整式的乘除计算题专项练习
- 格式:doc
- 大小:61.53 KB
- 文档页数:4
整式的乘除练习题(8套)含答案整式的乘除测试题练习一一、精心选一选(每小题3分,共30分) 1、下面的计算正确的是( )A 、1234a a a =⋅B 、222b a )b a (+=+C 、22y 4x )y 2x )(y 2x (-=--+-D 、2573a a a a =÷⋅ 2、在n m 1n x )(x +-=⋅中,括号内应填的代数式是( )A 、1n m x ++B 、2m x +C 、1m x +D 、2n m x ++ 3、下列算式中,不正确的是( )A 、xy 21y x y x 21)xy 21)(1x2x (n 1n 1n n -+-=-+-+-B 、1n 21n n x )x (--= C 、y x x 2x31)y x 2x 31(x n 1n n 2nn --=--+D 、当n 为正整数时,n 4n 22a )a (=- 4、下列运算中,正确的是( )A 、222ac 6c b 10)c 3b 5(ac 2+=+B 、232)a b ()b a ()1b a ()b a (---=+--C 、c b a )c b a (y )a c b (x )1y x )(a c b (-+-----+=++-+D 、2)a b 2(5)b a 3)(b 2a ()a 2b 11)(b 2a (--+-=-- 5、下列各式中,运算结果为422y x xy 21+-的是( )A 、22)xy 1(+-B 、22)xy 1(--C 、222)y x 1(+-D 、222)y x 1(-- 6、已知5x 3x 2++的值为3,则代数式1x 9x 32-+的值为( ) A 、0 B 、-7 C 、-9 D 、3 7、当m=( )时,25x )3m (2x 2+-+是完全平方式 A 、5± B 、8 C 、-2 D 、8或-28、某城市一年漏掉的水,相当于建一个自来水厂,据不完全统计,全市至少有5106⨯个水龙头,5102⨯个抽水马桶漏水。
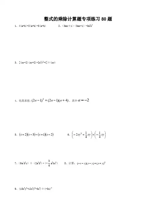
整式的乘除计算题专项练习
1、化简4(a+b)+2(a+b)-5(a+b)得到a+6b。
2、展开(3mn+1)(3mn-1)-8mn得到9m^2n^2-1-8mn。
3、化简[(xy-2)(xy+2)-2xy+4]÷(xy),得到xy-2.
4、将a代入(2a-1)^2+(2a-1)(a+4)中,得到-15.
5、展开(x+2)(x-3)-(x+1)(x-2)得到x-5.
6、化简(-2xy+22)/(4-22/xy),得到(11xy-1)/2.
7、化简(9abc)/(2ab)·(-3abc),得到-27c。
8、将表达式展开得到-x^2-y^2+xy+xxxxxxx/4.
9、将分子展开得到-5xy+4y^2+1/3x。
10、将(2a+b)^4展开,得到
16a^4+32a^3b+24a^2b^2+8ab^3+b^4,再除以2a+b得到
8a^3+16a^2b+12ab^2+4b^3.
11、无法确定题目意思,无法改写。
12、将分子展开得到x^2+3x+2,再除以-x得到-(x+1)-2/x。
13、将124×122展开得到,再除以2得到7524.
14、将表达式展开得到16,再除以-4x得到-4.
15、将表达式化简得到-47x^2y,再代入x=2,y=1得到-94.
16、无法确定题目意思,无法改写。
17、将分子展开得到2a^2b+2ab^2-2a^2+2b^2,再代入
a=-1/2,b=24得到-2216.
18、将表达式展开得到-3y^2,再代入x=-2,y=1得到-7.
19、将分子展开得到3a^2+6a-3,再除以a-2得到3a+12.。
整式的乘除单元测试题1. 计算下列整式的乘积:a) $3x \cdot 2y$b) $(-5a) \cdot 4$c) $2xy \cdot (-3z)$d) $(2x + 3y) \cdot (-4)$2. 计算下列整式的商:a) $\dfrac{4xy}{2x}$b) $\dfrac{(-6a^2)}{3a}$c) $\dfrac{5x^2}{(-2x)}$d) $\dfrac{(3x + 2y)}{(-4)}$3. 综合运算:计算下列整式的乘积或商:a) $4xy \cdot 2x$b) $\dfrac{6a^2}{3a} \cdot (-2a)$c) $(-3m) \cdot \dfrac{2m}{(-5)}$d) $\dfrac{(-2x + 3y)}{(-4)} \cdot (-6)$4. 选择题:根据题目给出的条件,选择最恰当的答案。
a) 若$a = 3$,$b = 5$,$c = -2$,则$(2ab + 3c) \cdot (-4)$的结果是:① $-28$② $28$③ $-44$④ $44$b) 若$p = -2$,$q = 4$,$r = 3$,则$\dfrac{(3p + 2qr)}{6}$的结果是:① $-2$② $-4$③ $-1$④ $1$c) 若$x = -3$,$y = 4$,则$(-2x - 3y^2) \cdot (-2)$的结果是:① $32$② $-32$③ $-58$④ $58$5. 解答题:a) 计算$2x \cdot 3y$的结果,并将结果化简。
b) 计算$\dfrac{4xy}{2x}$的结果,并将结果化简。
c) 计算$(5a + 2b) \cdot (-3)$的结果,并将结果化简。
d) 计算$\dfrac{(-3x^2y)}{(-6xy)}$的结果,并将结果化简。
6. 解答题:a) 若$a = 2$,$b = 4$,$c = -1$,计算$(2a + b) \cdot (3a - c)$的结果。
整式的乘除法专题训练类型一:幂的运算性质幂的运算性质共有六个:1 同底数幂的乘法;2. 幂的乘方;3. 积的乘方;4. 同底数幂的除法;5. 负整数指数幂;6. 零次幂运算需要注意的问题:1. 看清楚运算符号加、减、乘、除、乘方;2. 计算时注意“—”号;3. 3.认清楚指数和底数;4. 正确联系运算性质和法则一、计算3?x5 x ?x3?x41.x2342.2x 1 2? 2x 1 32x 1 4? 1 2 x3. x 5 ?x 3n 1 x 3n x 44. a b 2 ? b a 3 a b 4 ? b a2 33 2 2 2 27. 2x 2 3x 3 x 2 ? x 25. 2x 4 42x 10 2x 2344 2x 4 ?5 x 4 6. 2 3 3 x ? x 3 ? 2y23 2xy ? x ? y63 9. - x - x32 211. x 3x 23 xx22 -x ?-x1312. 2x-y 13322x - y23 y- 2x类型二:幂的运算性质的灵活运用13.已知2a 4,2b 7, 求2a b的值。
14.已知3x a10. 2x3x 2 3x6a,用含 a 的代数式表示3x.15.已知3m6,3n13.5,求m+n 的值m n m n 2a m3,a n2, 求a m n 2的值16.已知17.已知10a5,10b6, 求102a 3b的值。
18.若3x 5y 3 0, 求8x?32y的值。
19.已知32x 232x 1486,求x 的值20.已知a5? a m 3a11,求m的值21.已知3m 2,3n 4,求9m 1-2n的值1212222.若 10m 20,10n 1,求9m 32n 的值。
5 23.已知 25a ?52b 56,4b 4c 4,则代数式 a+2b-c 的值类型三:运用幂的运算性质进行有理数的混合运算24. 48 0.2582019 201825. 5 2019 0.220182118 211726. 8 0.125 2019 27. -1 1 0.2520209 2019 2019-4 202110121222 2018 28.3 1.52018 - 1 30 29.-23 π-3.14 0 -1-20191 -1-330.-22π-3 0-1-2类型四:科学记数法31. 用小数表示下列各数(1) 3 106(2)8.7 10-3(3) 6.12 10-332. 滴水穿石的故事大家都听说过吧,现在测量出:水珠不断地滴在一块石头上,经过40 年,石头上形成一个深为 4 10-2m的小洞,问每年小洞的深度增加多少米?(用科学记数法表示)33. _________________________ 成人每天维生素 D 的摄入量约为0.000 004 6克。
整式乘除计算题专练1.、22()x x -? 3、2323()()a a a -? 5、3231()4x y z -6、32()()()x y x y y x ---7、53143()()n n a a a a --?-?8、2333211()()23xy x y -+ 9、(-8)2005×0.1252004 10、(-0.25)11×222 11、263373()()(2)x x x - 12、433111()()()a a a ?- 13、232(2)(2)n ?- 15、3312()()n x y xy+-- 16、5524226()()()()()x x x x x x ----- 17、232323(3)()x y x y --- 20、122()()m m m a a a +-- 21、3233633(4)(3)2(2)x x x x x -+---23、4354832263()2()5()x y xy x y x y x y -+25、已知23,24n m ==,求2312m n ++值 26、已知36,92m n==,求2413m n -+值 27、(3x+10)(x+2)28、(4y -1)(y -5)29、(2x -521)()252y x y +30、()()()x y z y z x z x y ---+- 32、若m 为正整数,且x 2m =3,求:(3x 3m )2-13(x 2)2m 的值33、532()()a a a -?? 35、2(x -8)(x -5)-(2x -1)(x+2) 36、2322(43)3(46)m m m m m m +--+- 37、()04331113()()()333----+-?- 39、2()x y --40、(35)(106)x y y x -- 41、20092008(2)(2)-+- 44、化简求值:其中14,22x y =-= 2(2)()(2)2(3)()x y x y x y x y x y -+-----45、2(1)x y -- 46、(32)(23)x y y x --47、2211(3)(3)22x y x y -+ 48、30131241()()()()3352----?+-? 49、23021771()()(1.92)()(3)993----?---?51、22222()()()a b a b a b -++ 53、222()()()a b a b a b -+?54、2222()()()()x y x y x y y x +-----+- 55、22(23)(23)(23)(23)a b a b a b a b --+-++56、化简求值:其中1x =-(21)(1)2(3)(4)x x x x +----57、(32)(32)m n m n -+ 58、(3)(3)a b b a -++ 59、4422()()()x y xy x y -?? 61、1212()()m n m n a b a b -+-++- 63、(26)(3)y y +- 64、(0.5)(0.5)xy xy -+--65、3(2)(1)2(5)(3)x x x x -+--- 66、22222(3)(3)(9)x y x y x y +-+68、42(1)(1)(1)(1)x x x x +--++ 69、已知()211x x +-=,求x 的值。
北师大版七年级数学下册第一章 整式的乘除 单元测试卷(一)班级 姓名 学号 得分一、精心选一选(每小题3分,共21分)1.多项式892334+-+xy y x xy 的次数是 ( ) A. 3 B. 4 C. 5 D. 62.下列计算正确的是 ( ) A. 8421262x x x =⋅ B. ()()m mm y y y =÷34C. ()222y x y x +=+ D. 3422=-a a3.计算()()b a b a +-+的结果是 ( ) A. 22a b - B. 22b a - C. 222b ab a +-- D. 222b ab a ++- 4. 1532+-a a 与4322---a a 的和为 ( ) A.3252--a a B. 382--a a C. 532---a a D. 582+-a a 5.下列结果正确的是 ( )A. 91312-=⎪⎭⎫ ⎝⎛- B. 0590=⨯ C. ()17530=-. D. 8123-=-6. 若()682b a b a nm =,那么n m 22-的值是 ( )A. 10B. 52C. 20D. 32 7.要使式子22259y x +成为一个完全平方式,则需加上 ( ) A. xy 15 B. xy 15± C. xy 30 D. xy 30±二、耐心填一填(第1~4题每空1分,第5、6题每空2分,共28分)1.在代数式23xy , m ,362+-a a , 12 ,22514xy yz x -,ab32中,单项式有 个,多项式有 个。
2.单项式z y x 425-的系数是 ,次数是 。
3.多项式5134+-ab ab 有 项,它们分别是 。
4. ⑴ =⋅52x x 。
⑵ ()=43y 。
⑶ ()=322ba 。
⑷ ()=-425y x 。
⑸ =÷39a a 。
⑹=⨯⨯-024510 。
第一章整式的乘除单元测试卷(一)一、精心选一选(每小题3分,共21分)43 31•多项式xy 2x y 9xy 8的次数是A. 3B. 4C. 5D. 62•下列计算正确的是 ()A. 2x 26x 412x 84 mB . y3mmyy C .x y 2 x 22 , 2y D. 4a 2a33.计算a ba b 的结果是()A. b 2 a 2B.2 ,2a bC. a 22ab b 2D.a 2 2ab b 224. 3a 5a1与 2a 2 3a 4的和为()A. 5a 22a 3 2小B. a 8a3 C.2a3a 52小D. a 8a55.下列结果正确的是()21 A.-1 B. 9 50C.53.7 01D. 2 31398m^n26.右 a b8 6a b,那么m 22n 的值是()A. 10B. 52C. 20D. 327•要使式子9x 225y 2成为一个完全平方式,则需加上( )二、耐心填一填(第1~4题每空1分,第5、6题每空2分,共28分)班级 ____ 姓名 ______ 学号 ________ 得分 ________A. 15xyB. 15xyC. 30xyD. 30xy1•在代数式3xy 2 ,个,多项式有一2m ,6a个。
2a 3 , 12 , 4x yz1 2xy 2 , 中,单项式有 5 3ab2•单项式 5x 2y 4z 的系数是,次数是 。
,413•多项式3ab ab 有项,它们分别是。
54•⑴ x 2 x 5。
34⑵y 3。
23⑶2a b。
⑷x 5y24。
93⑸a a。
⑹ 10 5 2 40z 1 2 635.⑴ mnmn。
⑵x 5 x 5。
3 5⑶(2a b )25 。
⑷ 12x 3小 2y3xy 。
/、m32m6•⑴ aa a。
⑵ 22a 8a242…。
20062 220051 ⑶ x y x y x y。
⑷3。
3三、精心做一做(每题5分,共15分)1. 4x 2 y 5xy 7x5x 2 y 4xy x2 2 32. 2a 23a 2 2a 1 4a 32 ^343.2x y 6x y 8xy 2xy1. X 1 2x 1 x 22. 2x 3y 5 2x 3y 5四、计算题(每题6分,共12分)1五、化简再求值:XX 2y x 12 2x,其中X -,y 25。
整式的乘法300题专项训练同底数幂的乘法:底数不变,指(次)数相加。
公式:a m·a n=a m+n1、填空:(1)=⋅53x x ; =⋅⋅32a a a ; =⋅2x x n;(2)=-⋅-32)()(a a ;=⋅⋅b b b 32 ⋅2x =6x ;(3)=⋅-32)(x x ;=⋅10104 ;=⨯⨯32333 ;(4)34a a a ⋅⋅ = ; ()()()53222--- = ;(5)()()()352a a a -⋅-⋅-- = ;32a a ⋅=___________;(7)=-⋅-43)()(a b a b ;=⋅2x x n;(8)=⎪⎭⎫ ⎝⎛-⨯-6231)31( ;=⨯4610102、简单计算:(1)=⋅64a a(2)=⋅5b b(3)=⋅⋅32mm m (4)=⋅⋅⋅953c c c c3.计算:(1)=-⋅23b b (2)=-⋅3)(a a(3)=--⋅32)()(y y (4)=--⋅43)()(a a (5)=-⋅2433 (6)=--⋅67)5()5( (7)=--⋅32)()(q q n (8)=--⋅24)()(m m(9)=-32 (10)=--⋅54)2()2( 4.下面的计算对不对?如果不对,应怎样改正?(1)523632=⨯; (2)633a a a =+; (3)n n n y y y 22=⨯; (4)22m m m =⋅; (5)422)()(a a a =-⋅-; (6)1243a a a =⋅; 二、幂的乘方:幂的乘方,底数不变,指数相乘.即:(a m)n=a mn1、填空:(1) )2(24-=___________ (2) )3(32-=___________(3))2(22-=___________ (4))2(22-=___________(5))(77m = ___________ (6))(335m m= ___________2、计算 : (1)(22)2; (2)(y 2)5 (3)(x 4)3 (4))(3b m -(4)(y 3)2 • (y 2)3(5))()(45a a a --•• (6)xxx 72)(23-•三、积的乘方:等于把积的每一个因式分别乘方,再把所得的幂相乘.(ab)n =a n b n1、填空:(1)(2x )2=___________(ab )3 =_________(ac)4. =__________ (2)(-2x )3=___________)2(22a-=_________)(42a =_________ (3))2(23b a - =_______)2(422ba -=_________3、选择题:(1)下列计算中,错误的是( )A b a b a 642)(32= B y x y x 4429)3(22=Cyxy x 33)(--= Dn mn m 462)(23=-(2)下面的计算正确的是( ) A m m m532=• B m m m 532=+Cnm n m 2523)(= D222mnn m=•四、整式的乘法1、单项式乘单项式1、2(3)x -·32x2、33a ·44a 3、54m ·23m 4、23(5)a b 2(3)a -5、2x ·x ·5x6、(3)x -·2xy7、24a ·23a8、2(5)a b -·(3)a -9、3x ·53x 10、34b c ·12abc 11、32x ·2(3)x - 12、4y ·2(2)xy -13、2(3)x y -·21()3xy 14、4(210)⨯·5(410)-⨯ 15、47x ·32x16、433a b ·232(4)a b c - 17、19、2x ·232()y xy - 18、23(5)a b ·23()ab c -19、3(2)a -·2(3)a - 20、5m -·42(10)m - 21、3m n x +-·4m n x -22、23(3)x y ·(4)x - 23、24ab ·21()8a c - 24、(5)ax -·22(3)x y25、242()m a b -·2()mab - 26、54x y ·232()x y z -27、33(3)a bc -·22(2)ab - 28、4()3ab -·2(3)ab - 29、3(2)x ·2(5)xy -30、34322(2)()x y x yc -- 31、24xy ·233()8x yz -32、32(2)ab c -·2(2)x33、232(3)a b -·33(2)ab c - 34、323331()(2)73a b a b c -35、2(4)x y -·22()x y -·31()2y 36、24xy ·32(5)x y -·2(2)x y -37、22(2)x y -·1()2xyz -·3335x z 38、1()2xyz -·2223x y ·33()5yz -39、26m n -·3()x y -·2()y x - 40、221()2ab c ·231()3abc -·31()2a41、2xy ·221()2x y z -·33(3)x y - 42、331()2ab -·1()4ab -·222(8)a b -43、26a b ·3()x y -·213ab ·2()y x - 44、2(4)x y -·22()x y -·312y二、单项式乘多项式:(利用乘法分配率,转变为单项式乘单项式,然后把结果相加减)1、2(34)m x y +2、11()22ab ab + 3、2(1)x x x -- 4、22(321)a a b +-5、23(21)x x x -- 6、4(3)x x y - 7、()ab a b + 8、6(21)x x +9、(1)x x + 10、3(52)a a b - 11、3(25)x x -- 12、212()2x x -13、2323(2)a a b a - 14、(3)(6)x y x -- 15、22()x x y xy - 16、2(4)(2)a b b --17、2(31)(2)x x -+- 18、(2)a -·31(1)4a - 19、2323()(21)2x x x -+-20、22(2)3ab ab -·12ab 21、224(35)m m n mn -+ 22、2(3)(22)ab a b ab --+23、5ab ·(20.2)a b -+ 24、224(2)39a a --·(9)a - 25、23(251)x x x ---26、22(1)x x x --+ 27、2x ·21(1)2x - 28、2123()33x x +29、24(231)a a a -+- 30、22(3)(21)x x x --+- 31、25(1)xy x y +-32、212(3)2x y xy y -+ 33、2223(34)xy x y xy -- 34、223()ab a b ab ab -+35、22(232)ab a ab a -+ 36、213a b -·22(639)a ab b -+ 37、321(248)()2x x x ----38、322(356)x x x --- 39、3223(36)4a b c ac -+·13ab40、(1)2(1)3(25)x x x x x x +++-- 41、()()()a b c b c a c a b ---+-42、223121(3)()232x y y xy +-- 43、221(2)2x y xy y -+·(4)xy -43、2325101(1)()335a b a b ab -+- 44、221(2)(4)2x y xy y xy -+-三、多项式乘多项式:(转化为单项式乘多项式,然后在转化为单项式乘单项式)1、(31)(2)x x ++2、(8)()x y x y --3、(1)(5)x x ++4、(21)(3)x x ++5、(2)(3)m n m n +- 6、(3)(3)a b a b +- 7、2(21)(4)x x -- 8、2(3)(25)x x +-9、(2)(3)x x ++ 10、(4)(1)x x -+ 11、(4)(2)y y +- 12、(5)(3)y y --13、()()x p x q ++ 14、(6)(3)x x -- 15、11()()23x x +- 16、(32)(2)x x ++17、(41)(5)y y -- 18、2(2)(4)x x -+ 19、(4)(8)x x -- 20、(4)(9)x x ++21、(2)(18)x x -- 22、(3)()x x p ++ 23、(6)()x x p -- 24、(7)(5)x x ++25、(1)(5)x x ++ 26、11()()32y y +- 27、(2)(3)a b a b -+ 28、(3)(23)t t +-29、2(45)(2)x xy x y +- 30、(3)(34)y y -+ 31、(3)(2)x x +- 32、(2)(2)a b a b +-33、(23)(3)x x +- 34、(3)()x x a ++ 35、(1)(3)x x -+ 36、(2)(2)a b --37、(32)(23)x y x y ++ 38、(6)(1)x x +- 39、(3)(34)x y x y -+ 40、(2)(1)x x -+-41、(23)(32)x y x y +- 42、2(1)(1)x x x -++ 43、22()()a b a ab b +-+44、22(321)(231)x x x x +++- 45、22()()a b a ab b -++ 46、22()()x xy y x y ++-47、22()()x a x ax a -++ 48、22()()x y x xy y -++ 49、4242(331)(2)x x x x -++-50、22()()x y x xy y +-+四、同底数幂的除法:底数不变,指数相减。
初中数学整式的乘除练习题及参考答案[注意:本文按照练习题格式组织,每题后附有参考答案。
]练习题1:计算以下两个整式的积:(2x + 3)(4x - 5)参考答案1:(2x + 3)(4x - 5) = 8x^2 - 10x + 12x - 15 = 8x^2 + 2x - 15练习题2:求下列整式的商式:(8x^3 - 10x^2 + 12x) ÷ 2x参考答案2:(8x^3 - 10x^2 + 12x) ÷ 2x = 4x^2 - 5x + 6练习题3:计算以下两个整式的乘积:(3a - 1)(a^2 + a + 2)参考答案3:(3a - 1)(a^2 + a + 2) = 3a^3 + 3a^2 + 6a - a^2 - a - 2 = 3a^3 + 2a^2 + 5a - 2练习题4:求下列整式的商式:(5x^3 - 4x^2 + 3x) ÷ x^2参考答案4:(5x^3 - 4x^2 + 3x) ÷ x^2 = 5x - 4 + 3/x练习题5:计算以下两个整式的乘积:(2y^2 + 3y - 4)(y^2 - 2y + 6)参考答案5:(2y^2 + 3y - 4)(y^2 - 2y + 6) = 2y^4 - 4y^3 + 12y^2 + 3y^3 - 6y^2 + 18y - 4y^2 + 8y - 24 = 2y^4 - y^3 + 2y^2 + 26y - 24练习题6:求下列整式的商式:(6b^3 + 4b^2 - 8b) ÷ 2b参考答案6:(6b^3 + 4b^2 - 8b) ÷ 2b = 3b^2 + 2b - 4练习题7:计算以下两个整式的乘积:(4x - 7)(2x + 5)参考答案7:(4x - 7)(2x + 5) = 8x^2 + 20x - 14x - 35 = 8x^2 + 6x - 35练习题8:求下列整式的商式:(10c^2 - 5c + 3) ÷ c参考答案8:(10c^2 - 5c + 3) ÷ c = 10c - 5 + 3/c练习题9:计算以下两个整式的乘积:(3y^2 - 2)(y^2 + 3y - 1)参考答案9:(3y^2 - 2)(y^2 + 3y - 1) = 3y^4 + 9y^3 - 3y^2 - 2y^2 - 6y + 2 = 3y^4 + 9y^3 - 5y^2 - 6y + 2练习题10:求下列整式的商式:(15a^3 - 10a - 5) ÷ 5a参考答案10:(15a^3 - 10a - 5) ÷ 5a = 3a^2 - 2 - 1/a通过以上的练习题和参考答案,相信你对初中数学整式的乘除运算有了更深入的理解。
整式的乘除初二练习题整式是代数学中的一个重要概念,它是由常数、变量及其系数之积与和所构成的代数式。
在初二的代数学习中,学生需要掌握整式的乘法和除法运算。
下面是一些整式的乘除练习题,帮助同学们巩固和提升他们的代数运算能力。
一、整式的乘法练习题1. 计算下列整式的乘积:(1) (3a - 2b)(4a + 5b)(2) (2x - 3y)^2(3) (x + 2)(x^2 - 3x + 1)2. 将下列整式相乘,并把结果化简:(1) 4x(2x^2 - 3x + 1)(2) (3a - 2)(4a^2 + 6a - 5)(3) (x^2 + 3x + 2)(x + 1) - (x^2 - 1)二、整式的除法练习题1. 计算下列整式的除法,并找出商式和余式:(1) (2x^2 + 3x - 4) ÷ (x + 2)(2) (3a^2 - 5a + 2) ÷ (a - 1)(3) (4x^3 - 12x^2 + 6x) ÷ 2x2. 将下列整式除以给定的因式,并简化结果:(1) (6x^3 - 3x^2 + 2x) ÷ x(2) (5a^4 - 10a^3 + 4a^2) ÷ (a - 2)(3) (2x^3 - 4x^2 + 3x - 1) ÷ (x - 1)三、综合习题1. 计算下列整式的乘法和除法,并给出最终结果:(1) (3x + 2)(x^2 - 4x + 1) ÷ (x - 1)(2) (4a + 5b)(a^2 - 3ab + b^2) ÷ (a + b)(3) (2x^3 - 6x^2 + 3x + 1)(x - 2) ÷ (x - 1)(4) (4m^2 - 9)(2m + 3) ÷ (m + 3)以上是整式的乘除初二练习题。
通过这些练习题,同学们可以巩固和提升他们的整式乘除能力。
在解题过程中,要注意整式乘法需要运用分配律和合并同类项的规则,而整式除法需要注意因式提取和化简的步骤。
一、选择题(每题3分,共30分)1、44221625)(______)45(b a b a -=+-括号内应填( )A 、2245b a +B 、2245b a +C 、2245b a +-D 、2245b a --2、下列计算正确的是( )A 、22))((y x x y y x -=-+B 、22244)2(y xy x y x +-=+-C 、222414)212(y xy x y x +-=-D 、2224129)23(y xy x y x +-=--3、在2222222)())(3(,)()2(),5)(5()5()1(b a b a y x y x x x x +=--+=+-+=-+(4)ab ab ab a b b a =-=--23)2)(3(中错误的有( )A 、1个B 、2个C 、3个D 、4个4、下列各式中,能用平方差公式计算的是( )A 、))((b a b a +--B 、))((b a b a ---C 、))((c b a c b a +---+-D 、))((b a b a -+-5、如果:=-==+-222)32,5,0168y x x y xy x 则(且( )A 、425B 、16625C 、163025D 、162256、计算:1.992-1.98×1.99+0.992得( )A 、0B 、1C 、8.8804D 、3.96017、如果k x x ++82可运用完全平方公式进行因式分解,则k 的值是( )A 、8B 、16C 、32D 、648、(x 2+px+8)(x 2-3x+q)乘积中不含x 2项和x 3项,则p,q 的值 ( )A 、p=0,q=0B 、p=3,q=1C 、p=–3,–9D 、p=–3,q=19、对于任何整数m ,多项式9)54(2-+m 都能( )A 、被8整除B 、被m 整除C 、被m -1整除D 、被(2m -1)整除10.已知多项式2222z y x A -+=,222234z y x B ++-=且A+B+C=0,则C 为() A 、2225z y x -- B 、22253z y x -- C 、22233z y x -- D 、22253z y x +-二、填空题(每题3分,共30分)11、++xy x 1292 =(3x + )212、2012= , 48×52= 。