概率与随机过程习题答案
- 格式:ppt
- 大小:516.00 KB
- 文档页数:18
东南大学概率统计与随机过程期末练习(附答案)期末练习解答(某)某12et2/2dt表示标准正态分布的分布函数,(1.645)0.05;(0)0.5;(1)0.8413(1.3)0.9032;(1.96)0.975;(2)0.9772一、填充题1)已知P(B)=P(A)=0.2,A和B相互独立,则P(A-B)=0.16;P(AUB)=0.362)一盒中有2个白球,3个黑球,每次抽取一球,从中不放回地抽取两次,则第二次取到黑球的概率为0.6,取到两个球颜色相同的概率为2/53)设随机变量某服从正态分布N(1,4),P(某1)_0.5___。
4)设W(t)是参数为的Wiener 过程,则随机过程某(t)21tW(t),t0的一维概率密度函数f(某;t)_____12e某p{某2/2}________。
5)随机变量某,Y独立同分布,都服从正态分布N(1,4),则P(某-Y>22)=0.1587__。
6)随机变量某,Y的联合分布律为:P(某=0,Y=0)=0.2;P(某=0,Y=1)=0.3;P(某=1,Y=0)=0.3;P(某=1,Y=1)=0.2.则某+Y分布律为p(某+Y=0)=0.2;P(某+Y=1)=0.6;P(某+Y=2)=0.2。
E[某Y]=0.27)随机变量某,Y的相关系数为0.5,则5-2某,和Y-1的相关系数为-0.58)设随机变量序列{某n,n=1,2,…}独立同分布,E某1=2,D某1=2,则1222p(某1某2...某n)6n9)设总体某服从正态分布N(1,2),某1,某2,...,某10是来此该总体的样本,某,S分别22表示样本均值和样本方差,则E某1,E(某S)210)随机变量某的分布律为P(某=-1)=P(某=1)=1/2,则其分布函数为F(某)=0,某=1;第1页共7页自觉遵守考场纪律如考试作弊此答卷无效11)随机变量某服从[0,1]上的均匀分布,则Y=-2某+1的密度函数为U[-1,1],f(y)=0.5;-11(某22某22某1某241某24)服从(3)分布,若c某22~t(2),则常数c13某413)设某假设检验问题的水平=0.1,根据样本得到的结论是拒绝原假设,则可能犯哪一类错误I(填I,II),犯错误的概率为0.1(填数值或不能确定)。
概率统计和随机过程_南京邮电大学中国大学mooc课后章节答案期末考试题库2023年
1.设随机过程【图片】【图片】, 其中【图片】是常数,【图片】,且【图片】
与【图片】相互独立. 则随机过程【图片】 (填是/不是)平稳过程;且平均功率= .
参考答案:
是,2.8
2.将2个红球4个白球任意放入两个罐子中,其中每个罐子中有3个球.每一次
我们从两个罐子中都随机抽取一个球并交换它们.用【图片】表示经过【图
片】次交换后左边罐子中白球的个数, 则【图片】是一齐次马氏链, 概率【图片】等于( )
参考答案:
16/135
3.设【图片】是参数为2的维纳过程, 则【图片】的自相关函数【图片】( ).
参考答案:
4
4.设随机过程【图片】其中【图片】为常数,【图片】与【图片】相互独立,
且【图片】【图片】.则随机过程【图片】 (填是/不是)平稳过程;均值(填具有/不具有)各态历经性.
参考答案:
是,具有。
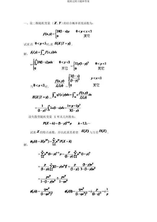
一、设二维随机变量 ( ,) 的结合概率密度函数为:试求:在时,求。
解:=当时,=设失散型随机变量X 听从几何散布:试求的特点函数,并以此求其希望与方差。
解:因此:袋中有一个白球,两个红球,每隔单位时间从袋中任取一球后放回,对每一个确立的 t对应随机变量t假如对 t时获得红球X (t )3e t假如对 t时获得白球试求这个随机过程的一维散布函数族 .设随机过程,此中是常数,与是相互独立的随机变量,听从区间上的均匀散布,听从瑞利散布,其概率密度为试证明为宽安稳过程。
解:( 1)与没关(2),因此(3)只与时间间隔有关,因此为宽安稳过程。
设随机过程X (t ) U cos2t,此中 U 是随机变量,且E(U ) 5, D (U ) 5.求:(1)均值函数;(2)协方差函数;(3)方差函数 .设有两个随机过程X (t ) Ut 2, Y(t ) Ut 3 ,此中 U 是随机变量,且 D (U ) 5.试求它们的互协方差函数。
设 A, B是两个随机变量, 试求随机过程X (t) At 3B,t T ( ,)的均值函数和自有关函数.若 A, B互相独立,且 A ~ N (1,4), B ~ U (0,2),则m X(t)及R X(t1, t2)为多少?一队学生按序等候体检。
设每人体检所需的时间听从均值为 2 分钟的指数散布而且与其余人所需时间互相独立, 则 1 小时内均匀有多少学生接受过体检在这 1 小时内最多有40 名学生接受过体检的概率是多少(设学生特别多,医生不会安闲)解:令 N (t) 表示 (0, t) 时间内的体检人数,则N (t ) 为参数为 30 的poisson 过程。
以小时为单位。
则 E(N(1)) 30。
40 (30) k e 30。
P(N (1) 40)k!k 0在某公共汽车起点站有两路公共汽车。
乘客乘坐 1,2 路公共汽车的强度分别为 1,2,当 1 路公共汽车有N1人乘坐后出发; 2 路公共汽车在有N2人乘坐后出发。
随机过程部分习题答案习题22.1 设随机过程b t b Vt t X ),,0(,)(+∞∈+=为常数,)1,0(~N V ,求)(t X 的一维概率密度、均值和相关函数。
解 因)1,0(~N V ,所以1,0==DV EV ,b Vt t X +=)(也服从正态分布,b b tEV b Vt E t X E =+=+=][)]([22][)]([t DV t b Vt D t X D ==+=所以),(~)(2t b N t X ,)(t X 的一维概率密度为),(,21);(222)(+∞-∞∈=--x ett x f t b x π,),0(+∞∈t均值函数 b t X E t m X ==)]([)(相关函数 )])([()]()([),(b Vt b Vs E t X s X E t s R X ++== ][22b btV bsV stV E +++= 2b st +=2.2 设随机变量Y 具有概率密度)(y f ,令Yte t X -=)(,0,0>>Y t ,求随机过程)(t X 的一维概率密度及),(),(21t t R t EX X 。
解 对于任意0>t ,Yte t X -=)(是随机变量Y 的函数是随机变量,根据随机变量函数的分布的求法,}ln {}{})({);(x Yt P x e P x t X P t x F tY ≤-=≤=≤=-)ln (1}ln {1}ln {txF t x Y P t x Y P Y --=-≤-=-≥= 对x 求导得)(t X 的一维概率密度xtt x f t x f Y 1)ln ();(-=,0>t 均值函数 ⎰∞+--===0)(][)]([)(dy y f e e E t X E t m yt tY X相关函数⎰+∞+-+---====0)()(2121)(][][)]()([),(212121dy y f e e E e e E t X t X E t t R t t y t t Y t Y t Y X2.3 若从0=t 开始每隔21秒抛掷一枚均匀的硬币做实验,定义随机过程 ⎩⎨⎧=时刻抛得反面时刻抛得正面t t t t t X ,2),cos()(π试求:(1))(t X 的一维分布函数),1(),21(x F x F 和; (2))(t X 的二维分布函数),;1,21(21x x F ; (3))(t X 的均值)1(),(X X m t m ,方差 )1(),(22X X t σσ。
概率统计和随机过程_南京邮电大学中国大学mooc课后章节答案期末考试题库2023年1.设随机事件满足, 则有 ( ).答案:2.设A, B为两事件,且设A, B为两事件,且P(A)=0.7, P(A-B)=0.5, 则= ( ).答案:0.83.假设一套书共有五册,按任意顺序放在书架上,则第一册及第五册分别在两端的概率是 ( ).答案:1/104.某种动物出生之后活到20岁的概率为0.7,活到25岁的概率为0.56,则现年为20岁的这种动物活到25岁的概率是 ( ).答案:0.85.某制帽厂生产的帽子合格率为0.8,一盒中装有4顶. 一个采购员从每盒中任取两顶帽子进行检查,若两顶帽子都合格,就买下这盒帽子,则每盒帽子被买下的概率( ).答案:0.646.在数字通讯中,信号是由数字0和1的长序列组成的,由于有随机干扰,发送的信号0或1有可能错误接收为1或0. 现假定发送信号为0和1的概率均为1/2,又已知发送0时,接收为0和1的概率分别为0.8和0.2;发送信号为1时,接收为1和0的概率分别为0.9和0.1. 则当收到信号是0时,发送的信号是0的概率是 ( ).答案:8/97.答案:8.设是来自总体服从参数为3的泊松分布的样本, 为样本均值, 则( ).答案:1/39.答案:t(4)10.答案:0.111.答案:0.7512.设某电话总机在(0, t] 内接到的呼叫次数X(t)是具有强度(单位:每分钟)为3的泊松过程, 则在2分钟内接到的平均呼叫次数为 ( ).答案:613.设{X(t), t≥0}是强度为2的泊松过程, 则P(X(t)=1)=( ).答案:14.设随机过程X(t)=X, 且X~U(2,4).则X(t)的协方差函数 ( ).答案:1/315.设随机过程X(t)=A+ Bt , A与B相互独立, 均服从N(0,2).则X(t)的自相关函数= ( ).答案:2(1+ st)16.设{W(t), t≥0}是参数为2的维纳过程, 则W(t)的协方差函数=( ).答案:217.答案:1/218.答案:0.87519.答案:2 20.答案:0.624721.答案:2答案:5/16 23.答案:24.答案:B(5,0.8)答案:26.答案:27.答案:28.答案:0.629.答案:4/330.答案:31.答案:32.答案:7 33.答案:0 34.答案:7答案:36.答案:0.3 37.答案:0.538.答案:39.答案:40.答案:41.答案:42.答案:43.设马氏链的状态空间为,初始分布为, 一步转移概率矩阵,则( ).答案:1/444.a.设马氏链的状态空间为,初始分布为一步转移概率矩阵, 则概率= ( ).答案:1/6445.下列矩阵为齐次马氏链的一步转移概率矩阵,则其中具有遍历性的马氏链为( ).答案:46.一家汽车保险公司将其客户分为三种类型: 差的(记为1状态)、满意的(记为2状态)和优质的(记为3状态).没有客户在一年之内从差客户变成优质客户,也没有优质客户在一年之内变为差客户,且一步转移概率矩阵为. 则从长远来看,每种类型的客户所占的比例依次为 ( ).答案:1/11,4/11, 6/1147.已知平稳过程的功率谱密度, 则平稳过程的自相关函数( ), 平均功率( ).答案:48.设与为相互独立的随机变量,且则随机过程的均值函数= ( ); 且时间均值函数= ( ).答案:49.设随机过程与相互独立, 且则随机过程的自相关函数=( );功率谱密度( ).答案:,50.设随机过程为相互独立且具有相同分布的随机变量,的分布律为, 则随机过程(填是/不是)平稳过程;均值(填具有/不具有)各态历经性.答案:是, 具有。
随机过程与应用习题二答案随机过程与应用习题二答案随机过程是概率论中的一个重要分支,它研究的是随机事件随时间的演变规律。
在实际应用中,我们经常会遇到一些与随机过程相关的问题。
本文将给出一些随机过程与应用习题二的答案,帮助读者更好地理解和应用随机过程的相关知识。
题目一:某商场每天的顾客数量服从泊松分布,平均每天有10个顾客到访。
求在一个星期内,商场每天至少有5个顾客到访的概率。
解答:首先,我们知道泊松分布的概率质量函数为P(X=k)=e^(-λ) * λ^k / k!,其中λ为平均到访数量。
所以,商场每天至少有5个顾客到访的概率可以表示为P(X>=5)。
根据泊松分布的性质,我们可以使用其补事件的概率来计算P(X>=5)。
即,P(X>=5) = 1 - P(X<5)。
P(X<5) = P(X=0) + P(X=1) + P(X=2) + P(X=3) + P(X=4)= e^(-10) * 10^0 / 0! + e^(-10) * 10^1 / 1! + e^(-10) * 10^2 / 2! + e^(-10) * 10^3 / 3! + e^(-10) * 10^4 / 4!计算得到P(X<5) ≈ 0.067因此,商场每天至少有5个顾客到访的概率为P(X>=5) ≈ 1 - 0.067 ≈ 0.933。
题目二:某工厂生产的产品合格率为80%。
现在从该工厂连续抽取10个产品,求恰好有8个产品合格的概率。
解答:根据二项分布的概率质量函数,我们可以得到恰好有8个产品合格的概率为P(X=8)。
P(X=8) = C(10, 8) * (0.8)^8 * (1-0.8)^(10-8)= 45 * 0.8^8 * 0.2^2≈ 0.302因此,恰好有8个产品合格的概率为P(X=8) ≈ 0.302。
题目三:某地区每天的降雨量服从指数分布,平均每天降雨量为2毫米。
求连续两天降雨量总和超过4毫米的概率。
1解:该试验的结果有9个:(0,a ),(0,b ),(0,c ),(1,a ),(1,b ),(1,c ),(2,a ),(2,b ),(2,c )。
所以,(1)试验的样本空间共有9个样本点。
(2)事件A 包含3个结果:不吸烟的身体健康者,少量吸烟的身体健康者,吸烟较多的身体健康者。
即A 所包含的样本点为(0,a ),(1,a ),(2,a )。
(3)事件B 包含3个结果:不吸烟的身体健康者,不吸烟的身体一般者,不吸烟的身体有病者。
即B 所包含的样本点为(0,a ),(0,b ),(0,c )。
2、解 (4)(1)AB BC AC 或ABC ABC ABC ABC ;(5)(2)ABBCAC(6)(提示:题目等价于A ,B ,C 至少有2个发生,与(1)相似); (7)(3)ABC ABC ABC ;(8)(4)AB C 或ABC ;(9)(提示:A ,B ,C 至少有一个发生,或者A B C ,,不同时发生);3(1)错。
依题得,但,故A 、B 可能相容。
(2)错。
举反例 (3)错。
举反例(4)对。
证明:由,知,即A 和B 交非空,故A 和B 一()()()()0=-+=B A p B p A p AB p 空集≠B A ()6.0=A p ()7.0=B p ()()()()()3.03.1>-=-+=B A p B A p B p A p AB p定相容。
4、解(1)因为A B ,不相容,所以A B ,至少有一发生的概率为:()()()=0.3+0.6=0.9P A B P A P B =+(2) A B , 都不发生的概率为:()1()10.90.1P A B P A B =-=-=;(3)A 不发生同时B 发生可表示为:A B ,又因为A B ,不相容,于是()()0.6P AB P B ==;5解:由题知,.因得,故A,B,C 都不发生的概率为.6、解 设A ={“两次均为红球”},B ={“恰有1个红球”},C ={“第二次是红球”} 若是放回抽样,每次抽到红球的概率是:810,抽不到红球的概率是:210,则 (1)88()0.641010P A =⨯=; ()3.0=BC AC AB p ()05.0=ABC P ()()()()()ABC p BC p AC p AB p BC AC AB p 2-++= ()()()()4.023.0=+=++ABC p BC p AC p AB p ()()C B A p C B A p -=1()()()()()()()()[]ABC p BC p AC p AB p C p B p A p +++-++-=1()05.04.02.11+--=15.0=(2)88()210.321010P B =⨯⨯-=(); (3)由于每次抽样的样本空间一样,所以:8()0.810P C == 若是不放回抽样,则(1)2821028()45C P A C ==;(2)118221016()45C C P B C ==; (3)111187282104()5A A A A P C A +==。
第一章 概率论的基本概念注意: 这是第一稿(存在一些错误)第一章概率论习题__偶数.doc2、解(1)ABBC AC 或ABC ABC ABC ABC ;(2)AB BC AC (提示:题目等价于A ,B ,C 至少有2个发生,与(1)相似); (3)ABC ABC ABC ; (4)A B C 或ABC ; (提示:A ,B ,C 至少有一个发生,或者A B C ,,不同时发生);4、解(1)因为A B ,不相容,所以A B ,至少有一发生的概率为:()()()=0.3+0.6=0.9P A B P A P B =+(2) A B , 都不发生的概率为:()1()10.90.1P A B P A B =-=-=;(3)A 不发生同时B 发生可表示为:A B ,又因为A B ,不相容,于是()()0.6P AB P B ==;6、解 设A ={“两次均为红球”},B ={“恰有1个红球”},C ={“第二次是红球”} 若是放回抽样,每次抽到红球的概率是:810,抽不到红球的概率是:210,则 (1)88()0.641010P A =⨯=; (2)88()210.321010P B =⨯⨯-=(); (3)由于每次抽样的样本空间一样,所以:8()0.810P C == 若是不放回抽样,则(1)2821028()45C P A C ==;(2)82210()45P B C ==; (3)111187282104()5A A A A P C A +==。
8、解(1)设A ={“1红1黑1白”},则1112323712()35C C C P A C ==; (2)设B ={“全是黑球”},则33371()35C P B C ==; (3)设C ={第1次为红球,第2次为黑球,第3次为白球”},则2322()7!35P C ⨯⨯==。
10、解 由已知条件可得出:()1()10.60.4P B P B =-=-=;()()()0.70.50.2P AB P A P AB =-=-=;()()()()0.9P A B P A P B P AB =+-=;(1)(())()7(|==()()9P A A B P A P A A B P AB P A B =); (2)()()()0.40.20.2P AB P B P AB =-=-=()(+()()0.5P A B P A P B P AB =-=)于是 (())()2(|==5()()P A A B P AB P A A B P A B P A B =); (3)(())()2(|)()()9P AB AB P AB P AB AB P AB P A B ===。
随机过程试题及答案一、选择题1. 随机过程是研究什么的对象?A. 确定性系统B. 随机性系统C. 静态系统D. 动态系统答案:B2. 下列哪项不是随机过程的特点?A. 可预测性B. 随机性C. 连续性D. 状态的不确定性答案:A3. 随机过程的数学描述通常使用什么?A. 概率分布B. 微分方程C. 差分方程D. 以上都是答案:A4. 马尔可夫链是具有什么特性的随机过程?A. 独立性B. 无记忆性C. 均匀性D. 周期性答案:B5. 以下哪个是随机过程的数学工具?A. 傅里叶变换B. 拉普拉斯变换C. 特征函数D. 以上都是答案:D二、简答题1. 简述什么是随机过程的遍历性。
答:遍历性是随机过程的一种特性,指的是在足够长的时间内,随机过程的统计特性不随时间变化而变化,即时间平均与遍历平均相等。
2. 解释什么是泊松过程,并给出其主要特征。
答:泊松过程是一种计数过程,它描述了在固定时间或空间内随机发生的事件次数。
其主要特征包括:事件在时间或空间上独立发生,事件的发生具有均匀性,且在任意小的时间段内,事件发生的概率与该时间段的长度成正比。
三、计算题1. 假设有一个泊松过程,其平均事件发生率为λ。
计算在时间间隔[0, t]内恰好发生n次事件的概率。
答:在时间间隔[0, t]内恰好发生n次事件的概率由泊松分布给出,公式为:\[ P(N(t) = n) = \frac{e^{-\lambda t} (\lambda t)^n}{n!} \]2. 考虑一个具有两个状态的马尔可夫链,其状态转移概率矩阵为:\[ P = \begin{bmatrix}p_{11} & p_{12} \\p_{21} & p_{22}\end{bmatrix} \]如果初始时刻在状态1的概率为1,求在第k步时处于状态1的概率。
答:在第k步时处于状态1的概率可以通过马尔可夫链的状态转移矩阵的k次幂来计算,即:\[ P_{11}^{(k)} = p_{11}^k + p_{12} p_{21} (p_{11}^{k-1} + p_{12} p_{21}^{k-2} + \ldots) \]四、论述题1. 论述随机过程在信号处理中的应用及其重要性。
1解:该试验的结果有9个:(0,a ),(0,b ),(0,c ),(1,a ),(1,b ),(1,c ),(2,a ),(2,b ),(2,c )。
所以,(1)试验的样本空间共有9个样本点。
(2)事件A 包含3个结果:不吸烟的身体健康者,少量吸烟的身体健康者,吸烟较多的身体健康者。
即A 所包含的样本点为(0,a ),(1,a ),(2,a )。
(3)事件B 包含3个结果:不吸烟的身体健康者,不吸烟的身体一般者,不吸烟的身体有病者。
即B 所包含的样本点为(0,a ),(0,b ),(0,c )。
2、解 (4)(1)ABBC AC 或ABC ABC ABC ABC ; (5)(2)ABBC AC (6)(提示:题目等价于A ,B ,C 至少有2个发生,与(1)相似); (7)(3)ABC ABC ABC ;(8)(4)AB C 或ABC ;(9)(提示:A ,B ,C 至少有一个发生,或者A B C ,,不同时发生);3(1)错。
依题得,但,故A 、B 可能相容。
(2)错。
举反例 (3)错。
举反例 (4)对。
证明:由,知,即A 和B 交非空,故A 和B 一()()()()0=-+=B A p B p A p AB p 空集≠B A ()6.0=A p ()7.0=B p ()()()()()3.03.1>-=-+=B A p B A p B p A p AB p定相容。
4、解(1)因为A B ,不相容,所以A B ,至少有一发生的概率为:()()()=0.3+0.6=0.9P A B P A P B =+(2) A B , 都不发生的概率为:()1()10.90.1P A B P A B =-=-= ;(3)A 不发生同时B 发生可表示为:AB ,又因为A B ,不相容,于是()()0.6P A B P B == ;5解:由题知,. 因得,故A,B,C 都不发生的概率为.6、解 设A ={“两次均为红球”},B ={“恰有1个红球”},C ={“第二次是红球”} 若是放回抽样,每次抽到红球的概率是:810,抽不到红球的概率是:210,则 (1)88()0.641010P A =⨯=; ()3.0=BC AC AB p ()05.0=ABC P ()()()()()ABC p BC p AC p AB p BC AC AB p 2-++= ()()()()4.023.0=+=++ABC p BC p AC p AB p ()()C B A p C B A p -=1()()()()()()()()[]ABC p BC p AC p AB p C p B p A p +++-++-=1()05.04.02.11+--=15.0=(2)88()210.321010P B =⨯⨯-=(); (3)由于每次抽样的样本空间一样,所以:8()0.810P C == 若是不放回抽样,则(1)2821028()45C P A C ==;(2)118221016()45C C P B C ==; (3)111187282104()5A A A A P C A +==。
随机过程及应用习题四答案随机过程及应用习题四答案随机过程是概率论中的一个重要分支,研究的是随机事件在时间上的演化规律。
它在现实生活中有着广泛的应用,例如金融领域中的股票价格变动、通信领域中的信号传输等。
为了更好地理解随机过程的概念和应用,我们需要通过习题来巩固所学知识。
以下是随机过程及应用习题四的答案。
1. 设X(t)为一个具有独立增量的随机过程,且满足X(t)~N(0,t),其中N(0,t)表示均值为0,方差为t的正态分布。
求证X(t)是一个布朗运动。
解答:要证明X(t)是一个布朗运动,需要满足以下三个条件:(1)X(0) = 0,即随机过程在初始时刻的取值为0。
由题意可知,当t=0时,X(t)=N(0,0)=0,满足该条件。
(2)X(t)具有独立增量,即对于任意的0 ≤ t1 < t2 < ... < tn,随机变量X(t2) -X(t1),X(t3) - X(t2),...,X(tn) - X(tn-1)相互独立。
由题意可知,X(t)具有独立增量。
(3)X(t)的增量服从正态分布。
由题意可知,X(t)~N(0,t),即X(t)的均值为0,方差为t的正态分布。
因此,X(t)的增量满足正态分布的性质。
综上所述,X(t)是一个布朗运动。
2. 设X(t)为一个具有独立增量的随机过程,且满足X(t)~Poisson(λt),其中Poisson(λt)表示参数为λt的泊松分布。
求证X(t)是一个泊松过程。
解答:要证明X(t)是一个泊松过程,需要满足以下三个条件:(1)X(0) = 0,即随机过程在初始时刻的取值为0。
由题意可知,当t=0时,X(t)~Poisson(0)=0,满足该条件。
(2)X(t)具有独立增量,即对于任意的0 ≤ t1 < t2 < ... < tn,随机变量X(t2) - X(t1),X(t3) - X(t2),...,X(tn) - X(tn-1)相互独立。
随机过程习题及部分解答习题一1.若随机过程X(/)为X(0 = A?,-oo<r<+oo,式中4为(0, 1)上均匀分布的随机变量,求X(/)的一维概率密度Px(x;t)。
2.设随机过程X(/) = 4cos(初+ 其中振幅A及角频率①均为常数,相位&是在[-兀,刃上服从均匀分布的随机变量,求X(/)的一维分布。
习题二1.若随机过程X(/)为X(t)=At -00 < r < +00 ,式中4为(0,1)上均匀分布的随机变量,求E[xa)],7?xa』2)2.给定一随机过程X(/)和常数Q,试以X(/)的相关函数表示随机过程y(0 = X(/ + a) —X(/)的自相关函数。
3.已知随机过程X(/)的均值阪⑴和协方差函数Cx (爪© , 0(/)是普通函数,试求随机过程丫⑴=X(/) + 0(/)是普通函数,试求随机过程丫⑴=X(/) + 0(/)的均值和协方差函数。
4.设X(t) = A cos at + B sin at,其中A, B是相互独立且服从同一高斯(正态)分布N(0Q2)的随机变量,a为常数,试求X(/)的值与相关函数。
习题三1.试证3.1节均方收敛的性质。
2.证明:若X(t),twT;Y(t),twT均方可微,a0为任意常数,则aX(t) + bY(t) 也是均方可微,且有[aX (?) + b Y(/)]' = aX'(/) + b Y'(/)3.证明:若X⑴,twT均方可微,/X/)是普通的可微函数,则f(Z)X(Z)均方可微且[f(ox(or-/w(o+/(ox,(o4.证明:设X⑴在[a,b]上均方可微,且X0)在[a,切上均方连续,则有X'⑴ dt = X(b) — X(a)J a5•证明,设X(t\t eT =[a,b];Y{t\t eT = [a,b]为两个随机过程,且在T上均方可积,a和0为常数,则有(*b (*b (*bf [aX(/) + 0Y(/)M = a [ Xit)dt + /3\ Y⑴ dtJ a J a J aeb rc rbaX (t)dt = X (t)dt + XQ) dt,aWcWbJ a J a Jc6.求随机微分方程X'(/) + aX ⑴二丫⑴ze[0,+oo]'X(0) = 0的X(t)数学期望E [X(0]。
随机过程试题及答案一、选择题(每题5分,共20分)1. 下列哪一项是随机过程的典型特征?A. 确定性B. 可预测性C. 无记忆性D. 独立增量性答案:D2. 马尔可夫链的哪一性质表明,系统的未来状态只依赖于当前状态,而与过去状态无关?A. 独立性B. 无记忆性C. 齐次性D. 可逆性答案:B3. 布朗运动是一个连续时间的随机过程,其增量具有什么性质?A. 独立性B. 正态分布C. 独立增量性D. 所有选项都正确答案:D4. 随机过程的平稳性指的是什么?A. 过程的分布随时间不变B. 过程的均值随时间不变C. 过程的方差随时间不变D. 过程的自相关函数随时间不变答案:A二、填空题(每题5分,共20分)1. 如果随机过程的任意时刻的分布函数不随时间变化,则称该随机过程是________。
答案:平稳的2. 随机过程的自相关函数R(t,s)表示在时刻t和时刻s的随机变量的________。
答案:相关性3. 随机游走过程是一类具有________性质的随机过程。
答案:独立增量4. 泊松过程是一种描述在固定时间间隔内随机事件发生次数的随机过程,其特点是事件的发生具有________。
答案:无记忆性三、简答题(每题10分,共30分)1. 简述什么是马尔可夫过程,并给出其数学定义。
答案:马尔可夫过程是一种随机过程,其未来的状态只依赖于当前状态,而与过去状态无关。
数学上,如果对于任意的n,以及任意的时间序列t1, t2, ..., tn,满足P(Xt+1 = x | Xt = x_t, Xt-1 = x_t-1, ..., X1 = x_1) = P(Xt+1 = x | Xt = x_t),则称随机过程{Xt}为马尔可夫过程。
2. 描述布朗运动的三个基本性质。
答案:布朗运动的三个基本性质包括:1) 布朗运动的增量是独立的;2) 布朗运动的增量服从正态分布;3) 布朗运动具有连续的样本路径。
3. 什么是平稳随机过程?请给出其数学定义。
、1.1设二维随机变量(X , F)的联合概率密度函数为:=—i—[l241-ι>⅛= "k"QTh Xl-JF)1.2 设离散型随机变量X服从几何分布:Hm=(Ip)HPJt=U-试求/的特征函数,并以此求其期望E(X)与方差I K X)¾0 = Efr ir) = ∑e⅛ = *)解:一=⅛α-ri M P=√^∑^α-p)t U O-P) ⅛J1—(I-JI)1—q/(O)=α⅛24(1-小丄0<y<x<l苴它试求:在OJu <■ 1时,求I『F)解:J;240 H)JKfc0<y<l Jj2Jf(I_y)3 0<JF<1P 其它^{θ其它当OJXI 时,Aw)2OT(Xy)y<x<l其它所以:-⅛(0)二丄f PZUr=J Er3-(JEIf)3=^^-^=4PPp2.1袋中有一个白球,两个红球,每隔单位时间从袋中任取一球后放回,对每一个确定的t 对应随机变量x(t^3如果对t时取得红球e t如果对t时取得白球试求这个随机过程的一维分布函数族2.2设随机过程 W 加吨MIF)∙ gZ I叫,其中吗是常数,/与F是相互独立的随机变量,F服从区间(°2刘上的均匀分布,/服从瑞利分布,其概率密度为x>0x≤0试证明Xu)为宽平稳过程。
解:( 1)⑷+F)} q啊诚如+ f)}= 与无关(2)枚F(M 仪加血I(Q/伽说如")汁F(才),f _ t t⅛(Q) =-J PQ ÷g)= -te^t∣Γ÷p ^dt =-2σ1e^i∣Γ=2σ3所以必U)啟0⑴卜"(3)R lM壊M∞¼⅛+Hl∕∞Ψ⅛+y)]}=豺]£{oKs(A +Γ)∞<β(A +Γ)}=2^Jtt 2{α≈(0A + β⅛+ y)-rasfflfc A)I^⅛心’皿叫仏Z L)只与时间间隔有关,所以XU)为宽平稳过程2.3设随机过程 X(t)=Ucos2t,其中U是随机变量,且 E(U)= 5, D(U)= 5.求: (1)均值函数;(2)协方差函数;(3)方差函数2.4设有两个随机过程 X(t)=Ut2, Y(t)=Ut3,其中U是随机变量,且D(U) = 5.试求它们的互协方差函数2.5设代B是两个随机变量,试求随机过程X(t) =At ∙3B,t∙ T =(」:「:)的均值函数和自相关函数若A, B相互独立,且A~ N(1,4), B ~U (0,2),则mχ (t)及Rχ(t1,t2)为多少?3.1 一队学生顺次等候体检。
随机过程习题二答案随机过程是研究随机现象变化规律的数学理论,广泛应用于工程、物理、经济等领域。
以下是随机过程习题二的答案解析:问题一:设随机过程\( X(t) \)的均值为\( \mu(t) \),方差为\( \sigma^2(t) \),证明\( E[X(t)^2] = \mu^2(t) + \sigma^2(t) \)。
解答:根据期望的定义,我们有:\[ E[X(t)^2] = \int_{-\infty}^{+\infty} x^2 f_X(t,x) \, dx \] 其中\( f_X(t,x) \)是随机过程\( X(t) \)在时间\( t \)下的概率密度函数。
由于\( \mu(t) = E[X(t)] \),我们可以将其代入上式,得到:\[ E[X(t)^2] = \mu^2(t) + \int_{-\infty}^{+\infty} x^2(f_X(t,x) - \delta(x - \mu(t))) \, dx \]这里\( \delta \)是狄拉克函数,表示\( X(t) \)在\( \mu(t) \)处的集中趋势。
进一步,我们可以将方差的定义\( \sigma^2(t) = E[(X(t) -\mu(t))^2] \)代入上式,得到:\[ E[X(t)^2] = \mu^2(t) + \sigma^2(t) \]问题二:设随机过程\( Y(t) \)是\( X(t) \)的线性变换,即\( Y(t) = aX(t) + b \),其中\( a \)和\( b \)是常数。
求\( Y(t) \)的均值和方差。
解答:首先,我们求\( Y(t) \)的均值:\[ E[Y(t)] = E[aX(t) + b] = aE[X(t)] + b = a\mu(t) + b \]接下来,我们求\( Y(t) \)的方差。
由于\( b \)是常数,其方差为0,我们可以忽略它对总方差的贡献:\[ \text{Var}[Y(t)] = \text{Var}[aX(t)] = a^2\text{Var}[X(t)] = a^2\sigma^2(t) \]问题三:设两个随机过程\( X(t) \)和\( Y(t) \)在任意时间\( t \)下不相关,即\( E[X(t)Y(t)] = E[X(t)]E[Y(t)] \)。
随机过程课后试题答案一、选择题1. 随机过程的基本定义中,样本空间通常表示为:A. 一个集合B. 一个函数集合C. 一个概率空间D. 一个参数集合答案:A2. 若随机过程的样本轨迹几乎是连续的,则该过程是:A. 离散时间随机过程B. 连续时间随机过程C. 泊松过程D. 马尔可夫过程答案:B3. 马尔可夫性质的含义是未来的状态只依赖于当前状态,而与过去的状态无关。
这一性质不适用于:A. 泊松过程B. 布朗运动C. 马尔可夫链D. 所有随机过程答案:D4. 在随机过程中,如果两个随机变量的联合分布可以表示为它们各自的边缘分布的乘积,则这两个随机变量是:A. 独立的B. 相关的C. 正相关的D. 负相关的答案:A5. 随机游走的期望步长是:A. 1B. 2C. 依赖于起始点D. 依赖于步长分布答案:D二、填空题1. 一个随机过程的样本函数是定义在参数集合上的_________函数。
答案:实值或随机2. 在随机过程中,如果给定当前状态,下一状态的条件概率分布仅依赖于当前状态而不依赖于之前的状态,那么该过程是一个_________过程。
答案:马尔可夫3. 随机过程的均值函数(或称数学期望函数)是描述过程长期行为的重要工具,它是一个关于_________的函数。
答案:时间4. 布朗运动是一种连续时间随机过程,其样本轨迹具有_________性质。
答案:无处处可微5. 泊松过程是一种描述事件在时间上随机发生的随机过程,其特点是事件在任意两个不重叠时间区间内发生是_________的。
答案:相互独立三、计算题1. 假设有一个离散时间马尔可夫链,其状态转移矩阵为:\[P = \begin{bmatrix}0.7 & 0.3 \\0.4 & 0.6\end{bmatrix}\]求该马尔可夫链在第二时刻的状态概率分布,给定初始状态概率分布为:\\[\pi_0 = \begin{bmatrix}0.5 \\0.5\end{bmatrix}\]解:首先计算\( P^2 \),即状态转移矩阵的二次幂,然后利用\( \pi_0 \)和\( P^2 \)来计算第二时刻的状态概率分布。