椭圆双曲线抛物线典型例题
- 格式:doc
- 大小:765.50 KB
- 文档页数:9
椭圆双曲线抛物线训练题一、解答题(共21题;共195分)1.已知椭圆Γ:的左,右焦点分别为F1( ,0),F2( ,0),椭圆的左,右顶点分别为A,B,已知椭圆Γ上一异于A,B的点P,PA,PB的斜率分别为k1,k2,满足.(1)求椭圆Γ的标准方程;(2)若过椭圆Γ左顶点A作两条互相垂直的直线AM和AN,分别交椭圆Γ于M,N两点,问x轴上是否存在一定点Q,使得∠MQA=∠NQA成立,若存在,则求出该定点Q,否则说明理由.2.已知椭圆C:=1(a>b>0)的左、右焦点分别为F1,F2,点A(,)在椭圆C上,且△F1AF2的面积为。
(1)求椭圆C的方程。
(2)设直线y=kx+1和椭圆C交于B,D两点,O为坐标原点,判断在y轴上是否存在点E,使∠OEB=∠OED。
若存在,求出点E的坐标;若不存在,请说明理由。
3.已知椭圆的离心率为,点椭圆的右顶点.(1)求椭圆的方程;(2)过点的直线与椭圆交于两点,直线与直线的斜率和为,求直线l的方程.4.设椭圆的左焦点为,上顶点为.已知椭圆的短轴长为4,离心率为.(Ⅰ)求椭圆的方程;(Ⅱ)设点在椭圆上,且异于椭圆的上、下顶点,点为直线与轴的交点,点在轴的负半轴上.若(为原点),且,求直线的斜率.5.设A,B为曲线C:y= 上两点,A与B的横坐标之和为4.(12分)(1)求直线AB的斜率;(2)设M为曲线C上一点,C在M处的切线与直线AB平行,且AM⊥BM,求直线AB的方程.6.设椭圆的右焦点为,过得直线与交于两点,点的坐标为.(1)当与轴垂直时,求直线的方程;(2)设为坐标原点,证明:.7.已知椭圆C:+ =1(a>b>0),四点P1(1,1),P2(0,1),P3(﹣1,),P4(1,)中恰有三点在椭圆C上.(12分)(1)求C的方程;(2)设直线l不经过P2点且与C相交于A,B两点.若直线P2A与直线P2B的斜率的和为﹣1,证明:l过定点.8.设椭圆的左焦点为,左顶点为,顶点为B.已知(为原点).(Ⅰ)求椭圆的离心率;(Ⅱ)设经过点且斜率为的直线与椭圆在轴上方的交点为,圆同时与轴和直线相切,圆心在直线上,且,求椭圆的方程.9.已知斜率为的直线与椭圆交于两点,线段的中点为(1)证明:(2)设为的右焦点,为上一点,且,证明:10.已知抛物线C:y2=2x,过点(2,0)的直线l交C与A,B两点,圆M是以线段AB为直径的圆.(Ⅰ)证明:坐标原点O在圆M上;(Ⅱ)设圆M过点P(4,﹣2),求直线l与圆M的方程.11.设抛物线的焦点为F,过F点且斜率的直线与交于两点,. (1)求的方程。
数学拓展模块第二章椭圆、双曲线、抛物线(试卷A )一、选择题:(本大题有15个小题,每小题3分,共45分。
在每小题所给出的选项中只有一个符合题目要求)1.已知椭圆221169+=x y 上一点到椭圆的一个焦点的距离为3,则P 到另一个焦点的距离为( ). A .3 B .4 C .5 D .62.椭圆2211625+=x y 的焦距是( ). A .6 B .4 C .10 D .93.已知椭圆方程是224520+=x y ,则它的离心率是( ).A .2B .C .D . 124.长轴是短轴的2倍,且经过点P (-2.0)的椭圆方程是( ).A . 2214+=x yB . 221416+=x yC . 221164+=x y 或2214+=x y D . 221416+=x y 或2214+=x y 5.焦点在x 轴上,长轴长为8.离心率为12,那么椭圆的标准方程为( ). A .2211612+=x y B . 2211612-=x y C . 2211216+=x y D . 2211216-=x y6.与椭圆2211625+=x y 有共同的焦点且过点(-的双曲线的方程是( ). A .22154-=y x B . 22153-=y x C . 22154-=x y D . 22153-=x y 7.双曲线的两个焦点坐标是1F (0,-5), 2F (0,5),且2a =8.则双曲线的方程为( ).A .221169-=y x B . 2211625-=y x C . 2211625-=x y D . 2216425-=x y 8.若双曲线焦点在x 轴上,且它的一条渐进线方程为34=y x ,则离心率是( ).A .54B . 4C . 7D . 79.双曲线221169-=x y ,若过右焦点2F ,且在双曲线右半支上的弦AB 长为5,另一焦点为1F 则△AB 1F 的周长为( ).A .16B .11C . 26D .610.设()0,απ∈,方程221sin cos αα+=x y 表示中心在坐标原点,焦点在x 轴上的双曲线,则α的取值范围是( ).A . ()0,π В. [)0,π C . ,2ππ⎛⎫⎪⎝⎭D .,2ππ⎡⎫⎪⎢⎣⎭11.抛物线250-=x y 的准线方程是( ).A . 54=-x B . 52=x C . 54=y D . 54=-y 12.顶点在原点,准线方程为y =4的抛物线标准方程为( ). A . 216=y x B . 216=-y x C . 216=x y D . 216=-x y13.顶点在原点,对称轴是y 轴,顶点与焦点的距离等于2的抛物线方程是( ). A . 24=±x y B . 24=±y x C . 28=±x y D . 28=±y x 14.顶点在原点,以坐标轴为对称轴且过点(2,-3)的抛物线方程是( ). A . 292=y x 或243=-x y B . 292=-y x C . 292=-y x 或243=x y D . 243=-x y 15.顶点在坐标原点,焦点是(0,-1)的抛物线的标准方程是( ). A . 24=x y B . 24=-x y C . 24=-y x D . 24=y x 二、填空题(本在题有15个小空,每空2分,共30分) 16.已知椭圆221625400+=x y ,其离心率为___________.17.已知椭圆的右焦点F (3,0),F 到右顶点距离为3,则椭圆的方程为___________.18.已知曲线的方程22194+=--x y k k为椭圆的标准方程,则k 的取值范围为___________.19.椭圆各22214+=x y a 与双曲线器22212-=x y a 有相同的焦点,则2a =___________. 20如果方程222+=x ky 表示焦点在y 轴上的椭圆,那么实数k 的取值范围是___________.21.已知1F ,2F 是椭圆221259+=x y 的两个焦点,过1F 的直线与椭圆交于M .N 两点,则△MN 2F 的周长是___________.22.双曲线222516400-=x y 的两条渐近线方程是___________.23.双曲线的实轴长为6,离心率2=e ,焦点在x 轴上,则双曲线的标准方程为___________. 24.双曲线2288-=kx ky 的一个焦点是(0,3),那么k =___________.25.与双曲线221916-=x y 有相同的渐近线,且过点(3,-C 的双曲线方程是___________. 26.方程22125-=--x y k k表示双曲线,则k 的取值范围是___________. 27.抛物线214=-y x 的焦点坐标是___________.28.抛物线上24=-y x 上一点M 到焦点的距离是6,则M 到准线的距离是___________. 29.若抛物线22=y px 上到焦点距离为3的点的横坐标为2.则p =___________.30.抛物线218=-y x 的准线方程是___________.三、解答题:(本大题共45分)31.已知椭圆的短轴长是2,中心与抛物线24=y x 的顶点重合,椭圆的一个焦点是此抛物线的焦点,求该椭圆的方程及离心率.32.椭圆的长轴是短轴的3倍,过点P (3,0),求椭圆的标准方程.33.一椭圆的中心在坐标原点,焦点在x 轴上,焦距为 的焦点,且双曲线的实半轴比椭圆的长半轴小4,且双曲线的离心率与椭圆的离心率之比为73,求此椭圆和双曲线的方程。
椭圆,双曲线,抛物线练习题及答案1、已知椭圆方程为 $x^2/23+y^2/32=1$,则这个椭圆的焦距为() A.6 B.3 C.35 D.652、椭圆 $4x^2+2y^2=1$ 的焦点坐标是() A.(-2,0),(2,0) B.(0,-2),(0,2) C.(0,-1/2),(0,1/2) D.(-2/2,0),(2/2,0)3、$F_1$,$F_2$ 是定点,且 $FF_{12}=6$,动点$M$ 满足 $MF_1+MF_2=6$,则 $M$ 点的轨迹方程是()A.椭圆 B.直线 C.圆 D.线段4、已知方程$x^2+my^2=1$ 表示焦点在$y$ 轴上的椭圆,则 $m$ 的取值范围是() A.$m1$ D.$1<m<5$5、过点 $(3,-2)$ 且与椭圆 $4x^2+9y^2=36$ 有相同焦点的椭圆方程是()A.$x^2y^2/15+10=1$ B.$x^2y^2/152+102=1$ C.$x^2/10+y^2/15=1$ D.$x^2y^2/102+152=1$6、若直线 $y=mx+1$ 与椭圆 $x^2+4y^2=1$ 只有一个公共点,那么 $m^2$ 的值是()A.$1/2$ B.$3/4$ C.$2/3$ D.$4/5$7、已知椭圆 $C:x^2/9+y^2/2=1$,直线 $l:x/10+y=1$,点$P(2,-1)$,则() A.点 $P$ 在 $C$ 内部,$l$ 与 $C$ 相交B.点 $P$ 在 $C$ 外部,$l$ 与 $C$ 相交 C.点 $P$ 在 $C$ 内部,$l$ 与 $C$ 相离 D.点 $P$ 在 $C$ 外部,$l$ 与 $C$ 相离8、过椭圆 $C:x^2/a^2+y^2/b^2=1$ 的焦点引垂直于 $x$ 轴的弦,则弦长为() A。
$2b^2/a$ B。
$b^2/a$ C。
$b/a$ D。
$2b/a$9、抛物线 $x+2y^2=0$ 的准线方程是() A。
椭圆、双曲线、抛物线综合试题学校:___________姓名:___________注意事项:1.答题前填写好自己的姓名、班级、考号等信息2.请将答案正确填写在答题卡上第I 卷(选择题)1.(a>0,b>0)的一条渐近线方程是它的一个焦点在抛物线y 2=24x 的准线上,则双曲线的方程为( )2.已知焦点在x 轴上的椭圆,则a 的值为 ( ) ABD .123.设斜率为2的直线l 过抛物线y 2=ax (a ≠0)的焦点F ,且和y 轴交于点A ,若△OAF (O 为坐标原点)的面积为4,则抛物线的方程为( )A .y 2=±4xB .y 2=±8xC .y 2=4xD .y 2=8x4.椭圆2249144x y +=内的一点(3,2)P ,过点P 的弦恰好以P 为中点,那么这弦所在的直线方程A. 32120x y +-=B. 23120x y +-=C. 491440x y +-=D. 941440x y +-=5k 适合的条件是A .2k <-或25k <<B .22k -<<或5k >C .2k <-或5k > D.25k -<<6.已知P 为抛物线上的动点,点P 在x 轴上的射影为M ,点A的坐标是 ( )(A)8 (B)(C)107 A 、0 B 、1 C 、2 D 、38(0,0>>>b m a )的离心率之积大于1,则以m b a ,,为边长的三角形一定是( )A 等腰三角形B 锐角三角形C 直角三角形D 钝角三角形第II 卷(非选择题)请点击修改第II 卷的文字说明9.已知P上一点,F 1,F 2是椭圆的焦点,∠F 1PF 2=900,则△F 1PF 2的面积为___________;10.如图,双曲线的两顶点为,,虚轴两端点为,,两焦点为,. 若以为直径的圆内切于菱形,切点分别为. 则(Ⅰ)双曲线的离心率 ;(Ⅱ)菱形的面积与矩形的面积的比值 . 11.过点)2,2(p M -作抛物线)0(22>=p py x 的两条切线,切点分别为A 、B ,若 线段AB 中点的纵坐标为6,则抛物线的方程为 .12.对任意实数k ,直线y kx b =+与椭圆,则b 的取值范围是三、解答题(题型注释)13.(本小题满分12分) 抛物线22y px =的焦点与双曲线. (Ⅰ)求抛物线的方程;(Ⅱ)求抛物线的准线与双曲线的渐近线围成的三角形的面积.14.已知1F )0,1(-、2F )0,1(为椭圆的焦点,且直线 (Ⅰ)求椭圆方程;(Ⅱ)过1F 的直线交椭圆于A 、B 两点,求△2ABF 的面积S 的最大值,并求此时直线的方程。
椭圆、双曲线与抛物线1. 若直线y =kx +2与双曲线x 2-y 2=6的右支交于不同的两点,则k 的取值范围是( ) 1515151515., .0, .,0.,133333A B C D ⎛⎫⎛⎫⎛⎫⎛⎫---- ⎪ ⎪ ⎪ ⎪ ⎪ ⎪ ⎪ ⎪⎝⎭⎝⎭⎝⎭⎝⎭ 2.已知抛物线y 2=8x 的准线为l ,点Q 在圆C :x 2+y 2+2x -8y +13=0上,记抛物线上任意一点P 到直线l 的距离为d ,则d +|PQ |的最小值等于( )A .3B .2C .4D .53.已知抛物线y 2=2px 的焦点F 与椭圆16x 2+25y 2=400的左焦点重合,抛物线的准线与x 轴的交点为K ,点A 在抛物线上且|AK |=2|AF |,则点A 的横坐标为( )A .2B .-2C .3D .-34.已知双曲线x 2a 2-y 2b 2=1(a >0,b >0)上的一点到双曲线的左、右焦点的距离之差为4,若抛物线y =ax 2上的两点A (x 1,y 1),B (x 2,y 2)关于直线y =x +m 对称,且x 1x 2=-12,则m 的值为( ) A .32 B .52C .2D .3 5. 已知a >b >0,椭圆C 1的方程为x 2a 2+y 2b 2=1,双曲线C 2的方程为x 2a 2-y 2b 2=1,C 1与C 2的离心率之积为32,则C 2的渐近线方程为( )A .x ±2y =0 B.2x ±y =0 C .x ±2y =0 D .2x ±y =06. 设直线l 与抛物线y 2=4x 相交于A ,B 两点,与圆(x -5)2+y 2=r 2(r >0)相切于点M ,且M 为线段AB 的中点.若这样的直线l 恰有4条,则r 的取值范围是( )A .(1,3)B .(1,4)C .(2,3)D .(2,4) 7. 若F 1,F 2分别是椭圆E :x 2+y 2b2=1(0<b <1)的左、右焦点,过点F 1的直线交椭圆E 于A ,B 两点.若|AF 1|=3|F 1B |,AF 2⊥x 轴,则椭圆E 的方程为_____________.答案:x 2+3y 22=1 8.设F 1,F 2是双曲线C :x 2a 2-y 2b2=1(a >0,b >0)的两个焦点,P 是C 上一点,若|PF 1|+|PF 2|=6a ,且△PF 1F 2的最小内角为30°,则双曲线C 的离心率为________.答案 39.设F 为抛物线C :y 2=4x 的焦点,过点P (-1,0)的直线l 交抛物线C 于A ,B 两点,点Q 为线段AB 的中点,若|FQ |=2,则直线l 的斜率等于________.答案 ±110. 过抛物线y 2=2px (p >0)的焦点F 的直线交抛物线于点A ,B ,交其准线l 于点C ,若|BC |=2|BF |,且|AF |=3,则此抛物线的方程为________.答案:y 2=3x11.如图,已知抛物线C :y 2=2px (p >0),焦点为F ,过点G (p,0)作直线l 交抛物线C 于A ,M 两点,设A (x 1,y 1),M (x 2,y 2).(1)若y 1y 2=-8,求抛物线C 的方程;(2)若直线AF 与x 轴不垂直,直线AF 交抛物线C 于另一点B ,直线BG 交抛物线C 于另一点N .求证:直线AB 与直线MN 斜率之比为定值.解:(1)设直线AM 的方程为x =my +p ,代入y 2=2px 得y 2-2mpy -2p 2=0,则y 1y 2=-2p 2=-8,得p =2. ∴抛物线C 的方程为y 2=4x .(2)证明:设B (x 3,y 3),N (x 4,y 4).由(1)可知y 3y 4=-2p 2,y 1y 3=-p 2.又直线AB 的斜率k AB =y 3-y 1x 3-x 1=2p y 1+y 3, 直线MN 的斜率k MN =y 4-y 2x 4-x 2=2p y 2+y 4, ∴k AB k MN =y 2+y 4y 1+y 3=-2p 2y 1+-2p 2y 3y 1+y 3=-2p 2y 1y 3(y 1+y 3)y 1+y 3=2. 故直线AB 与直线MN 斜率之比为定值.12. 已知抛物线C :y 2=2px (p >0)过点A (1,-2).(1)求抛物线C 的方程,并求其准线方程;(2)是否存在平行于OA (O 为坐标原点)的直线l ,使得直线l 与抛物线C 有公共点,且直线OA 与l 的距离等于55?若存在,求直线l 的方程;若不存在,请说明理由. 破题切入点 (1)将点代入易求方程.(2)假设存在,根据条件求出,注意验证.解 (1)将(1,-2)代入y 2=2px ,得(-2)2=2p ·1,所以p =2.故所求的抛物线C 的方程为y 2=4x ,其准线方程为x =-1.(2)假设存在符合题意的直线l ,其方程为y =-2x +t .由⎩⎪⎨⎪⎧y =-2x +t ,y 2=4x ,得y 2+2y -2t =0. 因为直线l 与抛物线C 有公共点,所以Δ=4+8t ≥0,解得t ≥-12. 由直线OA 到l 的距离d =55,可得|-t |5=15,解得t =±1. 又因为-1∉[-12,+∞),1∈[-12,+∞),所以符合题意的直线l 存在,其方程为2x +y -1=0.13. 已知抛物线C 1:x 2=4y 的焦点F 也是椭圆C 2:y 2a 2+x 2b 2=1(a >b >0)的一个焦点,C 1与C 2的公共弦的长为2 6.过点F 的直线l 与C 1相交于A ,B 两点,与C 2相交于C ,D 两点,且AC 与BD 同向.(1)求C 2的方程;(2)若|AC |=|BD |,求直线l 的斜率.解:(1)由C 1:x 2=4y 知其焦点F 的坐标为(0,1).因为F 也是椭圆C 2的一个焦点,所以a 2-b 2=1.①又C 1与C 2的公共弦的长为26,C 1与C 2都关于y 轴对称,且C 1的方程为x 2=4y ,由此易知C 1与C 2的公共点的坐标为⎝⎛⎭⎫±6,32, 所以94a 2+6b 2=1.② 联立①②,得a 2=9,b 2=8. 故C 2的方程为y 29+x 28=1. (2)如图,设A (x 1,y 1),B (x 2,y 2),C (x 3,y 3),D (x 4,y 4). 因AC 与BD 同向,且|AC |=|BD |,所以AC =BD ,从而x 3-x 1=x 4-x 2,即x 1-x 2=x 3-x 4,于是(x 1+x 2)2-4x 1x 2=(x 3+x 4)2-4x 3x 4.③设直线l 的斜率为k ,则l 的方程为y =kx +1.由⎩⎪⎨⎪⎧y =kx +1,x 2=4y ,得x 2-4kx -4=0. 而x 1,x 2是这个方程的两根,所以x 1+x 2=4k ,x 1x 2=-4.④由⎩⎪⎨⎪⎧y =kx +1,y 29+x 28=1,得(9+8k 2)x 2+16kx -64=0. 而x 3,x 4是这个方程的两根, 所以x 3+x 4=-16k 9+8k 2,x 3x 4=-649+8k 2.⑤ 将④⑤代入③,得16(k 2+1)=162k 2(9+8k 2)2+4×649+8k 2, 即16(k 2+1)=162×9(k 2+1)(9+8k 2)2,所以(9+8k 2)2=16×9, 解得k =±64,即直线l 的斜率为±64.。
高考押题专练1.已知双曲线x 2a 2-y 2b 2=1(a >0,b >0)的左、右焦点分别为F 1,F 2,以F 1,F 2为直径的圆与双曲线渐近线的一个交点为(3,4),则此双曲线的方程为( )A.x 216-y 29=1B.x 23-y 24=1 C.x 29-y 216=1 D.x 24-y 23=1 【答案】C【解析】以F 1,F 2为直径的圆的方程为x 2+y 2=c 2,又因为点(3,4)在圆上,所以32+42=c 2,所以c =5,双曲线的一条渐近线方程为y =b a x ,且点(3,4)在这条渐近线上,所以b a =43,又a 2+b 2=c 2=25,解得a =3,b =4,所以双曲线的方程为x 29-y 216=1,故选C.2.椭圆x 212+y 23=1的焦点为F 1和F 2,点P 在椭圆上,如果线段PF 1的中点在y 轴上,那么|PF 1|是|PF 2|的( )A .7倍B .5倍C .4倍D .3倍 【答案】A【解析】由题设知F 1(-3,0),F 2(3,0),如图,∵线段PF 1的中点M 在y 轴上, ∴可设P (3,b ),把P (3,b )代入椭圆x 212+y 23=1,得b 2=34.∴|PF 1|=36+34=732,|PF 2|=0+34=32. ∴|PF 1||PF 2|=73232=7.故选A.3.已知F 1,F 2为双曲线C :x 2-y 2=1的左、右焦点,点P 在C 上,∠F 1PF 2=60°,则|PF 1|·|PF 2|=( ) A .2 B .4 C .6 D .8 【答案】B【解析】由余弦定理得cos ∠F 1PF 2=|PF 1|2+|PF 2|2-|F 1F 2|22|PF 1|·|PF 2|⇒cos 60°=(|PF 1|-|PF 2|)2+2|PF 1|·|PF 2|-|F 1F 2|22|PF 1|·|PF 2|⇒|PF 1|·|PF 2|=4.4.设F 1,F 2分别是双曲线C :x 2a 2-y 2b 2=1的左、右焦点,点P ⎝⎛⎭⎫62,22在此双曲线上,且PF 1⊥PF 2,则双曲线C 的离心率等于( )A.22 B. 2 C. 3 D.62【答案】B【解析】根据已知条件得:⎩⎪⎨⎪⎧32a 2-12b 2=1,⎝⎛⎭⎫62+c 2+12+⎝⎛⎭⎫62-c 2+12=4c 2,即⎩⎪⎨⎪⎧3a 2-1c 2-a 2=2,c 2=2,∴解得a =1,c = 2.∴双曲线C 的离心率e =ca= 2.故选B.5.已知抛物线C 的顶点是椭圆x 24+y 23=1的中心,焦点与该椭圆的右焦点F 2重合,若抛物线C 与该椭圆在第一象限的交点为P ,椭圆的左焦点为F 1,则|PF 1|=( )A.23B.73C.53 D .2 【答案】B【解析】由椭圆的方程可得a 2=4,b 2=3,∴c =a 2-b 2=1,故椭圆的右焦点F 2为(1,0),即抛物线C 的焦点为(1,0),∴p 2=1,∴p =2,∴2p =4,∴抛物线C 的方程为y 2=4x ,联立⎩⎪⎨⎪⎧x 24+y 23=1,y 2=4x .解得⎩⎨⎧x =23,y =263或⎩⎨⎧x =23,y =-263,∵P 为第一象限的点,∴P ⎝⎛⎭⎫23,263,∴|PF 2|=1+23=53,∴|PF 1|=2a -|PF 2|=4-53=73,故选B.6.已知双曲线x 2a 2-y 2b 2=1(a >0,b >0)的左顶点与抛物线y 2=2px (p >0)的焦点的距离为4,且双曲线的一条渐近线与抛物线的准线的交点坐标为(-2,-1),则双曲线的焦距为( )A .2 3B .2 5C .4 3D .45 【答案】B【解析】由题意得⎩⎪⎨⎪⎧a +p2=4,-p2=-2,-1=(-2)·b a⇒⎩⎪⎨⎪⎧p =4,a =2,b =1⇒c =a 2+b 2= 5. ∴双曲线的焦距2c =2 5.故选B.7.抛物线y 2=4x 的焦点为F ,准线为l ,经过F 且斜率为3的直线与抛物线在x 轴上方的部分相交于点A ,AK ⊥l ,垂足为K ,则△AKF 的面积是( )A .4B .3 3C .4 3D .8 【答案】C【解析】∵y 2=4x ,∴F (1,0),l :x =-1,过焦点F 且斜率为3的直线l 1:y =3(x -1),与y 2=4x 联立,解得x =3或x =13(舍),故A (3,23),∴AK =4,∴S △AKF =12×4×23=4 3.故选C.8.已知直线y =k (x +1)(k >0)与抛物线C :y 2=4x 相交于A ,B 两点,F 为抛物线C 的焦点,若||F A =2||FB ,则k =( )A.13B.223C.23D.23 【答案】B【解析】设A ,B 的纵坐标分别为y 1,y 2,由||F A =2||FB 得y 1=2y 2(如图).由y =k (x +1)得,x =yk -1,代入C :y 2=4x 并整理得ky 2-4y +4k =0,又y 1,y 2是该方程的两根,∴⎩⎨⎧3y 2=y 1+y 2=4k, ①2y 22=y 1y 2=4kk=4, ②∴由①②得,2=y 22=⎝⎛⎭⎫43k 2.∵k >0,∴k =223.故选B.9.设椭圆的方程为x 2a 2+y 2b 2=1(a >b >0),右焦点为F (c ,0)(c >0),方程ax 2+bx -c =0的两实根分别为x 1,x 2,则P (x 1,x 2)( )A .必在圆x 2+y 2=2内B .必在圆x 2+y 2=2外C .必在圆x 2+y 2=1外D .必在圆x 2+y 2=1与圆x 2+y 2=2形成的圆环之间 【答案】D【解析】椭圆的方程为x 2a 2+y 2b 2=1(a >b >0),右焦点为F (c ,0)(c >0),方程ax 2+bx -c =0的两实根分别为x 1和x 2,则x 1+x 2=-b a ,x 1·x 2=-ca,x 21+x 22=(x 1+x 2)2-2x 1·x 2=b 2a 2+2ac a 2>a 2+c 2a 2=1+e 2,因为0<e <1, 即0<e 2<1. 所以1<e 2+1<2,所以x 21+x 22>1,又b 2a 2+2ac a 2<b 2+a 2+c 2a 2=2, 所以1<x 21+x 22<2,即点P 在圆x 2+y 2=1与x 2+y 2=2形成的圆环之间.故选D.10.已知椭圆x 2a 2+y 2b 2=1(a >b >0)的左焦点为F ,右顶点为A ,抛物线y 2=158(a +c )x 与椭圆交于B ,C 两点,若四边形ABFC 是菱形,则椭圆的离心率等于( )A.158B.415C.23D.12 【答案】D【解析】∵椭圆x 2a 2+y 2b 2=1(a >b >0)的左焦点为F ,右顶点为A ,∴A (a ,0),F (-c ,0).∵抛物线y 2=158(a +c )x 与椭圆交于B ,C 两点,∴B ,C 两点关于x 轴对称,可设B (m ,n ),C (m ,-n ). ∵四边形ABFC 是菱形, ∴m =12(a -c ).将B (m ,n )代入抛物线方程,得 n 2=158(a +c )·12(a -c )=1516b 2,∴B ⎝⎛⎭⎫12(a -c ),154b ,再代入椭圆方程,得⎣⎡⎦⎤12(a -c )2a 2+⎝⎛⎭⎫154b 2b 2=1,即14·(a -c )2a 2=116, 化简整理,得4e 2-8e +3=0,解得e =12(e =32>1不符合题意,舍去).故选D.11.已知A (-1,0),B 是圆F :x 2-2x +y 2-11=0(F 为圆心)上一动点,线段AB 的垂直平分线交BF 于P ,则动点P 的轨迹方程为( )A.x 212+y 211=1 B.x 236-y 235=1 C.x 23-y 22=1 D.x 23+y 22=1 【解析】由题意得|P A |=|PB |,所以|P A |+|PF |=|PB |+|PF |=r =23>|AF |=2.所以点P 的轨迹是以A ,F 为焦点的椭圆,且a =3,c =1,所以b =2,所以动点P 的轨迹方程为x 23+y 22=1.【答案】D12.已知双曲线C :x 2-y 23=1的右顶点为A ,过右焦点F 的直线l 与C 的一条渐近线平行,交另一条渐近线于点B ,则S △ABF =( )A. 3B.32C.334D.338【解析】由双曲线C :x 2-y 23=1,得a 2=1,b 2=3,故c =a 2+b 2=2, 所以A (1,0),F (2,0),渐近线方程为y =±3x . 不妨设BF 的方程为y =3(x -2), 代入方程y =-3x ,解得B (1,-3), 所以S △AFB =12|AF |·|y B |=12×1×3=32.【答案】B13.已知抛物线C :y 2=8x 的焦点为F ,准线为l ,P 是l 上一点,Q 是直线PF 与C 的一个交点.若FP →=4FQ →,则|QF |等于________.【解析】过点Q 作QQ ′⊥l 交l 于点Q ′,因为FP →=4FQ →,所以|PQ |∶|PF |=3∶4. 又焦点F 到准线l 的距离为4,所以|QF |=|QQ |′=3. 【答案】3 14.已知抛物线y 2=2px (p >0)上的一点M (1,t )(t >0)到焦点的距离为5,双曲线x 2a 2-y 29=1(a >0)的左顶点为A ,若双曲线的一条渐近线与直线AM 平行,则实数a 的值为________.【解析】由题设1+p2=5,所以p =8.不妨设点M 在x 轴上方,则M (1,4),由于双曲线的左顶点A (-a ,0),且AM 平行一条渐近线,所以41+a =3a,则a =3. 【答案】315.已知双曲线x 2a 2-y 2b 2=1(a >0,b >0)的右焦点为F ,由F 向其渐近线引垂线,垂足为P ,若线段PF的中点在此双曲线上,则此双曲线的离心率为________.【解析】方法一:由题意设F (c ,0),相应的渐近线方程为y =b a x ,根据题意得k PF =-ab ,设P ⎝⎛⎭⎫x ,b a x ,代入k PF =-a b 得x =a 2c ,则P ⎝⎛⎭⎫a 2c ,ab c ,则线段PF 的中点为⎝⎛⎭⎫12⎝⎛⎭⎫a 2c +c ,ab 2c ,代入双曲线方程得14⎝⎛⎭⎫a c +c a 2-14⎝⎛⎭⎫a c 2=1,即14⎝⎛⎭⎫1e +e 2-14·⎝⎛⎭⎫1e 2=1,∴e 2=2,∴e = 2. 方法二:双曲线x 2a 2-y 2b 2=1(a >0,b >0)的渐近线方程为x a ±yb=0,焦点F 到渐近线的距离d =⎪⎪⎪⎪c a ⎝⎛⎭⎫1a 2+⎝⎛⎭⎫±1b 2=b .设线段PF 的中点M (x 0,y 0),则其到两条渐近线的距离分别为b ,b 2,距离之积为b 22,又距离之积为⎪⎪⎪⎪x 0a -y 0b ⎝⎛⎭⎫1a 2+⎝⎛⎭⎫-1b 2·⎪⎪⎪⎪x 0a +y 0b ⎝⎛⎭⎫1a 2+⎝⎛⎭⎫1b 2=a 2b 2c 2, 则a 2b 2c 2=b 22, ∴a 2c 2=12,e = 2. 【答案】216.已知F 1,F 2分别是双曲线3x 2-y 2=3a 2(a >0)的左、右焦点,P 是抛物线y 2=8ax 与双曲线的一个交点,若|PF 1|+|PF 2|=12,则抛物线的准线方程为________.【解析】将双曲线方程化为标准方程得x 2a 2-y 23a2=1,抛物线的准线为x =-2a ,联立⎩⎪⎨⎪⎧x 2a 2-y 23a 2=1,y 2=8ax ,解得x =3a ,即点P 的横坐标为3a .而由⎩⎪⎨⎪⎧|PF 1|+|PF 2|=12,|PF 1|-|PF 2|=2a解得|PF 2|=6-a ,∴|PF 2|=3a +2a =6-a ,解得a =1, ∴抛物线的准线方程为x =-2. 【答案】 x =-217.设椭圆中心在坐标原点,A (2,0),B (0,1)是它的两个顶点,直线y =kx (k >0)与线段AB 相交于点D ,与椭圆相交于E ,F 两点.若ED →=6DF →,则k 的值为________.【解析】依题意得椭圆的方程为x 24+y 2=1,直线AB ,EF 的方程分别为x +2y =2,y =kx (k >0).如图,设D (x 0,kx 0),E (x 1,kx 1),F (x 2,kx 2),其中x 1<x 2,则x 1,x 2满足方程(1+4k 2)x 2=4,故x 2=-x 1=21+4k 2.由ED →=6DF →知x 0-x 1=6(x 2-x 0),得x 0=17(6x 2+x 1)=57x 2=1071+4k 2.由D 在直线AB 上知,x 0+2kx 0=2,x 0=21+2k ,所以21+2k =1071+4k 2,化简得24k2-25k +6=0,解得k =23或k =38. 【答案】 23或3818.在平面直角坐标系xOy 中,已知点A 在椭圆x 225+y 29=1上,点P 满足AP →=(λ-1)OA →(λ∈R),且OA →·OP→=72,则线段OP 在x 轴上的投影长度的最大值为________.【解析】∵AP →=(λ-1)OA →,∴OP →=λOA →,则O ,P ,A 三点共线. ∵OA →·OP →=72,∴|OA →||OP →|=72,设线段OP 与x 轴的夹角为θ,设A (x ,y ),B 为点A 在x 轴的投影, 则线段OP 在x 轴上的投影长度为|OP →|cos θ=72|OB →||OA →|2=72×|x |x 2+y 2=72×11625|x |+9|x |≤72×1216×925=15. 当且仅当|x |=154时等号成立.则线段OP 在x 轴上的投影长度的最大值为15. 【答案】1519.已知抛物线C :y 2=2px (p >0)的焦点为F (1,0),抛物线E :x 2=2py 的焦点为M . (1)若过点M 的直线l 与抛物线C 有且只有一个交点,求直线l 的方程; (2)若直线MF 与抛物线C 交于A ,B 两点,求△OAB 的面积.【解析】(1)由题意得抛物线C :y 2=2px (p >0)的焦点为F (1,0),抛物线E :x 2=2py 的焦点为M ,所以p =2,M (0,1),①当直线l 的斜率不存在时,x =0,满足题意;②当直线l 的斜率存在时,设方程为y =kx +1,代入y 2=4x ,得k 2x 2+(2k -4)x +1=0,当k =0时,x =14,满足题意,直线l 的方程为y =1;当k ≠0时,Δ=(2k -4)2-4k 2=0,所以k =1,方程为y =x +1,综上可得,直线l 的方程为x =0或y =1或y =x +1.(2)结合(1)知抛物线C 的方程为y 2=4x ,直线MF 的方程为y =-x +1,联立⎩⎪⎨⎪⎧y 2=4x ,y =-x +1,得y 2+4y -4=0,设A (x 1,y 1),B (x 2,y 2), 则y 1+y 2=-4,y 1y 2=-4, 所以|y 1-y 2|=42,所以S △OAB =12|OF ||y 1-y 2|=2 2.20.如图,已知椭圆C 的中心在原点,其一个焦点与抛物线y 2=46x 的焦点相同,又椭圆C 上有一点M (2,1),直线l 平行于OM 且与椭圆C 交于A ,B 两点,连接MA ,MB .(1)求椭圆C 的方程;(2)当MA ,MB 与x 轴所构成的三角形是以x 轴上所在线段为底边的等腰三角形时,求直线l 在y 轴上截距的取值范围.【解析】(1)抛物线y 2=46x 的焦点为(6,0),又椭圆C 上有一点M (2,1), 由题意设椭圆方程为:x 2a 2+y 2b 2=1(a >b >0),则⎩⎪⎨⎪⎧c 2=6=a 2-b 2,4a 2+1b 2=1,解得⎩⎪⎨⎪⎧a 2=8,b 2=2,∴椭圆C 的方程为x 28+y 22=1.(2)∵l ∥OM ⇒k 1=k O M =12,设直线在y 轴上的截距为m ,则直线l :y =12x +m .直线l 与椭圆C 交于A ,B 两点.联立⎩⎨⎧y =12x +m ,x 28+y 22=1消去y 得x 2+2mx +2m 2-4=0,∴Δ=(2m )2-4(2m 2-4)=4(4-m 2)>0, ∴m 的取值范围是{m |-2<m <2,且m ≠0}, 设MA ,MB 的斜率分别为k 1,k 2, ∴k 1+k 2=0,则A (x 1,y 1),B (x 2,y 2),则k 1=y 1-1x 1-2,k 2=y 2-1x 2-2,x 1x 2=2m 2-4,x 1+x 2=-2m ,∴k 1+k 2=y 1-1x 1-2+y 2-1x 2-2=(y 1-1)(x 2-2)+(y 2-1)(x 1-2)(x 1-2)(x 2-2)=⎝⎛⎭⎫12x 1+m -1(x 2-2)+⎝⎛⎭⎫12x 2+m -1(x 1-2)(x 1-2)(x 2-2)=x 1x 2+(m -2)(x 1+x 2)-4(m -1)(x 1-2)(x 2-2)=2m 2-4-2m 2+4m -4m +4(x 1-2)(x 2-2)=0,故MA ,MB 与x 轴始终围成等腰三角形时,∴直线l 在y 轴上的截距m 的取值范围是{m |-2<m <2,且m ≠0}.21.已知椭圆C :x 2a 2+y 2b 2=1(a >b >0)的两个焦点分别为F 1(-1,0),F 2(1,0),且椭圆C 经过点P ⎝⎛⎭⎫43,13. (1)求椭圆C 的离心率;(2)设过点A (0,2)的直线l 与椭圆C 交于M ,N 两点,点Q 是线段MN 上的点,且2|AQ |2=1|AM |2+1|AN |2,求点Q 的轨迹方程.【解析】(1)由椭圆定义知, 2a =|PF 1|+|PF 2| =⎝⎛⎭⎫43+12+⎝⎛⎭⎫132+⎝⎛⎭⎫43-12+⎝⎛⎭⎫132=22, 所以a = 2.又由已知,得c =1,所以椭圆C 的离心率e =c a =12=22. (2)由(1)知,椭圆C 的方程为x 22+y 2=1. 设点Q 的坐标为(x ,y ).①当直线l 与x 轴垂直时,直线l 与椭圆C 交于(0,1),(0,-1)两点,此时点Q 的坐标为⎝⎛⎭⎫0,2-355. ②当直线l 与x 轴不垂直时,设直线l 的方程为y =kx +2.因为M ,N 在直线l 上,可设点M ,N 的坐标分别为(x 1,kx 1+2),(x 2,kx 2+2),则|AM |2=(1+k 2)x 21,|AN |2=(1+k 2)x 22.又|AQ |2=x 2+(y -2)2=(1+k 2)x 2.由2|AQ |2=1|AM |2+1|AN |2,得 2(1+k 2)x 2=1(1+k 2)x 21+1(1+k 2)x 22, 即2x 2=1x 21+1x 22=(x 1+x 2)2-2x 1x 2x 21x 22.① 将y =kx +2代入x 22+y 2=1中,得 (2k 2+1)x 2+8kx +6=0.②由Δ=(8k )2-4×(2k 2+1)×6>0,得k 2>32. 由②可知,x 1+x 2=-8k 2k 2+1,x 1x 2=62k 2+1, 代入①中并化简,得x 2=1810k 2-3.③ 因为点Q 在直线y =kx +2上,所以k =y -2x,代入③中并化简, 得10(y -2)2-3x 2=18.由③及k 2>32,可知0<x 2<32, 即x ∈⎝⎛⎭⎫-62,0∪⎝⎛⎭⎫0,62. 又点⎝⎛⎭⎫0,2-355满足10(y -2)2-3x 2=18,故x ∈⎝⎛⎭⎫-62,62. 由题意知Q (x ,y )在椭圆C 内,所以-1≤y ≤1.又由10(y -2)2=18+3x 2有(y -2)2∈⎣⎡⎭⎫95,94,且-1≤y ≤1,则y ∈⎝⎛⎦⎤12,2-355. 所以点Q 的轨迹方程为10(y -2)2-3x 2=18,其中x ∈⎝⎛⎭⎫-62,62,y ∈⎝⎛⎦⎤12,2-355. 22.如图,已知M (x 0,y 0)是椭圆C :x 26+y 23=1上的任一点,从原点O 向圆M :(x -x 0)2+(y -y 0)2=2作两条切线,分别交椭圆于点P ,Q .(1)若直线OP ,OQ 的斜率存在,并记为k 1,k 2,求证:k 1k 2为定值;(2)试问|OP |2+|OQ |2是否为定值?若是,求出该值;若不是,说明理由.【解析】(1)证明:因为直线OP :y =k 1x ,OQ :y =k 2x 与圆M 相切,所以|k 1x 0-y 0|1+k 21=2, 化简得:(x 20-2)k 21-2x 0y 0k 1+y 20-2=0,同理:(x 20-2)k 22-2x 0y 0k 2+y 20-2=0,所以k 1,k 2是方程(x 20-2)k 2-2x 0y 0k +y 20-2=0的两个不相等的实数根, 所以k 1·k 2=y 20-2x 20-2. 因为点M (x 0,y 0)在椭圆C 上,所以x 206+y 203=1,即y 20=3-12x 20, 所以k 1k 2=1-12x 20x 20-2=-12为定值. (2)|OP |2+|OQ |2是定值,定值为9.理由如下:方法一:①当直线OP ,OQ 不落在坐标轴上时,设P (x 1,y 1),Q (x 2,y 2),联立⎩⎪⎨⎪⎧y =k 1x ,x 26+y 23=1,解得⎩⎨⎧x 21=61+2k 21,y 21=6k 211+2k 21,所以x 21+y 21=6(1+k 21)1+2k 21,同理得x 22+y 22=6(1+k 22)1+2k 22, 又因为k 1k 2=-12, 所以|OP |2+|OQ |2=x 21+y 21+x 22+y 22=6(1+k 21)1+2k 21+6(1+k 22)1+2k 22=6(1+k 21)1+2k 21+6⎣⎢⎡⎦⎥⎤1+⎝⎛⎭⎫-12k 121+2⎝⎛⎭⎫-12k 12=9+18k 211+2k 21=9. ②当直线OP ,OQ 落在坐标轴上时,显然有|OP |2+|OQ |2=9,综上:|OP |2+|OQ |2=9为定值.方法二:①当直线OP ,OQ 不落在坐标轴上时,设P (x 1,y 1),Q (x 2,y 2),因为k 1k 2=-12,所以y 21y 22=14x 21x 22, 因为P (x 1,y 1),Q (x 2,y 2)在椭圆C 上,所以⎩⎨⎧x 216+y 213=1,x 226+y 223=1,即⎩⎨⎧y 21=3-12x 21,y 22=3-12x 22, 所以⎝⎛⎭⎫3-12x 21⎝⎛⎭⎫3-12x 22=14x 21x 22,整理得x 21+x 22=6, 所以y 21+y 22=⎝⎛⎭⎫3-12x 21+⎝⎛⎭⎫3-12x 22=3,所以|OP |2+|OQ |2=9. ②当直线OP ,OQ 落在坐标轴上时,显然有|OP |2+|OQ |2=9,综上:|OP |2+|OQ |2=9为定值.23.已知动点P 到定点F (1,0)和到直线x =2的距离之比为22,设动点P 的轨迹为曲线E ,过点F 作垂直于x 轴的直线与曲线E 相交于A ,B 两点,直线l :y =mx +n 与曲线E 交于C ,D 两点,与线段AB 相交于一点(与A ,B 不重合).(1)求曲线E 的方程;(2)当直线l 与圆x 2+y 2=1相切时,四边形ABCD 的面积是否有最大值?若有,求出其最大值及对应的直线l 的方程;若没有,请说明理由.【解析】(1)设点P (x ,y ),由题意可得, (x -1)2+y 2|x -2|=22, 整理可得x 22+y 2=1. ∴曲线E 的方程是x 22+y 2=1. (2)设C (x 1,y 1),D (x 2,y 2),由已知可得|AB |= 2.当m =0时,不合题意.当m ≠0时,由直线l 与圆x 2+y 2=1相切,可得|n |m 2+1=1,即m 2+1=n 2. 联立⎩⎪⎨⎪⎧y =mx +n ,x 22+y 2=1消去y 得⎝⎛⎭⎫m 2+12x 2+2mnx +n 2-1=0, ∴Δ=4m 2n 2-4⎝⎛⎭⎫m 2+12(n 2-1)=2m 2>0, 则x 1=-2mn +Δ2m 2+1,x 2=-2mn -Δ2m 2+1, ∴S 四边形ACBD =12|AB ||x 2-x 1|=2|m |2m 2+1=22|m |+1|m |≤22, 当且仅当2|m |=1|m |,即m =±22时等号成立,此时n =±62,经检验可知,直线y =22x -62和直线y =-22x +62符合题意. 24.如图,已知抛物线C :y 2=4x ,过点A (1,2)作抛物线C 的弦AP ,AQ .(1)若AP ⊥AQ ,证明:直线PQ 过定点,并求出定点的坐标;(2)假设直线PQ 过点T (5,-2),请问是否存在以PQ 为底边的等腰三角形APQ ?若存在,求出△APQ 的个数,若不存在,请说明理由.【解析】(1)设直线PQ 的方程为x =my +n ,点P ,Q 的坐标分别为(x 1,y 1),(x 2,y 2).由⎩⎪⎨⎪⎧x =my +n ,y 2=4x得y 2-4my -4n =0.由Δ>0,得m 2+n >0,y 1+y 2=4m ,y 1·y 2=-4n .∵AP ⊥AQ ,∴AP →·AQ →=0,∴(x 1-1)(x 2-1)+(y 1-2)(y 2-2)=0.又x 1=y 214,x 2=y 224, ∴(y 1-2)(y 2-2)[(y 1+2)(y 2+2)+16]=0,∴(y 1-2)(y 2-2)=0或(y 1+2)(y 2+2)+16=0.∴n =-2m +1或n =2m +5.∵Δ>0恒成立,∴n =2m +5.∴直线PQ 的方程为x -5=m (y +2),∴直线PQ 过定点(5,-2).(2)假设存在以PQ 为底边的等腰三角形APQ .设直线PQ 的方程为x =my +n .∵直线PQ 过点T (5,-2),∴5=m ·(-2)+n ,∴n =2m +5.∴直线PQ 的方程为x =my +2m +5.设点P ,Q 的坐标分别为(x 1,y 1),(x 2,y 2).由⎩⎪⎨⎪⎧x =my +2m +5,y 2=4x 得 y 2-4my -8m -20=0.∴y 1+y 2=4m ,y 1·y 2=-8m -20.∵PQ 的中点坐标为M ⎝⎛⎭⎫x 1+x 22,y 1+y 22,即M ⎝⎛⎭⎫y 21+y 228,y 1+y 22, 且y 21+y 228=(y 1+y 2)2-2y 1y 28=2m 2+2m +5,∴PQ 的中点坐标为M (2m 2+2m +5,2m ).由已知得2m -22m 2+2m +5-1=-m , 即m 3+m 2+3m -1=0.设g (m )=m 3+m 2+3m -1,则g ′(m )=3m 2+2m +3>0,∴g (m )在R 上是增函数.又g (0)=-1<0,g (1)=4>0,∴g (m )在(0,1)内有一个零点.∴函数g (m )在R 上有且只有一个零点,即方程m 3+m 2+3m -1=0在R 上有唯一实根,∴满足条件的等腰三角形有且只有一个.25.已知抛物线C :x 2=2py (p >0),过焦点F 的直线交C 于A ,B 两点,D 是抛物线的准线l 与y 轴的交点.(1)若AB ∥l ,且△ABD 的面积为1,求抛物线的方程;(2)设M 为AB 的中点,过M 作l 的垂线,垂足为N .证明:直线AN 与抛物线相切.【解析】(1)∵AB ∥l ,∴|AB |=2p .又|FD |=p ,∴S △ABD =p 2=1.∴p =1,故抛物线C 的方程为x 2=2y .(2)证明:设直线AB 的方程为y =kx +p 2, 由⎩⎪⎨⎪⎧y =kx +p 2,x 2=2py消去y 得,x 2-2kpx -p 2=0.∴x 1+x 2=2kp ,x 1x 2=-p 2. 其中A ⎝⎛⎭⎫x 1,x 212p ,B ⎝⎛⎭⎫x 2,x 222p . ∴M ⎝⎛⎭⎫kp ,k 2p +p 2,N ⎝⎛⎭⎫kp ,-p 2. ∴k AN =x 212p +p 2x 1-kp =x 212p +p 2x 1-x 1+x 22=x 21+p 22p x 1-x 22=x 21-x 1x 22p x 1-x 22=x 1p . 又x 2=2py 即y =x 22p ,∴y ′=x p. ∴抛物线x 2=2py 在点A 处的切线斜率k =x 1p.∴直线AN 与抛物线相切. 26.已知椭圆E 的中心在原点,焦点F 1,F 2在y 轴上,离心率等于223,P 是椭圆E 上的点.以线段PF 1为直径的圆经过F 2,且9PF 1―→·PF 2―→=1.(1)求椭圆E 的方程;(2)作直线l 与椭圆E 交于两个不同的点M ,N .如果线段MN 被直线2x +1=0平分,求直线l 的倾斜角的取值范围.【解析】(1)依题意,设椭圆E 的方程为y 2a 2+x 2b 2=1(a >b >0),半焦距为c . ∵椭圆E 的离心率等于223, ∴c =223a ,b 2=a 2-c 2=a 29. ∵以线段PF 1为直径的圆经过F 2,∴PF 2⊥F 1F 2.∴|PF 2|=b 2a. ∵9PF 1―→·PF 2―→=1,∴9|PF 2―→|2=9b 4a2=1. 由⎩⎨⎧ b 2=a 29,9b 4a 2=1,得⎩⎪⎨⎪⎧a 2=9,b 2=1,∴椭圆E 的方程为y 29+x 2=1. (2)∵直线2x +1=0即x =-12与x 轴垂直,且由已知得直线l 与直线x =-12相交, ∴直线l 不可能与x 轴垂直,∴设直线l 的方程为y =kx +m .由⎩⎪⎨⎪⎧ y =kx +m ,y 29+x 2=1,得(k 2+9)x 2+2kmx +(m 2-9)=0. ∵直线l 与椭圆E 交于两个不同的点M ,N ,∴Δ=4k 2m 2-4(k 2+9)(m 2-9)>0,即m 2-k 2-9<0.设M (x 1,y 1),N (x 2,y 2),则x 1+x 2=-2km k 2+9. ∵线段MN 被直线2x +1=0平分,∴2×x 1+x 22+1=0,即-2km k 2+9+1=0. 由⎩⎪⎨⎪⎧m 2-k 2-9<0,-2km k 2+9+1=0,得⎝⎛⎭⎫k 2+92k 2-(k 2+9)<0.∵k 2+9>0,∴k 2+94k 2-1<0, ∴k 2>3,解得k >3或k <- 3.∴直线l 的倾斜角的取值范围为⎝⎛⎭⎫π3,π2∪⎝⎛⎭⎫π2,2π3.。
高中数学圆锥曲线(椭圆、双曲线、抛物线)经典习题1.已知圆$x^2+y^2-6x-7=0$与抛物线$y^2=2px(p>0)$的准线相切,则抛物线方程为$y^2=8x$。
2.与双曲线$2x^2-2y^2=1$有公共焦点,离心率互为倒数的椭圆方程为$\dfrac{x^2}{9}+\dfrac{y^2}{16}=1$。
3.方程$k-\dfrac{35}{k}+\dfrac{x^2}{y^2}=1$表示双曲线,则$m$的取值范围是$(-\infty,-7)\cup(0,7)$。
4.经过点$M(3,-2),N(-2,3)$的椭圆的标准方程是$\dfrac{x^2}{16}+\dfrac{y^2}{9}=1$。
5.与双曲线$x^2-y^2=53$有公共渐近线且焦距为8的双曲线方程为$\dfrac{x^2}{16}-\dfrac{y^2}{9}=1$。
6.过点$P(-2,4)$的抛物线的标准方程为$y=\dfrac{1}{8}(x+2)^2$。
7.以$\dfrac{x^2}{4}-\dfrac{y^2}{12}=-1$的上焦点为顶点,下顶点为焦点的椭圆方程为$\dfrac{x^2}{16}+\dfrac{y^2}{48}=1$。
重点二:1.椭圆$16x+25y=400$的焦点为$F_1,F_2$,直线$AB$过$F_1$,则$\triangle ABF_2$的周长为$10$。
2.动圆的圆心在抛物线$y^2=8x$上,且动圆恒与直线$x+2=0$相切,则动圆必过定点$(-1,2)$。
3.椭圆$\dfrac{x^2}{25}+\dfrac{y^2}{9}=1$上的一点$M$到左焦点$F_1$的距离为$2$,$N$是$MF_1$的中点,则$ON=\dfrac{4}{3}$。
4.设椭圆$\dfrac{x^2}{a^2}+\dfrac{y^2}{b^2}=1$和双曲线$\dfrac{x^2}{a^2}-\dfrac{y^2}{b^2}=1$有公共焦点$F_1,F_2$,点$P$是两曲线的一个公共点,则$\cos\angleF_1PF_2=\dfrac{3}{5}$。
中职拓展模块椭圆、双曲线、抛物线测试题(时间:60分钟 总分:100分)得分:_________一、单选题(本大题共10小题,每小题4分,共40分)1、 若方程x 2+ky 2=2表示焦点在y 轴上的椭圆, 那么实数k 的取值范围是 ( ) A (0, +∞) B (0, 2) C (1, +∞) D (0,1)2、抛物线28y x =的准线方程是 ( )A :x=2B :x=-4C :y=-2D : y=-43、焦点为1(5,0)F -、2(5,0)F ,实轴长是6的双曲线的方程是( )A 、221169x y -= B 、221916x y -= C 、221169y x -= D 、22196x y -= 4、若抛物线22y px =的焦点与椭圆22162x y +=的右焦点重合,则p 的值为( ) A .2- B .2 C .4- D .45、双曲线的渐近线方程是 ( ) A : 2y x =± B : 0.5y x =± C : 2y x =- D : 0.5y x = 6、一动圆圆心在抛物线y x 82-=上,且动圆恒与直线y =2相切,则动圆必过定点( ) A 、(4,0) B 、(0,–4) C 、(2,0) D 、(0,–2)7、过抛物线焦点任作一弦,以这弦为直径作圆,这圆与抛物线的准线的位置关系是( ) A 、相交 B 、相切 C 、相离 D 、不确定8、等轴双曲线的离心率是 ( )A 、1BC 、1/2D 、不确定9、椭圆192522=+y x 上一点P 到一个焦点的距离为5,则P 到另一个焦点的距离为( ) A.5 B.6 C.4 D.1010、曲线221(6)106x y m m m +=<--与曲线221(59)59x y m m m+=<<--的( ) A.焦距相等 B.离心率相等 C.焦点相同 D.不能确定二、填空题(本大题共4小题,每小题4分,共16分)11. 双曲线221259x y -=的实虚轴长分别是 ,顶点坐标是 ,焦点坐标是 ,渐近线方程是 ,离心率是 。
椭圆典型例题一、已知椭圆焦点的位置,求椭圆的标准方程。
例1:已知椭圆的焦点是F 1(0,-1)、F 2(0,1),P 是椭圆上一点,并且PF 1+PF 2=2F 1F 2,求椭圆的标准方程。
2.已知椭圆的两个焦点为F 1(-1,0),F 2(1,0),且2a =10,求椭圆的标准方程.二、未知椭圆焦点的位置,求椭圆的标准方程。
例:1. 椭圆的一个顶点为()02,A ,其长轴长是短轴长的2倍,求椭圆的标准方程.三、椭圆的焦点位置由其它方程间接给出,求椭圆的标准方程。
例.求过点(-3,2)且与椭圆x 29+y 24=1有相同焦点的椭圆的标准方程.四、与直线相结合的问题,求椭圆的标准方程。
例: 已知中心在原点,焦点在x 轴上的椭圆与直线01=-+y x 交于A 、B 两点,M 为AB 中点,OM 的斜率为0.25,椭圆的短轴长为2,求椭圆的方程.五、求椭圆的离心率问题。
例1 一个椭圆的焦点将其准线间的距离三等分,求椭圆的离心率.例2 已知椭圆19822=++y k x 的离心率21=e ,求k 的值. 六、由椭圆内的三角形周长、面积有关的问题例:1.若△ABC 的两个顶点坐标A (-4,0),B (4,0),△ABC 的周长为18,求顶点C 的轨迹方程。
2.已知椭圆的标准方程是x 2a 2+y 225=1(a >5),它的两焦点分别是F 1,F 2,且F 1F 2=8,弦AB 过点F 1,求△ABF 2的周长.3.设F 1、F 2是椭圆x 29+y 24=1的两个焦点,P 是椭圆上的点,且PF 1∶PF 2=2∶1,求△PF 1F 2的面积.七、直线与椭圆的位置问题 例 已知椭圆1222=+y x ,求过点⎪⎭⎫⎝⎛2121,P 且被P 平分的弦所在的直线方程.解法一:设所求直线的斜率为k ,则直线方程为⎪⎭⎫ ⎝⎛-=-2121x k y .代入椭圆方程,并整理得由韦达定理得22212122k kk x x +-=+.∵P 是弦中点,∴121=+x x .故得21-=k . 所以所求直线方程为0342=-+y x . 解法二:设过⎪⎭⎫⎝⎛2121,P 的直线与椭圆交于()11y x A ,、()22y x B ,,则由题意得①-②得0222212221=-+-y y x x . ⑤ 将③、④代入⑤得212121-=--x x y y ,即直线的斜率为21-.所求直线方程为0342=-+y x . 八、椭圆中的最值问题例 椭圆1121622=+y x 的右焦点为F,过点()31,A ,点M 在椭圆上,当MF AM 2+为最小值时,求点M 的坐标.双曲线典型例题二、根据已知条件,求双曲线的标准方程。
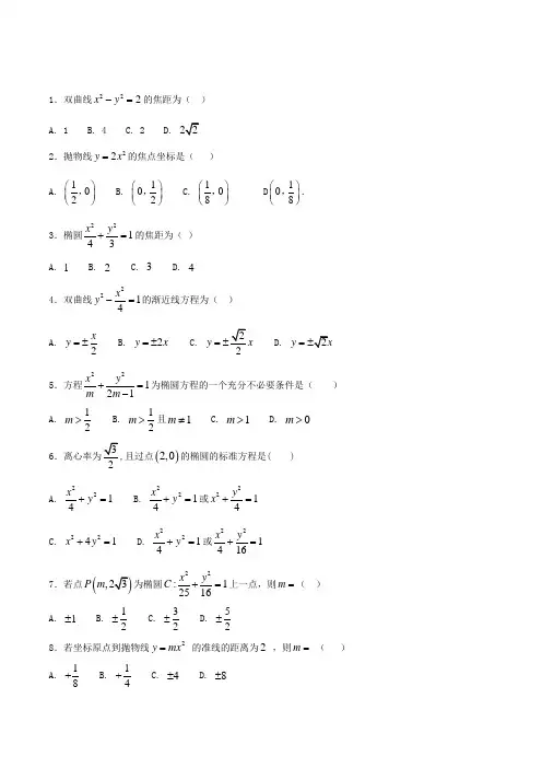
1.双曲线222x y -=的焦距为( )A. 1B. 4C. 2D. 2.抛物线22y x =的焦点坐标是( )A. 102⎛⎫ ⎪⎝⎭,B. 102⎛⎫ ⎪⎝⎭,C. 108⎛⎫ ⎪⎝⎭,D 108⎛⎫ ⎪⎝⎭,. 3.椭圆22143x y +=的焦距为( ) A. 1 B. 2 C. 3 D. 44.双曲线2214x y -=的渐近线方程为( )A. 2xy =±B. 2y x =±C. 2y x =±D. y = 5.方程22121x y m m +=-为椭圆方程的一个充分不必要条件是( ) A. 12m >B. 12m >且1m ≠ C. 1m > D. 0m >6且过点()2,0的椭圆的标准方程是( ) A. 2214x y += B. 2214x y +=或2214y x += C. 2241x y += D.2214x y +=或221416x y +=7.若点(P m 为椭圆22:12516x y C +=上一点,则m =( ) A. 1± B. 12±C. 32±D. 52± 8.若坐标原点到抛物线2y mx = 的准线的距离为2 ,则m = ( ) A. 1+8 B. 1+4C. 4±D. 8±9.【2018届福建省福州市高三3月质量检测】已知双曲线 的两顶点间的距离为4,则的渐近线方程为( ) A.B.C.D.10.已知m 是2,8的等比中项,则圆锥曲线221y x m+=的离心率是( ) A.32或52 B. 32 C. 5 D. 32或5 11.若圆22:2210M x y x y +-++=与x 轴的交点是抛物线2:2(0)C y px p =>的焦点,则p =( ) A. 1 B. 2 C. 4 D. 812.已知是椭圆:的左焦点,为上一点,,则的最大值为( )A.B. 9C.D. 1013.【2018届山东省泰安市高三上学期期末】若抛物线24x y =上的点A 到焦点的距离为10,则A 到x 轴的距离是_________.14.已知椭圆的两焦点坐标分别是()20-, 、()20, ,并且过点(233, ,则该椭圆的标准方程是__________.15.【2018届河北省武邑中学高三上学期期末】已知抛物线()220y px p =>的准线与圆()22316x y -+=相切,则p 的值为__________.16.【2018届北京市朝阳区高三第一学期期末】已知双曲线C 的中心在原点,对称轴为坐标轴,它的一个焦点与抛物线28y x =的焦点重合,一条渐近线方程为0x y +=,则双曲线C 的方程是________. 1.【答案】B【解析】双曲线的标准方程即: 22122x y -=,则:222222,4,2a b c a b c ==∴=+==, 双曲线的焦距为: 24c =. 本题选择B 选项. 2. 【答案】D【解析】转化为标准方程, 212x y =,所以焦点为10,8⎛⎫ ⎪⎝⎭.故选D.3.【答案】B【解析】在椭圆22143x y +=中, 224,3a b ==,所以21,1c c == ,故焦距22c =,选B.4.【答案】A【解析】Q 双曲线2214x y -=∴渐近线方程为2204x y -=,即2x y =±故选A . 5.【答案】C【解析】方程22121x y m m +=-表示椭圆的充要条件是0{210 21m m m m >->≠-,即12m >且1m ≠,所以方程22121x y m m +=-为椭圆方程的一个充分不必要条件是1m >,故选C.6.【答案】D【解析】当椭圆的焦点在x 轴上,设椭圆的方程为22221(0)x y a b a b +=>>,由离心率为3,∴222214b a c a =-=∵椭圆过点(2,0),∴2222201a b +=,∴a2=4,∴b2=1,∴椭圆标准方程为2214x y += 当椭圆的焦点在y 轴上,同理易得: 221416x y += 故选D.7.【答案】D【解析】由题意可得: (22312516m+=,则: 22125,2544m m ==,据此可得: 52m =±. 本题选择D 选项. 8. 【答案】A9.【答案】B【解析】由双曲线的方程可知:,即,∴,解得: 令,得到 故选:B.10.【答案】D【解析】由m 是2,8的等比中项得2264m m =⨯∴=±因此当4m =时,342,413,,c a c e a ===-===当4m =-时, 1,415,5,ca c e a ==+===所以离心率是3或5,选D.11.【答案】B【解析】圆M 的方程中,令0y =有: 2210,1x x x -+=∴=,据此可得抛物线的焦点坐标为()1,0, 则: 1,22pp =∴=. 本题选择B 选项.12.【答案】A【解析】连接P 点和另一个焦点即为E ,=. 故答案为:A.13.【答案】9【解析】根据抛物线方程可求得焦点坐标为()0,1,准线方程为1y =-∵抛物线24x y =上的点A 到焦点的距离为10 ∴点A 到x 轴的距离是1019-= 故答案为9.14.【答案】2211612x y +=15.【答案】2【解析】抛物线的准线为2p x =-,与圆相切,则342p+=, 2p =.16.【答案】22122x y -=【解析】抛物线28y x =的焦点坐标为20(,),所以双曲线C 的右焦点坐标为20(,),因为双曲线的一条渐近线方程为0x y +=,所以a b = ,所以224a a += ,所以22a = ,所以双曲线方程为22122x y -=.。
椭圆、双曲线、抛物线基础测试题1椭圆、双曲线、抛物线基础测试题时间:100分钟 满分:100分 班级 姓名 成绩一.选择题(下列各题中只有一个正确答案,每小题4分共24分)1. 到两点F 1 (0, 3 )、F 2 (0, -3 ) 的距离之和等于10的动点M 的轨迹方程是 ( ) ( A )14522=+y x ( B ) 15422=+y x ( C ) 1162522=+y x ( D ) 1251622=+y x 2. 双曲线4x 2 - 3y 2 = 12的共轭双曲线是 ( ) ( A ) 4y 2 - 3x 2 = 12 ( B ) 3x 2 - 4y 2 = 12 ( C ) 3y 2 - 4x 2 = 12 ( D ) 4x 2 - 3y 2 = 123. 顶点在原点、坐标轴为对称轴,经过点P( 1, -2 )的抛物线方程是 ( ) ( A ) y 2 = 4x ( B ) x 2 =21-y ( C ) y 2 = 4x, x 2 = 4y ( D ) y 2 = 4x, x 2 =21-y 4. 若椭圆15922=+xy ,则9等于 ( ) ( A ) 两焦点间的距离 ( B ) 一焦点到长轴一端点的距离 ( C ) 两准线间的距离 ( D ) 椭圆上一点到准线的距离5. 当曲线1422=-+ky k x 表示焦点在x 轴上的双曲线时,则 ( ) ( A ) k > 0 ( B ) k > 4 ( C ) 0 < k < 4 ( D ) k > 4或k < 06. 双曲线的两条准线把连接两焦点的线段三等分,则双曲线的离心率是 ( ) ( A )3 ( B ) 3 ( C )33 ( D ) 33± 二.填空题(每空4分,共24分)1. 抛物线x 2 = 4y + 8的焦点坐标是 .2. 离心率为2的双曲线的渐近线的夹角等于 .3. 经过两点M(3, 0 )、N( 0, -2 )的椭圆的标准方程是 .4. 若椭圆的一焦点到短轴两端点的连线垂直,则椭圆的离心率是 .5. AB 是过椭圆x 2 + 2y 2 = 4焦点F 1的弦,它与另一焦点F 2所连成三角形的周长等于 .6. 当抛物线y 2 = 4x 上一点P 到焦点F 和点A( 2, 2 )的距离之和最小时,点P 的坐标是三.解答题(5道题,共52分)1、已知双曲线的一渐近线方程是x +2y = 0, 且过点M(-6, 4 ),求双曲线的标准方程. (10分)2、求直线y = 2x + 1与抛物线x 2 - y = 1相交所得的弦长. (共10分)3、一抛物线以双曲线 191622=y x + 的右顶点为顶点,左焦点为焦点,求此抛物线的方程。
椭圆典型例题一、已知椭圆焦点的位置,求椭圆的标准方程。
例1:已知椭圆的焦点是F 1(0,-1)、F 2(0,1),P 是椭圆上一点,并且PF 1+PF 2=2F 1F 2,求椭圆的标准方程。
解:由PF 1+PF 2=2F 1F 2=2×2=4,得2a =4.又c =1,所以b 2=3.所以椭圆的标准方程是y 24+x 23=1.2.已知椭圆的两个焦点为F 1(-1,0),F 2(1,0),且2a =10,求椭圆的标准方程. 解:由椭圆定义知c =1,∴b =52-1=24.∴椭圆的标准方程为x 225+y 224=1.二、未知椭圆焦点的位置,求椭圆的标准方程。
例:1. 椭圆的一个顶点为()02,A ,其长轴长是短轴长的2倍,求椭圆的标准方程. 解:(1)当()02,A 为长轴端点时,2=a ,1=b , 椭圆的标准方程为:11422=+y x ; (2)当()02,A 为短轴端点时,2=b ,4=a , 椭圆的标准方程为:116422=+y x ; 三、椭圆的焦点位置由其它方程间接给出,求椭圆的标准方程。
例.求过点(-3,2)且与椭圆x 29+y 24=1有相同焦点的椭圆的标准方程.解:因为c 2=9-4=5,所以设所求椭圆的标准方程为x 2a 2+y 2a 2-5=1.由点(-3,2)在椭圆上知9a 2+4a 2-5=1,所以a 2=15.所以所求椭圆的标准方程为x 215+y 210=1. 四、与直线相结合的问题,求椭圆的标准方程。
例: 已知中心在原点,焦点在x 轴上的椭圆与直线01=-+y x 交于A 、B 两点,M 为AB 中点,OM 的斜率为0.25,椭圆的短轴长为2,求椭圆的方程.解:由题意,设椭圆方程为1222=+y ax ,由⎪⎩⎪⎨⎧=+=-+101222y ax y x ,得()021222=-+x a x a , ∴222112a a x x x M +=+=,2111a x y M M +=-=, 4112===a x y k M M OM Θ,∴42=a ,∴1422=+y x 为所求. 五、求椭圆的离心率问题。
例1 一个椭圆的焦点将其准线间的距离三等分,求椭圆的离心率.解:31222⨯⨯=c a c Θ ∴223a c =,∴3331-=e .例2 已知椭圆19822=++y k x 的离心率21=e ,求k 的值. 解:当椭圆的焦点在x 轴上时,82+=k a ,92=b ,得12-=k c .由21=e ,得4=k . 当椭圆的焦点在y 轴上时,92=a ,82+=k b ,得k c -=12.由21=e ,得4191=-k ,即45-=k . ∴满足条件的4=k 或45-=k .六、由椭圆内的三角形周长、面积有关的问题例:1.若△ABC 的两个顶点坐标A (-4,0),B (4,0),△ABC 的周长为18,求顶点C 的轨迹方程。
解:顶点C 到两个定点A ,B 的距离之和为定值10,且大于两定点间的距离,因此顶点C 的轨迹为椭圆,并且2a =10,所以a =5,2c =8,所以c =4,所以b 2=a 2-c 2=9,故顶点C 的轨迹方程为x 225+y 29=1.又A 、B 、C 三点构成三角形,所以y ≠0.所以顶点C 的轨迹方程为x 225+y 29=1(y ≠0)答案:x 225+y 29=1(y ≠0)2.已知椭圆的标准方程是x 2a 2+y 225=1(a >5),它的两焦点分别是F 1,F 2,且F 1F 2=8,弦AB 过点F 1,求△ABF 2的周长.4a =441.3.设F 1、F 2是椭圆x 29+y 24=1的两个焦点,P 是椭圆上的点,且PF 1∶PF 2=2∶1,求△PF 1F 2的面积.△PF 1F 2的面积为12PF 1·PF 2=12×2×4=4.七、直线与椭圆的位置问题例 已知椭圆1222=+y x ,求过点⎪⎭⎫⎝⎛2121,P 且被P 平分的弦所在的直线方程. 解法一:设所求直线的斜率为k ,则直线方程为⎪⎭⎫ ⎝⎛-=-2121x k y .代入椭圆方程,并整理得()()0232122212222=+-+--+k k x k k x k .由韦达定理得22212122k kk x x +-=+.∵P 是弦中点,∴121=+x x .故得21-=k .所以所求直线方程为0342=-+y x .解法二:设过⎪⎭⎫⎝⎛2121,P 的直线与椭圆交于()11y x A ,、()22y x B ,,则由题意得①-②得0222212221=-+-y y x x . ⑤ 将③、④代入⑤得212121-=--x x y y ,即直线的斜率为21-. 所求直线方程为0342=-+y x .八、椭圆中的最值问题例 椭圆1121622=+y x 的右焦点为F ,过点()31,A ,点M 在椭圆上,当MF AM 2+为最小值时,求点M 的坐标.解:由已知:4=a ,2=c .所以21=e ,右准线8=x l :.过A 作l AQ ⊥,垂足为Q ,交椭圆于M ,故MF MQ 2=.显然MF AM 2+的最小值为AQ ,即M 为所求点,因此3=M y ,且M 在椭圆上.故32=M x .所以()332,M .双曲线典型例题一、根据方程的特点判断圆锥曲线的类型。
例1 讨论192522=-+-ky k x 表示何种圆锥曲线,它们有何共同特征. 解:(1)当9<k 时,025>-k ,09>-k ,所给方程表示椭圆,此时k a -=252,k b -=92,16222=-=b a c ,这些椭圆有共同的焦点(-4,0),(4,0).(2)当259<<k 时,025>-k ,09<-k ,所给方程表示双曲线,此时,k a -=252,k b -=92,16222=+=b a c ,这些双曲线也有共同的焦点(-4,0),)(4,0).(3)25<k ,9=k ,25=k 时,所给方程没有轨迹. 二、根据已知条件,求双曲线的标准方程。
例2 根据下列条件,求双曲线的标准方程.(1)过点⎪⎭⎫ ⎝⎛4153,P ,⎪⎭⎫⎝⎛-5316,Q 且焦点在坐标轴上.(2)6=c ,经过点(-5,2),焦点在x 轴上.(3)与双曲线141622=-y x 有相同焦点,且经过点()223, 解:(1)设双曲线方程为122=+ny m x ∵ P 、Q 两点在双曲线上, ∴⎪⎪⎩⎪⎪⎨⎧=+=+12592561162259nm n m 解得⎩⎨⎧=-=916n m∴所求双曲线方程为191622=+-y x 说明:采取以上“巧设”可以避免分两种情况讨论,得“巧求”的目的. (2)∵焦点在x 轴上,6=c ,∴设所求双曲线方程为:1622=--λλy x (其中60<<λ) ∵双曲线经过点(-5,2),∴16425=--λλ∴5=λ或30=λ(舍去)∴所求双曲线方程是1522=-y x 说明:以上简单易行的方法给我们以明快、简捷的感觉.(3)设所求双曲线方程为:()160141622<<=+--λλλy x ∵双曲线过点()223,,∴1441618=++-λλ∴4=λ或14-=λ(舍)∴所求双曲线方程为181222=-y x 三、求与双曲线有关的角度问题。
例 3 已知双曲线116922=-y x 的右焦点分别为1F 、2F ,点P 在双曲线上的左支上且3221=PF PF ,求21PF F∠的大小. 解:∵点P 在双曲线的左支上 ∴621=-PF PF∴362212221=-+PF PF PF PF ∴1002221=+PF PF∵()100441222221=+==b a c F F∴ο9021=∠PF F(2)题目的“点P 在双曲线的左支上”这个条件非常关键,应引起我们的重视,若将这一条件改为“点P 在双曲线上”结论如何改变呢请读者试探索.四、求与双曲线有关的三角形的面积问题。
例 4 已知1F 、2F 是双曲线1422=-y x 的两个焦点,点P 在双曲线上且满足ο9021=∠PF F ,求21PF F ∆的面积.分析:利用双曲线的定义及21PF F ∆中的勾股定理可求21PF F ∆的面积.解:∵P 为双曲线1422=-y x 上的一个点且1F 、2F 为焦点. ∴4221==-a PF PF ,52221==c F F∵ο9021=∠PF F∴在21F PF Rt ∆中,202212221==+F F PF PF∵()162212221221=-+=-PF PF PF PF PF PF∴1622021=-PF PF∴221=⋅PF PF ∴1212121=⋅=∆PF PF S PF F 五、根据双曲线的定义求其标准方程。
例5 已知两点()051,-F 、()052,F ,求与它们的距离差的绝对值是6的点的轨迹. 解:根据双曲线定义,可知所求点的轨迹是双曲线.∵5=c ,3=a∴16435222222==-=-=a c b∴所求方程116922=-y x 为动点的轨迹方程,且轨迹是双曲线. 例 P 是双曲线1366422=-y x 上一点,1F 、2F 是双曲线的两个焦点,且171=PF ,求2PF 的值. 解:在双曲线1366422=-y x 中,8=a ,6=b ,故10=c . 由P 是双曲线上一点,得1621=-PF PF .∴12=PF 或332=PF .又22=-≥a c PF ,得332=PF . 六、求与圆有关的双曲线方程。
例6 求下列动圆圆心M 的轨迹方程:(1)与⊙()2222=++y x C :内切,且过点()02,A (2)与⊙()11221=-+y x C :和⊙()41222=++y x C :都外切.(3)与⊙()93221=++y x C :外切,且与⊙()13222=+-y x C :内切. 解:设动圆M 的半径为r(1)∵⊙1C 与⊙M 内切,点A 在⊙C 外 ∴2-=r MC ,r MA =,2=-MC MA∴点M 的轨迹是以C 、A 为焦点的双曲线的左支,且有:22=a ,2=c ,27222=-=a c b ∴双曲线方程为()2172222-≤=-x y x (2)∵⊙M 与⊙1C 、⊙2C 都外切 ∴11+=r MC ,22+=r MC ,∴点M 的轨迹是以2C 、1C 为焦点的双曲线的上支,且有:21=a ,1=c ,43222=-=a c b ∴所求的双曲线的方程为:(3)∵⊙M 与⊙1C 外切,且与⊙2C 内切∴31+=r MC ,12-=r MC ,421=-MC MC ∴点M 的轨迹是以1C 、2C 为焦点的双曲线的右支,且有:2=a ,3=c ,5222=-=a c b∴所求双曲线方程为:抛物线典型例题一、求抛物线的标准方程。