2011年考研数学二真题答案解析
- 格式:docx
- 大小:118.52 KB
- 文档页数:11
2011年全国硕士研究生入学统一考试数学二一、选择题:1~8小题,每小题4分,共32分.下列每题给出的四个选项中,只有一个符合题目要求的.(1)已知当0x →时,()3sin sin3f x x x =-与k cx 是等价无穷小量,则( ) (A) 1,4==k c (B) 1,4==-k c (C) 3,4==k c (D) 3,4==-k c【答案】(C) 【解析】由泰勒展开,因为33sin ()3!x x x o x =-+,所以33(3)sin 33()3!x x x o x =-+.则,333339()3sin sin 33()4()322x x f x x x x o x x o x x ⎛⎫=-=--+=+- ⎪⎝⎭. 当0x →时,3()4f x x ,所以选择(C) .(2)设函数()f x 在0x =处可导,且(0)0f =,则()233()2limx x f x f x x→-=( )2(0)(A) f '- )() 0B (f '- )(C) (0f ' (D) 0【答案】(B) 【解析】()[]()2323332(0)()(0)()2limlimx x x f x f f x f x f x f x xx→→⎡⎤----⎣⎦=()3300(0)()(0)lim 2lim (0)2(0)(0)x x f x f f x f f f f x x'''→→--=-=-=-。
(3)函数()ln (1)(2)(3)f x x x x =---的驻点个数为( ) (A) 0 (B) 1 (C) 2 (D) 3【答案】(C)【解析】(2)(3)(1)(3)(1)(2)()(1)(2)(3)x x x x x x f x x x x --+--+--'=---231211(1)(2)(3)x x x x x -+=--- 令2()31211g x x x =-+,由于2124311120∆=-⨯⨯=>,故()g x 有两个不同的实根,且不是1,2,3,所以()f x 有两个不同的驻点.(4)微分方程2(0)λλλλ-''-=+>x x y y e e 的特解形式为( ) (A) ()x x a e e λλ-+. (B) ()x x ax e e λλ-+.(C) ()x x x ae be λλ-+. (D) 2()x x x ae be λλ-+【答案】(C) 【解析】特征方程为220r λ-=,解得特征根12r r λλ==-, 齐次方程20y y λ''-=的通解为12x x y C e C e λλ-=+, 非齐次方程2x y y e λλ''-=有特解1x y x a e λ=⋅⋅, 非齐次方程2x y y e λλ-''-=有特解2x y x b e λ-=⋅⋅,故非齐次方程2x x y y e e λλλ-''-=+可设特解().x x y x ae be λλ-=+(5)设函数(),g()f x x 均具有二阶连续导数,满足(0)0,(0)0f g ><,且(0)(0)0f g ''==,则函数()()z f x g y =在点(0,0)处取得极小值的一个充分条件是( )(A) (0)0,g (0)0f ''''<>. (B) (0)0,g (0)0f ''''<<.(C) (0)0,g (0)0f ''''>>. (D) (0)0,g (0)0f ''''><.【答案】(A) 【解析】(0,0)(0,0)(0)(0)0()()x z f g f x g y '''===,(0,0)(0,0)(0)(0)0()()y z f g f x g y '''===。
2011年考研数学二真题及答案解析2011年考研数学二真题及答案解析一、选择题部分1. 如图,矩形OABC中,AB=4,BC=3,M为BC的中点,点D,E分别在AO,CO上,满足AD=CE,连接DE、BM相交于F。
则DE/AB的值等于()。
A.1/3 B.1/4 C.1/2 D.2/3答案:A解析:根据题意,首先连接AM,然后用面积比解法。
设矩形OABC的面积为S,则S=AB×BC=12。
由于AD=CE,所以AM=CM,即BM=1.5,MF=BM/2=0.75。
在ΔABF中,AF是BM的中线,所以AF=BM/2=0.75。
设AC与DE交点为G,则AG=(BC+DE)/2=3+DE/2。
在ΔEBG中,EF是AM的中线,所以EF=AM/2=1.25。
因此,S[DEFG]/S[OABC]=[1-(MF/BC)]×[1-(EF/AB)]=2/3。
所以DE/AB=[S[DEFG]/S[OABC]]1/2=1/3。
2. 若(cosx+sinx)tanx=3,则tan3x的值为()。
A.1/2 B.1/3 C.1 D.3答案:D解析:将(cosx+sinx)tanx=3变形为cosx/(sinx+1/cosx)=3/sin^2(x)。
设y=sin(x),则cos(x)=√(1-y^2),所以上式化为(y+1/√(1-y^2))√(1-y^2)=3/y^2。
整理得y^5+3y^4+3y^3-8=0。
由于y=0不是方程的解,所以可将其化为(y+1)^3=y^2+3y+8/3。
又因为y^2+3y+8/3=(y+3/2)^2+7/12>0,所以y只可能为y=-1或y=-1/2。
当y=-1时,得cos(x)=0,sin(x)=-1,此时tan3x不存在。
当y=-1/2时,得cos(x)=√(1-1/4)=√3/2,sin(x)=-1/2。
因此sin(3x)=3sin(x)-4sin^3(x)=-3/4,cos(3x)=4cos^3(x)-3cos(x)=-1/2。
2011年考研数学试题(数学二)一、选择题1. 已知当时,函数A k=1,c=4B k=a, c=-4C k=3,c=4D k=3,c=-42.A B C D03. 函数的驻点个数为A0 B1 C2 D34. 微分方程A BC D5设函数具有二阶连续导数,且,则函数在点(0,0)处取得极小值的一个充分条件A BC D6.设A I<J<KB I<K<JC J<I<KD K<J<I7.设A为3阶矩阵,将A的第二列加到第一列得矩阵B,再交换B的第二行与第一行得单位矩阵。
记则A=A B C D8设是4阶矩阵,是A的伴随矩阵,若是方程组的一个基础解系,则的基础解系可为A B C D二、填空题9.10. 微分方程11.曲线的弧长s=____________12.设函数 ,则13.设平面区域D由y=x,圆及y轴所组成,则二重积分14.二次型,则f的正惯性指数为________________三、解答题15. 已知函数,设,试求的取值范围。
16. 设函数y=y(x)有参数方程,求y=y(x)的数值和曲线y=y(x)的凹凸区间及拐点。
17. 设,其中函数f具有二阶连续偏导数,函数g(x)可导,且在x=1处取得极值g(1)=1,求18. 设函数y(x)具有二阶导数,且曲线l:y=y(x)与直线y=x相切于原点,记是曲线l在点(x,y)外切线的倾角,求y(x)的表达式。
19.证明:1)对任意正整数n,都有2)设,证明收敛。
20.一容器的内侧是由图中曲线绕y旋转一周而成的曲面,该曲面由连接而成。
(1)求容器的容积。
(2)若从容器内将容器的水从容器顶部全部抽出,至少需要多少功?(长度单位:m;重力加速度为;水的密度为)21.已知函数f(x,y)具有二阶连续偏导数,且f(1,y)=0,f(x,1)=0,,其中,计算二重积分。
22.X01P1/32/3Y-101P1/31/31/3求:(1)(X,Y)的分布;(2)Z=XY的分布;(3)23.A为三阶实矩阵,,且(1)求A的特征值与特征向量;(2)求A参考答案选择题:CBCC ABDD填空题:9. 10. 11. 12. 13 14. 解答题:15. 解:16.解:sss17.解:18. 解:19.解:20. 解:21. 解:22. 解:23. 解:。
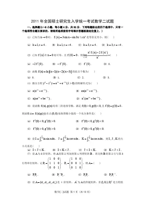
2011年全国硕士研究生入学统一考试数学二试题及解析一、选择题:1~8小题,每小题4分,共32分,下列每小题给出的四个选项中,只有一项符合题目要求,把所选项前的字母填在答题纸指定位置上.1、已知当0x →时,函数()3sin sin 3f x x x =-与kcx 等价无穷小,则(A )1,4k c == (B )1,4k c ==- (C ) 3,4k c == (D )3,4k c ==- 【分析】本题考查等价无穷小的有关知识.可以利用罗必达法则或泰勒公式完成。
【详解】法一:由题设知 1003sin sin 33cos 3cos31=lim=lim k k x x x x x xcx kcx-→→-- 23003sin 9sin 33cos 27cos3=lim=lim (1)(1)(2)k k x x x x x xk k cx k k k cx --→→-+-+--- 3024=lim(1)(2)k x k k k cx -→--从而(1)(2)243k k k c k --=⎧⎨=⎩,故3,4k c ==。
从而应选(C )。
法二:333333(3)()3(())(3())4()3!3!x x f x x o x x o x x o x =-+--+=+ 所以3,4k c ==。
,从而应选(C )。
2、已知()f x 在0x =处可导,且(0)0f =,则2330()2()lim x x f x f x x→-= (A )2'(0)f - (B )'(0)f - (C ) '(0)f (D )0【分析】本题考查导数的定义。
通过适当变形,凑出()f x 在0x =点导数定义形式求解。
【详解】2322333300()2()()(0)()(0)limlim[2]x x x f x f x x f x x f f x f x x x →→---=- ()2233300()(0)()(0)lim 2lim '0x x x f x x f f x f f x x →→--=-=- 故应选(B )。
11年数二真题答案解析介绍:数学是让很多学生头疼的学科之一,尤其是高考的数学考试。
为了帮助学生更好地备考,我们将对2011年的数学二真题进行答案解析。
在本文中,我们将从各个知识点出发,深入分析每道题目的解题思路和方法,以帮助同学们更好地理解和掌握数学知识。
第一部分:选择题1. 题目:设M是一条直线,过点(2,1),斜率为1/3. P,Q是在M上的两个不同点,且PQ=2. 则M的方程为?解析:根据题意,直线M过点(2,1),斜率为1/3,那么直线M 的方程可以表示为y = (1/3)x + b,其中b为常数。
因为PQ=2,所以P和Q的坐标分别为(2,1)和(2+2,1+2)=(4,3)。
将坐标代入直线M的方程中,得到1 = (1/3)×2 + b,解得b=1/3。
因此,直线M的方程为y = (1/3)x + 1/3。
2. 题目:一个家庭用3个煤气罐烧饭吃5天,如果家庭再增加一人,每天烧饭的重量减少2千克,可以多烧3天。
求这个家庭有几人,每天烧饭淡每人煤气使用量是多少?解析:设这个家庭原本有x人,每人每天烧饭的重量为y千克。
根据题意,3个煤气罐烧饭可以维持5天,所以3y × 5 = 15y是煤气使用的总重量。
当家庭增加一人后,每天烧饭的重量减少2千克,多烧3天,所以(x+1)(y-2) × 8 = 15y。
将两个方程合并,得到15y = 8y - 16,解得y=2/7。
由此可得,家庭有15个人,每人每天烧饭的煤气使用量是2/7千克。
第二部分:填空题1. 题目:已知∠A = 2∠B,BC = 2,BC = 4,则∠C = _______。
解析:根据题意,已知∠A = 2∠B,那么∠B = ∠A/2。
又BC = 2,AC = 4,根据正弦定理,得到sin∠A/2 = sinC/4。
以及sin∠C = BC/AC × sinA,代入已知条件得到sin∠C = 1/2 × sinA。
2011年考研数学二真题答案解析2011年考研已经结束,以下是 2011年考研数学二真题答案解析,希望对考生有所帮助2(111考研数学真题解析——数学二<s-r 1⑶检跖-C【解答7j (J )=■ ta |(J -1)(I_ 2m - 5| 侧£ 山个割1|+1#|^—2|+fcn^t —3|* 1 I 1y ='——-+—+—X-: x-2 X-3匕_奴*_3)*( = _1)(黑-3)*(君-D(x_2)(x-DCx-2XJr-3)3x J - I :A+ll(z- 1X T -2X X -3)(4)岑窠: 【解鶴J©U 特祉痕打T h ■ -a 故曲血吐私■崔盘匕"亠曲卅)严】》K -L A(B)故达cI^L7/W = 40(^)- 4十y" ~ 二 J 特解”二疋特解 y 2 - A<r'*C 2特解 > = XC I €Jk +C J r->)故选((5)鲁案:(X )【解答】 “姻・3铁广他3占=釜=/V )€ V) X=^|= /f (x)g(y) C i 篇二《/他 3在(0.0)点 4 = /r (0)g(0) B =・f 伽g “ C=AC-B^ >0 M ^>0=> r (0)<0g*(0) > 0 故选 A⑹答案:2 【解存】x e (0,―)A $m x <cosx <1 <cot x 则In $tn x < In cowx < 0 <ln cotx9 ■ ■MB八;In 心皿 >0 $ h «n xdx < $ In cs x<h <0故 即ZKvJ故选B(7)族(0)【解答】显儘作4片=£. A =.因为/:' = /:•所以“朋*.选(〃)・(&)答案:(/))•庆<o 』>=0若"几呃x% (0.0)伽他dz【解答】因为J1X=()^础解系會一个线性无关的解向秋・所以r(J)=3・J 是「(/T)二I. 故/TX = 0堆础解系含3个线性无关的解向磺,<A'A=\A\E = 0 H.r(J)=3・所以A 的列向磧组中含XX = 0的舉础解系, 周为(I.O.LO)7是方程?1l AX = 0的肚础解系.所以a.+a, =0.故或冬心,5线性无关,显然a 2>a iy a^A 9X = 0的一个基础解系•选(0)・<10) ”*十8"解 办 yby 二・x+lnC”=葩・'常数变y ="(*)*'代入 u'e~T +ue'*(- l) + u(x)"* =^_r cosx w r =cosxu = $m + C通斛 y =€ 1(5in A + O 7(0) = 0 C = 0KS = 71 + tan 2 xdx =<11)i sec xdx = In (sec A + tan =ln(V2 +1)二、填空腔「M(x)Nx==「矿"xdx 〈12)x=虻二-“亠『十「严dx八T iS —S —/ = jj xyda =cos 3 沁 6 p dp(14)解;特征值4 "心八4严4. 2惯性指数为2三.解答题 (15)题 【解答】lia = 0时.因为lim l\x) = ^.所以结论不iE 确: q k/<0时.因为lim FM = +«.所以结论也不正确;lim F(x) = lim卅=jim 山(】+ 壮JTT 乜ATT 佃再 林CIX^ 1=lim 怕(二]im = o 得 2 > ”一 1・ 所以 jr ►(> ♦ QX^ 1 x>O* 口丫^ a <3 . 「是1<a <3 •式>pr 原--13fi i Hi-/i ii1 3 113-41 b i i.111 IT当4> 0时. 111(1 + 丫')2工 ______ I 1 +x 2 a(a- l)x a=0«a>l「ln(l +/J )J/ lim/^v)= lim 如 JT 2・ ■-co$6m &d9二 n )(「4) • t【解答】 空二业二口二0紺二±1 <Zv cixlolt t +1c/u d( z Vdf dx dx/(Ji当/ = 一1附・同为^ = -^—^-=-~< 0・所UI^/ = -l 即x = -W 常数取极大値 Z (八十1)' 2 V = 1 •J- V 4/ I 5 1为/ = 1时・因为 - = ----- --- r = — > 0 >所以X / = 1即・丫 =-时.函数取极小值『= --- o收(厂2 3 3」2dg'fdf八令汁二一二刖厂X""^/<OL!Pxe(-®,|)时.由故为上M 函数; 1/>0即XG (*+ao )时・函数为下凹函数.(I?)题 【解答】ih g(.v)可导且在.r = 1处取极值#(1)二I ・所以g*(>) = 0・ ' ■云=fXxy,yg(x)]y + /;[叽)沁)呢何・磊=血卩加切斗)何;(硏加岗)*⑴川巧>凭(引)W则 ^J = AUD+/n (U)+Z :(U).d 2y dx 2当Y0时.当/》0时.【解答】—=tail cz!两边对?:得dx5ec :^. —= y\ 即(l+3“)F = y ・, dx•討=(1 + 产)* 于是有八 厂 .v(O)=O ;y(O) = lf 9令y=p,则T=竺,于是有空=戸(1+,),变重分离得 ebc dx牛悬如如两边积分得血••〔 j. = x+G ,代入初始条件得G=in_],故-=£==-L^ J1+ J] Jl + pd J] 两边平方解得QeD ■ = --------- -- , P =‘ 2」• VTv 7• QQI---flx = arcsii —= * C\,因为 v T (0) = 0,所以C :二一二,故 y = arcsin —-—4 A /2 4(19)题 【解答】ln(1 +丄)=ln(1 十丄)-S» M证恥①/⑴=加(】1)在 ol应用中值定理1+丄 即Ml<h(l+ A) <1-1nn n351-+、£ V +H S +大z【 y e ■ 尺 W I (T +C£ v +(i + D + (i +L )£A «E l i v +T +一 =£蚩?ss・w 「0)s V 7»OY»0l 7・D一+ 7:V —I +3T H g£l a 4M )£一+«Zd u ll —V H «5?)y fTPHJH 言s r .)H.=n 一【塁】園(H)s——n■ L P Q r x f —rl ) J十$("(—&(.(12-档、n f r w w —v、M Q (r rl)〔T 5:".(!d u、g Q (.f —rl )3 nY盘总总(r + W於&(4—rl )g H 」1 N)I旷 ・卅卩戈f k — D 9+ €(r 1( L rl) H '(二【帥離】J 是/二 J :皿[”;(x J M 二]伙(儿1)&・[刃妙 =M/V,l) I ; -[加[*;(大丿)加=-[;创*;(2)次=-[£'wj )ii 令-f 飒=(f (v.yWd = JJ J\ 2 Wxcly = </ ・(22)题 【解答】1 0 I(I) W/j|a t |= 0 1 3 = I H O ・所以r(a^a^a 3)= 31 I 5义肉为4心心不能由久几/点件牝品 听以"久"一儿)< 彳•于是101代0心解得八5(2) 二 0 1厂 10 1 1 1 3、P 0 0 2 1 5、 0 1 3 1 2 4 ->1 0 42 10 0 X 14 0 2 2丿0 \0 1-1_ 2仇=2a )十4久-a ; 于是< 0:二 a 、+ 2a : + Otz L .fly = 5flf ] 4- \0a : -2a y(23〉題【解答】楓据特征值特征向磧的定义•,的待征值为人=-1.入=1 •对应的线性无关的特征向肚为< 1、<1)令內=0 1一1丿S =J \ X 3 12 4 5 13 5,因为r(/l) = 2<3< 所以|J<|=0>故=0令$二兀为的H1应于入二0的特征向临阂为/<为实对祢矩阵•所以右0a].a“ajp・{2 化厲令0 =(儿,乙,乙)=1、0 0、I 00 0?『•足片=00 y r = 00 10 00,。