高中数学-三角函数诱导公式(带答案)
- 格式:doc
- 大小:140.00 KB
- 文档页数:3
三角函数诱导公式对于角“k π2±α”(k ∈Z)的三角函数记忆口诀“奇变偶不变,符号看象限”,意思是说k π2±α,k ∈Z 的角函数值前面加上当α为锐角时,原函数值的符号.例1.sin 585°的值为 ( )A .-2 B.2 C .-3 D.3例2:已知sin(π+θ)=-3cos(2π-θ),|θ|<π2,则θ等于 ( )A .-πB .-π C.π D.π例3:如果sin(π+A )=12,那么cos ⎪⎫⎛-A 3 的值是________. 例5:若角α的终边落在第三象限,则cos α1-sin 2α+2sin α1-cos 2α的值为 ( )例6:已知α∈(-π,0),tan(3π+α)=31,则cos ⎪⎭⎫⎝⎛+απ23的值为 ( ) A.1010 B .-1010 C.31010 D .-31010解:tan α=13,cos ⎪⎭⎫⎝⎛+απ23=sin α.∵α∈(-π,0),∴sin α=-1010. A .-32 B.32 C.3-12 D.3+12解:sin 600°+tan 240°=sin(720°-120°)+tan(180°+60°)=-sin 120°+tan 60°=-32+3=32. ( ) A .3 B .5 C .1 D .不能确定解:f(2 011)=asin(2 011π+α)+bcos(2 011π+β)+4=asin(π+α)+bcos(π+β)+4=-asin α-bcos β+4 =5.∴asin α+bcos β=-1.∴f(2 012)=asin(2 012π+α)+bcos(2 012π+β)+4=asin α+bcos β+4 =-1+4=3.1.诱导公式在三角形中经常应用,常用的变形结论有:A +B =π-C ; 2A +2B +2C =2π;A 2+B 2+C 2=π2.2.求角时,一般先求出该角的某一三角函数值,再确定该角的范围,最后求角.例9:△ABC 中,cos A =13,则sin(B +C )=________.解:∵△ABC 中,A +B +C =π,∴sin(B +C )=sin(π-A )=sin A =1-cos 2A =223.例10:在△ABC 中,若sin(2π-A )=-2sin(π-B ),3cos A =-2cos(π-B ),求△ABC 的三个内角. 解:由已知得⎩⎨⎧sin A =2sin B ①3cos A =2cos B ②①2+②2得2cos 2A =1,即cos A =22或cos A =-22.(1)当cos A =22时,cos B =32,又A 、B 是三角形的内角,∴A =π4,B =π6,∴C =π-(A +B )=712π. A .B .C .D .2.cos (﹣30°)的值是( ) A .B .C .D .3.下列能与sin20°的值相等的是( ) A .cos20° B .sin (﹣20°) C .sin70° D .sin160°4.已知,则下列各式中值为的是( )A .B .sin (π+α)C .D .sin (2π﹣α)换元法与诱导公式例11:已知41)3sin(=+απ,则=-)6cos(απ 。
1.3.1三角函数的诱导公式(一)学习目标 1.了解三角函数的诱导公式的意义和作用.2.理解诱导公式的推导过程.3.能运用有关诱导公式解决一些三角函数的求值、化简和证明问题.思考给定角α,角α的终边与单位圆的交点P,如何用角α三角函数来表示?知识点一诱导公式二思考角π+α的终边与单位圆的交点P1(cos(π+α),sin(π+α))与点P(cosα,sinα)有怎样的关系?公式二sin(π+α)=-sin αcos(π+α)=-cosαtan(π+α)=tan α知识点二诱导公式三思考角-α的终边与单位圆的交点P2 (cos(-α),sin(-α))与点P(cosα,sinα)有怎样的关系?公式三sin(-α)=-sin αcos(-α)=cosαtan(-α)=-tan α知识点三诱导公式四思考1角π-α的终边与单位圆的交点P3(cos(π-α),sin(π-α))与点P(cosα,sinα)有怎样的关系?公式四sin(π-α)=sin αcos(π-α)=-cosαtan(π-α)=-tan α思考2 公式一~四都叫做诱导公式,它们分别反映了2k π+α(k ∈Z ),π+α,-α,π-α的三角函数与α的三角函数之间的关系,你能概括一下这四组公式的共同特点和规律吗?类型一 给角求值问题例1 求下列各三角函数式的值.(1)cos210°;(2)sin 114π;(3)sin(-43π6);(4)cos(-1920°).反思与感悟 利用诱导公式求任意角三角函数值的步骤: (1)“负化正”:用公式一或三来转化.(2)“大化小”:用公式一将角化为0°到360°间的角. (3)“小化锐”:用公式二或四将大于90°的角转化为锐角. (4)“锐求值”:得到锐角的三角函数后求值. 跟踪训练1 求下列各三角函数式的值: (1)sin1320°; (2)cos ⎝⎛⎭⎫-31π6; (3)tan(-945°).类型二 给值(式)求值问题例2 (1)已知sin(α-360°)-cos(180°-α)=m ,则sin(180°+α)·cos(180°-α)等于( ) A.m 2-12 B.m 2+12 C.1-m 22 D .-m 2+12(2)已知cos ⎝⎛⎭⎫π6-α=33,求cos ⎝⎛⎭⎫56π+α-sin 2⎝⎛⎭⎫α-π6的值.反思与感悟 1.解决条件求值问题,首先要仔细观察条件与所求式之间的角、函数名及有关运算之间的差异及联系.2.可以将已知式进行变形向所求式转化,或将所求式进行变形向已知式转化. 类型三 三角函数式的化简 例3 化简下列各式.(1)tan (2π-α)sin (-2π-α)cos (6π-α)cos (α-π)sin (5π-α);(2)1+2sin290°cos430°sin250°+cos790°.反思与感悟 三角函数式的化简方法:(1)利用诱导公式,将任意角的三角函数转化为锐角的三角函数. (2)常用“切化弦”法,即表达式中的切函数通常化为弦函数. (3)注意“1”的变式应用:如1=sin 2α+cos 2α=tan π4.跟踪训练3 化简下列各式. (1)cos (π+α)·sin (2π+α)sin (-α-π)·cos (-π-α); (2)cos190°·sin (-210°)cos (-350°)·tan (-585°).1.计算sin 2150°+sin 2135°+2sin210°+cos 2225°的值是( ) A.14 B.34 C.114 D.94 2.sin ⎝⎛⎭⎫-236π的值是( ) A.12 B .-12 C.32 D .-32 3.记cos(-80°)=k ,那么tan100°等于( )A.1-k 2k B .-1-k 2k C.k 1-k 2 D .-k 1-k 24.已知cos(α-75°)=-13,且α为第四象限角,求sin(105°+α)的值.5.化简:(1)cos (α-π2)sin (5π2+α)·sin (α-2π)·cos(2π-α);1.明确各诱导公式的作用诱导公式 作用公式一 将角转化为0~2π之间的角求值 公式二 将0~2π内的角转化为0~π之间的角求值公式三 将负角转化为正角求值 公式四将角转化为0~π2之间的角求值2.这四组诱导公式的记忆口诀是“函数名不变,符号看象限”.其含义是诱导公式两边的函数名称一致,符号则是将α看成锐角时原角所在象限的三角函数值的符号.α看成锐角,只是公式记忆的方便,实际上α可以是任意角.1.3.1三角函数的诱导公式(一)学习目标 1.了解三角函数的诱导公式的意义和作用.2.理解诱导公式的推导过程.3.能运用有关诱导公式解决一些三角函数的求值、化简和证明问题.思考给定角α,角α的终边与单位圆的交点P,如何用角α三角函数来表示?知识点一诱导公式二思考角π+α的终边与单位圆的交点P1(cos(π+α),sin(π+α))与点P(cosα,sinα)有怎样的关系?公式二sin(π+α)=-sin αcos(π+α)=-cosαtan(π+α)=tan α知识点二诱导公式三思考角-α的终边与单位圆的交点P2(cos(-α),sin(-α))与点P(cosα,sinα)有怎样的关系?公式三sin(-α)=-sin αcos(-α)=cosαtan(-α)=-tan α知识点三 诱导公式四思考1 角π-α的终边与单位圆的交点P 3(cos(π-α), sin(π-α))与点P (cos α,sin α)有怎样的关系? 公式四 sin(π-α)=sin α cos(π-α)=-cos α tan(π-α)=-tan α 思考2 公式一~四都叫做诱导公式,它们分别反映了2k π+α(k ∈Z ),π+α,-α,π-α的三角函数与α的三角函数之间的关系,你能概括一下这四组公式的共同特点和规律吗?类型一 给角求值问题例1 求下列各三角函数式的值. (1)cos210°;(2)sin 114π;(3)sin(-43π6);(4)cos(-1920°).反思与感悟 利用诱导公式求任意角三角函数值的步骤: (1)“负化正”:用公式一或三来转化.(2)“大化小”:用公式一将角化为0°到360°间的角. (3)“小化锐”:用公式二或四将大于90°的角转化为锐角. (4)“锐求值”:得到锐角的三角函数后求值. 跟踪训练1 求下列各三角函数式的值: (1)sin1320°; (2)cos ⎝⎛⎭⎫-31π6; (3)tan(-945°).类型二 给值(式)求值问题例2 (1)已知sin(α-360°)-cos(180°-α)=m ,则sin(180°+α)·cos(180°-α)等于( ) A.m 2-12B.m 2+12C.1-m 22D .-m 2+12(2)已知cos ⎝⎛⎭⎫π6-α=33, 求cos ⎝⎛⎭⎫56π+α-sin 2⎝⎛⎭⎫α-π6的值.反思与感悟 1.解决条件求值问题,首先要仔细观察条件与所求式之间的角、函数名及有关运算之间的差异及联系.2.可以将已知式进行变形向所求式转化,或将所求式进行变形向已知式转化.类型三 三角函数式的化简 例3 化简下列各式.(1)tan (2π-α)sin (-2π-α)cos (6π-α)cos (α-π)sin (5π-α);(2)1+2sin290°cos430°sin250°+cos790°.反思与感悟 三角函数式的化简方法:(1)利用诱导公式,将任意角的三角函数转化为锐角的三角函数. (2)常用“切化弦”法,即表达式中的切函数通常化为弦函数. (3)注意“1”的变式应用:如1=sin 2α+cos 2α=tan π4.跟踪训练3 化简下列各式. (1)cos (π+α)·sin (2π+α)sin (-α-π)·cos (-π-α); (2)cos190°·sin (-210°)cos (-350°)·tan (-585°).1.计算sin 2150°+sin 2135°+2sin210°+cos 2225°的值是( ) A.14B.34C.114D.942.sin ⎝⎛⎭⎫-236π的值是( )A.12B .-12C.32D .-323.记cos(-80°)=k ,那么tan100°等于( ) A.1-k 2kB .-1-k 2kC.k1-k2 D .-k1-k2 4.已知cos(α-75°)=-13,且α为第四象限角,求sin(105°+α)的值.5.化简:(1)cos (α-π2)sin (5π2+α)·sin(α-2π)·cos(2π-α);1.明确各诱导公式的作用诱导公式 作用公式一 将角转化为0~2π之间的角求值 公式二 将0~2π内的角转化为0~π之间的角求值公式三 将负角转化为正角求值 公式四将角转化为0~π2之间的角求值2.这四组诱导公式的记忆口诀是“函数名不变,符号看象限”.其含义是诱导公式两边的函数名称一致,符号则是将α看成锐角时原角所在象限的三角函数值的符号.α看成锐角,只是公式记忆的方便,实际上α可以是任意角.提醒:完成作业§1.3(一)★答案★精析 问题导学思考 由三角函数的定义知y =sin α,x =cos α. ∴交点P (cos α,sin α) . 知识点一思考 关于原点对称.知识点二思考 关于x 轴对称.知识点三思考1 答 关于y 轴对称.思考2 2k π+α(k ∈Z ),π+α,-α,π-α的三角函数值,等于α的同名函数值,前面加上一个把α看成锐角时原函数值的符号.简记为“函数名不变,符号看象限”. 题型探究例1 解 (1)cos210°=cos(180°+30°) =-cos30°=-32. (2)sin 11π4=sin(2π+3π4)=sin 34π=sin(π-π4)=sin π4=22.(3)sin(-43π6)=-sin(6π+7π6) =-sin 7π6=-sin(π+π6)=sin π6=12.(4)cos(-1920°)=cos1920°=cos(5×360°+120°)=cos120°=cos(180°-60°)=-cos60°=-12. 跟踪训练1 解 (1)方法一 sin1320°=sin(3×360°+240°)=sin240° =sin(180°+60°)=-sin60°=-32. 方法二 sin1320°=sin(4×360°-120°)=sin(-120°)=-sin(180°-60°)=-sin60°=-32. (2)方法一 cos ⎝⎛⎭⎫-31π6=cos 31π6=cos ⎝⎛⎭⎫4π+7π6 =cos(π+π6)=-cos π6=-32. 方法二 cos ⎝⎛⎭⎫-31π6=cos ⎝⎛⎭⎫-6π+5π6 =cos ⎝⎛⎭⎫π-π6=-cos π6=-32. (3)tan(-945°)=-tan945°=-tan(225°+2×360°)=-tan225°=-tan(180°+45°)=-tan45°=-1.例2 A [sin(α-360°)-cos(180°-α)=sin α+cos α=m ,sin(180°+α)cos(180°-α)=sin αcos α=(sin α+cos α)2-12=m 2-12.] (2)解 ∵cos ⎝⎛⎭⎫56π+α =cos ⎣⎡⎦⎤π-⎝⎛⎭⎫π6-α =-cos ⎝⎛⎭⎫π6-α=-33, sin 2⎝⎛⎭⎫α-π6=sin 2⎣⎡⎦⎤-⎝⎛⎭⎫π6-α=1-cos 2⎝⎛⎭⎫π6-α=1-⎝⎛⎭⎫332=23, ∴cos ⎝⎛⎭⎫56π+α-sin 2⎝⎛⎭⎫α-π6 =-33-23=-2+33. 例3 解 (1)原式=sin (2π-α)cos (2π-α)·sin (-α)cos (-α)cos (π-α)sin (π-α)=-sin α(-sin α)cos αcos α(-cos α)sin α=-sin αcos α=-tan α. (2)原式 =1+2sin (360°-70°)cos (360°+70°)sin (180°+70°)+cos (720°+70°) =1-2sin70°cos70°-sin70°+cos70°=|cos70°-sin70°|cos70°-sin70°=sin70°-cos70°cos70°-sin70°=-1. 跟踪训练3 解 (1)原式=-cos α·sin α-sin (π+α)·cos (π+α)=cos α·sin αsin α·cos α=1. (2)原式=cos (180°+10°)·[-sin (180°+30°)]cos (-360°+10°)·[-tan (360°+225°)] =-cos10°·sin30°cos10°·[-tan (180°+45°)]=-sin30°-tan45°=12. 达标检测1.A 2.A 3.B4.解 ∵cos(α-75°)=-13<0,且α为第四象限角, ∴α-75°是第三象限角.∴sin(α-75°)=-1-cos 2(α-75°)=-1-⎝⎛⎭⎫-132=-223. ∴sin(105°+α)=sin [180°+(α-75°)]=-sin(α-75°)=223.5.解 (1)原式=cos (π2-α)sin (π2+α)·[-sin(2π-α)]·cos(2π-α)=sin αcos α·sin α·cos α=sin 2α;。
简单已测:2388次正确率:95.4 %1.的值为( )A.B.C.D.考点:利⽤诱导公式求三⻆函数的值知识点:诱导公式⼀:终边相同的⻆,同名三⻆函数值相等、诱导公式的应⽤答案:A解析:,故选:A.⼀般已测:4680次正确率:80.0 %2.化简( )A.B.C.D.考点:同⻆三⻆函数基本关系的运⽤、利⽤诱导公式化简三⻆函数式知识点:同⻆三⻆函数的基本关系的应⽤、诱导公式的应⽤答案:B 解析:,故选:B.简单已测:3090次正确率:81.2 %3.的值等于( )A.B.C.D.考点:利⽤诱导公式求三⻆函数的值知识点:诱导公式⼀:终边相同的⻆,同名三⻆函数值相等答案:C解析:.故选:.简单已测:1684次正确率:90.5 %4.对于,下列等式中恒成⽴的是( )A.tan (−330)∘ 3 3− 3−333tan −330=tan 30= (∘)∘33 =cos (π−α)tan (3π−α)sin (2π−α)tan (π+α)sin ( +α)2πcos α−sin α−cos αsin α= =−sin αcos (π−α)tan (3π−α)sin (2π−α)tan (π+α)sin ( +α)2πcos αtan α−sin αtan αcos αsin 32017π 21−21 2 3−23sin =sin = 32017π3π23C α∈R cos(−α)=−cos αB.C.D.考点:利⽤诱导公式化简三⻆函数式知识点:诱导公式⼆:终边关于原点对称、诱导公式三:终边关于x 轴对称答案:B解析:对于,对于,对于⼀般已测:3662次正确率:74.6 %5.已知,则( ).A.B.C.D.考点:利⽤诱导公式根据条件求值知识点:诱导公式三:终边关于x 轴对称、诱导公式五:⻆度互余答案:D解析:,,则.故答案为:.中等已测:4495次正确率:75.4 %6.下列关系中正确的是( )A.B.C.D.考点:利⽤诱导公式化简三⻆函数式、正弦函数的单调性问题知识点:诱导公式四:⻆度互补、诱导公式五:⻆度互余答案:B解析:,,由三⻆函数线可知.即,故选.⼀般已测:685次正确率:84.8 %sin(−α)=−sin αsin(π+α)=sin αcos(π+α)=cos αA:cos(−α)=cos αC:sin(π+α)=−sin αD :cos(π+α)=−cos αsin(α+75)= ∘21cos(α−15)=∘2 3−23−21 21∵sin(α+75)= ∘21∴cos[90−(α+75)]=cos (15−α)=∘∘∘21cos(α−15)=cos(15−α)= ∘∘21 21sin 15<sin 163<cos 74∘∘∘sin 15<cos 74<sin 163∘∘∘sin 163<sin 15<cos 74∘∘∘cos 74<sin 163<sin 15∘∘∘∵sin 163=sin 17∘∘cos 74=sin 16∘∘sin 15<sin 16<sin 17∘∘∘sin 15<cos 74<sin 163∘∘∘B7.设,,且,则( )A.B.C.D.考点:同⻆三⻆函数基本关系的运⽤、两⻆和与差的灵活应⽤知识点:同⻆三⻆函数的商数关系、诱导公式六:异名函数变换,⻆度相差90度答案:C解析:由,得:,即,,,,∴当时,成⽴. 故选:C .中等已测:1359次正确率:73.5 %8.已知则.考点:同⻆三⻆函数基本关系的运⽤、利⽤诱导公式化简求值知识点:同⻆三⻆函数的平⽅关系、同⻆三⻆函数的商数关系答案:解析:解:⼜故答案为:⼀般已测:113次正确率:91.8 %9.已知⻆的终边过点,则,.考点:任意⻆的三⻆函数的定义理解及应⽤、同⻆三⻆函数基本关系的运⽤知识点:任意⻆的三⻆函数定义、同⻆三⻆函数的商数关系答案:解析:⻆终边上⼀点,由三⻆函数的定义可得,,故答案为:,.⼀般已测:1931次正确率:65.1 %a∈0, (2π)β∈0, (2π)tan α= cos β1+sin β3α−β= 2π3α+β= 2π2α−β= 2π2α+β=2πtan α= cos β1+sin β = cos αsin αcos β1+sin βsin αcos β=cos α+cos αsin βsin α−β=cos α=sin −α()(2π)∵α∈0, (2π)β∈0, (2π)2α−β= 2πsin α−β=sin −α=cos α()(2π)sin (α+ )= ,2π31α∈(− ,0),2πtan α=−22∵sin (α+ )=cos α,sin (α+ )= ,2π2π31∴cos α= 31α∈(− ,0),2π∴sin α=− ,32 2∴tan α= =−2 ,cos αsin α2−2 .2θ(4,−3)tan θ= =sin θ−cos(θ−180)∘sin(θ+90)+cos θ∘− 438∵θP (4,−3)∴tan θ=− 43∴ = = =8sin θ−cos(θ−180)∘sin(θ+90)+cos θ∘sin θ−(−cos θ)cos θ+cos θtan θ+12− 438(1)(2)10.设(其中为⾮零实数),若,则.考点:利⽤诱导公式根据条件求值、利⽤诱导公式化简三⻆函数式知识点:诱导公式⼀:终边相同的⻆,同名三⻆函数值相等、诱导公式⼆:终边关于原点对称答案:解析:由题意:(其中为⾮零实数),,可得,得,那么.故答案为.⼀般已测:4980次正确率:66.9 %11.已知的终边经过点,求的值.考点:利⽤诱导公式根据条件求值、利⽤诱导公式化简三⻆函数式知识点:利⽤⻆a 终边上任意⼀点的坐标定义三⻆函数、诱导公式三:终边关于x 轴对称答案:解析:的终边经过点,,.简单已测:3829次正确率:81.5 %12.已知,其中为第三象限⻆,求的值.考点:同⻆三⻆函数基本关系的运⽤、利⽤诱导公式求三⻆函数的值知识点:同⻆三⻆函数的基本关系的应⽤、诱导公式的应⽤答案:解析:,且为第三象限⻆,,则原式.⼀般已测:2666次正确率:94.7 %13.已知.求的值.当为第三象限⻆时,求的值.考点:三⻆函数在各象限的符号、根据同⻆三⻆函数关系求值知识点:同⻆三⻆函数的基本关系的应⽤、诱导公式的应⽤(1)答案:f (x )=asin (πx +θ)+bcos (πx +θ)+3a ,b ,θf (2016)=−1f (2017)=7f (x )=asin (πx +θ)+bcos (πx +θ)+3a ,b ,θf (2016)=−1−1=asin (2016π+θ)+bcos (2016π+θ)+3asin θ+bcos θ=−4f (2017)=asin (2017π+θ)+bcos (2017π+θ)+3=asin (2016π+π+θ)+bcos (2016π+π+θ)=asin (π+θ)+bcos (π+θ)+3=−asin θ−bcos θ+3=−(asin θ+bcos θ)+3=77αP (m ,3m )(m <0) 4cos (−α)+sin (2π−α)2cos (π−α)−3sin (π+α)7∵αP (m ,3m )(m <0)∴tan α=3∴ = = =74cos (−α)+sin (2π−α)2cos (π−α)−3sin (π+α)4cos α−sin α−2cos α+3sin α4−tan α−2+3tan αcos (75+α)= ∘31αcos (105−α)+sin (α−105)∘∘ 3−1+2 2∵cos (75+α)= ∘31α∴sin (75+α)=− =− ∘1−( )31232 2=cos [180−(75+α)]+sin [(75+α)−180]=−cos (75+α)−sin (75+α)= ∘∘∘∘∘∘3−1+2 2 =3cos(π−a )sin(3π−a )sin(−π−a )sin −a cos +a (23π)(2π)sin a a cos a ,tan a −313ππ(1)(2)(1)(2)解析:,,.(2)答案: 解析:为第三象限⻆,,.⼀般已测:4393次正确率:86.8 %14.已知,计算下列各式的值.;考点:同⻆三⻆函数基本关系的运⽤、利⽤诱导公式化简求值知识点:同⻆三⻆函数的基本关系的应⽤、诱导公式的应⽤(1)答案:解析:由题易得:原式;(2)答案:解析:原式.⼀般已测:3653次正确率:87.7 %15.已知⽅程,求的值.考点:利⽤诱导公式化简三⻆函数式、三⻆函数的化简求值知识点:诱导公式的应⽤答案:解析:,且原式⼀般已测:1494次正确率:72.7 %16.已知,其中.求的值;求的值.考点:同⻆三⻆函数基本关系的运⽤、根据同⻆三⻆函数关系求值知识点:同⻆三⻆函数的平⽅关系、同⻆三⻆函数的商数关系(1)答案:解析:,;=3cos π−a sin 3π−a sin −π−a ()()()sin −a cos +a (23π)(2π)∴ =3−cos a ⋅sin a ⋅sin a −cos a ⋅−sin a ()∴− =3,sin a =− sin a 131 4 2∵a ∴cos a =− =− 1−sin a 2322∴tan a = = cos a sin a 4 2 =2sin α−cos αsin α+cos αcos α−2sin αcos α−12 cos (π−α)sin (α−3π)sin (π−α)sin ( +α)25πsin (2π−α)cos (π+α)cos (α− )cos ( −α)2π211π− 23tan α=3= = = =−sin α+cos α22cos α−2sin αcos α−12sin α+cos α22−2sin αcos α−sin α2tan α+12−2tan α−tan α223−3= =−tan α=−3−cos α(−sin α)sin αcos α−sin α(−cos α)sin α(−sin α)sin (α−3π)=2cos (α−4π) 2sin ( −α)−sin (−α)23πsin (π−α)+5cos (2π−α)− 43∵sin (α−3π)=2cos (α−4π)∴−sin (3π−α)=2cos (4π−α).∴−sin (π−α)=2cos (−α),∴sin α=−2cos αcos α≠0,∴= = = =− .−2cos α+sin αsin α+5cos α−2cos α−2cos α−2cos α+5cos α−4cos α3cos α43sinx = 540≤x ≤ 2πcosx sin −x −sin 2π−x (2π)()cos −x () 53∵sinx = ,0≤x ≤ 542π∴cosx = = 1−sin x 253(2)答案:解析:,,原式. 73∵sinx =54cosx = 53∴= = = cosx +sinx cosx + 5354 5373。
三角函数的诱导公式【学习目标】1.借助单位圆中的三角函数线导出诱导公式(απαπ±±,2的正弦、余弦、正切);2.掌握并运用诱导公式求三角函数值,化简或证明三角函数式. 【要点梳理】 要点一:诱导公式 诱导公式一:sin(2)sin k απα+=, cos(2)cos k απα+=,tan(2)tan k απα+=,其中k Z ∈诱导公式二:sin()sin αα-=-, cos()cos αα-=,tan()tan αα-=-,其中k Z ∈诱导公式三:sin[((21)]sin k απα++=-, cos[(21)]cos k απα++=-, tan[(21)]tan k απα++=,其中k Z ∈诱导公式四:sin cos 2παα⎛⎫+= ⎪⎝⎭, cos sin 2παα⎛⎫+=- ⎪⎝⎭.sin cos 2παα⎛⎫-= ⎪⎝⎭, cos sin 2παα⎛⎫-= ⎪⎝⎭,其中k Z ∈ 要点诠释:(1)要化的角的形式为α±⋅ο90k (k 为常整数); (2)记忆方法:“奇变偶不变,符号看象限”;(3)必须对一些特殊角的三角函数值熟记,做到“见角知值,见值知角”;(4)sin cos cos 444x x x πππ⎛⎫⎛⎫⎛⎫+=-=- ⎪ ⎪ ⎪⎝⎭⎝⎭⎝⎭;cos sin 44x x ππ⎛⎫⎛⎫+=- ⎪ ⎪⎝⎭⎝⎭.要点二:诱导公式的记忆诱导公式一~三可用口诀“函数名不变,符号看象限”记忆,其中“函数名不变”是指等式两边的三角函数同名,“符号”是指等号右边是正号还是负号,“看象限”是指把α看成锐角时原三角函数值的符号.诱导公式四可用口诀“函数名改变,符号看象限”记忆,“函数名改变”是指正弦变余弦,余弦变正弦,为了记忆方便,我们称之为函数名变为原函数的余名三角函数.“符号看象限”同上.因为任意一个角都可以表示为k ·90°+α(|α|<45°)的形式,所以这六组诱导公式也可以统一用“口诀”: “奇变偶不变,符号看象限”,意思是说角90k α⋅±o(k 为常整数)的三角函数值:当k 为奇数时,正弦变余弦,余弦变正弦;当k 为偶数时,函数名不变,然后α的三角函数值前面加上当视α为锐角时原函数值的符号.要点三:三角函数的三类基本题型(1)求值题型:已知一个角的某个三角函数值,求该角的其他三角函数值. ①已知一个角的一个三角函数值及这个角所在象限,此类情况只有一组解;②已知一个角的一个三角函数值但该角所在象限没有给出,解题时首先要根据已知的三角函数值确定这个角所在的象限,然后分不同情况求解;③一个角的某一个三角函数值是用字母给出的,这时一般有两组解.求值时要注意公式的选取,一般思路是“倒、平、倒、商、倒”的顺序很容易求解,但要注意开方时符号的选取.(2)化简题型:化简三角函数式的一般要求是:能求出值的要求出值;函数种类要尽可能少;化简后的式子项数最少,次数最低,尽可能不含根号.(3)证明题型:证明三角恒等式和条件等式的实质是消除式子两端的差异,就是有目标的化简.化简、证明时要注意观察题目特征,灵活、恰当选取公式. 【典型例题】类型一:利用诱导公式求值【高清课堂:三角函数的诱导公式385952 例2】例1.求下列各三角函数的值: (1)252525sincos tan()634πππ++-; (2)()()cos 585tan 300---o o(3)2222132131sin cos 6tan 10cot 243ππππ-+-⎛⎫⎛⎫⎛⎫⎪⎪⎪⎝⎭⎝⎭⎝⎭【思路点拨】利用诱导公式把所求角化为我们熟悉的锐角去求解. 【答案】(1)0(2)2-(3)16【解析】(1)原式=sin(4)cos(8)tan(6)634ππππππ+++-+sincostan634111022πππ=+-=+-=(2)原式=cos(18045)tan(36060)++-o o o o =cos 45tan 60--o o= (3)原式=2222sin (6)cos (5)6tan 10cot (10)243πππππππ+-++-+=2222sin cos 6tan 0cot 243πππ-+-=111023-+-=16【总结升华】(1)对任意角求三角函数值,一般遵循“化负为正,化大为小”的化归方向,但是在具体的转化过程中如何选用诱导公式,方法并不唯一,这就需要同学们去认真体会,适当选择,找出最好的途径,完成求值.(2)运用诱导公式求任意三角函数值的过程的本质是化任意角的三角函数为锐角三角函数的过程,而诱导公式就是这一转化的工具. 举一反三:【变式】(1)10sin 3π⎛⎫- ⎪⎝⎭;(2)31cos 6π;(3)tan (-855°).【答案】(1)2(2)2-(3)1 【解析】(1)1010sin sin 33ππ⎛⎫-=- ⎪⎝⎭44sin 2sin 33πππ⎛⎫=-+=- ⎪⎝⎭sin sin sin 3332ππππ⎛⎫⎛⎫=-+=--==⎪ ⎪⎝⎭⎝⎭.(2)3177coscos 4cos 666ππππ⎛⎫=+= ⎪⎝⎭cos cos 662πππ⎛⎫=+=-=- ⎪⎝⎭. (3)tan(-855°)=tan(-3×360°+225°)=tan225°=tan(180°+45°)=tan45°=1. 例2.已知函数()sin()cos()f x a x b x παπβ=+++,其中a 、b 、α、β都是非零实数,又知f (2009)=-1,求f (2010).【解析】 (2009)sin(2009)cos(2009)f a b παπβ=+++sin(2008)cos(2008)a b ππαππβ=+++++sin()cos()sin cos (sin cos )a b a b a b παπβαβαβ=+++=--=-+.∵f (2009)=-1 ∴sin cos 1a b αβ+=. ∴(2010)sin(2010)cos(2010)f a b παπβ=+++sin cos 1a b αβ=+=.【总结升华】 求得式子sin cos 1a b αβ+=,它是联系已知和未知的纽带.解决问题的实质就是由未知向已知的转化过程,在这个转化过程中一定要抓住关键之处.举一反三:【变式1】 已知1cos(75)3α︒+=,其中α为第三象限角,求cos(105°―α)+sin(α―105°)的值.【答案】13【解析】 ∵cos(105°-α)=cos[180°-(75°+α)]=-cos(75°+α)=13-,sin(α―105°)=―sin[180°-(75°+α)]=-sin(75°+α), ∵α为第三象限角,∴75°+α为第三、四象限角或终边落在y 轴负半轴上.又cos(75°+α)=13>0,∴75°+α为第四象限,∴sin(75)3α︒+===-.∴11cos(105)sin(105)333αα︒-+-︒=-+=.【总结升华】 解答这类给值求值的问题,关键在于找到已知角与待求角之间的相互关系,从而利用诱导公式去沟通两个角之间的三角函数关系,如:75°+α=180°-(105°-α)或105°-α=180°-(75°+α)等.【变式2】已知3sin()2παπβ⎛⎫-=+ ⎪⎝⎭))απβ-=+,且0<α<π,0<β<π,求α和β的值.【解析】由已知得sin αβ=αβ=. 两式平方相加,消去β,得22sin 3cos 2αα+=, ∴21cos 2α=,而0απ<<,∴cos 2α=±,∴4πα=或34πα=.当4πα=时,cos 2β=,又0βπ<<,∴6πβ=;当34πα=时,cos 2β=-,又0βπ<<,∴56βπ=.故4πα=,6πβ=或34πα=,56βπ=. 类型二:利用诱导公式化简 例3.化简(1)sin(180)sin()tan(360)tan(180)cos()cos(180)αααααα-++--+++-+-o o o o ;(2)sin()sin()()sin()cos()n n n Z n n απαπαπαπ++-∈+-.【思路点拨】化简时,要认真观察“角”,显然利用诱导公式,但要注意公式的合理选用.【答案】(1)-1(2)略 【解析】(1)原式sin sin tan tan 1tan cos cos tan αααααααα--==-=-+-;(2)①当2,n k k Z =∈时,原式sin(2)sin(2)2sin(2)cos(2)cos k k k k απαπαπαπα++-==+-.②当21,n k k Z =+∈时,原式sin[(21)]sin[(21)]2sin[(21)]cos[(21)]cos k k k k απαπαπαπα+++-+==-++-+.【总结升华】(1)诱导公式应用的原则是:负化正,大化小,化到锐角就终了; (2)关键抓住题中的整数n 是表示π的整数倍与公式一中的整数k 有区别,所以必须把n 分成奇数和偶数两种类型,分别加以讨论.举一反三: 【变式1】化简 (1)()()()()cos cot 7tan 8sin 2-⋅--⋅--αππαπααπ;(2)()sin2n n Z π∈; (3)()222121tan tan ,22n n n Z παπα++⎛⎫⎛⎫+--∈ ⎪ ⎪⎝⎭⎝⎭(4)sin()cos[(1)]sin[(1)]cos(]k k k k παπαπαπα---+++,()k z ∈.【解析】(1)原式=[]cos()cot()tan(2)sin(2)παπαπαπα----+=cos cot (tan )(sin )αααα-⋅-=3cot α(2)1,(41)sin1,(43)20,(2)n k n n k n k π=+⎧⎪=-=+⎨⎪=⎩ (3)原式=22cot cot αα-=0(4)由(k π+α)+(k π―α)=2k π,[(k ―1)π―α]+[(k+1)π+α]=2k π,得cos[(1)]cos[(1)]cos()k k k παπαπα--=++=-+,sin[(1)]sin()k k παπα++=-+.故原式sin()[cos()]1sin()cos()k k k k παπαπαπα-+-+==--++.【总结升华】 常见的一些关于参数k 的结论: (1)sin()(1)sin ()k k k Z παα+=-∈; (2)cos()(1)cos ()k k k Z παα+=-∈; (3)1sin()(1)sin ()k k k z παα+-=-∈; (4)cos()(1)cos ()k k k Z παα-=-∈. 类型三:利用诱导公式进行证明例4.设8tan 7m πα⎛⎫+= ⎪⎝⎭,求证:1513sin 3cos 37720221sin cos 77m m ππααππαα⎛⎫⎛⎫++- ⎪ ⎪+⎝⎭⎝⎭=+⎛⎫⎛⎫--+ ⎪ ⎪⎝⎭⎝⎭. 【思路点拨】证明此恒等式可采取从“繁”到“简”,从左边到右边的方法.【证明】 证法一:左边88sin 3cos 37788sin 4cos 277πππααπππαππα⎡⎤⎡⎤⎛⎫⎛⎫++++- ⎪ ⎪⎢⎥⎢⎥⎝⎭⎝⎭⎣⎦⎣⎦=⎡⎤⎡⎤⎛⎫⎛⎫-+-++ ⎪ ⎪⎢⎥⎢⎥⎝⎭⎝⎭⎣⎦⎣⎦888sin 3cos tan 3777888sin cos tan 1777πππαααπππααα⎛⎫⎛⎫⎛⎫-+-+++ ⎪ ⎪ ⎪⎝⎭⎝⎭⎝⎭=-⎛⎫⎛⎫⎛⎫-+-+++ ⎪ ⎪ ⎪⎝⎭⎝⎭⎝⎭31m m +=+=右边. ∴等式成立.证法二:由8tan 7m πα⎛⎫+= ⎪⎝⎭,得tan 7m πα⎛⎫+= ⎪⎝⎭,∴左边sin 23cos 277sin 2cos 277πππαπαππππαππα⎡⎤⎡⎤⎛⎫⎛⎫+++++ ⎪ ⎪⎢⎥⎢⎥⎝⎭⎝⎭⎣⎦⎣⎦=⎡⎤⎡⎤⎛⎫⎛⎫+-+-+++ ⎪ ⎪⎢⎥⎢⎥⎝⎭⎝⎭⎣⎦⎣⎦sin 3cos 77sin cos 77ππααπππαπα⎛⎫⎛⎫+++ ⎪ ⎪⎝⎭⎝⎭=⎡⎤⎡⎤⎛⎫⎛⎫-+-++ ⎪ ⎪⎢⎥⎢⎥⎝⎭⎝⎭⎣⎦⎣⎦sin 3cos 77sin cos 77ππααππαα⎛⎫⎛⎫+++ ⎪ ⎪⎝⎭⎝⎭=⎛⎫⎛⎫+++ ⎪ ⎪⎝⎭⎝⎭tan 3371tan 17m m παπα⎛⎫++ ⎪+⎝⎭==+⎛⎫++ ⎪⎝⎭=右边, ∴等式成立. 举一反三:【高清课堂:三角函数的诱导公式385952 例4 】 【变式1】设A 、B 、C 为ABC ∆的三个内角,求证: (1)()sin sin A B C +=;(2)sincos22A B C+=; (3)tan cot 22A B C+=【解析】(1)左边=sin()sin()sin A B c C π+=-==右边,等式得证. (2)左边=sin2A =()sin cos cos 2222B C B C B C ππ-+++⎛⎫⎛⎫=-= ⎪ ⎪⎝⎭⎝⎭=右边,等式得证. (3)左边=tantan cot 2222A B C C π+⎛⎫=-= ⎪⎝⎭=右边,等式得证. 【变式2】求证:232sin cos 1tan(9)12212sin ()tan()1ππθθπθπθπθ⎛⎫⎛⎫-+- ⎪ ⎪++⎝⎭⎝⎭=-++-. 证明:∵左边2232sin sin 12sin (sin )12212sin 12sin πππθθθθθθ⎡⎤⎛⎫⎛⎫+----⋅-- ⎪ ⎪⎢⎥⎝⎭⎝⎭⎣⎦==-- 22222sin sin 12cos sin 1212sin cos sin 2sin πθθθθθθθθ⎛⎫--- ⎪--⎝⎭==-+-222(sin cos )sin cos sin cos sin cos θθθθθθθθ++==--,右边tan(9)1tan 1sin cos tan()1tan 1sin cos πθθθθπθθθθ++++===+---,∴左边=右边,故原式得证. 类型四:诱导公式的综合应用例5.已知3sin(3)cos(2)sin 2()cos()sin()f παππαααπαπα⎛⎫---+⎪⎝⎭=----.(1)化简()f α;(2)若α是第三象限的角,且31cos 25πα⎛⎫-= ⎪⎝⎭,求()f α的值. (3)若313πα=-,求()f α的值. 【解析】 (1)(sin )cos (cos )()cos (cos )sin f ααααααα-⋅⋅-==--.(2)∵3cos sin 2παα⎛⎫-=- ⎪⎝⎭, ∴1sin 5α=-,∴cos α==()f α=. (3)31315cos cos 62333f ππππ⎛⎫⎛⎫⎛⎫-=--=--⨯+ ⎪ ⎪ ⎪⎝⎭⎝⎭⎝⎭51cos cos 332ππ=-=-=-. 【总结升华】这是一个与函数相结合的问题,解决此类问题时,可先用诱导公式化简变形,将三角函数的角度统一后再用同角三角函数关系式,这样可避免公式交错使用时导致的混乱.举一反三: 【变式1】已知α、β均为锐角,cos()sin()αβαβ+=-,若()sin cos 44f ππααα⎛⎫⎛⎫=++- ⎪ ⎪⎝⎭⎝⎭,求2f πα⎛⎫- ⎪⎝⎭的值. 【解析】由cos()sin()αβαβ+=-得cos()cos ()2παβαβ⎡⎤+=--⎢⎥⎣⎦,又α、β均为锐角.则()2παβαβ+=--,即4πα=.于是,sin cos 0222f ππα⎛⎫-=+= ⎪⎝⎭.【巩固练习】1.sin585°的值为( )A.2-B.2 C.2- D.2A .13 B . 13- C. D3.已知(cos )cos3f x x =,则(sin 30)f ︒的值等于( )A .―1B .1C .12D .0)A .sin2-cos2B .cos2-sin2C .±(sin2-cos2)D .sin2+cos25.若sin cos 2sin cos αααα+=-,则3sin(5)sin 2παπα⎛⎫-⋅-⎪⎝⎭等于( ) A .34 B .310 C .310± D .310-6.在△ABC 中,若)sin()sin(C B A C B A +-=-+,则△ABC 必是( )A .等腰三角形B .直角三角形C .等腰或直角三角形D .等腰直角三角形7.已知3sin()cos(2)tan 2()cos()f ππαπαααπα⎛⎫---+ ⎪⎝⎭=--,则313f π⎛⎫-⎪⎝⎭的值为( ) A .12 B .12- C.2 D.2-8.已知cos 63πα⎛⎫-= ⎪⎝⎭,则25sin cos 66ππαα⎛⎫⎛⎫--+ ⎪⎪⎝⎭⎝⎭的值是( )A .23+B .23+-C .23- D.23-+9.计算:)425tan(325cos 625sinπππ-++= .10.若()θ+ο75cos 31=,θ为第三象限角,则()()θθ++--οο435sin 255cos 的值是 . 11.已知1sin()43πα-=,则cos()4πα+=__________. 12.(1)cos1°+cos2°+cos3°+…+cos180°的值为________;(2)cos 21°+cos 22°+cos 23°+…+cos 289°的值为________。
公式一:设α为任意角,终边相同的角的同一三角函数的值相等:sin(2kπ+α)=sinα(k∈Z)cos(2kπ+α)=cosα(k∈Z)tan(2kπ+α)=tanα(k∈Z)cot(2kπ+α)=cotα(k∈Z)公式二:设α为任意角,π+α的三角函数值与α的三角函数值之间的关系:sin(π+α)=-sinαcos(π+α)=-cosαtan(π+α)=tanαcot(π+α)=cotα公式三:任意角α与-α的三角函数值之间的关系:sin(-α)=-sinαcos(-α)=cosαtan(-α)=-tanαcot(-α)=-cotα公式四:利用公式二和公式三可以得到π-α与α的三角函数值之间的关系:sin(π-α)=sinαcos(π-α)=-cosαtan(π-α)=-tanαcot(π-α)=-cotα公式五:利用公式一和公式三可以得到2π-α与α的三角函数值之间的关系:sin(2π-α)=-sinαcos(2π-α)=cosαtan(2π-α)=-tanαcot(2π-α)=-cotα公式六:π/2±α及3π/2±α与α的三角函数值之间的关系:sin(π/2+α)=cosαcos(π/2+α)=-sinαtan(π/2+α)=-cotαcot(π/2+α)=-tanαsin(π/2-α)=cosαcos(π/2-α)=sinαtan(π/2-α)=cotαcot(π/2-α)=tanαsin(3π/2+α)=-cosαcos(3π/2+α)=sinαtan(3π/2+α)=-cotαcot(3π/2+α)=-tanαsin(3π/2-α)=-cosαcos(3π/2-α)=-sinαtan(3π/2-α)=cotαcot(3π/2-α)=tanα(以上k∈Z)注意:在做题时,将a看成锐角来做会比较好做。
诱导公式记忆口诀※规律总结※上面这些诱导公式可以概括为:对于π/2*k ±α(k∈Z)的三角函数值,①当k是偶数时,得到α的同名函数值,即函数名不改变;②当k是奇数时,得到α相应的余函数值,即sin→cos;cos→sin;tan→cot,cot→→tan.(奇变偶不变)然后在前面加上把α看成锐角时原函数值的符号。
三角函数定义及诱导公式练习题代数式sin 120o cos21C °的值为(A.6 .已知 tan( ) 4 A 、4B5A. B. C. D.2. tan120 A.、.3.■■ 3贝U sin a+ cos a 等于()7 5a 的终边经过点 B.753. A.154. 已知扇形的面积为2cm,扇形圆心角B 的弧度数是4,则扇形的周长为( 已知角 (3a ,— 4a)(a <0), C . -15D .(A)2cm(B)4cm (C)6cm (D)8cm5 .已知f ()cos(— 2 cos(3 )si n()2,则 f( )tan()25§ )的值为(3“),则sin( ?)10. (14分)已知tan a =—,求证: /八 sin a cosa ⑴ 二_ _ ;sin a cosa(2)sin 2 a+ sin a COS a = - .11 .已知 tan 2.(1)求 3sin 一2CO 二的值; sin coscos( )cos( )sin()⑵求品盘窗勺的值;(3)若 是第三象限角,求cos 的值. 312.已知 sin ( a — 3n ) = 2cos( a — 4n ),求 si (2si n— — si n(—二)+ 5cos (2 —3-的值. )f(25 )=cos 325 325 =cos- 3 = cos 8 1 —=cos —= 3 3 2参考答案1. B【解析】 试题分析:180°,故1200 -.3考点:弧度制与角度的相互转化•2. A.【解析】试题分析:由诱导公式以可得,sin 120 ° cos210° =sin60 ° x (-cos30 ° )=- ^ x2十3,选A.考点:诱导公式的应用. 3. C【解析】试题分析:本题主要考查三角诱导公式及特殊角的三角函数值.由tan120 tan(18060 ) tan 603,选 C.考点:诱导公式• 4. A【解析】 试题分析:r 55 , sin —-, cos -, sin cos r 55考点:三角函数的定义 5. C【解析】设扇形的半径为R,则错误!未找到引用源。
常用的诱导公式有以下几组:公式一:设a为任意角,终边相同的角的同一三角函数的值相等:sin(2k n +a )=sin a (k €Z)C0S(2k n +a)=COS a (k € Z)tan(2k n +a )=tan a (k €Z)C0t(2k n +a)=COt a (k €Z)公式二:设a为任意角,n +a的三角函数值与a的三角函数值之间的关系:sin( n + a )=-sin acos( n + a )=-COS atan( n + a )=tan aCOt( n + a )=COt a公式三:任意角a与-a的三角函数值之间的关系:sin(- a )=-sin aCOs(- a )=COs atan(- a )=-tan aCOt(- a )=-COt a公式四:利用公式二和公式三可以得到n - a与a的三角函数值之间的关系: sin( n - a )=sin aCOs( n - a )=-COs atan( n - a )=-ta n aCOt( n-a )=-COt a公式五:利用公式一和公式三可以得到2n - a与a的三角函数值之间的关系sin(2 n-a )=-sin aCOS(2n-a )=COs atan(2 n-a )=-tan aCOt(2 n -a )=-COta公式八:n /2 ±a久及3 n/2 ±a与a的三角函数值之间的关系:sin( n /2+ a )=COs aCOs( n /2+ a )=-sin a tan( n /2+ a )=-COt a COt( n /2+ a )=-ta n asin( n /2- a )=COs acos( n /2- a )=sin atan( n /2- a )=cot acot( n /2- a )=ta n asin(3 n /2+ a )=-COS acos(3 n /2+ a )=Sin atan(3 n /2+ a )=-cot acot(3 n /2+ a )=-tan asin(3 n /2- a )=-cos acos(3 n /2- a )=-sin atan(3 n /2- a )=cot acot(3 n /2- a )=tan a(以上k € Z)注意:在做题时,将a看成锐角来做会比较好做。
三角函数-高中数学诱导公式大全常用的诱导公式有以下几组:公式一:设α为任意角,终边相同的角的同一三角函数的值相等:sin(2kπ+α)=sinα (k∈Z)cos(2kπ+α)=cosα (k∈Z)tan(2kπ+α)=tanα (k∈Z)cot(2kπ+α)=cotα (k∈Z)公式二:设α为任意角,π+α的三角函数值与α的三角函数值之间的关系:sin(π+α)=-sinαcos(π+α)=-cosαtan(π+α)=tanαcot(π+α)=cotα公式三:任意角α与 -α的三角函数值之间的关系:sin(-α)=-sinαcos(-α)=cosαtan(-α)=-tanαcot(-α)=-cotα公式四:sin^2(α)+cos^2(α)=11+tan^2(α)=sec^2(α)1+cot^2(α)=csc^2(α)同角三角函数关系六角形记忆法六角形记忆法:构造以"上弦、中切、下割;左正、右余、中间1"的正六边形为模型。
(1)倒数关系:对角线上两个函数互为倒数;(2)商数关系:六边形任意一顶点上的函数值等于与它相邻的两个顶点上函数值的乘积。
(主要是两条虚线两端的三角函数值的乘积)。
由此,可得商数关系式。
(3)平方关系:在带有阴影线的三角形中,上面两个顶点上的三角函数值的平方和等于下面顶点上的三角函数值的平方。
两角和差公式两角和与差的三角函数公式sin(α+β)=sinαcosβ+cosαsinβsin(α-β)=sinαcosβ-cosαsinβcos(α+β)=cosαcosβ-sinαsinβcos(α-β)=cosαcosβ+sinαsinβtan(α+β)=(tanα+tanβ)/(1-tanαtanβ)tan(α-β)=(tanα-tanβ)/(1+tanα·tanβ) 二倍角公式二倍角的正弦、余弦和正切公式(升幂缩角公式) sin2α=2sinαcosαcos2α=cos^2(α)-sin^2(α)=2cos^2(α)-1=1-2sin^ 2(α)tan2α=2tanα/[1-tan^2(α)]半角公式半角的正弦、余弦和正切公式(降幂扩角公式)sin^2(α/2)=(1-cosα)/2cos^2(α/2)=(1+cosα)/2tan^2(α/2)=(1-cosα)/(1+cosα)另也有tan(α/2)=(1-cosα)/sinα=sinα/(1+cosα)万能公式sinα=2tan(α/2)/[1+tan^2(α/2)]cosα=[1-tan^2(α/2)]/[1+tan^2(α/2)]tanα=2tan(α/2)/[1-tan^2(α/2)]万能公式推导附推导:sin2α=2sinαcosα=2sinαcosα/(cos^2(α)+sin^2(α))......*,(因为cos^2(α)+sin^2(α)=1)再把*分式上下同除cos^2(α),可得sin2α=2tanα/(1+tan^2(α))然后用α/2代替α即可。
公式一:sin(2kπ+α)=sinα(k∈Z)cos(2kπ+α)=cosα(k∈Z)tan(2kπ+α)=tanα(k∈Z)cot(2kπ+α)=cotα(k∈Z)公式二:sin(π+α)=-sinαcos(π+α)=-cosαtan(π+α)=tanαcot(π+α)=cotα公式三:sin(-α)=-sinαcos(-α)=cosαtan(-α)=-tanαcot(-α)=-cotα公式四:sin(π-α)=sinαcos(π-α)=-cosαtan(π-α)=-tanαcot(π-α)=-cotα公式五:sin(2π-α)=-sinαcos(2π-α)=cosαtan(2π-α)=-tanαcot(2π-α)=-cotα公式六:sin(π/2+α)=cosαcos(π/2+α)=-sinαtan(π/2+α)=-cotαcot(π/2+α)=-tanαsin(π/2-α)=cosαcos(π/2-α)=sinαtan(π/2-α)=cotαcot(π/2-α)=tanαsin(3π/2+α)=-cosαcos(3π/2+α)=sinαtan(3π/2+α)=-cotαcot(3π/2+α)=-tanαsin(3π/2-α)=-cosαcos(3π/2-α)=-sinαtan(3π/2-α)=cotαcot(3π/2-α)=tanα(以上k∈Z)※规律总结※上面这些诱导公式可以概括为:对于π/2*k 〒α(k∈Z)的三角函数值,①当k是偶数时,得到α的同名函数值,即函数名不改变;②当k是奇数时,得到α相应的余函数值,即sin→cos;cos→sin;tan→cot,cot→→tan.(奇变偶不变)然后在前面加上把α看成锐角时原函数值的符号。
(符号看象限)上述的记忆口诀是:奇变偶不变,符号看象限。
公式右边的符号为把α视为锐角时,角k〃360°+α(k∈Z),-α、180°〒α,360°-α所在象限的原三角函数值的符号可记忆水平诱导名不变;符号看象限。
习题精炼一、选择题1、下列各式不正确的是 ( )A . sin (α+180°)=-sin αB .cos (-α+β)=-cos (α-β)C . sin (-α-360°)=-sin αD .cos (-α-β)=cos (α+β) 2、若sin (π+α)+sin (-α)=-m ,则sin (3π+α)+2sin (2π-α)等于( ) A .-23 m B .-32 m C .23 m D .32 m3、⎪⎭⎫⎝⎛-π619sin 的值等于( ) A .21B . 21-C .23 D . 23-4、如果).cos(|cos |π+-=x x 则x 的取值范围是( C )A .)(]22,22[Z k k k ∈++-ππππB .)()223,22(Z k k k ∈++ππππC .)(]223,22[Z k k k ∈++ππππD .)()2,2(Z k k k ∈++-ππππ5.已知函数1tan sin )(++=x b x a x f ,满足.7)5(=f 则)5(-f 的值为 ( )A .5B .-5C .6D .-66、sin34π·cos 625π·tan 45π的值是A .-43B .43C .-43D .437.设,1234tan a =︒那么)206cos()206sin(︒-+︒-的值为 ( )A .211aa ++ B .-211aa ++ C .211aa +-D .211aa +-8.若)cos()2sin(απαπ-=+,则α的取值集合为( )A .}42|{Z k k ∈+=ππαα B .}42|{Z k k ∈-=ππααC .}|{Z k k ∈=πααD .}2|{Z k k ∈+=ππαα二、填空题1、求值:sin160°cos160°(tan340°+cot340°)= .2、若sin (125°-α)=1213,则sin (α+55°)=.3、cos π7 +cos 2π7 +cos 3π7 +cos 4π7 +cos 5π7 +cos 6π7 = .4、已知,1)sin(=+βα则=+++)32sin()2sin(βαβα .三、解答题1、已知 3)tan(=+απ, 求)2sin()cos(4)sin(3)cos(2a a a a -+-+--πππ的值.2、若cos α=23,α是第四象限角,求sin(2)sin(3)cos(3)cos()cos()cos(4)απαπαππαπααπ-+--------的值.3、设sin ,(0)()(1)1,(0)x x f x f x x π<⎧=⎨-+≥⎩和1cos ,()2()1(1)1,()2x x g x g x x π⎧<⎪⎪=⎨⎪-+≥⎪⎩求)43()65()31()41(f g f g +++的值.4.设)(x f 满足)2|(|cos sin 4)(sin 3)sin (π≤⋅=+-x xx x f x f ,(1) 求)(x f 的表达式;(2)求)(x f 的最大值.《诱导公式》参考答案一、选择题ABAC BABC二、填空题1、1.2、1312.3、0.4、0三、解答题1、7.2、25.3、22)41(=g , 5312()1,()s i n ()1,6233g f π=+=-+ 1)4sin()43(+-=πf , 故原式=3.4、解析:(1)由已知等式(sin )3(sin )4sin cos f x f x x x -+=⋅ ①得x x x f x f cos sin 4)sin (3)(sin -=-+ ② 由3⨯①-②,得8x x x f cos sin 16)(sin ⋅=,故212)(x x x f -=.(2)对01x ≤≤,将函数212)(x x x f -=的解析式变形,得2242()2(1)2f x x x x x =-=-+=22112()24x --+,当22x =时,max 1.f =。
三角函数公式1. 同角三角函数根本关系式 sin 2α+cos 2α=1 sin αcos α=tan α tan αcot α=12. 诱导公式 (奇变偶不变,符号看象限)(一) sin(π-α)=sin α sin(π+α)=-sin αcos(π-α)=-cos α cos(π+α)=-cos α tan(π-α)=-tan α tan(π+α)=tan α sin(2π-α)=-sin α sin(2π+α)=sin α cos(2π-α)=cos α cos(2π+α)=cos α tan(2π-α)=-tan α tan(2π+α)=tan α 〔二〕 sin(π2 -α)=cos α sin(π2+α)=cos αcos(π2 -α)=sin α cos(π2 +α)=- sin αtan(π2 -α)=cot α tan(π2 +α)=-cot αsin(3π2 -α)=-cos α sin(3π2 +α)=-cos αcos(3π2 -α)=-sin α cos(3π2 +α)=sin αtan(3π2 -α)=cot α tan(3π2+α)=-cot αsin(-α)=-sin α cos(-α)=cos α tan(-α)=-tan α3. 两角和与差的三角函数cos(α+β)=cos αcos β-sin αsin β cos(α-β)=cos αcos β+sin αsin β sin (α+β)=sin αcos β+cos αsin β sin (α-β)=sin αcos β-cos αsin β tan(α+β)=tan α+tan β1-tan αtan βtan(α-β)=tan α-tan β1+tan αtan β4. 二倍角公式 sin2α=2sin αcos αcos2α=cos 2α-sin 2α=2 cos 2α-1=1-2 sin 2α tan2α=2tan α1-tan 2α5.公式的变形(1)升幂公式:1+cos2α=2cos2α1—cos2α=2sin2α(2)降幂公式:cos2α=1+cos2α2sin2α=1-cos2α2(3)正切公式变形:tanα+tanβ=tan(α+β)〔1-tanαtanβ〕tanα-tanβ=tan(α-β)〔1+tanαtanβ) (4)万能公式〔用tanα表示其他三角函数值〕sin2α=2tanα1+tan2αcos2α=1-tan2α1+tan2αtan2α=2tanα1-tan2α6.插入辅助角公式asinx+bcosx=a2+b2sin(x+φ) (tanφ= b a)特殊地:sinx±cosx= 2 sin(x±π4)7.熟悉形式的变形〔如何变形〕1±sinx±cosx 1±sinx 1±cosx tanx+cotx1-tanα1+tanα1+tanα1-tanα假设A、B是锐角,A+B=π4,那么〔1+tanA〕(1+tanB)=28.在三角形中的结论假设:A+B+C=π, A+B+C2=π2那么有tanA+tanB+tanC=tanAtanBtanCtan A2tanB2+tanB2tanC2+tanC2tanA2=1三角函数的诱导公式1一、选择题1.如果|cos x |=cos 〔x +π〕,那么x 的取值集合是〔 〕 A .-2π+2k π≤x ≤2π+2k π B .-2π+2k π≤x ≤2π3+2k πC .2π+2k π≤x ≤2π3+2k π D .〔2k +1〕π≤x ≤2〔k +1〕π〔以上k ∈Z 〕2.sin 〔-6π19〕的值是〔 〕 A .21 B .-21 C .23 D .-23 3.以下三角函数:①sin 〔n π+3π4〕;②cos 〔2n π+6π〕;③sin 〔2n π+3π〕;④cos [〔2n +1〕π-6π];⑤sin [〔2n +1〕π-3π]〔n ∈Z 〕.其中函数值与sin 3π的值相同的是〔 〕 A .①② B .①③④ C .②③⑤ D .①③⑤4.假设cos 〔π+α〕=-510,且α∈〔-2π,0〕,那么tan 〔2π3+α〕的值为〔 〕 A .-36B .36C .-26 D .26 5.设A 、B 、C 是三角形的三个内角,以下关系恒成立的是〔 〕 A .cos 〔A +B 〕=cos C B .sin 〔A +B 〕=sin C C .tan 〔A +B 〕=tan CD .sin2B A +=sin 2C6.函数f 〔x 〕=cos 3πx〔x ∈Z 〕的值域为〔 〕 A .{-1,-21,0,21,1} B .{-1,-21,21,1} C .{-1,-23,0,23,1}D .{-1,-23,23,1} 二、填空题7.假设α是第三象限角,那么)πcos()πsin(21αα---=_________. 8.sin 21°+sin 22°+sin 23°+…+sin 289°=_________. 三、解答题9.求值:sin 〔-660°〕cos420°-tan330°cot 〔-690°〕.10.证明:1)πtan(1)π9tan(sin 211cos )πsin(22++-+=--⋅+θθθθθ.11.cos α=31,cos 〔α+β〕=1,求证:cos 〔2α+β〕=31.12. 化简:︒+︒︒︒+790cos 250sin 430cos 290sin 21.13、求证:)π5sin()πcos()π6cos()π2sin()π2tan(θθθθθ+-----=tan θ.14. 求证:〔1〕sin 〔2π3-α〕=-cos α; 〔2〕cos 〔2π3+α〕=sin α.参考答案1一、选择题1.C 2.A 3.C 4.B 5.B 6.B 二、填空题7.-sin α-cos α 8.289 三、解答题 9.43+1. 10.证明:左边=θθθθ22sin cos cos sin 2-1--=-θθθθθθθθθθcos sin cos sin )sin )(cos sin (cos )cos (sin 2-+=-++,右边=θθθθθθθθcos sin cos sin tan tan tan tan -+=1-1+=1+-1--, 左边=右边,∴原等式成立.11.证明:∵cos 〔α+β〕=1,∴α+β=2k π.∴cos 〔2α+β〕=cos 〔α+α+β〕=cos 〔α+2k π〕=cos α=31.12.解:︒+︒︒︒+790cos 250sin 430cos 290sin 21=)360270cos()70180sin()36070cos()36070sin(21︒⨯+︒+︒+︒︒+︒︒+︒-+=︒-︒︒︒-70sin 70cos 70cos 70sin 21=︒-︒︒-︒70sin 70cos )70cos 70(sin 2=︒-︒︒-︒70sin 70cos 70cos 70sin =-1.13.证明:左边=θθθθθθθθθθsin cos cos )sin )(tan ()sin )(cos ()cos()sin()tan(--=-----=tan θ=右边,∴原等式成立.14证明:〔1〕sin 〔2π3-α〕=sin [π+〔2π-α〕]=-sin 〔2π-α〕=-cos α. 〔2〕cos 〔2π3+α〕=cos [π+〔2π+α〕]=-cos 〔2π+α〕=sin α.三角函数的诱导公式2一、选择题: 1.sin(4π+α)=23,那么sin(43π-α)值为〔 〕 A.21 B. —21 C. 23 D. —23 2.cos(π+α)= —21,23π<α<π2,sin(π2-α) 值为〔 〕 A.23 B. 21 C. 23± D. —233.化简:)2cos()2sin(21-•-+ππ得〔 〕A.sin2+cos2B.cos2-sin2C.sin2-cos2D.± (cos2-sin2) 4.α和β的终边关于x 轴对称,那么以下各式中正确的选项是〔 〕 A.sinα=sinβ B. sin(α-π2) =sinβ C.cosα=cosβ D. cos(π2-α) =-cosβ 5.设tanθ=-2, 2π-<θ<0,那么sin 2θ+cos(θ-π2)的值等于〔 〕, A. 51〔4+5〕 B. 51〔4-5〕 C. 51〔4±5〕 D. 51〔5-4〕二、填空题: 6.cos(π-x)=23,x ∈〔-π,π〕,那么x 的值为 . 7.tanα=m ,那么=+-+++)cos(-sin()cos(3sin(απα)απ)απ .8.|sinα|=sin 〔-π+α〕,那么α的取值范围是 . 三、解答题: 9.)cos(·3sin()cos()n(s 2sin(απα)παπα)π----+-απi .10.:sin 〔x+6π〕=41,求sin 〔)67x +π+cos 2〔65π-x 〕的值.11. 求以下三角函数值: 〔1〕sin 3π7;〔2〕cos 4π17;〔3〕tan 〔-6π23〕;12. 求以下三角函数值:〔1〕sin3π4·cos 6π25·tan 4π5; 〔2〕sin [〔2n +1〕π-3π2].13.设f 〔θ〕=)cos()π(2cos 23)2πsin()π2(sin cos 2223θθθθθ-+++-++-+,求f 〔3π〕的值.参考答案21.C 2.A 3.C 4.C 5.A 6.±65π7.11-+m m 8.[(2k-1) π,2k π]9.原式=)cos (·sin()cos()n s (sin αα)παπα--+--αi =)cos ?(sin )cos (sin 2αααα--= sinα 10.161111.解:〔1〕sin 3π7=sin 〔2π+3π〕=sin 3π=23.〔2〕cos4π17=cos 〔4π+4π〕=cos 4π=22.〔3〕tan 〔-6π23〕=cos 〔-4π+6π〕=cos 6π=23.〔4〕sin 〔-765°〕=sin [360°×〔-2〕-45°]=sin 〔-45°〕=-sin45°=-22. 注:利用公式〔1〕、公式〔2〕可以将任意角的三角函数转化为终边在第一象限和第二象限的角的三角函数,从而求值.12.解:〔1〕sin 3π4·cos 6π25·tan 4π5=sin 〔π+3π〕·cos 〔4π+6π〕·tan 〔π+4π〕 =〔-sin3π〕·cos 6π·tan 4π=〔-23〕·23·1=-43.〔2〕sin [〔2n +1〕π-3π2]=sin 〔π-3π2〕=sin 3π=23.13.解:f 〔θ〕=θθθθθcos cos 223cos sin cos 2223++-++=θθθθθcos cos 223cos cos 1cos 2223++-+-+=θθθθθcos cos 22)cos (cos 2cos 2223++---=θθθθθcos cos 22)1(cos cos )1(cos 223++---=θθθθθθθcos cos 22)1(cos cos )1cos )(cos 1(cos 222++--++-=θθθθθcos cos 22)2cos cos 2)(1(cos 22++++-=cos θ-1, ∴f 〔3π〕=cos 3π-1=21-1=-21.。
考点06 诱导公式及恒等变换一.三角函数的诱导公式cos(α-β)=cos αcos β+sin αsin β cos(α+β)=cos αcos β-sin αsin β sin(α-β)=sin αcos β-cos αsin β sin(α+β)=sin αcos β+cos αsin β tan(α-β)=tan α-tan β1+tan αtan βtan(α+β)=tan α+tan β1-tan αtan β三.二倍角公式(1)sin 2α=2sin αcos α ↔12sin 2α=sin αcos α (2)cos 2α=cos 2α-sin 2α=2cos 2α-1=1-2sin 2α 222212cos 1cos2cos 1cos 2212sin 1cos 2sin 1c =22=os α⇔αααααααα⇔+=(+)-=(-)(3)tan 2α=2tan α1-tan 2α知识理解考向一 诱导公式【例1】(2020·四川射洪中学高三月考(理))已知角α的终边经过点()12,5P -. (1)求sin α,cos α;(2)求()()()()cos 2cos 2sin 2cos f παπααπαα⎛⎫+-+ ⎪⎝⎭=-+-的值. 【答案】(1)5sin 13α=-,12cos 13α=;(2)2919. 【解析】(1)由题意可得:13OP =,由角的终边上的点的性质可得5sin 13α=-,12cos 13α=; (2)由(1)可知5sin 13α=-,12cos 13α=,再结合诱导公式得:()()()()512cos 2cos 2sin 2cos 21313512sin 2cos sin 2cos 213121399f παπααααπαααα⎛⎫⎛⎫⎛⎫+-+--+ ⎪ ⎪ ⎪-+⎝⎭⎝⎭⎝⎭====-+-+⎛⎫⎛⎫-+ ⎪ ⎪⎝⎭⎝⎭,所以()2919f α=【举一反三】考向分析1.(2020·全国高三专题练习)化简:3sin()cos()tan()22tan()sin()ππααπαπαπα-++-+-. 【答案】cos α-.【解析】3sin()cos()tan()22tan()sin()ππααπαπαπα-++-+-cos sin cos sin cos sin sin ααααααα-⨯=⨯cos α=-. 2.(2020·全国高三专题练习)若角α的终边上有一点(),8P m -,且3cos 5α=-. (1)求m 的值;(2)求()()()sin cos 2tan cos ππαααπα⎛⎫++ ⎪⎝⎭---的值.【答案】(1)6-;(2)45. 【解析】(1)点P 到原点的距离为r ==根据三角函数的概念可得3cos 5α==-,解得6m =-,6m =(舍去).(2)原式()()()sin cos (sin )(sin )2sin tan cos (tan )cos ππααααααπααα⎛⎫++ ⎪--⎝⎭==-----,由(1)可得10r ==,84sin 5r α-==-,所以原式4sin 5α=-=. 3.(2020·全国高三专题练习)已知角α的终边经过点1(,33P -- (1)求sin ,cos ,tan ααα的值;(25sin(3)2cos()ππαα-++ 【答案】(1)1sin ,tan 3ααα==-=2) 【解析】(1)由题意角α的终边经过点1(,3P -,可得1r OP ==,根据三角函数的定义,可得1sin ,tan 33ααα=-=-=. (25sin(3)2cos()ππαα-++=tan (14α===-⨯=. 考向二 恒等变化【例2】(1)(2020·四川省阆中东风中学校高三月考)cos80cos130sin80sin130︒︒-︒︒等于( ) A. B .12-C .12D(2)(2020·甘肃高二单元测试)sin15︒=( ) ABCD(3)(2019·广东华南师大附中高三月考(理))若1tan 2α=,则tan 4πα⎛⎫+ ⎪⎝⎭的值为( )A .1B .3C .5D .7【答案】(1)A (2)C (3)B【解析】(1)cos80cos130sin80sin130︒︒-︒︒()cos 80130cos 210=+= ()cos 18030=+cos30=-=-.故选:A (2)∈154530︒=︒-︒,∈()1sin15sin 4530sin45cos30cos45sin302︒=︒-︒=︒︒-︒︒==C . (3)由tan tantan 14tan 41tan 1tan tan 4παπααπαα++⎛⎫+== ⎪-⎝⎭-⋅, 又1tan 2α=,原式1+1tan 12=311tan 1-2αα+==-.故选:B. 【举一反三】1.(2020·四川省广元市川师大万达中学高三月考(理))sin160cos10cos20sin10︒︒+︒︒=( ) A. B .12-C .12D【答案】C【解析】1sin160cos10cos 20sin10sin 20cos10cos 20sin10sin 302︒︒+︒︒=︒︒+︒︒==。
一、高中数学诱导公式全集:常用的诱导公式有以下几组:公式一:设α为任意角,终边相同的角的同一三角函数的值相等:sin(2kπ+α)=sinα (k∈Z)cos(2kπ+α)=cosα (k∈Z)tan(2kπ+α)=tanα (k∈Z)cot(2kπ+α)=cotα (k∈Z)公式二:设α为任意角,π+α的三角函数值与α的三角函数值之间的关系:sin(π+α)=-sinαcos(π+α)=-cosαtan(π+α)=tanαcot(π+α)=cotα公式三:任意角α与-α的三角函数值之间的关系:sin(-α)=-sinαcos(-α)=cosαtan(-α)=-tanαcot(-α)=-cotα公式四:利用公式二和公式三可以得到π-α与α的三角函数值之间的关系:sin(π-α)=sinαcos(π-α)=-cosαtan(π-α)=-tanαcot(π-α)=-cotα公式五:利用公式一和公式三可以得到2π-α与α的三角函数值之间的关系:sin(2π-α)=-sinαcos(2π-α)=cosαtan(2π-α)=-tanαcot(2π-α)=-cotα公式六:π/2±α及3π/2±α与α的三角函数值之间的关系:sin(π/2+α)=cosαcos(π/2+α)=-sinαtan(π/2+α)=-cotαcot(π/2+α)=-tanαsin(π/2-α)=cosαcos(π/2-α)=sinαtan(π/2-α)=cotαcot(π/2-α)=tanαsin(3π/2+α)=-cosαcos(3π/2+α)=sinαtan(3π/2+α)=-cotαcot(3π/2+α)=-tanαsin(3π/2-α)=-cosαcos(3π/2-α)=-sinαtan(3π/2-α)=cotαcot(3π/2-α)=tanα(以上k∈Z)注意:在做题时,将a看成锐角来做会比较好做。
诱导公式记忆口诀※规律总结※上面这些诱导公式可以概括为:对于π/2*k ±α(k∈Z)的三角函数值,①当k是偶数时,得到α的同名函数值,即函数名不改变;②当k是奇数时,得到α相应的余函数值,即sin→cos;cos→sin;tan→cot,cot→tan.(奇变偶不变)然后在前面加上把α看成锐角时原函数值的符号。
三角函数的诱导公式(二)[学习目标] 1.掌握诱导公式五、六的推导 ,并能应用解决简单的求值、化简与证明问题.2.对诱导公式一至六,能作综合归纳,体会六组公式的共性与个性,培养由特殊到一般的数学推理意识和能力.3.继续体会知识的“发生”、“发现”过程,培养研究问题、发现问题、解决问题的能力.知识点一 诱导公式五~六(1)公式五:sin ⎝⎛⎭⎫π2-α=cos α;cos ⎝⎛⎭⎫π2-α=sin α. 以-α替代公式五中的α,可得公式六.(2)公式六:sin ⎝⎛⎭⎫π2+α=cos α;cos ⎝⎛⎭⎫π2+α=-sin α. 思考1 根据任意角α与π2-α的终边关于直线y =x 对称,推导诱导公式五.思考2 根据π2+α=π-(π2-α)这一等式,利用诱导公式四和诱导公式五推导诱导公式六.知识点二 诱导公式的理解、记忆与灵活应用公式一~四归纳:α+2k π(k ∈Z ),-α,π±α的三角函数值,等于角α的同名三角函数值,前面加上一个把α看成锐角时原函数值的符号,简记为:“函数名不变,符号看象限”. 公式五~六归纳:π2±α的正弦(余弦)函数值,分别等于α的余弦(正弦)函数值,前面加上一个把α看成锐角时原函数值的符号,简记为:“函数名改变,符号看象限”或“正变余、余变正、符号象限定”.六组诱导公式可以统一概括为“k ·π2±α(k ∈Z )”的诱导公式.当k 为偶数时,函数名不改变;当k 为奇数时,函数名改变;前面加一个把α视为锐角时原函数值的符号,记忆口诀为“奇变偶不变,符号看象限”.思考 请你根据上述规律,完成下列等式. sin(32π-α)=-cos α,cos(32π-α)=-sin α sin(32π+α)=-cos α,cos(32π+α)=sin α.题型一 利用诱导公式求值例1 已知cos ⎝⎛⎭⎫α+π6=35,π2≤α≤3π2,求sin ⎝⎛⎭⎫α+2π3的值. 解 ∵α+2π3=⎝⎛⎭⎫α+π6+π2, ∴sin(α+2π3)=sin ⎣⎡⎦⎤⎝⎛⎭⎫α+π6+π2=cos ⎝⎛⎭⎫α+π6=35.跟踪训练1 已知sin ⎝⎛⎭⎫π6+α=33,求cos ⎝⎛⎭⎫α-π3的值. 解 ∵cos ⎝⎛⎭⎫α-π3=cos ⎝⎛⎭⎫π3-α=cos ⎣⎡⎦⎤π2-⎝⎛⎭⎫π6+α =sin ⎝⎛⎭⎫π6+α=33.题型二 利用诱导公式证明恒等式例2 求证:tan (2π-α)sin (-2π-α)cos (6π-α)sin ⎝⎛⎭⎫α+3π2cos ⎝⎛⎭⎫α+3π2=-tan α.证明 左边=tan (-α)·sin (-α)·cos (-α)sin ⎣⎡⎦⎤2π-⎝⎛⎭⎫π2-α·cos ⎣⎡⎦⎤2π-⎝⎛⎭⎫π2-α=(-tan α)·(-sin α)·cos αsin ⎣⎡⎦⎤-⎝⎛⎭⎫π2-αcos ⎣⎡⎦⎤-⎝⎛⎭⎫π2-α=sin 2α-sin ⎝⎛⎭⎫π2-αcos ⎝⎛⎭⎫π2-α =sin 2α-cos α·sin α=-sin αcos α=-tan α=右边.∴原等式成立.跟踪训练2 求证:2sin ⎝⎛⎭⎫θ-3π2cos ⎝⎛⎭⎫θ+π2-11-2sin 2 (π+θ)=tan (9π+θ)+1tan (π+θ)-1. 证明 左边=-2sin ⎝⎛⎭⎫3π2-θ·(-sin θ)-11-2sin 2θ=2sin ⎣⎡⎦⎤π+⎝⎛⎭⎫π2-θsin θ-11-2sin 2θ=-2sin ⎝⎛⎭⎫π2-θsin θ-11-2sin 2θ=-2cos θsin θ-1cos 2θ+sin 2θ-2sin 2θ =(sin θ+cos θ)2sin 2θ-cos 2θ=sin θ+cos θsin θ-cos θ. 右边=tan θ+1tan θ-1=sin θ+cos θsin θ-cos θ.∴左边=右边,故原等式成立. 题型三 诱导公式的综合应用例3 已知f (α)=sin (α-3π)cos (2π-α)sin ⎝⎛⎭⎫-α+3π2cos (-π-α)sin (-π-α).(1)化简f (α);(2)若α是第三象限的角,且cos ⎝⎛⎭⎫α-3π2=15,求f (α)的值; (3)若α=-31π3,求f (α)的值.解 (1)f (α)=(-sin α)·cos α·(-cos α)(-cos α)sin α=-cos α.(2)∵cos ⎝⎛⎭⎫α-3π2=-sin α=15,∴sin α=-15, 又α是第三象限的角, ∴cos α=-1-⎝⎛⎭⎫-152=-265,∴f (α)=265. (3)f ⎝⎛⎭⎫-31π3=-cos ⎝⎛⎭⎫-31π3=-cos ⎝⎛⎭⎫-6×2π+5π3 =-cos5π3=-cos π3=-12. 跟踪训练3 已知cos(α-75°)=-13,且α为第四象限角,求sin(105°+α)的值.解 ∵cos(α-75°)=-13<0,且α为第四象限角,∴α-75°是第三象限角.∴sin(α-75°)=-1-cos 2(α-75°) =-1--132=-223.∴sin(105°+α)=sin[180°+(α-75°)] =-sin(α-75°)=223.诱导公式的应用例4 已知cos ⎝⎛⎭⎫π2+α=2sin ⎝⎛⎭⎫α-π2, 求sin 3(π-α)+cos (α+π)5cos ⎝⎛⎭⎫5π2-α+3sin ⎝⎛⎭⎫7π2-α的值.解 ∵cos ⎝⎛⎭⎫π2+α=2sin ⎝⎛⎭⎫α-π2, -sin α=-2sin(π2-α),∴sin α=2cos α,∴tan α=2. ∴sin 3(π-α)+cos (α+π)5cos ⎝⎛⎭⎫5π2-α+3sin ⎝⎛⎭⎫7π2-α=sin 3α-cos α5cos (π2-α)-3sin ⎝⎛⎭⎫π2+α=sin 3α-cos α5sin α-3cos α=sin 2α·tan α-15tan α-3=2sin 2α-110-3=2sin 2α-17=2sin 2α-(sin 2α+cos 2α)7(sin 2α+cos 2α)=sin 2α-cos 2α7(sin 2α+cos 2α) =tan 2α-17(tan 2α+1) =4-17×(4+1)=335.1.若sin α=12,则cos(π2+α)的值为( )A.12B.32 C .-12 D .-32 2.已知sin ⎝⎛⎭⎫α-π6=13,则cos ⎝⎛⎭⎫α+π3的值为( ) A .-233 B.233 C.13 D .-133.代数式sin 2(A +45°)+sin 2(A -45°)的化简结果是 . 4.已知sin(π+α)=-13.计算:(1)cos ⎝⎛⎭⎫α-3π2; (2)sin ⎝⎛⎭⎫π2+α; (3)tan(5π-α).5.已知sin(5π-θ)+sin ⎝⎛⎭⎫52π-θ=72,求sin 4⎝⎛⎭⎫π2-θ+cos 4⎝⎛⎭⎫32π+θ的值.一、选择题1.已知sin(5π2+α)=15,那么cos α等于( )A .-25B .-15 C.15 D.252.若sin(3π+α)=-12,则cos(7π2-α)等于( )A .-12 B.12 C.32 D .-323.已知sin ⎝⎛⎭⎫α-π4=13,则cos ⎝⎛⎭⎫π4+α的值等于( ) A .-13 B.13 C .-223 D.2234.若sin(π+α)+cos ⎝⎛⎭⎫π2+α=-m ,则cos ⎝⎛⎭⎫32π-α+2sin(2π-α)的值为( ) A .-2m 3 B.2m 3 C .-3m 2 D.3m25.已知cos(π2+φ)=32,且|φ|<π2,则tan φ等于( )A .-33 B.33C .- 3 D. 3 6.已知cos(75°+α)=13,则sin(α-15°)+cos(105°-α)的值是( )A.13B.23 C .-13 D .-23 二、填空题7.式子cos 2(π4-α)+cos 2(π4+α)= .8.若sin(α+π12)=13,则cos(α+7π12)= .9.已知f (α)=tan (π-α)·cos (2π-α)·sin (π2+α)cos (-α-π),化简f (α)= .10.已知tan(3π+α)=2,则sin (α-3π)+cos (π-α)+sin (π2-α)-2cos (π2+α)-sin (-α)+cos (π+α)= .三、解答题11.已知角α终边经过点P (-4,3),求 cos (π2+α)sin (-π-α)cos (11π2-α)sin (9π2+α)的值.12.已知sin(θ-32π)+cos(32π+θ)=35,求sin 3(π2+θ)-cos 3(3π2-θ).当堂检测答案1.答案 C解析 ∵sin α=12,∴cos(π2+α)=-sin α=-12.2.答案 D解析 cos ⎝⎛⎭⎫α+π3=cos ⎣⎡⎦⎤π2+⎝⎛⎭⎫α-π6=-sin ⎝⎛⎭⎫α-π6=-13. 3.答案 1解析 原式=sin 2(A +45°)+sin 2(45°-A ) =sin 2(A +45°)+cos 2(A +45°)=1.4.解 ∵sin(π+α)=-sin α=-13,∴sin α=13.(1)cos ⎝⎛⎭⎫α-3π2=cos ⎝⎛⎭⎫3π2-α=-sin α=-13. (2)sin ⎝⎛⎭⎫π2+α=cos α,cos 2α=1-sin 2 α=1-19=89. ∵sin α=13,∴α为第一或第二象限角.①当α为第一象限角时,sin ⎝⎛⎭⎫π2+α=cos α=223. ②当α为第二象限角时,sin ⎝⎛⎭⎫π2+α=cos α=-223. (3)tan(5π-α)=tan(π-α)=-tan α, ∵sin α=13,∴α为第一或第二象限角.①当α为第一象限角时,cos α=223,∴tan α=24,∴tan(5π-α)=-tan α=-24. ②当α为第二象限角时,cos α=-223,tan α=-24,∴tan(5π-α)=-tan α=24.5.解 ∵sin(5π-θ)+sin ⎝⎛⎭⎫52π-θ =sin(π-θ)+sin ⎝⎛⎭⎫π2-θ =sin θ+cos θ=72, ∴sin θcos θ=12[(sin θ+cos θ)2-1]=12⎣⎡⎦⎤⎝⎛⎭⎫722-1=38,∴sin 4⎝⎛⎭⎫π2-θ+cos 4⎝⎛⎭⎫32π+θ=cos 4θ+sin 4θ =(sin 2θ+cos 2θ)2-2sin 2θcos 2θ =1-2×⎝⎛⎭⎫382=2332.课时精练答案一、选择题 1.答案 C解析 sin(5π2+α)=cos α,故cos α=15,故选C.2.答案 A解析 ∵sin(3π+α)=-sin α,∴sin α=12,∴cos(7π2-α)=cos(3π2-α)=-cos(π2-α)=-sin α=-12.3.答案 A解析 cos ⎝⎛⎭⎫π4+α=sin ⎣⎡⎦⎤π2-⎝⎛⎭⎫π4+α =sin ⎝⎛⎭⎫π4-α=-sin ⎝⎛⎭⎫α-π4=-13.4.答案 C解析 ∵sin(π+α)+cos ⎝⎛⎭⎫π2+α=-sin α-sin α=-m , ∴sin α=m2.故cos ⎝⎛⎭⎫32π-α+2sin(2π-α)=-sin α-2sin α =-3sin α=-32m .5.答案 C解析 由cos(π2+φ)=-sin φ=32,得sin φ=-32,又∵|φ|<π2,∴φ=-π3,∴tan φ=- 3.6.答案 D解析 sin(α-15°)+cos(105°-α)=sin [(75°+α)-90°]+cos [180°-(75°+α)] =-sin [90°-(75°+α)]-cos(75°+α) =-cos(75°+α)-cos(75°+α) =-2cos(75°+α)=-23.二、填空题 7.答案 1解析 原式=sin 2[π2-(π4-α)]+cos 2(π4+α)=sin 2(π4+α)+cos 2(π4+α)=1.8.答案 -13解析 cos(α+7π12)=cos[π2+(α+π12)]=-sin(α+π12)=-13.9.答案 sin α解析 f (α)=tan (π-α)·cos (2π-α)·sin (π2+α)cos (-α-π)=-tan α·cos α·cos α-cos α=sin α.10.答案 2解析 ∵tan(3π+α)=2,∴tan α=2, ∴原式=sin αsin α-cos α=tan αtan α-1=22-1=2. 三、解答题11.解 ∵角α终边经过点P (-4,3), ∴tan α=y x =-34,11 ∴cos (π2+α)sin (-π-α)cos (11π2-α)sin (9π2+α)=-sin α·sin α-sin α·cos α=tan α =-34.12.解 ∵sin(θ-32π)+cos(32π+θ)=-sin(32π-θ)-cos(π2+θ)=sin(π2-θ)+sin θ=sin θ+cos θ=35.∴sin θcos θ=12[(sin θ+cos θ)2-1]=12(925-1)=-825.∴sin 3(π2+θ)-cos 3(3π2-θ)=cos 3θ+cos 3(π2-θ)=cos 3θ+sin 3θ=(sin θ+cos θ)(sin 2θ-sin θcos θ+cos 2θ) =35×[1-(-825)]=99125.。
三角函数的诱导公式其中k∈Z。
公式一:sin(α+2kπ)=sinα,cos(α+2kπ)=,tan(α+2kπ)=tanα,公式二:sin(π+α)=,cos(π+α)=,tan(π+α)=tanα。
公式三:sin(π-α)=sinα,cos(π-α)=,tan(π-α)=-tanα。
公式四:sin(-α)=,cos(-α)=,tan(-α)=-tanα。
公式五:sin(-α)=cosα,cos(-α)=公式六:sin(α-)=,cos(α-)=公式七:sin(α+)= ,cos(α+)=1.计算:tan (π+α)cos (2π+α)sin ⎝⎛⎭⎫α-3π2cos (-α-3π)sin (-3π-α)=________。
2.(2016·石家庄模拟)已知cos α=k ,k ∈R ,α∈⎝⎛⎭⎫π2,π,则sin(π+α)=( ) A .-1-k 2 B.1-k 2 C .±1-k 2D .-k3.已知sin(3π-α)=-2sin ⎝⎛⎭⎫π2+α,则sin αcos α等于( ) A .-25B.25C.25或-25 D .-154.计算:sin ⎝⎛⎭⎫-296π+cos 125π·tan4π-cos ⎝⎛⎭⎫-22π3+sin 15π2=________。
5)已知f (x )=sin (2π-x )·cos ⎝⎛⎭⎫32π+x cos (3π-x )·sin ⎝⎛⎭⎫112π-x ,则f ⎝⎛⎭⎫-21π4=________。
(6)计算:2sin ⎝⎛⎭⎫-316π+cos12π+tan 7π4=________。
(7)已知cos ⎝⎛⎭⎫π6-α=23,则sin ⎝⎛⎭⎫α-2π3=________。
(8)(2016·淄博模拟)已知tan α=2,则sin 2α-sin αcos α的值是( ) A.25B .-25C .-2D .2(9)(2016·郑州模拟)已知θ为第二象限角,sin θ,cos θ是关于x 的方程2x 2+(3-1)x +m =0(m ∈R )的两根,则sin θ-cos θ等于( )A.1-32B.1+32C. 3 D .-3三角函数的诱导公式其中k∈Z。
-公式一: 设α 为任意角,终边相同的角的同一三角函数的值相等: sin ( 2k π+ α )= sin α (k ∈ Z ) cos (2k π + α)= cos α (k ∈Z ) tan ( 2k π +α )= tan α ( k ∈ Z ) cot (2k π +α )= cot α (k ∈Z ) 公式二: 设α 为任意角, π+α 的三角函数值与 α 的三角函数值之间的关系: sin ( π+ α)=- sin α cos (π +α )=- cos α tan (π +α )= tan α cot ( π+ α)= cot α 公式三: 任意角 α 与 -α的三角函数值之间的关系: sin (- α )=- sin α cos (- α)= cos α tan (- α )=- tan α cot (- α)=- cot α 公式四: 利用公式二和公式三可以得到 π -α 与α 的三角函数值之间的关系: sin ( π- α)= sin α cos ( π -α )=- cos α tan ( π- α)=- tan α cot ( π -α )=- cot α 公式五: 利用公式一和公式三可以得到 2π -α 与α 的三角函数值之间的关系: sin ( 2π - α)=- sin α cos ( 2π- α)= cos α tan ( 2π- α)=- tan α cot (2π- α )=- cot α 公式六: π/2±α 及 3π/2±α 与α 的三角函数值之间的关系: sin ( π/2+α )= cos α cos ( π/2+α )=- sin α tan ( π /2+ α)=- cot α cot (π /2+α )=- tan α sin ( π/2-α )= cos α cos ( π/2-α )= sin α tan ( π /2- α)= cot α cot (π /2-α )= tan α sin ( 3π /2+α )=- cos α cos ( 3π/2+ α )= sin α tan ( 3π/2+α )=- cot α cot ( 3π /2+ α )=- tan α sin ( 3π /2-α )=- cos α cos ( 3π /2- α)=- sin α tan ( 3π/2-α )= cot α cot (3π /2- α)= tan α (以上 k ∈ Z )注意:在做题时,将 a 看成锐角来做会比较好做。
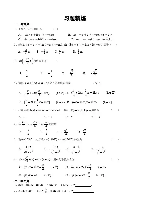
习题精炼
一、选择题
1、下列各式不正确的是 ( )
A . sin (α+180°)=-sin α
B .cos (-α+β)=-cos (α-β)
C . sin (-α-360°)=-sin α
D .cos (-α-β)=cos (α+β) 2、若sin (π+α)+sin (-α)=-m ,则sin (3π+α)+2sin (2π-α)等于( ) A .-23 m B .-32 m C .23 m D .3
2 m
3、⎪⎭
⎫
⎝⎛-
π619sin 的值等于( ) A .
2
1
B . 2
1-
C .
2
3 D . 2
3-
4、如果).cos(|cos |π+-=x x 则x 的取值范围是
( C )
A .)(]
22
,
22
[Z k k k ∈++-ππ
ππ
B .)()22
3
,22(
Z k k k ∈++ππππ
C .)(]22
3
,22[
Z k k k ∈++ππππ
D .)()
2,2(Z k k k ∈++-ππππ
5.已知函数1tan sin )(++=x b x a x f ,满足.7)5(=f 则)5(-f 的值为 ( )
A .5
B .-5
C .6
D .-6
6、sin
34π·cos 6
25π·tan 45π的值是
A .-43
B .4
3
C .-43
D .
4
3
7.设,1234tan a =︒那么)206cos()206sin(︒-+︒-的值为 ( )
A .
2
11a
a ++ B .-
2
11a
a ++ C .
2
11a
a +-
D .
2
11a
a +-
8.若)cos()2
sin(απαπ
-=+,则α的取值集合为
( )
A .}4
2|{Z k k ∈+=π
παα B .}4
2|{Z k k ∈-=π
παα
C .}|{Z k k ∈=π
αα
D .}2
|{Z k k ∈+
=π
παα
二、填空题
1、求值:sin160°cos160°(tan340°+cot340°)= .
2、若sin (125°-α)=
12
13
,则sin (α+55°)= .
3、cos π7 +cos 2π7 +cos 3π7 +cos 4π7 +cos 5π7 +cos 6π
7 = .
4、已知,1)sin(=+βα则=+++)32sin()2sin(βαβα .
三、解答题
1、已知 3)tan(=+απ, 求
)
2sin()cos(4)
sin(3)cos(2a a a a -+-+--πππ的值.
2、若cos α=23
,α是第四象限角,求sin(2)sin(3)cos(3)cos()cos()cos(4)
απαπαππαπααπ-+--------的值.
3、设sin ,(0)()(1)1,(0)x x f x f x x π<⎧=⎨-+≥⎩和1cos ,()2()1(1)1,()
2
x x g x g x x π⎧
<⎪⎪=⎨⎪-+≥⎪⎩
求)4
3()65()31()41
(f g f g +++的值.
4.设)(x f 满足)2
|(|cos sin 4)(sin 3)sin (π
≤
⋅=+-x x
x x f x f ,
(1) 求)(x f 的表达式;(2)求)(x f 的最大值.
《诱导公式》 参考答案
一、选择题 ABAC BABC
二、填空题
1、1.
2、
13
12.
3、0.
4、0
三、解答题
1、7.
2、
2
5
.
3、22)41(=
g , 53
1
2()1,()s i n ()
1,
6233
g f π=
+=-+ 1)4
sin()43(+-=π
f , 故原式=3.
4、解析:(1)由已知等式
(sin )3(sin )4sin cos f x f x x x -+=⋅ ①
得x x x f x f cos sin 4)sin (3)(sin -=-+ ② 由3⨯①-②,得8x x x f cos sin 16)(sin ⋅=,
故212)(x x x f -=.
(2)对01x ≤≤,将函数212)(x x x f -=的解析式变形,得
2242()2(1)2f x x x x x =-=-+=2211
2()24
x --+,
当2
2
x =
时,max 1.f =。