微积分(经管类复习题)
- 格式:doc
- 大小:360.00 KB
- 文档页数:5
{财务管理财务知识}经济应用数学经济应用数学微积分经济应用数学——微积分部分习题解答(参考)习题一(P37)1.设函数求:f(0),f(-1),f(),f(a+1)解:分析:即求当x为0,-1,,(a+1)时的函数值。
f(0)==-1;f(-1)==f()=;f(a+1)=3.下列各组函数是否表示相同的函数?为什么?(1)y=lg与y=2lgx(2)y=1与y=sinx+cosx(3)y=与y=x+1(4)y=-x与y=-x解:分析:相同函数的条件是D与f相同。
(定义域与对应规则)(1)不同,D不同(2)相同定义域与对应法则相同(3)不同,D不同(4)不同对应法则不同(当x=-1,对应y不同)4.求下列函数的定义域:(1)y=(2)y=(3)y=lg(4)y=lglg(x+1)(5)y=arcsin(6)y=tan(2x+1)(2x+1)解:求定义域应记住:①分母≠0②a≥0③x﹥0④三角函数的限制。
(1)y=解D:x≠0[或(-)(2)y=(4)lglg(x+1)解:D:-1≤x﹤1解:D:(0,+∞)(3)y=lg(5)y=arcsin解:D:[-2,1解:D:[-1,3](6)y=tan(2x+1)解:2x+1D:x5.判断下列函数的奇偶性。
(1)f(x)=(3)f(x)=lg(x+解:f(-x)==f(x)解:f(-x)=lg(-x+f(x)是偶函数。
=lg=lg=lg(x+=-lg(x+)=-f(x)f(x)是奇函数。
(4)f(x)=xe解:f(-x)=-xe≠f(x)[也≠-f(x)]f(x)是非奇非偶函数。
(5)f(x)=log解:f(-x)=log分析:判断奇偶函数=log((1)f(-x)=f(x),f(x)是偶函数=-log(2)f(-x)=-f(x),f(x)是奇函数=-f(x)否则非奇非偶。
f(x)是奇函数。
(6)设f(x)=求f(0),f(-1),f(1),f(-2),f(2),并作出函数图像。
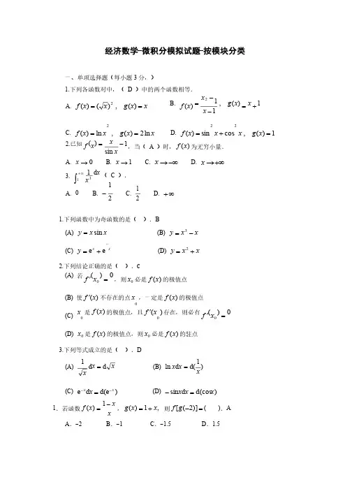
经济数学-微积分模拟试题-按模块分类一、单项选择题(每小题3分,)分,)1.下列各函数对中,(下列各函数对中,( D )中的两个函数相等.)中的两个函数相等.A. x x g x x f ==)(,)()(2B. 1)(,11)(2+=--=x x g x x x f C. x x g x x f ln 2)(,ln )(2== D. 1)(,cos sin )(22=+=x g x x x f2.已知1sin )(-=xx x f ,当(,当( A )时,)(x f 为无穷小量.为无穷小量.A. 0®xB. 1®xC. -¥®xD. +¥®x 3. ò¥+13d 1x x ( C ).). A. 0 B. 21- C. 21D. ¥+1.下列函数中为奇函数的是(下列函数中为奇函数的是( ).B (A) x x y sin = (B) x x y -=3 (C) xxy -+=ee (D) x x y +=222.下列结论正确的是(下列结论正确的是( ).).C C(A) 若0)(0=¢x f ,则0x 必是)(x f 的极值点的极值点(B) 使)(x f ¢不存在的点0x ,一定是)(x f 的极值点的极值点(C) 0x 是)(x f 的极值点,且)(0x f ¢存在,则必有0)(0=¢x f (D) 0x 是)(x f 的极值点,则0x 必是)(x f 的驻点的驻点 3.下列等式成立的是(下列等式成立的是( ).D (A) x x xd d 1= (B) )1d(d ln x x x =(C) )d(e d e x x x --= (D) )d(cos d sin x x x =- 1.若函数xxx f -=1)(, ,1)(x x g +=则=-)]2([g f ( ).A A .-2 B .-1 C .-1.5 D .1.5 2.曲线11+=x y 在点(0, 1)处的切线斜率为()处的切线斜率为( ).). B B A .21 B .21- C .3)1(21+x D .3)1(21+-x3.下列积分值为0的是(的是( ).). C A .òpp -d sin x x x B .ò-+11-d 2e e x xxC .ò--11-d 2e e x xx D .ò-+p px x x d )(cos 1.函数()1lg +=x xy的定义域是(的定义域是( ).). D A .1->xB .0¹xC .0>xD .1->x 且0¹x 2.当+¥®x 时,下列变量为无穷小量的是(时,下列变量为无穷小量的是( )D A .)1ln(x +B . 12+x x C .21e x - D . x x sin3. 若)(x F 是)(x f 的一个原函数,则下列等式成立的是( ). B A .)(d )(x F x x f xa =ò B .)()(d )(a F x F x x f xa -=òC .)()(d )(a f b f x x F b a-=ò D .)()(d )(a F b F x x f ba-=¢ò二、填空题(每小题3分,)分,)6.若函数x x f +=11)(,则=-+h x f h x f )()( .)1)(11h x x +++-( 7.已知ïîïíì=¹--=1111)(2x ax x x x f ,若)(x f 在),(¥+-¥内连续,则=a .2 8.若)(x f ¢存在且连续,则ò=¢])(d [x f .)(x f ¢6.函数)1ln(42+-=x x y 的定义域是的定义域是 .]2,1(-7.曲线1)(2+=x x f 在)2,1(处的切线斜率是处的切线斜率是 .21 8.函数x x f 2cos )(=的全体原函数是的全体原函数是 .c x +2sin 216.如果函数)(x f y =对任意x 1, x 2,当x 1 < x 2时,有时,有 ,则称)(x f y =是单调减少的单调减少的.. 6. )()(21x f x f >7.已知xxx f tan 1)(-=,当,当 时,)(x f 为无穷小量.7. 0®x8.若c x F x x f +=ò)(d )(,则x f x x)d e (e--ò= . 8. c F x+--)e (6.设21010)(xx x f -+=,则函数的图形关于,则函数的图形关于 对称.6.y 轴 7.已知ïîïíì=¹--=1111)(2x ax x x x f ,若f x ()在x =1处连续,则=a . 7. 2. 28.设边际收入函数为R ¢(q ) = 2 + 3q ,且R (0) = 0,则平均收入函数为,则平均收入函数为.8. q q R 232)(+=三、微积分计算题(每小题10分,共20分)分) 11.设2sin 2cos x y x-=,求y ¢. 解;2cos 22ln 22sin x x y x x --=¢ 12. òe1d ln x x x .解:4141414121d 21ln 21d ln 222e 112e1+=+-=-=òòe e e x x x x x x x e11.设xx y 32e ln -+=,求y ¢.解:由导数运算法则和复合函数求导法则得解:由导数运算法则和复合函数求导法则得)e()(ln 32¢+¢=¢-x x yx xx 33e ln 2--=12.计算òe1d ln x x x .解:由定积分的分部积分法得解:由定积分的分部积分法得òò×-=e12e12e1d 12ln 2d ln xx x x x x x xe12242e x -=414e 2+=11.设xx y --+=1)1ln(1,求)0(y ¢. .11.解:因为.解:因为 2)1()]1ln(1[)1(11x x x xy --++---=¢ = 2)1()1ln(x x -- 所以所以 )0(y ¢= 2)01()01ln(--= 0 12.x x x d )2sin (ln +ò12.解:x x x d )2sin (ln +ò=òò+-)d(22sin 21d ln x x x x x=C x x x +--2cos 21)1(ln11.设)1ln(2++=x x y ,求)3(y ¢11.解.解 因为因为 )1(1122¢++++=¢x xx x y11)11(11222+=++++=x x x x x 7分所以所以 )3(y ¢=211)3(12=+ 10分12.计算.计算xxxd e 2121ò12.解.解 x xx d e 2121ò=21211211e e e)1(d e -=-=-òx xx10分五、应用题(20分)分)15.已知某产品的边际成本34)(-=¢q q C (万元/百台),q 为产量(百台),固定成本为18(万元),求⑴该产品的平均成本.⑵最低平均成本.(万元),求⑴该产品的平均成本.⑵最低平均成本.解: (1)1832d )34(d )(2+-=-=¢=òòq q q q q q C C平均成本函数平均成本函数 qq q q C C 1832)(+-==2182q C -=¢,令01822=-=¢qC ,解得唯一驻点6=x (百台)(百台) 因为平均成本存在最小值,且驻点唯一,所以,当产量为600台时,可使平均成本达到最低。
微积分习题适用专业 经管类各专业1. 下列等式成立的是( ).A. 1ln =xdx dx B. 211=-dx d x xC. cos sin =xdx d xD. 211=dx d x x2.下列结论正确的是( ).A. 初等函数必存在原函数;B. 每个不定积分都可以表示为初等函数;C. 初等函数的原函数必为初等函数;D. A ,B ,C 均不正确 3. 函数()f x =x sin ,则dx x f x )('⎰=( )A. c x x x +-sin cosB. c x x x ++sin cosC. c x x x ++cos sinD. c x x x +-cos sin 4. 下列积分中,值为1的是 ( )A .1⎰xdx B .()101+⎰x dx C .1⎰dx D . 1012⎰dx 。
5. 函数)(x f 连续,⎰+-=ax ax dt t f a x F )(1)((a >0),则=')(x F ( )A . )]()([1a x f a x f a --+ B. )(1a x f a --C. )]()([1a x f a x f a -++D. )(1a x f a+6. 设函数yxy x f arcsin),(=,则)1 (,x f x '= ( ) A .221x x -; B .)1(21x x +; C .x ; D . x11+。
一、单项选择(每小题 3分,共 45分)7. 下列说法正确的是( )A. 函数()f x 在[],a b 上有界,则()f x 在[],a b 上一定可积;B. 函数()f x 在[],a b 上无界,则()f x 在[],a b 上可能可积;C. 函数()f x 在[],a b 上可积,则()f x 在[],a b 上一定有界;D. 函数()f x 在[],a b 上可积,则()f x 在[],a b 上不一定有界。
微积分考试复习题一、单项选择题1.函数()1lg +=x xy 的定义域是( D )D .1->x 且0≠x 2.下列各函数对中,D )中的两个函数相等D x x x f 22cos sin )(+=,1)(=x g3.设xx f 1)(=,则=))((x f f (C ). C .x 4.下列函数中为奇函数的是( C ).C .11ln +-=x x y 5.已知1tan )(-=x xx f ,当(A )时,)(x f 为无穷小量.A. x →06.当+∞→x 时,下列变量为无穷小量的是( D .xxsin 7.函数sin ,0(),0xx f x x k x ⎧≠⎪=⎨⎪=⎩在x = 0处连续,则k = ( C ).C .18.曲线11+=x y 在点(0, 1)处的切线斜率为(A )A .21-9.曲线x y sin =在点(0, 0)处的切线方程为( A ).A. y = x10.设y x=l g 2,则d y =(B ). B .1d x x ln1011.下列函数在指定区间(,)-∞+∞上单调增加的是(B ).B .e x12.设需求量q 对价格p 的函数为p p q 23)(-=,则需求弹性为E p =(B )B .--p p32二、填空题1.函数⎩⎨⎧<≤-<≤-+=20,105,2)(2x x x x x f 的定义域[-5,2]2.函数xx x f --+=21)5ln()(的定义域是(-5, 2 ).3.若函数52)1(2-+=+x x x f ,则=)(x f 62-x .4.设21010)(xx x f -+=,则函数的图形关于y 轴对称.5.已知生产某种产品的成本函数为C (q ) = 80 + 2q ,则当产量q = 50时,该产品的平均成本为3.66.已知某商品的需求函数为q = 180 – 4p ,其中p 为该商品的价格,则该商品的收入函数R (q ) = 45q – 0.25q 2.7. =+∞→x x x x sin lim18.已知xxx f sin 1)(-=,当0→x 时,)(x f 为无穷小量. 9. 已知⎪⎪⎨⎧=≠--=1111)(2x a x x x x f ,若f x ()在),(∞+-∞.内连续,则=a 2. 10.曲线y =)1,1(处的切线斜率是(1)0.5y '=.11.函数y x =-312()的驻点是x =112.需求量q 对价格p 的函数为2e 100)(pp q -⨯=,则需求弹性为E p =2p - 三、计算题1.已知y xxx cos 2-=,求)(x y '.2.已知()2sin ln x f x x x =+,求)(x f '. 3.已知2s i n 2c o s x y x -=,求)(x y '.4.已知x x y 53e ln -+=,求)(x y '.5.已知x y cos 25=,求)2π(y ';6.设x x y x +=2cos e ,求y d 7.设x y x 5si n cos e +=,求y d .8.设x x y -+=2t an 3,求y d .四、应用题1.设生产某种产品x 个单位时的成本函数为:x x x C 625.0100)(2++=(万元),求:(1)当10=x 时的总成本、平均成本和边际成本;(2)当产量x 为多少时,平均成本最小?2.某厂生产一批产品,其固定成本为2000元,每生产一吨产品的成本为60元,对这种产品的市场需求规律为q p=-100010(q 为需求量,p 为价格)试求(1)成本函数,收入函数(2)产量为多少吨时利润最大?3.某厂生产某种产品q 件时的总成本函数为C (q ) = 20+4q +0.01q 2(元),单位销售价格为p = 14-0.01q (元/件),试求:(1)产量为多少时可使利润达到最大?(2)最大利润是多少?4.某厂每天生产某种产品q 件的成本函数为9800365.0)(2++=q q q C (元).为使平均成本最低,每天产量应为多少?此时,每件产品平均成本为多少?5.已知某厂生产q 件产品的成本为C q q q()=++25020102(万元).问要使平均成本最少应生产多少件产品?三、计算题1.解:2cos sin cos ()(2)2ln 2x x x x x x y x x x --''=-=-2sin cos 2ln 2xx x x x +=+ 2.解xx x x f x x 1cos 2sin 2ln 2)(++⋅='3.解)(cos )2(2sin )(22'-'-='x x x y x x 2cos 22ln 2sin 2x x x x --=4.解:)5(e )(ln ln 3)(52'-+'='-x x x x y xx xx525e ln 3--= 5.解:因为5ln 5sin 2)cos 2(5ln 5)5(cos 2cos 2cos 2x x x x x y -='='='所以5ln 25ln 52πsin 2)2π(2πcos 2-=⋅-='y6.解:因为212cos 23)2sin (e 2x x y x +-='所以x x x y xd ]23)2sin (e 2[d 212cos +-=7.解:因为)(cos cos 5)(sin e 4sin '+'='x x x y x x x x x sin cos 5cos e 4sin -=所以x x x x y x d )sin cos 5cos e (d 4sin -=8解:因为)(2ln 2)(cos 1332'-+'='-x x x y x 2ln 2cos 3322xx x --=所以x xx y x d )2ln 2cos 3(d 322--=四、应用题1.解(1)因为总成本、平均成本和边际成本分别为x x x C 625.0100)(2++=625.0100)(++=x xx C ,65.0)(+='x x C 所以,1851061025.0100)10(2=⨯+⨯+=C 5.1861025.010100)10(=+⨯+=C ,116105.0)10(=+⨯='C (2)令025.0100)(2=+-='xx C ,得20=x (20-=x 舍去)因为20=x 是其在定义域内唯一驻点,且该问题确实存在最小值,所以当=x 20时,平均成本最小.2.解(1)成本函数C q ()= 60q +2000.因为q p =-100010,即p q =-100110, 所以收入函数R q ()=p ⨯q =(100110-q )q =1001102q q -. (2)因为利润函数L q ()=R q ()-C q () =1001102q q--(60q +2000) = 40q -1102q -2000 且'L q ()=(40q -1102q -2000')=40- 0.2q 令'L q()= 0,即40- 0.2q = 0,得q = 200,它是L q ()在其定义域内的唯一驻点.所以,q = 200是利润函数L q ()的最大值点,即当产量为200吨时利润最大.3.(1)由已知201.014)01.014(q q q q qp R -=-==利润函数22202.0201001.042001.014q q q q q q C R L --=----=-=则q L 04.010-=',令004.010=-='q L ,解出唯一驻点250=q .因为利润函数存在着最大值,所以当产量为250件时可使利润达到最大,(2)最大利润为1230125020250025002.02025010)250(2=--=⨯--⨯=L (元) 4.解因为()9800()0.536C q C q q q q==++(0)q > 298009800()(0.536)0.5C q q q q''=++=- 令()0C q '=,即0598002.-q =0,得q 1=140,q 2= -140(舍去).q 1=140是C q ()在其定义域内的唯一驻点,且该问题确实存在最小值. 所以q 1=140是平均成本函数C q ()的最小值点,即为使平均成本最低,每天产量应为140件. 此时的平均成本为9800(140)0.514036176140C =⨯++=(元/件) 5.解因为C q ()=C q q()=2502010q q ++'C q ()=()2502010qq++'=-+2501102q令'C q ()=0,即-+=25011002q ,得150q =,q 2=-50(舍去),q 1=50是C q ()在其定义域内的唯一驻点.所以,q 1=50是C q ()的最小值点,即要使平均成本最少,应生产50件产品. 积分学一、单项选择题1.在切线斜率为2x 的积分曲线族中,通过点(1, 4)的曲线为(A .y = x 2 + 3 2.下列等式不成立的是(A .)d(e d e x x x = 3.若c x x f x +-=-⎰2ed )(,则)(x f '=(D .2e 41x--4.下列不定积分中,常用分部积分法计算的是(C .⎰x x x d 2sin 5. 若c x x f xx+-=⎰11e d e )(,则f (x ) =( C .21x 6.若)(x F 是)(x f 的一个原函数,则下列等式成立的是( B .)()(d )(a F x F x x f xa -=⎰7.下列定积分中积分值为0的是(A .x xx d 2e e 11⎰---8.下列定积分计算正确的是(D .0d sin =⎰-x x ππ9.下列无穷积分中收敛的是( C .⎰∞+12d 1x x10.无穷限积分 ⎰∞+13d 1x x =(C .21二、填空题1.=⎰-x x d e d 2x x d e 2-2.函数x x f 2sin )(=的原函数是-21cos2x + c (c 是任意常数)3.若)(x f '存在且连续,则='⎰])(d [x f )(x f '4.若c x x x f ++=⎰2)1(d )(,则=)(x f )1(2+x5.若c x F x x f +=⎰)(d )(,则x f xx)d e (e --⎰=c F x+--)e ( 6.=+⎰e12dx )1ln(d d x x7.积分=+⎰-1122d )1(x x x08.无穷积分⎰∞++02d )1(1x x 是收敛的.(判别其敛散性) 9.设边际收入函数为R '(q ) = 2 + 3q ,且R (0) = 0,则平均收入函数为2 + q 23三、计算题1.⎰+-x x x d 242解⎰+-x x x d 242=(2)d x x -⎰=2122x x c -+ 2.计算⎰x x x d 1sin 2 解 c x x x x xx +=-=⎰⎰1cos )1(d 1sin d 1sin23.计算⎰x xx d 2解c x xxxx x +==⎰⎰22ln 2)(d 22d 24.计算⎰x x x d sin 解 c x x x x x x x x x x ++-=+-=⎰⎰sin cos d cos cos d sin5.计算⎰+x x x d 1)ln (解⎰+x x x d 1)ln (=⎰+-+x xx x x d 1)(21ln 1)(2122=c x x x x x +--+4)ln 2(21226.计算 x x x d e 2121⎰解 x x xd e 2121⎰=21211211e e e )1(d e -=-=-⎰x xx7.2e 1x ⎰解 x x x d ln 112e 1⎰+=)ln d(1ln 112e 1x x++⎰=2e 1ln 12x +=)13(2- 8.x x x d 2cos 2π⎰ 解:x x x d 2cos 20⎰π=22sin 21πx x -x x d 2sin 2120⎰π=202cos 41πx =21-9.x x d )1ln(1e 0⎰-+ 解法一 x x x x x x x d 1)1ln(d )1ln(1e 01e 01e 0⎰⎰---+-+=+ =x x d )111(1e 1e 0⎰-+--- =1e 0)]1ln([1e -+---x x =e ln =1四、应用题1.投产某产品的固定成本为36(万元),且边际成本为)(x C '=2x + 40(万元/百台).试求产量由4百台增至6百台时总成本的增量,及产量为多少时,可使平均成本达到最低.解 当产量由4百台增至6百台时,总成本的增量⎰+=∆64d )402(x x C =642)40(x x +=100(万元)又 xc x x C x C x⎰+'=00d )()(=x x x 36402++ =x x 3640++ 令 0361)(2=-='xx C , 解得6=x .x = 6是惟一的驻点,而该问题确实存在使平均成本达到最小的值所以产量为6百台时可使平均成本达到最小.2.已知某产品的边际成本C '(x )=2(元/件),固定成本为0,边际收益R '(x )=12-0.02x ,问产量为多少时利润最大?在最大利润产量的基础上再生产50件,利润将会发生什么变化?解 因为边际利润)()()(x C x R x L '-'='=12-0.02x –2 = 10-0.02x 令)(x L '= 0,得x = 500x = 500是惟一驻点,而该问题确实存在最大值. 所以,当产量为500件时,利润最大.当产量由500件增加至550件时,利润改变量为5505002550500)01.010(d )02.010(x x x x L -=-=∆⎰ =500 - 525 = - 25 (元)即利润将减少25元.3.生产某产品的边际成本为C '(x )=8x (万元/百台),边际收入为R '(x )=100-2x (万元/百台),其中x 为产量,问产量为多少时,利润最大?从利润最大时的产量再生产2百台,利润有什么变化?解 L '(x ) =R '(x ) -C '(x ) = (100 – 2x ) – 8x =100 – 10x 令L '(x )=0, 得 x = 10(百台)又x = 10是L (x )的唯一驻点,该问题确实存在最大值,故x = 10是L (x )的最大值点,即当产量为10(百台)时,利润最大.又 x x x x L L d )10100(d )(12101210⎰⎰-='=20)5100(12102-=-=x x 即从利润最大时的产量再生产2百台,利润将减少20万元.4.已知某产品的边际成本为34)(-='q q C (万元/百台),q 为产量(百台),固定成本为18(万元),求最低平均成本.解:因为总成本函数为⎰-=q q q C d )34()(=c q q +-322当q = 0时,C (0)= 18,得 c =18 即 C (q )=18322+-q q 又平均成本函数为 qq q q C q A 1832)()(+-== 令 0182)(2=-='qq A , 解得q = 3(百台) 该题确实存在使平均成本最低的产量. 所以当q = 3时,平均成本最低. 最底平均成本为9318332)3(=+-⨯=A (万元/百台)5.设生产某产品的总成本函数为 x x C +=3)((万元),其中x 为产量,单位:百吨.销售x 百吨时的边际收入为x x R 215)(-='(万元/百吨),求:(1) 利润最大时的产量;(2) 在利润最大时的产量的基础上再生产1百吨,利润会发生什么变化?解:(1) 因为边际成本为 1)(='x C ,边际利润)()()(x C x R x L '-'=' = 14 – 2x 令0)(='x L ,得x = 7 由该题实际意义可知,x = 7为利润函数L (x )的极大值点,也是最大值点.因此,当产量为7百吨时利润最大.(2) 当产量由7百吨增加至8百吨时,利润改变量为87287)14(d )214(x x x x L -=-=∆⎰ =112–64 – 98 + 49 = -1 (万元)即利润将减少1万元.线性代数一、单项选择题1.设A 为23⨯矩阵,B 为32⨯矩阵,则下列运算中( )可以进行.A .AB2.设B A ,为同阶可逆矩阵,则下列等式成立的是( B .T T T )(A B AB = 3.以下结论或等式正确的是( ).C .对角矩阵是对称矩阵4.设A 是可逆矩阵,且A A B I +=,则A -=1( C .I B + 5.设)21(=A ,)31(-=B ,I 是单位矩阵,则I B A -T =( D .⎥⎦⎤⎢⎣⎡--5232 6.设⎥⎥⎥⎦⎤⎢⎢⎢⎣⎡----=314231003021A ,则r (A ) =( C .2 7.设线性方程组b AX =的增广矩阵通过初等行变换化为⎥⎥⎥⎥⎦⎤⎢⎢⎢⎢⎣⎡--00000120004131062131,则此线性方程组的一般解中自由未知量的个数为( A .18.线性方程组⎩⎨⎧=+=+012121x x x x 解的情况是( A . 无解9.若线性方程组的增广矩阵为⎥⎦⎤⎢⎣⎡=01221λA ,则当λ=( )时线性方程组无解B .1210. 设线性方程组b X A n m =⨯有无穷多解的充分必要条件是( D .n A r A r <=)()( 11.设线性方程组AX=b 中,若r (A , b ) = 4,r (A ) = 3,则该线性方程组( B .无解正确答案:B12.设线性方程组b AX =有唯一解,则相应的齐次方程组O AX =(C .只有零解 二、填空题1.若矩阵A = []21-,B = []132-,则A T B=⎥⎦⎤⎢⎣⎡---264132 2.设矩阵⎥⎦⎤⎢⎣⎡-=3421A ,I 为单位矩阵,则T)(A I -=:⎥⎦⎤⎢⎣⎡--2240 3.设B A ,均为n 阶矩阵,则等式2222)(B AB A B A +-=-成立的充分必要条件是B A ,是可交换矩阵4.设⎥⎥⎥⎦⎤⎢⎢⎢⎣⎡-=13230201a A ,当a = 0 时,A 是对称矩阵.5.设B A ,均为n 阶矩阵,且)(B I -可逆,则矩阵X BX A =+的解X =A B I 1)(-- 6.设A 为n 阶可逆矩阵,则r (A )= n .7.若r (A , b ) = 4,r (A ) = 3,则线性方程组AX = b 无解.8.若线性方程组⎩⎨⎧=+=-002121x x x x λ有非零解,则=λ—1 9.设齐次线性方程组01=⨯⨯n n m X A ,且秩(A ) = r < n ,则其一般解中的自由未知量的个数等于n –r10. 已知齐次线性方程组O AX =中A 为53⨯矩阵,且该方程组有非0解,则≤)(A r 3 .11.齐次线性方程组0=AX 的系数矩阵为⎥⎥⎥⎦⎤⎢⎢⎢⎣⎡--=000020103211A 则此方程组的一般为为⎩⎨⎧=--=4243122x x x x x (其中43,x x 是自由未知量)12.设线性方程组b AX =,且⎥⎥⎥⎦⎤⎢⎢⎢⎣⎡+-→010********1t A :t 1-≠时,方程组有唯一解.三、计算题1.设矩阵A =⎥⎥⎥⎦⎤⎢⎢⎢⎣⎡-01241121,求逆矩阵1-A . 解 因为(AI ) =⎥⎥⎥⎦⎤⎢⎢⎢⎣⎡---→⎥⎥⎥⎦⎤⎢⎢⎢⎣⎡-120001010830210411100010001012411210⎥⎥⎥⎦⎤⎢⎢⎢⎣⎡----→⎥⎥⎥⎦⎤⎢⎢⎢⎣⎡---→123124112200010001123001011200210201⎥⎥⎥⎦⎤⎢⎢⎢⎣⎡----→21123124112100010001 所以 A -1=⎥⎥⎥⎦⎤⎢⎢⎢⎣⎡----211231241122.设矩阵A =⎥⎥⎥⎦⎤⎢⎢⎢⎣⎡----121511311,求逆矩阵1)(-+A I . 解 因为 ⎥⎥⎥⎦⎤⎢⎢⎢⎣⎡-=+021501310A I 且⎥⎥⎥⎦⎤⎢⎢⎢⎣⎡---→⎥⎥⎥⎦⎤⎢⎢⎢⎣⎡-110520001310010501100021010501001310⎥⎥⎥⎦⎤⎢⎢⎢⎣⎡-→112100001310010501⎥⎥⎥⎦⎤⎢⎢⎢⎣⎡-----→1121003350105610001 所以⎥⎥⎥⎦⎤⎢⎢⎢⎣⎡-----=+-1123355610)(1A I 3.设矩阵 A =⎥⎥⎥⎦⎤⎢⎢⎢⎣⎡-022011,B =⎥⎦⎤⎢⎣⎡--210321,计算(BA )-1.解 因为BA =⎥⎦⎤⎢⎣⎡--210321⎥⎥⎥⎦⎤⎢⎢⎢⎣⎡-022011=⎥⎦⎤⎢⎣⎡--2435(BAI )=⎥⎦⎤⎢⎣⎡--→⎥⎦⎤⎢⎣⎡--1024111110240135⎥⎦⎤⎢⎣⎡---→54201111⎥⎥⎦⎤⎢⎢⎣⎡--→2521023101所以(BA )-1=⎥⎥⎦⎤⎢⎢⎣⎡--252231 4.设矩阵⎥⎦⎤⎢⎣⎡=⎥⎦⎤⎢⎣⎡=3221,5321B A ,求解矩阵方程B XA =.解:因为 ⎥⎦⎤⎢⎣⎡10530121⎥⎦⎤⎢⎣⎡--→13100121⎥⎦⎤⎢⎣⎡--→13102501 即 ⎥⎦⎤⎢⎣⎡--=⎥⎦⎤⎢⎣⎡-132553211所以,X =153213221-⎥⎦⎤⎢⎣⎡⎥⎦⎤⎢⎣⎡=⎥⎦⎤⎢⎣⎡--⎥⎦⎤⎢⎣⎡13253221= ⎥⎦⎤⎢⎣⎡-1101 5.设线性方程组 ⎪⎩⎪⎨⎧=+-=-+--=+052231232132131x x x x x x x x ,求其系数矩阵和增广矩阵的秩,并判断其解的情况.解 因为⎥⎥⎥⎦⎤⎢⎢⎢⎣⎡---→⎥⎥⎥⎦⎤⎢⎢⎢⎣⎡----=211011101201051223111201A ⎥⎥⎥⎦⎤⎢⎢⎢⎣⎡--→300011101201 所以 r (A ) = 2,r (A ) = 3. 又因为r (A )≠r (A ),所以方程组无解.6.求线性方程组⎪⎩⎪⎨⎧=-+-=+-+-=-+03520230243214321431x x x x x x x x x x x 的一般解. 解 因为系数矩阵⎥⎥⎥⎦⎤⎢⎢⎢⎣⎡----→⎥⎥⎥⎦⎤⎢⎢⎢⎣⎡-----=111011101201351223111201A ⎥⎥⎥⎦⎤⎢⎢⎢⎣⎡--→000011101201 所以一般解为⎩⎨⎧-=+-=4324312x x x x x x (其中3x ,4x 是自由未知量)7.求线性方程组⎪⎩⎪⎨⎧=-+-=-+-=+-126142323252321321321x x x x x x x x x 的一般解. 解 因为增广矩阵⎥⎥⎥⎦⎤⎢⎢⎢⎣⎡----→⎥⎥⎥⎦⎤⎢⎢⎢⎣⎡-----=1881809490312112614231213252A ⎥⎥⎥⎦⎤⎢⎢⎢⎣⎡--→0000194101101 所以一般解为 ⎪⎪⎩⎪⎪⎨⎧+=+=1941913231x x x x (其中3x 是自由未知量)8.设齐次线性方程组⎪⎩⎪⎨⎧=+-=+-=+-0830352023321321321x x x x x x x x x λ问λ取何值时方程组有非零解,并求一般解 因为系数矩阵A =⎥⎥⎥⎦⎤⎢⎢⎢⎣⎡---→⎥⎥⎥⎦⎤⎢⎢⎢⎣⎡---61011023183352231λλ⎥⎥⎥⎦⎤⎢⎢⎢⎣⎡---→500110101λ 所以当λ = 5时,方程组有非零解. 且一般解为⎩⎨⎧==3231x x xx (其中3x 是自由未知量)9.当λ取何值时,线性方程组⎪⎩⎪⎨⎧=+-=-+=++1542131321321x x x x x x x x λ有解?并求一般解.解 因为增广矩阵⎥⎥⎥⎦⎤⎢⎢⎢⎣⎡---→⎥⎥⎥⎦⎤⎢⎢⎢⎣⎡--=26102610111115014121111λλA ⎥⎥⎥⎦⎤⎢⎢⎢⎣⎡--→λ00026101501 所以当λ=0时,线性方程组有无穷多解, 且一般解为:⎩⎨⎧+-=-=26153231x x x x (x 3是自由未知量〕 经济数学基础11年秋季学期模拟试卷一、单项选择题1.B 2.A 3. D 4.C 5. C1.下列函数在指定区间(,)-∞+∞上单调增加的是( B ).B .e x 2.曲线11+=x y 在点(0, 1)处的切线斜率为(A ).A .21-3.下列定积分计算正确的是(D ). D .0d sin =⎰-x x ππ4.设B A ,均为n 阶可逆矩阵,则下列等式成立的是( C )C .111)(---=A B AB5.设线性方程组b AX =有唯一解,则相应的齐次方程组O AX =(C ) C .只有零解 二、填空题6.函数⎩⎨⎧<≤-<≤-+=20,105,2)(2x x x x x f 的定义域是[-5, 2). 7.求极限 =+∞→x xx x sin lim1 . 8.若)(x f '存在且连续,则='⎰])(d [x f )(x f '.9.设B A ,均为n 阶矩阵,则等式2222)(B AB A B A +-=-成立的充分必要条件是BA AB =.10.设齐次线性方程组01=⨯⨯n n m X A ,且r (A ) = r < n ,则其一般解中的自由未知量的个数等于n -r三、微积分计算题11.设xx y -+=2tan 3,求y d . 12.计算积分 x x x d 2cos 20⎰π.四、代数计算题13.设矩阵A =⎥⎥⎥⎦⎤⎢⎢⎢⎣⎡---112401211,计算1)(-+A I .14.求线性方程组⎪⎩⎪⎨⎧=++-=++-=+-5532342243214321421x x x x x x x x x x x 的一般解. 五、应用题15.某厂生产某种产品q 件时的总成本函数为C (q ) = 20+4q +0.01q 2(元),单位销售价格为p = 14-0.01q (元/件),试求:(1)产量为多少时可使利润达到最大?(2)最大利润是多少?三、微积分计算题11.解:因)(2ln 2)(cos 1332'-+'='-x x x y x 2ln 2cos 3322xx x --=所以x xx y x d )2ln 2cos 3(d 322--=12.解:x x x d 2cos 20⎰π=22sin 21πx x -x x d 2sin 2120⎰π=22cos 41πx =21-四、线性代数计算题13.解:因为⎥⎥⎥⎦⎤⎢⎢⎢⎣⎡-=+012411210A I 且 (I +AI )=⎥⎥⎥⎦⎤⎢⎢⎢⎣⎡---→⎥⎥⎥⎦⎤⎢⎢⎢⎣⎡-12000101083021041110001000101241121⎥⎥⎥⎦⎤⎢⎢⎢⎣⎡----→⎥⎥⎥⎦⎤⎢⎢⎢⎣⎡---→12312411220001000112300101120021021⎥⎥⎥⎦⎤⎢⎢⎢⎣⎡----→21123124112100010001所以 1)(-+A I =⎥⎥⎥⎦⎤⎢⎢⎢⎣⎡----2112312411214.解:将方程组的增广矩阵化为阶梯形⎥⎥⎥⎦⎤⎢⎢⎢⎣⎡---→⎥⎥⎥⎦⎤⎢⎢⎢⎣⎡---131101311021011551323412121011⎥⎥⎥⎦⎤⎢⎢⎢⎣⎡-----→⎥⎥⎥⎦⎤⎢⎢⎢⎣⎡--→000001311012101000001311021011 故方程组的一般解为:1342342131x x x x x x =++⎧⎨=+-⎩(x 3,4x 是自由未知量〕五、应用题15.解:(1)由已知201.014)01.014(q q q q qp R -=-== 利润函数22202.0201001.042001.014q q q q q q C R L --=----=-= 则q L 04.010-=',令004.010=-='q L ,解出唯一驻点250=q .因为利润函数存在着最大值,所以当产量为250件时可使利润达到最大,(2)最大利润为1230125020250025002.02025010)250(2=--=⨯--⨯=L (元)经济数学基础一、单项选择 1.C 2.D 3.B 4.A 5.D 1.下列函数中为奇函数的是( C ).(C) 11ln+-=x x y 2.设需求量q 对价格p 的函数为p p q 23)(-=,则需求弹性为=p E3.下列无穷积分中收敛的是(B) ⎰∞+12d 1x x 4.设A 为23⨯矩阵,B 为32⨯矩阵,则下列运算中( A )可以进行.(A) AB5.线性方程组⎩⎨⎧=+=+012121x x x x 解的情况是 D) 无解二、填空题 6.函数24)(2--=x x x f 的定义域是),2(]2,(∞+--∞7.函数1()1e xf x =-的间断点是0=x 8.若cx F x x f +=⎰)(d )(,则=⎰--x f x x d )e (e c F x +--)e (. 9.设⎥⎥⎥⎦⎤⎢⎢⎢⎣⎡-=13230201aA ,当=a 0 时,A 是对称矩阵10.若线性方程组⎩⎨⎧=+=-002121x x x x λ有非=三、微积分计算题1.设x y x5cos 3+=,求y d . 2. 计算定积分⎰e1d ln x x x .四、线性代数计算题11. 设矩阵⎥⎥⎥⎦⎤⎢⎢⎢⎣⎡=⎥⎥⎥⎦⎤⎢⎢⎢⎣⎡--=211010,211001B A ,求1T )(-A B .设矩阵⎥⎥⎥⎦⎤⎢⎢⎢⎣⎡=⎥⎥⎥⎦⎤⎢⎢⎢⎣⎡--=211010,211001B A ,求1T )(-A B .12.求齐次线性方程组⎪⎩⎪⎨⎧=-+-=+-+-=-+03520230243214321431x x x x x x x x x x x 的一般解.五、应用题15.生产某产品的总成本为x x C +=3)((万元),其中x 为产量,单位:百吨.边际收入为x x R 215)(-='(万元/百吨),求:(1) 利润最大时的产量; (2) 从利润最大时的产量再生产1百吨,利润有什么变化?三、微积分计算题)11. 解:由微分四则运算法则和微分基本公式)(cos d )3(d )cos 3(d d 55x x y x x +=+=)(cos d cos 5d 3ln 34x x x x +=x x x x x d cos sin 5d 3ln 34-=x x x x d )cos sin 53ln 3(4--=12. 解:由分部积分法得⎰⎰-=e 12e12e1)d(ln 21ln 2d ln x x x x x x x 414e d 212e 2e 12+=-=⎰x x四、线性代数计算题13. 解:因为⎥⎦⎤⎢⎣⎡--=⎥⎥⎥⎦⎤⎢⎢⎢⎣⎡--⎥⎦⎤⎢⎣⎡=3121211001211100T A B 所以由公式⎥⎦⎤⎢⎣⎡--=⎥⎦⎤⎢⎣⎡---⨯-⨯-=-11231123)1(23)1(1)(1T A B 14. 解:因为系数矩阵 ⎥⎥⎥⎦⎤⎢⎢⎢⎣⎡----→⎥⎥⎥⎦⎤⎢⎢⎢⎣⎡-----=111011101201351223111201A ⎥⎥⎥⎦⎤⎢⎢⎢⎣⎡--→000011101201 所以一般解为⎩⎨⎧-=+-=4324312x x x x x x (其中3x ,4x 是自由未知量) 五、应用题)15.解:(1)因为边际成本1)(='x C ,边际利润'='-'L x R x C x ()()()x x 2141215-=--=令'=L x ()0 得 7=x (百吨)又7=x 是L x ()的唯一驻点,根据问题的实际意义可知L x ()存在最大值,故7=x 是L x ()的最大值点,即当产量为7(百吨)时,利润最大. 16.x x x x L L d )214(d )(8787⎰⎰-='=1)14(872-=-=x x即从利润最大时的产量再生产1百吨,利润将减少1万元. 1 经济数学基础09秋模拟试卷一、单项选择题1.函数()1lg +=x xy 的定义域是( D ). D .1->x 且0≠x2.函数sin ,0(),0xx f x x k x ⎧≠⎪=⎨⎪=⎩ 在x = 0处连续,则k = ( C .1 3.下列不定积分中,常用分部积分法计算的是( C .⎰x x x d 2sin4.设A 为23⨯矩阵,B 为32⨯矩阵,则下列运算中( A )可以进行A .AB5. 设线性方程组b AX =的增广矩阵为⎥⎥⎥⎥⎦⎤⎢⎢⎢⎢⎣⎡------124220621106211041231,则此线性方程组的一般解中自由未知量的个数为( B .2 二、填空题( 6.设函数2)1(2++=+x x x f ,则42+x7.设某商品的需求函数为2e 10)(p p q -=,则需求弹性=p E 2p - 8.积分 =+⎰-1122d )1(x x x0 .9.设B A ,均为n 阶矩阵,)(B I -可逆,则矩阵方程X BX A =+的解X =1)(--B I . 10. 已知齐次线性方程组O AX =中A 为53⨯矩阵,则≤)(A r 3 . 三、微积分计算题11.设x x y x +=cos e ,求y d . 12.计算积分 ⎰x x x d 1sin 2.四、代数计算题 13.设矩阵A =⎥⎥⎥⎦⎤⎢⎢⎢⎣⎡----121511311,计算 1)(-+A I . 14.求线性方程组⎪⎩⎪⎨⎧=-+-=-+-=--1261423623352321321321x x x x x x x x x 的一般解.五、应用题15.已知某产品的边际成本为34)(-='q q C (万元/百台),q 为产量(百台),固定成本为18(万元),求最低平均成本. 三、微积分计算题11.解:212co s 23co s 23)sin (e)()(cos ex x x x y xx+-='+'='x x x y x d )e sin 23(d 2cos 21-=12.解: c x x x x xx +=-=⎰⎰1cos )1(d 1sin d 1sin2四、线性代数计算题13.解:因为 ⎥⎥⎥⎦⎤⎢⎢⎢⎣⎡-=+021501310A I 且⎥⎥⎥⎦⎤⎢⎢⎢⎣⎡---→⎥⎥⎥⎦⎤⎢⎢⎢⎣⎡-110520001310010501100021010501001310⎥⎥⎥⎦⎤⎢⎢⎢⎣⎡-→11210000131001501⎥⎥⎥⎦⎤⎢⎢⎢⎣⎡-----→1121003350105610001 所以⎥⎥⎥⎦⎤⎢⎢⎢⎣⎡-----=+-1123355610)(1A I 14.解:因为增广矩阵⎥⎥⎥⎦⎤⎢⎢⎢⎣⎡----→⎥⎥⎥⎦⎤⎢⎢⎢⎣⎡------=18181809990362112614236213352A ⎥⎥⎥⎦⎤⎢⎢⎢⎣⎡--→000011101401 所以一般解为 ⎩⎨⎧+=+=1143231x x x x (其中3x 是自由未知量) 五、应用15.解:因为总成本函数为 ⎰-=q q q C d )34()(=c q q +-322 当q = 0时,C (0)= 18,得 c =18,即C (q )=18322+-q q 又平均成本函数为 qq q q C q A 1832)()(+-== 令 0182)(2=-='qq A , 解得q = 3(百台) 该问题确实存在使平均成本最低的产量. 所以当x = 3时,平均成本最低. 最底平均成本为9318332)3(=+-⨯=A (万元/百台)经济数学基础09秋模拟试卷2一、单项选择题1.下列各函数对中,( D )中的两个函数相等.D .x x x f 22cos sin )(+=,1)(=x g2.当+∞→x 时,下列变量为无穷小量的是( C .21e x -3.若c x x f xx+-=⎰11e d e )(,则f (x ) =( C .21x4.设A 是可逆矩阵,且A A B I+=,则A -=1( A .B 5.设线性方程组b X A n m =⨯有无穷多解的充分必要条件是( B .nA r A r <=)()(二、填空题6.已知某商品的需求函数为q = 180 – 4p ,其中p 为该商品的价格,则该商品的收入函数R (q ) =42+x7.曲线y =)1,1(处的切线斜率是2p -8.=+⎰x x xd )1ln(d d e12 09.设A 为n 阶可逆矩阵,则r (A )=1)(--B I10.设线性方程组b AX =,且⎥⎥⎥⎦⎤⎢⎢⎢⎣⎡+-→010********1t A ,则t 3时,方程组有唯一解. 三、微积分计算题11.设x y x 5sin cos e +=,求y d . 12.计算积分 ⎰e1d ln x x x .四、代数计算题13.设矩阵 A =⎥⎦⎤⎢⎣⎡--021201,B =⎥⎥⎥⎦⎤⎢⎢⎢⎣⎡142136,计算(AB )-1. 14.求线性方程组⎪⎩⎪⎨⎧=-+-=+-+-=-+03520230243214321431x x x x x x x x x x x 的一般解.五、应用题15.设生产某种产品q 个单位时的成本函数为:qq q C 625.0100)(2++=(万元),求:(1)当10=q 时的总成本、平均成本和边际成本;(2)当产量q 为多少时,平均成本最小?三、微积分计算题 四、解:212cos 23cos 23)sin (e)()(cos ex x x x y xx+-='+'='x x x y x d )e sin 23(d 2cos 21-=12.解: c x x x x x x +=-=⎰⎰1cos )1(d 1sin d 1sin2四、线性代数计算题13.解:因为 ⎥⎥⎥⎦⎤⎢⎢⎢⎣⎡-=+021501310A I 且 ⎥⎥⎥⎦⎤⎢⎢⎢⎣⎡---→⎥⎥⎥⎦⎤⎢⎢⎢⎣⎡-110520001310010501100021010501001310 ⎥⎥⎥⎦⎤⎢⎢⎢⎣⎡-→112100001310010501⎥⎥⎥⎦⎤⎢⎢⎢⎣⎡-----→1121003350105610001 所以⎥⎥⎥⎦⎤⎢⎢⎢⎣⎡-----=+-1123355610)(1A I 14.解:因为增广矩阵 ⎥⎥⎥⎦⎤⎢⎢⎢⎣⎡----→⎥⎥⎥⎦⎤⎢⎢⎢⎣⎡------=18181809990362112614236213352A ⎥⎥⎥⎦⎤⎢⎢⎢⎣⎡--→000011101401 所以一般解为 ⎩⎨⎧+=+=1143231x x x x (其中3x 是自由未知量) 五、应用题15.解:因为总成本函数为⎰-=q q q C d )34()(=c q q +-322 当q = 0时,C (0)= 18,得 c =18,即 C (q )=18322+-q q 又平均成本函数为q q q q C q A 1832)()(+-==令 0182)(2=-='qq A , 解得q = 3(百台) 该问题确实存在使平均成本最低的产量. 所以当x = 3时,平均成本最低. 最底平均成本为9318332)3(=+-⨯=A (万元/百台)经济数学基础期末模拟练习(二) 一、单项选择题 1.B 2.C 3.D 4.C 5.B 6.A 7.D 8.C 9.B10.A1.下列各对函数中,( )中的两个函数相同. (B) 1)(,cos sin )(22=+=x g x x x f2.当1→x 时,下列变量中的无穷小量是 (C) 1122+-x x3.若)(x f 在点0x 有极限,则结论( )成立 (D) )(x f 在点0x 可能没有定义4.下列函数中的单调减函数是( ) (C) x y -=5.下列等式中正确的是( ) (B) )cos d(d sin x x x -=6.若F x ()是f x ()的一个原函数,则=⎰--x f x x d )e (e ( ).(A) c F x +--)e (7.设A B ,为随机事件,下列等式成立的是( ). (D) )()()(AB P A P B A P -=- 8.已知)2,2(~2N X ,若)1,0(~N b aX +,那么( ). (C) 1,21-==b a 9.设A 是n s ⨯矩阵,B 是m s ⨯矩阵,则下列运算中有意义的是( (B) T AB 10.n 元线性方程组A Xb =有解的充分必要条件是( ). (A) 秩=A 秩)(A 二、填空题11.2sin 2+x 12. 减少 13.x cot -14.7.1 15.1 11.若函数2)(2+=x x f ,x x g sin )(=,则=))((x g f 12.函数x x f ln )(-=在区间),0(∞+内单调13.=⎰x xd sin 12. 14.设随机变量⎥⎦⎤⎢⎣⎡3.01.06.0210~X ,则=+)1(X E . 15.当λ=时,方程组⎩⎨⎧-=--=+112121x x x x λ有无穷多解.三、极限与微分计算题16.求极限xx x 21sin 1lim 0-+→.17.由方程x y x y ln sin =+确定y是x 的隐函数,求y d .四、积分计算18.计算积分⎰41d ex xx19.求微分方程xx x y y sin =+'的通解. 五、概率计算题 20.已知5.0)(=A P ,3.0)(=B A P ,求)(B A P +.21.设随机变量)9,3(~N X ,求)120(<≤X P .(已知ΦΦ().,().108413209772==,Φ().309987=) 六、代数计算题 22.已知⎥⎥⎥⎦⎤⎢⎢⎢⎣⎡=⎥⎥⎥⎦⎤⎢⎢⎢⎣⎡=244213001,543322011B A ,求1)(--B A . 23.求解线性方程组⎪⎩⎪⎨⎧=++-=++-=+-5532342243214321421x x x x x x x x x x x七、应用题24.厂家生产一种产品的需求函数为p q 80720-=(单位:件)而生产q 件该产品时的成本函数为1604)(+=q q C (单位:元)问生产多少件产品时厂家获得的利润最大?八、证明题25.设A 为矩阵,证明T AA 是对称矩阵.三、极限与微分计算题 16. 解:利用重要极限的结论和极限运算法则得)1sin 1(2)1sin 1)(1sin 1(lim21sin 1lim00++++-+=-+→→x x x x x x x x )1sin 1(2sin lim 0++=→x x x x 41= 17. 解:等式两端同时求微分得 左)sin (d d )sin (d y x y y x y +=+=y y x x y y y x x y y d cos d sin d )(sin d d sin d ++=++= 右x xx d 1)(ln d ==由此得x x y y x x y y d 1d cos d sin d =++ 整理得 x yx yx y d cos 1sin 1d +-= 18. 解:利用积分的性质和凑微分法得⎰⎰=4141)(d 2e d ex x xxx⎰==21212ed 2e u uu )e 2(e 2-=19. 解:方程是一阶线性微分方程,xx P 1)(=,积分因子为x x xx ==⎰ln d 1e e原方程改为x y y x sin =+' 上式左端为)('xy ,两端同时积分得c x x x xy +-==⎰cos d sin即微分方程的通解为xcx x y +-=cos 其中c 为任意常数. 五、概率计算题 20. 解:由事件的关系得B A A B A +=+且A 与B A 互斥,再由加法公式得)()()(B A P A P B A P +=+8.03.05.0=+= 21. 解:对X 做变换得出)1,0(~33N X -,于是 )3331()331233330()120(<-≤-=-<-≤-=<≤X P X P X P)]1(1[)3()1()3(ΦΦΦΦ--=--=84.018413.09987.0=-+=六、代数计算题22. 解:⎥⎥⎥⎦⎤⎢⎢⎢⎣⎡--=-301111010B A 利用初等行变换得⎥⎥⎥⎦⎤⎢⎢⎢⎣⎡-----→⎥⎥⎥⎦⎤⎢⎢⎢⎣⎡--110210001010010111100301010111001010 ⎥⎥⎥⎥⎦⎤⎢⎢⎢⎢⎣⎡----→⎥⎥⎥⎦⎤⎢⎢⎢⎣⎡----→2121211001010010111111200001010010111 ⎥⎥⎥⎥⎥⎦⎤⎢⎢⎢⎢⎢⎣⎡--→⎥⎥⎥⎥⎥⎦⎤⎢⎢⎢⎢⎢⎣⎡---→212121100001010212323001212121100001010212321011即 ⎥⎥⎥⎥⎥⎦⎤⎢⎢⎢⎢⎢⎣⎡--=--212121001212323)(1B A 23. 解:将线性方程组的增广矩阵化为行简化阶梯形矩阵⎥⎥⎥⎦⎤⎢⎢⎢⎣⎡---→⎥⎥⎥⎦⎤⎢⎢⎢⎣⎡---=131101311021011551323412121011A ⎥⎥⎥⎦⎤⎢⎢⎢⎣⎡-----→⎥⎥⎥⎦⎤⎢⎢⎢⎣⎡--→000001311012101000001311021011 线性方程组的一般解为 ⎩⎨⎧-+=++=1312432431x x x x x x (其中43,x x 是自由未知量)24. 解:由已知条件可得809q p -=809)(2q q pq q R -== 又由已知条件得1604)(+=q q C进一步得到160805)1604(809)()()(22--=+--=-=q q q q q q C q R q L对利润函数求导得405)(qq L -=' 令'=Lq ()0得200=q ,在定义域内只有一个驻点,故为最值点.即生产200件产品时厂家获得的利润最大. 八、证明题25. 证:由转置的性质得T T T T T T AA A A AA ==)()( 由定义可知T AA 是对称矩阵. 中央广播电视大学2018-2018学年度第二学期 经济数学基础 试卷一、单项选择题二、填空题三、微积分计算题四、线性代数计算题五、应用题一、单项选择题(每小题3分.本题共15分)1.D 2.B 3.A 4.C 5.A。
一、选择题: 1.|5|lg 1)(-=x x f 的定义域是( ));,5()5,)((+∞-∞ A );,6()6,)((+∞-∞ B);,4()4,)((+∞-∞ C ).,6()6,5()5,4()4,)((+∞-∞ D2.下列关系中,是复合函数的是( ).cos )(;2sin )(;2)(;sin )(2x y D x y C e x y B x x y A x =-==+=3. 设,1x )f(e x +=则)(x f =( )(A )C x ++ln 1 (B )C x x +ln (C)C x x ++22(D)C x x x +-ln . 4. 如果函数)(x f 的定义域为[1,2],则函数)()(2x f x f +的定义域是( )]2,1[]1,2)[(]2,2)[(]2,1)[(]2,1)[( ---D C B A二、填空题: 1 设xxx f +=1)(,则)]([x f f =________________. 2.)5ln()(+=x x f 的连续区域是____________________. 3. 函数21arccos-=x y 的定义域是________________. 4. 设)2ln(1)(++=x x f ,函数定义域为_______________.5. =+x x arccos arcsin ._________________6. )5ln()(+=x x f 的连续区域是____________________.7.函数21arccos-=x y 的定义域是________________.一、选择题2.=--→2|2|lim2x x x ( )(A) -1 (B) 1 (C)∞ (D) 不存在.5.=→xx x ||lim0( ))()(1)(1)(D C B A ∞-不存在.6.=--→1)1sin(lim1x x x ( )(A )1 (B )2 (C)21(D) 0 . 7. 函数)(x f 在0x x =处有定义是当0x x →时)(x f 有极限的( )(A )必要条件 (B )充分条件 (C)充要条件 (D) 无关条件.8.=→xx x 1sinlim 0( ) (A )0 (B )1 (C) 2 (D)不存在10.=--→1)1sin(lim21x x x ( ) (A )1 (B )2 (C)21(D) 0 .二、填空题:1. 当_______→x 时,函数2)1(1-=x y 是无穷大量. 3. 设函数211xy -=,则间断点及其类型是._________________ 4.若432lim23=-+-→x kx x x ,则_______=k . 5.____________11lim =⎪⎭⎫⎝⎛-∞→xx x .6.设⎪⎩⎪⎨⎧≥+-<=02302sin )(2x kx x x xx x f (其中k 为常数),则_______=k 时,函数)(x f 在其定义域内连续. 7.____________1sinlim 0=→xx x .. 8.____________arctan lim =+∞→x x .11 =--→2|2|lim2x x x ._________________12. ____________21lim =⎪⎭⎫⎝⎛+∞→xx x13.____________x1cosx lim 2x =→ 三、计算题: 3.22234lim35n n n n n →∞-++-. 6.2102lim 2xx x -→-⎛⎫⎪⎝⎭. 7.)21812(lim 32xx x ---→ 8. 求函数23122+--=x x x y 的间断点,并判断其类型9. 0sin 3lim sin 2x x x →. 10.21sin(1)lim 1x x x →--.四、证明题:1.证明:方程135=-x x 在区间)2,1(上至少存在一个实根. 2证明135=-x x 在1和3之间至少存在一个实根。
数学微积分复习题集及答案导言微积分是数学的一个重要分支,广泛应用于物理、工程、经济等领域。
为了帮助学生复习微积分知识,本文提供了一套包括复习题和答案的微积分复习题集。
通过解答这些问题,学生可以巩固对微积分的理解,提高解题能力和应用能力。
一、求导篇1. 求函数f(x) = 3x^2 + 2x + 1的导函数f'(x)。
答案:f'(x) = 6x + 2。
2. 求函数g(x) = sin(x) + cos(x)的导函数g'(x)。
答案:g'(x) = cos(x) - sin(x)。
3. 求函数h(x) = ln(x^2)的导函数h'(x)。
答案:h'(x) = 2/x。
二、定积分篇4. 求函数f(x) = 2x^2 + 3x + 1在区间[1, 3]上的定积分∫[1,3] f(x) dx。
答案:∫[1,3] f(x) dx = 26/3。
5. 求函数g(x) = e^x的不定积分F(x)。
答案:F(x) = e^x + C,其中C为任意常数。
6. 求函数h(x) = sin(x)在区间[0, π]上的定积分∫[0,π] sin(x) dx。
答案:∫[0,π] sin(x) dx = 2。
三、微分方程篇7. 求微分方程y' = 2x的通解。
答案:y = x^2 + C,其中C为任意常数。
8. 求微分方程y' = y的通解。
答案:y = Ce^x,其中C为任意常数。
9. 求微分方程y'' + y = 0的通解。
答案:y = A*sin(x) + B*cos(x),其中A和B为任意常数。
四、面积与体积篇10. 求曲线y = x^2和直线y = 2x的交点坐标,并求由该曲线、直线以及x轴所围成的面积。
答案:交点坐标为(0, 0)和(2, 4),所围成的面积为8/3。
11. 求曲线y = sin(x)在区间[0, π]上绕x轴旋转一周所形成的体积。
经济数学微积分试题下面是一份经济数学微积分试题,共计1500字:一、选择题(共10小题,每小题2分,共20分)1. 设函数f(x) = 3x^2 + 2x - 1,求f(2)的值。
A. 11B. 17C. 19D. 232. 设函数g(x) = e^x - 2,求g(0)的值。
A. -1B. 0C. 1D. 23. 已知函数y = x^3 - 2x + 1,求y在点(1,0)处的切线方程。
A. y = x - 1B. y = x - 2C. y = -x + 1D. y = -x + 24. 设函数f(x) = x^2 - x,求f'(1)的值。
A. -1B. 0C. 1D. 25. 已知函数y = e^x + x,求y'的值。
A. e^x + 1B. e^x - 1C. e^x + xD. e^x - x6. 设函数g(x) = ln(x^2 + 1),求g'(1)的值。
A. 1B. 2C. ln2D. ln37. 已知函数f(x) = 2x^3 + 3x^2 - 4x + 1,求f''(2)的值。
A. -8B. -4C. 0D. 88. 设函数h(x) = xlnx,求h'(e)的值。
A. ln2B. eC. 1D. 29. 已知函数f(x) = sin(x) - cos(x),求f'(π/4)的值。
A. 0B. 1C. -1D. 2)10. 设函数g(x) = x^3 - x^2 + x,求g''(1)的值。
A. 0B. 1C. 2D. 3二、计算题(共3小题,每小题10分,共30分)1. 求函数f(x) = x^3 - 3x^2 + 2x - 1的导函数f'(x)和二阶导函数f''(x)。
2. 求曲线y = x^2 - 2x的切线方程,并求该切线与x轴的交点。
3. 已知函数y = e^-x - x,求解方程y' = 0的解,并判断此解为极大值点还是极小值点。
1经济数学基础综合练习及参考答案第一部分 微分学一、单项选择题 1.函数()1lg +=x xy 的定义域是(1->x 且0≠x). .2.若函数)(x f 的定义域是[0,1],则函数)2(xf 的定义域是(]0,(-∞ ).3.下列各函数对中,( x x x f 22cos sin )(+=,1)(=x g )中的两个函数相等.4.设11)(+=xx f ,则))((x f f =(11++xx).5.下列函数中为奇函数的是( 11ln+-=x x y).6.下列函数中,()1ln(-=x y )不是基本初等函数.7.下列结论中,( 奇函数的图形关于坐标原点对 )是正确的. 8. 当x →0时,下列变量中(xx 21+ )是无穷大量. 9. 已知1tan )(-=xxx f ,当( x →0 )时,)(x f 为无穷小量.10.函数sin ,0(),0xx f x xk x ⎧≠⎪=⎨⎪=⎩ 在x = 0处连续,则k = ( 1).11. 函数⎩⎨⎧<-≥=0,10,1)(x x x f 在x = 0处(右连续 ).12.曲线11+=x y 在点(0, 1)处的切线斜率为( 21- ).13. 曲线x y sin =在点(0, 0)处的切线方程为(y =x ).14.若函数x x f =)1(,则)(x f '=(-21x ).15.若xx x f c o s )(=,则='')(x f ( x x x cos s i n 2-- ).16.下列函数在指定区间(,)-∞+∞上单调增加的是(e x).17.下列结论正确的有( x 0是f (x )的极值点,且f '(x 0)存在,则必有f '(x 0) = 0 ).18. 设需求量q 对价格p 的函数为p p q 23)(-=,则需求弹性为E p =(--pp32 ).二、填空题1.函数⎩⎨⎧<≤-<≤-+=20,105,2)(2x x x x x f 的定义域是[-5,2]2.函数xx x f --+=21)5ln()(的定义域是(-5, 2 )3.若函数52)1(2-+=+x x x f ,则=)(x f 62-x .4.设函数1)(2-=u u f ,xx u 1)(=,则=))2((u f 43-.5.设21010)(x x x f -+=,则函数的图形关于 y 轴对称.6.已知生产某种产品的成本函数为C (q ) = 80 + 2q ,则当产量q = 50时,该产品的平均成本为3.6 .7.已知某商品的需求函数为q = 180 – 4p ,其中p 为该商品的价格,则该商品的收入函数R (q ) = 45q – 0.25q 2 . 8. =+∞→xx x x sin lim1 .9.已知x x x f sin 1)(-=,当0→x 时,)(x f 为无穷小量.10. 已知⎪⎩⎪⎨⎧=≠--=1111)(2x a x x x x f ,若f x ()在),(∞+-∞内连续,则=a 2 .11. 函数1()1e xf x =-的间断点是0x =.12.函数)2)(1(1)(-+=x x x f 的连续区间是)1,(--∞),2(∞+.)1处的切线斜率是(1)0.5y '=14.函数y = x 2 + 1的单调增加区间为(0, +∞)15.已知x x f 2ln )(=,则[f =0 .16.函数y x =-312()的驻点是x =1.17.需求量q 对价格p 的函数为2e 100)(pp q -⨯=,则需求弹性为E p =2p-.18.已知需求函数为pq 32320-=,其中p 为价格,则需求弹性E p =10-p p.三、计算题(答案在后面)1.423lim222-+-→x x x x 2.231lim21+--→x x x x 3.x → 4.2343limsin(3)x x x x →-+- 52)1tan(lim 21-+-→x x x x 6.))32)(1()23()21(lim 625--++-∞→x x x x x x 7.已知y xxx cos 2-=,求)(x y ' . 8.已知)(x f x x x ln sin 2+=,求)(x f ' . 9.已知x y cos 25=,求)2π(y ';10.已知y =32ln x ,求y d . 11.设x y x5sin cos e +=,求y d .12.设xx y -+=2tan 3,求y d .13.已知2sin 2cos x y x -=,求)(x y ' .14.已知xx y 53e ln -+=,求)(x y ' . 15.由方程2e e )1ln(=++xy x y 确定y 是x 的隐函数,求)(x y '.16.由方程0e sin =+yx y 确定y 是x 的隐函数,求)(x y '.17.设函数)(x y y =由方程y x y e 1+=确定,求0d d =x xy.18.由方程x y x y =++e )cos(确定y是x 的隐函数,求y d .四、应用题(答案在后面) 1.设生产某种产品x个单位时的成本函数为:x x x C 625.0100)(2++=(万元),求:(1)当10=x 时的总成本、平均成本和边际成本;(2)当产量x为多少时,平均成本最小?2.某厂生产一批产品,其固定成本为2000元,每生产一吨产品的成本为60元,对这种产品的市场需求规律为q p =-100010(q 为需求量,p 为价格).试求:(1)成本函数,收入函数; (2)产量为多少吨时利润最大?3.设某工厂生产某产品的固定成本为50000元,每生产一个单位产品,成本增加100元.又已知需求函数p q 42000-=,其中p 为价格,q 为产量,这种产品在市场上是畅销的,试求:(1)价格为多少时利润最大?(2)最大利润是多少? 4.某厂生产某种产品q 件时的总成本函数为C (q ) = 20+4q +0.01q 2(元),单位销售价格为p = 14-0.01q (元/件),试求:(1)产量为多少时可使利润达到最大?(2)最大利润是多少?5.某厂每天生产某种产品q件的成本函数为9800365.0)(2++=q q q C (元).为使平均成本最低,每天产量应为多少?此时,每件产品平均成本为多少? 6.已知某厂生产q件产品的成本为C q q q ()=++25020102(万元).问:要使平均成本最少,应生产多少件产品? 三、极限与微分计算题(答案) 1.解423lim222-+-→x x x x =)2)(2()1)(2(lim2+---→x x x x x =)2(1lim2+-→x x x = 412.解:231lim21+--→x x x x =)1)(2)(1(1lim 1+---→x x x x x=21)1)(2(1lim1-=+-→x x x3.解l ix →0x → =xx x x x 2sin lim)11(lim 00→→++=2⨯2 = 44.解 2343lim sin(3)x x x x →-+-=3(3)(1)lim sin(3)x x x x →---=333limlim(1)sin(3)x x x x x →→-⨯--= 25.解)1)(2()1tan(lim2)1tan(lim121-+-=-+-→→x x x x x x x x1)1tan(lim21lim11--⋅+=→→x x x x x 31131=⨯= 6.解))32)(1()23()21(lim 625--++-∞→x x x x x x =))32)(11()213()21(lim 625xx x x xx --++-∞→=2323)2(65-=⨯-7.解:2y '(x )=)cos 2('-xx x =2cos sin 2ln 2x xx x x --- =2cos sin 2ln 2x xx x x ++8.解xx x x f x x 1cos 2s i n 2ln 2)(++⋅=' 9.解 因为5ln 5sin 2)cos 2(5ln 5)5(cos 2cos 2cos 2x x x x x y -='='='所以5ln 25ln 52πsin 2)2π(2πcos2-=⋅-='y10.解 因为 )(ln )(ln 3231'='-x x y331ln 32)(ln 32xx x x ==- 所以x xx y d ln 32d 3=11.解 因为)(cos cos 5)(sin e4sin '+'='x x x y xx x x xsin cos 5cos e4sin -=所以x x x x y xd )sin cos 5cos e(d 4sin -=12.解 因为)(2ln 2)(cos 1332'-+'='-x x xy x2ln 2cos 3322x xx--=所以 x xx y x d )2ln 2cos 3(d 322--=13.解 )(cos )2(2sin )(22'-'-='x x x y x x2cos 22ln 2sin 2x x x x --=14.解:)5(e )(ln ln 3)(52'-+'='-x x x x y xx xx525e ln 3--=15.解 在方程等号两边对x 求导,得 )e ()e (])1ln([2'='+'+xy x y0)(e 1)1ln(='+++++'y x y xyx y xyxy xyy xyy x x e 1]e )1[ln(-+-='++故]e )1)[ln(1(e )1(xyxyx x x y x y y +++++-='16.解 对方程两边同时求导,得0e e cos ='++'y x y y yyyyy x y e)e (cos -='+)(x y '=yyx y e cos e +-.17.解:方程两边对x 求导,得 y x y yy '+='e eyy x y e1e-='当0=x 时,1=y所以,d d =x xye e 01e 11=⨯-=18.解 在方程等号两边对x 求导,得)()e (])[cos('='+'+x y x y1e ]1)[sin(='+'++-y y y x y)sin (1)]sin(e [y x y y x y++='+-)sin(e )sin(1y x y x y y +-++='故x y x y x y yd )sin(e )sin(1d +-++=四、应用题(答案)1.解(1)因为总成本、平均成本和边际成本分别为:x x x C 625.0100)(2++=625.0100)(++=x xx C ,65.0)(+='x x C所以,1851061025.0100)10(2=⨯+⨯+=C5.1861025.010100)10(=+⨯+=, 116105.0)10(=+⨯='C(2)令25.0100)(2=+-='xx ,得20=x (20-=x 舍去)因为20=x 是其在定义域内唯一驻点,且该问题确实存在最小值,所以当=x 20时,平均成本最小.2.解 (1)成本函数C q ()= 60q +2000.因为 qp =-100010,即p q =-100110, 所以 收入函数R q ()=p ⨯q =(100110-q )q =1001102q q -. (2)因为利润函数L q ()=R q ()-C q ()=1001102qq --(60q +2000)= 40q -1102q -2000 且'L q ()=(40q -1102q -2000')=40-0.2q令'L q ()= 0,即40- 0.2q = 0,得q = 200,它是L q ()在其定义域内的唯一驻点. 所以,q = 200是利润函数L q ()的最大值点,即当产量为200吨时利润最大.3.解 (1)C (p ) = 50000+100q = 50000+100(2000-4p ) =250000-400pR (p ) =pq = p (2000-4p )= 2000p -4p 2利润函数L (p ) = R (p ) - C (p ) =2400p -4p 2 -250000,且令)(p L '=2400 – 8p = 0得p =300,该问题确实存在最大值. 所以,当价格为p =300元时,利润最大.(2)最大利润1100025000030043002400)300(2=-⨯-⨯=L (元).4.解 (1)由已知201.014)01.014(q q q q qp R -=-==利润函数22202.0201001.042001.014q q q q q q C R L --=----=-=则q L 04.010-=',令004.010=-='q L ,解出唯一驻点250=q .因为利润函数存在着最大值,所以当产量为250件时可使利润达到最大,(2)最大利润为1230125020250025002.02025010)250(2=--=⨯--⨯=L (元)5. 解 因为 C q ()=C q q ()=05369800.q q++(q >0)'C q ()=(.)05369800q q++'=0598002.-q令'C q ()=0,即0598002.-q =0,得q 1=140,q 2=-140(舍去).q 1=140是C q ()在其定义域内的唯一驻点,且该问题确实存在最小值. 所以q 1=140是平均成本函数C q ()的最小值点,即为使平均成本最低,每天产量应为140件. 此时的平均成本为C ()140=05140369800140.⨯++=176 (元/件) 6.解 (1) 因为 C q ()=C q q ()=2502010q q ++'C q ()=()2502010qq ++'=-+2501102q令'C q ()=0,即-+=2501100q ,得q 1=50,q 2=-50(舍去),q 1=50是C q ()在其定义域内的唯一驻点.所以,q 1=50是q ()的最小值点,即要使平均成本最少,应生产50件产品.。
微积分试题及答案一、选择题1. 函数 \( f(x) = x^2 \) 在 \( x = 2 \) 处的导数是:A. 0B. 2C. 4D. 8答案:C2. 定积分 \( \int_{0}^{1} x dx \) 的值是:A. 0B. 0.5C. 1D. 2答案:B二、填空题1. 若 \( f(x) = 3x^3 - 2x^2 + x \),则 \( f'(x) \) 等于__________。
答案:\( 9x^2 - 4x + 1 \)2. 曲线 \( y = x^3 \) 与直线 \( y = 6x \) 相切的点的横坐标是__________。
答案:2三、简答题1. 请说明如何求函数 \( f(x) = \ln(x) \) 的导数。
答案:函数 \( f(x) = \ln(x) \) 的导数可以通过对数函数的导数公式求得,即 \( f'(x) = \frac{1}{x} \)。
2. 计算定积分 \( \int_{1}^{e} e^x dx \)。
答案:首先找到 \( e^x \) 的原函数,即 \( e^x \) 本身。
然后根据定积分的计算法则,代入上下限得到 \( e^e - e \)。
四、计算题1. 求曲线 \( y = x^2 + 3x - 2 \) 在 \( x = -1 \) 处的切线斜率及切点坐标。
答案:首先求导得到 \( y' = 2x + 3 \)。
将 \( x = -1 \) 代入得到切线斜率 \( m = 1 \)。
切点坐标为 \( (-1, 0) \)。
2. 计算由曲线 \( y = x^2 \),直线 \( y = 4x \) 及 \( x \) 轴所围成的平面图形的面积。
答案:首先求出两曲线的交点,然后计算定积分 \( \int_{0}^{2} (4x - x^2) dx \),结果为 \( \frac{16}{3} \)。
五、证明题1. 证明 \( \frac{d}{dx} [(x^2 + 1)^5] = 10x(x^2 + 1)^4 \)。
17级《经济数学》复习题一、函数的定义域:1、21ln(1)arcsin 3x y x -=-+ 2、211y x =+- 3、arcsin y x = 4、y5、下列函数哪些是同一函数1)()f x =x x g =)(2) 2()ln f x x =,()2ln g x x =;3) ()arcsin arccos f x x x =+ ,()2g x π=;4)()f x =()f x = 5)()f x =()g x x = ;6) 22()sin cos f x x x =+,()1g x =;7) ()arctan arccot f x x x =+,()2f x π=8)1()lnx f x x-=,()ln(1)ln f x x x =-- 二、求极限:1、sin 1lim(sin )x x x x x→∞+2、01lim arctan x x x→3、201lim sin x x x→4、20152052lim 321x x x x x →∞++++5、203050(31)(23)lim (71)x x x x →∞-++ 6、3222(32)lim (21)(34)x x x x x x →∞++++7、1lim sinx x x→∞8、3232lim 31x x x x x →∞++++9、02lim sin x x x e e xx x-→---10、21lim 221-+-→x x x x11、2sin lim0-+--→x x x e e xx12、201sin lim xx e x x --→ 13、lim xx x a x a →∞+⎛⎫⎪-⎝⎭ 14、1lim 1xx x x →∞+⎛⎫ ⎪-⎝⎭ 15、23lim 1x x x →∞⎛⎫+ ⎪⎝⎭16、lim 1xx x x →∞⎛⎫⎪-⎝⎭ 17、1lim 2xx x x →∞+⎛⎫ ⎪-⎝⎭ 18、32lim 1x x x →∞⎛⎫- ⎪⎝⎭19、20sin 1lim x x e x x →--20、332132lim 1x x x x x x →-+--+21、202lim x x x e e x -→+-22、2)1(lim xx x x +∞→ 23、1lim 0-→x x e x24、xx e 10lim →25、11lim 21--→x x x26、11ln dtlim1xx t x →-⎰27、02tan dt limxx t x →⎰28、0(3)()limh f x h f x h→--三、连续1、函数2sin 20()0xx f x x x k x ⎧<⎪=⎨⎪+≥⎩在0=x 处连续,求k2、设函数293()33x x f x x k x ⎧-≠⎪=-⎨⎪=⎩连续,求K.3、设函数0()0x e x f x x k x ⎧<=⎨-≥⎩连续,求K.4、设函数sin 0()cos 0xx f x xx k x ⎧<⎪=⎨⎪+≥⎩连续,求K 5、设函数211()1kx x f x xx -<⎧=⎨≥⎩连续,求K 四、导数与微分:1. 曲线ln y x =在点(1,0)处的切线方程2. 曲线1y x =在点1(3,)3处的切线方程 3. 曲线xy xe =在点(0,0)处的切线方程4. 求曲线2(1)arctan y x x =+在点(0,1)处的切线方程5. 设(sin cos )2sin 2f x x x +=+,则()f x '6. 设()cos 2,xf x x x e =++求(0)f '' 7. 设2(1)1f x x x +=-+,求"()f x 8.设ln(y x =,求y '9. 设,arcsin )(x x f =求()f x 在0x =处的微分 10. 函数2(41)arctan 2y x x =+,求dy ,y '' 11. 函数21(1)xy x e +=+,求dy ,y ''12. 函数arccot(21)y x =+,求dy ,y ''13. 函数arcsin 2y x =,求dy ,y '' 14. 函数38cos y x x x =+-,求dy ,y ''15. 函数()ln a xf x a x-=+,求dy ,y '' 16. 已知函数()2ln 1y x =+,求y ',dy ,y ''17. 已知函数()2sin y x=,求dy ,y ''.18. 函数2cos(1)y x =-,求dy ,y '' 19.设函数已知y = (0) '''及y y . 20. 函数y =dy ,y ''21. 函数2(41)arctan 2y x x =+,求dy ,y ''22. ()xydy y y x e dx=函数由方程-e -sinxy=0确定,求,dy. 23. ()y y x =是由方程0x yxy e e -+-=确定的隐函数,求dy dx24. 2()10x y dy y y x e xy y dx +=++=函数由方程确定,求,dy.25. ()y y x =是由方程2yy xy e e --=确定的隐函数,求dy dx26. ()y y x =是由方程3330x y axy +-=确定的隐函数,求dy dx ,()1,1dy dx27. ()y y x =是由方程32236x y xy +=确定的隐函数,求dy dx.28. 求方程333x xy y +-=确定的隐函数的导数dy dx.五、积分:1. 若()f x 的一个原函数为cos x ,求()f x dx '⎰2. 已知tan(3)x是()f x 的原函数,求()f x dx ⎰.3. 若()f x 的一个原函数为xxe , 求()xf x dx '⎰4. 若()=sin f x x ,求'()f x dx ⎰5.若()cos f x x =,求()f x dx '⎰ 6. 已知()f x 的导数为cos x ,求()f x dx ⎰7. 2()sin 2f x dx x x C =++⎰若成立,求()f x8. sin cos x xdx ⎰ 9.2cos(1)x x dx +⎰10. ⎰+dx ee xx5 11. 2-xxe dx ⎰12.22cos 2sin cos xdx x x ⎰13. 11cos 2dx x +⎰14. 1(1)dx x x +⎰15. 221x dx x +⎰ 16. 11xdx e +⎰17. 1xxe dx e +⎰ 18.⎰ 19. 2cos sin x xdx ⎰20. 2x xdx e ⎰21. 23sin x x dx ⎰22.11)x dx -⎰23.222cos cos x xdx x x -+⎰24. 2121tan 1x xdx x -+⎰ 25. 1231(cos )x x x dx -+⎰26. 11(tan sin )x x dx -+⎰27.41⎰; 28. sin 0cos x e xdx π⎰29.10(2)xx e dx +⎰ 30. 1ln e x xdx ⎰31. ()11ln ex xdx -⎰32. ()22xx e dx -⎰ 33. 0cos x xdx π⎰34.20sin x xdx π⎰35. 1ln ex xdx ⎰ 36. sin 0cos x e xdx π⎰37.41⎰38. 20x xe dx π⎰39. 120(3)x x e dx -⎰40.20cos x x dx六、应用1. 求函数()3239f x x x x =--的单调区间与极值、凹凸区间与拐点.2. 求函数()32221673f x x x x =--+的单调区间与极值、凹凸区间与拐点. 3. 求32()395f x x x x =-++-的单调区间与极值、凹凸区间与拐点。
微积分复习试题及答案10套(大学期末复习资料)习题一(A) 1、求下列函数的定义域:ln(4),x2(1) (2) (3) y,y,logarcsinxyx,,4a||2x,113y,,log(2x,3)(4) (5) yx,,,1arctanax,2x2、求下列函数的反函数及其定义域xx,32(1) (2) (3) yy,,yx,,,1ln(2)x2,1x,3x,,(4)yx,,,2sin,[,] 3223、将下列复合函分解成若干个基本初等函数2x(1) (2) (3) yx,lnlnlnyx,,(32ln)ye,,arcsin123(4) y,logcosxa4、求下列函数的解析式:112,求. (1)设fxx(),,,fx()2xx2(2)设,求 fgxgfx[()],[()]fxxgxx()1,()cos,,,5、用数列极限定义证明下列极限:1232n,1,,(1)lim(3)3 (2) lim, (3) ,lim0nn,,n,,n,,3353n,n6、用函数极限定义证明下列极限:x,31x,32lim(8)1x,,lim1,lim,(1) (2) (3) 23x,x,,x,,3xx,967、求下列数列极限22nn,,211020100nn,,3100n,limlimlim(1) (2) (3)32n,,n,,n,,54n,n,144nn,,,12n111,,,,?,lim,,lim,,,(4)? (5) ,,222,,x,,x,,1223n(n1),,,nnn,,,,1111,,k,0(6) (7)() lim,,,?lim,,2x,,x,,n,31541,,nknnkn,,,111,,,,?12n222lim(1)nnn,,(8) (9) limx,,x,,111,,,,?12n5558、用极限的定义说明下列极限不存在:1x,3limcosx(1) (2) (3) limsinlimx,,x,0x,3x|3|x,9、求下列函数极限:22xx,,56xx,,562(1) (2) (3) limlimlim(21)xx,,x,x,13x,3x,3x,2222256x,xx,,44()xx,,,(4) (5) (6) limlimlim2x,x,,,220xx,,21x,2,nx,1x,9x,1(7) (8) (9) limlimlimm3,1xx,9x,1x,1x,3x,1 2nnxxx,,,,?13x,,12(10), (11)lim() (12)limlim33x,1,x1x,1xx,,111,xx,110、求下列函数极限:22xx,,56xx,,56 (2) (1)limlim2x,,x,,x,3x,3nn,1axaxaxa,,,,?011nn,lim(11)xx,,,(3) (4)lim,(,0)ab,00mm,1x,,x,,bxbxbxb,,,,?011mm,lim(11)xxx,,,(5) x,,11、求下列极限式中的参变量的值:2axbx,,6lim3,(1)设,求的值; ab,x,,23x,2xaxb,,lim5,,(2)设,求的值; ab,x,11x,22axbxc,,lim1,(3)设,求的值; abc,,x,,31x,12x,0arcsin~xxtan~xx1cos~,xx12、证明:当时,有:(1),(2) ,(3); 213、利用等价无穷小的性质,求下列极限:sin2xsin2xsecxlimlimlim(1) (2) (3) 2x,0x,0x,0,tan5x3x2x3sinx21111sin,,x,limlim()(4) (5)lim (6)x,0x,0x,0xxx,tansinxxtansin1cos,x14、利用重要极限的性质,求下列极限:sin2xsinsinxa,xxsin(1) (2) (3) limlimlimx,0xa,x,0,sin3xxa,1cos2x xsinxx,tan3sin2xx,4,,(4) (5) (6) limlimlim1,,,x,0x,0,,xsinxx,3xx,, xxx,3xk,21,,,,,,(7) (8) (9) limlim1,,lim1,,,,,,,,,,xxx,,xxxk,,,,,,, 1/x(10)lim12,x ,,,,x15、讨论下列函数的连续性:,,,xx1,,2fxxx()11,,,,(1) ,,211xx,,,x,x,0,sinx,x,0(2)若,在处连续,则为何值. fxax()0,,a,,1,1sin1,,xxx,x,e(0,x,1)(3) 为何值时函数f(x),在[0,2]上连续 a,a,x(1,x,2),53xx,,,52016、证明方程在区间上至少有一个根. (0,1)32x,0x,317、证明曲线在与之间至少与轴有一交点. xyxxx,,,,252(B)arccoslg(3,x)y,1、函数的定义域为 ( ) 228,3x,x(A) ,,,,,7,3 (B) (-7, 3) (C) ,7,2.9 (D) (-7, 2.9),1 2、若与互为反函数,则关系式( )成立。
微积分复习题附答案一、选择题(每题2分,共20分)1. 函数\( f(x) = x^2 \)在点x=1处的导数是:A. 1B. 2C. 0D. 32. 定积分\( \int_{0}^{1} x^2 dx \)的值是:A. 1/3B. 1/2C. 2/3D. 3/43. 以下哪个函数是奇函数?A. \( f(x) = x^2 \)B. \( f(x) = |x| \)C. \( f(x) = sin(x) \)D. \( f(x) = cos(x) \)4. 函数\( f(x) = e^x \)的泰勒展开式在x=0处的前两项是:A. \( 1 + x \)B. \( e + x \)C. \( 1 + e \cdot x \)D. \( e + e^2 \cdot x \)5. 以下哪个级数是收敛的?A. \( \sum_{n=1}^{\infty} \frac{1}{n} \)B. \( \sum_{n=1}^{\infty} \frac{1}{n^2} \)C. \( \sum_{n=1}^{\infty} n \)D. \( \sum_{n=1}^{\infty} (-1)^n \)二、填空题(每题3分,共15分)6. 函数\( g(x) = sin(x) + cos(x) \)的导数是_________。
7. 函数\( h(x) = \ln(x) \)的定义域是_________。
8. 函数\( F(x) = \int_{1}^{x} t^2 dt \)的原函数是_________。
9. 函数\( f(x) = x^3 - 3x^2 + 2x \)的极值点是_________。
10. 函数\( G(x) = x^4 - 4x^3 + 4x^2 \)的拐点是_________。
三、解答题(每题10分,共65分)11. 求函数\( f(x) = x^3 - 6x^2 + 9x + 5 \)的导数,并找出其单调区间。
微积分试题及答案一、选择题(每题2分,共20分)1. 函数 \( f(x) = x^2 \) 在 \( x = 0 \) 处的导数是:A. 0B. 1C. 2D. 32. 曲线 \( y = x^3 - 2x \) 在 \( x = 1 \) 处的切线斜率是:A. -1B. 1C. 3D. 53. 若 \( \int_{0}^{1} x^2 dx \),则该积分的值是:A. \( \frac{1}{3} \)B. \( \frac{1}{2} \)C. \( \frac{2}{3} \)D. 14. 函数 \( y = \ln(x) \) 的原函数是:A. \( x \)B. \( x^2 \)C. \( e^x \)D. \( x\ln(x) \)5. 已知 \( \frac{dy}{dx} = 3x^2 - 2x \),当 \( x = 1 \) 时,\( y \) 的值是:A. 0B. 1C. 2D. 36. 函数 \( y = \sin(x) \) 的二阶导数是:A. \( -\sin(x) \)B. \( -\cos(x) \)C. \( \cos(x) \)D. \( \sin(x) \)7. 若 \( \int x e^x dx \) 可以用换元积分法求解,设 \( u = x \) 则 \( du \) 是:A. \( e^x \)B. \( e^x dx \)C. \( x dx \)D. \( 1 \)8. 函数 \( y = x^3 + 3x^2 + 3x + 1 \) 的泰勒展开式在 \( x = 0 \) 处的前三项是:A. \( 1 + 3x + 3x^2 \)B. \( 1 + x + x^2 \)C. \( 1 + 3x + 9x^2 \)D. \( 1 + 3x + 3x^3 \)9. 函数 \( y = e^{2x} \) 的不定积分是:A. \( \frac{1}{2}e^{2x} \)B. \( e^{2x} \)C. \( 2e^{2x} \)D. \( 2x e^{2x} \)10. 若 \( \frac{dy}{dx} = y - 1 \),且 \( y = 2 \) 当 \( x =0 \),则 \( y \) 的通解是:A. \( y = x + 2 \)B. \( y = e^x + 1 \)C. \( y = e^x - 1 \)D. \( y = 1 - e^x \)二、填空题(每空2分,共20分)11. 若 \( f(x) = x^3 - 6x^2 + 11x - 6 \),则 \( f'(x) = \)__________。
经管类《微积分》(上)习题参考答案第一章 函数习题一一、1.否; 2.是; 3.是; 4.否.二、1.)[()5,33,2⋃; 2.()πππ+k k 2,2; 3. 2,24>-<<-x x 或;4.[]a a -1,; 5.[]2,0; 6.222+-x x . 三、1.奇函数;2.奇函数. 3.(略)四、1(略);2.212+x ; 3.11-+x x . 五、1.x v v u u y sin ,,ln 2===;2.x x u e y u ln ,==;3.1525++⋅x x .六、50500,,)50(8.050)(>≤<⎩⎨⎧-+=x x x a a ax x R .第二章极限与连续习题一一、 1.0,1,1,0; 2.e e e e ,,,231- 二、1.1; 2.0; 3.21; 4.4.三、1. (略); 2.证明(略),极限为2 四、()1lim 0=+→x f x ,()1lim 0-=-→x f x ,()x f x 0lim →不存在. 五、都不存在. 六、15832.5,32.4,221.3,1.2,0.1 1.8,3.7,.6e .七、2,1==b a 八、2.4,32.3,21.2,2.1-习题二 一、()().1,1.4,,22,1.3,2.2,.1+∞⋃第一类二、1.为可去间断点1=x ,为第二类间断点2=x ; 2.为跳跃间断点1=x . 三、2ln ,2==b a .四、0,0,10,00,1)(=⎪⎩⎪⎨⎧>=<-=x x x x x f 为()x f 的跳跃间断点。
五、()()+∞⋃∞-,00,. 六、左不连续;右连续. 七、,.4,.3,.2,2ln .1623e e e - 八、九、十 (略).第二章 测验题一、B A C A D .5,.4,.3,.2,.1.二、21.4,2.3,2.2,2.1-e .三、.31.4,3.3,1.2,61.1.四、x x x x p ++=232)(.五、为第二类间断点为可去间断点处连续21,1,2,,1===-=x x x x .六、.3,21==b a 七、(略). 八、a .第三章 导数与微分习题一一、),0(.2),(,)(2,)(.1000f x f x f x f '''')(),(1.3000000x x x y y x x x y y --=--=- 二、00,,2)(<>⎩⎨⎧='x x x e x f x 三、)0(2)(g a f ='. 四、处连续且可导0=x .五、()的有理数;互质与且)2(,201n m mna a ≠> ()互质)的有理数与且n m mna a 2(,1212-≠>. 习题二一、,ln 1.3,1.2,622ln 2.123x xx x x -++- )2(42,)2(42.422ππππππ-=---=-x y x y . )(4)(2.5222x f x x f ''+'二、2)1()sin 3(cos sin cos 2.1x x e x x e x x +-+-;x x x x x x x x cos sin ln cos 2sin .2+-+; 211arcsin 2.3xx -⋅; 21)ln (ln .4x x n x n --;a a x x x ax a a a 21211sec ln .5+⋅+-;6.x x exx 1tan 1sec 221sec 22⋅⋅⋅-; )(87略-.三、1.()x f x f '⋅)(2; 2.)()(222x x x x x e f e e e f xe '+.四、00,,11)12()(222=≠⎪⎪⎩⎪⎪⎨⎧+-='x x x e x x f x . 五、(略) 习题三一、()dx x x x 1ln .1+; ()dx e e f x x '.2;x e x e x x x ln ln ,arctan ),13sin(31,61,2.36+;4. ppQ -+2;252. 二、1.)sin ln (cos sin xxx x x x +⋅; 2.⎥⎦⎤⎢⎣⎡-----+-+------)5(51)4(54)3(53)2(5211)5()4()3()2()1(5432x x x x x x x x x x 三、1.()184-==p dpdQ,54.04-≈=P EP ED经济意义:当价格从4上升%1时,需求量从59下降%54.0;()246.04≈=P EP ER,价格从4上涨%1时总收益将从263增加%46.0.四、1.dx x x x x ⎥⎦⎤⎢⎣⎡--+-2222211cot )1(2)11ln(sin . 五、212x +. 第三章 测验题一、,1.3,1.2,)1(21.1arctan =⋅+--y dx e x x x π21)1()1(2.4xx f x f '-, 2ln 21.5-.二、..3,.2,.1C D D 三、1.yyxey e +-2; 2.0; 3.[]()0,,02121cos )(sin )()(),0(2=≠⎪⎪⎩⎪⎪⎨⎧''++-+'=''=x x g x xx g x x g x x f g a第四章 中值定理与导数的应用 习题一一、1.不满足,没有; 2.1; 3.满足,914; 4.4,1--.;5.不存在二、三、四、五(略)六、1.6,ln .5,21.4,21.3,0.2,21.1a -. 七、连续. 八、1.习题二一、1.单减,凹的; 2.)4,1(;3.0,0==x y ;4.29,23-;5. ac b 32≤.6.e p 1=二、单增区间为[]2,0;单减区间为]()[∞+⋃∞-,20,. 三、拐点为()7,1-;凹区间为)[∞+,1;凸区间为[]1,0.四、0,3,3,1==-==d c b a .五(略)六、为极大值3)3(,2==πf a .七、20000=Q ,最大利润()34000020000=L 元. 八、5.9元,购进140件时,最大利润490元. 九、十(略).第四章 测验题 一、..3;.2;.1A B B 二、()0.4;2,1.3;3.2;1.1=x三、.1.2;61.1-四、.1;0;3==-=c b a 五、获利最大时的销售量()t x -=425,当2=t 政府税收总额最大,其税收总额为10万元.六、()1证明略; ()254.06≈=P EP ER,经济意义:当价格从6上涨%1时,总收益从156增加%54.0.第五章 不定积分习题一一、1.dx x f )(,C x f +)(,)(x f ,C x f +)(; 2.C ; 3.C x +2; 4.32x. 二、1.C x x +-arctan ; 2.C x e x +-2;3.C x x +-sec tan ; 4.C x +tan 21. 三、1ln +=x y .四、12)(2+-=x x x G .习题二一、1.C e x x ++-tan tan ; 2.C x f +--)1(212; 3.C x F ++)12(; 4.C x f +--)2cos 3(31. 二、1.C x +|ln ln |ln ; 2.C x ++-|1cos |ln 2; 3.C e x +arctan ;4.C x +--21)32(312; 5.C x x x +---------999897)1(991)1(491)1(971;6.C e xx ++1; 7.C x x +-32)cos (sin 23; 8.C e x x ++-)1ln(; 9.C x x ++-)9ln(292122; 10.C x +)arctan(sin 212; 11.C x+-arcsin 1;12.C x x ++-+ln 12)ln 1(3223; 13.()()()C x x x +++++-+11ln 313123313132;14.C e x+-1arctan 2; 15.C xx ++61611ln; 16.C x x x +-+22211arccos 21. 习题三一、1.C x e x ++-)1(;2.C x xf +)(; 3.C x f x f x +'-'')()(; 4.C e xe x x +-2. 二、1.C x x x x +++-)1ln(6161arctan 31223; 2.C e xe x x +------11;3.C x x x x x ++-2ln 2ln 2; 4.C x x x x++++-)6ln 6ln 3(ln 123;5.C x x e x ++-)22(33323; 6.()()[]C x x x++ln sin ln cos 2;7.C x x x x x +--+2arcsin 12)(arcsin 22; 8.C x x x x ++-sin 4cos )24(; 9.C x x x +-+arctan )1(; 10.C x x x x x +++-+221ln 1ln .三、C x x x +-++21)arcsin 1(. 四、C x x x x ++-+arctan 22)1ln(2. 五、)1(21x x +.习题四1.C x x x x x x +--+-+++|1|ln 3|1|ln 4||ln 82131232.C x x x x +-+-+-arctan 21)1ln(41|1|ln 21||ln 2第六章 定积分及其应用习题一 一、a b a b -+-)(3331二、1.≥, 2.≥ 三、(提示:用定积分性质6证)四、1.412x x +; 2.81221213x x x x +-+; 3.3; 4.21; 5.28-x ; 6.]41,0(; 7.yx e y 2cos 22. 五、)(x f 在0=x 处有极小值0)0(=f .六、1.6π; 2.4; 3.38.七、1.1; 2.2八、4π.九、)1ln(e +十(略).习题二一、1.)(sin x f ; 2.)0(arctan )1(arctan f f -; 3.)]()([2122a F b F -; 4.3243π;5.0; 6.)()(a x f b x f +-+; 7.8; 8.0二、1.34-π; 2.32ln 22+; 3.a )13(-; 4.34; 5.22; 6.214-π; 7.)11(2e -; 8.)2(51-πe .三、四(略)五、(提示:令x t -=2π); 4π.六、()1,11=-=-a e x f x . 七、x x sin cos -. 八、x 2ln 21.习题三一、1.332; 2.2ln 23-; 3.67; 4.49.二、62221,21-=⎪⎭⎫ ⎝⎛=S a . 三、2ln 214+-x .四、1.π145; 2.24π; 3.ππ564,727. 五、10/100Q Qe -. 六、31666. 七、1.2; 2.2ln 21.。
2021高等数学(微积分)竞赛试题参考答案经管类一、计算题(每小题14分,满分70分)1.求极限201cos lim x n x→-其中为正整数。
21cos cos x x -=+0012x x →→=+01122x n→+=+= 2.设(2015)1()ln(),(1)xf x t x dt f =+⎰求的值。
解:21()ln()xxf x t dt +=⎰()2ln(2)ln(1)()2/1/(1)f x x x f x x x '''⇒=-+⇒=-+(2)11(2015)2014()(1)2013!(1/22)n n n n f x n x x f +++⇒=--+⇒=-。
3.求平面0x y z ++=与椭球面22241x y z ++=相交而得的椭圆的面积。
解:椭圆的长、短半轴与椭圆的交点处的切线垂直。
设交点为000(,,)x y z 切线方向为000{,,4}x y z {1,1,1}⨯,与半轴方向为000{,,}x y z 垂直 所以000()0x y z -= 又000(,,)x y z 在平面与椭球面的交线上22222000000000 0, 4()1z x y x y x y x y ⇒=--⇒-=+++=当00x y =时 20018 16x x =⇒= 当00x y =-时2002 1x x =⇒=±四个交点为,(,663663---3 椭圆的面积S3=4.求定积分220sin 1cos x xdx xπ+⎰解:222220sin ()sin sin sin 1cos 1cos 1cos 1cos x t x x t t t t t dx dt dt dt xt t t ππππππππππ=+---+==+++++⎰⎰⎰⎰令22sin 2sin 1cos 1cos tt dt dt ttπππππ-==++⎰⎰2π= 5.求函数2()ln(1)f x x x =++在0x =处的30次泰勒多项式。
《微积分》练习100题及其解答1.求极限:.⎪⎭⎫ ⎝⎛--→x e x x 111lim 0解:∵,)0(~1→-x xe x ∴.()2121lim 1lim 11lim 111lim 02000-=-=+-=-+-=⎪⎭⎫ ⎝⎛--→→→→x e x e x e x e x x e x x x x x x x x x 2.求极限:.xx e e x x x sin lim sin 0--→解:∵,∴.)0(~1→-x xe x1sin 1lim sin lim sin sin 0sin 0=--⋅=---→→xx e e x x e e xx x x x x x 或者:记,则当时,在之间满足Lagrange 定理的条件,存x e x f =)(0≠x )(x f x x sin ,在(介于与之间),使得,从而ξξx x sin )(sin sin ξf x x e e xx '=--,所以,.1)0()(lim sin lim 0sin 0='='=--→→f f x x e e x x x x ξ1sin lim sin 0=--→xx e e x x x 3.求极限:.()x xx x e1lim+→解:;()11200lim lim 1xxe e xx xx x x x e xe e e →→⎡⎤⎛⎫⎢⎥+=⋅+= ⎪⎢⎥⎝⎭⎣⎦或者.()()12000ln 1limlim 2lim x x xx x x x x e x e e x e xe x →→→++==⇒+=+4.求极限:.01lim 1xx x +→⎛⎫+ ⎪⎝⎭解:,而,所以,.01lim ln 101lim 1x xx x x e x +→+⎛⎫+ ⎪⎝⎭→⎛⎫+= ⎪⎝⎭0ln(1)1lim ln 1lim0t x t x t x +→+∞→⎛⎫++== ⎪⎝⎭01lim 11xx x +→⎛⎫+= ⎪⎝⎭5.求极限:.())0,0,0(3ln ln lim0>>>-++→c b a xc b a x x x x解:.()00ln ln 3ln ln ln ln limlim 3x x x x x x x x x x x a b c a a b b c c abc xa b c →→++-++==++6.求极限:.()00x αα→>解:.()()112110001101lim lim 10111x x x x x x x αααααααααα--→→→->⎧==-=⎨∞<≤⎩-++7.求极限:.lim(0)x αα→>解:.()()22211000112202limlim022211x x x x x x x αααααααααα--→→→->⎧==-=⎨∞<≤⎩-++8.求极限:.(0)x αα→>解:.012x α→=-9.设函数在内,讨论的单调性.)(x f ()∞+∞-,0)0(,0)(≤>''f x f xx f y )(=解:,,⎥⎦⎤⎢⎣⎡-'=-'='⎪⎭⎫ ⎝⎛='x x f x f x x x f x f x x x f y )()(1)()()(20)0()()(--≤x f x f x x f 当时,,而,则,即,从而此时0>x )0()(f xx f '≤0)(>''x f )0()(f x f '≥'0>'y 递增;同理,当时,递增.x x f y )(=0<x xx f y )(=所以,在内单调增加.xx f y )(=()∞+∞-,10.设函数,求:(1)的极大值;(2)()220()2(0)xf x a ta dta =-+->⎰)(x f M 求极小时的值.M a 解:(1),而,所以xx f a x x f 2)(0)(=''±=⇒='0>a ;a a a f M 232)(3-=-=(2)时,,此时,0>a 102223223=⇒=-='⎪⎭⎫ ⎝⎛-='a a a a M a04>=''a M的极小值为.M 34)1(-=M 11.求极限:.22011lim sin x x x →⎛⎫-⎪⎝⎭解:()()2222224000sin sin 11sin lim lim lim sin sin x x x x x x x x x x x x xx →→→-+-⎛⎫-== ⎪⎝⎭.320000sin sin 1cos sin 1limlim 2lim 2lim 363x x x x x x x x x x x x x x →→→→-+-====12.求极限:.⎪⎭⎫ ⎝⎛-→x x x 220sin 11lim 解:2222222200011sin sin 22lim lim lim sin sin 2sin sin 2x x x x x x x x x x xx x x x →→→--⎛⎫-== ⎪+⎝⎭;222000cos 212sin 2limlimsin 2sin 2cos 22sin 26cos 22sin 22sin 212lim 2sin 234cos 2sin 22x x x x xx x x x x x x x x xx x x x x x x →→→--==+++--==-+-13.求极限:.⎪⎭⎫⎝⎛--→x x x ln 111lim 1解:;211ln 11lim ln 11lim ln 111lim ln )1(1ln lim ln 111lim 11111-=---=--+=--+=-+-=⎪⎭⎫ ⎝⎛--→→→→→x x x x x x xx xx x x x x x x x x x x 14.求极限:.1lim arcsin xx e x +→解:∵,∴.arcsin ~(0)x x x →11100lim arcsin lim lim t t xx x t x x ee x xe t ++=→+∞→→=====+∞15.求极限:.⎪⎭⎫⎝⎛-+∞→x x x arctan 2lim解:.22221arctan 21lim arctan lim lim lim 11121x x x x x x x x x x xxππ→+∞→+∞→+∞→+∞⎛⎫-- ⎪⎛⎫⎝⎭+-==== ⎪+⎝⎭-16.求极限:.2120lim x x x e→解:.22112lim lim t tx x x t e x et=→→+∞====+∞17.求极限:.lim sin ln x x x +→解:.00001ln tan sin lim sin ln lim lim lim 0csc csc cot x x x x x x x x x x x x x x++++→→→→===-=-18.求极限:.1lim x -→解:11lim x x -→→=112sec 24x x ππ--→→===19.求极限:.xx xx x sin tan lim 20-→解:.22232200000tan tan sec 11cos sin21lim lim lim lim lim sin 3363x x x x x x x x x x x x x x x x x x →→→→→----=====20.求极限:.()ln 1ln limcot x x xarc x→+∞+-解:()222222111ln 111lim lim lim 1lim 1.111cot 1111x x x x x x x x x x arc x x xx x x →+∞→+∞→+∞→+∞⎛⎫+-- ⎪+⎝⎭==+==-+⎛⎫⎛⎫++ ⎪ ⎪+⎝⎭⎝⎭21.求极限:.()2lim sec tan x x x π→-解:.()2221sin cos lim sec tan limlim 0cos sin x x x x xx x x x πππ→→→--===-22.求积分:.cos sin 1sin 2x xdx x --⎰解:()2cos sin cos sin 11sin 2cos sin cos sin x x x x dx dx dx x x x x x --==---⎰⎰⎰.1ln csc cot 2244sin 4dx x x C x πππ⎛⎫⎛⎫=-=---+ ⎪ ⎪⎛⎫⎝⎭⎝⎭- ⎪⎝⎭⎰23.求积分:.cos sin 1sin 2x xdx x -+⎰解:.()()()22cos sin 11cos sin cos sin sin cos sin cos x xdx d x x C x xx x x x -=+=-++++⎰⎰24.求积分:.cos sin 1cos 2x xdx x -+⎰解:()2cos sin cos sin 1sec tan sec 1cos22cos 2x x x x dx dx xdx xdxx x --==-+⎰⎰⎰⎰.()1sec ln sec tan 2x x x C =--++25.求积分:.dx xxx ⎰--2cos 1sin cos 解:()2cos sin cos sin 1csc cot csc 1cos 22sin 2x x x x dx dx x xdx xdxx x --==--⎰⎰⎰⎰.()1csc ln csc cot 2x x x C =-+-+26.求积分:.cos sin 1cos 2x xdx x +-⎰解:()2cos sin cos sin 1csc cot csc 1cos 22sin 2x x x x dx dx x xdx xdxx x ++==+-⎰⎰⎰⎰.()1csc ln csc cot 2x x x C =---+27.求积分:.1sin 1cos2xdx x--⎰解:()221sin 1sin 1csc csc 1cos 22sin 2x x dx dx xdx xdx x x --==--⎰⎰⎰⎰.()1cot ln csc cot 2x x x C =-+-+28.求积分:.1sin 1cos2xdx x -+⎰解:()221sin 1sin 1sec sec tan 1cos 22cos 2x x dx dx xdx x xdx x x --==-+⎰⎰⎰⎰.()1tan sec 2x x C =-+29.求积分:.1cos 1cos2xdx x-+⎰解:()221cos 1cos 1sec sec 1cos22cos 2x x dx dx xdx xdx x x --==-+⎰⎰⎰⎰.()1tan ln sec tan 2x x x C =-++30.求积分:.1cos 1cos2xdx x--⎰解:.()()221sin 1sin 1csc csc 1cos22sin 211cot ln tan cot ln csc cot 222x x dx dx xdx xdxx x x x C or x x x C--==--⎛⎫=-++-+-+ ⎪⎝⎭⎰⎰⎰⎰31.求积分:.1arctan21xedx x +⎰解:.1arctan11arctan arctan 21arctan 1xx x e dx e d e C x x=-=-++⎰⎰32.求积分:.2x dx解:222211222xe t x x e dx =⎛⎫==== ⎪⎝⎭.(2211ln ln 222x x e c e C ⎛ '=++=++ ⎝33.求积分:.211x dx e +⎰解:⎰+dx e x 211⎰⎰----++-=+=)1(112112222xx x x e d e dx e e C e x ++-=-)1ln(212或者:⎰⎰+=+=xxx x x x de e e dx e e e 222222)1(121)1(.[]C e x de e de e xx x x x ++-=⎥⎦⎤⎢⎣⎡+-=⎰⎰)1ln(221111212222234.求积分:.()21xxe dx x +⎰解:()()()2211(1)11111xxx xxxe xe xe dx d x xe d d xe x x x x x ⎛⎫=+=-=-+ ⎪+++⎝⎭++⎰⎰⎰⎰.11x x xxe e e dx C x x=-+=+++⎰35.求积分:.211dx x x -+⎰解:2221141133111422dx dx dxx x x x ==-+⎛⎫⎤⎫+-+- ⎪⎪⎥⎝⎭⎭⎦⎰⎰⎰.211122112d x x C x ⎤⎤⎫⎫=--+⎪⎪⎥⎥⎭⎭⎦⎦⎤⎫+-⎪⎥⎭⎦⎰36.求积分:.2141dx x x -+⎰解:()2221111413231dx dx dxx x x ==-+---⎰⎰⎰.21ln ln 3661d C C ⎫==+=⎪⎭⎫-⎪⎭⎰37.求积分:.dx解:22111ln 1111u u du du C u u u u -⎛⎫⎛⎫=-=+ ⎪ ⎪--++⎝⎭⎝⎭⎰⎰.))ln 2ln12ln1Cor x C or x C ⎛⎫=+-+-+ ⎝38.求积分:.解:设,则,,x e u +=1)1ln(2-=u x du u udx 122-=222112111u du du u u u ⎛⎫==+- ⎪--+⎝⎭⎰⎰12ln ln 1u u C C u ⎛⎫-⎛⎫=++=+ ⎪+⎝⎭.)2ln1orx C -+39.求积分:.21443dx x x +-⎰解:.21121ln 443823x dx C x x x -=++-+⎰40.求积分:.23222x dx x x --+⎰解:222323*********(1)x x dx dx x x x x x ⎡⎤--=+⎢⎥-+-+++⎣⎦⎰⎰.()23ln 22arctan(1)2x x x C =-++++41.求积分:.2dx x⎰解:设,则,,t x sin 2=t x cos 242=-tdt dx cos 2=.()222cot csc 1cot arcsin 2x dx tdt t dt t t C C x x ==-=--+=--+⎰⎰⎰42.求积分:.2dx x ⎰解:设,则,,θtan 2=x 2sec θ=θθd dx 2sec 2=.()Cxx x x C x x x x x x C d d d dx x x ++-++=++++--+-=++---=⎪⎭⎫⎝⎛-+=-==+⎰⎰⎰⎰22222222222244ln 44ln 2141sin 1sin ln 21csc sin sin 11sin 1sin sin )sin 1(1sin cos 14θθθθθθθθθθθθ43.求积分:.⎰++dx x x 1)2(1解:消去根号,记,t =122122+=+=-=t x tdtdx t x.()222arctan 21tdtt C C t t ==+=++⎰44.求积分:.⎰-+dx x x x21解:记,3122222+=+=+=⇒-=t x tdtdx t x x t ()()⎰⎰⎰⎰++=⎪⎭⎫ ⎝⎛++=++=-+dt t t dt t t t dt t t dx x x x 21222112232212222.C x x C tt +-+-=++=22arctan 2222arctan2245.求积分:.⎰++dx x x x21解:记,1122222-=+=-=⇒+=t x tdtdx t x x t ()()⎰⎰⎰⎰-+=⎪⎭⎫ ⎝⎛-+=--=++dt t t dt t t t dt t t dx x x x 21222112212212222.C x x x C t t t +++-+++=++-+=2222ln 222222ln 22246.求积分:.2dx x -⎰解:记,2213222t t t x dx tdt x +-=⇒==-=,.2222312212623332t dx dt dt t dt x t t t t C C⎛⎫==+=+ ⎪----⎝⎭=+=+⎰⎰⎰⎰47.求积分:.解:记,232212122+=+=-=⇒+=t x tdtdx t x x t .Cxx C t t dt t t dt t dt t t dx x x ++-+=+-=+-=⎪⎭⎫ ⎝⎛+-=+=++⎰⎰⎰⎰321arctan 322123arctan3223162331232221222248.求积分:.⎰++dx x 3111解:记,dt t dx t x x t 23323,211=-=⇒+=.22233313331ln 1212142233(1)ln 142t dx dt t dt t t t C t t x C ⎛⎫==-+=-+++ ⎪++⎝⎭=+-+++⎰⎰49.求积分:.()⎰-dx x xx 2321arcsin 解:设:,则x u arcsin =;()332222arcsin sin sin sin sec cos cos 1sec sec sec ln sec tan 1lnln 1ln 12x xu u u udx d u du ud uu u x u u udu u u u u C C x x C ===-=-=-++==-++-+⎰⎰⎰⎰⎰50.求积分:.()()2213xdx xx ++⎰解:.()()()222222211111ln 4134313xx dx d x C x x x x x ⎛⎫+⎛⎫=-=+ ⎪ ⎪+++++⎝⎭⎝⎭⎰⎰51.假设某种商品的需求量,商品的总成本是,每1200080Q P =-2500050C Q =+单位商品需要纳税2元,试求使销售利润最大时商品单价(单位:元)和最大利润额.P 解:收入,28012000)8012000(P P P P PQ R -=-==总成本,P Q C 40006250005025000-=+=总利润,649000161608022-+-=--=P P Q C R L 边际利润,16160160+-='-'='P C R L 令,得,此时,有最大利润(元).0='L 101=P 0160<-=''L 167080=Max L 52.一商家销售某种商品的价格(万元/吨),为销售量,商品的成本函数x P 2.07-=x 是(万元).(1)若每销售1吨商品,政府征税t (万元),求商家获取最大利润时13-=x C 的销售量;(2)t 为何值时,政府税收最大?解:(1)收入,总成本,22.07)2.07(x x x x Px R -=-==13-=x C 税收,总利润,tx T =1)4(2.02+-+-=--=x t x T C R L 边际利润;令,得,此时,有最t x L -+-='44.00='L t x 5.210-=04.0<-=''L 大利润;(2),,令,得,所以当时政府税25.210t t tx T -==t T 510-='0='T 2=t 2=t 收最大.53.求积分:.()322arcsin 1x xdx x -⎰解:设,则x u arcsin =;()332222arcsin sin sin sin sec cos cos 1sec sec sec ln sec tan 1ln 1ln 1.2x xu u u udx d u du ud u u ux u u udu u u u u C Cx x C ===-=-=-++==++-+⎰⎰⎰⎰⎰54.已知的一个原函数为,求积分:.()f x ()1sin ln x x +()xf x dx '⎰解:∵,()1sin ()1sin ln cos ln xf x x x x x x'+=+=+⎡⎤⎣⎦∴()()()()xf x dx xdf x xf x f x dx'==-⎰⎰⎰.()1sin cos ln 1sin ln x x x x x x C =++-++55.设是三阶可导函数,,而.求.()f t ()0f t ''≠()()()x f t y tf t f t '=⎧⎨'=-⎩33d y dx解:由已知,,,,从而;()dx f t dt ''=()dy tf t dt ''=dy dy dt t dx dx dt ==1d dy dt dx ⎛⎫= ⎪⎝⎭,.()221d y d dy dx dt dx dt dx f t ⎛⎫== ⎪''⎝⎭()()()323321()d f t d y d d y f t dx dx dx d f t f t ⎡⎤⎢'''''⎛⎫⎣⎦===- ⎪'⎡⎤''⎡⎤⎝⎭⎣⎦⎣⎦56.设,求.()22tan()sec x yx x y tdt x y ---=≠⎰22d ydx解:对等式两边求导.得,()()()()222sec 1sec 1x y y x y y ''---=--整理,得,2sin ()y x y '=-()()()222sin cos 1d yx y x y y dx '∴=---.()()()21sin 2()cos sin 22y x y x y x y '=--=--57.已知,其中二阶可微,求.()y f x y =+()f u 22d ydx 解:,.()()1y f x y y '''=++()'1()f x y y f x y '+∴='-+对两边再求导,()()1y f x y y '''=++,()()()21y f x y y y f x y ''''''''=++++.()()()211y f x y y f x y '''++''∴='-+3"()[1'()]f x y f x y +=-+58.已知,求.0sin ()xtf x dt t p =-ò0()f t dt p ò解:由已知,,或sin ()xf x xp ¢=-sin ()()x f x xf x p ¢¢=-01cos sin ()()t t tt xdx f x dx xf x dxp ¢¢-==-òòò,()(0)()()()()()t tt f t f xf x f x dx f t tf t f x dx p p p =--+=-+òò取,有,t p =021cos ()()()f f f x dx pp p p p p =-=-+ò.()2f t dt p\=ò59.求积分:.121211x x x e x +æö÷ç+-÷ç÷çèøò解:1111122222111112222221111x x x x x x x x x x I x e dx e dx x e dx e dx xd e x x +++++æöæöæö÷ç÷÷çç÷=+-=+-=+ç÷÷çç÷÷÷ççç÷çèøèøèøòòòòò.21521232x x xee +==60.求极限:.2240sin lim x x xx®-解:224300sin sin sin lim lim x x x x x x x x x x x ®®-+-=×302sin cos 222lim x x xx x®-=.3022sin cos 2lim 8t t t t t ®-=2011cos lim 2t t t ®-=2202sin 12lim 2t t t ®=20sin 12lim 42t t t ®æö÷ç÷ç÷çç=çç÷ç÷÷çèø14=而,22223200000sin sin sin 1cos 1sin 1lim lim lim 2lim 2lim sin 3323x x x x x x x x x x x x x x x x x x x ®®®®®-+--=×==´=请问以上方法错在哪里?61.计算.x ò解:记,代入,得()221ln 1x u e u x u ==+=+原式()()222ln 1121u u uduu u ++=+ò()()22222ln 12ln 121u u du u u duu =+=+-+òò.()22ln 12222u u u arctgu c c =+-++=-++62.求积分:.()12ln 11x dx x++ò解:令,,,,11t x t -=+211x t +=+()221dt dx t =-+()()22222111111t t x t t +æö-ç+=+=ççè++代入,则()12ln 11x I dx x +=+ò()()()()21122200ln 1122ln 11211x t I dx dt x t t t ++==×++++òò()()1112220001120ln 2ln 1ln 1ln 211112ln 2ln 214t x dt dt dx t t xI dt t p-++==-+++\==+òòòò.112011ln 221I dx x \=×+òln 28p =63.求积分:1ò解:记212t x t dx tdt==-=-当时,;当时,,则0x =t 1=1x =0t =原式.110202212dt arctgtt p ===-ò64.设在内有意义,且(1)可导;(2)有反函数;(3)()F x ()0,+¥()x j .求.()()5322115F x t dt x x j æö÷ç÷=-ç÷ç÷èøò()F x 解:由(3)可知,时,,0x =()()010F t dt j =ò()01F =记,则为其反函数()x F y =()y x j =且或()()F y y j =()()F x xj =对(3)的式子两边求导,有,即.()()()23321123F x F x x x j ¢=- ()23321123x F x x x ¢×=-化简有()F x ¢=()23321132F x dx x x c æö\==-+ò而,故.()01F =()233211132F x x x =-+65.求积分:1ò解:11I -==òò.112-==òò12arcsin tp ==66.求积分:1ò解:令sin 02x t t p =<<.()22202200sin cos cos 1cos 1cos 4t d t I dt arctg t tt p pp p==-=-=++òò67.证明:.()4011212n tg xdx n np<<+ò证明:记,则.14201n nn t I tg xdx dt t p==+òò()11212n I n n<<+68.求积分:.244sin 1xxdx ep p --+ò解:.224404sin 11sin 111x x x x dx xdx e e e pp p ---æö÷ç=+÷ç÷çèø+++òò2402sin 8xdx p p -==ò69.设,且,则方程0在()[],f x C a b Î()0f x >()()1xxabf x dx dx f x +=òò(),a b内有几个根.解:记,,()()()1xxabF x f t dt dt f t =+òò()()()110abbaF a dt dt f t f t ==-<òò,而.;()()0baF b f x dx =>ò()0f x >[],x a b Î()()()10F x f x f x ¢=+>在内严格单调增加.因此,在内只有一个根.()F x \(),a b ()F x (),a b 70.在上连续可微,且满足.试证存在一点.使()f x [)0,1()()1212f xf x dx =ò()0,1x Î.()()0f f x x x ¢+=证:设.则,()()F x xf x =()()0000F f =´=.()()()()112211122F f xf x dx F x dx =´==´òò由于在上可微,由积分中值定理,必存在一点,使得()F x []0,110,2h æö÷çÎ÷ç÷çèø,在上,满足Rolle 定理的三个条件,固而存在()()()1122F F F h h =´´=[],1h ()F x ,使得.即.x (),1h Î()0,1Ì()0F x ¢=()()0f f x x x ¢+=71.设求,.()11010x x xe x f x e x ìïïïï¹ï=íï+ïïï=ïî()0f -¢()0f +¢解:由知()()()000limx x f x f x f x x x ®-¢=-()0f -¢()()11000lim lim lim 0011txt t x x x f x f e e x e e --®-¥®®-====-++()0f +¢()()11000lim lim lim 1011txt t x x xf x f e e x ee ++®+¥®®-====-++另,时0x ¹()1121111xx x e e x f x e æö÷ç÷-+ç÷ç÷èø¢=æö÷ç÷+ç÷ç÷èø;()0f -¢()1121011lim lim 1xx x x xe e xf x e --®®æö÷ç÷-+ç÷ç÷èø¢==æö÷ç÷+ç÷ç÷èø()()121lim01u u u xu u e u e e =®-¥-+¾¾¾®=+()0f +¢()1121011lim lim 1xx x x xe e xf x e ++®®æö÷ç÷-+ç÷ç÷èø¢==æö÷ç÷+ç÷ç÷èø()()21lim1u u u u e u e e ®+¥-+=+()()()11lim21u u u u u uu e u e e e e e ®+¥-++-=+()22lim21u uu uu e ue e e ®+¥-=+.()221lim lim 1221u u u u u u e u e e e ®+¥®+¥--===+72.设在上连续,且,证明:必存在,使()f x []0,n ()()()0f f n n N =Î()0,n x Î.()()1f f x x +=证明:记,则在上连续,因而有最大(小)值()()()1x f x f x j =+-()x j []0,1n -,,;()M m ()m x M j ££[]0,1x n Î-而,,…,;()()()010f f j =-()()()121f f j =-()()()11n f n f n j -=--从而,()()()1110n n k k k f k f k m M nnj --==éù+-ëû£==£åå故而,必存在,使,即()0,n x Î()0j x =.()()1f f x x +=73.证明:函数在上一致连续.3)(x x f =[]1,0证明:任取两点,,不妨设,则,考虑到1x []1,02∈x 21x x ≠03231≠-x x ()321232312132232132121323121)()(x x x x x x x x x x x x x x x f x f +--≤++-=-=-;()2323121323121)()(x x x x x x x f x f --≤-=-即;2133231321)()(x x x x x f x f -≤-=-所以,对于任意小的正数,取,当时,必有0>ε3εη=η<-21x x 成立,ε<-≤-=-321323121)()(x x x x x f x f 故而函数在上一致连续.3)(x x f =[]1,074.函数在上有定义,且(1),(2)对于在,)(x f ()∞,0)1()(lim 1f x f x =→0>∀x ,则(为常数).)()(2x f x f =C x f ≡)(C 证明:任取,记,,,…,()∞+∈,0x x x =1x x x ==124123xx x x ===,….则1211-==-n x x x n n 由可知,,即)()(2x f x f =)()(x f x f =;)()()()()(321n x f x f x f x f x f ===== 而注意到,故)0(1lim >=+∞→x x n n ;)0(1lim lim 121>==-+∞→+∞→x x x n n n n 而,从而)1()(lim 1f x f x =→;)1()lim ()(lim )(11f x f x f x f n x n x ===→→所以,(为常数).C x f ≡)()1(f C =75.求极限:.21n n n tan n lim ⎪⎭⎫ ⎝⎛∞→解:注意到⎥⎦⎤⎢⎣⎡⎪⎭⎫ ⎝⎛⋅=⎪⎭⎫ ⎝⎛n tan n ln n exp n tan n n 1122,⎪⎪⎭⎪⎪⎬⎫⎪⎪⎩⎪⎪⎨⎧-⎥⎦⎤⎢⎣⎡⎪⎭⎫ ⎝⎛-+⋅⎪⎭⎫ ⎝⎛-⋅=11111112n tan n n tan n ln n tan n n exp 且,111111=-⎥⎦⎤⎢⎣⎡⎪⎭⎫ ⎝⎛-+∞→ntan n n tan n ln lim n 而22111tan lim 11tan lim n n n n n n n n -=⎪⎭⎫ ⎝⎛-∞→∞→30201tan lim1tan lim y y y y y y y y ny -=-=→→=.yy tan lim y y sec lim y y 31331220220==-=→→故.e n tan n lim n n 3121=⎪⎭⎫⎝⎛∞→76.已知,,求.12a =()11112n n n a a n a +⎛⎫=+> ⎪⎝⎭lim n n a →∞解:很明显,,,,,12a =0n a >11112n n n a a a +⎛⎫=+≥ ⎪⎝⎭()12111122n n n a n a a +⎛⎫=+≤>⎪⎝⎭所以,,单调有界,存在;1212n n a a a +≤≤≤≤= {}n a lim n n a →∞记,则由得,注意到,解得.lim n n a l →∞=1112n n n a a a +⎛⎫=+ ⎪⎝⎭112l l l ⎛⎫=+ ⎪⎝⎭21≤≤l 1l =77.设函数,求.xx y +=12()n y 解:,,11112++-=+=x x x x y 2111111⎪⎭⎫⎝⎛+-='⎥⎦⎤⎢⎣⎡⎪⎭⎫ ⎝⎛++-='x x x y ,()()322121111+-='⎪⎪⎭⎫ ⎝⎛⎪⎭⎫ ⎝⎛+-=''x x y 由数学归纳法可得:.()()())1(1!11>+-=+n x n yn n n 78.设函数在区间上连续,在内可导,且,()x f []0,1()0,1()()010==f f .试证:121=⎪⎭⎫ ⎝⎛f (1)存在,使;1,12η⎛⎫∈⎪⎝⎭()ηη=f (2)对任意实数,必存在,使得.λ()0,ξη∈()()1f f ξλξξ'--=⎡⎤⎣⎦证明:(1)设,则在区间上连续,在内可导,且()()h x x f x =-()h x []0,1()0,1,,,则存在,,即()00h =()11h =11022h ⎛⎫=-< ⎪⎝⎭1,12η⎛⎫∈ ⎪⎝⎭()()0h f ηηη=-=.()ηη=f (2)记,在区间上连续,在内可导,且,()()xF x f x x e λ-=-⎡⎤⎣⎦[]0,1()0,1()00F =,则由定理,必存在,使得,即()0F η=Rolle ()0,ξη∈()0F ξ'=.()()1f f ξλξξ'--=⎡⎤⎣⎦79.判断级数的敛散性.11nn ¥=åò提示:.220001122n xdx n n>=®<òòò80.证明:当时,.0>x ()x x xx<+<+1ln 1证明:记,则在上连续因而可积.tt f +=11)()(t f []x 0由积分第一中值定理,比存在一点,使得:()x 0∈ξ,()()x f dt t x x⋅=+=+⎰ξ0111ln 即.()x x ξ+=+111ln 而,,x <<ξ011111<+<+ξx ∴,)0(11><+<+x x x x x ξ即.()x x x x<+<+1ln 181.求在条件下,()22212312323,,2334f x x x x x x x x =+++2221231x x x ++=()123,,f x x x 的最大值和最大值点.解:利用拉格朗日乘数法,设,()()22222212312323123,,,23341L x x x x x x x x x x x λλ=++++++-,则123112233322221234206240624010x x x L x x L x x x L x x x L x x x λλλλ'=+=⎧⎪'=++=⎪⎨'=++=⎪⎪'=++-=⎩.1231222312323(1)020121(2)05x x x x Maxf x x x x x Maxf x x λ≠⇒=-⇒==→=±⇒=⎧+=⎪=⇒⇒==⇒=⎨=⎪⎩82.设随机变量,问:当取何值时,落入区间的概率最大?()2~,X N μσσX ()1,3解:因为,()212~x X f x σ⎛⎫- ⎝⎭=,{}133113()X P X P g σσσσσσ∆⎧⎫⎛⎫⎛⎫<<=<<=Φ-Φ=⎨⎬ ⎪ ⎪⎩⎭⎝⎭⎝⎭利用微积分中求极值的方法,有223311()g σσσσσ⎛⎫⎛⎫⎛⎫'''=-Φ+Φ ⎪ ⎪ ⎪⎝⎭⎝⎭⎝⎭;222222221311111422231111130e e σσσσ⎛⎫⎛⎫⎛⎫⎛⎫---- ⎪ ⎪⎝⎭⎝⎭⎝⎭⎝⎭⎡⎤⎢⎥==-=⎢⎥⎣⎦令得,则;又,故.404ln 3σ=0σ=0()0g σ''<0σ=故当落入区间的概率最大.σ=X ()1,383.设,讨论方程的实数根.x e x f x λ-=)(0=-x e x λ解:(1)显然,当时,方程没有实根;0λ=0=-x e x λ(2)当时,方程有唯一实根;0λ<0=-x e xλ(3)当时,;曲线为下凸的,0>λ0)(,)(>=''-='x x e x f e x f λx e x f x λ-=)(呈∪型;由可知,驻点,极小值,0)(=-='λx e x f λln 0=x )ln 1()(0λλ-=x f 由此可知,当时,方程没有实根;e <<λ00=-x e x λ当,极小值,方程只有一个实根;e =λ0)ln 1()(0=-=λλxf 0=-x e x λλln 0=x 当,极小值,方程有2个实根.e >λ0)ln 1()(0<-=λλxf 0=-x e xλ84.函数的单调增减区间、凹凸区间与极值.()()()211f x x x =-+解:,()()()()()()()()()22111211131f x x x ,f x x x x x x '=-+=++-+=+-由得驻点:;()0f x '=113x ,=-由上可知,函数在与内单调递增,在内递减;极()f x ()1,-∞-13,⎛⎫+∞ ⎪⎝⎭113,⎛⎫- ⎪⎝⎭大值,极小值;()10f -=132327f ⎛⎫=-⎪⎝⎭由可得,因而函数曲线在内()()()211f x x x =-+()62f x x ''=+13,⎛⎫-∞- ⎪⎝⎭,函数曲线上凸;在内下凸,如下图.()0f x ''<13,⎛⎫-+∞ ⎪⎝⎭85.已知收益函数为,其中为价格,为需求量,求需求弹性时260R=Q Q -P Q 2d ε=-的边际收益.MR 解:因为,所以需求函数,边际收益函数为,且260R=Q Q -60P Q =-602R =Q '-需求弹性函数为;60601d P dQ Q Q dP Q Qε-==-=-当需求弹性时,,此时的边际收益.2d ε=-20Q =()20604020MR R '==-=86.设函数,求其渐近线.xx exe x f y 111)(+==解:首先考虑其水平渐近线和垂直渐近线:x()1,-∞-1-113,⎛⎫- ⎪⎝⎭1313,⎛⎫+∞ ⎪⎝⎭()f x '+0-0+()f x 增加极大值递减极小值递增因为,,,所以,1lim 1=∞→x x e +∞=+→x x e 100lim 0lim 100=-→xx e ;11011lim lim lim 0(1)(1)1t x t t t t x xxee t t e t e x e+-→+∞→+∞→⎛⎫==== ⎪++⎝⎭+;11011lim lim lim 0(1)(1)1t x t t t t x xxee t t e t e x e--→-∞→-∞→⎛⎫==== ⎪++⎝⎭+;110011limlim lim (1)(1)1t x t t x t t xxee t t e t e x e-→∞→→⎛⎫===∞=⎪++⎝⎭+故而没有水平渐近线和垂直渐近线;xx exex f y 111)(+==由于,()111limlim 21xx x xf x e a x e →∞→∞===+()1111111211lim lim lim 2211x x x x x x x x xe x e xe b fx x x e e →∞→∞→∞⎡⎤⎛⎫-+⎢⎥⎡⎤ ⎪⎡⎤⎝⎭⎢⎥⎢⎥=-=-=⎢⎥⎢⎢⎥⎣⎦++⎢⎥⎢⎥⎣⎦⎢⎥⎣⎦,11011111122lim lim 2(1)41x t t x t xx xe e t t e x e→∞→-+-⎛⎫==== ⎪+⎝⎭+故而有斜渐近线:.xx exe x f y 111)(+==4121+=x y 87.求函数曲线的渐近线.()1ln 1x y e x=++解:显然,,为其垂直渐近线;()01lim ln 1x x e x→⎡⎤++=∞⎢⎥⎣⎦0x =,为其水平渐近线;()()1lim ln 1lim ln 10x xx x e e x →-∞→-∞⎡⎤++=+=⎢⎥⎣⎦0y =又,,,因而()()11ln 1ln 1x x y e x e x x -=++=+++()1lim ln 10x x e x -→+∞⎡⎤++=⎢⎥⎣⎦为其一条斜渐近线.y x=88.若,试证明:与具有相同的敛散性.lim (0)n n a a a →∞=≠∑∞=+-11n n n a a ∑∞=+-1111n nn a a 证明:问题为讨论两个正项级数的敛散性,可以用比较法的极限形式,因为不是具体的级数形式.记,则,111nn n a a V -=+0,0>>n n V U ==n n n V U ∞→limnn nn n a a a a 11lim11--=++∞→1.lim +∞→n n n a a )0(2≠a 可见,与具有相同的敛散性.∑∞=+-11n n n a a∑∞=+-1111n nn a a 89.讨论下列级数的敛散性:(1)2);(3);(4)1n ∞=11tan 2n n n ∞+=∑()3113nnn n n ∞=⎤+-⎣⎦∑()∑∞=+-+121211n n n n n(5);(6);(7).()()1111ln 1n n n ∞+=-+∑()211nn n n ∞=-+∑()()1111ln n n nn e e ∞+-=-+∑解:(1)当充分大时,比如时,有,从而n 3>n ()n n <+<1ln 1,而当时,,()n n n n <+<1ln 1∞→n 1→n n由极限的夹逼性定理知,当时,,所以,∞→n 1→1n ∞=(2)注意到,这是正项级数,当时,(等价无穷小),0→x x x ~tan 所以,而后者收敛,所以收敛.11tan ~2n n n π∞+=∑112n n n π∞+=∑11tan 2n nn π∞+=∑(3)利用柯西判别法:也是正项级数,,可见原()33113n+-=<→级数收敛;事实上,,,)())333111333nnnn nnnn nn ⎤+-+⎣⎦<<3113nnn n ∞=⎤⎣⎦∑都收敛,且同为正项级数,因而原级数收敛.3113nn n n ∞=⎤⎣⎦∑(4)因为,()()111111122221212112121→+⋅+⋅=+=+=+-+-nn nnnn n n n n n n nnnnnu 改用比较判别法:取,则21nv n =;()11lim 1lim lim 122121=⎪⎪⎭⎫⎝⎛+=+=+∞→++∞→∞→n n n n n nn n n n n nv u其中()(){}1122222lim lim exp lim 12ln ln 111n x n x x n x x x x n x ++→∞→+∞→+∞⎛⎫⎛⎫⎡⎤==+-+ ⎪ ⎪⎣⎦++⎝⎭⎝⎭,()()()()()22222222ln ln 1211exp lim exp lim exp lim 111111x x x x x x x x x x x x x →+∞→+∞→+∞⎧⎫⎧⎫⎪⎪-⎪⎪⎧⎫-++⎪⎪⎪⎪⎪⎪+===-=⎨⎬⎨⎬⎨⎬+⎪⎪⎪⎪⎪⎪-⎩⎭+⎪⎪⎪⎪+⎩⎭⎩⎭所以,与同时收敛.()∑∞=+-+121211n n n nn ∑∞=121n n(5)条件收敛.(6),发散.()()22111111nnn n n nn n n∞∞∞===-+-=+∑∑∑(7)=,()()1111ln n n n n e e ∞+-=-+∑()()12111ln 1n n n e n∞+=-+-∑,()222ln 1n n n e n e n e +-<-<()()()22222lim lim lim ln 1ln 1ln n x xn x x x n x x e e e e n e x e e -→∞→+∞→+∞==+-+-+==∞.()=+-=--+∞→x x x x xx e e e e e 22lim ()22221lim 1x x x x e e e →+∞+-x xx x ee e 2532106lim ++∞→另一方面,==,;()x x e e -+ln 1()xe x 21ln 1-++()x e xx x 1~1ln 11112-++()+∞→x 可见,原级数非绝对收敛;但是单调减少且趋于0,所以,原级数条件收敛.()x x e e -+ln 190.若正项级数与都发散,讨论与的敛散性.1nn v∞=∑1nn u∞=∑{}1max ,nnn u v ∞=∑{}1min ,nnn u v ∞=∑解:,,{}{}1max ,2n n n n n n u v u v u v =++-{}{}1min ,2n n n n n n u v u v u v =+--(1)显然,,或者,故而{}{}1max ,2n n n n n n n u v u v u v u =++-≥{}max ,n n n u v v ≥发散;{}1max ,nnn u v ∞=∑(2)而的敛散性未定.{}1min ,nnn u v ∞=∑例如,若,()222211111111123456212n n u n n ∞==+++++++++-∑ ,()222=11111111123456221n n v n n ∞=+++++++++-∑。
微积分(经管类复习题)2011.5一、选择题1. 二元函数)3ln(1),(22y x y x f --=的定义域为( ).A 222<+y x .B 222≤+y x.C 322<+y x .D 322≤+y x2. 点),(00y x 使0),(='y x f x 且0),(='y x f y 成立,则( ) .A ),(00y x 是),(y x f 的极值点 .B ),(00y x 是),(y x f 的最小值点 .C ),(00y x 是),(y x f 的最大值点 .D ),(00y x 可能是),(y x f 的极值点 3. 级数∑∞=1n naq收敛的充分条件是( ).A 1>q .B 1=q .C 1<q .D 1<q 4. 计算二重积分⎰⎰Dxydxdy ,其中区域{}10,10),(≤≤≤≤=y x y x D ( ).A 1 .B41 .C 21.D 4 5. 幂级数∑∞=1n nnx 的收敛域是( ).A []11,- .B [)11,- .C ()11,- .D (]11,- 6.函数),(y x f z =在点),(00y x 处 ( ) A. 可微一定连续 B. 可微一定不连续C. 偏导数存在一定可微D. 偏导数存在一定不可微 7.下列广义积分为收敛的是 ( ) A.⎰∞+edx xxln B. ⎰∞+exx dxln C. ⎰∞+ex x dx2)(ln D. ⎰∞+exx dx ln8. 设D 由,2,1y x y x y ===围成,则Ddxdy ⎰⎰= ( )A.12 B. 14 C. 1 D.329. 设正项级数∑∞=1n nu收敛, 则在下列级数中,一定收敛的是( )A.∑∞=1n n u B. ∑∞=-1)1(n n nu C. ∑∞=11n n u D. ∑∞=+1)21(n n u10. 幂级数∑∞=+1)2(n nnx 的收敛域是 ( )A. )1,3(--B. ]1,3[--C.]1,3(--D.)1,3[-- 二、填空题(每小题2分,共10分) 1. 设级数∑∞=1n nu收敛,∑∞=1vn n发散,则级数∑∞=+1)(n n nv u(收敛,发散)2. 级数∑∞=1!3n nn (收敛,发散)3. 判断交错级数∑∞=--1121n nn )(是 (收敛,发散)4. 微分方程0=+xdy ydx ,满足条件1)1(=y 的特解=y5. 微分方程052=+'-''y y y 的通解为6. 函数)ln(xy x z =在点)2,1(处的偏导数=∂∂xz_____________=∂∂y z ______________7. 函数xy z )1(+=的全微分dz =________________________ 8. 化二重积分为二次积分⎰⎰Ddxdy y x f ),(,{}03,032,0|),(=-+=+-==y x y x y y x D ________________9. 若级数∑∞=+111n an收敛,则a 的取值范围___________________10. 若幂级数∑∞=1n n nx a收敛,且在3=x 条件收敛,则收敛半径R =__________11.若正项级数∑∞=1n nu收敛,则∑∞=-1)2(n nu收敛或发散?__________________12.微分方程0)1()1(22=+++dx y x dy x y ,满足初始条件1|1==x y 的特解 13. 设)(x f 是连续函数,且⎰+=10)(2)(dt t f x x f ,则=)(x f14. 反常积分dx xx⎰∞+12ln 的值= 15. 交换积分次序ln 1(,)e x dx f x y dy ⎰⎰=16. 级数∑∞=+011n na当a 满足条件 时级数收敛 17.微分方程)1(x y y -='满足条件1)0(=y 的特解为___________ 18. 微分方程690y y y '''-+=的通解19. 微分方程0y y y '''++=的通解三、计算题1. 设),(v u f z =有一阶连续偏导,且xy u =,x v sin =,求dz2. 设方程xyz z y x =++222确定一个二元隐函数),(y x f z =,求xz ∂∂ ,y z ∂∂3. 交换二次积分的次序:⎰⎰⎰⎰-+212010),(),(y y dx y x f dy dx y x f dy4. 采用极坐标计算二重积分⎰⎰++Ddxdy yx2211,其中区域D :)0(222>≤+a a y x5. 讨论正项级数)0()1(1>+∑∞=a n nann 的敛散性6. 判断级数∑∞=+12)1(sin n n na是绝对收敛,还是条件收敛7. 求幂级数∑∞=+12)3(n nnx 的收敛半径和收敛域 8. 求微分方程yxx y dx dy +=满足初始条件2)1(=y 的特解 9. 求微分方程x xe y xy +='1的通解10.计算定积分dx x x 21021-⎰11. 求函数dt e t x f x t ⎰--=20)2()(的最大值和最小值12. 设xyez xyarctan +=,求dz13. 设)(xy f z =,其中f 可微,求yz x z ∂∂∂∂, 14. 计算二重积分⎰⎰Dxdxdy ,其中D 是以点)0,0(O ,)2,1(A 和)1,2(B 为顶点的三角形区域15. 计算二重积分⎰⎰++Dd y x σ)1ln(22,其中D 为圆122=+y x 所围在第一象限中的区域. 16.判别级数∑∞=1!n n nn 的敛散性. 17.判别级数1)1(21+-∑∞=n nn n的敛散性,如果收敛,是条件收敛还是绝对收敛? 18. 求微分方程x y x y dx dy tan +=,满足初始条件41π==x y 的特解 19. 求微分方程1=-y e dxdy e x x 的通解 20.求由方程032)32sin(2=+---+z y x z y x 确定),(y x z z =的隐函数的导数。
21.交换积分次序⎰⎰+-122),(x x dy y x f dx22.设级数∑∞=-1)12(n nn n ,判别敛散性。
23.求幂级数∑∞=-+13)3(1n n x nn 的收敛域。
24.求微分方程x xy y =+'的通解。
25.求微分方程20y y y '''+-=满足初始条件(0)0,(0)3y y '==的特解。
四、应用题和证明题1.某公司可通过电台及报纸两种方式做销售某商品的广告,据统计资料,销售收入R (万元)与电台广告费用x (万元)及报纸广告费用y (万元)之间的关系有如下的经验公式: 2210283214y x xy y x R ---+=若提供的广告费用为5.1万元,求销售收入最大时的广告策略。
2. 证明:⎰⎰⎰-=110)()()(2dx x f e e dx x f e dy x y y3.设曲线xy e =,过其上一点(1,)M e 的切线为L ,求该曲线、切线L 及y 轴所围的平面图形的面积及该图形绕x 轴旋转所得的旋转体的体积. 4.数列{}n u 单调减少,其中)3,2,1(0 =>n u n ,且级数∑∞=-1)1(n n nu 发散,证明级数∑∞=+1)11(n nn u 收敛 5.根据统计数据得到,国民收入Y 、国民储蓄S 和消费I 均是时间t 的函数,且储蓄额S 为国民收入的121,(在时刻t ),消费额I 为国民收入增长率的32,当0=t 时,国民收入为8亿元,试求国民收入函数(假定在时刻t 的储蓄全部用于消费)6.设v u z arctan =,y x v y x u -=+=,,证明22y x y x y z x z +-=∂∂+∂∂.。