18数学分析-1复习题试题及参考答案
- 格式:docx
- 大小:364.68 KB
- 文档页数:10
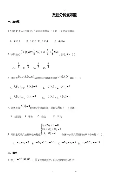
数值分析复习题一、选择题1. 3.142和3.141分别作为π的近似数具有〔 〕和〔 〕位有效数字.A .4和3B .3和2C .3和4D .4和42. 求积公式()()211211()(2)636f x dx f Af f ≈++⎰,那么A =〔 〕A . 16B .13C .12D .233. 通过点()()0011,,,x y x y 的拉格朗日插值基函数()()01,l x l x 满足〔 〕A .()00l x =0,()110l x = B .()00l x =0,()111l x = C .()00l x =1,()111l x = D . ()00l x =1,()111l x =4. 设求方程()0f x =的根的牛顿法收敛,那么它具有〔 〕敛速。
A .超线性B .平方C .线性D .三次5. 用列主元消元法解线性方程组1231231220223332x x x x x x x x ++=⎧⎪++=⎨⎪--=⎩ 作第一次消元后得到的第3个方程〔 〕.A .232x x -+= B .232 1.5 3.5x x -+= C .2323x x -+= D .230.5 1.5x x -=-二、填空1. 设2.3149541...x *=,取5位有效数字,那么所得的近似值x=.2.设一阶差商()()()21122114,321f x f x f x x x x --===---,()()()322332615,422f x f x f x x x x --===-- 那么二阶差商()123,,______f x x x =3. 设(2,3,1)TX =--, 那么2||||X = ,=∞||||X 。
4.求方程 21.250x x --= 的近似根,用迭代公式x =01x =, 那么 1______x =。
5.解初始值问题 00'(,)()y f x y y x y =⎧⎨=⎩近似解的梯形公式是 1______k y +≈。
数学分析题库(1-22章)四.计算题、解答题求下列极限解:1.∞=+=--+=--∞→∞→∞→)2(lim 2)2)(2(lim 24lim2n n n n n n n n n2. 111lim(1)1223(1)n n n →∞++++⋅⋅+L 111111lim(1)122311lim(1)11n n n n n →∞→∞=+-+-++-+=-=+L3.111cos lim cos 1lim00===-→→x e x e x x x x 4.这是型,而 )1()1ln()1()1(]111)1ln(1[)1(][])1[(2121)1ln(11x x x x x x x x x xx ex xx x x x+++-+=+⋅++-+='='++ 故 原极限=120(1)ln(1)lim(1)(1)xx x x x x x x →-++++2001ln(1)1lim2311lim 261x x x e x x e x x →→-+-=⋅+-=⋅⋅=∞++53)1(lim )1()1)(1(lim 11lim 212131=++=-++-=--→→→n n n n n n n n n n n6 211lim(1)n n n n →∞++ 22(1)121lim(1)1n n n n n n nn +⋅+→∞=++因1)1(lim 2=+∞→nn n n , ∞=+∞→1lim 2n n n 故原极限=e e =1.7. 用洛必达法则333sin 3cos 2lim 3cos sin 21lim66=--=-→→x x x x x x ππ8. 00111lim()lim 1(1)x x x x x e xx e x e →→---=-- 0011lim lim 122x x x x x x x x e e xe e xe e →→-===+-+ 9. xx xx x sin tan lim--→;解法1:200tan sec 1lim lim sin 1cos x x x x x x x x →→--=--2201cos lim cos 1cos x x x x →-=-()201cos limcos 2 x x x →+==解法2:2002030tan sec 1lim lim sin 1cos 2sec tan lim sin 2limcos 2x x x x x x x x x xx xxx→→→→--=--===10. 10lim(sin 2cos )xx x x →+解 因00sin 2cos 12cos 2sin limlim 21x x x x x xx →→+--==, (3分)故原式1sin 2cos 1sin 2cos 10lim(1sin 2cos 1)x x x x xx x x +-+-→=++-=2e求下列函数的导数sin 11.cos 12.ln(ln )13.14.sin .x xy e x y x y xy x ====求的各阶导数解 11x e x e y xxsin cos -='12 xx x x y ln 11ln 1=⋅=' 13)sin ln (cos )(sin ln sin xxx x x ey x xx +='=' 14 . cos sin()2y x x π'==+()sin sin(2)2cos sin(3)2sin()2n y x x y x x y x n πππ''=-=+⋅''=-=+⋅=+L15 x e x e y xx2cos 22sin +='16 )1sin (ln cos 1xx x x y +-⋅+='17 )tan )ln(cos (cos )(cos ][sin )ln(cos sin x x x x e y x x x +='='18 ),2,1(),2)1(sin()(Λ=⋅++=n n x yn π.19.1tan 22113sec ln 3x x x x x++-; 20.求下列函数的高阶微分:设x e x v x x u ==)(,ln )(,求)(),(33vud uv d解 因为xxx x x e x x x x e x e x e x e x v u v u C v u C v u dx uv d )ln 332(ln 13132)(2323231333++-=⋅+⋅+-⋅+='''+'''+'''+'''=所以 3233333)ln 332()()(dx x xx x e dx dx uv d uv d x ++-== )ln 332()(ln 13)(132)(ln )(23233333x x xx e e x e x e x e x e x dx d v u dx d x xx x x x -++=-⋅+⋅⋅+--⋅+=⋅=------所以 3233)ln 332()(dx x x xx e vud x-++=- 21. ;)(arctan 23x y =解:332362arctan (arctan )6 arctan 1y x x x xx ''==+22. ;xx y x =解: 令1xy x =,1ln ln y x x =两边对两边对x 求导有11ln 1y x y '=+,()ln x x x x x x x '=+ ln ln x y x x =两边对x 求导有(ln )x y x x y''= 1121 ()ln (ln ) (ln )ln ((ln )ln )(ln ln )xxx x x x x x x x x x x x x x x x x x x x y x x x x x x x x x x x ---''=+=++'=++=++23. 求由参量方程⎪⎩⎪⎨⎧==;sin ,cos t e y t e x tt所确定的函数的二阶导数:22dx y d 解法1:⎪⎩⎪⎨⎧==;sin ,cos t e y t e x tt由含参量方程的求导法则有cos sin cos sin cos sin cos sin t t t tdy e t e t t t dx e t e t t t++==-- 求22d y dx 即求参量方程cos sin ,cos sin cos ;t dy t tdx t t x e t +⎧=⎪-⎨⎪=⎩的导数 222223(cos sin )(cos sin )()2(cos sin )(cos sin )(cos sin )t t t t t t dyd d y t t dx dx dxe t t e t t -++-===-- 解法2:⎪⎩⎪⎨⎧==;sin ,cos t e y t e x tt由含参量方程的求导法则有cos sin cos sin tan()cos sin cos sin 4t t t tdy e t e t t t t dx e t e t t t π++===+-- 求22d y dx 即求参量方程tan(),4cos ;t dy t dx x e t π⎧=+⎪⎨⎪=⎩的导数2232()sec ()4sec ()24cos()4t t dy d t d ydx t dxdx t πππ-+===++24.设3xy x e =, 试求(6)y.解 基本初等函数导数公式,有32333()()3,()6,()6,()=0, 4,5,6,k x x x x x x k ''''''==== ()(e )e ,1,2,,6x k x k ==L ,应用莱布尼兹公式(6n =)得(6)32e 63e 156e 206e x x x x y x x x =+⋅+⋅+⋅32(1890120)e x x x x =+++.25.试求由摆线方程(sin ),(1cos )x a t t y a t =-⎧⎨=-⎩所确定的函数()y f x =的二阶导数.解d ((1cos ))sin cot ,d ((sin ))1cos 2y a t t t x a t t t '-==='--22421cot csc d 1222csc .d ((sin ))(1cos )42t t y t x a t t a t a '⎛⎫- ⎪⎝⎭===-'-- 26 .求2()ln(1)f x x =+到6x 项的带佩亚诺型余项的麦克劳林公式.解 因为233ln(1)()23x x x x o x +=-++,所以2()ln(1)f x x =+到6x 项的带佩亚诺型余项的麦克劳林公式为46226ln(1)()23x x x x o x +=-++.27.28.解 (1))0(01sinlim )(lim 0f xx x f mx x ===→→,故对任意正整数m ,f 在0=x 连续. (2)⎩⎨⎧≤>==-=--='-→→→1101sin lim 01sinlim 0)0()(lim)0(1000m m x x x x x x f x f f m x m x x 不存在,故当1>m 时,f 在0=x 可导. (3)先计算f 的导函数.00≠∀x ,000000000000)1sin 1(sin 1sin)(lim1sin 1sin 1sin 1sin lim 1sin 1sinlim)(000x x x x x x x x x x x x x x x x x x x x x x x x x f mmm x x mm m m x x m m x x --+-=--+-=--='→→→200102000010000000100211cos1sin 11cos 1sin 2sin 2cos2lim 1sin )(lim 00x x x mx x x x x mx x x xx xx xx x x x x x x x x m m m m mx x m m m x x ---→---→-=⋅-=--+++++=Λ⎩⎨⎧≤>=-=-='-→--→→220)1cos 1sin (lim )1cos 1sin(lim )(lim 20210m m x x mx x x x x mx x f m x m m x x 不存在由(2)知,0)0(='f ,于是当2>m 时,有)0(0)(lim 0f x f x '=='→,所以当2>m 时,f '在0=x 连续.29.解 因为23)(,2)(x x g x x f ='=',故当0=x 时,0)0(,0)0(='='g f ,不满足柯西中值定理的条件,所以在区间[-1, 1]上不能用柯西中值定理. 30.证明 (1)对任何0≠x ,有)0(01sin)(24f xx x f =≥=,故0=x 是极小值点. (2)当0≠x 时,有)1cos 1sin 2(1sin 21cos 1sin 21sin 4)(2223xx x x x x x x x x x f -=-=',作数列221ππ+=n x n ,421ππ+=n y n ,则0→n x ,0→n y .即在0=x 的任何右邻域)0(0+U 内,既有数列}{n x 中的点,也有数列}{n y 中的点.并且0)(>'n x f ,0)(<'n y f ,所以在)0(0+U 内f '的符号是变化的,从而f 不满足极值的第一充分条件.又因为001sin lim)0(240=-='→x x x f x ,00)1cos 1sin 2(1sin 2lim )0(20=--=''→xx x x x x f x ,所以用极值的第二充分条件也不能确定f 的极值.31.答:能推出f 在),(b a 内连续.证明如下:),(0b a x ∈∀,取},min{2100x b a x --=ε,于是],[0εε-+∈b a x ,由题设,f 在],[εε-+b a 上连续,从而在0x 连续.由0x 的任意性知,f 在),(b a 内连续.32.试求函数32|2912|y x x x =-+在[1,3]-上的最值和极值. 解32222|2912||(2912)|(2912),10,(2912),03,y x x x x x x x x x x x x x x =-+=-+⎧--+-≤≤⎪=⎨-+<≤⎪⎩在闭区间[1,3]-上连续, 故必存在最大最小值.2261812,618126(1)(2),10,6(1)(2),03,x x y x x x x x x x x ⎧-+-⎪'=⎨-+⎪⎩----≤<⎧=⎨--<≤⎩ 令0y '=,得稳定点为1,2x =. 又因(0)12,f -'=-(0)12,f +'= 故y 在0x =处不可导. 列表如下所以0x =和2x =为极小值点, 极小值分别为(0)0f =和(2)4f =,1x =为极大值点, 极大值为(1)5f =.又在端点处有(1)23f -=,(3)9f =, 所以函数在0x =处取最小值0,在1x =-处取最大值23.33.求函数155345++-=x x x y 在[1,2]-上的最大最小值:解:令()y f x =43222252015 5(43) 5(1)(3)y x x x x x x x x x '=-+=-+=-- 令0y '=解得函数在[1,2]-的稳定点为120,1x x ==, 而(1)10,(0)1,(1)2,(2)7f f f f -=-===-,所以函数在[1,2]-的最大值和最小值分别为 max min (1)2,(1)10f f =-=-. 34. 确定函数25363223+--=x x x y 的凸性区间与拐点:解:令()y f x =26636,y x x '=--126,y x ''=-1260,y x ''=-=解得12x =, 当1(,)2x ∈-∞时,0y ''<,从而区间1(,)2-∞为函数的凹区间,当1(,)2x ∈+∞时,0y ''>,从而区间1(,)2+∞为函数的凸区间.并且1113()0,()222f f ''==,所以113(,)22为曲线的拐点.35.设11(1,2,)nn a n n ⎛⎫=+= ⎪⎝⎭L ,则{}n a 是有理数列. 点集{}1,2,n a n =L 非空有界,但在有理数集内无上确界. 数列{}n a 递增有上界,但在有理数集内无极限.36.设11(1,2,)nn a n n ⎛⎫=+= ⎪⎝⎭L ,则{}n a 是有理数列. 点集{}1,2,n a n =L 有界无限,但在有理数集内无不存在聚点. 数列{}n a 满足柯西准则,但在有理数集内不存在极限.37.不能从H 中选出有限个开区间覆盖10,2⎛⎫ ⎪⎝⎭.因为H 中任意有限个开区间,设其中左端点最小的为12N +,则当103x N <<+时,这有限个开区间不能覆盖x .38.5232326129.6116ln 1326ln 1.x dx x x dx x x x x x x x C C ⎛⎫=-+-⎪++⎝⎭⎛⎫=-+-++ ⎪⎝⎭=+⎛⎛⎜⎜⎠⎠39.令sin ,2x a t t π=<,则()()22222cos sin cos 1cos 2211sin 2arcsin .222a a td a t a tdt t dta x t t C a C a ===+⎛⎫⎛=++=++ ⎪ ⎝⎭⎝⎰⎰⎰⎰ 40.()222222211131.arctan arctan arctan 1arctan 22211111arctan arctan .22221x x x xdx xd x x d x x x x x dx x x C x ⎛⎫++==-+ ⎪⎝⎭+++=-=-++⎛⎜⎠⎛⎜⎠⎰⎰41.()()23222211432.ln 111121ln 1.x dx dx x dxx x x x x x C +⎛⎫=+=++ ⎪++-+⎝⎭-+=+++⎛⎛⎛⎜⎜⎜⎜⎠⎠⎠42.令t =则有()()2222218,11t t x dx dt t t +-==--, ()()2222242211111ln2arctan ln .1t dt dt t t t t tt C C t ⎛⎫==- ⎪--⎝⎭-++=-+=--⎛⎛⎜⎜⎠⎠43. 令tan 2xt =,则有22212cos ,11t x dx dt t t-==++, 22(2)111arctan 2arctan 2tan .53cos 2222141(2)d t dx dt x t C C x t t ⎡⎤===+=+⎢⎥-++⎣⎦⎛⎛⎛⎜⎜⎜⎠⎠⎠. 44.()()11111111ln ln ln ln ln 2(1)eeeeeex dx xdx xdx x x x x xx e -=-+=--+-=-⎰⎰⎰.45.()()11111120002222t t t t te dt tde te edt e e ==-=-=⎰⎰⎰.46.1211100011arcsin arcsin 12222d x xdx x x πππ-=-=+=+=-⎛⎛⎜⎜⎠⎠⎰.47.22222111111lim lim 1221nn n i J n n n n n i n →∞→∞=⎛⎫=+++=⋅ ⎪++⎝⎭⎛⎫+ ⎪⎝⎭∑L .其中和式是函数21()1f x x =+在[0,1]上的一个积分和,所以11200arctan 41dx J x x π===+⎛⎜⎠. 48.()()()()().xx xaaaF x f t x t dt x f t dt tf t dt =-=-⎰⎰⎰.于是()()()()(),()()x xaaF x f t dt xf x xf x f t dt F x f x '''=+-==⎰⎰.49.以平面00()x x x a =<截椭球面,得一椭圆2222220022111y z x x b c a a +=⎛⎫⎛⎫-- ⎪ ⎪⎝⎭⎝⎭.所以截面积函数为221,[,]x bc x a a a π⎛⎫-∈- ⎪⎝⎭.于是椭球面的体积22413aa x V bc dx abc a ππ-⎛⎫=-= ⎪⎝⎭⎛⎜⎠.50.化椭圆为参数方程: cos ,sin ,[0,2]x a t y b t t π==∈.于是椭圆所围的面积为()2220sin cos sin A b t a t dt ab tdt ab πππ'===⎰⎰.51.(1cos ),sin ,02x a t y a t t π''=-=≤≤,于是所求摆线的弧长为222002sin 82t s a dt a πππ====⎛⎜⎠⎰⎰.52.根据旋转曲面的侧面积公式2(baS f x π=⎰可得所求旋转曲面的面积为)02sin 2ln1S πππ⎤==⎦⎰.53.因为2222001111limlim lim 2222AAx x x A A A A xedx xedx e e +∞----→+∞→+∞→+∞⎛⎫⎛⎫==-=-= ⎪ ⎪⎝⎭⎝⎭⎰⎰.于是无穷积分20x xe dx +∞-⎰收敛,其值为12.54.因为22211111lim lim 1(1)(1)A AA A dx dx x dx x x x x x x +∞→+∞→+∞-⎛⎫==- ⎪+++⎝⎭⎛⎛⎛⎜⎜⎜⎠⎠⎠ ()111lim ln(1)ln lim ln 1ln 2ln 11ln 2.AA A x x A A x A →+∞→+∞⎛⎫⎛⎫=+--=+--+-=- ⎪ ⎪⎝⎭⎝⎭于是无穷积分21(1)dxdx x x +∞+⎰收敛,其值为1ln2-.55.因为1111(1)(2)2(1)(1)(2)n n n n n n n ⎡⎤=-⎢⎥+++++⎣⎦,从而级数11(1)(2)n n n n ∞=++∑的部分和为1111111111()(1)(2)2(1)(1)(2)22(1)(2)4nnk k n k k k k k k k n n ==⎡⎤⎡⎤=-=-→→∞⎢⎥⎢⎥+++++++⎣⎦⎣⎦∑∑.于是该级数收敛,其和为14. 56.因为222111cos2sin 12limlim 112n n n n n n→∞→∞-==,且级数211n n ∞=∑收敛,所以级数111cos n n ∞=⎛⎫- ⎪⎝⎭∑收敛.57.因为1lim 1212n n n n →∞==<+,由根式判别法知级数121nn n n ∞=⎛⎫ ⎪+⎝⎭∑收敛.58.因为()21sinlim2nn nn→∞-=,且级数11n n ∞=∑发散,故原级数不绝对收敛.但{}2sin n 单调递减,且2limsin 0n n →∞=,由莱布尼茨判别法知级数()121sin n n n ∞=-∑条件收敛. 59. 因为1111112sin sin cos cos cos cos 22222n nk k x kx k x k x x n x ==⎛⎫⎛⎫⎛⎫⎛⎫=--+=-+ ⎪ ⎪ ⎪ ⎪⎝⎭⎝⎭⎝⎭⎝⎭∑∑,当(0,2)x π∈时,sin 02x≠,于是.所以级数1sin n nx ∞=∑的部分和数列111cos cos 221sin 2sin sin 22nn k x n x S kx x x =⎛⎫-+ ⎪⎝⎭==≤∑当(0,2)x π∈时有界,从而由狄利克雷判别法知级数1sin n nxn ∞=∑收敛; 同法可证级数1cos 2n nxn ∞=∑在(0,)x π∈上收敛. 又因为2sin sin 11cos 21cos 2222nx nx nx nxn n n n n-≥=⋅=-,级数112n n∞=∑发散,1cos 2n nx n ∞=∑收敛,于是级数11cos 222n nx n n ∞=⎛⎫- ⎪⎝⎭∑发散,由比较判别法知级数1sin n nx n ∞=∑发散.所以级数1sin n nxn ∞=∑在(0,2)x π∈条件收敛. 60. 判断函数项级数∑++-1)() 1(n nn nn x 在区间] 1 , 0 [上的一致收敛性. 解 记nn n n n x x v n x u ⎪⎭⎫⎝⎛+=-=1)( , ) 1()(. 则有ⅰ> 级数∑)(x u n 收敛;ⅱ> 对每个∈x ] 1 , 0 [, )(x v n ↗;ⅲ> e n x x v nn ≤⎪⎭⎫⎝⎛+=1|)(| 对 ∀∈x ] 1 , 0 [和n ∀成立. 由Abel 判别法, ∑在区间] 1 , 0 [上一致收敛.61. )(x f n =221xn nx+, ∈x ] 1 , 0 [. 讨论函数列{)(x f n }的一致收敛性. 解 ∞→n lim )(x f n = 0, ∈x ] 1 , 0 [. |)(x f n ― 0|=)(x f n . 可求得10max ≤≤x )(x f n =,0 21) 1 (→/=n f n ) (∞→n . ⇒ 函数列{)(x f n }在区间] 1 , 0 [上非一致收敛.62. 函数列2212,0,211()22,,210, 1.n n x x n f x n n x x n n x n ⎧≤≤⎪⎪⎪=-<≤⎨⎪⎪<≤⎪⎩Λ,2,1=n在]1,0[上是否一致收敛?解:由于(0)0n f =,故0)0(lim )0(==∞→n n f f .当10≤<x 时,只要xn 1>,就有0)(=x f n ,故在]1,0(上有0)(lim )(==∞→x f x f n n .于是函数列(8)在]1,0[上的极限函数0)(=x f ,又由于∞→==-∈n nf x f x f n n x )21()()(sup ]1,0[ )(∞→n ,所以函数列(8)在[0,1]上不一致收敛. 63. )(x f n 2222x n xen -=在R 内是否一致收敛?解 显然有)(x f n →0, |)()(|x f x f n -= )(x f n 在点n x =n21处取得极大值022121→/=⎪⎭⎫⎝⎛-ne n f n ,) (∞→n . 由系2 , )}({x f n 不一致收敛. 64. 函数列⎪⎪⎪⎩⎪⎪⎪⎨⎧≤<=≤<-≤≤=. 11 , 0), , 2 , 1 ( , 121 ,22,210 , 2)(22x n n n x n x n n n x x n x f n Λ在] 1 , 0 [上是否一致收敛?解 10≤<x 时, 只要1->x n , 就有)(x f n =0. 因此, 在] 1 , 0 (上有)(x f =∞→n lim )(x f n =0. 0)0(=n f , ⇒ )0(f =∞→n lim )0(n f =0.于是, 在] 1 , 0 [上有)(x f =∞→n lim )(x f n =0. 但由于021|)()(|max ]1,0[→/=⎪⎭⎫⎝⎛=-∈n n f x f x f n n x , ) (∞→n ,因此 , 该函数列在] 1 , 0 [上不一致收敛. 65. 求幂级数Λ++++74533234333231x x x x 的收敛域 . 解 Λ++++74533234333231x x x x ∑∞=++=02131n n n x n x 是缺项幂级数 .∞→n lim, 31||||1⇒=+n n a a 3=R . 收敛区间为) 3 , 3 (-. 3±=x 时, 通项0→/. 因此 , 该幂级数的收敛域为) 3 , 3 (-. 66. 计算积分⎰-=12dx e I x , 精确到0001.0.解 =-2x e∑∞=-02,!) 1(n nnn x ) , (∞+∞-∈x .因此,⎰⎰∑=⎪⎪⎭⎫ ⎝⎛-=∞=-11002!) 1(2dx n x dx en n n x ∑⎰∞==-0102!) 1(n n n dx n x ∑∞=+-0!)12(1)1(n nn n .上式最后是Leibniz 型级数 , 其余和的绝对值不超过余和首项的绝对值 . 为使10001!)12(1<+n n ,可取7≥n .故从第0项到第6项这前7 项之和达到要求的精度.于是⎰-=12dx e I x 1111111352769241112013720≈-+-+-+⋅⋅⋅⋅⋅ 7468.000011.000076.000463.002381.010000.033333.01=+-+-+-=. 67. 把函数)(x f =)5ln(x +展开成)2(-x 的幂级数.解ΛΛ+-+-+-=+-n x x x x x n n 132) 1 (32)1ln(∑∞=--=11) 1 (n n n n x , ] 1 , 1 (-∈x .而7ln 721ln )27ln()5ln(+⎪⎭⎫⎝⎛-+=-+=+x x x =∑∞=-+--117ln 7)2()1(n n nn nx , ] 9 , 5(-∈x .68. 求幂级数∑∞=+0!1n nx n n 的和函数.解法一 收敛域为) , (∞+∞-,设和函数为)(x S , 则有⎰⎰∑⎰∑∞=∞==+=⎪⎭⎫ ⎝⎛+=xxn x nn n dt t n n dt t n n dt t S 00000)1(!1!1)(∑∞=+=01!n x n xe n x . 因此, ∑∞=+0!1n n x n n =)(x S =x x x e x xe dt t S )1()()(0+='='⎪⎭⎫ ⎝⎛⎰, ∈x ) , (∞+∞-. 解法二 ∑∞=+0!1n nx n n =∑∞=+0!n n n nx ∑∞==0!n nn x ∑∞=+-1)!1(n x ne n x = ∑∞=+=+=+=0)1(!n x x x x ne x e xe e n x x , ∈x ) , (∞+∞-.69. 展开函数xe x xf )1()(+=.解 =+=xxxe e x f )(∑∞=+0!n nn x ∑∞=+=01!n n n x ∑∑∞=∞=-+01)!1(!n n nn n x n x =+1∑∞=1!n n n x ∑∑∞=∞=⎪⎪⎭⎫ ⎝⎛-++=++11)!1(1!11)!1(n n nn x n n n x ∑∞==++=1!11n nx n n ∑∞=∞+<+0 || ,!1n nx x n n . 70. 在指定区间内把下列函数展开成傅里叶级数,)(x x f =(i ),ππ<<-x (ii ).20π<<x解 (1)(i )函数f 及其周期延拓后的图象所示. 显然f 是按段光滑的,故由收敛定理知它可以展开成傅里叶级数. 由于011()0a f x dx xdx ππππππ--===⎰⎰.当1≥n 时,有211()cos cos 11sin |sin 1cos |0n a f x nxdx x nxdxx nx nxdx n n nx x ππππππππππππππ-----===-==⎰⎰⎰ 11()sin sin 11cos |cos 2,2,n b f x nxdx x nxdxx nx nxdx n n n n n nππππππππππππ----===+⎧-⎪⎪=⎨⎪⎪⎩⎰⎰⎰当为偶数时,当为奇数时.所以在区间),(ππ-上,sin )1(2)(11nnxx f n n ∑∞=+-= (ii )函数f 及其周期延拓后的图象所示. 显然f 是按段光滑的,故由收敛定理知它可以展开成傅里叶级数. 由于20012a xdx πππ==⎰.当1≥n 时2022001cos 11sin |sin 0n a x nxdxx nx nxdxn n ππππππ==-=⎰⎰,2022001sin 11cos |cos 2n b x nxdxx nx nxdxn n πππππππ==-+=-⎰⎰.所以在区间)2,0(π上1sin ()2n nx f x n π∞==-∑. 71. 设)(x f 是以π2为周期的分段连续函数, 又设)(x f 是奇函数且满足)()(x f x f -=π试求)(x f 的Fourier 系数⎰-=πππnxdx x f b n 2sin )(12的值,Λ,2,1=n . 解 由)(x f 是奇函数,故nx x f 2sin )(是偶函数,再由)()(x f x f -=π,故有()b f x nx xn 2022=⎰ππsin d ()=-⎰220πππf x nx xsin d .作变换π-=x t ,则()()()b f t n t t n 20221=--⎰πππsin d ()=-⎰220ππf t nt tsin d=-b n 2 . 所以,02=n b ,.,2,1Λ=n72. 设)(x f 以π2为周期,在区间]2,0[π内,()f x x x x =≤<=⎧⎨⎪⎩⎪20202πππ,,,,试求)(x f 的Fourier 级数展开式。
数学分析参考答案一、1、设)(x f 在],[b a 连续,)(x F 是)(x f 在],[b a 上的一个原函数,则成立)()()(a F b F dx x f b a -=⎰ 2、,0.0>∃>∀N ε使得N n m >>∀,成立ε<+++++m n n a a a 213、设2R D ⊂为开集,D y x y x f z ∈=),(),,(是定义在D 上的二元函数,),(000y x P 为D 中的一定点,若存在只与点有关而与y x ∆∆,无关的常数A 和B ,使得)(22y x o y B x A z ∆+∆+∆+∆=∆则称函数f 在点),(000y x P 处是可微的,并称y B x A ∆+∆为在点),(000y x P 处的全微分二、1、分子和分母同时求导316sin 2lim sin lim 54060202==→→⎰xx x x dt t x x x (8分) 2、 、两曲线的交点为(0,0),(1,1)(2分) 所求的面积为:31)(102=-⎰dx x x (3分) 所求的体积为:103)(105ππ=-⎰dx x x (3分) 3、 解:设∑∞=+=1)1()(n n n n x x f ,1)1(1)2)(1(1lim =+++∞→n n n n n ,收敛半径为1,收敛域 [-1,1](2分)),10(),1ln(11)1()(121'<<---=+=∑∞=-x x x x n x x f n n )10(),1ln(11)()(0'<<--+==⎰x x x x dt t f x f x (3分)x =0级数为0,x =1,级数为1,x =-1,级数为1-2ln2(3分)4、解: y u ∂∂=z x x z y ln (3分)=∂∂∂y x u 2zx x x x z yz y 1ln 1+-(5分) 三、1、解、有比较判别法,Cauchy,D’Alembert,Raabe 判别法等(应写出具体的内容4分)11)111(lim !)1()!1(lim -∞→+∞→=+-=++e n n n n n n n nn n (4分)由D’Alembert 判别法知级数收敛(1分) 2、解:⎰⎰⎰+∞----+∞--+=1110101dx e x dx e x dx e x x p x p x p (2分),对⎰--101dx e x x p ,由于)0(111+→→---x e x x x p p 故p >0时⎰--101dx e x x p 收敛(4分);⎰+∞--11dx e x x p ,由于)(012+∞→→--x e x x x p (4分)故对一切的p ⎰+∞--11dx e x x p 收敛,综上所述p >0,积分收敛3、解:221)(nx x S n +=收敛于x (4分)0)(sup lim ),(=-+∞-∞∈∞→x x S n x n 所以函数列一致收敛性(6分) 四、证明题(每小题10分,共20分)1、证明:11123221213423-=-->=-n n n x x x x x x x x n n n )2(,112>->n x n x n (6分) ∑∞=-211n n 发散,由比较判别法知级数发散(4分) 2、证明:||||022xy y x xy≤+≤(4分)22)0,0(),(lim y x xy y x +→=0所以函数在(0,0)点连续,(3分)又00lim 0=∆→∆xx ,)0,0(),0,0(y x f f 存在切等于0,(4分)但22)0,0(),(limy x y x y x ∆+∆∆∆→∆∆不存在,故函数在(0,0)点不可微(3分)。
考研数学一(一元函数积分学)模拟试卷18(题后含答案及解析) 题型有:1. 选择题 2. 填空题 3. 解答题选择题下列每题给出的四个选项中,只有一个选项符合题目要求。
1.设m,n均是正整数,则反常积分的敛散性( )A.仅与m的取值有关。
B.仅与n的取值有关。
C.与m,n的取值都有关。
D.与m,n的取值都无关。
正确答案:D解析:由被积函数的形式知x=0,x=1是反常积分的两个瑕点,于是上式等价于收敛(因m,n是正整数,则收敛;对于的瑕点x=1,当x∈(1—δ,1)(0<δ<)时而收敛。
所以选D。
知识模块:一元函数积分学2.设I1=,则( )A.I1>I2>1。
B.1>I1>I2。
C.I2>I1>1。
D.1>I2>I1。
正确答案:B解析:由于0<x<时,有sinx<x<tanx。
故应选B。
知识模块:一元函数积分学3.如图3一15所示,连续函数y=f(x)在区间[一3,一2],[2,3]上的图形分别是直径为1的上、下半圆周,在区间[一2,0],[0,2]的图形分别是直径为2的下、上半圆周,设F(x)=∫0xf(t)dt,则下列结论正确的是( ) A.B.C.D.正确答案:C解析:根据定积分的几何意义,知F(2)为半径是1的半圆面积,即F(2)=π,F(3)是两个半圆面积(半径分别为1和)差,即且F(一3)=∫03f(t)dt=一∫-30f(t)dt=∫03f(t)dt=F(3),因此应选C。
知识模块:一元函数积分学4.设函数f(x)=ln(2+t)dt,则f’(x)的零点个数( )A.0。
B.1。
C.2。
D.3。
正确答案:B解析:由题设,则f’(x)=2xln(2+x2)。
显然f’(x)在区间(一∞,+∞)上连续,且f’(一1)×f’(1)=(一2ln3)×(2ln3)<0,由零点定理知,f’(x)至少有一个零点。
又f”(x)=2ln(2+x2)+>0,所以f’(x)在(一∞,+∞)上是单调递增的,因此f’(x)至多有一个零点。
数学分析基础试题及答案一、选择题(每题10分,共50分)1. 设函数f(x)在点x=0处连续,且f(0)=1,则下列选项正确的是()A. 函数f(x)在x=0处可导B. 函数f(x)在x=0处不可导C. 函数f(x)在x=0处可导,且导数为1D. 函数f(x)在x=0处可导,且导数不为1答案:C2. 设函数y=f(x)在区间(a, b)内可导,且f'(x) > 0,则下列选项正确的是()A. 函数f(x)在区间(a, b)内单调增加B. 函数f(x)在区间(a, b)内单调减少C. 函数f(x)在区间(a, b)内无单调性D. 无法确定函数f(x)的单调性答案:A3. 下列函数中,哪一个函数在区间(0, +∞)内连续但不可导?()A. y=|x|B. y=x^2C. y=x^3D. y=x^4答案:A4. 设函数f(x)在区间(a, b)内连续,且f(a)=f(b),则下列选项正确的是()A. 存在c∈(a, b),使得f(c)=0B. 存在c∈(a, b),使得f'(c)=0C. 函数f(x)在区间(a, b)内单调D. 函数f(x)在区间(a, b)内无单调性答案:B5. 设函数f(x)在区间(a, b)内可导,且f'(x) < 0,则下列选项正确的是()A. 函数f(x)在区间(a, b)内单调增加B. 函数f(x)在区间(a, b)内单调减少C. 函数f(x)在区间(a, b)内无单调性D. 无法确定函数f(x)的单调性答案:B二、填空题(每题10分,共50分)6. 设函数f(x)在区间(a, b)内连续,且f(a)=f(b),则根据介值定理,存在c∈(a, b),使得f(c)=______。
答案:07. 函数f(x)=x^3在x=1处的导数为______。
答案:38. 设函数f(x)在区间(a, b)内可导,且f'(x) > 0,则函数f(x)在区间(a, b)内______。
2018年数学选修1-1重点题单选题(共5道)1、直线y=kx交双曲线:于A, B两点,P为双曲线C上异于A, B 的任意一点,则直线PA PB的斜率之积为()2、(2016?天津校级模拟)已知双曲线t3--= 1与抛物线y2=8x的一个交点为P,F为抛物线的焦点,若|PF|=5,则双曲线的渐近线方程为()Ax± 2y=0B2x± y=0C 空_ :D n:3、已知直线y=kx+1与曲线y=x3+ax+b切于点(1, 3),贝U b的值为[]A3B-3C5D- 54、(x2-x ) dx=( )5、给出以下四个命题:①如果一条直线和一个平面平行,经过这条直线的平面和这个平面相交,那么这条直线和交线平行;②如果一条直线和一个平面内的两条相交直线都垂直,那么这条直线垂直于这个平面;③如果两条直线都平行于一个平面,那么这两条直线互相平行;④如果一个平面经过另一个平面的一条垂线,那么这两个平面互相垂直;其中真命题的个数是[]A4B3C2D1简答题(共5道)6 (本小题满分12分)求与双曲线有公共渐近线,且过点厂二的双曲线的标准方程。
7、(本题13分)已知化貯..'(1) 若汀… m,求:咖越3上的最大值与最小值;(2) 当时,求证;1-T 父飞(3) 当:.F 时,求证:一-一丄—.r. . ---1 3 3 7;-:■ 12 ? ?18、已知函数f (x)=xlnx .(其中e=2.71828为自然对数的底数)(I)若方程f (x) -a=0在区间【2,+日上有2个不同的实根,求实数a e~的取值范围;(U)设g (x) =f (x)-、',证明:g (x)极小值〉一;(川)若P (x1,y1),Q(x2, y2)是函数f (x)的图象上不同的两点,且函数f (x)的图象在P,Q处切线交点的横坐标为s,直线PQ在y轴上的截距为t,记M=x1?x2+s?t,请探索M的值是否为定值,若是,求出此定值,若不是,请说明理由.9、(本小题满分12分)求与双曲线-有公共渐近线,且过点「丄二的双曲线的标准方程。
数学分析期末复习题答案一、选择题1. 函数f(x)=x^2在区间[-1,1]上是()A. 增函数B. 减函数C. 偶函数D. 奇函数答案:C2. 极限lim(x→0) (sin(x)/x)的值是()A. 0B. 1C. -1D. 2答案:B3. 以下哪个级数是收敛的()A. 1 + 1/2 + 1/4 + 1/8 + ...B. 1 + 1/2 + 1/3 + 1/4 + ...C. 1 - 1/2 + 1/3 - 1/4 + ...D. 1 + 2 + 3 + 4 + ...答案:C二、填空题1. 函数f(x)=x^3-3x+2的导数是________。
答案:3x^2-32. 函数f(x)=e^x的不定积分是________。
答案:e^x + C3. 极限lim(x→∞) (1/x)的值是________。
答案:0三、解答题1. 求函数f(x)=x^2-4x+3的极值点。
解:首先求导数f'(x)=2x-4,令f'(x)=0,解得x=2。
检查二阶导数f''(x)=2,因为f''(2)>0,所以x=2是极小值点,极小值为f(2)=-1。
2. 证明函数f(x)=x^3在R上是单调递增的。
证明:对于任意x1, x2∈R,且x1<x2,我们有f(x1)-f(x2)=x1^3-x2^3=(x1-x2)(x1^2+x1x2+x2^2)。
由于x1<x2,所以x1-x2<0,且x1^2+x1x2+x2^2>0,因此f(x1)-f(x2)<0,即f(x1)<f(x2),所以f(x)=x^3在R上是单调递增的。
3. 计算定积分∫[0,1] (x^2-2x+1)dx。
解:首先求不定积分∫(x^2-2x+1)dx=(1/3)x^3-x^2+x+C,然后计算定积分∫[0,1] (x^2-2x+1)dx=[(1/3)x^3-x^2+x]_0^1=(1/3-1+1)-(0)=1/3。
18大题库及答案高中由于“18大题库及答案高中”这个标题比较模糊,没有具体指明是哪个学科或领域的题库,我将提供一个通用的示例,您可以根据需要调整或补充具体内容。
高中数学综合题库及答案1. 题目一:函数的性质- 已知函数\( f(x) = x^2 - 4x + 3 \),求其顶点坐标。
- 答案:顶点坐标为\( (2, -1) \)。
2. 题目二:三角函数的变换- 化简下列三角函数表达式:\( \sin(2\theta) + \cos(2\theta) \)。
- 答案:可以化简为\( 2\sin(\theta)\cos(\theta) +2\cos^2(\theta) - 1 \)。
3. 题目三:几何证明- 在直角三角形ABC中,∠A是直角,AB = 6,AC = 8,求斜边BC的长度。
- 答案:根据勾股定理,BC = √(AB² + AC²) = √(6² + 8²) = √(36 + 64) = √100 = 10。
4. 题目四:概率计算- 一个袋子里有5个红球和3个蓝球,随机抽取2个球,求至少抽到1个红球的概率。
- 答案:至少抽到1个红球的概率为1 - 抽到2个蓝球的概率,即1 - (3/8 * 2/7) = 1 - 6/56 = 50/56。
5. 题目五:数列问题- 已知等差数列的第3项是5,第5项是9,求这个数列的首项和公差。
- 答案:设首项为a,公差为d,根据题意有\( a + 2d = 5 \)和\( a + 4d = 9 \),解得a = 1,d = 2。
6. 题目六:解析几何- 点P(-1, 2)关于直线y = x的对称点是什么?- 答案:对称点的坐标为(2, -1)。
7. 题目七:导数与微分- 求函数\( g(x) = 2x^3 - 5x^2 + 7 \)的导数。
- 答案:导数为\( g'(x) = 6x^2 - 10x \)。
8. 题目八:统计与数据分析- 一组数据为:2, 3, 4, 5, 6, 7, 8。
18数学分析-1复习题参考答案一、选择题 1.函数1()ln(2)f x x =-的连续区间是 ( B )A. (2,)+∞ ;B. (2,3)(3,)⋃+∞;C. (,2)-∞ ;D. (3,)+∞.2.若函数xx x f =)(,则=→)(lim 0x f x ( D ).A.0 ;B.1- ;C.1 ;D.不存在. 3.下列变量中,是无穷小量的为( C ). A.1ln(0)x x +→; B.cos (0)x x →;C.ln (1)x x → ;D.22(2)4x x x -→-. 4. 1lim(1)1nn n →∞+=+( B ). 12.1...-A B eC eD e5.1lim(1)1→∞+=-nn n ( B ). 12.1...-A B eC eD e6.下列两个函数是同一函数的是 ( C )A. ()3,()f x x x ϕ=+=41()ln ,()ln 4f x x x x ϕ== ;C. 22()sin cos ,()1f x x x x ϕ=+= ; D. 2(1)(),()11x f x x x x ϕ-==-- . 7.2239lim 712x x x x →-=-+ ( C ) A.0 ; B.25- ; C.6- ; D. 76.8.0sin 2lim →=x xx( D )A. 0 ;B. 1 ;C. 3 ; D . 2 .9.=→xx x 1sin lim 2( C ). 11A B C D ∞-10. 函数3412++-=x xy 的定义域是( B ) A. 2±≠x ; B. 2±≠x 且3-≥x ; C.3-≥x ; D. 以上均不正确.),1.();,.();1,.();1,1.()(|2|||.11+∞+∞-∞-∞-->D C B A D x x x 的集合是所有用区间表示满足不等式12.当0→x 时,下列( B )为无穷小量A .x e ;B .x sin ;C .sin x x ;D .xx 1sin )1(2+13.=→xxx 3sin 5sin lim 0 ( D )A .0 ; B. 1 ; C. 不存在; D. 35.14.设函数x x x f -+=33)(,则)(x f 在),(+∞-∞内为( A ) A. 偶函数; B.奇函数; C. 非奇非偶函数 ; D.以上均不对. 15. 函数()1ln f x x=+的定义域是( D ) ().2,2A - ; [)(].0,11,2B ⋃ ; ()().2,11,2C -⋃ ; ()().0,11,2D ⋃.16.函数1sin y x=是定义域内的( C ).A 周期函数 ; .B 单调函数 ; .C 有界函数; .D 无界函数. 17.已知;()sin 2cos f x x x =+,则(0)f =( A ) A.2 ; B. 0 ; C. 1; D.-1 ..210.;210.;110.;110.)()2lg(1.181122-=+=-=+=++=----x x x x y D y C y B y A D x y 的反函数是函数..;;.;..)(}.80|{},55|{.19B B A D B A C B A B B B A A A x x B x x A ⊃⊃⊂⊂≤≤=≤≤-= 则有设二、填空题1.已知函数(1)(1)f x x x -=-,则函数f ()x = x 2+x 。
2. 当k= 1 时,2,0(),x e x f x x k x ⎧≤⎪=⎨+>⎪⎩在0=x 处连续.._,.3基本初等函数三角函数统称为数函数,三角函数和反幂函数,指数函数,对常数函数4. =→x xx 3sin 5sin lim极限 35 . xx x ⎪⎭⎫ ⎝⎛+∞→321lim .5极限= 32e .的间断点是函数321)(.62--+=x x x x f x=-1,x=3 . 的定义域为则函数的定义域为若函数)ln 1(],2,1[)(.7x f x f y -= ]1,[1-e .8.22lim 51x x x →+∞=+ 51. 9. 若lim 1n n x →+∞=,则2lim2n nn x x +→+∞+= 1 .10. 极限+∞→xx xx 2)1(lim 2e . 2 011. ()0 _____ 0x e x f x x a a x x ⎧⎪+<===⎨+≥⎪⎩,设在处连续,则,a=312. =→xxx tan lim 0___1____.13. 设函数221,32x y x x -=-+则1x =是 可去 间断点. 14.⎪⎭⎫ ⎝⎛+∞→211lim xx x 三.解答题1.)(lim 633)(3223x f x x x x x x f x -→-+--+=的连续区间,并求极限求函数. 除分母为0的区间是连续区间,……2.已知函数22,0(),0x x f x x a x ⎧+≥=⎨+<⎩在实数集R 上连续,求值。
a解:)2(lim )(lim 20+=++→→x x f x x =2,a a x x f x x =+=--→→)(lim )(lim 0处连续,则在点要使函数0)(=x x f)(lim 0x f x +→=2)0()(lim -0==→f x f x ,2=∴a3⎪⎭⎫⎝⎛---→4421lim :.22x x x 求极限..4121lim 42lim 442lim :22222=+=--=⎪⎭⎫⎝⎛--+=→→→x x x x x x x x 原式解 4.求极限xx x 11lim-+→. 解:21111lim )11()11)11(lim 11lim000=++=++++-+=-+→→→x x x x x x x x x x ).()(),1(,23)(.52x f x x f xf x x x f -+∆+-=求若.32)23(]2)(3)[()()(;233121311:22222x x x x x x x x x x x f x x f x x x x f ∆-∆+∆=+--++∆-+∆=-+∆+-=+⎪⎭⎫⎝⎛-⎪⎭⎫ ⎝⎛=⎪⎭⎫ ⎝⎛解 ??}{,}{,}{.6为什么的极限是否存在问的极限存在的极限不存在设n n n n y x y x +.,}{,)(,}{,}{.:这与题设是矛盾的存在的极限即的存在以推出根据极限的四则运算可的极限存在则由的极限存在因为若一定不存在答n n n n n n n x y y x y y x -++ )1(lim .72n n n -++∞→用迫敛定理求极限.0)1(lim :,01lim 0lim ),(,11110:222=-+∴==<++=-+<+∞→+∞→+∞→n n n nn n n n n n n 由迫敛定理得且放大分子有理化后解8.下面函数能否复合为函数)]([x g f y =. 若能,写出其解析式﹑定义域和值域.解:.)(,)(2x x x g u u u f y -====9.求极限 x x x 2sin 24lim 0-+→.解:x x x 2sin 24lim-+→0x →=01128x →==),1sin lim,(0最后用代入法利用分子有理化后=→xxx10.下列函数是否相等,为什么? 222(1)()();(2)sin (31),sin (31);1(3)(),() 1.1f x g x y x u t x x f x g x x x ===+=+-==+- 解: (1)相等.因为两函数的定义域相同,都是实数集R;x =知两函数的对应法则也相同;所以两函数相等.(2)相等.因为两函数的定义域相同,都是实数集R,由已知函数关系式显然可得两函数的对应法则也相同,所以两函数相等.(3)不相等.因为函数()f x 的定义域是{,1}x x x ∈≠R ,而函数()g x 的定义域是实数集R,两函数的定义域不同,所以两函数不相等.11.求函数1sin ,00,0x y x x ⎧≠⎪=⎨⎪=⎩的定义域与值域.解: 由已知显然有函数的定义域为(-∞,+∞),又当0x ≠时,1x可以是不为零的任意实数,此时,1sinx可以取遍[-1,1]上所有的值,所以函数的值域为[-1,1]. 12.设1,10()1,02x f x x x -≤<⎧=⎨+≤≤⎩,求(1)f x -.解: 1,1101,01(1).(1)1,012,13x x f x x x x x -≤-<≤<⎧⎧-==⎨⎨-+≤-≤≤≤⎩⎩].41,()(-∞值域为x g ).,0[)(+∞的定义域为u f .]41,0[故能复合它们的交集,Φ≠2)]([xx x g f y -==},10|{≤≤=∈x x D x ]21,0[)(=D f13.设()2,()ln x f x g x x x ==,求(()),(()),(())f g x g f x f f x 和(())g g x . 解:()ln (())22,g x x x f g x ==(())()ln ()2ln 2(ln 2)2,x x x g f x f x f x x ==⋅=⋅()2(())22,(())()ln ()ln ln(ln ).xf x f f xg g x g x g x x x x x ====14.已知水渠的横断面为等腰梯形,斜角ϕ=40°,如图所示.当过水断面ABCD 的面积为定值S 0时,求湿周L (L =AB +BC +CD )与水深h 之间的函数关系式,并指明其定义域.图1-1解:011()(2cot )(cot )22S h AD BC h h BC BC h BC h ϕϕ=+=++=+从而 0cot SBC h hϕ=-.000()22cot sin sin 2cos 2cos 40sin sin 40L AB BC CD AB CD S h hBC h hS S h h h h ϕϕϕϕϕ=++==+=+---=+=+ 由00,cot 0S h BC h hϕ>=->得定义域为40) 15.当0x →时,22x x -与23x x -相比,哪个是高阶无穷小量?解:232200lim lim 022x x x x x x x x x→→--==--, ∴当0x →时,23x x -是比22x x -高阶的无穷小量. 16.求下列函数在指定点处的左、右极限,并说明在该点处函数的极限是否存在?,0,(1)()10,xx f x xx ⎧≠⎪=⎨⎪=⎩ 在0x =处; 2,2(2)()102x x f x x x +≤⎧⎪=⎨>⎪-⎩ 在2x =处.解:00(1)lim ()lim lim 1,x x x x x f x x x+++→→→=== 000lim ()lim lim 1x x x x x f x x x ---→→→-===-因为 0lim ()lim ()x x f x f x +-→→≠ 所以0lim ()x f x →不存在.(2)22221lim ()lim ,lim ()lim(2)42x x x x f x f x x x ++--→→→→==+∞=+=-因为2lim ()x f x +→不存在,所以2lim ()x f x →不存在. 17. 研究下列函数的连续性,并画出图形:2,1,,01,(1)()(2)()1,1;2,12;x x x x f x f x x x x≤⎧≤≤⎧==⎨⎨>-<<⎩⎩ 解:(1)由初等函数的连续性知,()f x 在(0,1),(1,2)内连续, 又21111lim ()lim(2)1,lim ()lim 1x x x x f x x f x x ++--→→→→=-=== 1lim ()1,x f x →∴= 而(1)1f =,()f x ∴在1x =处连续,又,由2lim ()lim 0(0)x x f x x f ++→→===,知()f x 在0x =处右连续, 综上所述,函数()f x 在[0,2)内连续. 函数图形如下:(2) 由初等函数的连续性知()f x 在(,1),(1,1),(1,)-∞--+∞内连续,又由1111lim ()lim 11,lim ()lim 1,x x x x f x f x x --++→-→-→-→-====-知1lim ()x f x -→-不存在,于是()f x 在1x =-处不连续.又由1111lim ()lim 1,lim ()lim11,x x x x f x x f x --++→→→→==== 及(1)1f =知1lim ()(1)x f x f →=,从而()f x 在x =1处连续,综上所述,函数()f x 在(,1)-∞-及(1,)-+∞内连续,在1x =-处间断.函数图形如下:18.已知一个无盖的圆柱形容器的体积为V ,试将其高表为底半径的函数,并将其表面积表为底半径的函数。