电大《药物化学》作业(3)答案
- 格式:doc
- 大小:42.50 KB
- 文档页数:4
药物化学作业3(10-12章)参考答案一、药物名称及重要临床用途二、药物的化学结构式及化学名称1.结构式:参见教材第129页。
化学名:三硝酸甘油酯2结构式:参见教材第131页。
化学名:1,4-二氢-2,6-二甲基-4-(3-硝基苯基)-3,5-吡啶二甲酸甲乙酯3.结构式:参见教材第137页。
化学名:1-[(2S)-3-巯基-2-甲基丙酰]-L-脯氨酸4.结构式:参见教材第141页。
化学名:2-(4-氯苯氧基)-2-甲基丙酸乙酯5结构式:参见教材第157页。
化学名:4-氨基-N-2-嘧啶基苯磺酰胺6.结构式:参见教材第165页。
化学名:4-吡啶甲酰肼7.结构式:参见教材第161页。
化学名:1-乙基-6-氟-4-氧代-1,4-二氢-7-(1-哌嗪基)-3-喹啉羧酸三、分解产物1.产物结构式参见教材第135页2.产物结构式参见教材第187页3.产物结构式参见教材第197页四、选择题五、填充题1.硝酸酯及亚硝酸酯类钙拮抗剂β-受体拮抗剂(相关内容见教材第129页)2.烟酸类苯氧乙酸类羟甲戊二酰辅酶A还原酶克制剂(相关内容见教材第140-141页)3.二氢吡啶类芳烷基胺类苯并硫氮杂卓类(相关内容见教材第130-132页)4.血管紧张素抗高血压(相关内容见教材第137页)5.巯甲丙脯酸血管紧张素转化(相关内容见教材第137页)6.磺胺磺胺增效剂(相关内容见教材第157页)7.代谢拮抗(相关内容见教材第150页)8.萘啶羧酸类噌啉羧酸类吡啶并嘧啶羧酸类喹啉羧酸类(相关内容见教材第159页)9.雷米封抗结核病(相关内容见教材第165页)10.抗病毒抗肿瘤(相关内容见教材第172页)11.D-丙氨酸多肽转移酶细胞壁(相关内容见教材第175页)12.茚三酮(相关内容见教材第181页)13.肾毒性耳毒性(相关内容见教材第191页)14. 4 1R,2R(-)或D(-)苏阿糖(相关内容见教材第197页)六、简答题(以下为答题要点)1.(1)神经节阻断药,如美加明;(2)作用于神经末梢的药物,如利舍平;(3)血管紧张素转化酶克制剂,如卡托普利;(4)肾上腺素受体拮抗剂,如萘普洛尔;(5)利尿药,如氢氯噻嗪;(6)钙拮抗剂,如硝苯地平;(7)作用于中枢神经系统的药物,如甲基多巴。
《药物化学》课程作业评讲(1)1、什么是药物的杂质?药物的杂质限度制订的依据是什么? 本题考核的知识点是第一章绪论:化学药物的质量与杂质的控制。
答:药物的杂质是指在生产贮存过程中引进或产生的药物以外的其它化学物质,包括由于分子手性的存在而产生的非治疗活性的光学异构体。
杂质的存在,有的能产生副作用,影响药物疗效。
药物中杂质限度制订的依据是在不影响疗效,不产生毒副作用的下,便于制造、贮存和生产,允许某些杂质的存在有一定的限量。
同学们回答问题时应明确指出是生产贮存过程中引进或产生的药物以外的其它化学物质;在药物中允许存在有一定限量的杂质。
2、试从药物的不稳定角度解释为什么苯巴比妥钠要做成粉针剂,以反应式表示。
本题考核的知识点是第三章镇静催眠药、抗癫痫药和抗精神失常药:巴比妥类药物。
同学们回答问题时应了解,由于苯巴比妥类药物可互变异构为烯醇式而弱酸性。
苯巴比妥类药物的酸性比碳酸弱,其钠盐与酸性药物或吸收空气中的CO2,可析出药物沉淀,钠盐水溶液放置还会发生水解,主要是易开环脱羧,受热逐步分解生成双取代乙酸钠和氨。
3、如何用化学方法区别地西泮和奥沙西泮?说明其原理。
C 2H 5C 6H 5CO O NH N ONa C 2H 5C 6H 5CHCONHCONH 22本题考核的知识点是第三章镇静催眠药、抗癫痫药和抗精神失常药:地西泮和奥沙西泮化学结构上的差异。
答:加稀盐酸加热,再加入酸性亚硝酸钠,然后加入碱性β-萘酚,出现橙红色的沉淀的是奥沙西泮,无橙红色沉淀出现的是地西泮。
原理:酸性加热条件下,水解后,奥沙西泮含芳伯氨基,地西泮则无。
注意:地西泮和奥沙西泮同属于苯二氮卓药物,都具有酰胺及烯胺结构。
但奥沙西泮在酸、碱中加热水解后的产物具有芳伯氨基,经重氮化后和β-萘酚偶合,生成橙色的偶氮化合物,可供鉴别。
4、抗精神病药物主要有哪些结构类型?各举一例药物?本题考核的知识点是第三章镇静催眠药、抗癫痫药和抗精神失常药:抗精神失常药的结构类型及分类。
《药物化学》形考作业(一)(1-5章)一、写出下列结构式的药物名称及主要药理作用。
1.. F3C-CHBrCl 氟烷:用于全身麻醉及诱导麻醉2. Cl2CH-CF2OCH3甲氧氟烷:甲氧氟烷的麻醉、镇痛及肌肉松弛作用较氟烷强,麻醉诱导期长,持续时间也较长,对呼吸道粘膜刺激性小,不易燃不易爆,对心、肝、肾也有一定的毒性。
3.氯胺酮:用于门诊病人、儿童、烧伤病人的麻醉4.盐酸普鲁卡因:用于局部麻醉5.盐酸利多卡因:用于局麻,抗心律失常6.苯妥因钠:用于治疗癫痫大发作和三叉神经痛及洋地黄引起的心律不齐7.苯巴比妥:用于治疗失眠、惊厥和癫痫大发作8.地西泮:用于治疗焦虑症和一般性失眠,还可用于抗癫痫和抗惊厥9.艾司唑仑:新型高效的镇静催眠抗焦虑药,具有光谱抗癫痫作用10.盐酸美沙酮:用于各种剧烈疼痛,还用于海洛因成瘾的戒除治疗11.对乙酰氨基酚:用于感冒发热、头痛、关节痛、神经痛及痛经等布洛芬:消炎镇痛、抗风湿病药物13·.吡罗昔康:用于风湿性和类风湿性关节炎等,也用于术后、创伤后疼痛及急性痛风14.阿司匹林:用于感冒发烧、头痛、牙痛、神经痛、肌肉痛、关节痛、急性和慢性风湿痛,也用于心血管系统疾病的预防和治疗15.枸橼酸芬太尼:用于各种剧痛,如外科手术中和手术后的阵痛和癌症的阵痛,与麻醉药合用作为辅助麻醉用药。
16.盐酸氯丙嗪:用于治疗精神分裂症和躁狂症,亦用于镇吐、强化麻醉及人工冬眠17.氯普噻吨:用于治疗有抑郁和焦虑的精神分裂症、更年期抑郁症、焦虑性神经官能症等18.吲哚美辛::用于治疗类风湿性关节炎、强直性关节炎等,也可用于癌症发热及其它不易控制的发热19.盐酸吗啡:用于抑制剧烈疼痛,亦用于麻醉前给药20.双氯芬酸钠:用于各种炎症所致的疼痛及发热21.盐酸哌替啶:用于各种剧烈疼痛,如创伤、术后和癌症晚期等引起的疼痛,也用于分娩痛及内脏绞痛等。
二、单选题1. 下列药物中,(C )为静脉麻醉药。
药物化学形成性考核册答案药物化学作业1(1-5章)一、药品名称及主要用途二、药物的化学结构式及化学名称1.结构式:参见教材第13页。
参见《药物化学期末复习指导》(即小黄本)第18页化学名:4-氨基苯甲酸-2-(二乙氨基)乙酯盐酸盐2.结构式:参见教材第21页。
化学名:5-乙基-5-苯基-2,4,6-(1H,3H,5H)嘧啶三酮3.结构式:参见教材第31页。
化学名:2-丙基戊酸钠4.结构式:参见教材第34页。
化学名:二甲基-2-氯-10吩噻嗪-10-丙胺5.结构式:参见教材第44页。
化学名:(4-羟基苯基)乙酰胺6.结构式:参见教材第52页。
化学名:2-(4-异丁基苯基)丙酸7.结构式:参见教材第51页。
化学名:2-[(2,6-二氯苯基)氨基]苯乙酸钠三、分解产物1.产物结构式参见教材第13页。
2.产物结构式参见教材第22页。
参见《药物化学期末复习指导》(即小黄本)第13页3.产物结构式参见教材第25页。
4.产物结构式参见教材第36页。
5.产物结构式参见教材第43页。
参见《药物化学期末复习指导》(即小黄本)第19页6.吲哚美辛强酸或强碱的水解产物为:对氯苯甲酸5-甲氧基-2-甲基-1吲哚-3-乙酸(请大家参照教材第50页吲哚美辛结构式,画出上述产物的结构)四、选择题五、填充题1.在生产、贮存过程中引进或产生的药物以外的其他化学物质,包括由于分子手性的存在而产生的非治疗活性的光学异构体。
(参见教材第3页)2.全身麻醉药局部麻醉药(参见教材第6页)3.芳伯胺(参见教材第13页)4.抗心律时常(参见教材第5页)5.巴比妥酸解离常数脂溶性(参见教材第20页)6.苯基丁酰尿粉针(参见教材第22页)7.吩噻嗪类噻吨类丁酰苯类苯酰胺类(参见教材第31、32、33页),见小黄本第28,32页8.花生四烯酸环氧合前列腺素(参见教材第39页),见小黄本第28,32页9.3,5-吡唑烷二酮类邻氨基苯甲酸类吲哚乙酸类芳基烷酸类(参见教材第46、47、48页)10.心血管系统(参见教材第44页)11.保泰松(参见教材第46页)12.强外消旋体(参见教材第52页)13.吗啡喃类苯吗啡类哌啶类氨基酮类(参见教材第58页)14.5 左旋体(参见教材第55页)15.吗啡镇咳药(参见教材第56页)简答题(以下为答题要点)1.是指在生产、贮存过程中引进或产生的药物以外的其他化学物质,包括由于分子手性的存在而产生的非治疗活性的光学异构体。
国家开放大学电大专科《药物化学》期末试题标准题库及答案(试卷号:2129)盗传必究题库一一、选择题(每题只有一个正确答案,每小题2分.共20分)1.喷他佐辛的临床用途是( )。
A.抗癫痫 B.镇痛C.解痉 D.肌肉松弛2.下列利尿药中,( )为缓慢而持久的利尿药物。
A. 氢氯噻嗪 B.依他尼酸C.螺内酯 D.呋塞米3.盐酸雷尼替丁的结构中含有( )。
A. 呋喃环 B.咪唑环C.噻唑环 D.嘧啶环4.下列药物中,( )为p:受体激动剂。
A.多巴酚丁安 B.甲氧明C.克伦特罗 D.间羟胺5.下列药物中,( )与碱性酒石酸铜共热,生成氧化亚铜的橙红色沉淀。
A. 黄体酮 B.地塞米松C.炔雌醇 D.甲睾酮6.维生素Bi的主要临床用途为( )。
A.防治脚气病及消化不良等B.防治各种黏膜及皮肤炎症等C.防治凝血酶原过低症、新生婴儿出血症等D.防治夜盲症、角膜软化症及皮肤粗糙等7.下列药物中,( )为阿片受体拮抗剂。
A.吗啡 B.美沙酮C.纳洛酮 D.舒芬太尼8.下列药物中,( )是地西泮在体内的活性代谢产物。
A.奥沙西泮 B.硝西泮C.氟西泮 D.氯硝西泮9.下列药物中,( )不具有儿茶酚结构。
A.肾上腺素 B.盐酸多巴胺C.盐酸克仑特罗 D.去甲肾上腺素10.( )是目前临床上应用最广泛、作用最强的一类钙拮抗剂。
A.二氢吡啶类 B.芳烷基胺类c.苯并硫氮杂革类 D。
二苯基哌嗪类二、根据下列药物的化学结构写出其药名及主要临床用途(每小题2分,共20分)答案:11.药名:维生素B6主要临床用途:治疗因放射治疗引起的恶心、妊娠呕吐、异烟肼中毒12. 药名:塞替哌主要临床用途:抗肿瘤13. 药名:对乙酰氨基酚主要临床用途:解热镇痛14. 药名:盐酸美沙酮主要临床用途:镇痛或戒毒15.药名:环丙沙星主要临床用途:抗菌16.药名:氯霉素主要临床用途:抗菌17.药名:氟康唑主要临床用途:抗真菌18. 药名:马来酸氯苯那敏主要临床用途:抗过敏19. 药名:吗啡主要临床用途:镇痛20. 药名:黄体酮主要临床用途:治疗先兆性流产习惯性流产和月经不调等三、写出下列药物的化学结构式及主要临床用途(每小题4分,化学结构式1分,主要临床用途3分,共16分)21.氯贝丁酯化学结构式主要临床用途:22.硝苯地平化学结构式主要临床用途:23。
药物化学形成性考核册答案药物化学作业1(1-5章)一、药品名称及主要用途二、药物的化学结构式及化学名称1.结构式:参见教材第13页。
参见《药物化学期末复习指导》(即小黄本)第18页化学名:4-氨基苯甲酸-2-(二乙氨基)乙酯盐酸盐2.结构式:参见教材第21页。
化学名:5-乙基-5-苯基-2,4,6-(1H,3H,5H)嘧啶三酮3.结构式:参见教材第31页。
化学名:2-丙基戊酸钠4.结构式:参见教材第34页。
化学名:N,N-二甲基-2-氯-10H-吩噻嗪-10-丙胺5.结构式:参见教材第44页。
化学名:N-(4-羟基苯基)乙酰胺6.结构式:参见教材第52页。
化学名:2-(4-异丁基苯基)丙酸7.结构式:参见教材第51页。
化学名:2-[(2,6-二氯苯基)氨基]苯乙酸钠三、分解产物1.产物结构式参见教材第13页。
2.产物结构式参见教材第22页。
参见《药物化学期末复习指导》(即小黄本)第13页3.产物结构式参见教材第25页。
4.产物结构式参见教材第36页。
5.产物结构式参见教材第43页。
参见《药物化学期末复习指导》(即小黄本)第19页6.吲哚美辛强酸或强碱的水解产物为:对氯苯甲酸5-甲氧基-2-甲基-1H-吲哚-3-乙酸(请大家参照教材第50页吲哚美辛结构式,画出上述产物的结构)四、选择题五、填充题1.在生产、贮存过程中引进或产生的药物以外的其他化学物质,包括由于分子手性的存在而产生的非治疗活性的光学异构体。
(参见教材第3页)2.全身麻醉药局部麻醉药(参见教材第6页)3.芳伯胺(参见教材第13页)4.抗心律时常(参见教材第5页)5.巴比妥酸解离常数脂溶性(参见教材第20页)6.苯基丁酰尿粉针(参见教材第22页)7.吩噻嗪类噻吨类丁酰苯类苯酰胺类(参见教材第31、32、33页),见小黄本第28,32页8.花生四烯酸环氧合前列腺素(参见教材第39页),见小黄本第28,32页9.3,5-吡唑烷二酮类邻氨基苯甲酸类吲哚乙酸类芳基烷酸类(参见教材第46、47、48页)10.心血管系统(参见教材第44页)11.保泰松(参见教材第46页)12.强外消旋体(参见教材第52页)13.吗啡喃类苯吗啡类哌啶类氨基酮类(参见教材第58页)14.5 左旋体(参见教材第55页)15.吗啡镇咳药(参见教材第56页)简答题(以下为答题要点)1.是指在生产、贮存过程中引进或产生的药物以外的其他化学物质,包括由于分子手性的存在而产生的非治疗活性的光学异构体。
国家开放大学《药物化学》形考作业1-3参考答案形考作业(一)(1~6章)一、单项选择题(每题2分,共30分)1.下列药物中,可用作静脉麻醉药的是()。
A.甲氧氟烷B.布比卡因C.硫喷妥钠D.七氟烷2.盐酸普鲁卡因是通过对下列哪一种药物的结构进行简化得到的()。
A.可卡因B.吗啡C.奎宁D.阿托品3.下列药物中,不能用于表面麻醉的是()。
A.盐酸丁卡因B.盐酸普鲁卡因C.达克罗宁D.二甲异喹4.抗精神病药按化学结构进行分类不包括()。
A.吩噻嗪类B.丁酰苯类C.噻吨类D.苯二氮䓬类5.奥沙西泮是哪一种药物的体内活性代谢物()。
A.地西泮B.硝西泮C.氟西泮D.阿普唑仑6.解热镇痛药的结构类型不包括()。
A.水杨酸类B.苯并咪唑类C.乙酰苯胺类D.吡唑酮类7.下列药物中,不是环氧合酶抑制剂的是()。
A.阿司匹林B.吲哚美辛C.布洛芬D.舒必利8.萘普生属于哪一类非甾体抗炎药()。
A.邻氨基苯甲酸类B.3,5-吡唑烷二酮类C.吲哚乙酸类D.芳基丙酸类9.喷他佐辛为哪一类合成镇痛药()。
A.哌啶类B.苯吗喃类C.氨基酮类D.吗啡喃类10.下列药物中,属于非麻醉性镇痛药的是()。
A.盐酸美沙酮B.盐酸哌替啶C.喷他佐辛D.枸橼酸芬太尼11.下列药物中,为阿片受体拮抗剂的是()。
A.纳洛酮B.可待因C.曲马朵D.舒芬太尼12.下列药物中,可发生重氮化-偶合反应的是()。
A.丁卡因B.利多卡因C.普鲁卡因D.布比卡因13.下列药物中,哪一种以左旋体供药用()。
A.氯胺酮B.盐酸美沙酮C.右丙氧芬D.盐酸吗啡14.咖啡因、可可碱、茶碱均为哪一类的衍生物()。
A.黄嘌呤B.咪唑类C.嘧啶类D.呋喃类15.下列药物中,哪一种具有甾体结构()。
A.苯巴比妥B.氯普赛吨C.吲哚美辛D.螺内酯二、配伍选择题(每题2分,共30分。
题目分为若干组,每组题目对应一组备选项,备选项可重复选用,也可不选用。
每题只有l个备选项最符合题意)。
《药物化学》在线作业参考资料一、单选题1、药物化学的研究对象是CA.中药饮片 B.中成药 C.化学药物 D.中药材2、不属于苯并二氮卓的药物是CA. 地西泮B. 硝西泮C. 唑吡坦D. 三唑仑3、关于硫酸阿托品,下列说法不正确的是CA. 遇碱性药物可引起分解B. 水溶液呈中性C. 在碱性溶液中较稳定D. 可用Vitali反应鉴别4、硫酸阿托品具有水解性,是由于结构中含有AA. 酯键B. 酰胺键C. 苷键D. 烯键5、有关氯丙嗪的叙述,正确的是(B)A.在发现其具有中枢抑制作用的同时,也发现其具有抗组胺作用,故成为三环类抗组胺药物的先导化合物B.大剂量可应用于镇吐、强化麻醉及人工冬眠C.2位引入供电基,有利于优势构象的形成D.与γ-氨基丁酸受体结合,为受体拮抗剂6、属于抗生素类抗结核杆菌的药物是CA. 对氨基水杨酸钠B. 异烟肼C. 硫酸链霉素D. 盐酸乙胺丁醇7、异烟肼常配制成粉针剂,临用前才配制是因为AA. 水解B. 氧化C. 风化D. 还原8、治疗耐药性金黄色葡萄球菌感染的首选药是(C)A.青霉素B.四环素C.红霉素D.链霉素9、非甾体抗炎药按化学结构可分为BA.水杨酸类、.苯乙胺类、吡唑酮类B.3,5-吡唑烷二酮类、芳基烷酸类、邻氨基苯甲酸类、1,2-苯并噻嗪类、吲哚乙酸类C.吲哚乙酸类、芳基烷酸类、水杨酸类D.吡唑酮类、芳基烷酸类、吲哚乙酸类10、阿司匹林与碳酸钠溶液共热,放冷后用稀硫酸酸化,析出的白色沉淀是CA. 乙酰水杨酸B. 醋酸C. 水杨酸D. 水杨酸钠11、维生素C不具有的性质是(C)A.味酸B.久置色变黄C.无旋光性D.易溶于水12、苯二氮卓类镇静催眠药在酸、碱中可发生水解反应,是因为分子中具有(D)A.羰基B.酯基C.七元环D.内酰胺基13、磺胺嘧啶(D )A.α-甲基-4-(2-甲基丙基)苯乙酸B.(±)N-甲酰基-对[双(β-氯乙基)-氨基]苯丙氨酸C.1-环丙基-6-氟-4-氧代-1,4二氢-7-(1-哌嗪基)-3-喹啉羧酸D.4-氨基-N-2-嘧啶基-苯磺酰胺14、下列哪项叙述与布洛芬相符BA. 易溶于水B. 可溶于氢氧化钠的溶液中C. 在酸性和碱性条件下均易水解D. 在空气中放置可被氧化,颜色可发生变化15、对乙酰氨基酚可采用重氮化-偶合反应进行鉴别,是因为其结构中具有CA. 酚羟基B. 酰胺基C. 潜在的芳香第一胺D. 苯环16、一老年人口服维生素D后,效果并不明显,医生建议其使用相类似的药物阿法骨化醇,原因是(B)A.该药物1位具有羟基,可以避免维生素D在肾脏代谢失活B.该药物1位具有羟基,无需肾代谢就可产生活性C.该药物25位具有羟基,可以避免维生素D在肝脏代谢失活D.该药物25位具有羟基,无需肝代谢就可产生活性17、异烟肼具有水解性是由于结构中含有(B )A.酯键B.酰胺键C.酰脲键D.肼基18、区别阿司匹林和对乙酰氨基酚可用DA. NaOH试液B. HClC. 加热后的HCl试液D. 三氯化铁试液19、为1,2-苯并噻嗪类非甾体抗炎药的是BA. 布洛芬B. 吡罗昔康C. 双氯芬酸钠D. 吲哚美辛20、吗啡易氧化变色是因为分子中具有( A)A.酚羟基B.醇羟基C.哌啶环D.醚键21、引起青霉素过敏的主要原因是(B )A.青霉素本身的致敏源B.合成、生产过程中引入的杂质青霉噻唑等高聚物C.青霉素与蛋白质反应物D.青霉素的水解物22、显酸性,但结构中不含羧基的药物是DA. 阿司匹林B. 吲哚美辛C. 萘普生D. 吡罗昔康23、下列叙述与贝诺酯不相符的是DA.是阿司匹林与对乙酰氨基酚制成的酯B.水解产物显示芳香第一胺的鉴别反应C.水解产物显示酚羟基的鉴别反应D.对胃黏膜的刺激性大24、β-内酰胺类的药物是(B)A.阿米卡星B.头孢噻肟C.氯霉素D.罗红霉素25、巴比妥类药物的作用时间持续长短与下列哪项有关(C)A.与5,5取代基的碳原子数目有关B.与解离常数有关C.与5,5取代基在体内的代谢稳定性有关D.与脂水分布系数有关26、苯并氮卓类药物最主要的临床作用是CA. 中枢兴奋B. 抗癫痫C. 抗焦虑D. 抗病毒27、喹诺酮类药物不宜与金属类药物配伍使用,其原因是结构中含有CA. 氨基B. 羰基C. 羧基和羰基D. 哌嗪基28、下列说法与肾上腺素不符的是CA. 含有邻苯二酚结构B. 显酸碱两性C. 药用其R构型,具有右旋光性D. 对α和β受体都具有较强的激动作用29、苯巴比妥钠的水溶液放置过程中变浑浊,是与空气中哪种气体接触引起的CA. 氮气B. 氧气C. 二氧化碳D. 二氧化硫30、双氯芬酸钠是(C )A.吡唑酮类解热镇痛药B.抗痛风药C.苯乙酸类非甾体抗炎药D.芳基丙酸类非甾体抗炎药31、甲氧苄啶属于BA. 抗生素B. 抗菌增效剂C. 抗病毒药D. 抗高血压药32、甲氧苄啶的作用机制是抑制BA. 二氢叶酸合成酶B. 二氢叶酸还原酶C. 四氢叶酸合成酶D. 四氢叶酸还原酶33、长期服用磺胺类药物应同时服用CA. NaClB. Na2CO3C. NaHCO3D. NH4HCO334、用于镇静催眠的药物是BA. 甲氯芬酯B. 佐匹克隆C. 氟哌啶醇D. 氟西汀35、阿司匹林引起过敏的原因是由于合成中引入那种副产物所致(C)A.水杨酸B.水杨酸酐C.乙酰水杨酸酐D.乙酰水杨酸苯酯36、下列叙述与阿司匹林不符的是BA. 为解热镇痛药B. 易溶于水C. 微带酸臭味D. 遇湿、酸、碱、热均易水解失效37、磺胺类药物的作用机制是抑制AA. 二氢叶酸合成酶B. 二氢叶酸合成酶C. 四氢叶酸合成酶D. 四氢叶酸还原酶38、异烟肼具有较强的还原性,易被氧化的原因,是化学结构中含有DA. 吡啶环B. 酰胺C. 氨基D. 肼基39、对乙酰氨基酚的毒性代谢物是(B )A.对氨基酚B.N-乙酰基亚胺醌C.对乙酰氨基酚硫酸酯D.对苯二酚40、用氟原子置换脲嘧啶5位上的氢原子,其设计思想是(A)A.生物电子等排置换B.立体位阻增大C.供电子效应D.改变药物的理化性,有利于进入肿瘤细胞41、不含羧基的非甾体抗炎药是BA.对乙酰氨基酚B.吡罗昔康C.萘普生D.双氯芬酸42、下列不溶于碳酸氢钠溶液的药物是BA.布洛芬B.对乙酰氨基酚C.双氯芬酸D.阿司匹林43、与吡啶硫酸铜试液作用显绿色的药物是DA. 苯巴比妥B. 盐酸氯丙嗪C. 苯妥英钠D. 硫酸喷妥钠44、临床用于治疗抑郁症的药物是AA. 盐酸氯米帕明B. 盐酸氯丙嗪C. 丙戊酸钠D. 氟哌啶醇45、可用作强心药的是(C )A.HMG-CoA还原酶抑制剂B.磷酸二酯酶抑制剂C.碳酸酐酶抑制剂D.血管紧张素转换酶抑制剂46、下列抗真菌药物中含有三氮唑结构的药物是AA. 氟康唑B. 酮康唑C. 益康唑D. 甲硝唑47、吗啡及合成镇痛药都具有镇痛作用,是因为CA. 具有相同的基本结构B. 具有相同的构型C. 具有相同的构象D. 化学结构具有很大的相似性48、我国现行的药品质量标准是CA.药品管理法 B.药品生产质量管理规范C.《中国药典》 D.药品经营质量理规范49、黄嘌呤类生物碱具有的特征反应为BA.铜-吡啶反应B. 紫脲酸铵反应C. 维他立反应D. 麦芽糖反应50、由地西泮代谢产物而开发使用的药物是AA. 奥沙西泮B. 三唑仑C. 硝西泮D. 艾司唑仑51、硫喷妥钠在体内经脱硫代谢生成( C)A.苯巴比妥B.异戊巴比妥C.司可巴比妥D.巴比妥酸52、临床上使用的咖啡因注射液,采取增加水溶度的物质是CA. 水杨酸B. 盐酸C. 苯甲酸钠D. 乙醇53、具有莨菪碱结构的特征鉴别反应是DA. 重氮化-偶合反应B. FeCl3试液显色反应C. 坂口反应D. Vitali反应54、化学药品必须符合下列何种质量标准才能使用BA.化学试剂国家标准 B.国家药品标准C.企业暂行标准 D.地方标准55、大环内酯类的药物是(D)A.盐酸多西环素B.阿米卡星C.氨曲南D.克拉霉素56、具有解热和镇痛作用,但无抗炎作用的药物是AA. 对乙酰氨基酚B. 贝诺酯C. 布洛芬D. 吡罗昔康57、下列非甾体抗炎药物中,那个药物的代谢物用做抗炎药物DA. 布洛芬B. 双氯芬酸C. 塞来昔布D. 保泰松58、选择性作用于β受体的药物是DA. 肾上腺素B. 多巴胺C. 去甲肾上腺素D. 异丙肾上腺素59、杨某患甲型H1N1流感,首选的治疗药物是 BA. 齐多夫定B. 奥司他韦C. 阿昔洛韦D. 金刚烷胺60、具有下列化学结构的药物是AA. 利巴韦林B. 阿昔洛韦C. 齐多夫定D. 替硝唑61、结构中没有含氮杂环的镇痛药是DA. 盐酸吗啡B. 枸橼酸芬太尼C. 盐酸哌替啶D. 盐酸美沙酮62、关于马来酸氯苯那敏的叙述不正确的是AA. 氨基醚类H受体拮抗剂B. 具有酸性C. 分子结构中有一个手性碳原子,药用为外消旋体D. 加稀硫酸及高锰酸钾试液颜色褪去63、下列哪一个为吡唑酮类解热镇痛药BA. 对乙酰氨基酚B. 安乃近C. 布洛芬D. 吡罗昔康64、下列哪个药不能改善脑功能CA. 茴拉西坦B. 吡拉西坦C. 舒巴坦D. 奥拉西坦65、沙丁胺醇氨基上的取代基为CA. 甲基B. 异丙基C. 叔丁基D. 乙基66、异烟肼保存不当要变质,产生毒性较大的( A)A.游离肼B.异烟酸C.异烟酰胺D.异烟腙67、根据化学结构苯海拉明属于哪种结构类型BA. 乙二胺类B. 氨基醚C. 丙胺类D. 三环类68、盐酸普鲁卡因最易溶于哪种试剂AA. 水B. 乙醇C. 三氯甲烷D. 乙醚69、盐酸普鲁卡因可与NaNO和HCl反应后,再与碱性β-萘酚偶合生成红色化合物,其依据为DA. 生成NaClB. 叔胺氧化C. 酯基水解D. 芳香第一胺70、氟哌啶醇属于( C)A.镇静催眠药B.抗癫痫药C.抗精神病药D.中枢兴奋药二、多选题71、以下哪些药物是前药(ABC )A.塞替派B.环磷酰胺C.卡莫氟D.卡莫司汀E.甲磺酸伊马替尼72、具有去甲肾上腺素和5-羟色胺双重抑制作用的抗抑郁药是( ABD)A.米氮平B.文拉法辛C.舍曲林D.度洛西汀E.盐酸阿米替林73、下列属于肌肉松弛药的是(ABC )A.氯化琥珀胆碱B.苯磺顺阿曲库铵C.泮库溴铵D.溴丙胺太林E.溴新斯的明74、属于二氢叶酸还原酶抑制剂的是(BC )A.磺胺甲噁唑B.乙胺嘧啶C.甲氧苄啶D.磷酸伯氨喹E.盐酸左旋咪唑75、具有水解性的药物有 (ABCD )A.异烟肼B.链霉素C.利福平D.吡嗪酰胺E.乙胺丁醇76、广谱的β-内酰胺类抗生素有(BCDE )A.克拉维酸钾B.氨苄西林C.阿莫西林D.头孢羟氨苄E.头孢克洛77、在体内可发生乙酰化代谢的药物有( ACE)A.磺胺甲噁唑B.吡嗪酰胺C.对氨基水杨酸钠D.乙胺丁醇E.异烟肼78、作用于受体的药物有(ACDE )A.盐酸异丙肾上腺素B.肾上腺素C.盐酸多巴酚丁胺D.盐酸克伦特罗E.盐酸普萘洛尔79、抗病毒药可分为(ABCD)A.核苷类B.非核苷类C.开环核苷类D.蛋白酶抑制剂E.抗生素类80、可用于预防和治疗心绞痛的药物有(BDE)A.非诺贝特B.硝酸甘油C.氨力农D.戊四硝酯E.双嘧达莫81、对苯二氮卓类药物叙述正确的有( ABDE)A.作用于中枢苯二氮卓受体B.主要用于失眠、抗焦虑、抗癫痫C.具有二苯并氮杂卓的基本结构D.结构中7位具有吸电子取代基时的活性较强E.结构中1、2位合并三唑环,生物活性增强82、符合喹诺酮类药物的构效关系的是(ABCDE)A.1位取代基为环丙基时抗菌活性最强B.5位可引入氨基,可提高吸收能力和组织分布的选择性C.6位F取代时可使抗菌活性增大D.7位哌嗪基取代可增加抗菌活性E.3位羧基和4位酮基是必需的药效团83、按作用机制将改善脑功能的药物分为( AD)A.酰胺类中枢兴奋药B.乙酰胆碱受体抑制剂C.酰胺类GABA受体兴奋剂D.胆碱酯酶抑制剂E.酰胺类中枢抑制剂84、用于抗心律失常的药物有( ABCE)A.盐酸胺碘酮B.盐酸普鲁卡因胺C.盐酸普罗帕酮D.盐酸异山梨酯E.盐酸美西律85、具有酸碱两性的药物是(BCDE)A.甲氧苄啶B.诺氟沙星C.左氧氟沙星D.磺胺甲噁唑E.环丙沙星86、钙通道阻滞剂按化学结构可分为(ABDE)A.二氢吡啶类B.芳烷基胺类C.苯氧乙酸类D.苯噻氮卓类E.三苯哌嗪类87、具有抗艾滋病的药物有(BCDE)A.阿昔洛韦B.奈韦拉平C.齐多夫定D.茚地那韦E.司他夫定88、合成镇痛药包括以下哪些结构类型( BCDE)A.三环类B.吗啡喃类C.苯吗喃类D.哌啶类E.氨基酮类89、下列哪些药物在空气重易氧化变色( ACDE)A.重酒石酸去甲肾上腺素B.盐酸麻黄碱C.盐酸多巴酚丁胺D.甲基多巴胺E.盐酸异丙肾上腺素90、具有降血脂作用的药物有(BDE)A.盐酸胺碘酮B.洛伐他汀C.赖诺普利D.非诺贝特E.氯贝丁酯三、判断题91、氮芥类烷化剂由烷化剂(功能基)和载体两部组成。
最新国家开放大学电大《药物化学》期末题库及答案考试说明:本人针对该科精心汇总了历年题库及答案,形成一个完整的题库,并且每年都在更新。
该题库对考生的复习、作业和考试起着非常重要的作用,会给您节省大量的时间。
做考题时,利用本文档中的查找工具,把考题中的关键字输到查找工具的查找内容框内,就可迅速查找到该题答案。
本文库还有其他网核及教学考一体化答案,敬请查看。
《药物化学》题库及答案一一、选择题(每题只有一个正确答案。
每小题2分.共20分)1.卡马西平的主要临床用途为( )。
A.抗精神分裂症 B.抗抑郁C.抗癫痫 D.镇静催眠2.普萘洛尔为( )。
A.p受体激动剂 B.a受体激动剂C.a受体拮抗剂 D.p受体拮抗剂3.下列药物中,( )主要用于凝血酶原过低症、新生儿出血症的防治。
A.维生素K3 B.维生素BiC.维生素A D.维生素Bz4.下列药物中,( )为静脉麻醉药。
A.甲氧氟烷 B.氯胺酮C.乙醚 D.利多卡因5.抗过敏药马来酸氯苯那敏属于()Hi受体拮抗剂。
A.三环类 B.丙胺类C.氨基醚类 D.乙二胺类6.奥美拉唑为( )。
A.Hi受体拮抗剂 B.H2受体拮抗剂C.质子泵抑制剂 D.ACE抑制剂7.阿齐霉素为( )抗生素。
A.p内酰胺类 B.四环素类C.氨基糖甙类 D.大环内酯类8.下列药物中,( )含有两个手性碳原子。
A.氯霉素 B.盐酸氯胺酮C.布洛芬 D.雌二醇9.地西泮临床不用作( )。
A.抗焦虑药 B.抗抑郁药C.抗癫痫药 D.镇静催眠药10.甲氧苄啶为( )。
A.二氢叶酸合成酶抑制剂 B.二氢叶酸还原酶抑制剂C.磷酸二酯酶抑制剂 D.碳酸酐酶抑制剂二、填充题(每空2分,共20分)11.青霉素药物可抑制____ 一酶,从而抑制细菌细胞壁的合成,使细菌不能生长繁殖。
12.甾类药物按化学结构特点可分为雄甾烷类、____ 及孕甾烷类。
13.吗啡的结构中含有____个手性碳原子。
14.巴比妥类药物属于结构非特异性药物,其作用的强弱与快慢与药物的 ___ _及脂溶性(脂水分配数)有关。
药物化学形考作业(三)
(12~17章)
一、单项选择题(每题2分,共30分)
1. 阿奇霉素属于哪一类抗生素( C )。
A. β-内酰胺类
B. 四环素类
C. 大环内脂类
D. 氨基糖苷类
2. 青霉素不具有什么性质(C )。
A. 有严重的过敏反应
B. 不能口服
C. 为广谱抗生素
D. 易产生耐药性
3. 氨基糖苷类抗生素产生耐药的主要原因是由于细菌产生了钝化酶。
这些钝化酶不包括( A )。
A. β-内酰胺酶
B. 磷酸转移酶
C. 核苷转移酶
D. 乙酰转移酶
4. 四环素类抗生素属于哪一类化合物( C )。
A. 酸性
B. 碱性
C. 两性
D. 中性
5. 烷化剂按照化学结构分类不包括( D )。
A. 氮芥类
B. 乙撑亚胺类
C. 亚硝基脲类
D. 乙二胺类
6.下列药物中,不属于烷化剂类抗肿瘤药物的是(B )。
A.阿糖胞苷
B. 环磷酰胺
C. 美法仑
D. 洛莫司汀
7. 脂肪氮芥类药物的烷化历程为(D )。
A. 单分子亲电取代反应
B. 双分子亲电取代反应
C. 单分子亲核取代反应
D. 双分子亲核取代反应
8. 环磷酰胺在肿瘤组织中的代谢产物不包括( B )。
A. 丙烯醛
B. 4-酮基环磷酰胺
C. 磷酰基氮芥
D. 去甲氮芥。
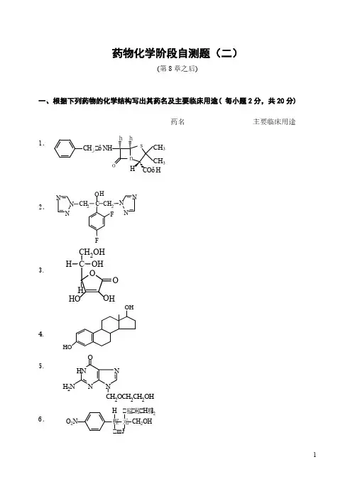
药物化学作业3(10-12章)
参考答案
一、药物名称及主要临床用途
二、药物的化学结构式及化学名称
1.结构式:
参见教材第129页。
化学名:三硝酸甘油酯
2结构式:
参见教材第131页。
化学名:1,4-二氢-2,6-二甲基-4-(3-硝基苯基)-3,5-吡啶二甲酸甲乙酯
3.结构式:
参见教材第137页。
化学名:1-[(2S)-3-巯基-2-甲基丙酰]-L-脯氨酸
4.结构式:
参见教材第141页。
化学名:2-(4-氯苯氧基)-2-甲基丙酸乙酯
5结构式:
参见教材第157页。
化学名:4-氨基-N-2-嘧啶基苯磺酰胺
6.结构式:
参见教材第165页。
化学名:4-吡啶甲酰肼
7.结构式:
参见教材第161页。
化学名:1-乙基-6-氟-4-氧代-1,4-二氢-7-(1-哌嗪基)-3-喹啉羧酸
三、分解产物
1.产物结构式参见教材第135页
2.产物结构式参见教材第187页
3.产物结构式参见教材第197页
四、选择题
五、填充题
1.硝酸酯及亚硝酸酯类钙拮抗剂β-受体拮抗剂(相关内容见教材第129页)2.烟酸类苯氧乙酸类羟甲戊二酰辅酶A还原酶抑制剂(相关内容见教材第140-141页)
3.二氢吡啶类芳烷基胺类苯并硫氮杂卓类(相关内容见教材第130-132页)4.血管紧张素抗高血压(相关内容见教材第137页)
5.巯甲丙脯酸血管紧张素转化(相关内容见教材第137页)
6.磺胺磺胺增效剂(相关内容见教材第157页)
7.代谢拮抗(相关内容见教材第150页)
8.萘啶羧酸类噌啉羧酸类吡啶并嘧啶羧酸类喹啉羧酸类(相关内容见教材第159页)
9.雷米封抗结核病(相关内容见教材第165页)
10.抗病毒抗肿瘤(相关内容见教材第172页)
11.D-丙氨酸多肽转移酶细胞壁(相关内容见教材第175页)
12.茚三酮(相关内容见教材第181页)
13.肾毒性耳毒性(相关内容见教材第191页)
14. 4 1R,2R(-)或D(-)苏阿糖(相关内容见教材第197页)
六、简答题(以下为答题要点)
1.(1)神经节阻断药,如美加明;(2)作用于神经末梢的药物,如利舍平;(3)血管紧张素转化酶抑制剂,如卡托普利;(4)肾上腺素受体拮抗剂,如萘普洛尔;(5)利尿药,如氢氯噻嗪;(6)钙拮抗剂,如硝苯地平;(7)作用于中枢神经系统的药物,如甲基多巴。
(相关内容见教材第133-139页)
2.(1)钙拮抗剂:通过扩张外周血管或脑血管作用,主要用于心脑血管疾病的
治疗,如高血压、心绞痛、心律失常及脑血栓、脑外伤后遗症等。
代表药物有尼群地平、维拉帕米、地尔硫卓、桂利嗪等(相关内容见教材第130-133页)。
(2)β-受体阻断剂:临床主要用于预防、治疗高血压、心律失常、心绞痛及青光眼,品种有普萘洛尔、阿替洛尔、噻吗洛尔、艾司洛尔等(相关内容见教材第147-148页)。
(3)血管紧张素转化酶(ACE)抑制剂:可用于各种类型高血压的治疗,代表药物有卡托普利、依那普利。
(相关内容见教材第136页)
(4)羟甲戊二酰辅酶A抑制剂:主要用于预防、治疗高血脂症及冠心病,如辛伐他汀。
(相关内容见教材第142页)
3.(1)3β-H的差向异构,在光和热的作用下异构化生成无效的3-异利舍平。
(2)氧化反应,在光和氧的作用下,被氧化成3-去氢利舍平及3,5-二烯利舍平。
(3)酯键水解,利舍平水溶液在酸碱条件下均可发生水解。
(相关内容见教材第135页)。
4.(1)与代谢物结构相似;(2)与特定酶竞争作用,干扰生物合成;(3)掺入生物分子,导致致死合成。
(相关内容见教材第156页)
5.(1)TMP与SMZ均可影响四氢叶酸的合成;(2)SMZ抑制二氢叶酸合成酶;(3)TMP抑制二氢叶酸还原酶;(4)通过双重阻断,两者产生协同抗菌作用,可明显增强药效(相关内容见教材第157页)。
6.(1)苯环为必需结构,含氮杂环可为吡啶、嘧啶;(2)3位羧基及4位羰基为必需一基团;(3)1位取代基乙基或环丙基最好;(4)5位取代基氨基最佳;(5)6位或6,8位氟取代活性增强;(6)7位引入杂环活性增强,哌嗪基最好。
(相关内容见教材第161页)。
7.(1)青霉素碱性条件下,β-内酰胺开环生成青霉酸(结构式见教材第178页)。
(2)稀酸溶液,室温重排为青霉二酸(结构式见教材第178页)。
(3)强酸加热裂解为小分子青霉胺及青霉醛酸(结构式见教材第178页)。
(4)在β-内酰胺酶的作用开环生成青霉酸(结构式见教材第17)。