药物化学抗精神病药
- 格式:ppt
- 大小:547.00 KB
- 文档页数:55
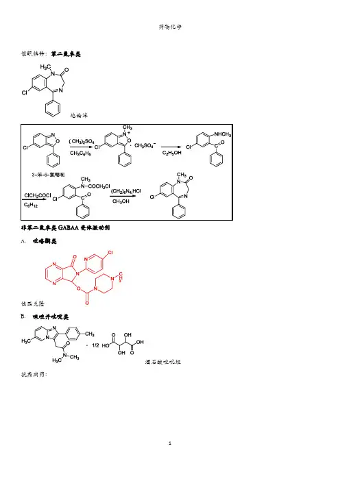
药物化学催眠镇静:苯二氮卓类地西非苯二氮卓类GABAA受体激动剂A.吡咯酮类佐匹克隆B.咪唑并吡啶类酒石抗癫痫药:苯巴比妥巴比妥类同型物苯妥英钠本品英钠还能治疗心率失常和高血压二苯并氮杂卓类卡马西平GABA类似物氨己烯酸、加巴喷丁脂肪羧酸类丙戊酸、丙戊酸钠、丙戊酰胺其他结构类药物拉莫三嗪可作用。
该药对部分癫痫发作和继发性全身发作极为有效,而对原发性全身性大发作效果较差抗精神病药:吩噻嗪类氯丙嗪奋乃静噻吨类氯普噻吨丁酰苯及类似物,氟哌啶醇丁酰苯结构中的第4个碳原子上必须连有叔胺基团,这是保持其抗精神失常活性所必需的。
尽管丁酰苯类与吩噻嗪类的基本结构差别很大,但其侧链部分仍有某些相似之处,如丁酰苯类中的Ar一C一C一C一C一N 结构就与吩噻嗪类的侧链部分Ar一N一C一C一C一N十分相似。
•①所有的有效化合物在苯环的对位都为氟所取代。
•②酮基若被硫代羰基、烯基、苯氧基取代或被还原,则抗精神分裂作用减弱。
•③延长、缩短三个碳原子的侧链,或引人支链,都会引起活性下降。
•④叔胺常结合于六元杂环中,如哌啶、四氢哌啶,哌嗪,通常在环的4位上还有其它取代基。
苯酰胺类:舒必利二本二氮卓类衍生物氯氮平氯氮平的口服吸收迅速,几乎100%,吸收后迅速广泛分布到各种组织,由于其亲脂性强,可通过血脑屏障。
本品对精神分裂症的各种症状都有较好的疗效,是广谱的抗精神病药,尤其是适用于难治疗的精神分裂症。
有严重的副作用,主要是粒细胞减少症,但锥体外系副作用低。
长期用药会有成瘾性。
抗抑郁药:a)MAO抑制剂:吗氯贝胺b)5-HT重摄取抑制剂:五朵金花:帕罗西汀,西酞普兰,氟西汀,氟伏沙明,舍曲林帕罗西汀C)去甲肾上腺素重摄取抑制剂:盐酸阿米替林d)α2肾上腺素受体阻断剂米氮平米氮平是新型的抗抑郁药,其作用机制是中枢突触前膜α2肾上腺素受体拮抗剂,通过阻断α2自受体,使去甲肾上腺素(NA)释放的抑制作用减弱,去甲肾上腺素释放增加,突触后神经元产生兴奋;同时拮抗α2异受体,使5-HT 释放的抑制作用减弱,导致5-HT释放增加;同时由于NA的释放增加通过阻滞肾上腺素能α2受体,增强去甲肾上腺素及5-HT的释放合成镇痛药:: 烦躁不安,瞳孔散大,幻觉、兴奋,呼吸频率增快,血压增高;●μ :介导镇痛、呼吸抑制、欣快感μ1:镇痛μ2:呼吸抑制作用,心率减慢,欣快感、依耐性●Κ:镇痛a)哌啶类:盐酸哌替啶枸橼酸芬太尼b)氨基酮类:盐酸美沙酮c)吗啡烃及苯并吗喃类喷他佐辛d)其他药物地佐辛,曲马多局部麻醉药:1.对氨基苯甲酸酯类:盐酸普鲁卡因2.酰苯胺类:盐酸利多卡因盐酸罗哌卡因◆氨基酮类:达克罗宁◆氨基醚类:奎尼卡因◆氨基甲酸酯类:地哌冬拟胆碱&抗胆碱药:胆碱受体激动剂:◆完全拟胆碱药物:卡巴胆碱乙酰胆碱:◆M受体激动剂氯贝胆碱氯贝胆碱为选择性的M受体激动剂,几乎没有N样作用。
1镇静催眠药、抗癫痫药、抗精神失常药和改善脑功能药物A 型选择题1.苯巴比妥的化学结构为 A. B.C. D. E.2. 抗精神病药的结构类型不包括A. 噻吨类B. 乙内酰脲类C. 吩噻嗪类D. 丁酰苯类E. 酰胺类3.奋乃静在空气中或日光下放置渐变红色,分子中不稳定的结构部分为 A. 羟基 B. 苯环C. 哌嗪环D. 吩噻嗪环E. 侧链部分4.因易吸收二氧化碳,在临用前才配制的注射剂是A. 硝西泮B. 阿普唑仑C. 苯妥英钠D. 卡马西平E. 唑吡坦5.化学结构如下的药物的主要临床用途为A. 抗抑郁症B. 抗精神病C. 抗焦虑D. 抗癫痫E. 镇静催眠6.抗癫痫药物的化学结构类型包括A. 环状酰脲类、吩噻嗪类、苯二氮卓类、二苯并氮卓类、脂肪酸类C CO NHCO NHH C NH CO NH CO C CO NH CO NH C 2H 5CCO NH CO NHC 2H 5CCO NH 2CO NH C 2H 5NHCH 3O CF 3.HClB.环状酰脲类、酰亚胺类、苯二氮卓类、二苯并氮卓类、脂肪酸类C.环状酰脲类、酰亚胺类、苯二氮卓类、氨基甲酸酯类、脂肪酸类D. 环状酰脲类、咪唑并吡啶类、苯二氮卓类、二苯并氮卓类、脂肪酸类E. 环状酰脲类、酰亚胺类、氨基甲酸酯类、二苯并氮卓类、脂肪酸类7.具有酰脲结构的药物是A.地西泮B.拉莫三嗪C.奥沙西泮D.氯丙嗪E. 苯巴比妥8.从巴比妥类药物结构可认为它们是A.弱酸性的B.中性的C.强碱性的D.两性的E. 弱碱性的9.下列属于酰胺类中枢兴奋药的是A. 茴拉西坦B. 利斯的明C. 石杉碱甲D. 氢溴酸加兰他敏 E 盐酸多奈哌齐10.为γ-氨基丁酸的环状衍生物,可以促进乙酰胆碱合成的改善脑功能药物是 A.盐酸多奈哌齐B.利斯的明C.吡拉西坦D.石杉碱甲E.氢溴酸加兰他敏11.源于地西泮活性代谢产物的药物是A.氯硝西泮B. 劳拉西泮C. 艾司唑仑D. 奥沙西泮E. 硝西泮12. 具有咪唑并吡啶结构的药物是A.舒必利B.异戊巴比妥C.唑吡坦D.氟西汀E.氯丙嗪13. 酸性药物在体液中的解离程度可用下述公式计算:已知苯巴比妥的p K a约为7.4,在生理pH为7.4的情况下,其以分子形式存在的比例是A. 30%B. 40%C. 50%D. 75%E. 90%X型选择题1.下列药物中属于吩噻嗪类抗精神失常药的是A.阿米替林B.奋乃静C.氯丙嗪D.氟哌啶醇E. 氟西汀22、下列药物属于三环类药物的是A.阿米替林B.卡马西平C.氯丙嗪D.奋乃静E. 赛庚啶3.以苯二氮卓受体为作用靶点的药物是A.奥卡西平B.劳拉西泮C.三唑仑D.氟西汀E. 氟西泮4、有关苯妥英钠的叙述哪些是正确的A.水溶液呈碱性B.适用于治疗癫痫全身性和部分性发作C.水溶液对热稳定,不易水解D.露置空气中吸收二氧化碳,出现混浊E 具有酰脲结构5.影响1,4苯并二氮卓类药物药效的主要因素是A.当7位有强的吸电子基团存在,活性增强B.4位是N氧化物时,活性增强C.当1,2位骈合三唑环,可提高与受体亲和力,生物活性明显增强D.1位引入哌嗪基时,活性大大增强E.2位被吸电子基氯、三氟甲基取代,活性增强6.以下哪几项与艾司唑仑相符合A.又名舒乐安定B.本品分子结构中有四个环C.本品的水解产物可发生重氮化偶合反应D.7位有氯取代E. 本品为抗焦虑药物7.下列特征属于舒必利的是A. 属于苯甲酰胺类B.抗焦虑药C. 抗精神病药D. 单胺氧化酶抑制剂E有旋光异构体8.通过抑制5-HT重摄取从而改善病人情绪的药物是A. 盐酸阿米替林B. 文拉法辛C. 舍曲林D. 盐酸氟西汀 E 吗氯贝胺349.下列抗抑郁药物中,代谢产物与原药保持相同药效的药物有A .盐酸氟西汀B .文拉法辛C .舍曲林D .盐酸帕罗西汀E .盐酸阿米替林10.用硫置换巴比妥类分子中2-位上的氧,则A .脂溶性增加B .起效慢C .起效快D .作用时间长E .作用时间短B 型选择题 [1-5]A. B. C.D.E.1.最早在临床应用的1,4-苯二氮桌类药物 D2.代谢研究中发现的苯二氮桌类药物 E3.通用名为地西泮 A4.使药物与受体亲和力增加生物活性增强的苯二氮桌类药物 C5.无镇静催眠作用的化合物 B[6-10]A.化学名为4-[3-(2-氯吩噻嗪-10-基)丙基]-1-哌嗪乙醇B. 1-甲基-5-苯基-7-氯-1,3-二氢-2H -1,4-苯并二氮杂卓-2-酮C. 5-乙基-5-苯基-2, 4, 6 (1H , 3H , 5H )- 嘧啶三酮D. 5,5-二苯基-2,4-咪唑烷二酮钠盐E. 5H -二苯并[b,f]氮杂卓-5-甲酰胺6.地西泮 B7.卡马西平 E8.苯巴比妥 C9.苯妥英钠 D 10.奋乃静 A[11-14]N N O C 6H 5CH 3Cl NHCH 3C 6H 5Cl N N C 6H 5Cl N N653N N O C 6H 5Cl HOHA. 苯巴比妥B. 苯妥英钠C. 舒必利D. 氟哌啶醇E. 艾司唑仑11.结构中含有三氮唑环 E12.结构中含有吡咯环 C13.结构中含有哌啶环 D14.结构中含有咪唑环 B[15-17]A.奋乃静B.氟哌啶醇C. 阿米替林C.帕罗西汀E. 氯硝西泮15.二苯环庚烯类抗抑郁药有 C16.吩噻嗪类抗精神失常药有 A17.丁酰苯类抗精神失常药有 B[18-19]A.茴拉西坦B.吡拉西坦C.盐酸多奈哌齐D.氢溴酸加兰他敏E.利斯的明18.2-氧代-1-吡咯烷基乙酰胺 B19.2,3-二氢-5,6-二甲氧基-2-[(1-苯甲基)-4-哌啶基]甲基-1H-茚酮盐酸盐 C影响肾上腺素能神经系统的药物A型选择题:1.盐酸克仑特罗用于 DA.循环功能不全时,低血压状态的急救B.支气管哮喘性心搏骤停C.抗心律不齐56D .防治支气管哮喘和喘息型支气管炎E .抗高血压2. 甲基多巴的结构式为 CA.B.C.D.E.3. 去甲肾上腺素的化学结构为 AA.2B.2C .HONH 2OHD .HONH 2OHE .NH 2HOHO4. 盐酸异丙肾上腺素的化学名为 CA .(-)4-[(2-异丙氨基-1-羟基)乙基]-1,2-苯二酚盐酸盐B .(+)4-[(2-异丙氨基-1-羟基)乙基]-1,2-苯二酚盐酸盐C .4-[(2-异丙氨基-1-羟基)乙基]-1,2-苯二酚盐酸盐D .4-[(1-异丙氨基-2-羟基)乙基]-1,2-苯二酚盐酸盐E .(-)4-[(1-异丙氨基-2-羟基)乙基]-1,2-苯二酚盐酸盐5. 下列描述哪个与肾上腺素不符 BA .在体内易被MAO 和COMT 催化代谢,口服无效B .内源性的肾上腺素的 -碳构型为S 构型,比旋度呈右旋C .加热、放置或在酸性条件下易消旋化,使活性降低D.在空气中易氧化变色E.临床用于过敏性休克、支气管哮喘及心搏骤停的抢救6.下列描述哪个与盐酸多巴胺不符 CA.易溶于水的白色或类白色有光泽的结晶B.多巴胺受体激动剂,是内源性活性物质C.易通过血脑屏障,产生中枢作用D.露置空气中及遇光颜色渐变深E.临床用于多种类型的休克7.下列描述哪个与盐酸麻黄碱不符 DA.化学名为(1R,2S)-2-甲氨基-苯丙烷-1-醇盐酸盐B.遇光、空气、热不易被氧化破坏C.有两个手性碳原子,四个光学异构体D.四个光学异构体具有强度相似的拟肾上腺素作用E.临床用于支气管哮喘、过敏反应、鼻黏膜肿胀以及低血压的治疗8.下列关于儿茶酚胺类拟肾上腺素药物构效关系的说法,哪个不正确 C A.酚羟基可显著地增强拟肾上腺素作用,是与受体复合时形成氢键 的有利条件B.儿茶酚羟基易被COMT代谢破坏,一般作用时间短暂,不宜口服 C.β羟基相连碳原子的立体构型与活性有关,S构型的右旋体具有较大的活性D.在一定范围内,取代基愈大,对β受体选择性也愈大,相对地对α 受体的亲和力就愈小E.侧链的α碳原子上引入甲基,阻碍单胺氧化酶(MAO)对氨基的氧化代谢脱氨,故有时可延长作用时间9.下列哪种性质与重酒石酸去甲肾上腺素相符 AA.在空气中放置可被氧化,颜色逐渐变黄至深棕色B. 不具旋光性C.不溶于水而易溶于乙醇D.在酸性或碱性条件下均易水解E. 上述均不相符10.对盐酸可乐定阐述不正确的是 DA.α2受体激动剂78B .抗高血压药物C .分子结构中含2,6-二氯苯基D .分子结构中含噻唑环E .分子有两种互变异构体11.可能成为制备冰毒的原料的药物是 BA .盐酸哌替啶B .盐酸伪麻黄碱C .沙美特罗D .盐酸普萘洛尔E .阿替洛尔 12.(-)去甲肾上腺素水溶液加热时效价降低是因为发生了以下哪种反应 EA .水解反应B .还原反应C .氧化反应D .开环反应E .消旋化反应13.如何增强拟肾上腺素药物对β受体的选择性 EA .延长苯环与氨基间的碳链B .把酚羟基甲基化C .去掉苯环上的酚羟基D .在α-氮上引入甲基E .在氨基上以较大的烷基取代14.下列药物中,哪个药物临床上以左旋体供药用 EA .盐酸普萘洛尔B .盐酸哌唑嗪C .盐酸伪麻黄碱D .盐酸异丙肾上腺素E .肾上腺素15. 硫酸沙丁胺醇的化学名为 AA. 1-(4-羟基-3-羟甲基苯基)-2-(叔丁氨基)乙醇硫酸盐B. 1-(3,4-二羟基甲基苯基)-2-(叔丁氨基)乙醇硫酸盐C. 1-(4-羟基-3-甲氧基苯基)-2-(叔丁氨基)乙醇硫酸盐D. 1-(4-羟甲基-3-羟基-苯基)-2-(叔丁氨基)乙醇硫酸盐E. 1-(3-羟甲基-4-羟基苯基)-2-(叔丁氨基)乙醇硫酸盐16. 沙美特罗的化学结构是 EA.B.9C. D.E.B 型选择题:[1-5] BACDEA .盐酸可乐定B .肾上腺素C .盐酸普萘洛尔D .硫酸沙丁胺醇E .盐酸哌唑嗪1. 内源性的交感神经递质 2. 中枢α2受体激动剂 3. β受体阻断剂 4. β2受体激动剂 5. α1受体阻断剂[6-10] EDCBAA.3B .NH 2O H OH . HClC .*H NOH Cl CH 3CH 3D .ClH NCH 3OHCH3CH 3H 2NClE .H NCH 3OHCH3CH 3HOHO6. 沙丁胺醇是 7. 克仑特罗是 8. 氯丙那林是 9. 盐酸多巴胺是 10 麻黄碱是[11-15] BACED10A .去甲肾上腺素B .盐酸克仑特罗C .盐酸麻黄碱D .盐酸普萘洛尔E .盐酸可乐定11.具有芳伯氨基结构的是 12.具有酚羟基结构的是 13.有两个手性碳原子的是 14.具有咪唑烷母体的是15.具有芳氧丙醇胺类结构的是[16—19] DCEAA. 盐酸普萘洛尔的化学名B. 盐酸多巴酚丁胺的化学名C. 盐酸麻黄碱的化学名D. 重酒石酸去甲肾上腺素的化学名E. 盐酸异丙肾上腺素的化学名16. (R )-( )-4-(2-氨基-1-羟基乙基)-1,2-苯二酚(R ,R )-二羟基丁二酸盐一水合物17. (1R ,2S)-2-甲氨基-1-苯丙烷-1-醇盐酸盐18. 4-[1-羟基-2-[(1-甲基乙基)-氨基]-1,2-苯二酚盐酸盐 19. 1-[(1-甲基乙基)氨基]-3-(1-萘氧基)-2-丙醇盐酸盐[20—24] DECABA .N H NH OH OHCH 3CH 3OCH 3 B .H OH N H OHOHCH 3O CH 3C .ClH NCH 3OHCH3CH 3H 2NClD .H OH3CH 3CH 3OO N ONCH 3CH 3C H 3CH 3E .NHOOH O H OH20.班布特罗的结构是 21.沙美特罗的结构是22.克仑特罗的结构是23.丙卡特罗的结构是24.福莫特罗的结构是[25-27] DECA.盐酸伪麻黄碱B.盐酸多巴酚丁胺C.盐酸异丙肾上腺素D.盐酸麻黄碱E.盐酸多巴胺25.化学名为(1R,2S)-2-甲氨基苯丙烷-1-醇盐酸盐的药物是26.化学名为4-(2-氨基乙基)-1,2-苯二酚盐酸盐的药物是27.化学名为4-[(2-异丙氨基-1-羟基)乙基]-1,2-苯二酚盐酸盐的药物是X型选择题:1.下列拟肾上腺素药物,哪些不易被COMT甲基化(或:下列哪些药物不含有儿茶酚结构) ABEA.硫酸沙丁胺醇B.盐酸克仑特罗C.重酒石酸去甲肾上腺素D.盐酸异丙肾上腺素E.盐酸麻黄碱2.下列哪些药物可用于高血压的治疗 ACDEA.盐酸哌唑嗪B.盐酸克仑特罗C.盐酸可乐定D.盐酸普萘洛尔E.甲基多巴3.下列拟肾上腺素药物,哪些可用于治疗支气管哮喘 ABCDE A.硫酸沙丁胺醇B.福莫特罗C.丙卡特罗D.盐酸麻黄碱E.盐酸氯丙那林4.下列哪些药物的立体异构体作用强度不同ABCDEA.甲基多巴B.盐酸异丙肾上腺素C.盐酸普萘洛尔D.盐酸麻黄碱E.重酒石酸去甲肾上腺素5.下列哪些药物中,对 1受体具有选择性的有ABDA.阿替洛尔B.多巴酚丁胺C.异丙肾上腺素D.美托洛尔E.普萘洛尔116. 肾上腺素β受体阻断剂侧链氨基上的取代基常常为 BA.羧基B. 异丙基C. 无取代基D.芳环E. 儿茶酚胺7.去甲肾上腺素与沙丁胺醇相比,差别为ABEA. 去甲肾上腺素具儿茶酚胺结构B. 去甲肾上腺素的代谢主要由单胺氧化酶和儿茶酚-O-甲基转移酶所催化C. 去甲肾上腺素能选择性地抑制支气管平滑肌的 2-受体D. 去甲肾上腺素主要代谢物为4-O-葡萄糖苷酸和4-O-硫酸酯E. 去甲肾上腺素临床上主要使用它的升压作用,静滴用于治疗各种休克。
国家职业教育药品生产技术业教学资源库-《药物化学》教案
药物化学教案
授课题目(章节)项目2-3 抗精神病药物
教材或主要参考书马英主编《药物化学》第2版河南科技出版社
教学目的与要求:
1、熟悉抗精神病药的结构类型和作用机制。
2、熟悉抗抑郁药的结构类型和作用机制。
教学重点,难点:
重点:
1、氯丙嗪的结构,理化性质,体内代谢,作用机理,构效关系
2、抗抑郁药的结构类型和作用机制。
难点:氯丙嗪的作用机理,随结构衍化生理活性的改变及不同的用途。
内容与时间安排:
一、复习旧课
复习药物的命名;苯妥英钠、卡马西平的结构与性质等(5 min)
二、讲授新课
1、抗精神病药的结构类型和作用机制(20 min);
2、氯丙嗪、氟哌啶醇的结构、化学名、理化性质、体内代谢及用途(50min);
3、抗抑郁药的结构类型和作用机制(15 min);
课后小结。
《药物化学》第3章(镇静催眠药、抗精神病药、抗精神失常药)第3章(镇静催眠药、抗精神病药、抗精神失常药)重难点提示和辅导一.镇静催眠药1.结构类型分为三类:巴比妥类、苯二氮类和其它类。
2.巴比妥类典型药物结构、化学名、性质及应用。
3.巴比妥类药物的重要性质:因此,巴比妥类药物的钠盐不能做成水针剂,而必须作成粉针剂。
苯巴比妥的钠盐水溶液放置易分解,产生苯基丁酰脲沉淀而失去活性。
因此,苯巴比妥钠注射剂不能预先配制进行加热灭菌,须制成粉针剂。
4.苯二氮类典型药物结构、化学名、性质及应用奥沙西泮(去甲羟安定) 7-氯-1,3-二氢-3-羟基-5-苯基-2H-1,4-苯并二氮-2-酮白色结晶性粉末,溶于乙醇、氯仿,几乎不溶于水.用于治疗焦虑、紧张、失眠、头晕及部分神经官能症艾司唑仑(舒乐安定)8-氯-6-苯基-4H-[1,2,4]-三氮唑并[4,3-a][1,4]苯并二氮杂白色结晶性粉末,易溶于氯仿或醋酐,溶于甲醇。
镇静催眠、抗焦虑药、抗癫痫。
阿普唑仑1-甲基-6-苯基-8-氯-4H-[1,2,4]-三氮唑并[4,3-a][1,4]苯并二氮杂白色粉末,难溶于水,易溶于甲醇、乙醇。
适用于焦虑不安、恐惧、顽固性失眠、癫痫等5.苯二氮类药物的鉴别方法地西泮溶于稀盐酸,加碘化铋钾试液,产生桔红色沉淀,放置后颜色变深。
奥沙西泮在酸、碱中加热水解,生成2-苯甲酰基-4-氯苯胺,乙醛酸和氨,前者由于含有芳伯氨基,经重氮化后与β-萘酚偶合,生成橙色的偶氮化合物。
6.地西泮的重要反应二.抗癫痫药1.分类:巴比妥类、乙内酰脲类、口恶唑烷酮类及丁二酰亚胺类2.典型药物结构、化学名、性质及应用药品名结构化学名性质及应用苯妥英钠(大伦丁钠)5,5-二苯基-2,4-咪唑烷二酮钠盐白色粉末,微有吸湿性,可溶于水和乙醇。
治疗癫痫大发作的首选药,对小发作无效,也可用于治疗三叉神经痛及洋地黄引起的心律不齐。
卡马西平(酰胺咪嗪)5H-二苯并[b,f]氮杂-5-甲酰胺白色的结晶性粉末,几乎不溶于水,在乙醇、丙酮中溶解,易溶于氯仿。
药物化学模拟试题1.抗精神病药氟奋乃静结构修饰制成氟奋乃静癸酸酯,采用的方法是A成盐修饰B成酯修饰(正确答案)C成酰胺修饰D成环修饰E成Shiff碱修饰2.镇痛药盐酸哌替啶化学结构类型属于A生物碱类B哌啶类(正确答案)C氨基酮类D吗啡烃类E苯吗喃类3.不属于H1受体吉抗剂的结构类型是A乙二胺类B氨基醚类C噻唑类(正确答案)D丙胺类E哌嗪类4.洛伐他汀为()A调血脂药(正确答案)B抗心绞痛药C抗高血压药D抗心律失常药E抗过敏药5.盐酸氟西汀属于哪一类抗抑郁药()A.去甲肾上腺素重摄取抑制剂B.单胺氧化酶抑制剂C.阿片受体抑制剂D.5-羟色胺再摄取抑制剂(正确答案)E.5-羟色胺受体抑制剂6.安定是下列哪一个药物的商品名()A.苯巴比妥B.丙氨酯C.地西泮(正确答案)D.盐酸氯丙嗪E.苯妥英钠7.地西泮属于()A.巴比妥类B.氨基甲酸酯类C.苯二氮卓类(正确答案)D.吩噻嗪类E.黄嘌呤类8.具有吩噻嗪结构的药物()A.苯巴比妥钠B.地西泮C.奥沙西泮D.苯妥英钠E.盐酸氯丙嗪(正确答案)9.不属于1,4-苯并二氮卓类的药物有()A.阿普唑仑B.艾司唑仑C.卡马西平(正确答案)D.奥沙西泮E.硝西泮10.有关盐酸氯丙嗪的叙述,不正确的是()A.分子中有吩噻嗪环B.有吸湿性,易溶于水C.在空气或日光中放置,渐变为红棕色D.由于遇光分解产生自由基,部分患者在强日光下发生光毒性反应E.为抗组胺药物(正确答案)11.枸橼酸芬太尼属于()A.氨基酮类B.苯基哌啶类(正确答案)C.吗啡烃类D.苯吗喃类E.其他类12.盐酸吗啡加热重排产物主要是()A.双吗啡B.可待因C.苯吗喃D.阿扑吗啡(正确答案)E.N-氧化吗啡13.盐酸吗啡注射液放置过久,颜色变深,是因为发生了()A.还原反应B.氧化反应(正确答案)C.加成反应D.脱水反应E.聚合反应14.盐酸吗啡易氧化变质,是因为其分子结构中具有()A.酚羟基(正确答案)B.苯环C.芳香第一胺D.含氮杂环E.呋喃环15.配置盐酸吗啡注射液应采用的措施错误的是()A.通入氮气或二氧化碳气体B.加入EDTA-2NaC.采用100°C流通蒸汽灭菌30分钟D.加氧化剂(正确答案)E.调pH为3.0~5.016.下列哪几项与盐酸哌替啶不相符()A.白色细小结晶性粉末,常温下较稳定B.镇痛作用比吗啡强(正确答案)C.连续应用可成瘾D.与三硝基苯酚可形成黄色三硝基苯酚盐E.与甲醛硫酸试液作用显橙红色17.阿托品是()A.东莨菪醇和莨若酸结合成的酯B.莨菪醇和莨菪酸结合成的酯C.莨菪醇和消旋莨菪酸结合成的酯(正确答案)D.山莨若醇和莨若酸结合成的酯E.东莨菪醇和樟柳酸结合成的酯18.阿托品在碱性水溶液中易被水解,这是因为化学结构中含有()A.酰胺键B.内酯键C.酰亚胺键D.酯键(正确答案)E.内酰胺键19.可直接作用于M胆碱受体并产生激动作用的药物是()A.氯化琥珀胆碱B.硫酸阿托品C.毛果芸香碱(正确答案)D.东莨菪碱E.山莨菪碱20.具有莨菪酸结构的特征定性反应是()A.重氮化-偶合反应B.三氯化铁试液显色反应C.坂口反应D.Vitali反应(正确答案)E.水解反应21.通过抑制胆碱酯酶,产生拟胆碱活性的药物是()A.硝酸毛果芸香碱B.溴新斯的明(正确答案)C.溴丙胺太林D.碘解磷定E.氯化琥珀胆碱22.下列哪个药物适用于重症肌无力的治疗()A.溴新斯的明(正确答案)B.硫酸阿托品C.毛果芸香碱D.东莨菪碱E.山莨菪碱23.溴新斯的明的特点错误的是()A.口服剂量远大于注射剂量B.含有酯键,碱水中可水解C.注射时使用其甲硫酸盐D.属于不可逆胆碱酯酶抑制剂(正确答案)E.尿液中可检出两个代谢物24.关于毛果芸香碱错误的是()A.是一种天然的生物碱,具有碱性B.结构中含有咪唑环C.可发生差向异构化D.用于治疗原发性青光眼E.为胆碱酯酶抑制剂(正确答案)25.盐酸普鲁卡因与HCl、NaNO2溶液反应后,再与碱性β-萘酚偶合成红色沉淀,是因为()A.苯环B.叔胺氧化C.酯基水解D.芳伯氨基(正确答案)E.苯环上亚硝化反应26.盐酸普鲁卡因为局麻药,结构上属于()A.苯甲酸酯类(正确答案)B.酰胺类C.氨基醚类D.氨基酮类E.丙胺类27.盐酸普鲁卡因注射液加热变黄的主要原因是()A.盐水解B.形成了聚合物C.芳伯氨基被氧化(正确答案)D.酯基水解E.发生了重氮化偶合反应28.结构中有酰胺结构,受空间位阻影响不易水解的药物是()A.盐酸普鲁卡因B.盐酸氯丙嗪C.盐酸利多卡因(正确答案)D.盐酸丁卡因E.硫卡因29.结构中无酚羟基的药物是()A.肾上腺素B.麻黄碱(正确答案)C.异丙肾上腺素D.去甲肾上腺素E.去氧肾上腺素30.下列结构式是哪种药物()A.盐酸普鲁卡因(正确答案)B.盐酸利多卡因C.盐酸氯丙嗪D.盐酸丁卡因E.盐酸布比卡因31.左旋肾上腺素水溶液受热时活性降低,是因为发生了()A.水解反应B.消旋化反应(正确答案)C.还原反应D.开环反应E.氧化反应32.可能成为制备冰毒的原料药物是()A.溴新斯的明B.麻黄碱(正确答案)C.盐酸克伦特罗D.普萘洛尔E.盐酸哌替啶33.组胺H1受体拮抗剂主要用于()A.抗溃疡B.抗过敏(正确答案)C.抗高血压D.解痉E.解热镇痛34.局麻药的结构类型错误的是()A.芳酸酯类B.酰胺类C.氨基醚类D.氨基酮类E.巴比妥类(正确答案)35.马来酸氯苯那敏与枸橼酸醋酐试液在水浴上加热,显红紫色,这是因为分子中含有()A.叔胺结构(正确答案)B.不饱和键C.酚羟基D.芳伯胺E.酯键36.含有邻苯二酚结构的药物有()A.沙丁胺醇B.肾上腺素(正确答案)C.盐酸可乐定D.麻黄碱E.伪麻黄碱37.凡具有治疗、预防、缓解和诊断疾病或调节生理功能、符合药品质量标准并经政府有关部门批准的化合物,称为()A.化学药物(正确答案)B.无机药物C.合成有机药物D.天然药物E.药物38.下列哪一项不是药物化学的研究内容()A.研究药物的构效关系B.研究药物的理化性质C.确定药物的剂量和使用方法(正确答案)D.为生产化学药物提供先进的工艺和方法E.探索新药的途径和方法39.新药研究和开发过程不包括()A.临床前研究B.临床研究C.注册上市D.市场开发(正确答案)E.先导物发现40.下列镇痛药中可用于戒除海洛因成瘾替代疗法的药物是:A.盐酸哌替啶B.盐酸吗啡C.盐酸美沙酮(正确答案)D.枸橼酸芬太尼E.右丙氧芬41.氯雷他定是()A.H1受体拮抗剂(正确答案)B.H2受体拮抗剂C.抗哮喘药D.质子泵抑制剂E.抗癫痫药42.某女,53岁,在其子婚礼上由于兴奋而突发心绞痛,可选用以下哪种方式治疗()A.硫酸奎尼丁口服B.苯妥英钠注射C.硫酸利多卡因注射D.硝酸甘油舌下含服(正确答案)E.口服盐酸地尔硫卓43.以下降血脂药物中,抑制羟甲基戊二酸单酰辅酶A(HMG-CoA)还原酶的是()A.洛伐他汀(正确答案)B.非诺贝特C.氯贝丁酯D.吉非贝齐E.烟酸44.哪个药物能产生典型的绿奎宁反应()A.硫酸奎尼丁(正确答案)B.盐酸美西律C.卡托普利D.华法林钠E.利血平45.根据临床应用,心血管系统药物可分为哪几类()A.降血脂药、强心药、镇痛药、抗心律失常药B.抗心律失常药、降血脂药、强心药、利尿药C.降血脂药、抗心律失常药、抗心绞痛药、抗高血压药、强心药(正确答案)D.降血脂药、抗溃疡药、抗心律失常药、抗组胺药E.抗心律失常药、降血脂药、强心药、维生素46.盐酸普萘洛尔成品中的主要杂质α-萘酚,常用哪项检查()A.三氯化铁B.硝酸银C.甲醛硫酸D.对重氮苯磺酸盐(正确答案)E.水合茚三酮47.维拉帕米属于钙拮抗剂的()A.二氢吡啶类B.苯并硫氮杂卓类C.芳烷基胺类(正确答案)D.二苯基哌嗪类E.以上都不对48.卡托普利的类型是()A.钙敏化剂B.血管紧张素转化酶抑制剂(正确答案)C.肾上腺素能受体阻断剂D.钙拮抗剂E.利尿药49.具有雄甾烷母核的药物是()A.苯磺顺阿曲库铵B.泮库溴铵(正确答案)C.硫酸阿托品D.溴丙胺太林E.氯化琥珀胆碱50.分子中含巯基,水溶液易发生氧化反应的药物()A.洛伐他汀B.卡托普利(正确答案)C.地尔硫卓D.氯贝丁酯E.缬沙坦。
药物化学(重点药物名称)一、中枢神经系统药物1、镇静催眠药·苯二氮卓类:地西泮,替马西泮,奥沙西泮2、抗癫痫药·酰脲类:巴比妥类:苯巴比妥等乙内酰脲类:苯妥英钠·二苯并氮杂卓类:卡马西平·GABA类似物:普洛加胺·脂肪羧酸类及其他类:3、抗精神病药·吩噻嗪类:盐酸氯丙嗪·噻吨类:氯普噻吨·丁酰苯类:哌替啶·二苯并二氮卓类:氯氮平4、抗抑郁药·单胺氧化酶抑制剂:吗氯贝胺·去甲肾上腺素重摄取抑制剂:盐酸丙米嗪·5-羟色胺重摄取抑制剂:盐酸氟西汀5、镇痛药·天然镇痛药:盐酸吗啡·合成镇痛药:吗啡喃类:左啡诺苯并吗喃类:喷他佐辛,非那佐辛哌啶类:盐酸哌替啶氨基酮类:盐酸美沙酮其他类:曲马多二、外周神经系统药物1、肾上腺素受体激动剂(拟交感神经药)·拟肾上腺素药物:肾上腺素,麻黄碱·选择性β2受体激动剂:异丙肾上腺素·选择性β2受体激动剂:沙丁胺醇2、组胺H1受体拮抗剂(抗过敏药)·经典的H1受体拮抗剂:乙二胺类H1受体拮抗剂:氨基醚类:氯马斯汀丙胺类H1受体拮抗剂:马来酸氯苯那敏·非镇静H1受体拮抗剂:三环类非镇静H1受体拮抗剂:氯雷他定,地氯雷他定哌嗪类非镇静H1受体拮抗剂:盐酸西替利嗪哌啶类非镇静H1受体拮抗剂:咪唑斯汀3、局部麻醉药·苯甲酸酯类局部麻醉药:盐酸普鲁卡因·酰胺类局部麻醉药:盐酸利多卡因·氨基酮类及其他类局部麻醉药:达克罗宁三、循环系统药物1、β受体拮抗剂(治疗心律失常,缓解心绞痛,降低高血压)·非选择性β受体拮抗剂:普萘洛尔·选择性β1受体拮抗剂:美托洛尔·非典型的β受体拮抗剂:拉贝洛尔2、钙离子通道阻滞剂(治疗心律失常,缓解心绞痛,降低高血压)·1,4二氢吡啶类:硝苯地平·苯并硫氮杂卓类:盐酸地尔硫卓·苯烷基胺类:盐酸维拉帕米·其他类:氟桂利嗪,普尼拉明3、钠离子通道阻滞剂(抗心律失常,延长有效不应期)·Ia类:奎尼丁,普鲁卡因胺·Ib类:美西律·Ic类:普罗帕酮4、钾离子通道阻滞剂(抗心律失常,延长动作电位时程)·钾离子通道阻滞剂:胺碘酮5、血管紧张素转化酶抑制剂及血管紧张素II受体拮抗剂(抗高血压)·血管紧张素转化酶抑制剂(ACEI):卡托普利·血管紧张素II受体抑制剂(AngII):氯沙坦,阿利吉仑6、NO供体药物(治疗心绞痛药物)·硝酸酯及亚硝酸酯类:硝酸甘油,吗多明7调血脂药·羟甲戊二酰辅酶A还原酶抑制剂:洛伐他汀,阿托伐他汀·影响胆固醇和三酰甘油代谢药物:苯氧基烷酸类:吉非罗齐烟酸类:烟酸其他类:依折麦布,考来烯胺四、消化系统药物1、抗溃疡药·H2受体拮抗剂:西咪替丁,雷尼替丁·质子泵抑制剂(H+/K+-ATP酶抑制剂):·不可逆质子泵抑制剂:奥美拉唑·可逆性质子泵抑制剂:瑞普拉生五、解热镇痛药及非甾体抗炎药1、解热镇痛药·水杨酸类:阿司匹林,贝诺酯·苯胺类药物:对乙酰氨基酚2、非甾体抗炎药·吡唑酮类:羟布宗,保泰松·邻氨基苯甲酸类:·芳基烷酸类:芳基乙酸类:吲哚乙酸类:吲哚美辛其他芳基乙酸类:双氯芬酸钠芳基丙酸类:布洛芬·1,2-苯并噻嗪类:吡罗昔康·选择性COX-2抑制剂:塞来昔布,罗非昔布六、抗肿瘤药1、生物烷化剂·氮芥类:盐酸氮芥,环磷酰胺·乙撑亚胺类:塞替派·亚硝基脲类:卡莫司汀·磺酸酯类:白消安·金属铂配合物:顺铂2、抗代谢抗肿瘤药·嘧啶拮抗物:氟尿嘧啶,盐酸阿糖胞苷·嘌呤拮抗物:巯嘌呤·叶酸拮抗物:甲氨蝶呤3、抗肿瘤抗生素4、抗肿瘤植物有效成分:紫杉醇5、新型分子靶向抗肿瘤药物:伊马替尼七、抗生素1、β内酰胺类抗生素·青霉素类:天然青霉素:青霉素G,X,K,V,N耐酶青霉素:甲氧西林,苯唑西林耐酸青霉素:非奈西林,丙匹西林广谱青霉素:氨苄西林,阿莫西林·头孢菌素类:一代:二代:三代:头孢噻肟钠四代:·β-内酰胺酶抑制剂氧青霉烷类:克拉维酸钾青霉烷砜类:舒巴坦钠,舒他西林(舒巴坦+氨苄西林)·非经典的β-内酰胺类碳青霉烯类:亚胺培南,美罗培南单环β-内酰胺类:诺卡霉素,氨曲南青霉烯类:法罗培南2、四环素类抗生素·天然:金霉素,土霉素,四环素·半合成:多西环素,米诺环素3、氨基糖苷类抗生素·链霉素·卡那霉素(天然),阿米卡星(半合成)·庆大霉素(天然),依替米星(人工合成)4、大环内脂类抗生素·天然:红霉素,螺旋霉素,麦迪霉素·红霉素衍生物:罗红霉素,地红霉素,阿奇霉素,克拉霉素,氟红霉素,替利霉素5、氯霉素类抗生素·天然:氯霉素·半合成:琥珀氯霉素,甲砜霉素八、合称抗菌药及其他抗感染药物1、喹诺酮类抗菌药·盐酸环丙沙星,左氧氟沙星2、磺胺类药物及抗菌增效剂·磺胺类药物:百浪多息,磺胺嘧啶,磺胺甲恶唑·抗菌增效剂:甲氧苄啶3、抗结核药物·合成抗结核药物:异烟肼,对氨基水杨酸·抗结核抗生素:利福平,利福霉素,链霉素4、抗真菌药物·抗真菌抗生素:两性霉素·唑类抗真菌药物:咪唑类抗真菌药物:酮康唑三唑类抗真菌药物:伊曲康唑·其他抗真菌药物:萘替芬5、抗病毒药物·抑制病毒复制初始时期的药物:金刚烷胺类:金刚烷胺,金刚烷乙胺流感病毒神经氨酸酶抑制剂:奥司他韦·干扰病毒核酸复制的药物:核苷类:阿昔洛韦非核苷类:利巴韦林·抗艾滋病药物:逆转录酶抑制剂:核苷类:齐多夫定非核苷类:HIV蛋白酶抑制剂:九、激素类药物(甾体激素类药物)1、雌激素药物·甾体雌激素:雌二醇·非甾体雌激素:己烯雌酚·抗雌激素:氯米芬,他莫昔芬,雷洛昔芬2、雄激素药物·雄性激素:丙酸睾酮·蛋白同化激素:苯丙酸诺龙·抗雄性激素:氟他胺·5-α还原酶抑制剂:非那雄胺3、孕激素药物·孕激素:醋酸甲羟孕酮·抗孕激素(流产药):米非司酮4、甾体避孕药物:左炔诺孕酮5、肾上腺皮质激素药物·盐皮质激素:·糖皮质激素:氢化可的松,醋酸地塞米松十、维生素1、脂溶性维生素·维生素A类:维生素A·维生素D类:维生素D3,阿法骨化醇·维生素E,K类:2、水溶性维生素:·维生素B类:·维生素C类:维生素C。
药物化学知识点—抗精神失常药根据药物的主要适应症,抗精神失常药可分为抗精神病药、抗抑郁药、抗狂躁症药和抗焦虑药4类。
一.抗精神病药这类药物又称强安定药或神经阻滞药。
抗精神病药物是多巴胺(AD)受体阻断剂。
目前一般认为精神分裂症可能与患者脑内DA过多有关。
本类药物能阻断中脑——边缘系统及中脑——皮质通路的DA受体,减低DA功能,从而发挥其抗精神病作用。
抗精神病药按其化学结构可分为5类:1.吩噻嗪类以盐酸氯丙嗪(Chlorpromazine Hydrochloride)为例。
吩噻嗪类药物是一类重要的抗精神病药,其母环吩噻嗪的基本结构为2个苯环联结1个含硫和氮原子的主环的三环结构化合物。
3个环不在同一平面,2个苯环沿N——S軸折叠形成平面弯曲角α(page35)。
根据其侧链基团不同分为二甲胺类、哌嗪类及哌啶类。
Chlorpromazine和多巴胺的X-线衍射结构测定表明,两者的构象能部分重叠,在Chlorpromazine 的构象中,侧链倾斜于有氯取代的苯环方向(见page37 图2——15)。
Chlorpromazine 的苯环2位的氯原子引起分子不对称性,侧链倾斜于含氯原子的苯环一边是这类药物分子抗精神病作用的重要的结构特征,失去氯原子则无抗精神病作用。
Chlorpromazine 为强抗精神病药,但其毒副作用大,为寻找毒副作用小,疗效好的新药,对Chlorpromazine 进行了大量的构效关系研究工作,其改造规律如下:①2位氯原子取代是活性必必需的,用其他吸电子基取代也有效,取代基的吸电子作用越强,活性越强,如三氟甲基取代活性增强3——5倍。
用弱吸电子基取代活性降低,而毒副作用也降低,如乙酰基取代。
②5位硫原子可由甲撑、乙撑、乙烯撑取代,仍具有抗精神病活性。
③10位氮原子可用甲叉取代仍保持药效。
④10位上的侧链可以改变,如用哌嗪代替二甲胺基形成新的类型,由于改善了油水分配系数活性增强,如奋乃静的抗精神病作用为氯丙嗪的6——10倍。
组织教学(情景描述)药剂专业小张同学的邻居李大妈晚上经常睡不着,烦躁、焦虑,失眠2年多了。
有一天,李大妈和小张同学说她的病情,问该用些什么药品呢?(过渡)本章学习治疗精神障碍药的药物化学基本知识和药理学相关知识,掌握该类药的基本使用技能。
(板书)第三章治疗精神障碍药第一节镇静催眠药(讲解)镇静催眠药属中枢神经系统抑制药物。
小剂量时产生镇静作用,较大剂量时可促进并维持睡眠。
(过渡)临床上常用的镇静催眠药按化学结构可分为巴比妥类、苯并二氮杂䓬类、氨基甲酸酯类和其他类。
(板书)一、巴比妥类(回忆)巴比妥类药物的作用点。
(小结)作用于网状兴奋中枢系统的突触传递过程,阻止脑干的网状结构上行激活系统,使大脑皮质细胞的兴奋性下降。
(板书)(一)巴比妥类药物的结构和分类(讲解)巴比妥类药物为巴比妥酸(丙二酰脲)的衍生物,分为长时间、中时间、短时间和超短时间四种类型。
(板书)(二)巴比妥类药物的理化性质(问题)分析巴比妥类药物的结构,探索具有可能的化学性质?(小结)1.性状:本类药物一般为白色结晶或结晶性粉末;加热多能升华;难溶于水,易溶于乙醇等有机溶剂;含硫巴比妥有不适臭味。
2.弱酸性(具有-CO-NH-CO的结构,可形成烯醇式结构)3.水解性(具有环状酰脲结构)4.与铜吡啶试液的反应(有丙二酰脲结构)与吡啶-硫酸铜溶液作用显紫堇色,含硫巴比妥则显绿色。
5.与银盐反应:在碳酸钠溶液中与硝酸银生成可溶性的一银盐,加入过量的硝酸银,生成不溶性的二银盐,可溶于氨试液。
(板书)(三)巴比妥类药物的构效关系 (图示分析)(补充)临床应用 催眠;反跳现象:依赖性,成瘾性肝药酶诱导剂:可加速本身代谢,耐药现象;易引起中毒;昏迷、缺氧、血压下降、呼吸循环衰竭。
(案例分析)苯巴比妥中毒如何处理? (板书)二、苯二氮䓬类(简介)苯二氮䓬类是20世纪60年代发展的一类药物,具有镇静催眠、抗焦虑、中枢性肌肉松弛、抗惊厥等作用。
已取代巴比妥类成为镇静催眠、抗焦虑的首选药物。
药物化学在神经精神疾病治疗中的应用神经精神疾病是指由神经系统结构或功能异常引起的疾病,如抑郁症、焦虑症、精神分裂症等。
这些疾病给患者的生活和工作带来了极大的困扰,因此有效的治疗方法显得尤为重要。
药物化学在神经精神疾病治疗中扮演着重要的角色,不断提供新的药物方案,帮助患者恢复健康。
一、药物化学的基础与发展1. 药物化学的定义与研究内容药物化学是研究药物化学结构与活性、药物合成及其与指定生物靶点作用相关性的学科。
通过分析药物分子的化学结构,可以发现其与生物靶点的相互作用,为合成与改良药物提供了理论依据。
2. 药物化学的发展历程药物化学作为一门独立学科,起源于19世纪末20世纪初,随着科学技术的进步,尤其是现代有机化学和计算机技术的发展,药物化学得到了迅猛的发展。
越来越多的新型药物被合成出来,并且在药效学方面取得了显著的突破。
二、药物化学在神经精神疾病治疗中的应用1. 抗抑郁药物的开发与应用抑郁症是一种常见的神经精神疾病,其主要症状为心境低落、兴趣丧失、精神运动迟缓等。
药物化学的发展为抗抑郁药物的研发提供了良好的基础。
许多抗抑郁药物,如SSRI类药物、三环类抗抑郁药等,都是通过调节神经递质(如血清素、多巴胺等)浓度来起到治疗作用的。
2. 抗焦虑药物的研究与应用焦虑症是一种常见的神经精神疾病,患者常表现出过度紧张、焦虑不安等症状。
药物化学的发展为抗焦虑药物的研究与应用提供了新的思路。
类苯二氮䓬类药物、选择性5-羟色胺再摄取抑制剂等抗焦虑药物的研发,有效改善了焦虑症患者的症状。
3. 抗精神病药物的合成与应用精神分裂症是一种严重的神经精神疾病,患者常表现出幻觉、妄想、情感淡漠等症状。
药物化学在抗精神病药物的合成与应用上发挥了重要作用。
典型抗精神病药物如氯丙嗪、氟哌啶醇等,通过作用于多巴胺受体来改善患者的症状,提高生活质量。
4. 其他神经精神疾病的治疗药物药物化学的研究不仅局限于抑郁症、焦虑症、精神分裂症等常见疾病的治疗,还涉及到其他神经精神疾病的药物研发。