答--本题参考答案:C5.We _____ you of our readiness to serve you in this end all future business.A.issueB.assureC.sureD.see to提示:本题为必答题,请认真阅读题目后再作答。
国开本科 《商务英语4》 (第四大题写作题)题库(排序版版)说明:资料更新至2021年7月试题。
[试题] 根据要求完成作文… 写一封加薪申请信[试题~]According to the following information,please write an application letter for salary raise.[ 2021年 7月试题](1)You are George,and your boss is Mr.Smith.(2)Your reasons for the letter(3)Your expectation for the salary raise备注:请根据以下信息,写一封加薪申请信。
(1)你是乔治,你的老板是史密斯先生。
(2)你来信的理由(3)你对加薪的期望参考答案:Dear Mr.Smith,As I approach my third year in the job,I find myself more dedicated,devoted and motivated than I ever was.I am thrilled to the fact that my efforts have been sensed and this will only result in enhanced performance.The performance review demonstrate show hard I have worked and how much commitment I am willing to put.I hope you agree with me that better performance and hard work should be rewarded.I hereby kindly ask you to consider a salary adjustment commensurate with my performance. !am willing to give more and would be grateful if my efforts can be acknowledged and consequently reflected with an appropriate change in my pay.Thank you.Sincerely,George[试题二] Please write an application letter for salary raisi e,according to the following information.(1)You are George,and your boss is Mr.Smith.(2)Your reasons for the letter.(3)Your expectation for the salary raise.备注:请根据以下信息写一份加薪申请书。
大学商务英语考试题及答案一、选择题(每题2分,共20分)1. The term "blue chip" in the financial market refers to:A) High-risk stocksB) High-value stocksC) Stocks of well-established companiesD) Stocks of new startups答案:C2. In international trade, a "Letter of Credit" is used as:A) A guarantee of paymentB) A bill of saleC) A contract of employmentD) A record of debt答案:A3. What does the acronym "B2B" stand for in business?A) Business to BusinessB) Business to ConsumerC) Business to GovernmentD) Business Travel Bureau答案:A4. The process of "outsourcing" involves:A) Hiring external companies to perform certain tasksB) Expanding a company's operations internallyC) Reducing the workforce to cut costsD) Selling a company's assets to pay off debts答案:A5. A "monopoly" in business terms means:A) A single seller in a marketB) A type of business partnershipC) A business that is failingD) A market with many sellers答案:A6. Which of the following is a characteristic of a "free market" economy?A) Government control of pricesB) Limited private ownershipC) Voluntary exchange of goods and servicesD) Centralized economic planning答案:C7. "Economic globalization" is the process of:A) Nationalizing industriesB) Isolating economies from each otherC) Integrating world economiesD) Reducing international trade答案:C8. A "franchise" is:A) A type of loanB) A license to operate a branch of a companyC) A business partnership agreementD) A government grant for new businesses答案:B9. "Intellectual property" refers to:A) Real estate owned by a companyB) Tangible assets of a businessC) Ideas, inventions, and creative worksD) Physical properties of a company答案:C10. The "break-even point" in business is when:A) Revenues equal expensesB) A company has the highest profitC) A company has the highest lossD) A company's stock price doubles答案:A二、填空题(每题2分,共20分)11. The current account balance is a record of a country's trade in __________, __________, and __________.答案:goods, services, income12. In business, the term "synergy" refers to the phenomenon where the value of a merged company is __________ than thesum of the values of the individual companies.答案:greater13. A __________ is a financial statement that summarizes a company's revenues, expenses, and profits over a specific period.答案:income statement14. The process of "due diligence" involves the thorough investigation of a company's financial and legal status before __________.答案:acquisition15. "Economies of scale" refer to the cost advantages that a business obtains when it increases its level of __________. 答案:production16. A "hostile takeover" occurs when a company is acquired without the approval of the __________.答案:target company's management17. The "glass ceiling" is a term used to describe an invisible barrier that prevents certain individuals, often__________, from advancing to higher positions in a company. 答案:women18. A "joint venture" is a business agreement in which two or more parties pool their resources for the purpose of__________.答案:achieving a common goal19. "Green washing" is the practice of making an unjustified claim about the __________ of a product, typically for marketing purposes.答案:environmental friendliness20. "Opportunity cost" is the loss of potential benefit that arises when an alternative choice is foregone in favor of another option that __________.答案:turns out to be less beneficial三、简答题(每题10分,共30分)21. Explain the concept of "creative destruction" in the context of business.答案:Creative destruction is a term coined by economist Joseph Schumpeter to describe the process of technological innovation that disrupts existing markets and industries. It involves the continuous cycle of creation of new products, services, and industries, while at the same time leading to the decline or disappearance of outdated ones. This process is seen as a driver of economic growth and progress, as it spurs competition and innovation.22. What are the key differences between a "sole proprietorship" and a "partnership" in business?答案:A sole proprietorship is a type of business that is owned and run by one individual who is solely responsible for all aspects of the business。
商务英语复习题1.What information should be contained in the first information section of a resume?A.the job objectiveB.family history and gender identificationC.the dateD.contect information2.Which of the following is a “6C”?A.ColorfulnessB.Concretenessfortabilitypatibility3.What is the first thing to appear on a bussiness letter ?A.the dateB.the letterheadC.the inside addressD.the attention line4.When writing the date on a business letter you should take care to do what?A.make sure you always put the year first before the month and dayB.always use only numbers in the date fieldC.make sure you always put the month first before the date and yearD.spell out the month5.How many spaces are needed between the complimentary close of a letter and the typed name of the person writing the letter?A.3B.2C.4D. as many as needed6.What should you do if you are worried that the reader of a request you are asking will not honor your request?A.write the letter in an indirect styleB.write the letter in a direct styleC.ask them to please grant your requestD.be forceful and demand they honor your request7.When writing a letter of reply it should not beA.promptB.directC.elaborateD.accurate8.Letters of applications are better know asA.an application formB.directions on how to use a productC.memorandumsD.cover letters9.What is not a background area that most likely will not be included in a cover letter?A. educationB. personal hobbiesC. experiencesD.personal information10.A letter of adjustment should be written in what style ?A.indirectB.directC.orderlyD.induction11.In a sales letter you should never ….A.inspire their curiosityB.create a great desire for you productC.talk bad about a customerD.create a need12.An invitation letter can either be written by hard on paper or on a(n)…A.cardB.envelopeC.bulletin boardD.store font wind on13.Thank-you letter should always begin with….A.the reasons for writing itB.inductive reasoningC.good will openingD.statement of thanks14.Memos are not used for…A.internal communicationsB.employee instructionsC.external communicationsD. announcing policies15.Minutes are used for….A.invitationsB.group activitiesC.relay sensitive materialD.meetings。
商务英语考试题库及答案一、选择题1. Which of the following is NOT a common business English phrase?A. "Let's make a deal."B. "I'd like to propose a toast."C. "We need to crunch the numbers."D. "I'm not a fan of your proposal."答案:B2. In a business meeting, what does "table" mean?A. To put something on the table.B. To put a topic aside for later discussion.C. To eat at the table.D. To clean the table.答案:B3. What is the meaning of "blue-sky thinking" in a business context?A. To think about the weather.B. To think creatively and without limitations.C. To think about the sky.D. To think about the color blue.答案:B4. If a business person says "We're in the red," what does this mean?A. They are in debt.B. They are profitable.C. They are in a good mood.D. They are in a bad mood.答案:A5. What does "low-hanging fruit" refer to in business?A. Easy-to-reach fruit on a tree.B. Easy-to-achieve goals or tasks.C. Fruit that is difficult to reach.D. A type of fruit that is not ripe.答案:B二、填空题6. When you want to express that a project is progressing well, you can say, "We are on ________."答案:track7. If you need to discuss a problem with a colleague, you might say, "Let's ________ the issue."答案:touch base8. To express that a decision is final and cannot be changed, you can say, "It's ________ in stone."答案:set9. When you want to emphasize that a meeting is important, you can say, "This is a ________ meeting."答案:must-attend10. If you need to find out more information before making a decision, you might say, "I need to ________ my ducks in a row."答案:get三、阅读理解题阅读以下商务邮件,并回答问题。
大学商务英语写作考试
复习题
work Information Technology Company.2020YEAR
商务英语复习题
1.What information should be contained in the first information section of a resume?
A.the job objective
B.family history and gender identification
C.the date
D.contect information
2.Which of the following is a “6C”
A.Colorfulness
B.Concreteness
fortability
patibility
3.What is the first thing to appear on a bussiness letter
A.the date
B.the letterhead
C.the inside address
D.the attention line
4.When writing the date on a business letter you should take care to do what?
A.make sure you always put the year first before the month and day
B.always use only numbers in the date field
C.make sure you always put the month first before the date and year
D.spell out the month
5.How many spaces are needed between the complimentary close of a letter and the typed name of the person writing the letter?
A.3
B.2
C.4
D. as many as needed
6.What should you do if you are worried that the reader of a request you are asking will not honor your request?
A.write the letter in an indirect style
B.write the letter in a direct style
C.ask them to please grant your request
D.be forceful and demand they honor your request
7.When writing a letter of reply it should not be
A.prompt
B.direct
C.elaborate
D.accurate
8.Letters of applications are better know as
A.an application form
B.directions on how to use a product
C.memorandums
D.cover letters
9.What is not a background area that most likely will not be included in a cover letter?
A. education
B. personal hobbies
C. experiences
D.personal information
10.A letter of adjustment should be written in what style
A.indirect
B.direct
C.orderly
D.induction
11.In a sales letter you should never ….
A.inspire their curiosity
B.create a great desire for you product
C.talk bad about a customer
D.create a need
12.An invitation letter can either be written by hard on paper or on a(n)…
A.card
B.envelope
C.bulletin board
D.store font wind on
13.Thank-you letter should always begin with….
A.the reasons for writing it
B.inductive reasoning
C.good will opening
D.statement of thanks
14.Memos are not used for…
A.internal communications
B.employee instructions
C.external communications
D. announcing policies
15.Minutes are used for….
A.invitations
B.group activities
C.relay sensitive material
D.meetings。