西南交通大学高等数学考试试卷
- 格式:doc
- 大小:565.00 KB
- 文档页数:8
高等数学(二)复习题一、填空:(1)设向量a ≠0,那么,向量b 平行于a 的充分条件是:存在唯一实数λ,使得(b=λa )。
(2)既有大小又有方向的量统称为(向量)。
(3)向量a 与各个坐标轴的夹角分别为α、β、γ,称为( 方向角 ),方向角满足cos α2+cos β2+cos γ2=( 1 )(4)设两个点A=(x 1,y 1,z 1) 、B=(x 2,y 2,z 2),则向量 在三个坐标轴上的投影x 2-x 1,y 2-y 1,z 2-z 1叫做向量 的( 坐标),记其坐标表达式为:( =(x 2-x 1,y 2-y 1,z 2-z 1) )(5)a ·b 0表示向量a 在向量b 上的(投影)(6 )设向量a=i+3j-2k 与b=2i+6j+ek 垂直,则e=( 10 )(7)函数z =+的定义域为(8)已知函数arctan y z x =,则zx ∂=∂(9)交换积分次序,2220(,)y y dy f x y dx⎰⎰=(10)已知L 是连接(0,1),(1,0)两点的直线段,则()Lx y ds +⎰(11)已知微分方程230y y y '''+-=,则其通解为(12)函数z =的定义域为 ;(13)已知函数xyz e =,则在(2,1)处的全微分dz = ;(14)交换积分次序,ln 1(,)e x dx f x y dy⎰⎰= ;(15)已知L 是抛物线2y x =上点(0,0)O 与点(1,1)B 之间的一段弧,则=⎰;(16)已知微分方程20y y y '''-+=,则其通解为 .(17)、 函数arcsin(3)y x =-(18)、22(2)lim 332n n n n →∞++-= .(19)、已知2ln(1)y x =+,在1x =处的微分dy = . (20)、定积分1200621(sin )x x x dx -+=⎰ 0 .{(,)|0,0}x y x y x y +>->22y x y -+4102(,)xdx f x y dy⎰⎰312xxy C e C e -=+222{(,)|4,01}x y y x x y ≤<+<222e dx e dy +10(,)y ee dyf x y dx⎰⎰11)1212()xy C C x e =+1a 2dx(21)、求由方程57230y y x x +--=所确定的隐函数的导数( 或 )(22)、函数1y x =的定义域为 .(23)、0,0axe dx a +∞->⎰= 13 .(24)、已知sin(21)y x =+,在0.5x =-处的微分dy = . (25)、定积分121sin 1x dx x -+⎰= .(26)、函数43341y x x =-+的凸区间是 .(27)两条直线的方向向量的夹角叫做 两直线夹角(28)设x 2+y 2+z 2-4z=0,则 =( )(29)f(x,y)在点(x,y )可微分是f(x,y)在该点连续的( 充分 )条件,f(x,y)在点(x,y )连续是f(x,y)在该点可微分的( 必要 )条件(30)球面x 2+y 2+z 2=a 2含在圆柱面x 2+y 2=ax 内部的那部分面积为( 2a 2(π-2)) (31)锥面被柱面z 2=2x 所割下部分曲面的面积为()(32)经过点(0,-3,2)且与直线平行的直线为( )(33)利用幂级数的展开式求ln3 =( 1.0986 ) (误差不超过0.0001)(34)设z=(x-2y )y ,则 =( y(x-2y)y-1 ),(35 )设z=z(x,y)是由方程 =0所确定的函数,则x +y =( z )(36)设f(x,y)=x+(y-1)arcsin ,则f(1,2)=( 1+0.25π ), f ˊx (1,2)=( 1.5 ) (37)设,则dz=( )(38)设f(x,y)=e -x sin(x+2y),则f ˊx (0 ,0.25π)=( -1 ),f ˊy (0 ,0.25π)=( 0 )20,3⎛⎫ ⎪⎝⎭20,3⎡⎤⎢⎥⎣⎦dy dx =6412125x y ++23dx 24x ≤≤(39)取定了法向量亦选定了侧的曲面称为(有向曲面)(40)对于空间区域G,如果G内的任一闭区面所围成的区域完全属于G,则称G是(空间二维单连通区域)如果G内的任一闭区线总可以张成一片完全属于G的曲面,则称G 是(空间一维单连通区域)二、选择填空:(1)设a,b为两个非零向量,λ为非零常数,若a+λb与b垂直,则λ=( B )A B C 1 D a·b(2)设向量a=-i+j+2k, b=i+4k,则向量a在b上的投影为( B )A B 1 C D -1(3)a0为单位矢量,它同时垂直于向量b=3i+j+4k及c=i+k,则a0=( A )(4)设a={1,1,1},b={1,1,-2},c={2,2,-4},d={1,-1,0}则:( B )A b 平行于c×dB a垂直于b,d,cC c垂直于b,d,aD b平行于a(5)设3个矢量a,b,c满足关系式a·b=a·c,则:( D )A 必有a=0或b=cB 必有a=b-c=0C 当a=0时,必有b=cD 必有a垂直于(b-c)(6)设向量a=xi+3j+2k,b=-i+yj+4k,如果a平行b,那么( D )A x=-1,y=-3B x=-1,y=C x= -0.5,y= -6D x= -0.5,y=6(7)设直线L为321021030x y zx y z+++=⎧⎨--+=⎩,平面π为4220x y z-+-=,则( C )A. L平行于πB. L在π上C. L垂直于πD. L与π斜交(8)已知Ω是由曲面222425()z x y=+及平面5z=所围成的闭区域,将22()x y dvΩ+⎰⎰⎰在柱面坐标系下化成三次积分为( C )A.2253000d r dr dzπθ⎰⎰⎰B.2453000d r dr dzπθ⎰⎰⎰C.22535002rd r dr dzπθ⎰⎰⎰D.2252000d r dr dzπθ⎰⎰⎰(9)设直线L 为300x y z x y z ++=⎧⎨--=⎩,平面π为10x y z --+=,则L 与π的夹角为( A );A. 0B. 2πC. 3πD. 4π(10)设(,)z f x y =是由方程333z xyz a -=确定,则z x ∂=∂( B ); A. 2yz xy z - B. 2yz z xy - C. 2xz xy z - D. 2xy z xy -(11)微分方程256xy y y xe '''-+=的特解y *的形式为y *=( B );A.2()xax b e + B.2()xax b xe + C.2()xax b ce ++ D.2()xax b cxe ++ (12)已知Ω是由球面2222x y z a++=所围成的闭区域, 将dv Ω⎰⎰⎰在球面坐标系下化成三次积分为( D ); A2220sin ad d r drππθϕϕ⎰⎰⎰ B.220ad d rdrππθϕ⎰⎰⎰C.20ad d rdrππθϕ⎰⎰⎰ D.220sin a d d r drππθϕϕ⎰⎰⎰(13)已知幂级数1212nnn n x ∞=-∑,则其收敛半径为( A ).A. 2B. 1C. 12D.(14)、2x =是函数22132x y x x -=-+的( A )间断点 (A )可去 (B )跳跃(C )无穷 (D )振荡(15)、积分1⎰= ( D )(A) (B)-∞(C) 0 (D) 1(16)、函数1xy e x =-+在(,0]-∞内的单调性是 ( A ) 。
西南交通大学2013-2014学年第(1)学期期中考试试卷课程代码 6011310 课程名称 高等数学I 考试时间 90分钟阅卷教师签字:一、单项选择题(在每个小题四个备选答案中选出一个正确答案,填在题末的括号中)(本大题分5小题, 每小题5分, 共25分)1.的值是( )极限ax ax ax a -→+-12)1(lim )答( . . . .D e D e C e B A a a -12. 的值是( )极限xx xx 2sec 5arctan lim0→ ) 答( . . . .C D C B A 25510 3.x x x x x x f 322)(232-+-+=的第一类间断点有)答( 个.个 .个 .个 .B D C B A 32104. )内的实根的个数为( ,在方程)30(0133=+-x x ) 答( . . . .B D C B A 01235.是次项的系数的阶麦克劳林展开式中的n a n x n xx f -=11)(( ) )(!)1(.!1..1. 答 A n D n C n B A n-班 级 学 号 姓 名密封装订线 密封装订线 密封装订线二 填空题(4个小题,每题6分,共24分)6.)103()3)(2)(1(----=x x x x x y 在x =3的导函数值是( 3!100!) 7. 曲线xxe y -=的凹区间是( [2,+∞) )。
8.的微分是,则设)()53()1)(2()(2x f x x x x f -+-=⎪⎪⎭⎫⎝⎛⋅⎪⎪⎭⎫⎝⎛--++--+-dx x x x x x x )53(6)1(21)2(21)53()1)(2(2 9.则且处可导在设,0)(,)(≠='=b a f a x x f=--+→)sin ()sin (limx a f x a f x x ⎪⎭⎫⎝⎛b 21 ⎪⎭⎫=---+-+=⎝⎛----+=--+→→→b xxx a f x a f x x x a f x a f x a f x a t x a f x a f x a f x a f x x x x 21sin sin )()sin (sin sin )()sin (1lim)()sin ()()sin (1lim)sin ()sin (lim 000三 解答题(5个小题,每题6分,共30分) 10. 计算⎪⎭⎫⎝⎛-→x x x x x x 20sin cos sin tan lim 极限解:21cos )2(sin 2lim cos )cos 1(tan lim 22020=⋅=⋅-=→→x x xx x x x x x x11. 设 ⎩⎨⎧+-=++=22)1(arctan 22ln )1ln(t t y t x ,求22,dx yd dx dy解:)1(12)1(212222t t t t t t dxdy ++-=++-+=t t t t t t dx y d 2)1)(21(12)21(2222++-=++-= 12. 的函数,确定的是由方程 设x y x f y x f y y )()(22+++=且2)0(=y ,其中)(x f 是可导函数,且)0(.1)4(,21)2(y f f '='='求 解: )1)(()22)((22y y x f y y x y x f y '++'+'++'='由2)0(=y 以及.1)4(,21)2(='='f f 代入得:71)0(-='y13. .求 ,,,已知)(01sin 0)1ln()(23x f x x x x x x f '⎪⎩⎪⎨⎧>≤-= 解:f f f f x x ()()()()0000000-=+===,在处连续'=-=-=-='=-==-→-→-→-+→+→+f f x f x x x x xf f x f x x x x x x x x x ()lim ()()lim ln()lim ()lim ()()lim sin001000100000300300002'=f ()00'=-≤->⎧⎨⎪⎪⎩⎪⎪f x x x x x x x x ()sin cos 310211023,,四 解答题(本题7分)14. 如图所示,某人开游艇在距岸9公里A 点处,接到短信要立刻赶到距游艇343公里处岸上的B 点处, 如果游艇速度是每小时4公里,在岸上步行是每小时5公里,问何处登岸可使到达B 点的时间最短?设登岸处为D 并设DB 为x ,()x x CD -=--=15934322则抵达B 点所用时间为54)15(922xx t +-+=其中0≤ x ≤1551)15(814)15(2+-+--='x x t 令0='t 求出在(0,15)内仅有唯一驻点x=3,所以根据实际意义,在距B 点3公里处登岸所用时间最短。
一、填空题: 1.设函数(,)z z x y =是由ln x zz y=所确定,则()0,1,1dz =dx dy + . 2.设幂级数0nn n a x ∞=∑的收敛区间为()3,3-,则幂级数()01nn n a x ∞=-∑的收敛区间为 ()2,4- .3.设函数,0()0,0x x f x x ππ--<≤⎧=⎨<≤⎩的付氏级数的和函数为()S x ,则(5)S π=2π.4.设),(xyx f z =,其中f 具有连续的二阶偏导数,则y x z∂∂∂2= 223221211f xy f x f x ''-'-'' . 5.设幂级数()01nn n a x ∞=-∑在0x =处收敛,而在2x =处发散,则幂级数0n n n a x ∞=∑的收敛域为 [1,1)-.6.函数23)(2-+=x x x f 关于x 的幂级数展开式为 110(1)1,(1,1)2n n n n x x +∞+=⎡⎤--∈-⎢⎥⎣⎦∑ . 7.设函数y z x =,则(2,1)dz = 2ln 2dx dy +8.曲线23,,x t y t z t ==-=的切线中,与平面236x y z -+=垂直的切线方程是111123x y z -+-==-. 9.设),(y x z z=是由方程sin()ln z e z xy a -= 0a >为常数所确定的二元函数,则 =dz cos()cos()sin()sin()z zyz xy xz xy dx dy e xy e xy +--. 10.旋转抛物面22zx y =+的切平面: 44810x y z -++=,平行与已知平面21x y z -+=.11.微分方程20y y y '''+-=的通解为 1212x x YC eC e -=+,2x y y y e '''+-=的通解为 121212x x x yC eC e e -=++.12.曲线:Γt tu e z t t y udu e x 301,cos sin 2,cos +=+==⎰在点()2,1,0处的切线方程为 3.函数41)(-=x x f 的麦克劳林级数的第5项为544x -,收敛域为)4,4(-.14..已知函数(,)23a b f x y x y x y =+--(其中,a b 是大于1的实数),有一个极值点(1,1), 则3,2==b a , 此时函数(,)f x y 的极大值为 3.15.试写出求解下列条件极值问题的拉格朗日函数:分解已知正数a 为三个正数z y x ,,之和,使z y x ,,的倒数之和最小()()a z y x zy x z y x L -+++++=λ111,, 16函数()x x x f -=1ln )(的麦克劳林级数的收敛域为[)1,1-∈x ,=)0()5(f-30二、单项选择题:请将正确结果的字母写在括号内。
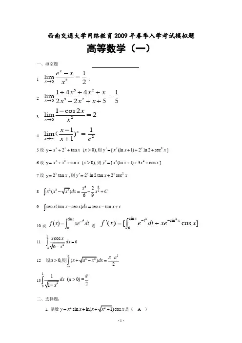
西南交通大学网络教育2009年春季入学考试模拟题高等数学(一)一、填空题 1201lim 2x x e x x →-=、2323201441lim 2255x x x x x x x →+++=-++3201cos 2lim 2x x x →-= 4211lim )1x x x x e→∞-=+(5设 y 2tan (0),x x x x x =++>则='y [2(ln 1)2ln 2sec x x x x x +++] 6设 y 3sin (0),x x x x x =++>则='y [2(ln 1)3cos x x x x x +++] 7设 y 2tan ,x x =则22ln 2tan 2sec x x y x x '=+823(x x dx =⎰962269x x C -+ 9s e ct a n s e c )s e c t a nx x x d x x x c -=-+⎰( 10设2sin 0(),xt f x xe dt -=⎰则22sin sin 0()[cos ]xt xf x e dt xex --'=+⎰112-=⎰120,(aaa x dx ->=⎰设则22a π131(0)2a π>=二、选择题:1.函数2sin ln(y x x x x =+是( A )A. 奇函数B. 偶函数C. 非奇非偶函数D. 有界函数2. 函数2sin(2)3y x π=+的周期是( B )A. 2πB.πC.2π D. 03.201cos 2lim tan x x x→-=( C ) A. 0B. 1C. 2D. -24. 1tan 0lim 1sin )xx x →+=(( B )A.21B. eC.1D. ∞5. 设曲线xye z =与直线x=2,y=2的交点为P ,则曲线在P 点的切线方程是( A ) A ex+ey-z=e B e x+ey-z =0C 2x+y -3z =0D 4x-y -4=0 6. 设 y 3cos (0),x x x x x =++>则='y ( C ) A. 13cos x x xx -++B. (ln 1)3ln3cos x x x x x +++C. 2(ln 1)3sin x x x x x ++-D. 3ln 3cos xxx x ++7. )(x f 在点0x 可导是)(x f 在点0x 连续的( A ) A. 充分条件B. 必要条件C. 充分必要条件D. 无关条件8. 函数7186223---=x x x y 单调减少的区间是( A ) A. (,1)-∞-B. )3 ,1(-∈xC. (,1),(3,)-∞-+∞D. (3,)+∞9. 曲线11xy e =-的水平渐近线方程为( D ) A. 1=xB. 1=yC. 0=xD.0=y10. 2cos sec )sin tan x x dx x x c -=++⎰(( A )A. cos tan x x c ++B. sin tan x x +C. sin tan x x c ++D. sin cot x x c ++ 11. 设2sin 0(),xt f x te dt -=⎰则()f x '=( D )A. 2sin ()sin 2xf x xe -'= B. 2sin()cos sin xf x x xe '=C.2sin()sin xf x xe -'=D.2sin ()cos sin xf x x xe-'=12. 当22{(,)|1}D x y x y =+≤时,则22()Dxy x dx ++⎰⎰=( A )A2πB 1C π2D 013. 0,(sin aaa x dx ->=⎰设则 ( C )A. π32B. 34C.22a π D.32 14.积分12-=⎰( D )A. πB.4π C.π32D. 015. 橢球面 2222221x y z a b c ++=在点000(,,)x y z 处的切平面是( C )A.0001x x y y z z a b c ++= B 000x x y y z z abc ++= C. 0002221x x y y z z a b c ++=, D.0002221x x y y z z a b c---++= 16. 判断级数1211(1)21n n n ∞-=--∑是( A )A 绝对收 .B 条件收敛.C 发散 .D 以上都不正确 .17. 设1(1sin ),0(), 0x x x f x a x ⎧⎪+≠=⎨⎪=⎩要使)(x f 在0=x 处连续,则=a ( D )A. 0B. 1C. e1D. e18. 方程0823=-'-''y y y 的通解是( B ) A. 33e exxy C C -=+ B. x xC C y 34221ee-+=C. x x C C y 3231e e -+=D. 332e exxy C -=+19. 内的和函数是在),()!1()1(111+∞-∞--∑∞=--n n n n x ( A )A xe- B )1ln(x - Cx+11D x +1 20.(0)a =>上任何一点处的切平面各坐标舳上的截距之和等于( C )A.B. 000x y zC. aD.轩辕杨杰Nc西南交通大学网络教育2009年春季入学考试模拟题高等数学(二)一、填空1 2323232[ln()]y dy xdxd y x y x ++=+2 22++(2)x yx yzz exe xδδ=⇒=4 球面 2222221a x b y c z ++=在点000(,,)x y z 处的切平面是( 2220001a x x b y y c z z++=) ; 5当时}4|),{(22π≤+=y x y x D ,则22sin()D x y dx +=⎰⎰2(1sin)4ππ-6当22{(,)|1}D x y x y =+≤时,则=⎰⎰+dx e Dy x)22(1)e π-7幂级数21(1)3n nnn x n ∞=-∑的收敛半径是x =8幂级数21(1)n nn x n n∞=-+∑的收敛半径是 19幂级数nn nn x ne21)1(∑∞=-的收敛半径是e 10函数)]11(,)1([)1ln()(11∑∞=-≤<--+=n nn x n x x x x f 的幂级数为展开为11函数2(ln3)()3[,()]!2xn nnn x f x x x n ∞==-∞<<+∞∑展开为的幂级数为二、选择题1.函数2sin y x x = A ) A. 奇函数 B. 偶函数 C. 非奇非偶函数 D. 有界函数2. 函数2cos(2)3y x π=+的周期是( B )A. 2πB.πC.2π D. 03.2tan 201lim sin xx e x →-=( C ) A. 0B. 2C. 1D. -24. 10lim 1sin )xx x →+=(( B )A.21 B. e C.1D. ∞5. 设曲线2x y =与直线x=2的交点为P ,则曲线在P 点的切线方程是( A ) A 4x-y -4=0 B x+y-1=0C 2x+y -3=0D 2x-y+2=06. y 3sin (0),x x x x x =++>则='y ( B ) A. 13cos x x xx -++B. (ln 1)3ln3cos x x x x x +++C. ln 3ln3cos xxx x x ++D. 3ln 3cos xxx x ++7. )(x f 在点0x 可微是)(x f 在点0x 连续的( A ) A. 充分条件B. 必要条件C. 充分必要条件D. 无关条件8. 函数7186223---=x x x y 单调减少的区间是( C ) A. (,1)-∞-B. )3 ,1(-∈xC. (,1),(3,)-∞-+∞D. (3,)+∞9. 曲线121xy =-的水平渐近线方程为( D ) A. 1=xB. 1=yC. 0=xD.0=y10. 23(x xdx -=⎰( B )A.962962x x C -+ B. 962269x x C -+ C. 962269x x C -+ D. 66x C + 11. 设 2sin 0(),xt f x te dt -=⎰则( C )A. 2sin ()sin 2xf x xe -'= B. 2sin ()cos sin xf x x xe -'=C.2sin()sin xf x xe -'=D.2sin()cos xf x xe -'=12. 当时}144|),{(22≤+=y x y x D ,则=+⎰⎰dx x D)23(( A ) A π8 B 1 C π2 D 013. 0,(sin aaa x dx ->=⎰设则 ( C )A. π32B. 34C.22a π D.32 14.广义积分0(0)aa >=( D )A.πB.4π C.发散D. 2π15. 曲面22y x z +=在点(1, 2, 5)处的切平面方程是( B )A. 2(1)4(2)(5)0x y z -+-+-= B 0)5()2(4)1(2=---+-z y x C. (1)2(2)(5)0x y z -+---=,D. 2(1)4(2)(5)0x y z -+--+=16. 判断级数∑∞=-+-121121)1(n n n 是( A )A 绝对收 .B 条件收敛.C 发散 .D 以上都不正确 .17. 设1(1),0(), 0x x x f x a x ⎧⎪+≠=⎨⎪=⎩要使)(x f 在0=x 处连续,则=a ( D )A. 0B. 1C. e1D. e18. 方程09=-''y y 的通解是( C ) A. 33e exxy C C -=+ B. 331e e x x y C -=+ C. x x C C y 3231e e -+=D. 332e exxy C -=+19. 内的和函数是在),()!1()1(111+∞-∞--∑∞=--n n n n x ( A )A xe- B )1ln(x - Cx+11D x +1 20. 设20()4,xf x t dt +=⎰,则()f x =( C )A. 3()3x f x =B. 3()23x f x =- C. 3()43x f x =-D. 3()4f x x =-西南交通大学网络教育2009年春季入学考试模拟题高等数学(三)一、填空题 120sin 1lim 2x x e x x →-=2323203543lim 2244x x x x x x x →+++=-++3 201cos 2lim 2sin x x x →-= 4cot 0lim 1sin )x x x e →+=(5设 y cos (0),x x x e x x =+->则='y [(ln 1)sin x x x x e x +++] 6设 y 42(0),x x x x x =++>则='y [3(ln 1)42ln 2x x x x x +++] 7设 y 2tan ,x x =则22ln 2tan 2sec x x y x x '=+82(x x dx =⎰742247x x C -+ 9 21sin tan )sin 2ln cos 24x x x dx x x c -=-++⎰( 10设22(),x t f x te dt -=⎰则43()[2]x f x x e-'=1121ln x x -+=⎰12 0,(sin aaa x dx ->=⎰设则22a π133)0(322a a dx x a x a⎰=>-二、选择题:1. 函数4sin y x x = A )A. 奇函数B. 偶函数C. 非奇非偶函数D. 有界函数2. 函数tan(2)y x =的周期是( C ) A. 2πB.πC.2π D. 03.21211lim sin(1)x x e x -→-=-( B ) A. 0B. 1C. 2D. -24.lim xx x x →∞⎛⎫= ⎪⎝⎭1+-1( D ) A.21B. eC.1D. 2e5. 设曲线sin y x =与直线2x π=的交点为P ,则曲线在P 点的切线方程是( A )A 1y =B 4x-y -4=0C 2x+y -3=0D 2x-y+2=0 6. y 2tan (0),x x x x x =++>则='y ( B ) A. 13cos x x xx -++B. 2(ln 1)2ln 2sec x x x x x +++C. ln 3ln3cos xxx x x ++D. 3ln 3cos xxx x ++7. )(x f 在点0x 可微是)(x f 在点0x 可导的( C ) A. 充分条件B. 必要条件C. 充分必要条件D. 无关条件8. 函数7186223---=x x x y 单调增加的区间是( B ) A. (,1)-∞-B. (,1),(3,)-∞-+∞C. )3 ,1(-∈xD. (3,)+∞9. 曲线11(1)xy a a =->的水平渐近线方程为( D ) A. 1=xB. 1=yC. 0=xD.0=y10. 23(x xdx -=⎰( B )A.962962x x C -+ B. 962269x x C -+ C. 962269x x C -+ D. 66x C + 11. =⎰-xxdt t dx d 2sin ( C ) A x x 2cos 2- B 2x 2sin x C 2sin 2x D x 2sin 12. 当22{(,)|1}D x y x y =+≤时,则(sin 2)Dx dx +=⎰⎰( D )A π8B 1C 0D π213. 0,(sin aaa x dx ->+=⎰设则 ( A )A. 0B. 34C.22a π D.32 14.广义积分0(0)aa >=( D )A.πB.4π C.发散D. 2π15. 曲面22y x z +=在点(1, 2, 5)处的切平面方程是( B )A. 2(1)4(2)(5)0x y z -+-+-= B 0)5()2(4)1(2=---+-z y x C. (1)2(2)(5)0x y z -+---=,D. 2(1)4(2)(5)0x y z -+--+=16. 判断级数1211(1)2n n n n∞-=-+∑是( A ) A 绝对收 . B 条件收敛. C 发散 . D 以上都不正确 .17. (),0(), 0g x x f x x a x ⎧≠⎪=⎨⎪=⎩其中(0)g '=2要使)(x f 在0=x 处连续,则=a ( C )A. 0B. 1C. 2D. e18. 方程40y y ''-=的通解是( C ) A. 22ee xx y C C -=+B. 221e e x x y C -=+C. 2212e e x x y C C -=+D. 222e e x x y C -=+19. 1211(1)(,)(21)!n n n x n --∞=--∞+∞-∑在内的和函数是( A )A sin xB cos xC x eD x +1 20. 设20()3,xf x t dt +=⎰,则()f x =( D )A. 3()3x f x =B. 3()23x f x =- C. 3()43x f x =-D. 3()33x f x =-。
期中考试参考答案:一、单项选择题 C D D B D C 二 填空题 7. 2 8. (0,)+∞ 9. 极小值为--+e n ()110.dx x x x )1arctan411(2-+-11. b21⎪⎭⎫=---+-+=⎝⎛----+=--+→→→b xxx a f x a f x x x a f x a f x a f x a t x a f x a f x a f x a f x x x x 21sin sin )()sin (sin sin )()sin (1lim)()sin ()()sin (1lim)sin ()sin (lim 000三 解答题12. 计算求数列的极限.lim ()n nn n →∞++211解:原式=++→∞lim()()n nnn n111122=+→∞⋅1112122e nn n nlim ()=⋅10e e=1e13. xxx x y 1sin)(tan +=设 求y '解:21y y y +=设]1sin1ln 1cos1[]tan sec)[ln(tan )(tan ]1sin1ln 1cos 1[ln 1sin ln ]tan sec)[ln(tan )(tan )ln(tan ln )(tan 21sin22121sin221sin22111x x x xxxxxx x x y y y x xx x xx y xxy xy xxx x x y x x y x y xxxxxx+-⋅+⋅+='+'='+-⋅='⋅==⋅+='==14. 设 ⎩⎨⎧+-=++=22)1(arctan 22ln )1ln(t t y t x ,求22,dxy d dx dy解:)1(12)1(212222t t ttt tdxdy ++-=++-+=tt t tt t dxy d 2)1)(21(12)21(2222++-=++-=15. .的函数,求确定的是由方程 设)0()ln()sin(y x x x y xy y '=-+ 解:1)0(=y 1)0(1)cos()cos(1111)1)(cos(='-+--+='=--'+'+y xy xy x xy y xy y xy y y xy 16. .求 ,,,已知)(01sin 0)1ln()(23x f x x x x x x f '⎪⎩⎪⎨⎧>≤-= 解:f f f f x x ()()()()0000000-=+===,在处连续'=-=-=-='=-==-→-→-→-+→+→+f f x f x x x x xf f x f xx x xx x x x x ()lim()()limln()lim()lim()()limsin001000100000300300002'=f ()00'=-≤->⎧⎨⎪⎪⎩⎪⎪f x x x x x x x x ()sin cos 310211023,, 四 解答题17. 的距离为最短的点找出到直线在抛物线2432=-=y x x y设抛物线上任点到直线的距离为(,),x x 22345116924322+-=+--=x x x x d考虑2342+-=x x f088338>=''=-='f x x f 唯一驻点 最小时故当f x ,83=,而f f f f =>>=即故,0,01623)83(即点,到直线的距离最短389643420⎛⎝ ⎫⎭⎪--=x y(注如用切线平行于已知直线解也可以)18. 讨论函数的连续性为正整数.f x x x e x en n nxnx()lim()=++→∞23解: x eef x x e x xexn nxn nxn nx nx>=∞==++=→∞→∞-→∞--001233,,lim lim ()lim当, x ef x x x e x exn nxn nxnx<==++=→∞→∞0023lim ()limf ()00=显然当,连续x f x ≠0() 又f f f ()()()+==-=0000故在处也连续f x x ()=0综上述:处处连续f x ()五 证明题(1小题7分,2小题6分,共13分) 19. 证明: 4>x 时, 22x x >。
题目一二三四五总分91011121314151617得分西南交通大学2008-2009学年第(2)学期考试试卷班 级 学 号 姓 名密封装订线 密封装订线 密封装订线课程代码 6011320 课程名称 高等数学II (A卷)考试时间 120分钟阅卷教师签字:1、 单项选择题(每小题4分,共16分).1. 对于微分方程,其特解设法正确的是( B ). (A); (B) ; (C); (D)2. 设空间区域,,则 ( c ) . (A); (B) ;(C); (D)3. 设,且收敛,,则级数( B ).(A)条件收敛; (B)绝对收敛; (C)发散; (D)收敛性与有关。
4. 设二元函数满足,则( D ). (A)在点连续; (B);(C),其中为的方向余弦;(D)在点沿x轴负方向的方向导数为.2、 填空题(每小题4分,共16分).5. 设函数,则= 1 .6. 曲面被柱面所割下部分的面积为 .7. 设,而,其中则 , 0 .8. 幂级数的收敛域为 [1,3] .3、 解答下列各题(每小题7分,共28分).9. 设是由方程确定的隐函数,可微,计算.解: ,10. 在曲面上求一点,使该点处的法线垂直于平面.解:令,则在点的法向量为,平面的法向量为。
,得,又得,故满足题意的点为(-3,-1,3)11. 将函数展开为的幂级数.解:12. 计算,是由曲面及所围成的闭区域.解:=4、 解答下列各题(每小题10分,共30分)13. (10分)设具有二阶连续导数,,曲线积分与路径无关.求.解: ,的通解为设特解,代入得的通解为。
由,得。
14. (10分)计算积分,其中为圆周(按逆时针方向).解(1)故当时,在所围的区域内有连续偏导,满足格林公式条件。
(2)故当时,构造曲线(取得足够小保证含在所围区域)方向为逆时针,即。
则曲线围成复连通区域且为的正向边界。
故在复连通区域满足格林公式条件,故即15. (10分)计算,其中为锥面被 所截部分的外侧.解5、 综合题(每小题5分,共10分)16. 在椭球面上求一点,使函数在该点沿方向的方向导数最大,并求出最大值.解:问题变为求在下的最大值点。
西南交通大学2019-2020学年第2学期半期测试课程代码 MATH011512 课程名称 高等数学II 考试时间 60 分钟注意:本试卷共9道大题,需要详细解答过程,将答案写在答题纸上,考试结束前拍照上传。
要求独立完成,诚信参考!考试诚信承诺书。
我郑重承诺:我愿意服从学校本次考试的安排,承认考试成绩的有效性,并已经认真阅读、了解了《西南交通大学考试考场管理办法》和《西南交通大学本科生考试违规处理办法》,我愿意在本次考试过程中严格服从监考教师的相关指令安排,诚信考试。
如果在考试过程中违反相关规定,我愿意接受《西南交通大学本科生考试违规处理办法》的规定处理。
您是否同意:A. 同意B. 不同意选择B 选项,本次考试无效。
一(10分) 、判断直线1212:012+--==-x y z L 与222:2+=⎧⎨+-=⎩x y L x y z 的位置关系,并给出理由。
解 法一 化2L 为对称方程12:121-==--x y zL (不唯一) 故12、L L 方向向量分别为()()120,1,21,2,1=-=--、s s ,(不唯一)分别过点()()122,1,20,2,0=-=、M M计算121201212110212-⎡⎤=--=-⎣⎦-,,s s M M (8分)(不唯一,只要最终表明混合积不为零即可)这表明直线异面(而且12⊥s s 表明其异面垂直)法二 1L 的参数为2122=-⎧⎪=+⎨⎪=-⎩x y t z t ,(不唯一)代入2L 得41221222-++=⎧⎨-++-+=⎩t t t (*),(*)无解,这表明12、L L 无交点,故它们要么平行要么异面,注意到12、L L 方向向量分别为()()120,1,21,2,1=-=--、s s ,它们不平行,这表明12、L L 异面。
二 (10分)、 设函数()22,=z f xy x y ,其中f 具有二阶连续偏导数,求d z 及22∂∂z x。
西南交通大学2017-2018学年第1学期半期测试卷 课程代码1271046 课程名称 高等数学BI 考试时间90分钟参 考 评 分 标 准一. 选择题(每小题4分,共20分)1、下列结论中正确的是( C ).(A )有界数列必然收敛;(B )发散数列必然无界;(C )若2lim n n x a →∞=,21lim n n x a +→∞=,则lim n n x a →∞=;(D )若3lim n n x a →∞=,31lim n n x a +→∞=,则lim n n x a →∞=.2、已知0→x 时2ln(1)ax +与1x e x --等价无穷小,则a =( B ).(A )1;(B )12;(C )1-; (D )12-.3、若函数()()(1)x e bf x x a x -=--有无穷型间断点10x =和可去间断点21x =,则( A). (A )0,a b e ==; (B ),0a e b ==; (C )0,1a b ==; (D )1,0a b ==.4、设函数()f x 在点0x 处可导,则( D ).(A )()f x 在点0x 处不一定有极限; (B )()f x 在点0x 处不一定连续;(C )()f x 在点0x 处不一定可微; (D )()f x 在点0x 处不一定二阶可导.5、函数(1)(2)(3)(4)y x x x x x =----的导函数有( C )个零点.(A )1;(B )2;(C )4; (D )5.二. 填空题(每小题5分,共25分)1、已知为常数,且23lim()1ax x x e x →∞+=+,则a =1.2、若(1)(1)2f f '==,则220(1)(1)lim x f x f x →+-=8.3、设函数1(arctan )y f x =,其中()f x 为可导函数,则d y =211-(arctan )d +1f x x x '.4、函数sin (0)x y x x =>的导函数为sin sin (cos ln )x xx x x x +.5、函数ln(12)y x =-在0x =处的n 阶导数()(0)n y =2(1)!n n --.三. 计算题(每小题7分,共21分)注意:解题方法不唯一1、求20lim x x x +→解:原极限00lim lim x x x e ++→→=⋅(3分)20212lim 12x x x +→=1=(7分) 2、求tan 01lim ()x x x+→; 解:原极限0lim tan ln tan ln 0lim x x x x x x e e +→+--→==(2分) 其中000021ln lim tan ln lim ln lim lim 011x x x x x x x x x x x x++++→→→→====-(6分) 所以原极限01e ==(7分)3、求2011lim()tan x x x x→-. 解:原极限2300tan tan limlim tan x x x x x x x x x →→--==(3分) 220sec 1lim 3x x x→-=(5分) 220tan 1lim 33x x x →==(7分) 四. 解答题(每小题9分,共27分)注意:解题方法不唯一1、求曲线方程()sin ln()xy y x x +-=在点()0,1处的切线方程.解:方程两边对x 求导得:()()1cos (1)1xy y xy y y x''++-=-(1)(4分) 将0,1x y ==代入(1)式得:(0)1y '=(6分)所求切线方程为:1y x =+.(9分)2、求由参数方程2ln(1)arctan x t t y t⎧=-+⎨=⎩确定的函数的一阶导数d d y x 和二阶导数22d d y x . 解:22221d (arctan )112d (ln(1))(1)11y t t t x t t t t '+==='-+--+(4分) 考虑参数方程22d 1d (11)ln()x t y x t t ⎧=-+=-⎪⎨⎪⎩,求导得: 2232225212(ln(112()d 2()(1)(1)d (1)))11y t t x t t t t t t -+'-+-'---===-+.(9分) 3、已知32ln(1-),0()1sin ,0x x f x x x x ⎧≤⎪=⎨>⎪⎩,求()f x '. 解:当0x >时,2111()(sin )2sin cos f x x x x x x''==-.(2分) 当0x <时,233()1-x f x x-'=.(4分) 当0x =时,2001sin ()(0)lim lim 0x x x f x f x x x ++→→-==;(6分)300()(0)ln(1)lim lim 0x x f x f x x x--→→--==,(8分) 所以(0)0f '=.(9分)五. 证明题(共7分)设函数()f x 在[0,1]上连续,在()0,1上可导,且(0)(1)1f f =-=,证明:存在()0,1ξ∈,使得()3()0f f ξξξ'+=.证明:设3()()F x x f x =,则32()()3()F x x f x x f x ''=+.(3分)因为(0)(1)1f f =-=,由零点定理,存在()0,1η∈,使得()0f η=,即()0F η=.(5分) 又因为(0)0F =,所以由中值定理,存在()()0,0,1ξη∈∈,使得()0F ξ'=,即()3()0f f ξξξ'+=.(7分)。
班 级 学 号 姓 名
二、填空题(5个小题,每小题4分,共20分) 7. 已知21)1('=
f ,则=--→h
f h f h )
1()1(lim 0 ; 8. 如果dt t x x ⎰
=
2
sin )(ψ,则=)('x ψ ;
9. =⎰xdx ln ; 10. =⎰+∞
-dx e x 02
x 11. 方程
y e dx
y
-x d =的通解为 。
三、计算题(4个小题,共41分,要求有必要的解题步骤)
12.(7分) 求极限x x x x 20
sin 2arcsin lim
→;
13.(7分)由参数方程为参数)
t 为常数,a ,(其中)
cos 1(y )sin (x ⎩⎨
⎧-=-=t a t t a ,所确定的函数的一阶导数dx
y
d ;
14.(7分)设 ⎪⎩⎪⎨⎧≤≤-≤≤-=3
0,902,x
)(2
x x x x f ,求 ⎰
-3
2
)(dx
x f ;
15.(10分) 求
⎰
dx x
x 4
-
1
;
16.(10分)求微分方程 x e y y y 2'
2"=+-的通解。
四、应用题与证明题(2个小题,共15分,要求有必要的解题步骤) 17. (7分)求内接于半径为R 的圆内的长方形的最大面积。
.
18. (8分)曲线 1=xy 与直线 3x 及1x ==,及x 轴围成一个曲边梯形,求该图
形绕 x 轴旋转 一周所得旋转体的体积;。
2021年交通大学《高等数学BI 》试卷班级 姓名 成绩一、 选择题(共6道小题,每小题 3分,满分18分).1.设函数()f x ,()g x 在点0x =的某邻域内连续,且当0x →时,()f x 是()g x 的高阶无穷小,则当0x →时,()0sin d x f t t t ⎰是()0d xg t t t ⎰的( ).(A) 低阶无穷小 (B)高阶无穷小 (C) 同阶但不是等价无穷小(D)等价无穷小2.设函数1sin ,0,()0,0x x f x xx α⎧>⎪=⎨⎪≤⎩在0=x 处有一阶连续的导数,则( ). (A) 0α> (B)1α> (C) 2≥α (D) 2α>3.曲线22123x y x x -=--有( ).(A)一条水平渐近线,一条铅直渐近线 (B)一条水平渐近线,两条铅直渐近线 (C)两条水平渐近线,一条铅直渐近线 (D)没有水平渐近线,两条铅直渐近线 4.设函数()f x 具有二阶导数,()(0)(1)(1)g x f x f x =-+,则在区间[0,1]上( ). (A)当()0f x '≥时,()()f x g x ≥ (B)当()0f x '≥时,()()f x g x ≤ (C)当()0f x ''≥时,()()f x g x ≥ (D)当()0f x ''≥时,()()f x g x ≤5.如图,连续函数()y f x =在区间[3,2]--、[2,3]上的图形分别是直径为1的上、下半圆周,在区间[2,0]-、[0,2]上图形分别是直径为2的下、上半圆周,设()()d xF x f t t =⎰,则下列结论正确的是( ).3211(A)3(3)(2)4F F =-- (B) 5(3)(2)4F F =(C)3(3)(2)4F F -= (D) 5(3)(2)4F F -=--6.若反常积分ed k x x --∞⎰收敛,则必有( ).(A) 0k > (B) 0k < (C)0k ≥ (D) 0k ≤二、填空题(共6小题,每小题 3分,满分18分).1.若曲线321y x ax bx =+++有拐点(1,0)-,则b =______. 2.2sin 0lim(13)xx x →+=____________.3.曲线tan()e 4y x y π++=在点(0,0)处的切线方程为 .4.设2()sin f x x =,则)()(x f n = _________.5.1211sin d 1x x x x -+⎛⎫+⎪+⎝⎭⎰= _________. 6.设某商品的总收益R 关于销售量Q 的函数为24.0104)(Q Q Q R -=,销售量50=Q 个单位时,总收入的边际收入为_________.三、 解答题(共6道题,每小题8分,满分48分).1. 求011lim 1e x x x x -→+⎛⎫- ⎪-⎝⎭.2.已知)(x y y =是由参数方程 2ln(1),arctan x t y t t⎧=+⎨=-⎩ 所确定的函数,求d d y x ,22d d y x .3.计算不定积分x ⎰.4.计算定积分22.x ππ-⎰5.求曲线x y =()40≤≤x 上的一条切线,使该切线与直线0=x , 4=x 以及曲线x y =所围成的平面图形的面积最小.6.已知函数()f x 在0x =点的某邻域内有连续的一阶导数, 且 (0)0,(0)0f f '≠≠,0()(2)(0)lim0h af h bf h f h→+-=, 求,a b .四、(本题满分10分).设()cos ,0,(),0,x xx f x xa x ϕ-⎧≠⎪=⎨⎪=⎩其中()x ϕ具有二阶连续导数,(0)1ϕ=. (1) 求a 的值,使()f x 在0x =点连续;(2) 已知()f x 在0x =点连续,求()f x '并讨论()f x '在0x =点的连续性.五、(本题满分6分)已知()f x '连续,且当0x ≥时,恒有()0f x '>.证明当0a b <<时,001()d [()d ()d ].2bba a tf t tb f t t a f t t >-⎰⎰⎰《高等数学CI 》答案一、选择题(共6道小题,每小题 3分,满分18分).1.设函数()f x ,()g x 在点0x =的某邻域内连续,且当0x →时,()f x 是()g x 的高阶无穷小,则当0x →时,()0sin d xf t t t ⎰是()0d xg t t t ⎰的( B ).(A) 低阶无穷小 (B)高阶无穷小 (C) 同阶但不等价无穷小 (D)等价无穷小2.设函数1sin ,0,()0,0x x f x xx α⎧>⎪=⎨⎪≤⎩在0=x 处有一阶连续的导数,则(D ). (A) 0α> (B)1α> (C) 2≥α (D) 2α>3.曲线22123x y x x -=--有( A ).(A)一条水平渐近线,一条铅直渐近线 (B)一条水平渐近线,两条铅直渐近 (C)两条水平渐近线,一条铅直渐近线 (D)没有水平渐近线,两条铅直渐近线4.设函数()f x 具有二阶导数,()(0)(1)(1)g x f x f x =-+,则在区间[0,1]上( D ). (A)当()0f x '≥时,()()f x g x ≥ (B)当()0f x '≥时,()()f x g x ≤ (C)当()0f x ''≥时,()()f x g x ≥ (D)当()0f x ''≥时,()()f x g x ≤5.如图,连续函数()y f x =在区间[3,2]--、[2,3]上的图形分别是直径为1的上、下半圆周,在区间[2,0]-、[0,2]上图形分别是直径为2的下、上半圆周,设()()d xF x f t t =⎰,则下列结论正确的是( C ).3211(A )3(3)(2)4F F =-- (B )5(3)(2)4F F =(C )3(3)(2)4F F -= (D )5(3)(2)4F F -=--6.若反常积分ed k x x --∞⎰收敛,则必有( B ).(A) 0k > (B) 0k < (C)0k ≥ (D) 0k ≤二、填空题(共6小题,每小题 3分,满分18分).1.若曲线321y x ax bx =+++有拐点(1,0)-,则b =__3_____. 2.2sin 0lim(13)xx x →+=_____e 6_______.3.曲线tan()e 4y x y π++=在点(0,0)处的切线方程为 y=-2x_ .4.设2()sin f x x =,则)()(x fn = ___-112sin(2)2n n x π-+______. 5.1211sin d 1x x x x -+⎛⎫+ ⎪+⎝⎭⎰= __12π+_______. 6.设某商品的总收益R 关于销售量Q 的函数为24.0104)(Q Q Q R -=,销售量50=Q 个单位时,总收入的边际收入为____64______.四、 解答题(共6道题,每小题8分,满分48分).2. 求011lim 1e x x x x -→+⎛⎫- ⎪-⎝⎭.20022000111lim lim 1(1)112lim lim 223lim 22x x x x x x xx x xx x x x e e x e x x x e x e x x e ---→→--→→-→++-+⎛⎫-= ⎪--⎝⎭+-++-==+==2.已知)(x y y =是由参数方程 2ln(1),arctan x t y t t⎧=+⎨=-⎩ 所确定的函数,求d d y x ,22d d yx .2222222d 11d d 1d 2d 22d 1d d 1()d 1d d 2d 2d 4d 1y y t t t t x t x t t t y y t t x x t x t t t -+====++===+3.计算不定积分x ⎰.解令2,,d 3d 3t x t x t t ===22e 3d 3de 3e 6e d 3e 6de 3e 6e 6e d 3e 6e 6e t t t 2tt 2tt 2t t t 2t t x t t t t t tt t t t t t t C C=⋅==-⋅=-=-+=-++=++⎰⎰⎰⎰⎰⎰4.计算定积分22.x ππ-⎰2232d 2d 2)44(cos )233x x xx x x x πππ-===-=-=⎰5.求曲线x y =()40≤≤x 上的一条切线,使该切线与直线0=x , 4=x 以及曲线x y =所围成的平面图形的面积最小.解 设()00,y x 为曲线x y =()40≤≤x 上任一点,易得曲线于该点处的切线方程为:()00021x x x y y -=- 即0022x x y y +=得其与0=x , 4=x 的交点分别为⎪⎭⎫ ⎝⎛2,00y ,⎪⎪⎭⎫⎝⎛+0022,4y y 于是由此切线与直线0=x , 4=x 以及曲线x y =所围的平面图形面积为:3164222004000-+=⎪⎪⎭⎫ ⎝⎛-+=⎰x y dx x x x y S3164200-+=x x 问题即求31642-+=x x S ()40≤≤x 的最小值 令022321=+=--xxS 得唯一驻点2=x 且为唯一极小值所以 当2=x 时,S 最小 即所求切线即为:2222+=x y6.已知函数()f x 在0x =点的某邻域内有连续的一阶导数, 且 (0)0,(0)0f f '≠≠,0()(2)(0)lim 0h af h bf h f h→+-=, 求,a b . 解 由题意0lim[()(2)(0)](1)(0)0h af h bf h f a b f →+-=+-=,得到10a b +-= 又00()(2)(0)lim lim['()2'(2)](2)'(0)0h h af h bf h f af h bf h a b f h→→+-=+=+=有 20a b +=得到2, 1.a b ==-四、(本题满分10分). 设()cos ,0,(),0,x x x f x x a x ϕ-⎧≠⎪=⎨⎪=⎩其中()x ϕ具有二阶连续导数,(0)1ϕ=. (3) 求a 的值,使()f x 在0x =连续;(4) 已知()f x 在0x =连续,求()f x '并讨论()f x '在0x =的连续性.解 (1) 000()cos lim ()lim lim('()sin )'(0)x x x x x f x x x x ϕϕϕ→→→-==+= 故当'(0)a ϕ=时()f x 在0x =处连续.(2) 0x ≠时2['()sin ][()cos ]'()x x x x x f x xϕϕ+--= 0x =时002000()cos '(0)()(0)'(0)lim lim ()cos '(0)'()sin '(0)lim lim 2''()cos 1lim [''(0)1]22x x x x x x x f x f x f x xx x x x x x xx x ϕϕϕϕϕϕϕϕ→→→→→---==--+-==+==+ 2000['()sin ][()cos ]lim '()lim [''()cos ]1lim [''(0)1]'(0)22x x x x x x x x f x x x x x f x ϕϕϕϕ→→→+--=+==+='()f x 在0x =的连续.五、(本题满分6分)已知()f x '连续,且当0x ≥时,恒有()0f x '>.证明当0a b <<时,001()d [()d ()d ].2b b a a tf t t b f t t a f t t >-⎰⎰⎰ 解 令001()()d [()d ()d ],()0.2x x a a F x tf t t x f t t a f t t F a =--=⎰⎰⎰00000111'()()()()[()()]22211[()()][()()].22x x x x x F x xf x f t dt xf x xf x f t dt f x dt f t dt f x f t dt =--=-=-=-⎰⎰⎰⎰⎰ 由'()0f x >知函数()f x 单调递增,当x t >有,()()0f x f t ->, 有'()0F x >函数()F x 单调递增, 当0a b <<时, ()()0F b F a >=001()()d [()d ()d ]0.2bb a a F b tf t t b f t t a f t t =-->⎰⎰⎰ 即001()d [()d ()d ].2bb a a tf t t b f t t a f t t >-⎰⎰⎰。
一、填空题: 1.设函数(,)z z x y =是由ln x zz y=所确定,则()0,1,1dz =dx dy + . 2.设幂级数0nn n a x ∞=∑的收敛区间为()3,3-,则幂级数()01nn n a x ∞=-∑的收敛区间为 ()2,4- .3.设函数,0()0,0x x f x x ππ--<≤⎧=⎨<≤⎩的付氏级数的和函数为()S x ,则(5)S π=2π.4.设),(xyx f z =,其中f 具有连续的二阶偏导数,则y x z∂∂∂2= 223221211f xy f x f x ''-'-'' . 5.设幂级数()01nn n a x ∞=-∑在0x =处收敛,而在2x =处发散,则幂级数0n n n a x ∞=∑的收敛域为 [1,1)-.6.函数23)(2-+=x x x f 关于x 的幂级数展开式为 110(1)1,(1,1)2n n n n x x +∞+=⎡⎤--∈-⎢⎥⎣⎦∑ . 7.设函数y z x =,则(2,1)dz = 2ln 2dx dy +8.曲线23,,x t y t z t ==-=的切线中,与平面236x y z -+=垂直的切线方程是111123x y z -+-==-. 9.设),(y x z z=是由方程sin()ln z e z xy a -= 0a >为常数所确定的二元函数,则 =dz cos()cos()sin()sin()z zyz xy xz xy dx dy e xy e xy +--. 10.旋转抛物面22zx y =+的切平面: 44810x y z -++=,平行与已知平面21x y z -+=.11.微分方程20y y y '''+-=的通解为 1212x x YC eC e -=+,2x y y y e '''+-=的通解为 121212x x x yC eC e e -=++.12.曲线:Γt tu e z t t y udu e x 301,cos sin 2,cos +=+==⎰在点()2,1,0处的切线方程为 3.函数41)(-=x x f 的麦克劳林级数的第5项为544x -,收敛域为)4,4(-.14..已知函数(,)23a b f x y x y x y =+--(其中,a b 是大于1的实数),有一个极值点(1,1), 则3,2==b a , 此时函数(,)f x y 的极大值为 3.15.试写出求解下列条件极值问题的拉格朗日函数:分解已知正数a 为三个正数z y x ,,之和,使z y x ,,的倒数之和最小()()a z y x zy x z y x L -+++++=λ111,, 16函数()x x x f -=1ln )(的麦克劳林级数的收敛域为[)1,1-∈x ,=)0()5(f-30二、单项选择题:请将正确结果的字母写在括号内。
1.二元函数),(y x f z =在点),(00y x 处两个偏导数),(00y x f x', ),(00y x f y'存在是),(y x f 在该点连续的 【 D 】 (A )充分条件 (B )必要条件(C )充分必要条件 (D )既非充分也非必要条件2.函数),(y x f z =在点),(00y x 处两个偏导数),(00y x f x',),(00y x f y '存在是),(y x f 在该点可微分的 【 B 】(A )充分条件 (B )必要条件(C )充分必要条件 (D )既非充分也非必要条件3.设),(y x z z =是由方程0),(=--bz y az x F 所确定的隐函数,其中),(v u F 是可微函数,b a ,为常数,则必有 【 A 】(A )1=∂∂+∂∂yz b xz a (B )1=∂∂-∂∂y z a x z b (C )1=∂∂-∂∂yz b x z a (D )1=∂∂+∂∂yz a x z b4.微分方程222x d y dyy e dx dx-+=特解*y 的形式为 【 C 】(A )x Ae (B )x Axe (C )2x Ax e (D )2()x Ax B x e + 5.若级数∑∞=1n n a 收敛,则下列结论正确的是 【 B 】(A )∑∞=12n n a 收敛 (B )∑∞=++11)(n n n a a 收敛(C )∑∞=-1)1(n n na 收敛 (D )∑∞=1n n a 收敛6.下列级数中条件收敛的是 【 B 】(A )1(1)1nn n n ∞=-+∑ (B )∑∞=+-11)1(n nn n (C )21(1)n n n ∞=-∑ (D )∑∞=+-121)1(n nn n 7.曲面632222=++z y x 在点)1,1,1(-处的切平面方程为 【 C 】 (A )632=-+z y x (B )634=-+z y x (C) 632=-+z y x (D) 63=-+z y x 8. 原点)0,0(是函数2(,)f x y xy y =-的 【 C 】(A )极小值点 (B )极大值点 (C )驻点却不是极值点 (D )非驻点9.下列方程中是一阶线性微分方程是 【 D 】 (A )2)(()0y dx x d x y y ++-= (B )(ln ln )dy y x dx =- (C )25yy y x '-= (D )25xy y x '-= 10.设p为常数,则级数1n n ∞=【 B 】(A )绝对收敛 (B )条件收敛 (C )发散 (D )收敛性与p 有关11.设dy e y x dx e x y xy x ⎪⎪⎭⎫ ⎝⎛-+⎪⎪⎭⎫ ⎝⎛+12是函数),(y x u 的全微分,则其中一个),(y x u 为(A ) yx ye x y ++2(B ) 12++yx e x(C ) 12-+yx ye x (D )yx e x yx -+212.级数()∑∞=⎪⎪⎭⎫⎝⎛+-111n n n n 的敛散情况是 【 C 】 (A ) 条件收敛 (B )绝对收敛 (C ) 发散 (D )敛散性不能确定 三、计算下列各题:1.设()2,sin ()xz f xy y g ye =+,其中函数,f g 具有二阶连续偏导数,求x z ∂∂,yx z ∂∂∂2. 解: 21x z f y g ye x ∂''=+∂,222111122(2cos )x x z y f y f xy f y g e g ye x y ∂''''''''=++++∂∂. 2. 设()u f z =,函数f 可导,且方程23zz exy -+=确定了函数(,)z z x y =,求ux∂∂. 【 解 】 因()u zf z x x∂∂'=∂∂,方程23z z e xy -+=两端对x 求偏导,得 20z z z e y x x ∂∂-+=∂∂, 解得21z z yx e ∂=∂-,故2()()1z u z y f z f z x x e ∂∂''==∂∂-。
3. 求级数0(1)21n n n ∞=-+∑的和。
【 解 】考查幂级数210(1)21n n n x n ∞+=-+∑,因 221()23lim lim ()21n n n n u x n x x u x n +→∞→∞+=⋅=+, 所以,当12<x ,即)1,1(-∈x 时,幂级数绝对收敛。
在1±=x 处,原幂级数成为收敛。
故,幂级数的收敛域为]1,1[-,在]1,1[-内,设=)(x S 210(1)21n n n x n ∞+=-+∑,上式两边对x 求导,221()(1)1n n n S x x x∞='=-=+∑,该式两边从0到x 积分,得 201()(0)arctan 1xS x S dx x x -==+⎰又0)0(=S ,因此()arctan ,[1,1]S x x x =∈-故 0(1)21nn n ∞=-+∑arctan14π== 4.求原点到曲面24z xy x y =+-+的最短距离。
【 解 】设点(),,M x y z 为曲面24z xy x y =+-+上任一点,则该点与原点距离的平方和为:()2222,,f x y z d x y z ==++,只要求距离的平方和最小即可,约束条件:240xy x y z +-+-=,设 ()()2222,4,F x y z x y z xy x y z λ=++++-+-由 ()()221021022040x y z F x y F y x F z xy x y z z λλλ=++=⎧⎪=+-=⎪⎨=-⋅=+-+-=⎪⎪⎩,解得1,1,1x y z =-==±故,原点到曲面24z xy x y =+-+5.求幂级数∑∞=-12)1(n nn x n的收敛域及和函数。
【 解 】因 2211lim )()(limx x nn x u x u n n n n =⋅+=∞→+∞→ 所以,当12<x ,即)1,1(-∈x 时,幂级数绝对收敛。
在1±=x 处,原幂级数成为∑∞=-1)1(n nn,收敛。
故,幂级数的收敛域为]1,1[-在]1,1[-内,设=)(x S ∑∞=-12)1(n n n x n , 上式两边对x 求导,211212)1(2)(x xx x S n n n +-=-='∑∞=- 上式两边从0到x 积分,得)1ln(12)0()(202x dx x x S x S x+-=+-=-⎰又0)0(=S ,因此]1,1[),1ln()(2-∈+-=x x x S6.求幂级数∑∞=-1)1(n n x n 的收敛域及和函数。
【 解 】因 11lim lim1=+==∞→+∞→n n a a n n n n ρ所以,半径11==ρR ,幂级数在11<-x ,即在)2,0(∈x 内绝对收敛。
在0=x 处,原幂级数成为∑∞=-1)1(n n n ,发散;在2=x 处,原幂级数成为∑∞=1n n ,发散。
故,幂级数∑∞=-1)1(n n x n 的收敛域为)2,0(。
在)2,0(内,设=)(x S ∑∞=-1)1(n nx n ,则=)(x S ∑∞=---11)1()1(n n x n x 。
在)2,0(内,再设=)(x f ∑∞=--11)1(n n x n ,则=⎰xdx x f 1)(xx x dx x n n n n xn --=-=-∑∑⎰∞=∞=-21)1()1(1111上式两边对x 求偏导,得 2)2(121)(x x x x f -='⎪⎭⎫ ⎝⎛--= 因此 21)2(1)()1()1(x x x f x x n n n --=-=-∑∞=,)2,0(∈x7.求微分方程ydx dy y x =+)(4的通解。