最新高考数学压轴题专题训练(共20题)[1]
- 格式:doc
- 大小:2.08 MB
- 文档页数:28
2024年新高考数学押题密卷(二)(考试时间:120分钟试卷满分:150分)注意事项:1.答卷前,考生务必将自己的姓名、准考证号填写在答题卡上。
2.回答选择题时,选出每小题答案后,用铅笔把答题卡对应题目的答案标号涂黑。
如需改动,用橡皮擦干净后,再选涂其他答案标号。
回答非选择题时,将答案写在答题卡上。
写在本试卷上无效。
3.考试结束后,将本试卷和答题卡一并交回。
第一部分(选择题共58分)一、选择题:本题共8小题,每小题5分,共40分。
在每小题给出的四个选项中,只有一项是符合题目要求的。
1.已知集合{}1,2,0,2A =-,{}2,B y y x x x A ==+∈,{}2Z 60C x x x =∈-≤.则B C ⋂=()A .{}0,2B .{}0,2,6C .{}1,2,0,2-D .{}0,2,6,22.用最小二乘法得到一组数据(),(1,2,3,4,5,6)i i x y i =的线性回归方程为ˆ23yx =+,若6130i i x ==∑,则61i i y ==∑()A .11B .13C .63D .783.在ABC 中,4AB =,3AC =,且AB AC AB AC +=- ,则AB BC ⋅=()A .16B .16-C .20D .20-4.已知函数22()sin cos (),()f x x x x f x =-∈'R 是()f x 的导数,则以下结论中正确的是()A .函数π2f x ⎛⎫+ ⎪⎝⎭是奇函数B .函数()f x 与()f x '的值域相同C .函数()f x 的图象关于直线4x π=对称D .函数()f x 在区间ππ,63⎛⎫⎪⎝⎭上单调递增5.将一个棱长为4的正四面体同一侧面上的各棱中点两两连接,得到一多面体,则这个多面体的外接球的体积为()A .8πB .8π3C D .36.已知集合1111,,,,2,32323A ⎧⎫=--⎨⎬⎩⎭,若,,a b c A ∈且互不相等,则使得指数函数x y a =,对数函数log b y x =,幂函数c y x =中至少有两个函数在(0,)+∞上单调递增的有序数对(,,)a b c 的个数是()A .16B .24C .32D .487.已知数列{}n a 的各项均为正数,记()12n A n a a a =+++ ,()231n B n a a a +=+++ ,()342n C n a a a +=+++ ,*n ∈N ,设甲:{}n a 是公比为q 的等比数列;乙:对任意*n ∈N ,()A n ,()B n ,()C n 三个数是公比为q 的等比数列,则()A .甲是乙的充分不必要条件B .甲是乙的必要不充分条件C .甲是乙的充要条件D .甲是乙的既不充分又不必要条件8.设O 为坐标原点,直线l 过抛物线2:2(0)C x py p =>的焦点10,4F ⎛⎫⎪⎝⎭,且与C 交于,M N 两点,其中M 在第一象限,则下列正确的是()A .C 的准线为14x =-B .1344MF NF MF NF ++⋅的最小值为38C .以MN 为直径的圆与x 轴相切D .若(0,)Q p 且MQ MF =,则180ONQ OMQ ∠+∠>二、选择题:本题共3小题,每小题6分,共18分.在每小题给出的选项中,有多项符合题目要求.全部选对的得6分,部分选对的得部分分,有选错的得0分.9.已知复数12,z z ,则下列命题正确的是()A .若12=z z ,则12=±z z B .若21z z =,则2121z z z =C .若1z 是非零复数,且2112z z z =,则12z z =D .若1z 是非零复数,则1110z z +≠10.已知函数()()2e xf x x ax b =++,下列结论正确的是()A .若函数()f x 无极值点,则()f x 没有零点B .若函数()f x 无零点,则()f x 没有极值点C .若函数()f x 恰有一个零点,则()f x 可能恰有一个极值点D .若函数()f x 有两个零点,则()f x 一定有两个极值点11.正三棱柱111ABC A B C -中,11AB AA ==,点P 满足1BP BC BB λμ=+,其中[]0,1λ∈,[]0,1μ∈,则()A .当0λ=,1μ=时,AP 与平面ABC 所成角为π4B .当12λ=时,有且仅有一个点P ,使得1A P BP ⊥C .当1λ=,12μ=时,平面1AB P ⊥平面1A ABD .若1AP =,则点P 的轨迹长度为π2第二部分(非选择题共92分)三、填空题:本题共3小题,每小题5分,共15分。
2024年新高考新题型数学选填压轴好题汇编09一、单选题1(2024·广东梅州·二模)已知点F 为双曲线C :x 23-y 2=1的右焦点,点N 在x 轴上(非双曲线顶点),若对于在双曲线C 上(除顶点外)任一点P ,∠FPN 恒是锐角,则点N 的横坐标的取值范围为()A.2,143B.2,173C.3,143D.3,173【答案】C【解析】由题意可得c =a 2+b 2=2,所以F (2,0),设N (x 0,0),P (x ,y ),则PF =(2-x ,-y ),PN =(x 0-x ,-y ),由∠FPN 恒是锐角,得PF ⋅PN=(2-x )(x 0-x )+y 2>0,又x 23-y 2=1,∴y 2=x 23-1,∴不等式可化为:(2-x )(x 0-x )+x 23-1>0,整理得:4x 23-(x 0+2)x +(2x 0-1)>0,∴只需Δ=(x 0+2)2-163(2x 0-1)<0,解得2<x 0<143.故选:C .2(2024·广东·二模)已知球O 与圆台O 1O 2的上、下底面和侧面均相切,且球O 与圆台O 1O 2的体积之比为12,则球O 与圆台O 1O 2的表面积之比为()A.16B.14C.13D.12【答案】D【解析】由题意,作出圆台的轴截面ABCD ,设圆台的上、下底面半径分别为r 1、r 2,球的半径OO 1=r ,则AE =r 1,BE =r 2,过A 作AD ⊥BC 于点H ,由AH 2+BH 2=AB 2,得2r 2+r 2-r 1 2=r 1+r 2 2,化简得r 2=r 1r 2,由球的体积公式V 球=43πr 3,圆台的体积公式V 圆台=132r ⋅πr 21+πr 22+πr 21⋅πr 22 =23πr r 21+r 22+r 1r 2 ,已知球O 与圆台O 1O 2的体积之比为12,则2r 2r 21+r 22+r 1r 2=12,化简得4r 2=r 21+r 22+r 1r 2,则4r 1r 2=r 21+r 22+r 1r 2,得3r 1r 2=r 21+r 22,又球的表面积S 球=4πr 2,圆台的表面积S 圆台=πr 1+r 2 2+r 21+r 22 ,所以S 球S 圆台=4r 22r 21+r 22+r 1r 2 =2r 2r 21+r 22+r 1r 2=2×14=12,故选:D .3(2024·广东·二模)在平面直角坐标系xOy 中,已知圆O :x 2+y 2=1,若等腰直角△ABC 的直角边AC 为圆O 的一条弦,且圆心O 在△ABC 外,点B 在圆O 外,则四边形OABC 的面积的最大值为()A.52+1 B.2+1C.62+1 D.3+1【答案】A【解析】如图所示,设∠OAC =∠OCA =α,则∠AOC =π-2α,故S AOC =12OA ⋅OC sin ∠AOC =12sin π-2α =12sin2α,由余弦定理得AC 2=OA 2+OC 2-2OA ⋅OC cos ∠AOC =1+1-2cos π-2α =2+2cos2α,故等腰直角三角形△ABC 的面积为12AC ⋅BC =12AC 2=1+cos2α,故四边形OABC 的面积为12sin2α+cos2α+1=52sin 2α+φ +1,其中tan φ=2,0<φ<π2,其中α∈0,π2,故2α+φ∈φ,π+φ ⊇π2,π,则当2α+φ=π2时,52sin 2α+φ +1取得最大值,最大值为52+1.故选:A4(2024·湖南益阳·模拟预测)已知f x 的定义域为0,+∞ ,f x 是f x 的导函数,且x 2f x +2xf x =ln x ,2ef e =1,则f 13,f sin 14 ,f tan 12的大小关系是()A.f 13 <f sin 14 <f tan 12 B.f sin 14 <f 13 <f tan12C.f tan 12 <f 13 <f sin 14D.f sin 14 <f tan 12 <f 13【答案】C【解析】因为x 2f (x )+2xf (x )=ln x ,即[x 2f (x )] =ln x ,构造函数g (x )=x 2f (x ),则g (x )=ln x ,f (x )=g (x )x2.将f (x )=g (x )x2代入x 2f (x )+2xf (x )=ln x ,得f (x )=x ln x -2g (x )x 3.再构造函数h (x )=x ln x -2g (x ),则h (x )=ln x +1-2g (x )=1-ln x ,易知,当x ∈(0,e )时,h (x )>0,函数h (x )单调递增;当x ∈(e ,+∞)时,h (x )<0,函数h (x )单调递减,所以h (x )max =h (e )=e -2g (e )=e -2e 2f (e ),由于2ef (e )=1,所以h (e )=0,所以h (x )≤0,所以当x ∈(0,e )时,f (x )<0,函数f (x )单调递减;当x ∈(e ,+∞)时,f (x )<0,函数f (x )单调递减,所以f (x )在(0,+∞)单调递减.又根据单位圆可得三角不等式sin 13<13<tan 13,又sin 14<sin 13,tan 13<tan 12,所以f tan 13<f 13 <f sin 13 ,故f tan 12 <f 13 <f sin 14 .故选:C .5(2024·湖南益阳·模拟预测)如图所示,4个球两两外切形成的几何体,称为一个“最密堆垒”.显然,即使是“最密堆垒”,4个球之间依然存在着空隙.材料学研究发现,某种金属晶体中4个原子的“最密堆垒”的空隙中如果再嵌入一个另一种金属原子并和原来的4个原子均外切,则材料的性能会有显著性变化.记原金属晶体的原子半径为r A ,另一种金属晶体的原子半径为r B ,则r A 和r B 的关系是()A.2r B =3r AB.2r B =6r AC.2r B =3-1 r AD.2r B =6-2 r A【答案】D【解析】由题意知,四个金属原子的球心的连线所围成的图形为如图所示的正四面体P -ABC ,设正四面体的棱长为a a >0 ,高为h h >0 ,外接球球心为O ,D 为正三角形ABC 的中心,则必有PD ⊥平面ABC 且P ,O ,D 三点共线,在正三角形ABC 中,易求得DB =32a ×23=33a ,在△PDB 中,由PB 2=PD 2+DB 2,可得h =PD =a 2-33a 2=63a ,在△OBD 中,由OB 2=OD 2+DB 2,得R 2=(h -R )2+33a2,解得R =64a ,由题意得a =2rA64a =r A +r B,所以64×2r A =r A +r B ,所以2r B =6-2 r A .故选:D .6(2024·湖北武汉·模拟预测)若函数f x =3cos ωx +φ ω<0,-π2<φ<π2的最小正周期为π,在区间-π6,π6 上单调递减,且在区间0,π6上存在零点,则φ的取值范围是()A.π6,π2B.-π2,-π3C.π3,π2D.0,π3 【答案】B【解析】由函数f (x )的最小正周期为π,得2π|ω|=π,而ω<0,解得ω=-2,则f (x )=3cos (-2x +φ)=3cos (2x -φ),由2k π≤2x -φ≤2k π+π,k ∈Z ,得2k π+φ≤2x ≤2k π+π+φ,k ∈Z ,又f (x )在-π6,π6上单调递减,因此2k π+φ≤-π3,且π3≤2k π+π+φ,k ∈Z ,解得-2π3-2k π≤φ≤-π3-2k π,k ∈Z ①,由余弦函数的零点,得2x -φ=n π+π2,n ∈Z ,即2x =n π+π2+φ,n ∈Z ,而f (x )在0,π6 上存在零点,则0<n π+π2+φ<π3,n ∈Z ,于是-n π-π2<φ<-n π-π6,n ∈Z ②,又-π2<φ<π2,联立①②解得-π2<φ≤-π3,所以φ的取值范围是-π2,-π3.故选:B7(2024·湖北武汉·模拟预测)如果a <x <b ,记x 为区间a ,b 内的所有整数.例如,如果2<x <3.5,则x =3;如果1.2<x <3.5,则x =2或3;如果2.3<x <2.7,则x 不存在.已知T =1+142+143+⋯+1481,则T =()A.36B.35C.34D.33【答案】B【解析】令函数f (x )=43x 34(x >0),求导得f (x )=x -14=14x,则14n(n ∈N ∗)可视为函数f (x )=43x 34(x >0)在x =n 处的切线斜率,设A (n ,f (n )),B (n +1,f (n +1)),则直线AB 的斜率k AB =f (n +1)-f (n )n +1-n=f (n +1)-f (n ),由导数的几何意义有f (n +1)<k AB <f (n ),因此14n +1<43(n +1)34-n 34 <14n,而43234-134 +334-234 +434-334 +⋯+8234-8134 <141+142+143+⋯+1481=T ,即有T >438234-1 >438134-1 =43×26=34+23,又T =1+142+143+⋯+1481<1+438134-1 =35+23,因此34+23<T <35+23,所以[T ]=35.故选:B8(2024·山东·二模)已知函数f (x )=sin ωx +π6 (ω>0),若将f (x )的图象向左平移π3个单位后所得的函数图象与曲线y =f (x )关于x =π3对称,则ω的最小值为()A.23B.13C.1D.12【答案】A【解析】函数f (x )=sin ωx +π6 ,f (x )的图象向左平移π3个单位后所得函数g (x )=sin ωx +π3 +π6=sin ωx +πω3+π6,函数y =g (x )的图象与y =f (x )的图象关于直线x =π3对称,则f (x )=g 2π3-x ,于是sin ωx +π6=sin ω2π3-x +πω3+π6 对任意实数x 恒成立,即sin ωx +π6 =sin -ωx +πω+π6 =sin π-ωx -πω+5π6 =sin ωx -πω+5π6 对任意实数x 恒成立,因此-πω+5π6=π6+2k π,k ∈Z ,解得ω=-2k +23,k ∈Z ,而ω>0,则k ∈Z ,k ≤0,所以当k =0时,ω取得最小值23.故选:A9(2024·山东·二模)已知f x 为定义在R 上的奇函数,设f x 为f x 的导函数,若f x =f 2-x +4x -4,则f 2023 =()A.1B.-2023C.2D.2023【答案】C【解析】因为f x =f 2-x +4x -4,所以两边求导,得f (x )=-f (2-x )+4,即f (x )+f (2-x )=4①因为f x 为定义在R 上的奇函数,则f (-x )=-f (x ),所以两边求导,得f (x )=f (-x ),所以f (x )是定义在R 上的偶函数,所以f (2-x )=f (x -2),结合①式可得,f (x )+f (x -2)=4,所以f (x -2)+f (x -4)=4,两式相减得,f (x )=f (x -4),所以f (x )是周期为4的偶函数,所以f (2023)=f (-1)=f (1).由①式,令x =1,得f (1)=2,所以f (2023)=f (1)=2.故选:C .10(2024·河南信阳·模拟预测)棱长为1的正方体ABCD -A 1B 1C 1D 1中,点P 为BD 1上的动点,O 为底面ABCD 的中心,则OP 的最小值为()A.33B.63C.66D.32【答案】C【解析】由题意可得OP 的最小值为点O 到线段BD 1的距离,在平面D 1DB 内过点O 作OP ⊥BD 1于点P ,由题意可得DD 1=1,DB =2,BD 1=3,DD 1⊥平面ABCD ,因为DB ⊂平面ABCD ,则DD 1⊥DB ,因为△OPB ∽△D 1DB ,故OP DD 1=OB BD 1,即OP =OB ⋅DD 1BD 1=22×13=66.故选:C .11(2024·河南信阳·模拟预测)若直线y =ax +b 与曲线y =e x 相切,则a +b 的取值范围为()A.(-∞,e ]B.[2,e ]C.[e ,+∞)D.[2,+∞)【答案】A【解析】对于y =e x ,有y =e x ,令切点为m ,e m ,则切线方程为y =e m x -m +e m ,即y =e m x +1-m e m ,即有a +b =e m +1-m e m =2-m e m ,令f x =2-x e x ,则f x =1-x e x ,当x <1时,f x >0,当x >1时,f x <0,故f x 在-∞,1 上单调递增,在1,+∞ 上单调递减,故f x ≤f 1 =2-1 e 1=e ,又当x 趋向于正无穷大时,f x 趋向于负无穷,故f x ∈(-∞,e ],即a +b ∈(-∞,e ].故选:A .12(2024·福建福州·模拟预测)函数f x =2sin ωx 3sin ωx +cos ωx (ω>0)在0,π3上单调递增,且对任意的实数a ,f x 在(a ,a +π)上不单调,则ω的取值范围为()A.1,52B.1,54C.12,52D.12,54【答案】D【解析】因为f (x )=2sin ωx (3sin ωx +cos ωx )=23sin 2ωx +2sin ωx cos ωx=sin2ωx -3cos2ωx +3=2sin 2ωx -π3 +3,又因为x ∈0,π3 ,且ω>0,则2ωx -π3∈-π3,2ωπ3-π3 ,若f (x )在0,π3上单调递增,所以2ωπ3-π3≤π2,所以0<ω≤54,因为对任意的实数a ,f (x )在(a ,a +π)上不单调,所以f (x )的周期T =2π2ω<2π,所以ω>12,所以12<ω≤54.故选:D .13(2024·浙江嘉兴·二模)6位学生在游乐场游玩A ,B ,C 三个项目,每个人都只游玩一个项目,每个项目都有人游玩,若A 项目必须有偶数人游玩,则不同的游玩方式有()A.180种B.210种C.240种D.360种【答案】C【解析】若A 有2人游玩,则有C 26C 34C 11A 22+C 24C 22A 22A 22=15×8+6 =210种;若A 有4人游玩,则有C 46A 22=15×2=30种;所以共有240种,故选:C .14(2024·浙江嘉兴·二模)已知定义在0,+∞ 上的函数f x 满足xf x =1-x f x ,且f 1 >0,则()A.f 12<f 1 <f 2 B.f 2 <f 1 <f 12C.f 12<f 2 <f 1D.f 2 <f 12<f 1 【答案】D【解析】由xfx =1-x f x 变形得f x -xf x f x=x ,从而有f x -xf x f 2x=x f x ,x f x =x f x ,所以xf x=k ⋅e x ,因为f 1 >0,所以k =1f 1 e1>0,则f x =xk ⋅e x ,则fx =ke x -kx ⋅e x k 2e x =ke x 1-x k 2e x,故当0<x <1时,f x >0,当x >1时,f x <0,所以f x 在0,1 上单调递增,在1,+∞ 单调递减,所以f 12<f 1 ,f 2 <f 1 ,又f 12 -f 2 =12k e -2ke 2=e 32-42ke2,而e 3>2.73≈19.7>16,所以e 32>4,所以f 2 <f 12<f 1 .故选:D .15(2024·浙江宁波·二模)在正四棱台ABCD -A 1B 1C 1D 1中,AB =4,A 1B 1=2,AA 1=3,若球O 与上底面A 1B 1C 1D 1以及棱AB ,BC ,CD ,DA 均相切,则球O 的表面积为()A.9π B.16π C.25πD.36π【答案】C【解析】设棱台上下底面的中心为N ,M ,连接D 1B 1,DB ,则D 1B 1=22,DB =42,所以棱台的高MN =B 1B 2-MB -NB 1 2=3 2-22-2 2=1,设球半径为R ,根据正四棱台的结构特征可知:球O 与上底面A 1B 1C 1D 1相切于N ,与棱AB ,BC ,CD,DA 均相切于各边中点处,设BC 中点为E ,连接OE ,OM ,ME ,所以OE 2=OM 2+ME 2⇒R 2=R -1 2+22,解得R =52,所以球O 的表面积为4πR 2=25π,故选:C16(2024·浙江宁波·二模)已知集合P =x ,y |x 4+ax -2024=0 且xy =2024 ,若P 中的点均在直线y =2024x 的同一侧,则实数a 的取值范围为()A.-∞,-2023 ∪2023,+∞ B.2023,+∞ C.-∞,-2024 ∪2024,+∞ D.2024,+∞【答案】A【解析】依题意集合P 即为关于x 、y 的方程组x 4+ax -2024=0xy =2024 的解集,显然x ≠0,所以a =-x 3+2024xy =2024x,即y =-x 3+2024x y =2024x y =a,令f x =-x 3+2024x ,由y =2024x y =2024x,解得x =1y =1 或x =-1y =-1 ,即函数y =2024x 与y =2024x的交点坐标为1,1 和-1,-1 ,又f -x =-x 3+2024x =--x 3+2024x =-f x ,所以f x 为奇函数,因为y =-x 3与y =2024x 在0,+∞ 上单调递减,所以f x =-x 3+2024x 在0,+∞ 上单调递减,则f x =-x 3+2024x在-∞,0 上单调递减,依题意y =a 与y =-x 3+2024x 、y =2024x的交点在直线y =2024x 的同侧,只需a >f 1 或a <f -1 ,即a >2023或a <-2023,所以实数a 的取值范围为-∞,-2023 ∪2023,+∞ .故选:A17(2024·浙江杭州·二模)在△ABC 中,已知sin A sin B =n sin C ,cos A cos B=n cos C .若tan A +π4 =-3,则n =()A.无解B.2C.3D.4【答案】A 【解析】由tan A +π4 =1+tan A1-tan A=-3,即tan A =2,则cos A ≠0,由sin A sin B =n sin C ,cos A cos B =n cos C ,知cos C ≠0,则tan A tan B=tan C ,则tan A =tan B ⋅tan C =2,又tan A =tan π-B -C =-tan B +C =-tan B +tan C1-tan B ⋅tan C=tan B +tan C ,故tan B +tan C =2,设tan B =t ,则tan C =2-t ,有t 2-t =2,即t 2-2t +2=0,Δ=4-8=-4<0,即该方程无解,故不存在这样三角形,即n 无解.故选:A .18(2024·浙江杭州·二模)设集合M ={-1,1},N ={x |x >0且x ≠1},函数f x =a x +λa -x (a >0且a ≠1),则()A.∀λ∈M ,∃a ∈N ,f x 为增函数B.∃λ∈M ,∀a ∈N ,f x 为减函数C.∀λ∈M ,∃a ∈N ,f x 为奇函数D.∃λ∈M ,∀a ∈N ,f x 为偶函数【答案】D【解析】当λ=1时,f x =a x +a -x ,a >1时,f (x )在(-∞,0)上不是增函数,故A 不正确;当λ=-1时,f x =a x -a -x ,a >1时,f (x )在(0,+∞)上为增函数,B 不正确;当λ=1时,f x =a x +a -x ,f (-x )=a x +a -x =f (x ),f (x )为偶函数,故C 不正确;当λ=1时,f x =a x +a -x ,f (-x )=a x +a -x =f (x ),f (x )为偶函数,故D 正确;故选:D .19(2024·浙江台州·二模)设F 1,F 2是双曲线C :x 2a 2-y 2b 2=1a >0,b >0 的左、右焦点,点M ,N 分别在双曲线C 的左、右两支上,且满足∠MF 2N =π3,NF 2=2MF 1 ,则双曲线C 的离心率为()A.2B.73C.3D.52【答案】B【解析】如图,设NF 1与MF 2的交点为P ,MF 1 =x ,因为NF 2 =2MF 1 ,所以NF 2 =2MF 1 =2x ,所以,由双曲线的定义可知:MF 2 =MF 1 +2a =2a +x ,NF 1 =2a +NF 2 =2x +2a ,因为NF 2 =2MF 1 ,所以NF 2⎳MF 1,所以△NF 2P ∽△F 1MP ,∠F 1MF 2=∠MF 2N =π3,所以PF 2 =23MF 2 =232a +x ,PN =23NF 1 =232a +2x ,所以,在△PNF 2中,∠PF 2N =∠MF 2N =π3,所以,由余弦定理有:cos ∠PF 2N =PF 2 2+F 2N 2-PN 22PF 2 ⋅F 2N=cos π3=12,代入PF 2 =232a +x ,PN =232a +2x ,NF 2 =2x ,整理得3x 2-10ax =0,解得x =103a ,x =0(舍),所以,MF 1 =x =103a ,MF 2 =2a +x =163a ,F 1F 2 =2c ,所以,在△F 1MF 2中,由余弦定理有:cos ∠F 1MF 2=F 1M 2+F 2M 2-F 1F 2 22F 1M ⋅F 2M =12,代入数据整理得:7a =3c ,所以,双曲线的离心率为:e =c a =73.故选:B20(2024·江苏扬州·模拟预测)已知菱形ABCD 的边长为2,∠ABC =60°,动点P 在BC 边上(包括端点),则AD ⋅AP的取值范围是()A.0,1 B.-1,2C.-2,2D.-1,1【答案】C【解析】如图,作Cy ⊥CB ,以C 为原点,建立平面直角坐标系,易知C (0,0),A (1,3),D (-1,3),设P (x ,0),且x ∈0,2 ,故AD =(-2,0),AP=x -1,-3 ,故AD ⋅AP=-2(1-x )=2-2x ,而-2x ∈-4,0 ,2-2x ∈-2,2 .故选:C21(2024·江苏扬州·模拟预测)设方程2x +x +3=0和方程log 2x +x +3=0的根分别为p ,q ,设函数f x =x +p x +q ,则()A.f 2 =f 0 <f 3B.f 0 =f 3 >f 2C.f 3 <f 2 =f 0D.f 0 <f 3 <f 2【答案】B【解析】由2x +x +3=0得2x =-x -3,由log 2x +x +3=0得log 2x =-x -3,所以令y =2x ,y =log 2x ,y =-x -3,这3个函数图象情况如下图所示:设y =2x ,y =-x -3交于点B ,y =log 2x ,y =-x -3交于点C ,由于y =2x ,y =log 2x 的图象关于直线y =x 对称,而y =-x -3,y =x 的交点为A -32,-32 ,所以p +q 2=-32,注意到函数f x =x +p x +q =x 2+p +q x +pq 的对称轴为直线x =-p +q 2,即x =32,且二次函数f x 的图象是开口向上的抛物线方程,从而f 0 =f 3 >f 2 .故选:B .22(2024·河北邢台·一模)如图,正四棱台容器ABCD -A 1B 1C 1D 1的高为12cm ,AB =10cm ,A 1B 1=2cm ,容器中水的高度为6cm .现将57个大小相同、质地均匀的小铁球放入容器中(57个小铁球均被淹没),水位上升了3cm ,若忽略该容器壁的厚度,则小铁球的半径为()A.31πcmB.32πcm C.33πcm D.34πcm 【答案】A【解析】正四棱台容器ABCD -A 1B 1C 1D 1的高为12cm ,AB =10cm ,A 1B 1=2cm ,正四棱台容器内水的高度为6cm ,由梯形中位线的性质可知水面正方形的边长为122+10 =6,其体积为V 1=1362+102+62×102 ×6=392cm 3;放入铁球后,水位高为9cm ,沿A 1B 1作个纵截面,从A 1,B 1分别向底面引垂线,如图,其中EF 是底面边长10cm ,B 1H 是容器的高为12cm ,GH 是水的高为9cm ,由截面图中比例线段的性质GN HF =B 1G B 1H=14,可得GN =1,此时水面边长为4cm ,此时水的体积为V 2=1342+102+42×102 ×9=468cm 3,放入的57个球的体积为468-392=76cm 3,设小铁球的半径为r ,则57×43πr 3=76,解得r =31πcm .故选:A 23(2024·河北邢台·一模)倾斜角为θ的直线l 经过抛物线C :y 2=16x 的焦点F ,且与C 相交于A ,B 两点.若θ∈π6,π4,则AF BF 的取值范围为()A.128,256 B.64,256 C.64,1963 D.1963,128 【答案】A【解析】首先,我们来证明抛物线中的焦半径公式,如图,对于一个抛物线y 2=2px ,倾斜角为θ的直线l 经过抛物线C :y 2=2px 的焦点F ,且与C 相交于A ,B 两点.作准线的垂线AA ,BB ,过F 作FM ⊥AA ,则AF =AA =MA +AM =p +AF cos θ,解得AF =p 1-cos θ,同理可得BF =p1+cos θ,如图,不妨设A 在第一象限,由焦半径公式得AF =81-cos θ,AF =81+cos θ,则AF BF =81-cos θ×81+cos θ=64sin 2θ,而θ∈π6,π4 ,可得sin 2θ∈14,12 ,故64sin 2θ∈128,256 ,故A 正确,故选:A 二、多选题24(2024·广东梅州·二模)已知数列a n 的通项公式为a n =3n ,n ∈N *,在a n 中依次选取若干项(至少3项)a k 1,a k 2,a k 3,⋅⋅⋅,a k n,⋅⋅⋅,使a k n成为一个等比数列,则下列说法正确的是()A.若取k 1=1,k 2=3,则k 3=9B.满足题意的k n 也必是一个等比数列C.在a n 的前100项中,a k n的可能项数最多是6D.如果把a n 中满足等比的项一直取下去,a k n总是无穷数列【答案】AB【解析】因为数列a n 的通项公式为a n =3n ,对于A ,取k 1=1,k 2=3,则a k 1=a 1=3,a k 2=a 3=9,由于a k n为等比数列,则a k 3=27,则有3k 3=27,即k 3=9,故A 正确;对于B ,数列{a n }的通项公式为a n =3n ,则a k n=3k n ,若a k n为等比数列,即3k 1,3k 2,3k 3,⋯,3k n ,⋯是等比数列,则k 1,k 2,k 3,⋯,k n ,⋯,是等比数列,故满足题意的{k n }也必是一个等比数列,故B 正确;对于C ,在a n 的前100项中,可以取k 1=1,k 2=2,k 3=4,k 4=8,k 5=16,k 6=32,k 7=64,可以使a k n成为一个等比数列,此时a k n为7项,故C 错误;对于D ,取k 1=4,k 2=6,则a k 1=12,a k 2=18,则a k 3=27,a k 4=812,a k 4=812不是数列a n 的项,所以把a n 中满足等比的项一直取下去,a k n不总是无穷数列,故D 错误.故选:AB .25(2024·广东梅州·二模)如图,平面ABN ⊥α,AB =MN =2,M 为线段AB 的中点,直线MN 与平面α的所成角大小为30°,点P 为平面α内的动点,则()A.以N 为球心,半径为2的球面在平面α上的截痕长为2πB.若P 到点M 和点N 的距离相等,则点P 的轨迹是一条直线C.若P 到直线MN 的距离为1,则∠APB 的最大值为π2D.满足∠MNP =45°的点P 的轨迹是椭圆【答案】BC【解析】对于A ,由于MN 与平面α的所成角大小为30°,所以点N 到平面α的距离d =MN sin30°=1,故半径为R =2的球面在平面α上截面圆的半径为r =R 2-d 2=3,故截痕长为2πr =23π,A 错误,对于B ,由于平面ABN ⊥α,所以以AB 为y ,在平面α内过M 作x ⊥AB ,平面ABN 内作z ⊥AB ,建立如图所示的空间直角坐标系,则M 0,0,0 ,B 0,1,0 ,A 0,-1,0 ,N 0,3,1 ,设P x ,y ,0 ,则PM =PN ⇒x 2+y 2=x 2+y -3 2+1,化简得y =23,故P 到点M 和点N 的距离相等,则点P 的轨迹是一条直线,B 正确,MN =0,3,1 ,MP =x ,y ,0 ,所以P 到直线MN 的距离为MP 2-MP ⋅MNMN2=x 2+y 2-3y 22=1,化简可得x 2+y 24=1,所以点P 的轨迹是平面α内的椭圆x 2+y 24=1上一点,如图,当P 在短轴的端点时,此时∠APB 最大,由于BM =MP =1,故∠BPM =π4,因此∠APB =2∠BPM =π2,C 正确,对于D ,NM =0,-3,-1 ,NP =x ,y -3,-1 ,MP=x ,y ,0 ,若∠MNP =45°,则cos ∠MNP =cos NM ,NP =NM ⋅NPNM ⋅NP =-3y +42x 2+y -3 2+1=22,化简得y -2324-x 22=1且y <433,故满足∠MNP =45°的点P 的轨迹是双曲线的一部分,D 错误,故选:BC26(2024·广东·二模)设O 为坐标原点,抛物线C :y 2=4x 的焦点为F ,准线l 与x 轴的交点为F 1,过点F 的直线与抛物线C 交于A ,B 两点,过点A ,B 分别作l 的垂线,垂足分别为A 1,B 1,则下列说法正确的有()A.A 1F 1 ⋅B 1F 1 =FF 1 2B.A 1B 1 ≤2FF 1C.OA ⋅OB =OA 1 ⋅OB 1D.OA +OB ≥OA 1 +OB 1【答案】ACD【解析】由已知F (1,0),F 1(-1,0),设过点F 的直线方程为:x =my +1,设点A x 1,y 1 ,B x 2,y 2 ,则A 1(-1,y 1),B 1(-1,y 2),由y 2=4x x =my +1,得y 2-4my -4=0,所以y 1+y 2=4m ,y 1y 2=-4,x 1+x 2=m y 1+y 2 +2=4m 2+2,x 1x 2=y 1y 2216=1,A 1F 1 ⋅B 1F 1 =-y 1y 2=4,FF 1 2=22=4,所以A 1F 1 ⋅B 1F 1 =FF 1 2,故A 正确,A 1B 1 =y 1-y 2 =y 1+y 22-4y 1y 2=16m 2+16≥4=2FF 1 ,故B 错误,OA2⋅OB 2=x 21+y 21 x 22+y 22 =x 21x 22+x 21y 22+x 22y 21+y 21y 22=17+x 22y 21+x 21y 22=17+4x 22x 1+4x 21x 2=17+4x 1x 2x 1+x 2 =25+16m2,O 1A2⋅O 1B 2=1+y 21 1+y 22 =1+y 22+y 21+y 21y 22=17+y 21+y 22=17+y 1+y 2 2-2y 1y 2=25+16m 2,故OA ⋅OB =OA 1 ⋅OB 1 ,C 正确,OA +OB2-OA 1 +OB 1 2=OA 2+OB 2-OA 1 2-OB 1 2+2OA ⋅OB -2OA 1 ⋅OB 1 ,由选项C 可知OA ⋅OB =OA 1 ⋅OB 1 ,所以OA +OB 2-OA 1 +OB 1 2=OA 2+OB 2-OA 1 2-OB 1 2=x 21+y 21 +x 22+y 22 -1+y 21 -1+y 22 =x 21+x 22 -2=x 1+x 2 2-2x 1x 2-2=4m 2+2 2-4≥0,故OA +OB ≥OA 1 +OB 1 ,D 正确;故选:ACD27(2024·湖南益阳·模拟预测)如图1所示,为曲杆道闸车库出入口对出人车辆作“放行”或“阻拦”管制的工具.它由转动杆OP 与横杆PQ 组成,P ,Q 为横杆的两个端点.在道闸抬起的过程中,横杆PQ 始终保持水平.如图2所示,以点O 为原点,水平方向为x 轴正方向建立平面直角坐标系.若点O 距水平地面的高度为1米,转动杆OP 的长度为1.6米,横杆PQ 的长度为2米,OP 绕点O 在与水平面垂直的平面内转动,与水平方向所成的角θ∈30°,90° ()A.则点P 运动的轨迹方程为x 2+(y +1)2=6425(其中x ∈0,435,y ∈45,85)B.则点Q 运动的轨迹方程为(x -2)2+y 2=6425(其中x ∈2,10+435 ,y ∈45,85)C.若OP 绕点O 从与水平方向成30°角匀速转动到与水平方向成90°角,则横杆PQ 距水平地面的高度为135米D.若OP 绕点O 从与水平方向成30°角匀速转动到与水平方向成90°角,则点Q 运动轨迹的长度为135米【答案】BC【解析】对于A :点P 的轨迹显然是以O 为原点,OP 为半径的圆,故点P 运动轨迹方程为x 2+y 2=6425(其中x ∈0,435 ,y ∈45,85),故A 错误;对于B :设Q x ,y ,P x 0,y 0 ,因为PQ 平行于x 轴,所以x =x 0+2y =y 0,所以x 0=x -2y 0=y ,又因为P 在加圆x 2+y 2=6425上,所以点Q 的运动轨迹是以(2,0)为圆心,1.6为半径的圆,所以点Q 的轨迹方程为x -2 2+y 2=6425(其中x ∈2,10+435 ,y ∈45,85),故B 正确;对于C :若OP 绕点O 从与水平方向成30°角匀速转动到与水平方向成90°角,横杆PQ 达到最高点,此时横杆PQ 距水平地面的高度为1+1.6=135,故C 正确;对于D :因为OP 绕点O 从与水平方向成30°角匀速转动到与水平方向成90°角,故Q 绕点2,0 转动的角度与点P 绕点0,0 转动的角度一样为90°-30°=π3,所以点Q 运动轨迹的长度即为圆(其中)的弧长,等于1.6×π3=8π15,故D 错误.故选:BC .28(2024·湖南益阳·模拟预测)在△ABC 中,角A ,B ,C 所对的边依次为a ,b ,c ,已知sin A :sin B :sin C =2:3:4,则下列结论中正确的是()A.a +b :b +c :c +a =5:6:7B.△ABC 为钝角三角形C.若a +b +c =18.则△ABC 的面积是615D.若△ABC 的外接圆半径是R ,内切圆半径为r ,则5R =16r 【答案】BD【解析】因为sin A :sin B :sin C =2:3:4,由正弦定理a sin A=b sin B =csin C =2R ,可得a :b :c =2:3:4,设a =2x x >0 ,b =3x ,c =4x ,则(a +b ):(b +c ):(c +a )=5x :7x :6x =5:7:6,故A 错误;由题意可知,C 为最大角,因为cos C =a 2+b 2-c 22ab =4x 2+9x 2-16x 212x 2=-14<0,故C 为钝角,故B 正确;若a +b +c =18,则a =4,b =6,c =8,又cos C =-14,所以sin C =1-cos 2C =154,所以△ABC 的面积S △ABC =12ab sin C =12×4×6×154=315,故C 错误;由正弦定理得,2R =c sin C =4x 154=16x 15,即R =8x15,由面积公式可得12(a +b +c )r =12ab sin C ,即12×9x ⋅r =12×2x ×3x ×154,所以r =156x ,所以R r =165,故5R =16r ,故D 正确.故选:BD .29(2024·湖北武汉·模拟预测)已知各项都是正数的数列a n 的前n 项和为S n ,且S n =a n 2+12a n,则下列结论正确的是()A.当m >n m ,n ∈N * 时,a m >a nB.S n +S n +2<2S n +1C.数列S 2n 是等差数列D.S n -1S n≥ln n 【答案】BCD【解析】对A ,由题意可知a 1=a 12+12a 1⇒a 21=1,所以a 1=1,则a 1+a 2=a 22+12a 2⇒a 22+2a 2-1=0,所以a 2=2-1<a 1,故A 错误;对C ,由S n =a n 2+12a n ⇒S n =S n -S n -12+12S n -S n -1⇒S 2n -S 2n -1=1n ≥2 ,故C 正确;对C ,所以S 2n =1+n -1 =n ⇒S n =n ,则S n +S n +2=n +n +2<2n +n +22=2S n +1,故B 正确;对D ,易知S n -1S n =n -1n,令f x =x -1x -2ln x x ≥1 ,则f x =1+1x2-2x =1x -1 2≥0,则f x 单调递增,所以f x ≥f 1 =0⇒n -1n≥ln n ,即S n -1S n ≥ln n ,故D 正确.故选:BCD 30(2024·湖北武汉·模拟预测)如图,已知椭圆x 24+y 2=1的左、右顶点分别是A 1,A 2,上顶点为B 1,点C 是椭圆上任意一异于顶点的点,连接A 1C 交直线x =2于点P ,连接A 2C 交OP 于点M (O 是坐标原点),则下列结论正确的是()A.k A 1C ⋅k A 2C 为定值B.2k A 1C =k OPC.当四边形OA 2CB 1的面积最大时,直线OC 的斜率为1D.点M 的纵坐标没有最大值【答案】ABD【解析】依题意,A 1(-2,0),A 2(2,0),设C (2cos θ,sin θ),0<θ<2π,θ∉π2,π,3π2,对于A ,k A 1C ⋅k A 2C =sin θ2cos θ+2⋅sin θ2cos θ-2=-14,A 正确;对于B ,直线A 1C 的方程为y =sin θ2cos θ+2(x +2),它与直线x =2的交点P 2,2sin θcos θ+1,因此k OP =sin θcos θ+1=2k A 1C ,B 正确;对于C ,不妨令0<θ<π2,四边形OA 2CB 1的面积S =S △OA 2C +S △OB 1C=sin θ+cos θ=2sin θ+π4 ≤2,当且仅当θ=π4时取等号,此时点C 2,22 ,直线OC 的斜率为12,C 错误;对于D ,当点C 无限接近点B 1时,点M 的纵坐标无限接近最大值,但取不到最大值,因此没有最大值,D 正确.故选:ABD31(2024·山东·二模)将正四棱锥P -ABCD 和正四棱锥Q -ABCD 的底面重合组成八面体Ω,AB =PA =2,QA =10,则()A.PQ ⊥平面ABCDB.PA ⎳QCC.Ω的体积为42D.二面角P -AB -Q 的余弦值为-13【答案】AC【解析】令正方形ABCD 的中心为O ,连接PO ,QO ,对于A ,由正四棱锥P -ABCD ,得PO ⊥平面ABCD ,同理QO ⊥平面ABCD ,则P ,O ,Q 共线,因此PQ ⊥平面ABCD ,A 正确;对于B ,连接AC ,显然O 是AC 的中点,AO =12AC =2,PO =PA 2-AO 2=2,QO =QA 2-AO 2=22,O 不是PQ 的中点,因此四边形APCQ 不是平行四边形,PA ,QC 不平行,B 错误;对于C ,Ω的体积V =V P -ABCD +V Q -ABCD =13S ABCD ⋅(PO +QO )=13×4×32=42,C 正确;对于D ,取AB 中点M ,连接PM ,QM ,则PM ⊥AB ,QM ⊥AB ,∠PMQ 是二面角P -AB -Q 的平面角,而PM =PA 2-AM 2=3,QM =QA 2-AM 2=3,则cos ∠PMQ =(3)2+32-(32)22×3×3=-33,D 错误.故选:AC32(2024·山东·二模)已知抛物线E :y 2=2px (p >0)焦点为F ,过点M 2,0 (不与点F 重合)的直线交E 于P ,Q 两点,O 为坐标原点,直线PF ,QF 分别交E 于A ,B 两点,∠POQ =90°,则()A.p =1B.直线AB 过定点14,0C.FP ⋅FQ 的最小值为254D.PA +QB 的最小值为254【答案】ACD【解析】设直线PQ :x =my +2与抛物线联立可得:y 2-2pmy -4p =0,设P y 212p ,y 1 ,Q y 222p ,y 2,则y 1y 2=-4p ,因为∠AOB =90°∠AOB =90°,所以OP ⋅OQ =y 1y 2 24p 2+y 1y 2=4-4p =0,解p =1,故A 正确;由A 可知,F 12,0 ,设直线PF :x =m 1y +12,与抛物线联立可得,y 2-2m 1y -1=0,设A x A ,y A ,B x B ,y B ,所以y A =-1y 1,同理可得y B =-1y 2,所以y A y B =1y 1y 2=-14,直线AB :2x -y A +y B y +y A y B =0,即2x -18 -y A +y B y =0,所以直线AB 过定点18,0 ,故B 错误;FP ⋅FQ =y 212+12 y 222+12=y 21y 224+y 21+y 224+14≥y 21y 22+2y 1y 2 +14=254,故C 正确;PA =y 21+1+1y 21+12,QB =y 22+1+1y 22+12,所以PA +QB =y 21+y 22+1y 21+1y 22+42=1716y 21+y 22 +42≥1716×2y 1y 2 +42=254,故D 正确.故选:ACD .33(2024·福建福州·模拟预测)定义在R 上的函数f x 的值域为-∞,0 ,且f 2x +f x +y f x -y =0,则()A.f 0 =-1B.f 4 +f 1 2=0C.f x f -x =1D.f x +f -x ≤-2【答案】ACD【解析】令x =y =0,则有f 0 +f 0 2=0,解得f 0 =0或f 0 =-1,因为函数f x 的值域为-∞,0 ,所以f 0 =-1,A 正确;令x =1,y =0,则有f 2 +f 1 2=0,即f 2 =-f 1 2令x =2,y =0,则有f 4 +f 2 2=0,即f 4 +f 1 4=0,B 不正确;令x =0,则有f 0 +f y f -y =0,所以f y f -y =1,即f x f -x =1,C 正确;因为f x <0,所以-f x >0,-f -x >0,所以-f x +-f -x ≥2f x f -x =2,当且仅当f x =f -x 时,取到等号,所以f x +f -x ≤-2,D 正确.故选:ACD34(2024·福建福州·模拟预测)投掷一枚质地均匀的硬币三次,设随机变量X n =1,第n 次投出正面,-1,第n 次投出反面, (n =1,2,3).记A 表示事件“X 1+X 2=0”,B 表示事件“X 2=1”,C 表示事件“X 1+X 2+X 3=-1”,则()A.B 和C 互为对立事件B.事件A 和C 不互斥C.事件A 和B 相互独立D.事件B 和C 相互独立【答案】BC【解析】根据题意,A 表示事件“X 1+X 2=0”,即前两次抛掷中,一次正面,一次反面,则P A =C 12122=12,B 表示事件“X 2=1”,即第二次抛掷中,正面向上,则P B =12,C 表示事件“X 1+X 2+X 3=-1”,即前三次抛掷中,一次正面,两次反面,P C =C 13×12×122=38,依次分析选项:对于A ,事件B 、C 可能同时发生,则事件B 、C 不是对立事件,A 错误;对于B ,事件A 、C 可能同时发生,则事件A 和C 不互斥,B 正确;对于C ,事件AB ,即前两次抛掷中,第一次反面,第二次正面,P (AB )=12×12=14,由于P A P B =P (AB ),则事件A 和B 相互独立,C 正确;对于D ,事件BC ,即三次抛掷中,第一次和第三次反面,第二次正面,P (BC )=12×12×12=18,P B P C ≠P (BC ),事件B 、C 不是相互独立事件,D 错误.故选:BC .35(2024·浙江嘉兴·二模)已知角α的顶点与原点重合,它的始边与x 轴的非负半轴重合,终边过点A a ,b ab ≠0,a ≠b ,定义:Ti α =a +ba -b.对于函数f x =Ti x ,则()A.函数f x 的图象关于点π4,0 对称B.函数f x 在区间π4,π2上单调递增C.将函数f x 的图象向左平移π4个单位长度后得到一个偶函数的图象D.方程f x =12在区间0,π 上有两个不同的实数解【答案】AB【解析】根据题意,tan x =b a ,∴f x =a +b a -b =1+ba 1-b a=1+tan x 1-tan x =tan π4+tan x 1-tan π4⋅tan x =tan x +π4 ,对于A ,由正切函数的性质得x +π4=k π2,k ∈Z ,解得x =-π4+k π2,所以函数f x 的对称中心为-π4+k π2,0,k ∈Z ,故A 正确;对于B ,x ∈π4,π2 ,∴x +π4∈π2,3π4 ,由正切函数的性质可知f x 在π4,π2上单调递增,故B 正确;对于C ,将f x 的图象向左平移π4个单位可得y =tan x +π4+π4 =tan x +π2=1tan x,为奇函数,故C 错误;对于D ,∵x ∈0,π ,∴x +π4∈π4,3π4,令α=x +π4,由正切函数y =tan α的性质可知在π4,π2 上单调递增,且y ≥1,在π2,π上单调递增,且y ≤0,所以方程f x =tan x +π4 =12在区间0,π 上无实数解,故D 错误.故选:AB .36(2024·浙江嘉兴·二模)抛物线有如下光学性质:由其焦点射出的光线经抛物线反射后,沿平行于抛物线对称轴的方向射出;反之,平行于抛物线对称轴的入射光线经抛物线反射后必过抛物线的焦点.如图,已知抛物线Ω:y 2=2px (p >0)的准线为l ,O 为坐标原点,在x 轴上方有两束平行于x 轴的入射光线l 1和l 2,分别经Ω上的点A x 1,y 1 和点B x 2,y 2 反射后,再经Ω上相应的点C 和点D 反射,最后沿直线l 3和l 4射出,且l 1与l 2之间的距离等于l 3与l 4之间的距离.则下列说法中正确的是()A.若直线l 3与准线l 相交于点P ,则A ,O ,P 三点共线B.若直线l 3与准线l 相交于点P ,则PF 平分∠APCC.y 1y 2=p 2D.若直线l 1的方程为y =2p ,则cos ∠AFB =725【答案】ACD【解析】对于选项A ,因为直线AC 经过焦点,设C x 3,y 3 ,D x 4,y 4 ,直线AC :x =ty +p 2,与抛物线y 2=2px 联立得y 2-2pty -p 2=0,∴y 1+y 3=2pt ,y 1y 3=-p 2,由题意得P -p 2,y 3 ,A y 212p ,y 1,k OP =-2y 3p ,k AO =2p y 1=2p -p 2y3=-2y 3p ,所以k OP =k AO ,即A 、O 、P 三点共线,故A 正确;对于选项B ,假设∠APF =∠CPF ,又∠CFP =∠CPF ,所以∠APF =∠CFP ,所以AP ⎳CF ,这与AP 和CF 相交于A 点矛盾,故B 错误;对于选项C ,l 1与l 2距离等于l 3与l 4距离,又结合A 选项,则y 1-y 2=y 3-y 4=-p 2y 1+p 2y 2=p 2⋅y 1-y 2y 1y 2,所以y 1y 2=p 2,故C 正确;对于选项D ,由题意可得,A 2p ,2p ,B p 8,p 2,F p 2,0 ,FA =3p 2,2p ,FB =-3p 8,p2,FA ⋅FB =3p 2⋅-3p 8 +2p ⋅p 2=7p 216,FA ⋅FB =3p 2 2+(2p )2⋅-3p 8 2+p 2 2=25p 216,∴cos ∠AFB =FA ⋅FB FA ⋅FB =725,故D 正确.故选:ACD .37(2024·浙江宁波·二模)若平面向量a ,b ,c 满足a =1,b =1,c =3且a ⋅c =b ⋅c,则()A.a +b +c的最小值为2B.a +b +c的最大值为5C.a -b +c的最小值为2 D.a -b +c的最大值为13【答案】BD【解析】当向量a ,b 方向相同,与c 方向相反时,满足a ⋅c =b ⋅c,此时a +b +c 有最小值c -a+b =1,A 选项错误;当向量a ,b ,c 方向相同时,满足a ⋅c =b ⋅c,此时a +b +c 有最大值a +b +c=5,B 选项正确;a ⋅c =b ⋅c ,有a -b ⋅c =0,即a -b ⊥c ,则a -b +c =a -b 2+c 2,向量a ,b 方向相同时,a -b 的最小值为0,a -b +c 的最小值为3,C 选项错误;向量a ,b 方向相反时,a -b 的最大值为2,a -b +c 的最大值为13,D 选项正确.故选:BD38(2024·浙江宁波·二模)已知函数f x =sin ωx +φ (ω>0),()A.若ω=2,φ=π2,则f x 是最小正周期为π的偶函数B.若ω=2,x 0为f x 的一个零点,则x 0+π4必为f x 的一个极大值点C.若φ=-π4,x =π2是f x 的一条对称轴,则ω的最小值为32D.若φ=-π4,f x 在0,π6上单调,则ω的最大值为92【答案】ACD【解析】若ω=2,φ=π2,则f x =sin2x+π2=cos2x,所以f x 是最小正周期为2π2=π的偶函数,A正确;若ω=2,则f x 是最小正周期为2π2=π,若x0为f x 的一个零点,则x0+π4为f x 的一个极大值点或极小值点,B错误;若φ=-π4,x=π2是f x 的一条对称轴,则fπ2=sinπ2ω-π4=±1,所以π2ω-π4=π2+kπ,k∈Z,即ω=32+2k,k∈Z,又ω>0,所以ω的最小值为32,C正确;若φ=-π4, 则f x =sinωx-π4(ω>0),由正弦函数的单调性,令-π2+2kπ≤ωx-π4≤π2+2kπ,解得-π4ω+2kπω≤x≤3π4ω+2kπω,又f x 在0,π6上单调,所以当k=0时,0,π6⊆-π4ω,3π4ω,即π6≤3π4ω,解得ω≤92,则ω的最大值为92,D正确.故选:ACD.39(2024·浙江宁波·二模)指示函数是一个重要的数学函数,通常用来表示某个条件的成立情况.已知U为全集且元素个数有限,对于U的任意一个子集S,定义集合S的指示函数1S x ,1S x =1,x∈S0,x∈∁U S若A,B,C⊆U,则()注:x∈M f(x)表示M中所有元素x所对应的函数值f x 之和(其中M是f x 定义域的子集).A.x∈A 1A(x)<x∈U 1A(x)B.1A∩B(x)≤1A(x)≤1A∪B(x)C.x∈U 1A∪B(x)=x∈U1A(x)+1B(x)-1A(x)1B(x)D.x∈U1-1A(x)1-1B(x)1-1C(x)=x∈U 1U(x)-x∈U 1A∪B∪C(x)【答案】BCD【解析】对于A,由于A⊆U,所以x∈U 1A(x)=x∈A 1A(x)+x∈∁u A 1A(x)=x∈A 1A(x),故x∈A 1A(x)=x∈U 1A(x),故A错误,对于B,若x∈A∩B,则1A∩B(x)=1,1A(x)=1,1A∪B(x)=1,此时满足1A∩B(x)≤1A(x)≤1A∪B(x),若x∈A且x∉B时,1A∩B(x)=0,1A(x)=1,1A∪B(x)=1,若x∈B且x∉A时,1A∩B(x)=0,1A(x)=0,1A∪B(x)=1,若x∉A且x∉B时,1A∩B(x)=0,1A(x)=0,1A∪B(x)=0,综上可得1A ∩B (x )≤1A (x )≤1A ∪B (x ),故B 正确,对于C ,x ∈U1A (x )+1B (x )-1A (x )1B (x ) =x ∈A ∩∁U B1A (x )+1B (x )-1A (x )1B (x )+x ∈B ∩∁U A1A (x )+1B (x )-1A (x )1B (x )+x ∈A ∩B1A (x )+1B (x )-1A (x )1B (x )+x ∈∁U A ∪B1A (x )+1B (x )-1A (x )1B (x )=x ∈A ∩∁U B1A (x )+1B (x )-1A (x )1B (x )+x ∈B ∩∁U A1A (x )+1B (x )-1A (x )1B (x )+x ∈A ∩B1A (x )+1B (x )-1A (x )1B (x )+x ∈∁U A ∪B=x ∈A ∪B1A (x )+1B (x )-1A (x )1B (x )而x ∈U1A ∪B (x )=x ∈A ∪B1A ∪B (x )+x ∈∁U A ∪B1A ∪B(x )=x ∈A ∪B1A ∪B (x ),由于1A ∪B x =1,x ∈A ∪B0,x ∈∁U A ∪B,所以1A (x )+1B (x )-1A (x )1B (x )=1A ∪B (x )故x ∈U1A ∪B (x )=x ∈U1A (x )+1B (x )-1A (x )1B (x ) ,C 正确,x ∈U1U (x )-x ∈U1A ∪B ∪C (x )=x ∈∁U A ∪B ∪C1U(x ),当x ∈A ∪B ∪C 时,此时1A (x ),1B (x ),I C (x )中至少一个为1,所以1-1A (x ) 1-1B (x ) 1-1C (x ) =0,当x ∉A ∪B ∪C 时,此时1A (x ),1B (x ),I C (x )均为0,所以1-1A (x ) 1-1B (x ) 1-1C (x ) =1,故x ∈U1-1A (x ) 1-1B (x ) 1-1C (x ) =x ∈∁U A ∪B ∪C1-1A (x )1-1B (x ) 1-1C (x ) =x ∈∁U A ∪B ∪C1U(x ),故D 正确,故选:BCD40(2024·浙江杭州·二模)已知函数f x 对任意实数x 均满足2f x +f x 2-1 =1,则()A.f -x =f xB.f 2 =1C.f -1 =13 D.函数f x 在区间2,3 上不单调【答案】ACD【解析】对于A ,令x 等价于-x ,则2f -x +f x 2-1 =1,所以f -x =f x =1-f x 2-1 2,故A 正确;对于B ,令x =1,则2f 1 +f 0 =1,令x =0,则2f 0 +f 1 =1,解得:f 0 =f 1 =13,令x =2,2f 2 +f 1 =1,则f 2 =13,故B 错误;对于C ,由A 知,f -x =f x ,所以f -1 =f 1 =13,故C 正确;对于D ,令x =x 2-1,所以x 2-x -1=0,解得:x =1±52,令x =1+52,则2f 1+52+f 1+52 =1,所以f 1+52 =13,因为1+52∈2,3 ,f 1+52 =f 2 =13,所以函数f x 在区间2,3 上不单调,故D 正确.故选:ACD .。
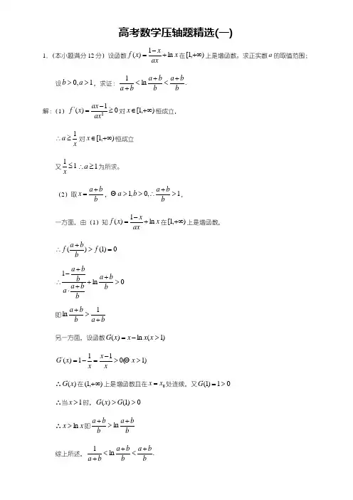
高考数学压轴题精选(一)1.(本小题满分12分)设函数x axxx f ln 1)(+-=在),1[+∞上是增函数。
求正实数a 的取值范围;设1,0>>a b ,求证:.ln 1bb a b b a b a +<+<+ 解:(1)01)(2'≥-=axax x f 对),1[+∞∈x 恒成立, xa 1≥∴对),1[+∞∈x 恒成立又11≤x1≥∴a 为所求。
(2)取b b a x +=,1,0,1>+∴>>bba b a Θ,一方面,由(1)知x axxx f ln 1)(+-=在),1[+∞上是增函数,0)1()(=>+∴f bba f 0ln 1>+++⋅+-∴b b a b b a a b ba即ba b b a +>+1ln另一方面,设函数)1(ln )(>-=x x x x G)1(0111)('>>-=-=x xx x x G Θ ∴)(x G 在),1(+∞上是增函数且在0x x =处连续,又01)1(>=G∴当1>x 时,0)1()(>>G x G∴x x ln >即bba b b a +>+ln 综上所述,.ln 1bb a b b a b a +<+<+2.已知椭圆C 的一个顶点为(0,1)A -,焦点在x 轴上,右焦点到直线10x y -+=(1)求椭圆C 的方程;(2)过点F (1,0)作直线l 与椭圆C 交于不同的两点A 、B ,设,(2,0)FA FB T λ=u u u r u u u r,若||],1,2[+--∈求λ的取值范围。
解:(1=1c =…………………1分由题意1,b a =∴=所以椭圆方程为2212x y +=………………………3分 (2)容易验证直线l 的斜率不为0。
故可设直线l 的方程为1x ky =+,2212x y +=代入中,得.012)2(22=-++ky y k设1122(,),(,),A x y B x y则22221+-=+k k y y .21221+-=k y y ……………………………5分 ∵,FB FA λ=∴有.021<=λλ,且y y222122212()414222y y k k y y k k λλ+∴=-⇒++=-++由021212125]1,2[≤++≤-⇒-≤+≤-⇒--∈λλλλλ.72072024212222≤≤⇒≤⇒≤+-≤-⇒k k k k …………7分∵).,4(),,2(),,2(21212211y y x x y x y x +-+=+∴-=-=又.2)1(42)(4,22222121221++-=-+=-+∴+-=+k k y y k x x k k y y 故2212212)()4(||y y x x ++-+=+222222222222)2(8)2(28)2(16)2(4)2()1(16+++-+=++++=k k k k k k k222)2(822816+++-=k k ……………………………………………………8分令720.2122≤≤+=k k t Θ∴21211672≤+≤k ,即].21,167[∈t ∴.217)47(816288)(||222--=+-==+t t t t f而]21,167[∈t ,∴169()[4,]32f t ∈∴].8213,2[||∈+TB TA ………………………………………………………10分3.设函数322()f x x ax a x m =+-+(0)a >(1)若1a =时函数()f x 有三个互不相同的零点,求m 的范围; (2)若函数()f x 在[]1,1-内没有极值点,求a 的范围;(3)若对任意的[]3,6a ∈,不等式()1f x ≤在[]2,2x ∈-上恒成立,求实数m 的取值范围. 解:(1)当1a =时32()f x x x x m =+-+,因为()f x 有三个互不相同的零点,所以32()0f x x x x m =+-+=, 即32m x x x =--+有三个互不相同的实数根。
2024年高考压轴卷【新高考卷】数学·全解全析一、单选题1.已知集合105x A x x ⎧⎫+=≥⎨⎬-⎩⎭,(){}22log 16B x y x ==-,则()R A B ⋂=ð()A .()1,4-B .[]1,4-C .(]1,5-D .()4,52.宋代是中国瓷器的黄金时代,涌现出了五大名窑:汝窑、官窑、哥窑、钧窑、定窑.其中汝窑被认为是五大名窑之首.如图1,这是汝窑双耳罐,该汝窑双耳罐可近似看成由两个圆台拼接而成,其直观图如图2所示.已知该汝窑双耳罐下底面圆的直径是12厘米,中间圆的直径是20厘米,上底面圆的直径是8厘米,高是14厘米,且上、下两圆台的高之比是3:4,则该汝窑双耳罐的体积是()A .1784π3B .1884π3C .2304π3D .2504π33.如图,左车道有2辆汽车,右车道有3辆汽车等待合流,则合流结束时汽车通过顺序共有()种.A .10B .20C .60D .120【答案】A【分析】合流结束时5辆车需要5个位置,第一步从5个位置选2个位置安排左边的2辆汽车,第二步剩下3个位置安排右边的3辆汽车,从而由分步乘法计数原理可得结果.【详解】设左车辆汽车依次为12,A A ,右车辆汽车依次为123,,B B B ,则通过顺序的种数等价于将12,A A 安排在5个顺序中的某两个位置(保持12,A A 前后顺序不变),123,,B B B 安排在其余3个位置(保持123,,B B B 前后顺序不变),123,,B B B ,所以,合流结束时汽车通过顺序共有2353C C 10=.故选:A.4.已知等比数列{}n a 的各项均为负数,记其前n 项和为n S ,若6467813,8S S a a a -=-=-,则2a =()A .-8B .-16C .-32D .-485.已知圆C :22()1x y m +-=,直线l :()1210m x y m ++++=,则直线l 与圆C 有公共点的必要不充分条件是()A .11m -≤≤B .112m -≤≤C .10m -≤≤D .102m ≤≤6.已知函数2()log f x x =,则对任意实数,a b ,“0a b +≤”是“()()0f a f b +≤”的()A .充分不必要条件B .必要不充分条件C .充要条件D .既不充分也不必要条件故选:C.7.已知0.50.2a =,cos2b =,lg15c =,则()A .a b c <<B .c a b <<C .b c a <<D .b a c<<8.从椭圆22:1(0)x y C a b a b+=>>外一点()00,P x y 向椭圆引两条切线,切点分别为,A B ,则直线AB 称作点P关于椭圆C 的极线,其方程为00221x x y ya b+=.现有如图所示的两个椭圆12,C C ,离心率分别为12,e e ,2C 内含于1C ,椭圆1C 上的任意一点M 关于2C 的极线为l ,若原点O 到直线l 的距离为1,则2212e e -的最大值为()A .12B .13C .15D .14二、多选题9.已知非零复数1z ,2z 在复平面内对应的点分别为1Z ,2Z ,O 为坐标原点,则下列说法正确的是()A .若1211z z -=-,则12=z z B .若1212z z z z +=-,则120OZ OZ ⋅=C .若1212z z z z +=-,则120z z ⋅=D .若1212z z z z +=+,则存在实数t ,使得21z tz =10.已知四面体ABCD的一个平面展开图如图所示,其中四边形AEFD是边长为B,C分别为AE,FD的中点,BD=)⊥A.BE CDB.BE与平面DCE所成角的余弦值为15C.四面体ABCD的内切球半径为30D.四面体ABCD的外接球表面积为8π【点睛】11.对于数列{}n a (N n a +∈),定义k b 为1a ,2a ,…,k a 中最大值(1,2,,k n =⋅⋅⋅)(N n +∈),把数列{}n b 称为数列{}n a 的“M 值数列”.如数列2,2,3,7,6的“M 值数列”为2,2,3,7,7,则()A .若数列{}n a 是递减数列,则{}n b 为常数列B .若数列{}n a 是递增数列,则有n na b =C .满足{}n b 为2,3,3,5,5的所有数列{}n a 的个数为8D .若()1()2N n n a n -+=-∈,记n S 为{}n b 的前n 项和,则1001002(21)3S =-三、填空题12.已知向量()1,1,4a b == ,且b 在a 上的投影向量的坐标为()2,2--,则a 与b的夹角为.13.已知公比q 大于1的等比数列{}n a 满足135a a +=,22a =.设22log 7n n b a =-,则当5n ≥时,数列{}n b 的前n 项和n S =.14.已知椭圆2222:1(0)x y C a b a b+=>>的左、右焦点分别为12,F F ,过点2F 且斜率为34-的直线与C 交于,A B两点.若112AF F F ⊥,则C 的离心率为;线段AB 的垂直平分线与x 轴交于点D ,则22BF DF =.5.【点睛】方法点睛:椭圆求离心率或者范围关键是找到关于,a c 的齐次式求得.四、解答题15.如图,在平面四边形ABCD ,已知1BC =,3cos 5BCD ∠=-.(1)若AC 平分BCD ∠,且2AB =,求AC 的长;(2)若45CBD ∠=︒,求CD 的长.16.如图,在三棱柱111ABC A B C -中,ABC △是边长为2的正三角形,侧面11BB C C 是矩形,11AA A B =.(1)求证:三棱锥1A ABC -是正三棱锥;(2)若三棱柱111ABC A B C -的体积为221AC 与平面11AA B B 所成角的正弦值.【答案】(1)证明见解析(2)23【分析】(1)根据线面垂直的判定定理及性质定理,证明1A O ⊥平面ABC 即可;(2)建立空间直角坐标系,利用向量法求线面角正弦即可.【详解】(1)分别取AB ,BC 中点D ,E ,连接CD ,AE 交于点O ,则点O 为正三角形ABC 的中心.因为11AA A B CA CB ==,得1CD AB AD AB ⊥⊥,,又11,,A D CD D A D CD =⊂ 平面1A CD ,所以AB ⊥平面1A CD ,又1A O ⊂平面1A CD ,则1AB A O ⊥;取11B C 中点1E ,连接111A E E E ,,则四边形11AA E E 是平行四边形,因为侧面11BB C C 是矩形,所以1BC EE ⊥,又BC AE ⊥,又11,,EE AE E EE AE =⊂ 平面11AA E E ,所以BC ⊥平面11AA E E ,又1A O ⊂平面11AA E E ,则1BC A O ⊥;又AB BC B ⋂=,,AB BC ⊂平面ABC ,所以1A O ⊥平面ABC ,所以三棱锥1A ABC -是正三棱锥.17.某学校为了解本学期学生参加公益劳动的情况,从学校内随机抽取了500名高中学生进行在线调查,收集了他们参加公益劳动时间(单位:小时)分配情况等数据,并将样本数据分成[0,2],(2,4],(4,6],(6,8],(8,10],(10,12],(12,14],(14,16],(16,18]九组,绘制成如图所示的频率分布直方图.(1)为进一步了解这500名学生参加公益劳动时间的分配情况,从参加公益劳动时间在(12,14],(14,16],(16,18]三组内的学生中,采用分层抽样的方法抽取了10人,现从这10人中随机抽取3人.记参加公益劳动时间在(14,16]内的学生人数为X ,求X 的分布列和期望;(2)以调查结果的频率估计概率,从该学校所有高中学生中随机抽取20名学生,用“20()P k ”表示这20名学生中恰有k 名学生参加公益劳动时间在(10,12](单位:小时)内的概率,其中0,1,2,,20k = .当20()P k 最大时,写出k 的值.18.已知双曲线(22:10,0x y C a b a b-=>>)的左右焦点分别为12,F F ,C 的右顶点到直线2:a l x c =的距离为1,双曲线右支上的点到1F 的最短距离为3(1)求双曲线C 的方程;(2)过2F 的直线与C 交于M 、N 两点,连接1MF 交l 于点Q ,证明:直线QN 过x 轴上一定点.【点睛】方法点睛:求解直线过定点问题常用方法如下:(1)“特殊探路,一般证明(2)“一般推理,特殊求解”:即设出定点坐标,根据题设条件选择参数,建立一个直线系或曲线的方程,再根据参数的任意性得到一个关于定点坐标的方程组,以这个方程组的解为坐标的点即为所求点;(3)求证直线过定点()00,x y ,常利用直线的点斜式方程()00y y k x x -=-或截距式y kx b =+来证明.19.函数()e xf x a x=-图像与x 轴的两交点为()()()1221,0,0A x B x x x >,(1)令()()ln h x f x x x =-+,若()h x 有两个零点,求实数a 的取值范围;(2)证明:121x x <;(3)证明:当5a ≥时,以AB 为直径的圆与直线)1y x =+恒有公共点.(参考数据:0.25 2.5e 1.3e 12.2≈≈,)。
1. 已知函数f(x) = x^3 - 3x^2 + 2x + 1,若存在实数a,使得f(a) = 0,则f'(a)的值为()A. -1B. 0C. 1D. 22. 设A、B是两个非空集合,且A∩B=∅,则下列结论正确的是()A. A∪B=∅B. A∩B=∅C. A∪B=∅,A∩B≠∅D. A∪B≠∅,A∩B=∅3. 已知数列{an}是等差数列,若a1+a4+a7=12,a1+a5+a9=27,则数列{an}的公差d为()A. 3B. 4C. 5D. 64. 在锐角三角形ABC中,∠A=30°,∠B=60°,若BC=2,则AC的取值范围是()A. (2,4]B. [2,4]C. (2,4)D. [2,4)5. 已知等比数列{an}的公比为q(q≠1),若a1+a2+a3=9,a4+a5+a6=81,则q的值为()B. 3C. 4D. 66. 设f(x) = x^3 - 3x^2 + 2x + 1,g(x) = |x-1|,则f(x)在[0,2]上的最大值为()A. 2B. 3C. 4D. 57. 已知数列{an}是等差数列,若a1+a4+a7=12,a1+a5+a9=27,则数列{an}的前n项和Sn为()A. n(n+1)B. n(n+2)C. n(n+3)D. n(n+4)8. 在锐角三角形ABC中,∠A=30°,∠B=60°,若BC=2,则AC的取值范围是()A. (2,4]B. [2,4]C. (2,4)D. [2,4)9. 已知等比数列{an}的公比为q(q≠1),若a1+a2+a3=9,a4+a5+a6=81,则q的值为()A. 2C. 4D. 610. 设f(x) = x^3 - 3x^2 + 2x + 1,g(x) = |x-1|,则f(x)在[0,2]上的最大值为()A. 2B. 3C. 4D. 5二、解答题11. 已知函数f(x) = x^3 - 3x^2 + 2x + 1,求f(x)在[-1,3]上的最大值和最小值。
一、(20分)已知函数$f(x) = x^3 - 3x + 1$,求以下各题:(1)求函数$f(x)$的极值;(2)求函数$f(x)$在区间$[-2, 2]$上的最大值和最小值。
答案:(1)首先,求函数$f(x)$的导数$f'(x)$:$$f'(x) = 3x^2 - 3$$令$f'(x) = 0$,解得$x = -1$和$x = 1$。
接下来,判断这两个极值点处的极值。
当$x < -1$时,$f'(x) > 0$,函数$f(x)$单调递增;当$-1 < x < 1$时,$f'(x) < 0$,函数$f(x)$单调递减;当$x > 1$时,$f'(x) > 0$,函数$f(x)$单调递增。
因此,$x = -1$是函数$f(x)$的极大值点,$x = 1$是函数$f(x)$的极小值点。
计算极大值和极小值:$$f(-1) = (-1)^3 - 3(-1) + 1 = 3$$$$f(1) = 1^3 - 3(1) + 1 = -1$$所以,函数$f(x)$的极大值为3,极小值为-1。
(2)求函数$f(x)$在区间$[-2, 2]$上的最大值和最小值。
首先,计算区间端点处的函数值:$$f(-2) = (-2)^3 - 3(-2) + 1 = 13$$$$f(2) = 2^3 - 3(2) + 1 = -1$$然后,比较区间端点处的函数值和极值点的函数值。
在区间$[-2, 2]$上,函数$f(x)$的最大值为13,最小值为-1。
综上,本题的答案为:(1)函数$f(x)$的极大值为3,极小值为-1;(2)函数$f(x)$在区间$[-2, 2]$上的最大值为13,最小值为-1。
决胜3.已知函数,曲线在处的切线方程为.()2e xf x ax =-()y f x =()()1,1f 1y bx =+(1)求的值:,a b (2)求在上的最值;()f x []0,1(3)证明:当时,.0x >()e 1e ln 0x x x x +--≥4.已知函数,.()()ln 1f x x x a x =-++R a ∈(1)若,求函数的单调区间;1a =()f x (2)若关于的不等式在上恒成立,求的取值范围;x ()2f x a≤[)2,+∞a (3)若实数满足且,证明.b 21a b <-+1b >()212ln f x b <-5.椭圆的离心率是,点是椭圆上一点,过点2222:1(0)x y E a b a b +=>>22()2,1M E 的动直线与椭圆相交于两点.()0,1P l ,A B (1)求椭圆的方程;E (2)求面积的最大值;AOB (3)在平面直角坐标系中,是否存在与点不同的定点,使恒成立?存在,xOy P Q QA PAQB PB=求出点的坐标;若不存在,请说明理由.Q 6.已知函数,.()21ln 2f x a x x⎛⎫=-+ ⎪⎝⎭()()()2R g x f x ax a =-∈(1)当时,0a =(i )求曲线在点处的切线方程;()y f x =()()22f ,(ii )求的单调区间及在区间上的最值;()f x 1,e e ⎡⎤⎢⎥⎣⎦(2)若对,恒成立,求a 的取值范围.()1,x ∀∈+∞()0g x <(1)求抛物线的表达式和的值;,t k (2)如图1,连接AC ,AP ,PC ,若△APC 是以(3)如图2,若点P 在直线BC 上方的抛物线上,过点的最大值.12CQ PQ +(1)【基础训练】请分别直接写出抛物线的焦点坐标和准线l 的方程;22y x =(2)【技能训练】如图2所示,已知抛物线上一点P 到准线l 的距离为6,求点P 的坐218y x =标;(3)【能力提升】如图3所示,已知过抛物线的焦点F 的直线依次交抛物线及准()20y ax a =>线l 于点,若求a 的值;、、A B C 24BC BF AF ==,(4)【拓展升华】古希腊数学家欧多克索斯在深入研究比例理论时,提出了分线段的“中末比”问题:点C 将一条线段分为两段和,使得其中较长一段是全线段与另一AB AC CB AC AB 段的比例中项,即满足:,后人把这个数称为“黄金分割”,把CB 512AC BC AB AC -==512-点C 称为线段的黄金分割点.如图4所示,抛物线的焦点,准线l 与y 轴AB 214y x=(0,1)F 交于点,E 为线段的黄金分割点,点M 为y 轴左侧的抛物线上一点.当(0,1)H -HF 时,求出的面积值.2MH MF=HME 10.已知双曲线的一条渐近线方程的倾斜角为,焦距为4.2222:1(0,0)x y C a b a b -=>>60︒(1)求双曲线的标准方程;C (2)A 为双曲线的右顶点,为双曲线上异于点A 的两点,且.C ,M N C AM AN ⊥①证明:直线过定点;MN ②若在双曲线的同一支上,求的面积的最小值.,M N AMN(1)试用解析几何的方法证明:(2)如果将圆分别变为椭圆、双曲线或抛物线,你能得到类似的结论吗?13.对于数集(为给定的正整数),其中,如果{}121,,,,n X x x x =-2n ≥120n x x x <<<< 对任意,都存在,使得,则称X 具有性质P .,a b X ∈,c d X ∈0ac bd +=(1)若,且集合具有性质P ,求x 的值;102x <<11,,,12x ⎧⎫-⎨⎬⎩⎭(2)若X 具有性质P ,求证:;且若成立,则;1X ∈1n x >11x =(3)若X 具有性质P ,且,求数列的通项公式.2023n x =12,,,n x x x 14.已知,是的导函数,其中.()2e xf x ax =-()f x '()f x R a ∈(1)讨论函数的单调性;()f x '(2)设,与x 轴负半轴的交点为点P ,在点P()()()2e 11x g x f x x ax =+-+-()y g x =()y g x =处的切线方程为.()y h x =①求证:对于任意的实数x ,都有;()()g x h x ≥②若关于x 的方程有两个实数根,且,证明:()()0g x t t =>12,x x 12x x <.()2112e 11e t x x --≤+-15.在平面直角坐标系中,一动圆经过点且与直线相切,设该动圆圆心xOy 1,02A ⎛⎫ ⎪⎝⎭12x =-的轨迹为曲线K ,P 是曲线K 上一点.(1)求曲线K 的方程;(2)过点A 且斜率为k 的直线l 与曲线K 交于B 、C 两点,若且直线OP 与直线交//l OP 1x =于Q 点.求的值;||||AB ACOP OQ ⋅⋅(3)若点D 、E 在y 轴上,的内切圆的方程为,求面积的最小值.PDE △()2211x y -+=PDE △16.已知椭圆C :,四点中恰有三()222210x y a b a b +=>>()()1234331,1,0,1,1,,1,22P P P P ⎛⎫⎛⎫- ⎪ ⎪ ⎪ ⎪⎝⎭⎝⎭点在椭圆C 上.(1)求椭圆C 的方程;(2)设直线l 不经过P 2点且与C 相交于A ,B 两点,若直线与直线的斜率的和为,2P A 2P B 1-证明:l 过定点.18.给定正整数k ,m ,其中,如果有限数列同时满足下列两个条件.则称2m k ≤≤{}n a 为数列.记数列的项数的最小值为.{}n a (,)k m -(,)k m -(,)G k m 条件①:的每一项都属于集合;{}n a {}1,2,,k 条件②:从集合中任取m 个不同的数排成一列,得到的数列都是的子列.{}1,2,,k {}n a 注:从中选取第项、第项、…、第项()形成的新数列{}n a 1i 2i 5i 125i i i <<<…称为的一个子列.325,,,i i i a a a ⋯{}n a (1)分别判断下面两个数列,是否为数列.并说明理由!(33)-,数列;1:1,2,3,1,2,3,1,2,3A 数列.2:1,2,3,2,1,3,1A (2)求的值;(),2G k (3)求证.234(,)2k k G k k +-≥答案:1.(1)极大值为,无极小值2e (2)证明见解析【分析】(1)求导,根据导函数的符号结合极值的定义即可得解;(2)构造函数,利用导数求出函数的最小值,再()21()()()2ln 12F x f x g x x x x x x =+=+->证明即可或者转换不等式为,通过构造函数可得证.()min0F x >()112ln 012x x x +->>【详解】(1)的定义域为,,()f x (0,)+∞()2(1ln )f x x '=-+当时,,当时,,10e x <<()0f x '>1e x >()0f x '<所以函数在上单调递增,在上单调递减,()f x 10,e ⎛⎫ ⎪⎝⎭1,e ⎛⎫+∞ ⎪⎝⎭故在处取得极大值,()f x 1e x =12e e f ⎛⎫= ⎪⎝⎭所以的极大值为,无极小值;()f x 2e (2)设,()21()()()2ln 12F x f x g x x x x x x =+=+->解法一:则,()2ln 1F x x x '=--令,,()()2ln 11h x x x x =-->22()1x h x x x -'=-=当时,,单调递减,当时,,单调递增,12x <<()0h x '<()h x 2x >()0h x '>()h x 又,,,(2)1ln 40h =-<(1)0h =(4)32ln 40h =->所以存在,使得,即.0(2,4)x ∈0()0h x =002ln 10x x --=当时,,即,单调递减,01x x <<()0h x <()0F x '<()F x 当时,,即,单调递增,0x x >()0h x >()0F x '>()F x 所以当时,在处取得极小值,即为最小值,1x >()F x 0x x =故,22000000(11()()12ln )222F x F x x x x x x ≥=+-=-+设,因为,2000122()p x x x =-+0(2,4)x ∈由二次函数的性质得函数在上单调递减,2000122()p x x x =-+(2,4)故,0()(4)0p x p >=所以当时,,即.1x >()0F x >()()0f x g x +>解法二:要证,即证,()0F x >()1()12ln 012p x x x x =+->>因为,所以当时,,单调递减,()124()122x p x x x x -'=-=>()1,4x ∈()0p x '<()p x 当时,,单调递增,()4,x ∞∈+()0p x '>()p x 所以,所以,即.()()4212ln 434ln 20p x p ≥=+-=->()0F x >()()0f x g x +>方法点睛:利用导数证明不等式问题,方法如下:(1)直接构造函数法:证明不等式(或)转化为证明()()f xg x >()()f xg x <(或),进而构造辅助函数;()()0f xg x ->()()0f xg x -<()()()h x f x g x =-(2)适当放缩构造法:一是根据已知条件适当放缩;二是利用常见放缩结论;(3)构造“形似”函数,稍作变形再构造,对原不等式同解变形,根据相似结构构造辅助函数.2.(1)0(2)证明详见解析(3)2a ≤【分析】(1)利用导数求得的最小值.()g x (2)根据(1)的结论得到,利用放缩法以及裂项求和法证得不等式成立.2211ln 1n n ⎛⎫+≤ ⎪⎝⎭(3)由不等式分离参数,利用构造函数法,结合导数求得的取ln (2)10xx x x a x -+--≥a a 值范围.【详解】(1)依题意,,()21ln (,0)2f x x x x t t x =-+∈>R 所以,()()()()ln 1ln 10g x f x x x x x x '==-+=-->,所以在区间上单调递减;()111x g x x x -'=-=()g x ()0,1()()0,g x g x '<在区间上单调递增,()1,+∞()()0,g x g x '>所以当时取得最小值为.1x =()g x ()11ln110g =--=(2)要证明:对任意正整数,都有,(2)n n ≥222211111111e 234n ⎛⎫⎛⎫⎛⎫⎛⎫+⋅+⋅++< ⎪ ⎪ ⎪ ⎪⎝⎭⎝⎭⎝⎭⎝⎭ 即证明,22221111ln 1111ln e234n ⎡⎤⎛⎫⎛⎫⎛⎫⎛⎫+⋅+⋅++< ⎪ ⎪ ⎪ ⎪⎢⎥⎝⎭⎝⎭⎝⎭⎝⎭⎣⎦ 即证明,222111ln 1ln 1ln 1123n ⎛⎫⎛⎫⎛⎫++++++< ⎪ ⎪ ⎪⎝⎭⎝⎭⎝⎭ 由(1)得,即()()()10f xg x g '=≥=ln 10,ln 1x x x x --≥≤-令,所以, *211,2,N x n n n =+≥∈222111ln 111n n n ⎛⎫+≤+-= ⎪⎝⎭所以222222111111ln 1ln 1ln 12323n n ⎛⎫⎛⎫⎛⎫++++++≤+++ ⎪ ⎪ ⎪⎝⎭⎝⎭⎝⎭ ,()111111111122312231n n n n <+++=-+-++-⨯⨯-- 111n=-<所以对任意正整数,都有.(2)n n ≥222211111111e 234n ⎛⎫⎛⎫⎛⎫⎛⎫+⋅+⋅++< ⎪ ⎪ ⎪ ⎪⎝⎭⎝⎭⎝⎭⎝⎭ (3)若不等式恒成立,此时,ln (2)10xx x x a x -+--≥0x >则恒成立,ln 21x x x x x a x -+-≤令,()ln 21xx x x x h x x -+-=令,()()()e 10,e 10x x u x x x u x '=--≥=-≥所以在区间上单调递增,()u x[)0,∞+所以,当时等号成立,()0e 010,e 10,e 1x x u x x x ≥--=--≥≥+0x =所以,()ln e ln 21ln 1ln 212x x x x x x x x x x h x x x -+-+-+-=≥=当时等号成立,所以.ln 0,1x x x ==2a ≤利用导数求函数的最值的步骤:求导:对函数进行求导,得到它的导函数.导函数()f x ()f x '表示了原函数在不同点处的斜率或变化率.找出导数为零的点:解方程,找到使得导()0f x '=数为零的点,这些点被称为临界点,可能是函数的极值点(包括最大值和最小值),检查每个临界点以及区间的端点,并确认它们是否对应于函数的最值.3.(1),1a =e 2b =-(2);()max e 1f x =-()min 1f x =(3)证明见解析【分析】(1)利用切点和斜率列方程组,由此求得.,a b (2)利用多次求导的方法求得在区间上的单调性,由此求得在上的最值.()f x []0,1()f x []0,1(3)先证明时,,再结合(2)转化为,从0x >()()e 21f x x ≥-+()21e ln e x x x x x+--≥+而证得不等式成立.【详解】(1),()e 2x f x ax'=-∴,解得:,;()()1e 21e 1f a b f a b ⎧=-=⎪⎨=-=+'⎪⎩1a =e 2b =-(2)由(1)得:,()2e xf x x =-,令,则,()e 2x f x x '=-()e 2x h x x=-()e 2x h x '=-是增函数,令解得.()h x ()0h x '=ln 2x =∴,也即在上单调递减,()h x ()f x '()0,ln2()()0,h x h x '<在上单调递增,()ln2,+∞()()0,h x h x '>∴,∴在递增,()()ln 2ln222ln20h f ==->'()f x []0,1∴;;()()max 1e 1f x f ==-()()min 01f x f ==(3)∵,由(2)得过,()01f =()f x ()1,e 1-且在处的切线方程是,()y f x =1x =()e 21y x =-+故可猜测且时,的图象恒在切线的上方,0x >1x ≠()f x ()e 21y x =-+下面证明时,,设,,0x >()()e 21f x x ≥-+()()()e 21g x f x x =---()0x >∴,∴令,()()e 2e 2x g x x =---'()()()e 2e 2x x x g m x '--==-,()e 2x m x '=-由(2)得:在递减,在递增,()g x '()0,ln2()ln2,+∞∵,,,∴,()03e 0g '=->()10g '=0ln21<<()ln20g '<∴存在,使得,()00,1x ∈()0g x '=∴时,,时,,()()00,1,x x ∈⋃+∞()0g x '>()0,l x x ∈()0g x '<故在递增,在递减,在递增.()g x ()00,x ()0,1x ()1,+∞又,∴当且仅当时取“”,()()010g g ==()0g x ≥1x ==()()2e e 210x g x x x =----≥故,,由(2)得:,故,()e e 21x x xx+--≥0x >e 1x x ≥+()ln 1x x ≥+∴,当且仅当时取“=”,∴,1ln x x -≥1x =()e e 21ln 1x x x x x+--≥≥+即,∴,()21ln 1e e x x x x+--≥+()21e ln e x x x x x+--≥+即成立,当且仅当时“=”成立.()1ln 10e e x x x x +---≥1x =求解切线的有关的问题,关键点就是把握住切点和斜率.利用导数研究函数的单调性,如果一次求导无法求得函数的单调性时,可以考虑利用多次求导来进行求解.利用导数证明不等式恒成立,如果无法一步到位的证明,可以先证明一个中间不等式,然后再证得原不等式成立.4.(1)单调增区间为,单调减区间为;()0,1()1,+∞(2)(],2ln 2-∞(3)证明见解析【分析】(1)求导,再根据导函数的符号即可得解;(2)分离参数可得,构造函数,利用导数求出函数的最小ln 1x x a x ≤-ln (),21x xg x x x =≥-()g x 值即可得解;(3)由,得,则,要证21a b <-+21a b -<-2112()(e )e e 1a a b f x f a b ---≤=+<-+,即证,即证,构造函数()212ln f x b<-222e112ln bb b --+<-22212ln 0eb b b +-<,证明即可.()()()12ln e x h x x x x =>-()1h x <-【详解】(1)当时,,1a =()ln 1,0f x x x x x =-++>,由,得,由,得,()ln f x x '=-()0f x '>01x <<()0f x '<1x >故的单调增区间为,单调减区间为;()f x ()0,1()1,+∞(2),()ln 2,1x xf x a a x ≤∴≤- 令,ln (),21x x g x x x =≥-则,21ln ()(1)x xg x x --'=-令,则,()ln 1t x x x =-+11()1xt x x x -'=-=由,得,由,得,()0t x '>01x <<()0t x '<1x >故在递增,在递减,,()t x ()0,1()1,+∞max ()(1)0t x t ==,所以,()0t x ∴≤ln 1≤-x x 在上单调递增,,()0,()g x g x '≥∴[)2,+∞()min ()2g x g ∴=,(2)2ln 2a g ∴≤=的取值范围;a ∴(],2ln 2-∞(3),221,1b a b a <-+∴-<- 又,在上递增,11()(e )e a a f x f a --≤=+1e a y a -=+ R a ∈所以,2112()(e )e e 1a a b f x f a b ---≤=+<-+下面证明:,222e 112ln b b b --+<-即证,22212ln 0ebb b +-<令,则,21x b =>12ln 0e x x x +-<即,(2ln )e 1xx x -⋅<-令,则,()()()12ln e xh x x x x =>-()22ln 1e xh x x x x '⎛⎫=-+-⋅ ⎪⎝⎭令,则,()2()2ln 11x x x x x ϕ=-+->()()2221122()101x x x x x x ϕ---=--=<>∴函数在上单调递减,()x ϕ()1,+∞,()(1)0x ϕϕ∴<=在递减,()()0,h x h x '∴<(1,)+∞,()()1e 1h x h ∴<=-<-所以.()212ln f x b <-方法点睛:利用导数证明不等式问题,方法如下:(1)直接构造函数法:证明不等式(或)转化为证明()()f xg x >()()f xg x <(或),进而构造辅助函数;()()0f xg x ->()()0f xg x -<()()()h x f x g x =-(2)适当放缩构造法:一是根据已知条件适当放缩;二是利用常见放缩结论;(3)构造“形似”函数,稍作变形再构造,对原不等式同解变形,根据相似结构构造辅助函数.5.(1)22142x y +=(2)2(3)存在,.()0,2Q 【分析】(1)由离心率及过点列方程组求解.()2,1M,a b (2)设直线为与椭圆方程联立,将表达为的函数,由基本不l 1y kx =+1212AOB S x x =⋅- k 等式求最大值即可.(3)先讨论直线水平与竖直情况,求出,设点关于轴的对称点,证得()0,2Q B y B '三点共线得到成立.,,Q A B 'QA PAQB PB=【详解】(1)根据题意,得,解得,椭圆C 的方程为.2222222211c a a b c a b ⎧=⎪⎪⎪=+⎨⎪⎪+=⎪⎩222422a b c ⎧=⎪=⎨⎪=⎩22142x y +=(2)依题意,设,直线的斜率显然存在,()()1122,,,A x y B x y l 故设直线为,联立,消去,得,l 1y kx =+221142y kx x y =+⎧⎪⎨+=⎪⎩y ()2212420k x kx ++-=因为直线恒过椭圆内定点,故恒成立,,l ()0,1P 0∆>12122242,1212k x x x x k k +=-=-++故,()2221212221224212111214414222122AOBk S x x x x x x k k k k ⋅+⎛⎫⎛⎫=⋅=⨯-=⨯-⨯= ⎪ ⎪+⎝-+-⎝++⎭⎭- 令,所以,当且仅当,即时取得214,1t k t =+≥22222211AOB t S t t t=×=×£++1t =0k =等号,综上可知:面积的最大值为.AOB 2(3)当平行于轴时,设直线与椭圆相交于两点,如果存在点满足条件,l x ,C D Q 则有,即,所以点在轴上,可设的坐标为;||||1||||QC PC QD PD ==QC QD =Q y Q ()00,y 当垂直于轴时,设直线与椭圆相交于两点,如果存在点满足条件,l x ,M N Q 则有,即,解得或,||||||||QM PM QN PN =00221212y y --=++01y =02y =所以若存在不同于点的定点满足条件,则点的坐标为;P Q Q ()0,2当不平行于轴且不垂直于轴时,设直线方程为,l x x l 1y kx =+由(2)知,12122242,1212k x x x x k k --+==++又因为点关于轴的对称点的坐标为,B y B '()22,x y -又,,11111211QA y kx k k x x x --===-22222211QB y kx k k x x x '--===-+--.方法点睛:直线与椭圆0Ax By C ++=时,取得最大值2222220a A b B C +-=MON S 6.(1)(i );(322ln 220x y +--=(2)11,22⎡⎤-⎢⎥⎣⎦故曲线在点处的切线方程为,()y f x =()()22f ,()()32ln 222y x --+=--即;322ln 220x y +--=(ii ),,()21ln 2f x x x =-+()0,x ∈+∞,()211x f x x x x -'=-+=令,解得,令,解得,()0f x ¢>()0,1x ∈()0f x '<()1,x ∈+∞当时,,1,e e x ⎡⎤∈⎢⎥⎣⎦()()max 112f x f ==-又,,221111ln 1e 2e e 2e f ⎛⎫=-+=-- ⎪⎝⎭()2211e e ln e e 122f =-+=-+其中,()222211111e 1e 1e 20e 2e 222ef f ⎛⎫⎛⎫-=----+=--> ⎪ ⎪⎝⎭⎝⎭故,()()2min 1e e 12f x f ==-+故的单调递增区间为,单调递减区间为;()f x ()0,1()1,+∞在区间上的最大值为,最小值为;()f x 1,e e ⎡⎤⎢⎥⎣⎦12-21e 12-+(2),()21ln 22xg x a x x a ⎭-+⎛=⎪-⎫ ⎝对,恒成立,()1,x ∀∈+∞21ln 202a x x ax ⎛⎫-+-< ⎪⎝⎭变形为对恒成立,ln 122x a xa x<--⎛⎫ ⎪⎝⎭()1,x ∀∈+∞令,则,()(),1,ln x h x x x ∈=+∞()21ln xh x x -'=当时,,单调递增,()1,e x ∈()0h x '>()ln xh x x =当时,,单调递减,()e,+x ∈∞()0h x '<()ln xh x x =其中,,当时,恒成立,()10h =()ln e 1e e e h ==1x >()ln 0x h x x =>故画出的图象如下:()ln x h x x =其中恒过点122y xa a ⎛⎫ ⎪⎝=⎭--(2,1A 又,故在()210111h -'==()ln x h x x =又在上,()2,1A 1y x =-()对于2111644y x x =-+-∴点,即()0,6C -6OC =∵2114,14P m m m ⎛-+- ⎝∴点,3,64N m m ⎛⎫- ⎪⎝⎭∴,22111316624444PN m m m m m⎛⎫=-+---=-+ ⎪⎝⎭∵轴,PN x ⊥∴,//PN OC ∴,PNQ OCB ∠=∠∴,Rt Rt PQN BOC ∴,PN NQ PQ BC OC OB ==∵,8,6,10OB OC BC ===∴,34,55QN PN PQ PN==∵轴,NE y ⊥∴轴,//NE x ∴,CNE CBO ∴,5544CN EN m ==∴,2215111316922444216CQ PQ m m m m ⎛⎫+=-+=--+⎪⎝⎭当时,取得最大值.132m =12CQ PQ+16916关键点点睛:熟练的掌握三角形相似的判断及性质是解决本题的关键.8.(1)详见解析;(2)①具有性质;理由见解析;②P 1346【分析】(1)当时,先求得集合,由题中所给新定义直接判断即可;10n =A (2)当时,先求得集合, 1010n =A ①根据,任取,其中,可得,{}2021|T x x S =-∈02021t x T =-∈0x S ∈0120212020x ≤-≤利用性质的定义加以验证,即可说明集合具有性质;P T P ②设集合有个元素,由(1)可知,任给,,则与中必有个S k x S ∈12020x ≤≤x 2021x -1不超过,从而得到集合与中必有一个集合中至少存在一半元素不超过,然后利1010S T 1010用性质的定义列不等式,由此求得的最大值.P k【详解】(1)当时,,10n ={}1,2,,19,20A = 不具有性质,{}{}|910,11,12,,19,20B x A x =∈>= P 因为对任意不大于的正整数,10m 都可以找到该集合中的两个元素与,使得成立,110b =210b m =+12||b b m -=集合具有性质,{}*|31,N C x A x k k =∈=-∈P 因为可取,对于该集合中任一元素,110m =<,(),都有.112231,31c k c k =-=-*12,N k k ∈121231c c k k -=-≠(2)当时,集合,1010n ={}()*1,2,3,,2019,2020,1010N A m m =≤∈ ①若集合具有性质,那么集合一定具有性质.S P {}2021|T x x S =-∈P 首先因为,任取,其中.{}2021|T x x S =-∈02021t x T =-∈0x S ∈因为,所以.S A ⊆{}01,2,3,,2020x ∈ 从而,即,所以.0120212020x ≤-≤t A ∈T A ⊆由具有性质,可知存在不大于的正整数,S P 1010m 使得对中的任意一对元素,都有.s 12,s s 12s s m -≠对于上述正整数,从集合中任取一对元素,m {}2021|T x x S =-∈112021t x -=,其中,则有.222021t x =-12,x x S ∈1212t t s s m --≠=所以,集合具有性质P ;{}2021|T x x S =-∈②设集合有个元素,由(1)可知,若集合具有性质,S k S P 那么集合一定具有性质.{}2021|T x x S =-∈P 任给,,则与中必有一个不超过.x S ∈12020x ≤≤x 2021x -1010所以集合与中必有一个集合中至少存在一半元素不超过.S T 1010不妨设中有个元素不超过.S 2k t t ⎛⎫≥ ⎪⎝⎭12,,,t b b b 1010由集合具有性质,可知存在正整数.S P 1010m ≤使得对中任意两个元素,都有.S 12,s s 12s s m -≠所以一定有.12,,,t b m b m b m S +++∉ 又,故.100010002000i b m +≤+=121,,,b m b m b m A +++∈ 即集合中至少有个元素不在子集中,A t S 因此,所以,得.20202k k k t +≤+≤20202k k +≤1346k ≤当时,取,{}1,2,,672,673,,1347,,2019,2020S = 673m =则易知对集合中的任意两个元素,都有,即集合具有性质.S 12,y y 12673y y -≠S P 而此时集合S 中有个元素,因此,集合元素个数的最大值为.1346S 1346解新定义题型的步骤:(1)理解“新定义”——明确“新定义”的条件、原理、方法、步骤和结论.(2)重视“举例”,利用“举例”检验是否理解和正确运用“新定义”;归纳“举例”提供的解题方法.归纳“举例”提供的分类情况.(3)类比新定义中的概念、原理、方法,解决题中需要解决的问题.9.(1),10,8⎛⎫ ⎪⎝⎭18y =-(2)或()42,4()42,4-(3)14a =(4)或51-35-【分析】(1)根据焦点和准线方程的定义求解即可;(2)先求出点P 的纵坐标为4,然后代入到抛物线解析式中求解即可;(3)如图所示,过点B 作轴于D ,过点A 作轴于E ,证明,推BD y ⊥AE y ⊥FDB FHC ∽出,则,点B 的纵坐标为,从而求出,证明16FD a =112OD OF DF a =-=112a 36BD a =,即可求出点A 的坐标为,再把点A 的坐标代入抛物线解析式AEF BDF ∽123,24a ⎛⎫ ⎪⎝+⎭-中求解即可;(4)如图,当E 为靠近点F 的黄金分割点的时候,过点M 作于N ,则,MN l ⊥MN MF=先证明是等腰直角三角形,得到,设点M 的坐标为,则MNH △NH MN=21,4m m ⎛⎫⎪⎝⎭过点B 作轴于D ,过点BD y ⊥由题意得点F 的坐标为F ⎛ ⎝1FH =当E 为靠近点F 的黄金分割点的时候,过点∵在中,Rt MNH △sin MHN ∠∴,∴是等腰直角三角形,45MHN ︒=MNH △双曲线方程联立,利用韦达定理及题目条件可得,后由题意可得AM AN ⋅= ()()222131t t m -+=-所过定点坐标;②结合①及图形可得都在左支上,则可得,后由图象可得,M N 213m <,后通过令,结合单调性229113m S m +=-223113m λλ⎛⎫+=≤< ⎪⎝⎭()423313f x x x x ⎛⎫=-≤< ⎪⎝⎭可得答案.【详解】(1)设双曲线的焦距为,C 2c 由题意有解得.2223,24,,ba c c ab ⎧=⎪⎪=⎨⎪=+⎪⎩1,3,2a b c ===故双曲线的标准方程为;C 2213y x -=(2)①证明:设直线的方程为,点的坐标分别为,MN my x t =+,M N ()()1122,,,x y x y 由(1)可知点A 的坐标为,()1,0联立方程消去后整理为,2213y x my x t ⎧-=⎪⎨⎪=+⎩x ()222316330m y mty t --+-=可得,2121222633,3131mt t y y y y m m -+==--,()212122262223131m t tx x m y y t t m m +=+-=-=--,()()()()222222222121212122223363313131m t m t m t x x my t my t m y y mt y y t t m m m -+=--=-++=-+=----由,()()11111,,1,AM x y AN x y =-=-有()()()1212121212111AM AN x x y y x x x x y y ⋅=--+=-+++,()()()()22222222222222222132331313131313131t t t t t t m t t t m m m m m m -----++-=--++===------由,可得,有或,AM AN ⊥0AM AN ⋅=1t =-2t =当时,直线的方程为,过点,不合题意,舍去;1t =-MN 1my x =-()1,0当时,直线的方程为,过点,符合题意,2t =MN 2my x =+()2,0-②由①,设所过定点为121224,31x x x x m +==-若在双曲线的同一支上,可知,M N 有12240,31x x x m +=<-关键点睛:求直线所过定点常采取先猜后证或类似于本题处理方式,设出直线方程,通过题一方面:由以上分析可知,设椭圆方程为一方面:同理设双曲线方程为()22221y m x a b +-=,()2222221b x a k x m a b -+=化简并整理得()(2222222112ba k x a mk x a m ---+一方面:同理设抛物线方程为(22x p y =,()212x p k x n =+化简并整理得,由韦达定理可得12220pk x x pn --=2,2x x pk x x pn +=⋅=-(2)构造,故转化为等价于“对任()()()()()13131931x x xx f x k k g x f x +--==+++()()()123g x g x g x +>意,,恒成立”,换元后得到(),分,和1x 2x 3R x ∈()()11k g x q t t -==+3t ≥1k >1k =三种情况,求出实数k 的取值范围.1k <【详解】(1)由条件①知,当时,有,即在R 上单调递增.12x x <()()12f x f x <()f x 再结合条件②,可知存在唯一的,使得,从而有.0R x ∈()013f x =()093x x f x x --=又上式对成立,所以,R x ∀∈()00093x x f x x --=所以,即.0001393x x x --=0009313x x x ++=设,因为,所以单调递增.()93x x x xϕ=++()9ln 93ln 310x x x ϕ'=++>()x ϕ又,所以.()113ϕ=01x =所以;()931x x f x =++(2)构造函数,()()()()()13131931x x xx f x k k g x f x +--==+++由题意“对任意的,,,1x 2x 3R x ∈均存在以,,为三边长的三角形”()()()11113x f x k f x +-()()()22213x f x k f x +-()()()33313x f x k f x +-等价于“对任意,,恒成立”.()()()123g x g x g x +>1x 2x 3R x ∈又,令,()111313x x k g x -=+++1131231333x x x x t ⋅=++≥+=当且仅当时,即时取等号,91x=0x =则(),()()11k g x q t t -==+3t ≥当时,,因为且,1k >()21,3k g x +⎛⎤∈ ⎥⎝⎦()()122423k g x g x +<+≤()3213k g x +<≤所以,解得,223k +≤4k ≤即;14k <≤当时,,满足条件;1k =()()()1231g x g x g x ===当时,,因为且,1k <()2,13k g x +⎡⎫∈⎪⎢⎣⎭()()122423k g x g x ++<≤()3213k g x +<≤所以,即.2413k +≤112k -≤<综上,实数k 的取值范围是.1,42⎡⎤-⎢⎥⎣⎦复合函数零点个数问题处理思路:①利用换元思想,设出内层函数;②分别作出内层函数与外层函数的图象,分别探讨内外函数的零点个数或范围;③内外层函数相结合确定函数交点个数,即可得到复合函数在不同范围下的零点个数.13.(1)14x =(2)证明过程见解析(3),()112023k n k x --=1k n≤≤【分析】(1)由题意转化为对于,都存在,使得,其中(),m a b =(),n c d =0m n ⋅= ,选取,,通过分析求出;,,,a b c d X ∈()1,,2m a b x ⎛⎫== ⎪⎝⎭ ()(),1,n c d d ==- 14x =(2)取,,推理出中有1个为,则另一个为1,即,()()11,,m a b x x == (),n c d =,c d 1-1X ∈再假设,其中,则,推导出矛盾,得到;1k x =1k n <<101n x x <<<11x =(3)由(2)可得,设,,则有,记11x =()11,m s t =()22,n s t =1212s t t s =-,问题转化为X 具有性质P ,当且仅当集合关于原点对称,得到,,s B s X t X s t t ⎧⎫=∈∈>⎨⎬⎩⎭B ,共个数,由对称性可知也有个数,(){}234,0,,,,n B x x x x -∞=---- ()1n -()0,B +∞ ()1n -结合三角形数阵得到,得到数列为首项为1的等比123212321n n n n n n x x x x x x x x x x -----===== 12,,,n x x x 数列,设出公比为,结合求出公比,求出通项公式.q 2023n x =【详解】(1)对任意,都存在,使得,,a b X ∈,c d X ∈0ac bd +=即对于,都存在,使得,其中,(),m a b =(),n c d =0m n ⋅= ,,,a b c d X ∈因为集合具有性质P ,11,,,12x ⎧⎫-⎨⎬⎩⎭选取,,()1,,2m a b x ⎛⎫== ⎪⎝⎭ ()(),1,n c d d ==-则有,12x d -+=假设,则有,解得,这与矛盾,d x =102x x -+=0x =102x <<假设,则有,解得,这与矛盾,1d =-12x --=12x =-102x <<假设,则有,解得,这与矛盾,1d =12x -+=12x =102x <<假设,则有,解得,满足,12d =14x -+=14x =102x <<故;14x =(2)取,,()()11,,m a b x x == (),n c d =则,()10c d x +=因为,所以,即异号,120n x x x <<<< 0c d +=,c d 显然中有1个为,则另一个为1,即,,c d 1-1X ∈假设,其中,则,1k x =1k n <<101n x x <<<选取,,则有,()()1,,n m a b x x ==(),n s t =10n sx tx +=则异号,从而之中恰有一个为,,s t ,s t 1-若,则,矛盾,1s =-11n x tx t x =>≥若,则,矛盾,1t =-1n n x sx s x =<≤故假设不成立,所以;11x =(3)若X 具有性质P ,且,20231n x =>由(2)可得,11x =设,,则有,()11,m s t =()22,n s t =1212s t t s =-记,则X 具有性质P ,当且仅当集合关于原点对称,,,s B s X t X s t t ⎧⎫=∈∈>⎨⎬⎩⎭B 注意到是集合中唯一的负数,1-X 故,共个数,(){}234,0,,,,n B x x x x -∞=---- ()1n -由对称性可知也有个数,()0,B +∞ ()1n -由于,已经有个数,123421n n n n n nn n n n x x x x x x x x x x x x ----<<<<<< ()1n -对于以下三角形数阵:123421n n n n n n n n n n x x x x x xx x x x x x ----<<<<<< 1111123421n n n n n n n n x x x x xx x x x x --------<<<<< ……3321x x x x <21x x 注意到,123211111n n n x x x x x x x x x x -->>>>> 所以有,123212321n n n n n n x x x x x x x x x x -----===== 从而数列为首项为1的等比数列,设公比为,12,,,n x x x q 由于,故,解得,2023n x =112023n nx q x -==()112023n q -=故数列的通项公式为,.12,,,n x x x ()112023k n k x --=1k n ≤≤集合新定义问题,命题新颖,且存在知识点交叉,常常会和函数或数列相结合,很好的考虑了知识迁移,综合运用能力,对于此类问题,一定要解读出题干中的信息,正确理解问题的本质,转化为熟悉的问题来进行解决,要将“新”性质有机地应用到“旧”性质上,创造性的解决问题.14.(1)答案见解析(2)①证明见解析;②证明见解析【分析】(1)求出的导数,结合解不等式可得答案;()e 2x f x ax'=-(2)①,利用导数的几何意义求得的表达式,由此构造函数,()y h x =()()()F x g x h x =-利用导数判断其单调性,求其最小值即可证明结论;②设的根为,求得其表达式,()h x t=1x '并利用函数单调性推出,设曲线在点处的切线方程为,设11x x '≤()y g x =()0,0()y t x =的根为,推出,从而,即可证明结论.()t x t=2x '22x x '≥2121x x x x ''-≤-【详解】(1)由题意得,令,则,()e 2x f x ax'=-()e 2x g x ax=-()e 2x g x a'=-当时,,函数在上单调递增;0a ≤()0g x '>()f x 'R 当时,,得,,得,0a >()0g x '>ln 2x a >()0g x '<ln 2x a <所以函数在上单调递减,在上单调递增.()f x '(),ln 2a -∞()ln 2,a +∞(2)①证明:由(1)可知,令,有或,()()()1e 1x g x x =+-()0g x ==1x -0x =故曲线与x 轴负半轴的唯一交点P 为.()y g x =()1,0-曲线在点处的切线方程为,()1,0P -()y h x =则,令,则,()()()11h x g x '=-+()()()F x g x h x =-()()()()11F x g x g x '=--+所以,.()()()()11e 2e x F x g x g x '''=-=+-()10F '-=当时,若,,1x <-(],2x ∈-∞-()0F x '<若,令,则,()2,1x --()1()e 2e x m x x =+-()()e 30xm x x '=+>故在时单调递增,.()F x '()2,1x ∈--()()10F x F ''<-=故,在上单调递减,()0F x '<()F x (),1-∞-当时,由知在时单调递增,1x >-()()e 30x m x x '=+>()F x '()1,x ∈-+∞,在上单调递增,()()10F x F ''>-=()F x ()1,-+∞设曲线在点处的切线方程为()y g x =()0,0令()()()()(1e x T x g x t x x =-=+当时,2x ≤-()()2e x T x x =+-'()()2e xn x x =+-设,∴()()1122,,,B x y C x y 1x 又1211,22AB x AC x =+=+依题意,即,则,0bc <02x >()()220220004482x y c x x b =+---因为,所以,2002y x =0022x b c x -=-所以,()()00000242248122424S b c x x x x x -⋅=-++≥-⋅+=-=-当且仅当,即时上式取等号,00422x x -=-04x =所以面积的最小值为8.PDE △方法点睛:圆锥曲线中最值或范围问题的常见解法:(1)几何法,若题目的条件和结论能明显体现几何特征和意义,则考虑利用几何法来解决;(2)代数法,若题目的条件和结论能体现某种明确的函数关系,则可首先建立目标函数,再求这个函数的最值或范围.16.(1)2214x y +=(2)证明见解析(3)存在,7,,777⎛⎫⎛⎫-∞- ⎪ ⎪ ⎪ ⎪⎝+∞⎝⎭⎭ 【分析】(1)根据椭圆的对称性,得到三点在椭圆C 上.把的坐标代入椭圆234,,P P P 23,P P C ,求出,即可求出椭圆C 的方程;22,a b (2)当斜率不存在时,不满足;当斜率存在时,设,与椭圆方程联立,利():1l y kx t t =+≠用判别式、根与系数的关系,结合已知条件得到,能证明直线l 过定点;21t k =--()2,1-(3)利用点差法求出直线PQ 的斜率,从而可得直线PQ 的方程,与抛物线方程联14PQ k t =立,由,及点G 在椭圆内部,可求得的取值范围,设直线TD 的方程为,0∆>2t 1x my =+与抛物线方程联立,由根与系数的关系及,可求得m 的取值范围,进而可求得直线11DA TB k k =的斜率k 的取值范围.2l【详解】(1)根据椭圆的对称性,两点必在椭圆C 上,34331,,1,22P P ⎛⎫⎛⎫- ⎪ ⎪ ⎪ ⎪⎝⎭⎝⎭又的横坐标为1,4P ∴椭圆必不过,()11,1P ∴三点在椭圆C 上.()234330,1,1,,1,22P P P ⎛⎫⎛⎫- ⎪ ⎪ ⎪ ⎪⎝⎭⎝⎭把代入椭圆C ,()3231,20,1,P P ⎛⎫- ⎪ ⎪⎝⎭得,解得,222111314b a b ⎧=⎪⎪⎨⎪+=⎪⎩2241a b ⎧=⎨=⎩∴椭圆C 的方程为.2214x y +=(2)证明:①当斜率不存在时,设,,:l x m =()(),,,A A A m y B m y -∵直线与直线的斜率的和为,2P A 2P B 1-∴,221121A A P A P B y y k k m m m ----+=+==-解得m =2,此时l 过椭圆右顶点,不存在两个交点,故不满足.②当斜率存在时,设,,,:l y kx t =+1t ≠()()1122,,,A x y B x y 联立,消去y 整理得,22440y kx tx y =+⎧⎨+-=⎩()222148440k x ktx t +++-=则,,122814kt x x k -+=+21224414t x x k -=+则()()()()222112************111111P A P B x y x y x kx t x kx t y y k k x x x x x x -+-+-++---+=+==,()()()()()()12121222222448218114141144411142t k k kx x t tk t k t k k t t x t x x x +-+=--⋅+-⋅-++===--+-+又,∴,此时,1t ≠21t k =--()()222222644144464161664k t k t k t k ∆=-+-=-+=-故存在k ,使得成立,0∆>∴直线l 的方程为,即21y kx k =--()12y k x +=-∴l 过定点.()2,1-(3)∵点P ,Q 在椭圆上,所以,,2214P P x y +=2214Q Q x y +=两式相减可得,()()()()04PQ P Q P Q P Q y xy x x x y y +-++-=又是线段PQ 的中点,()1,G t -∴,2,2P Q P Q x x x x t+=-=∴直线PQ 的斜率,()144P Q P QP Q P QPQ x x k ty y x y y x +==-=--+∴直线PQ 的方程为,与抛物线方程联立消去x 可得,()114y x t t =++()22164410y ty t -++=由题可知,∴,()2161210t ∆=->2112t >又G 在椭圆内部,可知,∴,故,2114t +<234t <213124t <<设,,由图可知,,221212,,,44y y A y B y ⎛⎫⎛⎫ ⎪ ⎪⎝⎭⎝⎭223434,,,44y y T y D y ⎛⎫⎛⎫ ⎪ ⎪⎝⎭⎝⎭2134,y y y y >>∴,()2121216,441y y t y y t +==+当直线TD 的斜率为0时,此时直线TD 与抛物线只有1个交点,不合要求,舍去,设直线TD 的方程为,与抛物线方程联立,消去x 可得,()10x my m =+≠2440y my --=∴,34344,4y y m y y +==-由,可知,即,11//ATB D 11DA TB k k =3142222234214444y y y y y y y y --=--∴,即,1342y y y y +=+1243y y y y -=-∴,()()221212343444y y y y y y y y +-=+-∵,()()()()()222212124161641161210,128y y y y t t t +-=-+=-∈∴,解得,即,()()223434416160,128y y y y m +-=+∈27m <()7,7m ∈-∴直线TD 即的斜率.2l 771,77,k m ⎛⎫⎛⎫=∈-∞- ⎪ ⎪ ⎪ ⎪⎝+∞⎝⎭⎭ 思路点睛:处理定点问题的思路:(1)确定题目中的核心变量(此处设为),k (2)利用条件找到与过定点的曲线的联系,得到有关与的等式,k (),0F x y =k ,x y (3)所谓定点,是指存在一个特殊的点,使得无论的值如何变化,等式恒成立,()00,x y k 此时要将关于与的等式进行变形,直至找到,k ,x y ()00,x y ①若等式的形式为整式,则考虑将含的式子归为一组,变形为“”的形式,让括号中式k ()k ⋅子等于0,求出定点;②若等式的形式是分式,一方面可考虑让分子等于0,一方面考虑分子和分母为倍数关系,可消去变为常数.k 17.(1)1y =-(2)2ln23-+【分析】(1)由题意,将代入函数的解析式中,对函数进行求导,得到1m =()f x ()f x 和,代入切线方程中即可求解;()1f '()1f (2)得到函数的解析式,对进行求导,利用根的判别式以及韦达定理对()g x ()g x 进行化简,利用换元法,令,,可得,12122()()y x x b x x =--+12x t x =01t <<2(1)ln 1t y t t -=-+根据,求出的范围,构造函数,对进行求导,利用导数得到322m ≥t 2(1)()ln 1t h t tt -=-+()h t 的单调性和最值,进而即可求解.()h t 【详解】(1)已知(为常数),函数定义域为,()ln f x x mx =-m (0,)+∞当时,函数,1m =()ln f x x x =-可得,此时,又,11()1x f x x x -'=-=()=01f '()11=f -所以曲线在点处的切线方程为,即.()y f x =()()1,1f (1)0(1)y x --=⨯-1y =-(2)因为,函数定义域为,22()2()2ln 2g x f x x x mx x =+=-+(0,)+∞可得,222(1)()22x mx g x m x x x -+=-+='此时的两根,即为方程的两根,()0g x '=1x 2x 210x mx -+=因为,所以,由韦达定理得,,322m ≥240m ∆=->12x x m +=121=x x 又,所以1212lnx x b x x =-121212121212ln 22()()()()xx y x x b x x x x x x x x =--=--++-,11211211222212()ln 2ln 1x x x x x x x x x x x x --=-=⨯-++令,,所以,12x t x =01t <<2(1)ln 1t y t t -=-+因为,整理得,2212()x x m +=22212122x x x x m ++=因为,则,121=x x 2221212122x x x x m x x ++=等式两边同时除以,得,12x x 212212=x x m x x ++可得,因为,212t m t ++=322m ≥所以,,152t t +≥()()2252=2210t t x x -+--≥解得 或,则,12t ≤2t ≥102t <≤不妨设,函数定义域为,2(1)()ln 1t h t t t -=-+10,2⎛⎤⎥⎝⎦可得,22(1)()0(1)t h t t t -'=-<+所以函数在定义域上单调递减,()h t 此时,min 12()()ln223h t h ==-+故的最小值为.12122()()y x x b x x =--+2ln23-+利用导数求解在曲线上某点处的切线方程,关键点有两点,第一是切线的斜率,第二是切点。
高考数学选填压轴题练习与答案一.选择题(共25小题)1.数列{a n}满足a1=1,na n+1=(n+1)a n+n(n+1),若b n=a n cos2nπ3,且数列{b n}的前n项和为S n,则S11=()A.64B.80C.﹣64D.﹣80【解答】解:数列{a n}满足a1=1,na n+1=(n+1)a n+n(n+1),则a n+1n+1=a nn+1,可得数列{a nn}是首项为1、公差为1的等差数列,即有a nn=n,即为a n=n2,则b n=a n cos2nπ3=n2cos2nπ3,则S11=−12(12+22+42+52+72+82+102+112)+(32+62+92)=−12(12+22﹣32﹣32+42+52﹣62﹣62﹣72+82﹣92﹣92+102+112)=−12×(5+23+41+59)=﹣64.故选:C.2.已知函数f(x)=sin(ωx+φ)(ω>0,0<φ<π2),f(π6+x)=﹣f(π6−x),f(π2+x)=f(π2−x),下列四个结论:①φ=π4;②ω=92+3k(k∈N);③f(−π2)=0;④直线x=−π3是f(x)图象的一条对称轴.其中所有正确结论的编号是()A.①②B.①③C.②④D.③④【解答】解:函数f(x)=sin(ωx+φ)(ω>0,0<φ<π2),f(x)图象的一条对称轴是直线x=π2,所以f(π2+x)=f(π2−x),由f (x )的一个零点为π6, 所以f (π6+x )=﹣f (π6−x ),整理得T 4+k ⋅T 2=π2−π6=π3, 所以T =4π3(1+2k), 故ω=2πT=32+3k (k ∈Z ),故②错误;当k =1时,f (x )=sin (92x +φ), 把(π6,0)代入关系式,得到sin (3π4+φ)=0,由于0<φ<π2,所以φ=π4,故①正确;对于f (−π3)=sin (92⋅π3+π4)≠±1,故④错误; f (−π2)=sin[92⋅(−π2)+π4]=sin (﹣2π)=0,故③正确. 故选:B .3.已知四面体ABCD 的四个顶点都在以AB 为直径的球R 面上,且BC =CD =DB =2,若四面体ABCD 的体积是4√23,则这个球面的面积是( )A .16πB .323πC .4πD .763π【解答】解:由题意,几何体的直观图如图, 四面体ABCD 的体积是4√23,可得O 到平面BCD 的距离为h ,13×√34×22×2ℎ=4√23,解得h =2√63, 所以外接球的半径为R =OB =OD =OC =OA =(2√63)(23√32=2,所以外接球的表面积为:4π×22=16π. 故选:A .4.已知函数f (x )={log 2x ,x >114x +1,x ≤1,g (x )=f (x )﹣kx ,若函数g (x )有两个零点,则k 的取值范围是( ) A .(0,14]B .(0,1eln2) C .[0,1e)D .[14,1eln2)【解答】解:函数f (x )={log 2x ,x >114x +1,x ≤1,作出f (x )的图象与y =kx 图象有两个交点,(如图)设y =kx 与y =log 2x 的切点为(x 0,y 0), 可得{y 0=kx 0y 0=log 2x 01k =x 0ln2,解得x 0=e ,∴相切时的斜率k =1eln2.故得f (x )的图象与y =kx 图象有两个交点时,14≤k <1eln2. 故选:D .5.已知F 是椭圆E :x 2a 2+y 2b 2=1(a >b >0)的左焦点,椭圆E 上一点P (2,1)关于原点的对称点为Q ,若△PQF 的周长为4√2+2√5.则离心率e =( )A.√32B.√22C.√33D.√23【解答】解:∵P与Q关于原点对称,则Q(﹣2,﹣1),∴|PQ|=2√12+22=2√5,又三角形PQF的周长为|QP|+|PF|+|QF|=4√2+2√5,∴|PF|+|QF|=4√2,设椭圆的右焦点为M,则由椭圆的性质可得|PF|=|QM|,∴|QM|+|QF|=2a=4√2,得a=2√2,将点P代入椭圆方程可得:48+1b2=1,解得b=√2,∴c=√a2−b2=√6.则离心率e=ca =√62√2=√32.故选:A.6.对于函数y=f(x)与y=g(x),若存在x0,使f(x0)=g(﹣x0),则称M(x0,f(x0)),N(﹣x0,g(﹣x0))是函数f(x)与g(x)图象的一对“隐对称点”.已知函数f(x)=m(x+1),g(x)=lnxx,函数f(x)与g(x)的图象恰好存在两对“隐对称点”,则实数m的取值范围为()A.(﹣1,0)B.(﹣∞,﹣1)C.(0,1)∪(1,+∞)D.(﹣∞,﹣1)∪(﹣1,0)【解答】解:∵f(x)=m(x+1)恒过定点(﹣1,0),f(x)关于y轴对称的图象的函数解析式为y=﹣m(x﹣1)依题意可得,y=﹣m(x﹣1)与g(x)=lnxx有2个交点,由g(x)=lnxx ,得g′(x)=1−lnxx2,当0<x<e时,h′(x)>0,函数g(x)单调递增,当x>e时,g′(x)<0,函数g(x)单调递减,而y=﹣m(x﹣1)恒过定点(1,0),作出函数g(x)=lnxx的图象如图,当直线y=﹣m(x﹣1)与g(x)=lnxx切于(1,0)时,由导数的几何意义可得,﹣m=1−ln112=1,则要使y =﹣m (x ﹣1)与g (x )=lnx x有2个交点,则﹣m >0且﹣m ≠1,∴实数m 的取值范围为(﹣∞,﹣1)∪(﹣1,0). 故选:D .7.已知函数f (x )={|xlnx|,x >0|x(x +1)|,x ⩽0,关于x 的方程f 2(x )+tf (x )+1=0(t ∈R )有8个不同的实数根,则t 的取值范围是( ) A .(−1e −e ,+∞) B .(−2e ,−12)∪(﹣∞,−1e −e )C .(﹣∞,−174)D .(2,+∞)∪(﹣∞,−174)【解答】解:当x >0时,f (x )=|xlnx |,令F (x )=xlnx ,F ′(x )=lnx +1, 令F ′(x )=lnx +1=0,解得x =1e,F (1e)=−1e,f (1e)=1e,故当x >0时,函数f (x )在(0,1e )上单调递增,在(1e ,1)上单调递减,在(1,+∞)上单调递增; 当x <0时,可得函数f (x )在(﹣∞,﹣1)上单调递减,在(﹣1,−12)上单调递增,在(−12,0)上单调递减.又f (−12)=14,f (1e )=1e ,故刻画出函数f (x )的大致图象如图:令m =f (x ),则已知方程可化为m 2+tm +1=0.观察图象可知,当m >1e 时,只有2个交点;当m =1e 时,有3个交点;当14<m <1e 时,有4个交点; 当0<m <14时,有6个交点.要想满足题意,则只需使得方程m 2+tm +1=0在(14,1e )上存在两个不同实数根,或在(1e ,+∞)和(0,14)上各有1个根,方程m 2+tm +1=0的两根之积为1, 令g (m )=m 2+tm +1,由题意,{g(14)<0g(4)<0,解得t <−174,即t 的取值范围是(﹣∞,−174).故选:C .8.在棱长为1的正方体ABCD ﹣A 1B 1C 1D 1中,点P 是正方体棱上一点,若满足|PB |+|PC 1|=d 的点P 的个数为4.则d 的取值范围为( ) A .(√2,2)B .(√2,2√2)C .[2,1+√3)D .(1+√3,2√2)【解答】解:点P 分别在BB 1,BC ,CC 1,B 1C 1上运动时,m 的取值范围是[√2,2], 当点P 分别在C 1D 1,AB 上运动时,m 的取值范围是[√2,1+√3], 当点P 分别在棱A 1B 1,CD 上运动时,m 的取值范围是[2,2√2],当P 分别在棱A 1D 1,DD 1,AD ,AA 1上运动时,m 的取值范围是[√4+2√2,2√2], 由结合图形可知,点P 在正方体的每一条棱上运动时, 它所在的位置与m 的值是一一对应的, 当|PB |+|PC 1|=d 的点P 的个数为4, 则d 的取值范围为[2,1+√3), 故选:C .9.已知不相等的两个正实数x ,y 满足x 2﹣y =4(log 2y ﹣log 4x ),则下列不等式中不可能成立的是( )A.x<y<1B.y<x<1C.1<x<y D.1<y<x【解答】解:由已知x2﹣y=4(log2y﹣log4x),因为2log4x=log2x,所以原式可变形为x2+2log2x=y+4log2y,令f(x)=x2+2log2x,g(x)=x+4log2x,函数f(x)与g(x)均为(0,+∞)上的增函数,且f(x)=g(y),且f(1)=g(1),当x>1时,f(x)>1,g(y)>1,y>1,当x<1时,f(x)<1,g(y)<1,y<1,要比较x与y的大小,只需比较g(x)与g(y)的大小,g(x)﹣g(y)=g(x)﹣f(x)=x+4log2x﹣x2﹣2log2x=x﹣x2+2log2x,设h(x)=x﹣x2+2log2x(x>0),则h'(x)=1−2x+2xln2,故h'(x)在(0,+∞)上单调递减,又h'(1)=−1+2ln2>0,h'(2)=−3+1ln2<0,则存在x0∈(1,2)使得h'(x)=0,所以当x∈(0,x0)时,h'(x)>0,当x∈(x0,+∞)时,h'(x)<0,又因为h(1)=0,h(x0)>h(1)=0,h(4)=﹣12+4=﹣8<0,所以当x<1时,h(x)<0,当x>1时,h(x)正负不确定,故当x<1,y<1时,h(x)<0,所以g(x)<g(y)<g(1),故x<y<1,当x>1,y>1时,h(x)正负不定,所以g(x)与g(y)的正负不定,所以x>y>1,x=y>1,y>x>1均有可能,即选项A,C,D均有可能,选项B不可能.故选:B.10.正实数a,b,c满足a+2﹣a=2,b+3b=3,c+log4c=4,则实数a,b,c之间的大小关系为()A.b<a<c B.a<b<c C.a<c<b D.b<c<a【解答】解:c+log4c=4⇒log4c=4﹣c,即c 为函数y =log 4x 与y =4﹣x 的图象交点的横坐标; b +3b =3⇒1+3b =4﹣b ,即b 为函数y =1+3x 与y =4﹣x 的图象交点的横坐标; a +2﹣a =2⇒2+12a =4−a ,即a 为函数y =2+12x 与y =4﹣x 的图象交点的横坐标; 在同一坐标系中画出图象,可得b <a <c . 故选:A .11.《九章算术》是我国古代数学经典名著,堪与欧几里得《几何原本》相媲美的数学名著,在《九章算术》中,将四个面都是直角三角形的四面体称为“鳖臑”.已知某鳖臑A ﹣BCD 的外接球半径为1,则该鳖臑A ﹣BCD 的体积最大值为( ) A .49√3B .427√3C .94√3D .316√3【解答】解:四个面都是直角三角形的四面体称为“鳖臑”.如图:某鳖臑A ﹣BCD 的外接球半径为1,可知CD =2,设AB =a ,BC =b ,AD =c , 所以a 2+b 2+c 2=4,可得4=a 2+b 2+c 2≥3√(abc)23,所以abc ≤√4333=8√39.当且仅当a =b =c =2√33时,取等号.该鳖臑A ﹣BCD 的体积:13×12abc ≤16×8√39=4√327. 故选:B .12.已知抛物线y=x2+mx﹣2与x轴交于A,B两点,点C的坐标为(3,1),圆Q过A,B,C三点,当实数m变化时,存在一条定直线l被圆Q截得的弦长为定值,则此定直线l方程为()A.x﹣3y=0B.3x﹣y+1=0C.√3x﹣y﹣1=0D.x−√3y=0【解答】解:y=x2+mx﹣2与x轴交于A,B,设两点A(x1,0),B(x2,0),设圆Q的方程为x2+y2+Dx+Ey+F=0,取y=0,可得x2+Dx+F=0.则方程x2+Dx+F=0与方程x2+mx﹣2=0等价,则D=m,F=﹣2,则圆的方程为x2+y2+mx+Ey﹣2=0.∵圆Q过C(3,1),∴10+3m+E﹣2=0,即E=﹣8﹣3m,得圆Q的方程为x2+y2+mx﹣(8+3m)y﹣2=0,即x2+y2﹣8y﹣2+m(x﹣3y)=0,由圆系方程可知,圆x2+y2﹣8y﹣2+m(x﹣3y)=0经过圆x2+y2﹣8y﹣2=0与直线x﹣3y=0的交点,则圆Q被直线x﹣3y=0所截弦长为定值.故选:A.+alnx+e2≥ax恒成立(e为自然对数的底数),则正实数a的取值范围是13.对任意x>0,若不等式e xx()A.(0,e]B.(0,e2]C.[2e ,e]D.[2e,e2]【解答】解:不等式e xx +alnx+e2≥ax可化为e xx−a(x﹣lnx)+e2≥0,即e xx−aln e xx+e2≥0;设t=e xx,其中x>0;由e x≥ex知t≥e,所以f(t)=t﹣alnt+e2(t≥e),只需证明f(t)的最小值f(t)min≥0即可;对函数f(t)求导数,得f′(t)=1−at =t−at(t≥e),①当0<a≤e时,f′(t)≥0恒成立,f(t)是[e,+∞)上的单调增函数,所以f(t)的最小值是f(t)min=f(e)=e﹣alne+e2≥0,解得a≤e2+e;又0<a≤e,所以a的取值范围是(0,e].②当a>e时,f(t)在[e,a)上单调递减,在(a,+∞)上单调递增,所以f(t)的最小值是f(t)min=f(a)=a﹣alna+e2≥0;设g(a)=a﹣alna+e2,其中a>e,则g′(a)=1﹣lna﹣1=﹣lna<0,所以g(a)在(e,+∞)上是单调减函数;g(e2)=e2﹣e2lne2+e2=0,所以g(a)≥0时,a≤e2;由a>e知,a的取值范围是(e,e2];综上知,正实数a的取值范围是(0,e2].故选:B.14.已知双曲线x2a2−y2b2=1(a>0,b>0)的左、右焦点分别为F1,F2,O为坐标原点,点P是其右支上第一象限内的一点,直线PO,PF2分别交该双曲线左、右支于另两点A,B,若|PF1|=2|PF2|,且∠AF2B=60°,则该双曲线的离心率是()A.√3B.√2C.2√33D.√52【解答】解:由双曲线的定义可得|PF1|﹣|PF2|=2a,由|PF1|=2|PF2|,可得|PF2|=2a,|PF1|=4a,结合双曲线性质可以得到|PO|=|AO|,而|F1O|=|F2O|,结合四边形对角线平分,可得四边形PF1AF2为平行四边形,结合∠AF2B=60°,得∠F1AF2=60°,对三角形F1AF2,用余弦定理,得到|AF1|2+|AF2|2﹣|F1F2|2=2|AF1|•|AF2|•cos∠F1PF2,由|PF1|=2|PF2|,可得|AF1|=2a,|AF2|=4a,|F1F2|=2c,代入上式子中,得到3a2=c2,∴e=ca=√3,故选:A.15.如图,双曲线F:x2a2−y2b2=1(a>0,b>0)以梯形ABCD的顶点A,D为焦点,且经过点B,C,其中AB∥CD,∠BAD=60°,|CD|=4|AB|,则F的离心率为()A.3√34B.√3C.65D.5√36【解答】解:如图,不妨设|AB|=1,|CD|=4,则|BD|=1+2a,|AC|=4+2a,在△ABD中,由余弦定理得1+4c2﹣2•1•2c•cos60°=(1+2a)2,①在△ACD中,由余弦定理得16+4c2﹣2•4•2c•cos120°=(4+2a)2,②②﹣①得,15+10c=12a+15,则e=ca =65.故选:C.16.已知定义R在上的函数f(x),其导函数为f'(x),若f(x)=f(﹣x)﹣2sin x.且当x≥0时,f'(x)+cos x>0,则不等式f(x+π2)>f(x)+sin x﹣cos x的解集为()A.(﹣∞,π2)B.(π2,+∞)C.(﹣∞,﹣π4)D.(﹣π4,+∞)【解答】解:令g(x)=f(x)+sin x,则g(﹣x)=f(﹣x)+sin(﹣x)=f(﹣x)﹣sin x,又f(x)=f(﹣x)﹣2sin x,∴f(x)+sin x=f(﹣x)﹣sin x,故g(﹣x)=g(x),∴g(x)为定义在R上的偶函数;当x≥0时,g′(x)=f′(x)+cos x>0,∴g(x)在[0,+∞)上单调递增,又∵g(x)为偶函数,故g(x)在(﹣∞,0]上单调递减,由f(x+π2)+cosx=f(x+π2)+sin(x+π2)>f(x)+sinx得g(x+π2)>g(x),∴|x+π2|>|x|,解得x>−π4,∴不等式的解集为(−π4,+∞).故选:D.17.已知双曲线C:x2a2−y2b2=1(a>0,b>0),过C的右焦点F作垂直于渐近线的直线l交两渐近线于A,B两点,A,B两点分别在一、四象限,若|AF||BF|=513,则双曲线C的离心率为()A.1312B.√133C.√135D.√13【解答】解:由题意知:双曲线的右焦点F(c,0),渐近线方程为y=±bax,即bx±ay=0,如下图所示:由点到直线距离公式可知:|F A |=√a 2+b 2=b ,又∵c 2=a 2+b 2,∴|OA |=a ,∵|AF||BF|=513,∴|BF |=135b ,设∠AOF =α,由双曲线对称性可知∠AOB =2α, 而tan α=ba ,tan2α=|AB||OA|=18b 5a,由正切二倍角公式可知:tan2α=2tanα1−tan 2α=2×b a 1−(b a)2=2ab a 2−b 2,即2ab a 2−b2=18b 5a,化简可得:4a 2=9b 2, 由双曲线离心率公式可知:e =c a=√1+b 2a2=√1+49=√133. 故选:B .18.数学中一般用min {a ,b }表示a ,b 中的较小值.关于函数f(x)=min{sinx +√3cosx ,sinx −√3cosx}有如下四个命题:①f (x )的最小正周期为π; ②f (x )的图象关于直线x =3π2对称;③f (x )的值域为[﹣2,2];④f (x )在区间(−π6,π4)上单调递增. 其中是真命题的是( ) A .②④B .①②C .①③D .③④【解答】解:令g(x)=sinx +√3cosx =2sin(x +π3),ℎ(x)=sinx −√3cosx =2sin(x −π3), 则f (x )=min {g (x ),h (x )}={g(x),g(x)⩽ℎ(x)ℎ(x),g(x)>ℎ(x)={2sin(x +π3),π2+2kπ⩽x ⩽3π2+2kπ2sin(x −π3),−π2+2kπ<x <π2+2kπ,(k ∈Z),如图所示:由图知:则f (x )的最小正周期为2π,故①错误; f (x )的图象关于直线x =3π2对称,故②正确;f (x )的值域为[﹣2,1],故③错误;f (x )在区间(−π6,π4)上单调递增,故④正确. 故选:A .19.四棱锥P ﹣ABCD 中,底面ABCD 为矩形,体积为163,若P A ⊥平面ABCD ,且P A =2,则四棱锥P ﹣ABCD的外接球体积的最小值是( ) A .160√53π B .256πC .125πD .20√53π【解答】解:底面为矩形的四棱锥P ﹣ABCD 的体积为163,若P A ⊥平面ABCD ,且P A =2, 可得底面面积为:8,设AB =a ,BC =b ,则ab =8,四棱锥的外接球就是扩展的长方体的外接球,PC 就是外接球的直径,可得:2R =√a 2+b 2+22≥√4+2ab =√4+2×8=2√5,当且仅当a =b =2√2,取等号,R ≥√5. 外接球的体积的最小值为:4π3×(√5)3=20√5π3.故选:D .20.已知函数f (x )={|log 2x|(x >0)2x 2+4x +1(x ≤0),若函数F (x )=f (x )﹣b 有四个不同的零点x 1,x 2,x 3,x 4,且满足:x 1<x 2<x 3<x 4,则x 1+x 2﹣x 3x 4的值是( ) A .﹣4B .﹣3C .﹣2D .﹣1【解答】解:作出f (x )的函数图象如图所示:因为函数F (x )=f (x )﹣b 有四个不同的零点x 1,x 2,x 3,x 4, 即y =f (x )与y =b 有四个不同的交点, 由图象知 x 1+x 2=﹣2×42×2=−2,由﹣log 2x 3=log 2x 4,得:log 2x 3+log 2x 4=0,得:x 3x 4=1, ∴x 1+x 2﹣x 3x 4=﹣3, 故选:B .21.农历五月初五是端午节,民间有吃粽子的习惯,粽子又称粽籺,俗称“粽子”,古称“角黍”,是端午节大家都会品尝的食品,传说这是为了纪念战国时期楚国大臣、爱国主义诗人屈原.小明在和家人一起包粽子时,想将一丸子(近似为球)包入其中,如图,将粽叶展开后得到由六个边长为4的等边三角形所构成的平行四边形,将粽叶沿虚线折起来,可以得到如图所示的粽子形状的六面体,则放入丸子的体积最大值为( )A .512√6729π B .16√23π C .32√627π D .128√281π【解答】解:由题意可得每个三角形面积为S =12×4×2√3=4√3,由对称性可知该六面体是由两个正四面体合成的,可得该四面体的高为√16−(4√33)2=4√63,故四面体的体积为13×4√3×4√63=16√23,∵该六面体的体积是正四面体的2倍, ∴六面体的体积是32√23, 由图形的对称性得,内部的丸子要是体积最大,就是丸子要和六个面相切,连接球心和五个顶点,把六面体分成了六个三棱锥, 设丸子的半径为R ,则32√23=6×13×4√3×R ,解得R =4√69,∴丸子的体积的最大值为V max =4π3R 3=4π3×(4√69)3=512√6729π. 故选:A .22.已知函数f (x )=e x ﹣aln (ax ﹣a )+a (a >0),若关于x 的不等式f (x )>0恒成立,则实数a 的取值范围为( ) A .(0,e 2]B .(0,e 2)C .[1,e 2]D .(1,e 2)【解答】解:∵f (x )=e x ﹣aln (ax ﹣a )+a >0(a >0)恒成立, ∴e xa >ln(x −1)+lna −1, ∴e x ﹣lna+x ﹣lna >ln (x ﹣1)+x ﹣1, ∴e x﹣lna+x ﹣lna >e ln(x ﹣1)+ln (x ﹣1).令g (x )=e x +x ,易得g (x )在(1,+∞)上单调递增, ∴x ﹣lna >ln (x ﹣1),∴﹣lna >ln (x ﹣1)﹣x . ∵ln (x ﹣1)﹣x ≤x ﹣2﹣x =﹣2, ∴﹣lna >﹣2,∴0<a <e 2, ∴实数a 的取值范围为(0,e 2). 故选:B .23.在△ABC 中,角A ,B ,C 所对的边分别是a ,b ,c ,若c cos A +a cos C =2,AC 边上的高为√3,则∠ABC 的最大值为( ) A .π6B .π3C .π2D .2π3【解答】解:因为c cos A +a cos C =2, 所以由余弦定理可得c •b 2+c 2−a 22bc+a •a 2+b 2−c 22ab=2,整理可得b =2,因为AC 边上的高为√3, 所以12×2×√3=12acsinB , 所以ac =2√3sinB, 因为cos B =a 2+c 2−b 22ac≥2ac−b 22ac=1−2ac,当且仅当a =c 时取等号,所以cos B ≥1−√33sinB , 即3cos B +√3sin B ≥3, 所以2√3sin (B +π3)≥3,所以sin (B +π3)≥√32, 因为B ∈(0,π),所以B +π3∈(π3,4π3), 所以B +π3∈(π3,2π3],所以B ∈(0,π3], 则∠ABC 的最大值为π3. 故选:B .24.在平面直角坐标系xOy 中,若抛物线C :y 2=2px (p >0)的焦点为F ,直线x =3与抛物线C 交于A ,B 两点,|AF |=4,圆E 为△F AB 的外接圆,直线OM 与圆E 切于点M ,点N 在圆E 上,则OM →⋅ON →的取值范围是( ) A .[−6325,9]B .[﹣3,21]C .[6325,21]D .[3,27]【解答】解:抛物线C :y 2=2px (p >0)的焦点F (p2,0),准线方程为x =−p2, 设A (3,√6p ),所以|AF |=3+p2=4,解得p =2, 所以抛物线的方程为y 2=4x ,A (3,2√3),B (3,﹣2√3),F (1,0), 所以直线AF 的方程为y =√3(x ﹣1), 设圆心坐标为(x 0,0), 所以(x 0﹣1)2=(3﹣x 0)2+12, 解得x 0=5,即E (5,0), ∴圆的方程为(x ﹣5)2+y 2=16,不妨设y M >0,设直线OM 的方程为y =kx ,则k >0, 根据√1+k2=4,解得k =43, 由{y =43x(x −5)2+y 2=16,解得M (95,125), 设N (4cos θ+5,4sin θ), 所以OM →•ON →=365cos θ+485sin θ+9=125(3cos θ+4sin θ)+9,因为3cos θ+4sin θ=5sin (θ+φ)∈[﹣5,5], 所以OM →•ON →∈[﹣3,21]. 故选:B .25.已知双曲线x 24−y 25=1的右焦点为F ,点M 在双曲线上且在第一象限,若线段MF 的中点在以原点O为圆心,|OF |为半径的圆上,则直线MF 的斜率是( ) A .−√35B .−5√117C .5√117D .√35【解答】解:如图所示,设线段MF 的中点为H ,连接OH ,设双曲线的右焦点为F,连接MF.双曲线的左焦点为F′,连接MF′,则OH∥MF′.又|OH|=|OF|=c=3,|FH|=12|MF|=12(2a﹣2c)=a﹣c=1.设∠HFO=α,在△OHF中,tanα=√32−(12)212=√35,∴直线MF的斜率是−√35.故选:A.二.多选题(共7小题)26.下列结论正确的是()A.存在这样的四面体ABCD,四个面都是直角三角形B.存在这样的四面体ABCD,∠BAC=∠CAD=∠DAB=∠BCD=90°C.存在不共面的四点A、B、C、D,使∠ABC=∠BCD=∠CDA=90°D.存在不共面的四点A、B、C、D,使∠ABC=∠BCD=∠CDA=∠DAB=90°【解答】解:对于A,在长方体ABCD﹣A1B1C1D1中,四面体A1﹣ABC的四个面都是直角三角形,所以选项A正确;对于B ,三个直角均以A 为顶点,那么△BCD 为锐角三角形,故选项B 错误;对于C ,存在不共面的四点A 、B 、C 、D ,使∠ABC =∠BCD =∠CDA =90°,如图所示,故选项C 正确;对于D ,若∠ABC =∠BCD =∠CDA =∠DAB =90°,则A ,B ,C ,D 四点共面,故选项D 错误. 故选:AC .27.已知函数f (x )=x 2﹣ax ﹣lnx (a ∈R ),则下列说法正确的是( ) A .若a =﹣1,则f (x )是(0,12)上的减函数B .若0<a <1,则f (x )有两个零点C .若a =1,则f (x )≥0D .若a >1,则曲线y =f (x )上存在相异两点M ,N 处的切线平行 【解答】解:函数f (x )=x 2﹣ax ﹣lnx (a ∈R ),对于A ,当a =﹣1,f (x )=x 2+x ﹣lnx (x >0),f ′(x )=2x +1−1x在(0,+∞)上单调递增,又f ′(12)=0,故当x ∈(0,12)时,f ′(x )<0,则f (x )是(0,12)上的减函数,故A 正确; 对于B ,若f (x )=0,则x 2﹣ax ﹣lnx =0,故a =x −lnx x(x >0),令g (x )=x −lnx x(x >0),则g ′(x )=1−1−lnx x 2=x 2+lnx−1x 2,再令h (x )=x 2+lnx ﹣1(x >0),显然,h (x )在(0,+∞)上单调递增,又h (1)=0,所以,当x ∈(0,1)时,h (x )<0,即g ′(x )<0,则g (x )在(0,1)上单调递减, 当x ∈(1,+∞)时,h (x )>0,即g ′(x )>0,则g (x )在(1,+∞)上单调递增, 故g (x )min =g (1)=1,要使f (x )有零点,则a ≥1,故B 错误;对于C ,当a =1时,f (x )=x 2﹣x ﹣lnx (x >0),f ′(x )=2x ﹣1−1x 在(0,+∞)上单调递增,又f ′(1)=0,故当x ∈(0,1)时,f ′(x )<0,则f (x )是在(0,1)上单调递减;当x ∈(1,+∞)时,f ′(x )>0,则f (x )在(1,+∞)上单调递增,故f (x )≥f (1)=0,故C 正确;对于D ,由于f ′(x )=2x ﹣a −1x (x >0),若曲线y =f (x )上存在相异两点M (x 1,f (x 1)),N (x 2,f (x 2))处的切线平行, 则f ′(x 1)=f ′(x 2)(x 1,x 2>0,且x 1≠x 2), 即2x 1﹣a −1x 1=2x 2﹣a −1x 2,即2x 1−1x 1=2x 2−1x 2,也就是f ′(x )=2x ﹣a −1x =0有两异根,即a =2x −1x (x >0)有两个交点.令t (x )=2x −1x (x >0),则t (x )在(0,+∞)上单调递增,当t →0+时,t (x )→﹣∞;当t →+∞时,t (x )→+∞,故y =a 与t (x )=2x −1x (x >0)只有一个交点,故D 错误. 综上所述,AC 正确, 故选:AC .28.已知无穷等差数列{a n }的公差d ∈N *,且5,17,23是{a n }中的三项,则下列结论正确的是( ) A .d 的最大值是6 B .2a 2≤a 8C .a n 一定是奇数D .137一定是数列{a n }中的项【解答】解:∵无穷等差数列{a n }的公差d ∈N *,且5,17,23是{a n }中的三项, ∴设{17−5=12=md 23−17=6=nd ,解得d =6m−n ,∴d 的最大值为6,故A 正确; ∵a 1≤5,d ∈N *,∴2a 2﹣a 8=a 1﹣5d ≤0,故B 正确;∵d =6m−n ,∴当m ﹣n =2时,d =3,数列可能为5,8,11,14,17,20,23,…,故C 错误; ∵137=23+19×6,∴137一定是等差数列{a n }中的项,故D 正确. 故选:ABD .29.已知函数f (x )=(sin x +cos x )|sin x ﹣cos x |,下列说法正确的是( ) A .f (x )是周期函数B .f (x )在区间[−π2,π2]上是增函数 C .若|f (x 1)|+|f (x 2)|=2,则x 1+x 2=kπ2(k ∈Z )D .函数g (x )=f (x )+1在区间[0,2π]上有且仅有1个零点【解答】解:f (x )=(sin x +cos x )|sin x ﹣cos x |={cos 2x −sin 2x ,sinx <cosx sin 2x −cos 2x ,sinx ≥cosx ={cos2x ,sinx <cosx−cos2x ,sinx ≥cosx .其图象如图:由图可知,f (x )是周期为2π的周期函数,故A 正确; f (x )在区间[−π2,π2]上不是单调函数,故B 错误;若|f (x 1)|+|f (x 2)|=2,由|f (x 1)|≤1,|f (x 2)|≤1,则只有|f (x 1)|=|f (x 2)|=1,即x 1,x 2只能是函数的最值点的横坐标, 可得x 1+x 2=kπ2(k ∈Z ),故C 正确;函数g (x )=f (x )+1的图象是把y =f (x )的图象向上平移1个单位得到的,则在区间[0,2π]上有且仅有2个零点,故D 错误. ∴说法正确的是AC . 故选:AC .30.已知F 1,F 2是双曲线E :x 2a 2−y 2b 2=1(a >0,b >0)的左、右焦点,过F 1作倾斜角为π3的直线分别交y 轴、双曲线右支于点M 、点P ,且|PM |=|MF 1|,下列判断正确的是( )A.E的渐近线方程为y=±√2x B.|MF2|=12|PF1|C.E的离心率等于2+√3D.∠F1PF2=π6【解答】解:如右图,由|PM|=|MF1|,可得M为PF1的中点,又O为F1F2的中点,可得OM∥PF2,∠PF2F1=90°,∠PF1F2=60°,∠F1PF2=30°,|MF2|=12|PF1|,故B正确,D正确;设|F1F2|=2c,则|PF1|=2ccos60°=4c,|PF2|=2c tan60°=2√3c,则2a=|PF1|﹣|PF2|=(4﹣2√3)c,可得e=ca =(4−2√3)c=2+√3,ba=√c2a2−1=√6+4√3,则双曲线的渐近线方程为y=±bax即为y=±√6+4√3x.故C正确,A错误.故选:BCD.31.已知函数f(x)=e x﹣cos x,x∈R,下列判断正确的是()A.f(x)在(﹣2π,−32π)单调递增B.f(x)在(﹣π,0)有2个极值点C.f(x)在(﹣2π,−π2)仅有1个极小值D.当﹣4π≤x≤﹣2π时,f(x)≤1【解答】解:函数f(x)=e x﹣cos x,则f′(x)=e x+sin x,对于A,当x∈(﹣2π,−32π)时,f′(x)>0,所以f(x)单调递增,故A正确;对于B,函数f′(x)=e x+sin x的零点,即为方程f′(x)=0的根,作出函数y=﹣sin x与函数y=e x的大致图象,如图所示:由图象可知,当x∈(﹣π,0)时,函数y=﹣sin x与函数y=e x有两个交点,则方程f′(x)=0有两个实根,所以f(x)在(﹣π,0)有2个极值点,故B正确;对于C,由图象可得,函数y=﹣sin x与函数y=e x在(﹣2π,−π2)上只有一个交点,则方程f′(x)=0只有一个实数根x0,且在(﹣2π,x0)上,f′(x)>0,f(x)单调递增,在(x0,−π2)上,f′(x)<0,f(x)单调递减,所以f(x)在x=x0处取得极大值,故C错误;对于D,当x=﹣3π时,f(x)=e﹣3π+1>1,故D错误.故选:AB.32.随着高三毕业日期的逐渐临近,有n(n≥2)个同学组成的学习小组,每人写了一个祝福的卡片准备送给其他同学,小组长收齐所有卡片后让每个人从中随机抽一张作为祝福卡片,则()A.当n=4时,每个人抽到的卡片都不是自己的概率为38B.当n=5时,恰有一人抽到自己的卡片的概率为340C.甲和乙恰好互换了卡片的概率为1n−1−1nD.记n个同学都拿到其他同学的卡片的抽法数为a n,则a n+2=(n+1)(a n+a n+1)n∈N*【解答】解:考虑n+1个同学时的情况,若n+1个同学都拿到其他同学的卡片,则第n+2个同学可以与其中任何一个交换卡片,若n+1个同学只有一个拿到自己的卡片,则第n+2个同学必须与该同学交换卡片,∴a n+2=(n+1)a n+1+(n+1)a n,故D正确;a n+2﹣(n+2)a n+1=﹣[a n+1﹣(n+1)a n],∵a1=0,a2=1,∴a n﹣na n﹣1=(﹣1)n,∴a n=n!⋅∑n i=2(−1)ii!,代入数据可得a4=9,∴当n=4时,每个人抽到的卡片都不是自己的概率为a44!=38,故A正确;当n=5时,恰有一人抽到自己的卡片的概率为5a45!=38,故B错误;甲和乙恰好互换了卡片的概率为(n−2)!n!=1n−1−1n,故C正确.故选:ACD.三.填空题(共18小题)33.已知矩形ABCD中,AB=2,BC=√3,E是CD边的中点.现以AE为折痕将△ADE折起,当三棱锥D﹣ABE的体积最大时,该三棱锥外接球的表面积为16π3.【解答】解:由题意,当平面ADE⊥平面ABE时,三棱锥D﹣ABE的高最大值,此时体积最大.∵△ADE是直角三角形,∴三棱锥D﹣ABE换成B﹣ADE∴底面△ADE外接圆半径r=12AE=1,垂直面△ABE是边长为2等边三角形,可得AE边上的高h=√3;设球心与圆心距离为d,球半径为R,R2=r2+d2……①√3−d=R⋯⋯②由①②解得R=√3;三棱锥外接球的表面积S=4πR2=16π3;故答案为:16π3.34.由正三棱锥S﹣ABC截得的三棱台ABC﹣A1B1C1的各顶点都在球O的球面上,若AB=6,三棱台ABC ﹣A1B1C1的高为2,且球心O在平面ABC与平面A1B1C1之间(不在两平面上),则AB1的取值范围为(2√6,6).【解答】解:该三棱台的横截面如图所示,因为△ABC为正三角形,且AB=6,=2√3,则AH=√3又GH=2,球心O在GH上,A,A1都在球面上,故OA=OA1,设OH=h,A1G=m,则由△A1GO和△AOH均为直角三角形,所以m2+(2﹣h)2=h2+12,解得m2=8+4h,由图可知,h∈(0,2),m∈(0,2√3),综上可得,m∈(2√2,2√3),又A1B1=√3A1G,所以A1B1∈(2√6,6),即AB1的取值范围为(2√6,6).故答案为:(2√6,6).35.设数列a1,a2,a3,a4各项互不相同,且a i∈{1,2,3,4}(i=1,2,3,4).若下列四个关系①a1=1;②a2≠1;③a3=2;④a4≠4中恰有一个正确,则(10a1+a2)﹣(10a3+a4)的最大值是18.【解答】解:若①正确,则②一定正确,因此不符合题意;若②正确,此时令a4=4,a3=1,a1=3,a2=2,则有(10a1+a2)﹣(10a3+a4)的最大值为18;若③正确,此时a4=4,a2=1,a1=3,a3=2,则有(10a1+a2)﹣(10a3+a4)的最大值为7;若④正确,此时a4=2,a3=3,a1=4,a2=1,则有(10a1+a2)﹣(10a3+a4)的最大值为9.综上可得,(10a1+a2)﹣(10a3+a4)的最大值为18.故答案为:1836.设抛物线C1:y=x2﹣2x+2和C2:y=﹣x2+ax+b在它们的一个交点处的切线互相垂直,则C2过定点(1,3).2【解答】解:∵y=x2﹣2x+2,∴y'=2x﹣2,∵y=﹣x2+ax+b,∴y'=﹣2x+a,设交点为(x0,y0),∵它们在一个交点处切线互相垂直,∴(2x0﹣2)(﹣2x0+a)=﹣1,即4x02﹣(2a+4)x0+2a﹣1=0,①由交点分别代入二次函数式,整理得,2x02﹣(2+a)x0+2﹣b=0,即4x02﹣(4+2a)x0+4﹣2b=0,②由①②整理得2a﹣1﹣4+2b=0,即a+b=52,所以C2:y=﹣x2+ax+52−a,令x=1,可得y=32,则C2过定点(1,32),故答案为:(1,32),37.在三棱锥A﹣BCD中,AB=AC=BC=BD=CD=6,AD=9,则三棱锥A﹣BCD外接球O的表面积为84π.【解答】解:如图所示:取BC的中点E,连接AE,DE,取AD的中点F,连接EF,因为AB=AC=BC=BD=CD=6,所以AE⊥BC,DE⊥BC,且三角形ABC和三角形BCD都是正三角形,所以AE=DE=3√3,即三角形ADE为等腰三角形,所以EF⊥AD,且EF平分∠AED,不妨设三角形BCD的外接圆圆心为O′,且O′在DE上,所以EO′=13ED=√3,设外接球的球心为O,半径为R,则OA=OD=R,利用面面垂直可证得平面AED⊥平面BCD,又平面AED∩平面BCD=ED,则球心O必在三角形AED中,又OA=OD=R,所以O在∠AED的角平分线EF上,连接OO′,则OO′⊥平面BCD,即OO′⊥ED,在三角形AED中,由余弦定理可得:cos∠AED=AE2+ED2−AD22AE⋅ED =−12,所以∠AED=120°,所以∠FED=12∠AED=60°,在Rt△EOO′中,tan∠FED=OO′EO′=√3=√3,所以OO′=3,在Rt△OO′D中,OD=R,O′D=2√3,所以R2=OO′2+O′D2=21,所以球O的表面积为S=4πR2=84π,故答案为:84π.38.如图,在三棱锥A﹣BCD中,BC=CD=BD=2√2,AB=AC=AD=2a,若该三棱锥的侧面积是底面积的√3倍,则该三棱锥外接球的表面积为12π.【解答】解:取BC边的中点E,连结AE,如图所示,△BCD外接圆的圆心为F,三棱锥A﹣BCD外接球的球心为O,因为AB=AC且点E为BC的中点,所以AE=√4a2−2,=3√2×√4a2−2=6√2a2−1,由此可知该三棱锥的侧面积S侧底面△BCD的面积为2√3,所以6√2a2−1=√3×2√3,解得a=1,设三棱锥A﹣BCD外接球半径为R,OF=x,因为AB=AC=AD=2,所以点A在底面BCD上的射影为点F,因为AB<BC,故三棱锥外接球球心O在直线AF的延长线上,BF为△BCD外接圆的半径,所以BF=2√6,3)2=4①,在Rt△ABF中,由勾股定理可得(R−x)2+(2√63)=R2②,在Rt△OBF中,由勾股定理可得x2+(2√63,由①②解得R=√3,x=√33所以外接球的表面积S =4πR 2=12π. 故答案为:12π.39.在△ABC 中,点M ,N 是线段BC 上的两点,|MA →|=|MB →|=|MC →|=1,MA →⋅MN →=12,则MA →⋅NA →= 12 ,|NA →|的取值范围是 (12,1] .【解答】解:根据题意,画出大致图形如下:结合题意及图形, 可知MA →•MN →+MA →•NA →=MA →•(MN →+NA →) =MA →•MA →=|MA →|2 =1,∵MA →⋅MN →=12, ∴MA →⋅NA →=1−12=12,又∵12=MA →⋅NA →=|MA →|•|NA →|•cos <MA →,NA →>=|NA →|•cos <MA →,NA →>, ∴|NA →|=12cos <MA →,NA →>,由题意可知点N 在线段BC 上,假设点N 与点B 重合,则12=MA →⋅MN →=MA →•MB →=|MA →|•|MB →|•cos <MA →,MB →>=cos <MA →,MB →>, 即cos ∠BMA =12,∴∠BMA =π3或2π3,∴∠BAM =π3或π6,即cos <MA →,NA →>=12或√32, 假设点N 与点C 重合,则12=MA →⋅MN →=MA →•MC →=|MA →|•|MC →|•cos <MA →,MC →>=cos <MA →,MC →>,此时cos <MA →,NA →>=12或√32, 综合可得,12≤cos <MA →,NA →><1, ∴1≤2cos <MA →,NA →><2, ∴12<12cos <MA →,NA →>≤1,即12<|NA →|≤1, 故答案为:12;(12,1].40.已知一圆锥纸盒母线长为6,其轴截面为正三角形,在纸盒内放置一个棱长为a 的正方体,若正方体可在纸盒内任意转动,则a 的最大值为 2 .【解答】解:由于正方体可在圆锥内任意转动,故当正方体棱长a 最大时,正方体外接球为圆锥内切球, 设圆心为P ,半径为r ,轴截面上球与圆锥母线切点为Q ,SO ⊥AB ,SO 平分AB , 由△SAB 为正三角形,SA =SB =AB =6,OA =OB =3, 因为PB 为∠SAB 的角平分线,所以∠PBA =30°,PO =OB tan30°=√3=r ,由正方体外接球直径与正方体之间的关系可得,2R =√3a , 又正方体外接球为圆锥内切球,所以√3a =2r =2√3,故a =2, 所以a 的最大值为2. 故答案为:2.41.若数列{a n}满足递推公式a n+2=a n+1+a n(n∈N*),且a1=a2,a2020=2021,则a1+a3+a5+…+a2019=2021.【解答】解:∵a1=a2,a n+2=a n+1+a n(n∈N*),且a2020=2021,∴a1+a3+a5+…+a2019=a2+a3+a5+…+a2019=a4+a5+…+a2019=…=a2018+a2019=a2020=2021,故答案为:2021.42.法国著名的军事家拿破仑.波拿巴最早提出的一个几何定理:“以任意三角形的三条边为边向外构造三个等边三角形,则这三个三角形的外接圆圆心恰为另一个等边三角形的顶点”.在三角形ABC中,角A =60°,以AB、BC、AC为边向外作三个等边三角形,其外接圆圆心依次为O1、O2、O3,若三角形O1O2O3的面积为√32,则三角形ABC的周长最小值为3√2.【解答】解:由题意知△O1O2O3为等边三角形,设边长为m,则S△O1O2O3=12m2sin60°=√34m2=√32,解得|O1O2|=m=√2;设BC=a,AC=b,AB=c,如图所示:在△O1AO2中,∠O1AB=∠O1BA=30°,由∠BAC =60°,所以∠O 1AO 2=120°, 在等腰△BO 1A 中,ABO 1A=sin120°sin30°,解得O 1A =√3,同理得O 3A =√3,在△O 1AO 2中,由余弦定理得O 1O 32=O 1A 2+O 3A 2﹣2O 1A •O 3A •cos120°, 即2=c 23+b 23−2•bc 3•(−12),即b 2+c 2+bc =6,在△ABC 中,由余弦定理知, a 2=b 2+c 2﹣2bc cos A =b 2+c 2﹣bc , ∴a =√(b 2+c 2+bc)−2bc =√6−2bc , 又∵(b +c )2=b 2+c 2+bc +bc =6+bc , ∴b +c =√6+bc ,∴△ABC 的周长为a +b +c =√6−2bc +√6+bc , 又∵b 2+c 2≥2bc , ∴b 2+c 2+bc =6≥3bc , ∴bc ≤2.令f (x )=√6−2x +√6+x (0<x ≤2), 则f ′(x )=√6−2x2√6+x ,当f ′(x )<0时,有√6−2x2√6+x0,解得x >3,∴f (x )在(0,2]上单调递减, ∴当x =2时取得最小值,f (2)=3√2. ∴a +b +c ≥3√2,即△ABC 的周长最小值为3√2. 故答案为:3√2.43.设函数f (x )的定义域为D ,若存在x 0∈D ,使得f (x 0+1)=f (x 0)+f (1),则称x 0为函数f (x )的“可拆点”.若函数f(x)=log 2a1+x 2在(0,+∞)上存在“可拆点”,则正实数a 的取值范围为 [3−√5,2) . 【解答】解:由已知可得函数f (x )有“可拆点”, 则log 2(a1+x 2)+log 2(a2)=log 2(a1+(1+x)2)成立,即a1+(1+x)2=a1+x2⋅a2,整理可得:(2﹣a)x2﹣2ax+2﹣2a=0,从而问题转化为方程(2﹣a)x2﹣2ax+2﹣2a=0在区间(0,+∞)上有解,设h(x)=(2﹣a)x2﹣2ax+2﹣2a,由已知可得a>0,则当a>2且x>0时,h(x)<0,方程h(x)=0无解,不满足题意,当a=2时,方程h(x)=0的根为−12,不满足题意,当0<a<2时,函数h(x)的图象的对称轴为x=a2−a>0,要使方程h(x)=0在区间(0,+∞)上有解,只需△=4a2﹣4(2﹣a)(2﹣2a)≥0,解得3−√5≤a≤3+√5,所以3−√5≤a<2,故实数a的取值范围为:[3−√5,2).故答案为:[3−√5,2).44.在棱长为√2的正方体ABCD﹣A1B1C1D1中,棱BB1,B1C1的中点分别为E,F,点P在平面BCC1B1内,作PQ⊥平面ACD1,垂足为Q.当点P在△EFB1内(包含边界)运动时,点Q的轨迹所组成的图形的面积等于√312.【解答】解:连结BD交AC于点O,连结OD1,B1D交于点H,设G为CD1的中点,因为AC⊥BD,AC⊥BB1,BB1∩BD=B,BB1,BD⊂平面BB1D,所以AC⊥平面BB1D,因为B1D⊂平面BB1D,所以B1D⊥AC,同理可证B1D⊥AD1,又AC∩AD1=A,AC,AD1⊂平面ACD1,所以B1D⊥平面ACD1,即点B1在平面ACD1的投影为H,且D1H=2HO,同理,点E,F在面ACD1的投影分别为O,G,所以△EFB1在平面ACD1的投影为△OGH,又AC=√2AB=2,所以HC=HG=13D1C=13AC⋅√32=√33,所以点Q的轨迹所组成的图形的面积S=12CH⋅HG⋅sin120°=√312.故答案为:√312.45.已知F1,F2分别为双曲线x2a2−y2b2=1(a>0,b>0)的左、右焦点,过点F2作圆x2+y2=a2的切线交双曲线左支于点M,且∠F1MF2=60°,则该双曲线的渐近线方程为y=±(1+√33)x.【解答】解:设切点为A,过F1作F1B⊥MF2,垂足为B,由题意可得|OA|=a,|OF2|=c,|AF2|=√c2−a2=b,由OA为△BF1F2的中位线,可得|BF1|=2a,|BF2|=2b,又∠F1MF2=60°,可得|MF1|=|BF1|sin60°=√3,|MB|=√3|MF2|=|MB|+|BF2|=√32b,又|MF2|﹣|MF1|=√3+2b√3=2a,所以b=(1+√33)a,所以双曲线的渐近线方程为y=±(1+√33)x.故答案为:y=±(1+√33)x.46.已知函数f(x)=xe x,g(x)=xe x,h(x)=xlnx,现有以下四个命题:①f(x)﹣g(x)是奇函数;②函数f(x)的图象与函数g(x)的图象关于原点中心对称;③对任意x∈R,恒有f(x)≥g(x);④函数f(x)与函数h(x)的最小值相同其中正确命题的序号是③④.【解答】解:函数f(x)=xe x,g(x)=xe x,h(x)=xlnx,对于①,令F(x)=f(x)﹣g(x)=x•e x﹣x•e﹣x,由于F(﹣x)=F(x)故函数F(x)为偶函数,故①错误;对于②,函数f(﹣x)=﹣x•e﹣x≠﹣f(x),所以函数f(x)不为奇函数,函数g(﹣x)=−xe−x=−x⋅e x≠−g(x),所以函数g(x)不为奇函数,故②错误;对于③,当x=0时,f(x)=g(x)=0,当x>0时,e2x>1,得到e x>1e x,两边同乘以x得到x⋅e x>xe x,即f(x)>g(x),当x<0时,e2x<1,整理得e x<1e x ,两边同乘以x得到x⋅e x>xe x,即f(x)>g(x),故③正确;对于④,f′(x)=(1+x)•e x,令f′(x)<0,得到x<﹣1,f′(x)>0,得到x>﹣1,所以函数f(x)的最小值为f(﹣1)=−e−1=−1e.h′(x)=1+lnx(x>0),令h ′(x )<0,解得0<x <1e , 令h ′(x )>0,解得x >1e ,所以函数h (x )的最小值为h (1e )=1e ⋅ln 1e =−1e =f(−1),故④正确; 故选:③④.47.在△ABC 中,角A ,B ,C 所对的边分别是a ,b ,c ,已知sin A +2sin B =2cos A sin C ,a +b =3√2,△ABC 的面积是√3,则边长c = √14 . 【解答】解:∵sin A +2sin B =2cos A sin C , ∴sin A +2sin (A +C )=2cos A sin C , 即sin A +2sin A cos C +2cos A sin C =2cos A sin C , 即sin A +2sin A cos C =0, ∵sin A ≠0,∴cos C =−12,则C =120°, ∵△ABC 的面积是S =12ab ×√32=√3,∴ab =4,则c 2=a 2+b 2﹣2ab ×(−12)=(a +b )2﹣ab =18﹣4=14, 则c =√14, 故答案为:√14.48.抛物线C :y 2=2px (p >0)的焦点为F ,其准线与x 轴的交点为A ,如果在直线x +y +4=0上存在点M ,使得∠FMA =90°,则实数p 的取值范围是 [4√2,+∞) . 【解答】解:由题意可得F (p2,0),A (−p2,0),∵M 在直线x +y +4=0上,设点M (x ,﹣x ﹣4), ∴AM →=(x +p2,﹣x ﹣4),FM →=(x −p2,﹣x ﹣4),又∠FMA =90°,∴AM →•FM →=(x +p 2)(x −p2)+(﹣x ﹣4)2=0, 即2x 2+8x +16−p24=0,∴△=82﹣4×2×(16−p24)=2p2﹣64≥0,解得p ≤﹣4√2或p ≥4√2, 又p >0,∴p 的取值范围是[4√2,+∞). 故答案为:[4√2,+∞). 49.已知F 1,F 2是双曲线C 1:x 2a2−y 2b 2=1(a >0,b >0)与椭圆C 2:x 225+y 29=1的公共焦点,点P ,Q 分别是曲线C 1,C 2在第一、第三象限的交点,四边形PF 1QF 2的面积为6√6,设双曲线C 1与椭圆C 2的离心率依次为e 1,e 2,则e 1+e 2=2√10+45.【解答】解:由题意可得a 2+b 2=16,根据双曲线C 1与椭圆C 2的对称性可得△PF 1F 2的面积为3√6, 设P (x 0,y 0),(x 0,y 0>0),则{12⋅8⋅y 0=3√6x 0225+y 029=1,解得x 0=5√104,y 0=3√64, 代入双曲线的方程结合b 2=16﹣a 2,可得a 4﹣35a 2+250=0,结合0<a <c =4,解得a =√10, 双曲线的离心率为e 1=c a=√10=2√105, 而椭圆的离心率e 2=45, ∴e 1+e 2=2√10+45. 故答案为:2√10+45.50.一个球被平面截下的一部分叫做球缺,截面叫做球缺的底面,垂直于截面的直径被截下的线段长叫做球缺的高,球缺的体积公式为V =π3(3R −ℎ)ℎ2,其中R 为球的半径,h 为球缺的高.若一球与一棱长为。
2024全国数学高考压轴题(数列)一、单选题1.若数列{b n }、{c n }均为严格增数列 且对任意正整数n 都存在正整数m 使得b m ∈[c n ,c n+1] 则称数列{b n }为数列{c n }的“M 数列”.已知数列{a n }的前n 项和为S n 则下列选项中为假命题的是( )A .存在等差数列{a n } 使得{a n }是{S n }的“M 数列”B .存在等比数列{a n } 使得{a n }是{S n }的“M 数列”C .存在等差数列{a n } 使得{S n }是{a n }的“M 数列”D .存在等比数列{a n } 使得{S n }是{a n }的“M 数列”2.已知函数f(x)及其导函数f ′(x)的定义域均为R 记g(x)=f ′(x).若f(x +3)为奇函数 g(32+2x)为偶函数 且g(0)=−3 g(1)=2 则∑g 2023i=1(i)=( ) A .670B .672C .674D .6763.我们知道按照一定顺序排列的数字可以构成数列 那么按照一定顺序排列的函数可以构成函数列.设无穷函数列{f n (x)}(n ∈N +)的通项公式为f n (x)=n 2+2nx+x 2+1(n+x)(n+1)x ∈(0,1) 记E n 为f n (x)的值域 E =U n=1+∞E n 为所有E n 的并集 则E 为( )A .(56,109)B .(1,109)C .(56,54)D .(1,54)4.已知等比数列{x n }的公比q >−12则( )A .若|x 1+x 2+⋅⋅⋅+x 100|<1 则√|x 1|+√|x 2|+⋅⋅⋅+√|x 100|<10B .若|x 1+x 2+⋅⋅⋅+x 100|>1 则√|x 1|+√|x 2|+⋅⋅⋅+√|x 100|>10C .若|x 1+x 2+⋅⋅⋅+x 101|<1 则√|x 1|+√|x 2|+⋅⋅⋅+√|x 101|<10D .若|x 1+x 2+⋅⋅⋅+x 101|>1 则√|x 1|+√|x 2|+⋅⋅⋅+√|x 101|>105.已知数列{a n } {b n }满足a 1=2 b 1=12 {a n+1=b n +1an b n+1=a n +1bn,,,n ,∈,N ∗ 则下列选项错误的是( ) A .a 2b 2=14B .a 50⋅b 50<112C .a 50+b 50=52√a 50⋅b 50D .|a 50−b 50|≤156.已知数列{a n }满足:a 1=2 a n+1=13(√a n +2a n )(n ∈N ∗).记数列{a n }的前n 项和为S n 则( )A .12<S 10<14B .14<S 10<16C .16<S 10<18D .18<S 10<207.已知数列 {a n } 满足: a 1=100,a n+1=a n +1an则( )A .√200+10000<a 101<√200.01+10000B .√200.01+10000<a 101<√200.1+10000C .√200.1+10000<a 101<√201+10000D .√201+10000<a 101<√210+100008.已知数列 {a n } 满足 a 1=a(a >0) √a n+1a n =a n +1 给出下列三个结论:①不存在 a 使得数列 {a n } 单调递减;②对任意的a 不等式 a n+2+a n <2a n+1 对所有的 n ∈N ∗ 恒成立;③当 a =1 时 存在常数 C 使得 a n <2n +C 对所有的 n ∈N ∗ 都成立.其中正确的是( ) A .①②B .②③C .①③D .①②③9.已知F 为抛物线y 2=4x 的焦点 点P n (x n ,y n )(n =1,2,3,⋯)在抛物线上.若|P n+1F|−|P n F|=1 则( ) A .{x n }是等差数列 B .{x n }是等比数列 C .{y n }是等差数列D .{y n }是等比数列10.已知数列 11 21 12 31 22 13 41 32 23 14… 其中每一项的分子和分母均为正整数.第一项是分子与分母之和为2的有理数;接下来两项是分子与分母之和为3的有理数 并且从大到小排列;再接下来的三项是分子与分母之和为4的有理数 并且从大到小排列 依次类推.此数列第n 项记为 a n 则满足 a n =5 且 n ≥20 的n 的最小值为( ) A .47B .48C .57D .5811.已知△A n B n C n (n =1,2,3,⋯)是直角三角形 A n 是直角 内角A n ,B n ,C n 所对的边分别为a n ,b n ,c n 面积为S n .若b 1=4,c 1=3,b n+12=a n+12+c n 23,c n+12=a n+12+b n 23则下列选项错误的是( )A .{S 2n }是递增数列B .{S 2n−1}是递减数列C .数列{b n −c n }存在最大项D .数列{b n −c n }存在最小项12.已知数列{a n }的各项都是正数 a n+12−a n+1=a n (n ∈N ∗).记b n =(−1)n−1a n −1数列{b n }的前n 项和为S n 给出下列四个命题:①若数列{a n }各项单调递增 则首项a 1∈(0,2)②若数列{a n }各项单调递减 则首项a 1∈(2,+∞)③若数列{a n }各项单调递增 当a 1=32时 S 2022>2④若数列{a n }各项单调递增 当a 1=23时S2022<−5则以下说法正确的个数()A.4B.3C.2D.113.已知正项数列{a n}对任意的正整数m、n都有2a m+n≤a2m+a2n则下列结论可能成立的是()A.a nm+a mn=a mn B.na m+ma n=a m+n C.a m+a n+2=a mn D.2a m⋅a n=a m+n14.古希腊哲学家芝诺提出了如下悖论:一个人以恒定的速度径直从A点走向B点要先走完总路程的三分之一再走完剩下路程的三分之一如此下去会产生无限个“剩下的路程” 因此他有无限个“剩下路程的三分之一”要走这个人永远走不到终点.另一方面我们可以从上述第一段“三分之一的路程”开始通过分别计算他在每一个“三分之一距离”上行进的时间并将它们逐个累加不难推理出这个人行进的总时间不会超过一个恒定的实数.记等比数列{a n}的首项a1=13公比为q 前n项和为S n则造成上述悖论的原理是()A.q=16,∃t∈R,∀n∈N ∗,Sn<t B.q=13,∃t∈R,∀n∈N∗,S n<tC.q=12,∃t∈R,∀n∈N ∗,Sn<t D.q=23,∃t∈R,∀n∈N∗,S n<t15.已知sinx,siny,sinz依次组成严格递增的等差数列则下列结论错误的是()A.tanx,tany,tanz依次可组成等差数列B.cosx,cosy,cosz依次可组成等差数列C.cosx,cosz,cosy依次可组成等差数列D.cosz,cosx,cosy依次可组成等差数列16.记U={1,2,⋯,100}.对数列{a n}(n∈N∗)和U的子集T 若T=∅定义S T=0;若T={t1,t2,⋯,t k}定义S T=a t1+a t2+⋯+a tk.则以下结论正确的是()A.若{a n}(n∈N∗)满足a n=2n−1,T={1,2,4,8}则S T=15B.若{a n}(n∈N∗)满足a n=2n−1则对任意正整数k(1≤k≤100),T⊆{1,2,⋯,k},S T< a kC.若{a n}(n∈N∗)满足a n=3n−1则对任意正整数k(1≤k≤100),T⊆{1,2,⋯,k},S T≥a k+1D .若{a n }(n ∈N ∗)满足a n =3n−1 且C ⊆U ,D ⊆U ,S C ≥S D 则S C +S C∩D ≥2S D17.已知数列 {a n }、{b n }、{c n } 满足 a 1=b 1=c 1=1,c n =a n+1−a n ,c n+2=bn+1b n ⋅c n (n ∈N ∗),S n =1b 2+1b 3+⋯+1b n (n ≥2),T n =1a 3−3+1a 4−4+⋯+1a n −n (n ≥3) 则下列有可能成立的是( )A .若 {a n } 为等比数列 则 a 20222>b 2022B .若 {c n } 为递增的等差数列 则 S 2022<T 2022C .若 {a n } 为等比数列 则 a 20222<b 2022D .若 {c n } 为递增的等差数列 则 S 2022>T 202218.已知数列{a n }满足a 1=1 a n =a n−1+4(√a n−1+1√an−1)(n ∈N ∗,n ≥2) S n 为数列{1a n }的前n 项和 则( ) A .73<S 2022<83B .2<S 2022<73C .53<S 2022<2 D .1<S 2022<5319.已知数列{a n }满足a n ⋅a n+1⋅a n+2=−1(n ∈N ∗),a 1=−3 若{a n }的前n 项积的最大值为3 则a 2的取值范围为( ) A .[−1,0)∪(0,1] B .[−1,0)C .(0,1]D .(−∞,−1)∪(1,+∞)20.已知正项数列{a n }的前n 项和为S n (a n +1)2=4S n 记b n =S n ⋅sin nπ2+S n+1⋅sin (n+1)π2若数列{b n }的前n 项和为T n 则T 100=( ) A .-400B .-200C .200D .40021.设S n 是等差数列{a n }的前n 项和 a 2=−7 S 5=2a 1 当|S n |取得最小值时 n =( )A .10B .9C .8D .722.已知数列{a n }中 a 2+a 4+a 6=285 na n =(n −1)a n+1+101(n ∈N ∗) 当数列{a n a n+1a n+2}(n ∈N ∗)的前n 项和取得最大值时 n 的值为( ) A .53B .49C .49或53D .49或5123.定义在R 上的函数序列{f n (x)}满足f n (x)<1nf n ′(x)(f n ′(x)为f n (x)的导函数) 且∀x ∈N ∗ 都有f n (0)=n .若存在x 0>0 使得数列{f n (x 0)}是首项和公比均为q 的等比数列 则下列关系式一定成立的是( ).A .0<q <2√2e x 0B .0<q <√33e x 0C .q >2√2e x 0D .q >√33e x 024.已知数列{a n }的前n 项和为S n 满足a 1=1 a 2=2 a n =a n−1⋅a n+1(n ≥2) 则( )A .a 1:a 2:a 3=a 6:a 7:a 8B .a n :a n+1:a n+2=1:2:2C .S 6 S 12 S 18成等差数列D .S 6n S 12n S 18n 成等比数列25.已知S n 为数列{a n }的前n 项和 且a 1=1 a n+1+a n =3×2n 则S 100=( )A .2100−3B .2100−2C .2101−3D .2101−226.已知 {a n } 为等比数列 {a n } 的前n 项和为 S n 前n 项积为 T n 则下列选项中正确的是( )A .若 S 2022>S 2021 则数列 {a n } 单调递增B .若 T 2022>T 2021 则数列 {a n } 单调递增C .若数列 {S n } 单调递增 则 a 2022≥a 2021D .若数列 {T n } 单调递增 则 a 2022≥a 2021二、多选题27.“冰雹猜想”也称为“角谷猜想” 是指对于任意一个正整数x 如果x 是奇数㩆乘以3再加1 如果x 是偶数就除以2 这样经过若干次操作后的结果必为1 犹如冰雹掉落的过程.参照“冰雹猜想” 提出了如下问题:设k ∈N ∗ 各项均为正整数的数列{a n }满足a 1=1 a n+1={a n2,a n 为偶数,a n +k ,a n 为奇数,则( )A .当k =5时 a 5=4B .当n >5时 a n ≠1C .当k 为奇数时 a n ≤2kD .当k 为偶数时 {a n }是递增数列28.已知数列{a n } a 2=12且满足a n+1a n 2=a n −a n+1 n ∈N ∗ 则( ) A .a 4−a 1=1929B .a n 的最大值为1C .a n+1≥1n+1D .√a 1+√a 2+√a 3+⋅⋅⋅+√a 35>1029.已知数列{a n }的前n 项和为S n a 1=1 且4a n ⋅a n+1=a n −3a n+1(n =1 2 …) 则( )A .3a n+1<a nB .a 5=1243C .ln(1an )<n +1D .1≤S n <171430.如图 已知正方体ABCD −A 1B 1C 1D 1顶点处有一质点Q 点Q 每次会随机地沿一条棱向相邻的某个顶点移动 且向每个顶点移动的概率相同.从一个顶点沿一条棱移动到相邻顶点称为移动一次.若质点Q 的初始位置位于点A 处 记点Q 移动n 次后仍在底面ABCD 上的概率为P n 则下列说法正确的是( )A .P 2=59B .P n+1=23P n +13C .点Q 移动4次后恰好位于点C 1的概率为0D .点Q 移动10次后仍在底面ABCD 上的概率为12(13)10+1231.已知数列{a n } {b n } 有a n+1=a n −b n b n+1=b n −a n n ∈N ∗ 则( )A .若存在m >1 a m =b m 则a 1=b 1B .若a 1≠b 1 则存在大于2的正整数n 使得a n =0C .若a 1=a a 2=b 且a ≠b 则b 2022=−b ×22020D .若a 1=−1 a 2=−3 则关于x 的方程2a 3+(2a 3+1)cosx +2cos2x +cos3x =0的所有实数根可构成一个等差数列32.已知△A n B n C n (n =1,2,3,⋯)是直角三角形 A n 是直角 内角A n 、B n 、C n 所对的边分别为a n 、b n 、c n 面积为S n 若b 1=4 c 1=3 b n+12=a n+12+c n 23 c n+12=a n+12+b n 23则( ) A .{S 2n }是递增数列 B .{S 2n−1}是递减数列 C .{b n −c n }存在最大项D .{b n −c n }存在最小项33.已知S n 是数列{a n }的前n 项和 且S n+1=−S n +n 2 则下列选项中正确的是( ).A .a n +a n+1=2n −1(n ≥2)B .a n+2−a n =2C .若a 1=0 则S 100=4950D .若数列{a n }单调递增 则a 1的取值范围是(−14,13)三、填空题34.已知n ∈N ∗ 将数列{2n −1}与数列{n 2−1}的公共项从小到大排列得到新数列{a n } 则1a 1+1a 2+⋯+1a 10= .35.若函数f(x)的定义域为(0,+∞) 且f(x)+f(y)=f(xy) f(a n )=n +f(n) 则∑f ni=1(a i i )= .36.在数列{a n }中 a 1=1 a n+1=a n +1an(n∈N ∗) 若t ∈Z 则当|a 7−t|取得最小值时 整数t 的值为 .37.已知函数f(x)满足f(x −2)=f(x +2),0≤x <4时 f(x)=√4−(x −2)2 g(x)=f(x)−k n x(n ∈N ∗,k n >0).若函数g(x)的图像与x 轴恰好有2n +1个不同的交点 则k 12+k 22+⋅⋅⋅+k n 2= .38.已知复数z =1+i 对于数列{a n } 定义P n =a 1+2a 2+⋅⋅⋅+2n−1a n n为{a n }的“优值”.若某数列{a n}的“优值”P n =|z|2n 则数列{a n }的通项公式a n = ;若不等式a n 2−a n +4≥(−1)nkn 对于∀n ∈N ∗恒成立 则k 的取值范围是 .39.数列{a n }是公比为q(q ≠1)的等比数列 S n 为其前n 项和. 已知a 1⋅a 3=16 S3q=12 给出下列四个结论: ①q <0 ;②若存在m 使得a 1,a 2,⋅⋅⋅,a m 的乘积最大 则m 的一个可能值是3; ③若存在m 使得a 1,a 2,⋅⋅⋅,a m 的乘积最大 则m 的一个可能值是4; ④若存在m 使得a 1,a 2,⋅⋅⋅,a m 的乘积最小 则m 的值只能是2. 其中所有正确结论的序号是 .40.如图 某荷塘里浮萍的面积y (单位:m 2)与时间t (单位:月)满足关系式:y =a t lna (a 为常数) 记y =f(t)(t ≥0).给出下列四个结论:①设a n=f(n)(n∈N∗)则数列{a n}是等比数列;②存在唯一的实数t0∈(1,2)使得f(2)−f(1)=f′(t0)成立其中f′(t)是f(t)的导函数;③常数a∈(1,2);④记浮萍蔓延到2m23m26m2所经过的时间分别为t1t2t3则t1+t2>t3.其中所有正确结论的序号是.41.在现实世界很多信息的传播演化是相互影响的.选用正实数数列{a n}{b n}分别表示两组信息的传输链上每个节点处的信息强度数列模型:a n+1=2a n+b n,b n+1=a n+2b n(n=1,2⋯)描述了这两组信息在互相影响之下的传播演化过程.若两组信息的初始信息强度满足a1>b1则在该模型中关于两组信息给出如下结论:①∀n∈N∗,a n>b n;②∀n∈N∗,a n+1>a n,b n+1>b n;③∃k∈N∗使得当n>k时总有|a nb n−1|<10−10④∃k∈N∗使得当n>k时总有|a n+1a n−2|<10−10.其中所有正确结论的序号是答案解析部分1.【答案】C2.【答案】D3.【答案】C4.【答案】A5.【答案】D6.【答案】B7.【答案】A8.【答案】A9.【答案】A10.【答案】C11.【答案】B12.【答案】B13.【答案】D14.【答案】D15.【答案】B16.【答案】D17.【答案】B18.【答案】D19.【答案】A20.【答案】C21.【答案】C22.【答案】D23.【答案】D24.【答案】C25.【答案】D26.【答案】D27.【答案】A,C,D28.【答案】B,C,D29.【答案】A,D30.【答案】A,C,D 31.【答案】A,C,D 32.【答案】A,C,D 33.【答案】A,C 34.【答案】102135.【答案】n(n+1)236.【答案】4 37.【答案】n 4(n+1) 38.【答案】n+1;[−163,5] 39.【答案】①②③ 40.【答案】①②④ 41.【答案】①②③。
2024高考数学压轴题特训(多选题)1.(2024·广东韶关·一模)已知定义在R 上的函数()(),f x g x 的导函数分别为()(),f x g x '',且()()4f x f x =−,()()()()14,10f x g x f x g x ''+−=++=,则( ) A .()g x 关于直线1x =对称 B .()31g '=C .()f x '的周期为4D .()()()0f n g n n ''⋅=∈Z【答案】ACD【详解】由()(4)f x f x =−,得(1)(3)f x f x +=−①,(1)()4f x g x +−=②,得(3)(2)4f x g x −−−=③,由①②③,得()(2)g x g x =−,所以函数()g x 图象关于直线1x =对称,故A 正确; 由()(2)g x g x =−,得()(2)g x g x ''=−−,令1x =,得(1)0g '=; 由(1)()4f x g x +−=,得(1)()0f x g x ''+−=, 令1x =,得(2)(1)0f g ''==, ∴(2)(1)0f x g x ''+−+=④,又()(1)0f x g x ''++=⑤,令2x =,得(2)(3)0f g ''==,故B 错误; ④⑤两式相加,得(2)()0f x f x ''++=,得(4)(2)0f x f x ''+++=, 所以()(4)f x f x ''=+,即函数()f x '的周期为4,故C 正确; 由(2)()0f x f x ''++=,令2x =,得(4)(2)0f f ''+=,所以(4)0f '=, 所以(1)(1)(2)(2)(3)(3)(4)(4)()()0()f g f g f g f g f n g n n ====''''''''=''=∈Z ,故D 正确.故选:ACD2.(2024·广东广州·一模)已知直线y kx =与曲线ln y x =相交于不同两点11(,)M x y ,22(,)N x y ,曲线ln y x =在点M 处的切线与在点N 处的切线相交于点00(,)P x y ,则( )A .1k e<<0 B .120e x x x = C .1201y y y +=+ D .121y y <【答案】ACD 【详解】令()ln x f x x =,则()1ln xf x x−'=, 故()0,e x ∈时,()f x 递增;()e,x ∞∈+时,()f x 递减, 所以()f x 的极大值()1e ef =,且1x >,()0f x >,因为直线y kx =与曲线ln y x =相交于11(,)M x y 、22(,)N x y 两点, 所以y k =与()f x 图像有2个交点, 所以10e<<k ,故A 正确; 设1122(,),(,)M x y N x y ,且121e x x <<<,可得1122ln ,ln kx x kx x ==,ln y x =在,M N 点处的切线程为11221211ln (),ln (),y x x x y x x x x x −=−−=− 1112221ln ()1ln ()y x x x x y x x x x ⎧−=−⎪⎪⎨⎪−=−⎪⎩,得002112ln ln x x x x x x −=−,即2121012212112ln ln ln ln x x x x x x x x x x x x x −−==−−, 因为2121ln ln x x k x x −=−,所以012x x x k =,即1201x x x k=,故B 错误; 因为112112ln ln y x x k x x x ===,所以2112ln ln x x x x =, 因为00(,)P x y 为两切线的交点, 所以21211122210101212121ln ln ln ln ln ln 1ln 1ln 11x x x x x x x x x x y x x x x x x x x x −−+−=+−=+−=−−−, 即2211021ln ln 1x x x x y x x −=−−,所以2211021ln ln 1x x x x y x x −+=−,所以()()122121112212221112120212121ln ln ln ln ln ln ln ln ln ln 1x x x x x x x x x x x x x x x x y y x x y x x x x x x +−−+−−+=+====+−−−,故C 正确;因为11kx y =,所以11ln ln ln k x y +=,所以11ln ln k y y +=, 同理得22ln ln k y y +=,得1122ln ln y y y y −=−,即21211ln ln y y y y −=−,因为2121ln ln y y y y −>−121y y <,故D 正确.故选:ACD.3.(2024·广东佛山·一模)对于棱长为1(单位:m )的正方体容器(容器壁厚度忽略不计),下列说法正确的是( )A .底面半径为1m ,高为2m 的圆锥形罩子(无底面)能够罩住水平放置的该正方体B .以该正方体的三条棱作为圆锥的母线,则此圆锥的母线与底面所成角的正切值为C .该正方体内能同时整体放入两个底面半径为0.5m ,高为0.7m 的圆锥D 3的圆锥 【答案】BCD【详解】对于A ,若高为2m 的圆锥形罩子刚能覆盖水平放置的正方体,考虑圆锥的轴截面,如图,BC =ABC ADE △△∽,所以12BC DE =,所以DE =,1>,A 错误;对于B ,如图,以AB ,1AA ,AD 三条棱作为圆锥母线,底面所在平面为平面1A BD , 等价于求AB 与平面1A BD 所成角的正切值,因为11A A BD B AA D V V −−=,所以111111132232h ⎛⎫⎛⎫⨯=⨯⨯⨯⨯ ⎪ ⎪ ⎪⎝⎭⎝⎭,所以点A 到平面1A BD 的距离为h则此圆锥的母线1AA 与底面1A BD2=,B 正确;对于C ,如图,以矩形11BB D D 的中心为圆锥底面圆圆心,半径为0.5, 分别以1AA ,1CC 的中点E ,F 为两个圆锥的顶点,0.7>,C 正确;对于D ,如图,1AC 的中点P 作垂线MN ,分别交AC ,11A C 于点M ,N ,则1tan PM AP C AC =⋅∠==以正方体的体对角线1AC 作为圆锥的轴,1C 为圆锥顶点,MN 为圆锥底面圆的直径时,该圆锥的体积为22111ππ33V PM C P =⨯⨯=⨯=>⎝⎭,D 正确.事实上,以正方体的体对角线1AC 作为轴,1C 为顶点的圆锥的体积最大值, 显然底面圆心在线段AP 上(不含P 点),设AG x =, 当GI 与MN (M 为AC 的四等分点)重合时,MP NP =,因此04x <≤,因为1AGH AC C ∽△△,所以11AG AH GH AC AC CC ==,则1,,AH GH x C H ==,圆锥体积2211()π1,03V x GH C H x x ⎛⎫⎛=⨯⨯=<≤ ⎪ ⎪ ⎝⎭⎝⎭,()(2)0V x '>在⎛ ⎝⎦上恒成立, 所以(x)V在0,4⎛ ⎝⎦上单调递增,体积的最大值为ππ41617V ⎛=> ⎝⎭, D 正确. 故选:BCD.4.(2024·广东·一模)已知正方体1111ABCD A B C D −的各个顶点都在表面积为3π的球面上,点P 为该球面上的任意一点,则下列结论正确的是( ) A .有无数个点P ,使得//AP 平面1BDC B .有无数个点P ,使得AP ⊥平面1BDCC .若点P ∈平面11BCC B ,则四棱锥P ABCD −D .若点P ∈平面11BCC B ,则1AP PC +【答案】ACD 【详解】令正方体1111ABCD A B C D −的外接球半径为r ,24π3πr =,r =11BD AB ==,连接1111,,AB AD B D ,由四边形11ABC D 是该正方体的对角面,得四边形11ABC D 是矩形,即有11//AD BC ,而1BC ⊂平面1BDC ,1AD ⊄平面1BDC ,则1//AD 平面1BDC , 同理1AB //平面1BDC ,又1111,,AB AD A AB AD =⊂平面11AB D ,因此平面11//AB D 平面1BDC ,令平面1ABD 截球面所得截面小圆为圆M , 对圆M 上任意一点(除点A 外)均有//AP 平面1BDC ,A 正确;对于B ,过A 与平面1BDC 垂直的直线AP 仅有一条,这样的P 点至多一个,B 错误;对于C ,平面11BCC B 截球面为圆R ,圆R 的半径为2,则圆R 上的点到底面ABCD 的距离因此四棱锥P ABCD −的体积的最大值为113⨯=,C 正确; 对于D ,显然AB ⊥平面11BCC B ,在平面11BCC B 内建立平面直角坐标系,如图,令点)P θθ,而11111(,),(,)2222B C −−,因此AP ==1PC ==(sin cos )2x θθ+=,1AP PC +==,当且仅当12x =−取等号,此时1(sin cos )22θθ+=−,即π1sin()42θ+=−,因此1AP PC +D 正确.故选:ACD5.(2024·山东济南·一模)下列等式中正确的是( )A .8881C 2k k ==∑B .82392C C k k ==∑C .82111!8!k k k =−=−∑ D .()8828160C C k k ==∑【答案】BCD【详解】对于A ,因为()801228888881C C C C x x x x +=++++,令1x =,得881288888121C C C 1C k k ==++++=+∑,则88811C 2kk ==−∑,故A 错误;对于B ,因为2331C C C n n n ++=,所以8222223222234833482C C C C C C C C C k k ==++++=++++∑322323448889C C C C C C =+++==+=,故B 正确;对于C ,因为()()()()()()!1!11!1111!!!1!!1!!k k k k k k k k k k k k −−−−−−===−−−,所以()882211111111111!1!!1!2!2!3!7!8!8!k k k k k k ==⎡⎤−=−=−+−++−=−⎢⎥−⎣⎦∑∑,故C 正确. 对于D ,()()()1688111x x x +=++, 对于()161x +,其含有8x 的项的系数为816C ,对于()()8811x x ++,要得到含有8x 的项的系数,须从第一个式子取出()08,N k k k ≤≤∈个x ,再从第二个式子取出8k −个x , 它们对应的系数为()088288808C CC kk kk k =−==∑∑,所以()8828160C C k k ==∑,故D 正确.故选:BCD.6.(2024·山东青岛·一模)已知函数()cos sin2xf x x =+,则( ) A .()f x 在区间π0,6⎛⎫⎪⎝⎭单调递增B .()f x 的图象关于直线πx =对称C .()f x 的值域为90,8⎡⎤⎢⎥⎣⎦D .关于x 的方程()f x a =在区间[0,2π]有实数根,则所有根之和组成的集合为{}π,2π,4π【答案】BCD【详解】对于A :当π0,6x ⎛⎫∈ ⎪⎝⎭时sin 02x >,所以2()cos sin 12sin sin 222x xx f x x =+=−+,因为sin 2x y =在π0,6⎛⎫ ⎪⎝⎭上单调递增,又πsin 124===,所以sin 0,24x ⎛∈ ⎝⎭, 因为49316>,即74>172044=>,即124>,12>,所以π1sin 124>, 又221y x x =−++在1,4∞⎛⎫− ⎪⎝⎭上单调递增,在1,4⎛⎫+∞ ⎪⎝⎭上单调递减,所以212sin sin 22xx y =−+在π0,6⎛⎫ ⎪⎝⎭上不单调,即()f x 在区间π0,6⎛⎫ ⎪⎝⎭不单调,故A 错误;对于B :因为()()()2π2πcos 2πsin cos sin 22x xf x x x f x −−=−+=+=, 所以()f x 的图象关于直线πx =对称,故B 正确;对于C :因为()22cos sin 12sin sin 12sin sin 22222x x x x xf x x =+=−+=−+,令sin2x t =,则[]0,1t ∈,令()212h t t t =−+,[]0,1t ∈, 则()h t 在10,4⎡⎤⎢⎥⎣⎦上单调递增,在1,14⎡⎤⎢⎥⎣⎦上单调递减,又()01h =,()10h =,1948h ⎛⎫= ⎪⎝⎭,所以()90,8h t ⎡⎤∈⎢⎥⎣⎦,所以()f x 的值域为90,8⎡⎤⎢⎥⎣⎦,故C 正确;对于D :当[0,2π]x ∈时sin02x ≥,所以()2cos sin 12sin sin 222x x xf x x =+=−+, 由A 选项可令π0,6α⎡⎤∈⎢⎥⎣⎦且1sin 24α=,则当[]0,x α∈时()f x 单调递增, 令π222x α<<,即πx α<<时sin 2x y =在(),πα上单调递增,且1sin 142x <<,所以()f x 在(),πα上单调递减,又2π1sinsin 224αα−==,令π2π222x α−<<,即π2πx α<<−时sin 2xy =在()π,2πα−上单调递减,且1sin 142x<<, 所以()f x 在()π,2πα−上单调递增, 当2ππ22x α−<<,即2π2πx α−<<时sin 2xy =在()2π,2πα−上单调递减,且10sin24x <<, 所以()f x 在()2π,2πα−上单调递减,又()()02π1f f ==,()π0f =,()()92π8f f αα=−=, 所以()f x 在[0,2π]上的函数图象如下所示:由图可知:①当0a =时()y f x =与y a =有且仅有一个交点, 即关于x 的方程()f x a =在区间[0,2π]的实数根为π; ②当01a <<或98a =时()y f x =与y a =有两个交点, 即关于x 的方程()f x a =在区间[0,2π]有两个实数根,且两根关于πx =对称, 所以两根之和为2π; ③当918a ≤<时()y f x =与y a =有四个交点, 即关于x 的方程()f x a =在区间[0,2π]有四个实数根,不妨设为1234,,,x x x x 且1234x x x x <<<,所以1x 与4x 关于πx =对称,2x 与3x 关于πx =对称, 所以12344πx x x x +++=; ④当a<0或98a >时()y f x =与y a =无交点, 即关于x 的方程()f x a =在区间[0,2π]无实数根;综上可得,若关于x 的方程()f x a =在区间[0,2π]有实数根,则所有根之和组成的集合为{}π,2π,4π,故D 正确;故选:BCD7.(2024·山东聊城·一模)设()f x 是定义在R 上的可导函数,其导数为()g x ,若()31f x +是奇函数,且对于任意的x ∈R ,()()4f x f x −=,则对于任意的k ∈Z ,下列说法正确的是( )A .4k 都是()g x 的周期B .曲线()y g x =关于点()2,0k 对称C .曲线()y g x =关于直线21x k =+对称D .()4g x k +都是偶函数 【答案】BC【详解】由()31f x +是奇函数,故有()()3131f x f x +=−−+,即有()()11f x f x +=−−+, 故,则()()11f x f x ''+=−+,即()()11g x g x +=−+,故()g x 关于1x =对称, 由()()4f x f x −=,则()()4f x f x '−−=',即()()4g x g x −−=, 故()g x 关于()2,0中心对称,由()()4g x g x −−=,则()()31g x g x −−=+,又()()11g x g x +=−+, 故()()13g x g x −+=−−,即有()()13g x g x +=−+, 则()()35g x g x +=−+,故()()()351g x g x g x +=−+=−+, 即()()15g x g x +=+,故()()4g x g x =+,故()g x 周期为4. 对A :当0k =时,40k =,故A 错误; 对B :由()g x 周期为4,故()()4g k x g x −=−,又()()4g x g x −−=,故()()g x g x −−=,故()()()4g x g x g k x −=−=−, 故曲线()y g x =关于点()2,0k 对称,故B 正确; 对C :由()g x 周期为4,故()()422g k x g x +−=−, 又()()11g x g x +=−+,故()()()242g x g x g k x =−+=+−,故曲线()y g x =关于直线21x k =+对称,故C 正确;对D :由B 得()()4g x g k x −=−,故()()4g x g k x −−=+,又()g x 周期为4, 故有()()4g x g k x −−=−−,故()()44g k x g k x +=−−,又x ∈R , 即()4g x k +都是奇函数,故D 错误. 故选:BC.8.(2024·山东烟台·一模)给定数列{}n a ,定义差分运算:2*11Δ,ΔΔΔ,N n n n n n n a a a a a a n ++=−=−∈.若数列{}n a 满足2n a n n =+,数列{}n b 的首项为1,且()1*Δ22,N n n b n n −=+⋅∈,则( )A .存在0M >,使得Δn a M <恒成立B .存在0M >,使得2Δn a M <恒成立C .对任意0M >,总存在*n ∈N ,使得n b M >D .对任意0M >,总存在*n ∈N ,使得2Δnnb M b > 【答案】BC【详解】对于A ,由2n a n n =+,得22(1)(1)()22n a n n n n n ∆=+++−+=+,显然Δn a 有最小值4,无最大值,因此不存在0M >,使得Δn a M <恒成立,A 错误;对于B ,由选项A 知,22n a n ∆=+,则22(1)2(22)2n a n n ∆=++−+=,显然当2M >时,2Δn a M <恒成立,B 正确;对于C ,由1Δ(2)2n n b n −=+⋅,得11(2)2n n n b b n −+−=+⋅,当2n ≥时,12132431()()()()n n n b b b b b b b b b b −=+−+−+−++−即01221324252(1)2n n b n −=+⨯+⨯+⨯+++⨯,于是0122122232422(1)2n n n b n n −−=⨯+⨯+⨯++⨯++⨯,两式相减得11221111211222(1)21(1)2212n n n n n n b n n n −−−−−−−=+++++−+⨯=+−+⨯=−⨯−,因此12n n b n −=⋅,显然11b =满足上式,则12n n b n −=⋅,由11(2)20n n n b b n −+−=⋅>+,得数列{}n b 是递增数列,n b 有最小值1,无最大值, 从而对任意0M >,总存在*n ∈N ,使得n b M >,C 正确; 对于D ,121(2Δ)2(3(2))42nn n n n n b n −−⋅−+⋅==++⋅,由选项C 得2Δ41n n b b n=+, 显然数列{41}n+是递减数列,4015n <+≤,因此对任意0M >,不存在*n ∈N ,使得2Δnnb M b >成立,D 错误. 故选:BC9.(2024·山东济宁·一模)如图,在棱长为2的正方体1111ABCD A B C D −中,M 是棱BC 的中点,N 是棱1DD 上的动点(含端点),则下列说法中正确的是( )A .三棱锥1A AMN −的体积为定值B .若N 是棱1DD 的中点,则过A ,M ,N 的平面截正方体1111ABCD A BCD −所得的截面C .若N 是棱1DD 的中点,则四面体1D AMN −的外接球的表面积为7π D .若CN 与平面1AB C 所成的角为θ,则sin θ∈⎣⎦【答案】AD【详解】对于A,连接1A M ,因为11//DD AA ,1AA ⊂平面1A AM ,1DD ⊄平面1A AM , 所以1//DD 平面1A AM ,又点N 是棱1DD 上的动点(含端点),所以点N 到平面1A AM 的距离为定值,设为d ,则1111133A AMN N A AM A AMV V Sd d −−==⨯⨯==,为定值,故A 正确;对于B,如图,四边形AMHN 为过A ,M ,N 的平面截正方体1111ABCD A B C D −所得的截面图形,因为平面11//A ADD 平面11B BCC , 且平面11A ADD 平面AMHN AN =,且平面11B BCC ⋂平面AMHN MH =, 根据面面平行的判断定理知,//AN MH , 又因为,M N 为中点,所以H 为四等分点, 则四边形AMHN 的周长为:222AM MH HN AN +++=+=, 故B 错误;对于C,如图所示,连接1AD ,取AD 的中点为M ', 连接MM ',设1AD N 外接圆圆心为O ',外接球球心为O , 连接O M '',则OE O M =',在1AD N 中,设其外接圆半径为r ,由正弦定理知,12sin ANrAD N ===∠,所以rO N '=依题易得1AND DM A ≅',故AM D AND ''∠=∠, 弦1AD 所对的圆周角相等,故1,,,A M N D '四点共圆,则O M O N '='=' 设外接球半径为R ,过O 作OE MM ⊥',交MM '于E , 则在Rt OEM △中,222OM OE ME =+,即()2222R OO =+−⎝⎭',① 在Rt OO N '中,222ON OO O N '+'=,即2222R OO ⎛⎫=+ ⎪ ⎪⎝⎭',②联立①②,解得271,2OO R ==', 故外接球的表面积为24π14πR =, 故C 错误;对于D ,以A 为坐标原点,建立如下图所示空间直角坐标系,则()()()()[]10,0,0,2,0,2,2,2,0,0,2,,0,2A B C N λλ∈, 则()()()12,0,2,2,2,0,2,0,AB AC CN λ===−, 设平面1AB C 的法向量(),,n x y z =,则102202200n AB x z x y n AC ⎧⋅=+=⎧⎪⇒⎨⎨+=⋅=⎩⎪⎩,令1x =,则1y z ==−,故()1,1,1n =−−,则sin cos ,3n CN n CN n CNθ⋅===⋅== 当0λ=时,sin θ=,当0λ≠时,sin 3θ==≤=, 当且仅当2λ=时等号成立,又sin θ=>综上可知,sin θ∈⎣⎦,故D 正确,故选:AD.10.(2024·山东淄博·一模)把底面为椭圆且母线与底面都垂直的柱体称为“椭圆柱”.如图,椭圆柱(OO '中椭圆长轴4AB =,短轴CD =12,F F 为下底面椭圆的左右焦点,2F '为上底面椭圆的右焦点,4AA '=, P 为线段BB '上的动点,E 为线段A B ''上的动点,MN 为过点2F 的下底面的一条动弦(不与AB 重合),则下列选项正确的是( )A .当12//F F '平面PMN 时,P 为BB '的中点 B .三棱锥22F F CD '−外接球的表面积为8πC .若点Q 是下底面椭圆上的动点,Q '是点Q 在上底面的射影,且1Q F ',2Q F '与下底面所成的角分别为,αβ,则()tan αβ+的最大值为1613− D .三棱锥E PMN −体积的最大值为8 【答案】ACD【详解】由题设,长轴长4AB A B ''==,短轴长CD =,则1221OF OF O F '===',得22,F F '分别是,OB O B ''中点,而柱体中ABB A ''为矩形,连接OB ',由21//B F OF '',211B F OF '==',∴四边形12FOB F ''为平行四边形,12//OB F F '', 当12//F F '平面PMN 时,12F F '⊂平面ABB A '',平面ABB A ''⋂平面2PMN PF =, 则122//F F PF ',有2//OB PF ',OBB '△中,2F 是OB 中点,则P 为BB '的中点,A 选项正确;2OF CD ⊥,CD =21OF =,则2F CD △中,222CF DF ==,2120CF D ∠=, 2F CD △外接圆半径为2122sin CD r CF D =⨯=∠,22//F F AA '',则22F F '⊥平面2F CD ,三棱锥22F F CD '−外接球的半径为R = 所以外接球的表面积为24π32πR =,B 选项错误;点Q 是下底面椭圆上的动点,Q '是点Q 在上底面的射影,且1Q F ',2Q F '与下底面所成的角分别为,αβ,令12,QF m QF n ==,则4m n +=,又4QQ '=, 则4tan m α=,4tan n β=,()()4tan tan 16tan 1tan tan 1616m n mn mn αβαβαβ+++===−−−,()()216tan 212m αβ+=−−−,由椭圆性质知13m ≤≤,则当1m =或3m =时,()tan αβ+的最大值为1613−,C 选项正确;由22E PMN M PEF N PEF V V V −−−=+,要使三棱锥E PMN −体积最大, 只需2PEF △的面积和,M N 到平面2PEF 距离之和都最大,222PEF BF EB PBF PEB S S SS''=−−,令,EB a PB b '==,且[],0,4a b ∈,则4PB b '=−,()()()21111411422222PEF b a Sa b a b −=⨯⨯+−⨯⨯−⨯⨯−=+, 当4a b ==时,有最大值28PEF S =,在下底面内以O 为原点,构建如上图的直角坐标系,且()0,2B ,则椭圆方程为22143y x+=,设:1MN y tx =+,联立椭圆得()2234690t x tx ++−=,()2Δ14410t =+>,2269,3434M N M N t x x x x t t +=−=−++,M N x x −==令1l =≥,212121313M N l x x l l l−==++,由对勾函数性质可知13y l l=+在[)1,+∞上递增,max1234M Nx x −==, 综上,三棱锥E PMN −体积的最大值为18383⨯⨯=,D 选项正确.故选:ACD11.(2024·山东泰安·一模)已知函数()f x 的定义域为R ,且()10f =,若()()()2f x y f x f y +=++,则下列说法正确的是( )A .()14f −=−B .()f x 有最大值C .()20244046f =D .函数()2f x +是奇函数【答案】ACD【详解】对于A 中,令0x y ==,可得()02f =−,令1,1x y ==−, 则()()()11112f f f −=−++,解得()14f −=−,所以A 正确;对于B 中,令121,x x y x x ==−,且12x x <,则()()()1211212f x x x f x f x x +−=+−+, 可得()()()21212f x f x f x x −=−+,若0x >时,()2f x >−时,()()210f x f x −>,此时函数()f x 为单调递增函数; 若0x <时,()2f x <−时,()()210f x f x −<,此时函数()f x 为单调递减函数, 所以函数()f x 不一定有最大值,所以B 错误;对于C 中,令1y =,可得()()()()1122f x f x f f x +=++=+, 即()()12f x f x +−=, 所以()()()()()()()()()()2024202420232023202232211f f f f f f f f f f ⎡⎤⎡⎤⎡⎤⎡⎤=−+−++−+−+⎣⎦⎣⎦⎣⎦⎣⎦2023204046=⨯+=,所以C 正确;对于D 中,令y x =−,可得()()()02f f x f x =+−+,可得()()220f x f x ++−+=, 即()()22f x f x ⎡⎤+=−−+⎣⎦,所以函数()2f x +是奇函数,所以D 正确; 故选:ACD.12.(2024·山东菏泽·一模)如图,过点(,0)(0)C a a >的直线AB 交抛物线22(0)y px p =>于A ,B 两点,连接AO 、BO ,并延长,分别交直线x a =−于M ,N 两点,则下列结论中一定成立的有( )A .//BM ANB .以AB 为直径的圆与直线x a =−相切C .AOB MON S S =△△D .24MCN ANC BCM S S S =⋅△△△【答案】ACD 【详解】对于A ,令()()1122:,,,,AB x my a A x y B x y =+,联立22x my ay px =+⎧⎨=⎩,消x 可得2220y pmy pa −−=,则()2Δ280pm pa =+>,12122,2y y pa y y pm =−+=,()21212222x x m y y a pm a +=++=+,则1111111,:,,OA y y ay k OA y x M a x x x ⎛⎫==−− ⎪⎝⎭ 故()12211112212220BMay pay y x y y y pakx a x a y x a +++====+++,同理0,//AN k BM AN =∴,故A 正确; 对于C ,设x a =−与x 轴交于P ,,PONAOCMOPBOCSSSS==,则,PONMOPAOCBOCSSS S++=,AOB MON S S =△△,故C 正确;对于D ,()()112211,22ANCBCMS x a y S x a y =+=−+ 则()()()()12121212112244ANC BCMSSx a x a y y my a my a y y ⋅=−++=−++ ()221212121244m y y am y y a y y ⎡⎤=−+++⎣⎦ ()()()221222424m pa am pm a pa ⎡⎤=−−++−⎣⎦()222pa pm a =+, 而121212||||2MCNMPCNPCSSSa y y a y y =+=⋅−=−, 所以()()()22222221212124424MCNANCBCMS a y y a y y y y pa pm a SS⎡⎤=−=+−=+=⋅⎣⎦,故D 正确;对于B ,AB 中点1212,22x x y y Q ++⎛⎫ ⎪⎝⎭,即()2,,Q pm a pa +− 则Q 到直线x a =−的距离22d pm a =+,以AB 为直径的圆的半径122AB y =−所以()()222224AB d p a a p m −=+−,当2p a =时相切,当2pa ≠时不相切,故B 错误.故选:ACD.13.(2024·湖北·一模)已知函数()32f x ax bx cx d =+++存在两个极值点()1212,x x x x <,且()11f x x =−,()22f x x =.设()f x 的零点个数为m ,方程()()2320a f x bf x c ⎡⎤++=⎣⎦的实根个数为n ,则( )A .当0a >时,3n =B .当a<0时,2m n +=C .mn 一定能被3整除D .m n +的取值集合为{}4,5,6,7【答案】AB 【详解】由题意可知()232f x ax bx c '=++为二次函数,且()1212,x x x x <为()f x '的零点,由()()()()2320f f x a f x bf x c ⎡⎤+⎦'=+=⎣得()1f x x =或()2f x x =,当0a >时,令()0f x '>,解得1x x <或2x x >;令()0f x '<,解得12x x x <<; 可知:()f x 在()()12,,,x x ∞∞−+内单调递增,在()12,x x 内单调递减, 则1x 为极大值点,2x 为极小值点, 若10x ≥,则120x x −≤<,因为()()12f x f x >,即12x x −>,两者相矛盾,故10x <, 则()2f x x =有2个根,()1f x x =有1个根,可知3n =, 若()220f x x =>,可知1m =,3,4mn m n =+=; 若()220f x x ==,可知2m =,6,5mn m n =+=; 若()220f x x =<,可知3m =,9,6mn m n =+=; 故A 正确;当0a <时,令()0f x '>,解得12x x x <<;令()0f x '<,解得1x x <或2x x >; 可知:()f x 在()12,x x 内单调递增,在内()()12,,,x x ∞∞−+单调递减, 则2x 为极大值点,1x 为极小值点, 若20x ≤,则120x x −>≥,因为()()12f x f x <,即12x x −<,两者相矛盾,故20x >,若()110f x x =−>,即10x <,可知1m =,3n =,3,4mn m n =+=; 若()110f x x =−=,即10x =,可知2m =,4n =,8,6mn m n =+=; 若()110f x x =−<,即1>0x ,可知3m =,5n =,15,8mn m n =+=; 此时2m n +=,故B 正确;综上所述:mn 的取值集合为{}3,6,8,9,15,m n +的取值集合为{}4,5,6,8, 故CD 错误; 故选:AB.14.(2024·湖北武汉·模拟预测)已知函数()()1e 1ln e 11xx x f x a x +⎛⎫=+−+ ⎪−⎝⎭恰有三个零点,设其由小到大分别为123,,x x x ,则( )A .实数a 的取值范围是10,e ⎛⎫⎪⎝⎭B .1230x x x ++=C .函数()()()g x f x kf x =+−可能有四个零点D .()()331e x f x f x '='【答案】BCD【详解】对于B ,()11e0ln 01e 1xxx f x a x +−⎛⎫=⇔+= ⎪−+⎝⎭, 设()11eln 1e 1xxx h x a x +−⎛⎫=+ ⎪−+⎝⎭,则它的定义域为()1,1−,它关于原点对称, 且()()11e 11e ln ln 1e 11e 1x xx x x x h x a a h x x x −−⎛⎫−−+−⎛⎫⎛⎫−=+=−+=− ⎪ ⎪ ⎪++−+⎝⎭⎝⎭⎝⎭,所以()h x 是奇函数,由题意()0h x =有三个根123,,x x x ,则1230x x x ++=,故B 正确; 对于C ,由()()()()110e 1ln e 1e 1ln e 1011x x xx x x f x kf x a a x x −−⎡⎤+−⎛⎫⎛⎫+−=⇒+−+++−+= ⎪ ⎪⎢⎥−+⎝⎭⎝⎭⎣⎦, 所以()1ln 11e 1e 1ln 01e 1e e 1e x x x xx x x x x a k a x ⎡⎤+⎛⎫ ⎪⎢⎥+−−−⎛⎫⎝⎭⎢⎥++−= ⎪−++⎝⎭⎢⎥⎢⎥⎣⎦, 所以11e11e ln ln 1e 1e1e 1xxx xx x k x a a x x ⎡⎤+−+−⎛⎫⎛⎫+=+ ⎪⎢ ⎪⎥−+−+⎝⎭⎝⎭⎣⎦,即11e ln 101e 1e xx x x k a x ⎡⎤+−⎛⎫⎛⎫+−=⎢ ⎪⎥ ⎪−+⎝⎭⎝⎭⎣⎦已经有3个实根123,,x x x , 当0k >时,令10e xk−=,则ln x k =,只需保证123ln ,,k x x x ≠可使得方程有4个实根,故C 正确;由B 可知,13x x =−,而()()()()333331e e x x f x f x f x f x ''='=⇔−', 又()()()()333322331122e lne 1e ,e ln e 111111x x xx xx x f x a a f x a a x x x x ''−+=++−−=++−−−+−, 所以()()3333323312e lne 1e 11x x x xf x a a x x +++−−'=− ()333333233331112lne 11e ln ln e 11111x x x x x x a a a a x x x x −+−=++−+−−++−−+ ()()()333333331e e 1lne 1e 1x x x x xf x a f x x +=−++−+='−−',故D 正确; 对于A ,11e ln 1e 1x xx a x +−⎛⎫=− ⎪−+⎝⎭,设()()11e ln ,1e 1x x x p x a m x x +−⎛⎫==− ⎪−+⎝⎭, 则()()()2222e ,1e 1xxa p x m x x ''==−+,所以()()102,02p a m =='', 从而1102,024a a <<<<,故A 错误.故选:BCD.15.(2024·福建·模拟预测)已知正方体1111ABCD A B C D −的棱长为2,棱,AB BC 的中点分别为E ,F ,点G 在底面1111D C B A 上,且平面EFG 平面1ACD ,则下列说法正确的是( )A .若存在λ使得11A G GD λ=,则12λ= B .若11G C D ∈,则EG平面11ADD AC .三棱锥1G BCD −体积的最大值为2 D .二面角D EF G −−【答案】BCD【详解】如图,建立空间直角坐标系,依题意,()()()()()12,0,0,0,2,0,0,0,2,2,1,0,1,2,0A C D E F ,设()00,,2G x y ,则()()()()1002,2,0,2,0,2,1,1,0,2,1,2AC AD EF EG x y =−=−=−=−−, 设平面1ACD 的一个法向量为()1111,,n x y z =,则111n ACn AD ⎧⊥⎪⎨⊥⎪⎩,所以1111111220220n AC x y n AD x z ⎧⋅=−+=⎪⎨⋅=−+=⎪⎩,令11x =,则111y z ==,即()11,1,1n =,设平面EFG 的一个法向量()2222,,n x y z =,则22n EFn EG⎧⊥⎪⎨⊥⎪⎩,所以()()22222020202120n EF x y n EG x x y y z ⎧⋅=−+=⎪⎨⋅=−+−+=⎪⎩,令21x =,则002231,2x y y z −−==即00231,1,2x y n −−⎛⎫= ⎪⎝⎭,因为平面EFG 平面1ACD ,所以12//n n ,即00312x y −−=,所以001x y +=,选项A :若存在λ使得11A G GD λ=,则点G 在线段11A D 上,所以00y =,即01x =, 所以G 为11A D 的中点,即1λ=,故A 错误;选项B :若11G C D ∈,则00x =,即01y =,所以G 为11C D 的中点,因为E 为AB 的中点,所以11//,AE D G AE D G =,故四边形1AEGD 为平行四边形, 所以1//EG AD ,EG ⊄平面11ADD A ,1AD ⊂平面11ADD A ,所以EG 平面11ADD A ,故B正确;选项C :因为()()()1000,2,2,2,2,0,,,2DC DB DG x y ===,设平面1DBC 的一个法向量为()3333,,n x y z =,则313n DC n DB ⎧⊥⎪⎨⊥⎪⎩,所以3133333220220n DC y z n DB x y ⎧⋅=+=⎪⎨⋅=+=⎪⎩,令31y =,则331x z ==−, 即()31,1,1n =−−,设G 到平面1DBC的距离为33DG n xd n ⋅−=== 又1DBC 为等边三角形且边长为(12DBC S==所以11011221333GDBC DBC V Sd x −=⋅⋅=⨯=+,又001x ≤≤,所以当01x =时,三棱锥1G BC D −体积的最大值为2,故C 正确;选项D :因为1DD ⊥平面DEF ,所以平面DEF 的一个法向量为()10,0,2DD =, 平面EFG 的一个法向量()11,1,1n =,则1111112cos ,32DD n DD n DD n ⋅===⨯⋅, 因为二面角D EF G −−为锐角,所以二面角D EF G −−D 正确; 故选:BCD.16.(2024·福建泉州·模拟预测)已知函数()22f x x x =−+,()2g x x a =+,则( )A .()()f x g x ≤恒成立的充要条件是12a ≥ B .当14a =时,两个函数图象有两条公切线C .当12a =时,直线4410x y −+=是两个函数图象的一条公切线 D .若两个函数图象有两条公切线,以四个切点为顶点的凸四边形的周长为2+,则1a =【答案】ACD 【详解】对于A ,若()()f x g x ≤恒成立,即()()0g x f x −≥恒成立,而222()()222g x f x x a x x x x a −=++−=−+)2112(022x a =−+−≥恒成立,所以102a −≥,解得12a ≥,故A 正确;对于B ,设切点1(x ,1())f x ,2(x ,2())g x ,()22f x x =−+',()2g x x '=,有()()()()121222121122121222222x x f x g x f x g x x x x a x x x x x −+=⎧−⎪==⇒−+−−⎨=−⎪⎩'−'①②,①代入②,可得2112210x x a −+−=, 当14a =时,代入方程解得:2118830x x −+=, 643480∆=−⨯⨯<,方程无解,即两个函数图象无公切线,故B 错误;对于C ,当12a =时,代入方程2112210x x a −+−=得:2114410x x −+=, 112x =,故1()12f '=,13()24f =,所以函数()f x 与()g x 的一条公切线为:4410x y −+=,故C 正确; 对于D ,如图,不妨设切线与()f x 切于,A B ,与()g x 切于,C D , 设(A A x ,)A y ,(B B x ,)B y ,(C C x ,)C y ,(D D x ,)D y ,()22f x x '=−+,()2g x x '=, 故()()()222,()222A C A C B D B D f x g x x x f x g x x x =⇒−+'==⇒−+=''' 所以1A C x x +=,1B D x x +=,()()22221A C A A C C A C A A y y x x x a x x x x x a a +=−+++=+−++=+,同理1B D y y a +=−,则AC 中点即可BD 中点,所以四边形ABCD 是平行四边形,由A 处的切线方程为()()()2222222A A A A A A y x x x x x y x x x =−+−−+⇒=−++,C 处的切线方程为()2222C C C C C y x x x x a y x x x a =−++⇒=−+,得22AC x x a +=,即21A C x x a−=,结合1A C x x +=可知A x ,C x 是方程22210x x a −+−=的根, 由C 选项可知:,A B 是()f x 的两个切点,所以B x ,A x 也是方程22210x x a −+−=的根,所以22210BB x x a −+−=,且()Δ481840a a =−−=−>,故12a >,则C B x x =,2222222121C B C B B B B CB y y x a x x a x x a a =−=++−=+−=−=−,||AB ===||||211AB BC a +−=,0t t =>,则(()(2101101t t t t −=⇒−+=⇒=,11a =⇒=,故D 正确. 故选:ACD .17.(2024·福建莆田·一模)已知定义在R 上的函数()f x 满足:()()()()3f x y f x f y xy x y +=+−+,则( )A .()y f x =是奇函数B .若()11f =,则()24f −=C .若()11f =−,则()3y f x x =+为增函数D .若()30,0x f x x ∀>+>,则()3y f x x =+为增函数【答案】ABD【详解】对A :()f x 定义域为R ,关于原点对称; 对原式,令0x y ==,可得()()020f f =,解得()00f =;对原式,令y x =−,可得()()()0f f x f x =+−,即()()0f x f x +−=, 故()y f x =是奇函数,A 正确;对B :对原式,令1x y ==,可得()()22132f f =−⨯, 又()11f =,则()22164f =⨯−=−;由A 可知,()y f x =为奇函数,故()()224f f −=−=,故B 正确;对C :由A 知,()00f =,又()11f =−,对()3y f x x =+,当0x =时,()000y f =+=;当1x =时,()110y f =+=;故()3y f x x =+在()11f =−时,不是单调增函数,故C 错误;对D : 在R 上任取12x x >,令()()3h x f x x =+,则()()()()33121122h x h x f x x f x x −=+−−()()()()221222121212f x x x f x x x x x x x ⎡⎤=−+−+−++⎣⎦()()()()()()()2212212212221212123f x x f x x x x x x x f x x x x x x x ⎡⎤=−+−−−+−+−++⎣⎦ ()()()()221212*********f x x x x x x x x x x x x =−−−+−++()()()22121212122f x x x x x x x x =−+−+−()()31212f x x x x =−+−,由题可知()30,0x f x x ∀>+>,又120x x −>,故()()312120f x x x x −+−>,即()()120h x h x −>,()()12h x h x >,故()y h x =在R 上单调递增,也即()3y f x x =+在R 上单调递增,故D 正确;故选:ABD.18.(2024·福建漳州·模拟预测)如图,在棱长为4的正方体1111ABCD A B C D −中,E ,F 分别是棱11A B ,1DD 的中点,G 为底面ABCD 上的动点,则下列说法正确的是( )A .当G 为AD 的中点时,EF CG ⊥B .若G 在线段BD 上运动,三棱锥A GEF −的体积为定值C .存在点G ,使得平面EFG 截正方体所得的截面面积为D .当G 为AD 的中点时,三棱锥1A EFG −的外接球表面积为236π9【答案】ACD【详解】对于A 选项,以B 为坐标原点,建立如图1所示的空间直角坐标系,则()2,0,4E ,()4,4,2F ,()0,4,0C ,()4,2,0G , 所以()2,4,2EF =−,()4,2,0CG =−,因为()244200EF CG ⋅=⨯+⨯−+=,所以EF CG ⊥,故A 选项正确;对于B 选项,当点G 与点B 重合时,如图2所示,1132444323A GEF F AGE V V −−==⨯⨯⨯⨯=,当点G 与点D 重合时,如图3所示,118422323A GEF E AGF V V −−==⨯⨯⨯⨯=,所以三棱锥A GEF −的体积不是定值,故B 选项错误;对于C 选项,当G 为BC 中点时,平面EFG 截正方体所得的截面为正六边形EKFHGJ ,如图4所示,其中H ,J ,K 为相应边的中点,则正六边形EKFHGJ 的边长为所以该截面的面积为(26=G ,符合题意,故C 选项正确;对于D 选项,当G 为AD 的中点时,如图5所示,易知1EA ⊥平面1A FG ,因为11A F A G ==FG =所以由余弦定理的推论得22211111cos 2A F AG FG FAG A F AG +−∠==⋅45=, 所以13sin 5FAG ∠=,设1A FG △的外接圆半径为r ,则12sin 5FG r FAG ===∠r =, 设三棱锥1A EFG −的外接球半径为R ,则222150591299A E R r ⎛⎫=+=+=⎪⎝⎭, 所以三棱锥1A EFG −的外接球的表面积为2236π49R π=,故D 选项正确, 故选:ACD .19.(2024·全国·模拟预测)设()f x ,()g x 都是定义在R 上的奇函数,且()f x 为单调函数,()11f >,若对任意x ∈R 有()()f g x x a −=(a 为常数),()()()()222g f x g f x x ++=+,则( )A .()20g =B .()33f <C .()f x x −为周期函数D .21(4)22nk f k n n =>+∑【答案】BC【详解】在()()f g x x a −=中,令0x =得()()()000a f g f ===,所以()()0f g x x −=,又()f x 为单调函数,所以()0g x x −=,即()g x x =,所以()()222f x f x x ++=+, 所以()22g =,所以A 错误;由()()314f f +=,得()()3413f f =−<,所以B 正确; 设()()h x f x x =−,则由()()222f x f x x ++=+, 可得()()20h x h x ++=,所以()()420h x h x +++=, 所以()()4h x h x +=,即()f x x −为周期函数,所以C 正确;由()()4h x h x +=,得()()44f x x f x x +−−=−,即()()44f x f x +−=, 所以(){}4f k 为等差数列,且()()404f f −=,即()44f =, 所以()()44414f k k k =+−=,所以()()21144222nk n n f k n n =+=⨯=+∑,所以D 错误. 故选:BC .20.(2024·福建龙岩·一模)如图,在棱长为2的正方体1111ABCD A B C D −中,已知,,M N P 分别是棱111,,C D AA BC 的中点,点Q 满足[]1,0,1CQ CC λλ=∈,下列说法正确的是( )A .不存在λ使得1QA QB ⊥ B .若,,,Q M N P 四点共面,则14λ=C .若13λ=,点F 在侧面11BB C C 内,且1//A F 平面APQ ,则点FD .若12λ=,由平面MNQ 分割该正方体所成的两个空间几何体1Ω和2Ω,某球能够被整体放入1Ω或2Ω,则该球的表面积最大值为(12π−【答案】ACD【详解】正方体中,由1QA AC AB >=,故1QAB 中,1AB 不可能是直角三角形的斜边, 即不存在λ使得1QA QB ⊥,A 选项正确;,R S 分别是棱11,A D AB 的中点,点Q 为1CC 中点时,平面MNP 在正方体上的截面为正六边形MRNSPQ ,则,,,Q M N P 四点共面,有12λ=,B 选项错误; 若13λ=,则Q 为1CC 上靠近C 点的三等分点,取1BB 上靠近1B 的三等分点G ,11B C 的中点H ,连接11,,A H AG GH则在正方形11BB C C 中,可得//GH PQ ,GH ⊄平面APQ ,PQ ⊂平面APQ ,则有//GH 平面APQ ,同理可由1//A H AP ,证明1//A H 平面APQ ,1,A H GH ⊂平面1AGH ,1A H GH H ⋂=,所以平面1//A GH 平面APQ , 点F 在侧面11BB C C 内,且1//A F 平面APQ ,所以GH 即为点F 的轨迹,GH ===C 选项正确;若12λ=,则Q 为1CC 的中点,平面MNQ 分割该正方体所成的两个空间几何体1Ω和2Ω, 平面MNQ 在正方体上的截面为正六边形MRNSPQ ,某球能够被整体放入1Ω或2Ω,该球的表面积最大时,是以1B 为顶点,底面为正六边形MRNSPQ 的正六棱锥的内切球,正六边形MRNSPQ 1622⨯=正六棱锥1B MRNSPQ −32设该球的半径为R ,由体积法可得1136332R ⎛⎫⨯=⨯ ⎪⎝⎭,解得R =(24π12πS R ==−,D 选项正确. 故选:ACD21.(2024·福建福州·模拟预测)通信工程中常用n 元数组()123,,,,n a a a a 表示信息,其中0i a =或()*1,N ,1i n i n ∈≤≤.设()()()123123,,,,,,,,,,,n n u a a a a v b b b b d u v ==表示u 和v中相对应的元素(i a 对应i b ,1,2,,i n =⋯)不同的个数,则下列结论正确的是( )A .若()0,0,0,0,0u =,则存在5个5元数组v ,使得(),1d u v =B .若()1,1,1,1,1u =,则存在12个5元数组v ,使得(),3d u v =C .若n 元数组00,0,,0n w ⎛⎫⎪= ⎪⎝⎭个,则()()(),,,d u w d v w d u v +≥D .若n 元数组11,1,,1n w ⎛⎫⎪= ⎪⎝⎭个,则()()(),,,d u w d v w d u v +≥【答案】ACD【详解】选项A :由题意,5个位置选则1个位置安排1即可,满足条件的数组共有。
数列大题压轴练-新高考数学复习分层训练(新高考通用)1.(2023·云南曲靖·宣威市第七中学校考模拟预测)记n S 为数列{}n a 的前n 项和,n T 为数列{}n S 的前n 项和,已知2n n S T +=.(1)求证:数列{}n S 是等比数列;(2)求数列{}n na 的前n 项和n A .2.(2023·辽宁铁岭·校联考模拟预测)已知数列{}n a 中,11a =,214a =,且1(1)(2,3,4,)nn na n n a n a +=-=⋅⋅⋅-.(1)设*111()n n b n N a +=-∈,试用n b 表示1n b +,并求{}n b 的通项公式;(2)设*1sin 3()cos cos n n n n c N b b +=∈,求数列{}n c 的前n 项和n S .3.(2023·湖南株洲·统考一模)数列{}n a 满足13a =,212n n n a a a +-=.(1)若21n bn a =+,求证:{}n b 是等比数列.(2)若1n nnc b =+,{}n c 的前n 项和为n T ,求满足100n T <的最大整数n .4.(2023·河北衡水·河北衡水中学校考模拟预测)已知数列{}n a 满足21n n n a xa ya ++=+()N n +∈,11a =,22a =,n S 为数列{}n a 前n 项和.(1)若2x =,1y =-,求n S 的通项公式;(2)若1x y ==,设n T 为n a 前n 项平方和,证明:214n n n T S S -<恒成立.5.(2023·山西朔州·怀仁市第一中学校校考二模)已知数列{}n a 满足13a =,且12,1,n n na n a a n +⎧=⎨-⎩是偶数是奇数.(1)设221n n n b a a -=+,证明:{}3n b -是等比数列;(2)设数列{}n a 的前n 项和为n S ,求使得不等式2022n S >成立的n 的最小值.6.(2022春·河北衡水·高三校联考阶段练习)已知正项数列{}n a 的前n 项和为n S ,且满足11a =,23a =,2132n n n a a a ++=-,数列{}n c 满足()22221232341n c c c n c n +++++= .2024年高考数学专项突破数列大题压轴练(解析版)(1)求出{}n a ,{}n c 的通项公式;(2)设数列()()1221log 1n n c n a +⎧⎫⋅+⎪⎪⎨⎬+⎡⎤⎪⎪⎣⎦⎩⎭的前n 项和为n T ,求证:516<n T .7.(2022秋·河北衡水·高三河北衡水中学校考阶段练习)已知数列{}n a 的前n 项和n S 满足36S =,2n n S n na =+,*n ∈N .(1)求{}n a 的通项公式;(2)数列{}n b ,{}n c ,{}n d 满足()21211n n n a b a +=+-,12121n n n n n c b b b b --= ,且2nn nc d n =⋅,求数列{}n d 的前n 项和n T .8.(2023·广东·校联考模拟预测)已知数列{}n a 的前n 项和为n S ,且312323n S S S nS n +++⋅⋅⋅+=.(1)求数列{}n a 的通项公式;(2)若n n b na =,且数列{}n b 的前n 项和为n T ,求证:当3n ≥时,()311421n n n T n +≤+--.9.(2022秋·山东青岛·高三山东省莱西市第一中学校考阶段练习)对于项数为m 的数列{}n a ,若满足:121m a a a ≤<<< ,且对任意1i j m ≤≤≤,i j a a ⋅与j ia a 中至少有一个是{}n a 中的项,则称{}n a 具有性质P .(1)如果数列1a ,2a ,3a ,4a 具有性质P ,求证:11a =,423a a a =⋅;(2)如果数列{}n a 具有性质P ,且项数为大于等于5的奇数,试判断{}n a 是否为等比数列?并说明理由.10.(2022秋·山东青岛·高三统考期末)记数列{}n a 的前n 项和为n S ,11a =,______.给出下列两个条件:条件①:数列{}n a 和数列{}1n S a +均为等比数列;条件②:1121222n n n n a a a na -+++⋅⋅⋅+=.试在上面的两个条件中任选一个,补充在上面的横线上,完成下列两问的解答:(注:如果选择多个条件分别解答,按第一个解答计分.)(1)求数列{}n a 的通项公式;(2)记正项数列{}n b 的前n 项和为n T ,12b a =,23b a =,14n n n T b b +=⋅,求211(1)ni i i i b b +=⎡⎤-⎣⎦∑.11.(2022·湖北·黄冈中学校联考模拟预测)已知数列{}n a 满足0n a ≠,*N n ∈.(1)若2210n n n a a ka ++=>且0n a >.(ⅰ)当{}lg n a 成等差数列时,求k 的值;(ⅱ)当2k =且11a =,4a =2a 及n a 的通项公式.(2)若21312n n n n a a a a +++=-,11a =-,20a <,[]34,8a ∈.设n S 是{}n a 的前n 项之和,求2020S 的最大值.12.(2022秋·湖南长沙·高三校考阶段练习)已知数列{}n a 的前n 项和1122n n n S a -⎛⎫=--+ ⎪⎝⎭(n *∈N ),数列{}n b 满足2nn n b a =.(1)求证:数列{}n b 是等差数列,并求数列{}n a 的通项公式;(2)设数列{}n c 满足()()131n nn n a c n λ--=-(λ为非零整数,n *∈N ),问是否存在整数λ,使得对任意n *∈N ,都有1n n c c +>.13.(2022秋·湖南衡阳·高三衡阳市一中校考期中)已知n S 为数列{}n a 的前n 项和,25a =,14n n n S S a +=++;{}n b 是等比数列,29b =,1330bb +=,公比1q >.(1)求数列{}n a ,{}n b 的通项公式;(2)数列{}n a 和{}n b 的所有项分别构成集合A ,B ,将A B ⋃的元素按从小到大依次排列构成一个新数列{}n c ,求2012320T c c c c =++++ .14.(2022·浙江·模拟预测)已知正项数列{}n a 满足11a =,当2n ≥时,22121n n a a n --=-,{}n a 的前n 项和为n S .(1)求数列{}n a 的通项公式及n S ;(2)数列{}n b 是等比数列,q 为数列{}n b 的公比,且13b q a ==,记21n n n nS a c b-+=,证明:122733n c c c ≤++⋅⋅⋅+<15.(2022秋·广东广州·高三校联考阶段练习)已知数列{}n a 的前n 项和为n S ,且12a =,132n n S S +=+,数列{}n b 满足()1122,n n n b b b n++==,其中*n ∈N .(1)分别求数列{}n a 和{}n b 的通项公式;(2)在n a 与1n a +之间插入n 个数,使这2n +个数组成一个公差为n c 的等差数列,求数列{}n n b c 的前n 项和nT16.(2023·辽宁朝阳·校联考一模)已知数列{}n a 的前n 项和为()+N 1=∈+n nS n n ,数列{}n b 满足11b =,且()1+N 2+=∈+nn n b b n b (1)求数列{}n a 的通项公式;(2)求数列{}n b 的通项公式;(3)对于N n +∈,试比较1n b +与n a 的大小.17.(2022秋·广东深圳·高三校考阶段练习)记n S 为数列{}n a 的前n 项和,已知{}12,32n n a a S =-是公差为2的等差数列.(1)求{}n a 的通项公式;(2)若{}11,n n n n n a b b a a ++=的前n 项和为n T ,求证:14n T <.18.(2022秋·江苏常州·高三常州市第一中学校考阶段练习)已知正项数列{}n a满足)1,2n n a a n n -+-∈≥N ,11a =.数列{}n b 满足各项均不为0,14b =,其前n项的乘积112n n n T b -+=⋅.(1)求数列{}n a 通项公式;(2)设2log n n c b =,求数列{}n c 的通项公式;(3)记数列(){}1nn a -的前2m 项的和2m S ,求使得不等式21210m S c c c ≥+++L 成立的正整数m 的最小值.19.(2022秋·江苏宿迁·高三沭阳县建陵高级中学校考期中)已知数列{}n a 满足2123n n n a a a ++=+,112a =,232a =.(1)证明:数列{}1n n a a ++为等比数列,求{}n a 的通项公式.(2)若数列{}n a 的前n 项和为n S ,且()*127N 4n S n n λ⎛⎫+≥-∈ ⎪⎝⎭恒成立,求实数λ的取值范围.20.(2022秋·江苏南通·高三江苏省如东高级中学校考阶段练习)等差数列{}n a 的前n 项和为n S ,且4224,21n n S S a a ==+.数列{}n b 的前n 项和为n T ,且112n n na T ++=(1)求数列{}{},n n ab 的通项公式;(2)数列{}n c 满足cos ,,n n na n n cb n π⎧=⎨⎩为奇数为偶数,求21ni i c =∑.21.(2023秋·广东·高三校联考期末)已知数列1:A a ,2a ,…,n a ,…满足10a =,11i i a a +=+(1,2,,,i n = ),数列A 的前n 项和记为n S .(1)写出3S 的最大值和最小值;(2)是否存在数列A ,使得20221011S =如果存在,写出此时2023a 的值;如果不存在,说明理由.22.(2023秋·山东日照·高三校联考期末)已知数列{}n a 的各项均为非零实数,其前n 项和为(0)n n S S ≠,且21n n n n S a S a ++⋅=⋅.(1)若32S =,求3a 的值;(2)若1a a =,20232023a a =,求证:数列{}n a 是等差数列,并求其前n 项和.23.(2023秋·江苏南京·高三南京市第一中学校考期末)已知数列{}{},n n a b 满足222,1n n n n n a b a b +=-=.(1)求{}{},n n a b 的通项公式;(2)记数列n n a b ⎧⎫⎨⎬⎩⎭的前n 项和为n S ,证明:11121n n S n +≤-+-.24.(2023春·湖南长沙·高三湖南师大附中校考阶段练习)已知数列{}n a 各项都不为0,12a =,24a =,{}n a 的前n 项和为n S ,且满足14n n n a a S +=.(1)求{}n a 的通项公式;(2)若12311231C C CC C n nn nnnn nn nb a a a a a --=+++⋅⋅⋅++,求数列112n n n n b b b ++⎧⎫+⎨⎬⎩⎭的前n 项和n T .25.(2023春·江苏南京·高三校联考阶段练习)已知数列{}n a 中11a =,其前n 项和记为n S ,且满足()()1232n n S S S n S ++⋅⋅⋅+=+.(1)求数列()1n S n n ⎧⎫⎪⎪⎨⎬+⎪⎪⎩⎭的通项公式;(2)设无穷数列1b ,2b ,…n b ,…对任意自然数m 和n ,不等式1m n m n nb b b m a +--<+均成立,证明:数列{}n b 是等差数列.26.(2023·山东·沂水县第一中学校联考模拟预测)在如图所示的平面四边形ABCD 中,ABD △的面积是CBD △面积的两倍,又数列{}n a 满足12a =,当2n ≥时,()()1122n n n n BD a BA a BC --=++- ,记2nn n a b =.(1)求数列{}n b 的通项公式;(2)求证:2221211154n b b b +++< .27.(2022秋·湖北·高三校联考开学考试)已知数列{}n a 满足11a =,1n a +=中*N n ∈)(1)判断并证明数列{}n a 的单调性;(2)记数列{}n a 的前n 项和为n S ,证明:20213522S <<.28.(2022秋·山东潍坊·高三统考阶段练习)定义:对于任意一个有穷数列,在其每相邻的两项间都插入这两项的和,得到的新数列称为一阶和数列,如果在一阶和数列的基础上再在其相邻的两项间插入这两项的和,得到二阶和数列,以此类推可以得到n 阶和数列,如{}2,4的一阶和数列是{}2,6,4,设n 阶和数列各项和为n S .(1)试求数列{}2,4的二阶和数列各项和2S 与三阶和数列各项和3S ,并猜想{}n S 的通项公式(无需证明);(2)设()()()()331321log 3log 3n n n n S n b S S +-+=-⋅-,{}n b 的前m 项和m T ,若20252m T >,求m 的最小值29.(2022秋·湖北黄冈·高三统考阶段练习)已知数列{}1,1,n n a a S =为数列{}n a 的前n 项和,且1(2)3n n S n a =+.(1)求数列{}n a 的通项公式;(2)求证:sin 0n n a a -<;(3)证明:212311111sin 1sin 1sin 1sin e n a a a a ⎛⎫⎛⎫⎛⎫⎛⎫++++< ⎪ ⎪ ⎪ ⎪⎝⎭⎝⎭⎝⎭⎝⎭ .30.(2023·浙江温州·统考二模)设n S 为正项数列{}n a 的前n 项和,满足222n n n S a a =+-.(1)求{}n a 的通项公式;(2)若不等式214na n a t ⎛⎫+ ⎪+⎝≥⎭对任意正整数n 都成立,求实数t 的取值范围;(3)设3ln(1)4n a n n b e +=(其中e 是自然对数的底数),求证:123426n n b b b b b b ++++<….数列大题压轴练-新高考数学复习分层训练(新高考通用)1.(2023·云南曲靖·宣威市第七中学校考模拟预测)记n S为数列{}n a的前n项和,n T为S T+=.数列{}n S的前n项和,已知2n n(1)求证:数列{}n S是等比数列;(2)求数列{}n na的前n项和n A.2.(2023·辽宁铁岭·校联考模拟预测)已知数列{}n a 中,11a =,24a =,且1(1)(2,3,4,)nn na n n a n a +=-=⋅⋅⋅-.(1)设*111()n n b n N a +=-∈,试用n b 表示1n b +,并求{}n b 的通项公式;(2)设*sin 3()cos cos n n c N b b =∈,求数列{}n c 的前n 项和n S .3.(2023·湖南株洲·统考一模)数列{}n a 满足13a =,212n n n a a a +-=.(1)若21n bn a =+,求证:{}n b 是等比数列.(2)若1nnc b =+,{}n c 的前n 项和为n T ,求满足100n T <的最大整数n .4.(2023·河北衡水·河北衡水中学校考模拟预测)已知数列{}n a 满足21n n n a xa ya ++=+()N n +∈,11a =,22a =,n S 为数列{}n a 前n 项和.(1)若2x =,1y =-,求n S 的通项公式;(2)若1x y ==,设n T 为n a 前n 项平方和,证明:214n n n T S S -<恒成立.5.(2023·山西朔州·怀仁市第一中学校校考二模)已知数列{}n a 满足13a =,且12,1,n n na n a a n +⎧=⎨-⎩是偶数是奇数.(1)设221n n n b a a -=+,证明:{}3n b -是等比数列;S>成立的n的最小值.(2)设数列{}n a的前n项和为n S,求使得不等式2022n6.(2022春·河北衡水·高三校联考阶段练习)已知正项数列{}n a 的前n 项和为n S ,且满足11a =,23a =,2132n n n a a a ++=-,数列{}n c 满足()22221232341n c c c n c n +++++= .(1)求出{}n a ,{}n c 的通项公式;(2)设数列()()1221log 1n n c n a +⎧⎫⋅+⎪⎪⎨⎬+⎡⎤⎪⎪⎣⎦⎩⎭的前n 项和为n T ,求证:516<n T .7.(2022秋·河北衡水·高三河北衡水中学校考阶段练习)已知数列{}n a 的前n 项和n S 满足36S =,2n n S n na =+,*n ∈N .(1)求{}n a 的通项公式;(2)数列{}n b ,{}n c ,{}n d 满足()21211n n n a b a +=+-,12121n n n n n c b b b b --= ,且2nn nc d n =⋅,求数列{}n d 的前n 项和n T .8.(2023·广东·校联考模拟预测)已知数列{}n a 的前n 项和为n S ,且312323n S S S nS n +++⋅⋅⋅+=.(1)求数列{}n a 的通项公式;(2)若n n b na =,且数列{}n b 的前n 项和为n T ,求证:当3n ≥时,()311421n n n T n +≤+-.9.(2022秋·山东青岛·高三山东省莱西市第一中学校考阶段练习)对于项数为m 的数列{}n a ,若满足:121m a a a ≤<<< ,且对任意1i j m ≤≤≤,i j a a ⋅与j ia a 中至少有一个是{}n a 中的项,则称{}n a 具有性质P .(1)如果数列1a ,2a ,3a ,4a 具有性质P ,求证:11a =,423a a a =⋅;(2)如果数列{}n a 具有性质P ,且项数为大于等于5的奇数,试判断{}n a 是否为等比数列?并说明理由.【答案】(1)证明见解析(2){}n a 为等比数列,理由见解析10.(2022秋·山东青岛·高三统考期末)记数列{}n a 的前n 项和为n S ,11a =,______.给出下列两个条件:条件①:数列{}n a 和数列{}1n S a +均为等比数列;条件②:1121222n n n n a a a na -+++⋅⋅⋅+=.试在上面的两个条件中任选一个,补充在上面的横线上,完成下列两问的解答:(注:如果选择多个条件分别解答,按第一个解答计分.)(1)求数列{}n a 的通项公式;(2)记正项数列{}n b 的前n 项和为n T ,12b a =,23b a =,14n n n T b b +=⋅,求211(1)nii i i b b +=⎡⎤-⎣⎦∑.【答案】(1)12n n a -=(2)288n n+【分析】(1)选择条件①:先由{}1n S a +为等比数列结合等比中项列出式子,再设出等比数列{}n a 的公比,通过等比数列公式化简求值即可得出答案;选择条件②:先由1121222n n n n a a a na -+++⋅⋅⋅+=得出()()12121222212n n n n a a a n a n --++⋅⋅⋅+=-≥,两式做减即可得出()122n n a a n +=≥,再验证1n =时即可利用等比数列通项公式得出答案;(2)通过14n n n T b b +=⋅得出()1142n n n T b b n --⋅≥=,两式相减结合已知即可得出()1142n n b b n +--=≥,即数列{}n b 的奇数项、偶数项分别都成公差为4的等差数列,将211(1)nii i i b b+=⎡⎤-⎣⎦∑转化即可得出答案.【详解】(1)选条件①:数列{}1n S a +为等比数列,()()()2211131S a S a S a ∴+=++,即()()2121123222a a a a a a +=++,11a = ,且设等比数列{}n a 的公比为q ,()()22222q q q ∴+=++,解得2q =或0q =(舍),1112n n n a a q --∴==,选条件②:1121222n n n n a a a na -+++⋅⋅⋅+= ①,()()1212122212n n n n a a a n a n ---++⋅⋅⋅+=-≥∴,即()()12121222212n n n n a a a n a n --++⋅⋅⋅+=-≥ ②,由①②两式相减得:()()12221n n n n a na n a +=-≥-,即()122n n a a n +=≥,令1121222n n n n a a a na -+++⋅⋅⋅+=中1n=得出212a a =也符合上式,故数列{}n a 为首项11a =,公比2q =的等比数列,则1112n n n a a q --==,(2)由第一问可知,不论条件为①还是②,都有数列{}n a 为首项11a =,公比2q =的等比数列,即12n n a -=,11.(2022·湖北·黄冈中学校联考模拟预测)已知数列{}n a 满足0n a ≠,*N n ∈.(1)若2210n n n a a ka ++=>且0n a >.(ⅰ)当{}lg n a 成等差数列时,求k 的值;(ⅱ)当2k =且11a =,4a =2a 及n a 的通项公式.(2)若21312n n n n a a a a +++=-,11a =-,20a <,[]34,8a ∈.设n S 是{}n a 的前n 项之和,求2020S 的最大值.12.(2022秋·湖南长沙·高三校考阶段练习)已知数列{}n a 的前n 项和1122n n n S a -⎛⎫=--+ ⎪⎝⎭(n *∈N ),数列{}n b 满足2nn n b a =.(1)求证:数列{}n b 是等差数列,并求数列{}n a 的通项公式;(2)设数列{}n c 满足()()131n nn n a c n λ--=-(λ为非零整数,n *∈N ),问是否存在整数λ,使得对任意n *∈N ,都有1n n c c +>.13.(2022秋·湖南衡阳·高三衡阳市一中校考期中)已知n S 为数列{}n a 的前n 项和,25a =,14n n n S S a +=++;{}n b 是等比数列,29b =,1330bb +=,公比1q >.(1)求数列{}n a ,{}n b 的通项公式;(2)数列{}n a 和{}n b 的所有项分别构成集合A ,B ,将A B ⋃的元素按从小到大依次排列构成一个新数列{}n c ,求2012320T c c c c =++++ .【答案】(1)43n a n =-,3nn b =(2)660【分析】(1)将14n n n S S a +=++移项作差可得{}n a 是等差数列,结合25a =可求出数列{}n a 的通项公式,将1,b q 代入等式计算,即可求出数列{}n b 的通项公式;(2)由2077a =可判断前20项中最多含有123,,b b b 三项,排除23b a =可确定前20项中14.(2022·浙江·模拟预测)已知正项数列{}n a 满足11a =,当2n ≥时,22121n n a a n --=-,{}n a 的前n 项和为n S .(1)求数列{}n a 的通项公式及n S ;(2)数列{}n b 是等比数列,q 为数列{}n b 的公比,且13b q a ==,记21n n n nS a c b -+=,证明:122733n c c c ≤++⋅⋅⋅+<15.(2022秋·广东广州·高三校联考阶段练习)已知数列{}n a 的前n 项和为n S ,且12a =,132n n S S +=+,数列{}n b 满足()1122,n n n b b b n++==,其中*n ∈N .(1)分别求数列{}n a 和{}n b 的通项公式;(2)在n a 与1n a +之间插入n 个数,使这2n +个数组成一个公差为n c 的等差数列,求数列{}n n b c 的前n 项和nT【答案】(1)1*(2)3n n a n -=⋅∈N ,()*)1(n b n n n =+∈N (2)()*)121(3n n T n n =+-∈N 【分析】(1)由132n n S S +=+可得12)3(2n n S S n -=+≥,两式作差即可得数列{}n a 的递推关系,即可求通项,最后验证1a 是否符合即可;数列{}n b 利用累乘法即可求,最后验证1b 是否符合即可;(2)由题,由等差数列的性质得()11n n n a a n c +-=+,即可求出n c 的通项公式,最后利用错位相减法求n T 即可【详解】(1)由132n n S S +=+可得12)3(2n n S S n -=+≥,两式相减可得13(2)n n a a n +=≥,故数列{}n a 从第3项开始是以首项为2a ,公比3q =的等比数列.又由已知132n n S S +=+,令1n =,得213+2S S =,即12132a a a +=+,得21226a a =+=,故123)2(n n a n -=⋅≥;又12a =也满足上式,则数列{}n a 的通项公式为1*(2)3n n a n -=⋅∈N ;16.(2023·辽宁朝阳·校联考一模)已知数列{}n a 的前n 项和为()+N 1=∈+n nS n n ,数列{}n b 满足11b =,且()1+N 2+=∈+nn n b b n b (1)求数列{}n a 的通项公式;(2)求数列{}n b 的通项公式;(3)对于N n +∈,试比较1n b +与n a 的大小.17.(2022秋·广东深圳·高三校考阶段练习)记n S 为数列{}n a 的前n 项和,已知{}12,32n n a a S =-是公差为2的等差数列.(1)求{}n a 的通项公式;(2)若{}1,n n n a b b a a +=的前n 项和为n T ,求证:14n T <.18.(2022秋·江苏常州·高三常州市第一中学校考阶段练习)已知正项数列{}n a 满足)1,2n n a a n n -+-∈≥N ,11a =.数列{}n b 满足各项均不为0,14b =,其前n项的乘积112n n n T b -+=⋅.(1)求数列{}n a 通项公式;(2)设2log n n c b =,求数列{}n c 的通项公式;(3)记数列(){}1nn a -的前2m 项的和2m S ,求使得不等式21210m S c c c ≥+++L 成立的正整数m 的最小值.19.(2022秋·江苏宿迁·高三沭阳县建陵高级中学校考期中)已知数列{}n a满足2123n n n a a a ++=+,112a =,232a =.(1)证明:数列{}1n n a a ++为等比数列,求{}n a 的通项公式.(2)若数列{}n a 的前n 项和为n S ,且()*127N 4n S n n λ⎛⎫+≥-∈ ⎪⎝⎭恒成立,求实数λ的取值范围.20.(2022秋·江苏南通·高三江苏省如东高级中学校考阶段练习)等差数列{}n a 的前n 项和为n S ,且4224,21n n S S a a ==+.数列{}n b 的前n 项和为n T ,且112n n na T ++=(1)求数列{}{},n n ab 的通项公式;(2)数列{}n c 满足cos ,,n n na n n cb n π⎧=⎨⎩为奇数为偶数,求21ni i c =∑.21.(2023秋·广东·高三校联考期末)已知数列1:A a ,2a ,…,n a ,…满足10a =,11i i a a +=+(1,2,,,i n = ),数列A 的前n 项和记为n S .(1)写出3S 的最大值和最小值;(2)是否存在数列A ,使得20221011S =如果存在,写出此时2023a 的值;如果不存在,说明理由.22.(2023秋·山东日照·高三校联考期末)已知数列{}n a 的各项均为非零实数,其前n 项和为(0)n n S S ≠,且21n n n n S a S a ++⋅=⋅.(1)若32S =,求3a 的值;(2)若1a a =,20232023a a =,求证:数列{}n a 是等差数列,并求其前n 项和.23.(2023秋·江苏南京·高三南京市第一中学校考期末)已知数列{}{},n n a b 满足222,1n n n n n a b a b +=-=.(1)求{}{},n n a b 的通项公式;(2)记数列n n a b ⎧⎫⎨⎬⎩⎭的前n 项和为n S ,证明:11121n n S n +≤-+-.24.(2023春·湖南长沙·高三湖南师大附中校考阶段练习)已知数列{}n a 各项都不为0,12a =,24a =,{}n a 的前n 项和为n S ,且满足14n n n a a S +=.(1)求{}n a 的通项公式;(2)若12311231C C CC C n nn nnnn nn nb a a a a a --=+++⋅⋅⋅++,求数列112n n n n b b b ++⎧⎫+⎨⎬⎩⎭的前n 项和n T .25.(2023春·江苏南京·高三校联考阶段练习)已知数列{}n a 中11a =,其前n 项和记为n S ,且满足()()1232n n S S S n S ++⋅⋅⋅+=+.(1)求数列()1n S n n ⎧⎫⎪⎪⎨⎬+⎪⎪⎩⎭的通项公式;(2)设无穷数列1b ,2b ,…n b ,…对任意自然数m 和n ,不等式1m n m n nb b b m a +--<+均成立,证明:数列{}n b 是等差数列.26.(2023·山东·沂水县第一中学校联考模拟预测)在如图所示的平面四边形ABCD 中,ABD △的面积是CBD △面积的两倍,又数列{}n a 满足12a =,当2n ≥时,()()1122n n n n BD a BA a BC--=++- ,记2nn n a b =.(1)求数列{}n b 的通项公式;(2)求证:22211154b b b +++< .(2)由(1)可得:当1n =时,则1b 当2n ≥时,可得()(2211212n b n n=<-则222121111111114223nb b b ⎛+++=+-+- ⎝L 27.(2022秋·湖北·高三校联考开学考试)已知数列{}n a 满足11a =,1n a +=中*N n ∈)(1)判断并证明数列{}n a 的单调性;(2)记数列{}n a 的前n 项和为n S ,证明:20213522S <<.⎫⎪⎪⎪28.(2022秋·山东潍坊·高三统考阶段练习)定义:对于任意一个有穷数列,在其每相邻的两项间都插入这两项的和,得到的新数列称为一阶和数列,如果在一阶和数列的基础上再在其相邻的两项间插入这两项的和,得到二阶和数列,以此类推可以得到n 阶和数列,如{}2,4的一阶和数列是{}2,6,4,设n 阶和数列各项和为n S .(1)试求数列{}2,4的二阶和数列各项和2S 与三阶和数列各项和3S ,并猜想{}n S 的通项公式(无需证明);(2)设()()()()331321log 3log 3n n n n S n b S S +-+=-⋅-,{}n b 的前m 项和m T ,若20252m T >,求m 的最小值【答案】(1)230S =,384S =,133n n S +=+(2)7【分析】(1)根据123,,S S S 进行猜想,结合等比数列的知识进而求解,并进行推导.(2)利用裂项求和法求得m T ,由此列不等式,从而求得m 的最小值.【详解】(1)一阶和数列:{}2,6,4,对应112S =;二阶和数列:{}2,8,6,10,4,对应230S =;三阶和数列:{}2,10,8,14,6,16,10,14,4,对应384S =;故猜想136n n S S -=-,()1333n n S S --=-,所以数列{}3n S -是首项为139S -=,公比为3的等比数列,所以11393,33n n n n S S -+-=⋅=+.下面证明136n n S S -=-:设112124n m m S a a a a --=++++++ ,则()()()()1112112244n m m m m m S a a a a a a a a a --=+++++++++++++29.(2022秋·湖北黄冈·高三统考阶段练习)已知数列{}1,1,n n a a S =为数列{}n a 的前n 项和,且1(2)3n n S n a =+.(1)求数列{}n a 的通项公式;(2)求证:sin 0n n a a -<;(3)证明:212311111sin 1sin 1sin 1sin e n a a a a ⎛⎫⎛⎫⎛⎫⎛⎫++++< ⎪ ⎪ ⎪ ⎪⎝⎭⎝⎭⎝⎭⎝⎭ .30.(2023·浙江温州·统考二模)设n S 为正项数列{}n a 的前n 项和,满足222n n n S a a =+-.(1)求{}n a 的通项公式;(2)若不等式214na n a t ⎛⎫+ ⎪+⎝≥⎭对任意正整数n 都成立,求实数t 的取值范围;(3)设3ln(1)4n a n nb e+=(其中e 是自然对数的底数),求证:123426n n b b b b b b ++++<….。
高考数学压轴题100题汇总(含答案)1. 设函数f(x) = x^3 3x + 1,求f(x)的极值点和极值。
答案:f(x)的极值点为x = 1和x = 1,极值分别为f(1) = 1和f(1) = 3。
2. 已知等差数列{an}的前n项和为Sn = n^2 + n,求该数列的通项公式。
答案:an = 2n + 1。
3. 已知三角形ABC中,AB = AC = 5,BC = 8,求三角形ABC的面积。
答案:三角形ABC的面积为12。
4. 设直线y = kx + b与圆x^2 + y^2 = 1相切,求k和b的值。
答案:k = ±√3/3,b = ±√6/3。
5. 已知函数f(x) = log2(x^2 + 1),求f(x)的导数。
答案:f'(x) = 2x/(x^2 + 1)ln2。
6. 已知向量a = (2, 3),向量b = (1, 4),求向量a和向量b的夹角。
答案:向量a和向量b的夹角为arccos(1/√5)。
7. 已知矩阵A = [1 2; 3 4],求矩阵A的逆矩阵。
答案:矩阵A的逆矩阵为[4 2; 3 1]。
8. 已知函数f(x) = x^3 6x^2 + 9x + 1,求f(x)的零点。
答案:f(x)的零点为x = 1和x = 3。
9. 已知函数f(x) = sin(x) cos(x),求f(x)在区间[0, π/2]上的最大值。
答案:f(x)在区间[0, π/2]上的最大值为√2。
10. 已知函数f(x) = x^2 + 4x + 4,求f(x)的顶点坐标。
答案:f(x)的顶点坐标为(2, 0)。
高考数学压轴题100题汇总(含答案)11. 已知函数f(x) = e^x 2x,求f(x)的导数。
答案:f'(x) = e^x 2。
12. 已知函数f(x) = x^2 4x + 4,求f(x)的极值点和极值。
答案:f(x)的极值点为x = 2,极值为f(2) = 0。
高考数学压轴题大全高考数学压轴题大全1.(本小题满分14分)如图,设抛物线的焦点为F,动点P在直线上运动,过P作抛物线C 的两条切线PA、PB,且与抛物线C分别相切于A、B两点.(1)求△APB的重心G的轨迹方程.(2)证明PFA=PFB.解:(1)设切点A、B坐标分别为,切线AP的方程为:切线BP的方程为:解得P点的坐标为:因此△APB的重心G的坐标为,因此,由点P在直线l上运动,从而得到重心G的轨迹方程为:(2)方法1:因为由于P点在抛物线外,则同理有AFP=PFB.方法2:①当因此P点坐标为,则P点到直线AF的距离为:即因此P点到直线BF的距离为:因此d1=d2,即得AFP=PFB.②当时,直线AF的方程:直线BF的方程:因此P点到直线AF的距离为:,同理可得到P点到直线BF的距离,因此由d1=d2,可得到AFP=PF B.2.(本小题满分12分)设A、B是椭圆上的两点,点N(1,3)是线段AB的中点,线段AB的垂直平分线与椭圆相交于C、D两点.(Ⅰ)确定的取值范畴,并求直线AB的方程;(Ⅱ)试判定是否存在如此的,使得A、B、C、D四点在同一个圆上?并说明理由.(此题不要求在答题卡上画图)本小题要紧考查直线、圆和椭圆等平面解析几何的基础知识以及推理运算能力和综合解决问题的能力.(Ⅰ)解法1:依题意,可设直线AB的方程为,整理得①设是方程①的两个不同的根,且由N(1,3)是线段AB的中点,得解得k=-1,代入②得,的取值范畴是(12,+).因此,直线AB的方程为解法2:设则有依题意,∵N(1,3)是AB的中点,又由N(1,3)在椭圆内,的取值范畴是(12,+).直线AB的方程为y-3=-(x-1),即x+y-4=0.(Ⅱ)解法1:∵CD垂直平分AB,直线CD的方程为y-3=x-1,即x-y+ 2=0,代入椭圆方程,整理得又设CD的中点为是方程③的两根,因此由弦长公式可得④将直线AB的方程x+y-4=0,代入椭圆方程得⑤同理可得⑥∵当时,假设存在12,使得A、B、C、D四点共圆,则CD必为圆的直径,点M为圆心.点M到直线AB的距离为⑦因此,由④、⑥、⑦式和勾股定理可得故当12时,A、B、C、D四点匀在以M为圆心,为半径的圆上.(注:上述解法中最后一步可按如下解法获得:)A、B、C、D共圆△ACD为直角三角形,A为直角|AN|2=|CN||DN|,即⑧由⑥式知,⑧式左边由④和⑦知,⑧式右边⑧式成立,即A、B、C、D四点共圆.解法2:由(Ⅱ)解法1及12,∵CD垂直平分AB,直线CD方程为,代入椭圆方程,整理得将直线AB的方程x+y-4=0,代入椭圆方程,整理得解③和⑤式可得不妨设运算可得,A在以CD为直径的圆上.又B为A关于CD的对称点,A、B、C、D四点共圆.(注:也可用勾股定理证明ACAD)3.(本小题满分14分)已知不等式为大于2的整数,表示不超过的最大整数. 设数列的各项为正,且满足(Ⅰ)证明(Ⅱ)推测数列是否有极限?假如有,写出极限的值(不必证明);(Ⅲ)试确定一个正整数N,使得当时,对任意b0,都有本小题要紧考查数列、极限及不等式的综合应用以及归纳递推的思想.(Ⅰ)证法1:∵当即因此有所有不等式两边相加可得由已知不等式知,当n3时有,证法2:设,第一利用数学归纳法证不等式(i)当n=3时,由知不等式成立.(ii)假设当n=k(k3)时,不等式成立,即则即当n=k+1时,不等式也成立.由(i)、(ii)知,又由已知不等式得(Ⅱ)有极限,且则有故取N=1024,可使当nN时,都有4.如图,已知椭圆的中心在坐标原点,焦点F1,F2在x轴上,长轴A 1A2的长为4,左准线l与x轴的交点为M,|MA1|∶|A1F1|=2∶1.(Ⅰ)求椭圆的方程;(Ⅱ)若点P为l上的动点,求F1PF2最大值.本题要紧考查椭圆的几何性质、椭圆方程、两条直线的夹角等基础知识,考查解析几何的差不多思想方法和综合解题能力.满分14分.解:(Ⅰ)设椭圆方程为,半焦距为,则5.已知函数和的图象关于原点对称,且.(Ⅰ)求函数的解析式;(Ⅱ)解不等式;(Ⅲ)若在上是增函数,求实数的取值范畴.本题要紧考查函数图象的对称、二次函数的差不多性质与不等式的应用等基础知识,以及综合运用所学知识分析和解决问题的能力.满分14分.解:(Ⅰ)设函数的图象上任意一点关于原点的对称点为,则∵点在函数的图象上(Ⅱ)由当时,,现在不等式无解.当时,,解得.因此,原不等式的解集为.6.(本题满分16分)本题共有3个小题,第1小题满分4分, 第2小题满分6分, 第3小题满分6分.对定义域分别是Df、Dg的函数y=f(x) 、y=g(x),f(x)g(x) 当xDf且xDg规定: 函数h(x)= f(x) 当xDf且xDgg(x) 当xDf且xDg若函数f(x)=,g(x)=x2,xR,写出函数h(x)的解析式;求问题(1)中函数h(x)的值域;(3)若g(x)=f(x+), 其中是常数,且[0,],请设计一个定义域为R的函数y=f (x),及一个的值,使得h(x)=cos4x,并予以证明.[解] (1)h(x)= x(-,1)(1,+)1 x=1(2) 当x1时, h(x)= =x-1++2,若x1时, 则h(x)4,其中等号当x=2时成立若x1时, 则h(x) 0,其中等号当x=0时成立函数h(x)的值域是(-,0] {1}[4,+)(3)令f(x)=sin2x+cos2x,=则g(x)=f(x+)= sin2(x+)+cos2(x+)=cos2x-sin2x,因此h(x)= f(x)f(x+)= (sin2x+co2sx)( cos2x-sin2x)=cos4x.另解令f(x)=1+sin2x, =,g(x)=f(x+)= 1+sin2(x+)=1-sin2x,因此h(x)= f(x)f(x+)= (1+sin2x)( 1-sin2x)=cos4x..(本题满分18分)本题共有3个小题,第1小题满分4分, 第2小题满分8分, 第3小题满分6分.在直角坐标平面中,已知点P1(1,2),P2(2,22),,Pn(n,2n),其中n是正整数.对平面上任一点A0,记A1为A0关于点P1的对称点, A2为A1关于点P2的对称点, , AN为AN-1关于点PN的对称点.(1)求向量的坐标;(2)当点A0在曲线C上移动时, 点A2的轨迹是函数y=f(x)的图象,其中f(x)是以3为周期的周期函数,且当x(0,3]时,f(x)=lgx.求以曲线C为图象的函数在(1,4]上的解析式;(3)对任意偶数n,用n表示向量的坐标.[解](1)设点A0(x,y), A0为P1关于点的对称点A0的坐标为(2-x,4-y), A1为P2关于点的对称点A2的坐标为(2+x,4+y),={2,4}.(2) ∵={2,4},f(x)的图象由曲线C向右平移2个单位,再向上平移4个单位得到.因此, 曲线C是函数y=g(x)的图象,其中g(x)是以3为周期的周期函数,且当x(-2,1]时,g(x)=lg(x+2)-4.因此,当x(1,4]时,g(x)=lg(x-1)-4.另解设点A0(x,y), A2(x2,y2),因此x2-x=2,y2-y=4,若36,则0 x2-33,因此f(x2)=f(x2-3)=lg(x2-3).当14时, 则36,y+4=lg(x-1).当x(1,4]时,g(x)=lg(x-1)-4.(3) =,由于,得13分)如图,已知双曲线C:的右准线与一条渐近线交于点M,F是双曲线C 的右焦点,O为坐标原点.(I)求证:;(II)若且双曲线C的离心率,求双曲线C的方程;(III)在(II)的条件下,直线过点A(0,1)与双曲线C右支交于不同的两点P、Q且P在A、Q之间,满足,试判定的范畴,并用代数方法给出证明.解:(I)右准线,渐近线3分(II)双曲线C的方程为:7分(III)由题意可得8分证明:设,点由得与双曲线C右支交于不同的两点P、Q11分,得的取值范畴是(0,1)13分2.(本小题满分13分)已知函数,数列满足(I)求数列的通项公式;(II)设x轴、直线与函数的图象所围成的封闭图形的面积为,求;(III)在集合,且中,是否存在正整数N,使得不等式对一切恒成立?若存在,则如此的正整数N共有多少个?并求出满足条件的最小的正整数N;若不存在,请说明理由.(IV)请构造一个与有关的数列,使得存在,并求出那个极限值.解:(I)1分将这n个式子相加,得3分(II)为一直角梯形(时为直角三角形)的面积,该梯形的两底边的长分别为,高为16分(III)设满足条件的正整数N存在,则又均满足条件它们构成首项为2021,公差为2的等差数列.设共有m个满足条件的正整数N,则,解得中满足条件的正整数N存在,共有495个,9分(IV)设,即则明显,其极限存在,同时10分注:(c为非零常数),等都能使存在.19. (本小题满分14分)设双曲线的两个焦点分别为,离心率为2.(I)求此双曲线的渐近线的方程;(II)若A、B分别为上的点,且,求线段AB的中点M的轨迹方程,并说明轨迹是什么曲线;(III)过点能否作出直线,使与双曲线交于P、Q两点,且.若存在,求出直线的方程;若不存在,说明理由.解:(I),渐近线方程为4分(II)设,AB的中点则M的轨迹是中心在原点,焦点在x轴上,长轴长为,短轴长为的椭圆.(9分)(III)假设存在满足条件的直线设由(i)(ii)得k不存在,即不存在满足条件的直线.14分3. (本小题满分13分)已知数列的前n项和为,且对任意自然数都成立,其中m为常数,且.(I)求证数列是等比数列;(II)设数列的公比,数列满足:,试问当m为何值时,成立?解:(I)由已知(2)由得:,即对任意都成立事实上,任何一门学科都离不开死记硬背,关键是经历有技巧,“死记”之后会“活用”。
2023届高考数学压轴题(函数整数解问题)专题练习1.已知函数1()()22x f x kx e x =+-,若()0f x <的解集中有且只有一个正整数,则实数k 的取值范围为() A.221[4e -,21)2e - B.221(4e -,21]2e - C.322121[,64e e -- D.32121[,62e e -- 【名师解析】解:()0f x <,即1(202x kx e x +-<,也就是1()22x kx e x +<,即122x xkx e +<,令2()x xg x e =,则2222(1)()x x x xe xe x g x e e --'==, 当(,1)x ∈-∞时,()0g x '>,当(1,)x ∈+∞时,()0g x '<. ()g x ∴在(,1)-∞上单调递增,在(1,)+∞上单调递减. 作出函数()g x 与12y kx =+的图象如图: 12y kx =+的图象过定点1(0,2P ,2(1,A e ,24(2,B e, 21212102PAe k e -==--,2241212204PB e k e -==--. ∴实数k 的取值范围为221[4e -,21)2e -. 故选:A .2.已知函数()(2)(0)x f x kx e x x =-->,若()0f x <的解集为(,)s t ,且(,)s t 中恰有两个整数,则实数k 的取值范围为( )A.211[1,2)e e++ B.431112[,)23e e ++ C.21(,1)e -∞+ D.32121[,1)3e e ++ 【名师解析】解:由()(2)0x f x kx e x =--<,得(2)x kx e x -<, 即2xxkx e -<,(0)x >, 设()xxh x e =,(0)x >, 21()()x x x x e xe xh x e e--'==,由()0h x '>得01x <<,函数()h x 为增函数, 由()0h x '<得1x >,函数()h x 为减函数, 即当1x =时,()h x 取得极大值,极大值为h (1)1e=, 要使2x xkx e-<,(0)x >,在s ,)t 中恰有两个整数,则0k …时,不满足条件. 则0k >,当2x =时,h (2)22e =,当3x =时,h (3)33e =,即22(2,)A e ,33(3,)B e, 则当直线()2g x kx =-在A ,B 之间满足条件,此时两个整数解为1,2, 此时满足232(2)3(3)g e g e ⎧<⎪⎪⎨⎪⎪⎩…,即23222332k e k e ⎧-<⎪⎪⎨⎪-⎪⎩…得2311213k e k e ⎧<+⎪⎪⎨⎪+⎪⎩…,即3212113k e e +<+…, 即k 的取值范围是312[3e +,211)e+, 故选:D .3.已知函数()x f x xe mx m =-+,若()0f x <的解集为(,)a b ,其中0b <;不等式在(,)a b中有且只有一个整数解,则实数m 的取值范围是( ) A.221(,)32e eB.221(,)3e eC.221[,)32e eD.221[,3e e【名师解析】解:设()x g x xe =,y mx m =-, 由题设原不等式有唯一整数解, 即()x g x xe =在直线y mx m =-下方,()(1)x g x x e '=+,()g x 在(,1)-∞-递减,在(1,)-+∞递增,故1()(1)min g x g e=-=-,y mx m =-恒过定点(1,0)P ,结合函数图象得PA PB K m K <…, 即22132m e e<…, ,故选:C .4.已知函数()(2)(0)x f x x kx e x =+->,若()0f x >的解集为(,)a b ,且(,)a b 中恰有两个整数,则 实数k 的取值范围为( ) A.21(,)e -∞ B.411[2e +,312)3e +C.312[3e +,211)e + D.21[1e +,12)e+ 【名师解析】解:设()xxg x e =, 则1()xxg x e -'=当01x <<时,()0g x '>,当1x >时,()0g x '<,所以函数()g x 在(0,1)为增函数,在(1,)+∞为减函数,()0f x >的解集为(,)a b 等价于(2)xxkx e >-的解集为(,)a b , 即当且仅当在区间(,)a b 上函数()xxg x e =的图象在直线2y kx =-的上方, 函数()xxg x e =的图象与直线2y kx =-的位置关系如图所示, 由图可知:(1)2(2)22(3)32g k g k g k >-⎧⎪>-⎨⎪-⎩…,解得:3221113k e e+<+…, 故选:C .5.已知函数2()(1)x f x mx e x =--,若不等式()0f x <的解集中恰有两个不同的正整数解,则实数m 的取值范围( ) A.221(2e +,11)e + B.221[2e +,11)e + C.331[3e +,2212e + D.331(3e +,2212e + 【名师解析】解:函数2()(1)xf x mx e x =--,不等式()0f x <化为:21x x mx e -<.分别令()1f x mx =-,2()x x g x e =.(2)()xx x g x e -'=. 可得:函数()g x 在(,0)-∞上单调递减,在(0,2)上单调递增,在(2,)+∞上单调递减.(0)0g =,g (2)24e =.如图所示.不等式()0f x <的解集中恰有两个不同的正整数解,∴正整数解为1,2,∴(2)(2)(3)(3)f g f g <⎧⎨⎩…,即23421931m e m e ⎧-<⎪⎪⎨⎪-⎪⎩…. 解得:32312132m e e +<+…. ∴数m 的取值范围是331[3e +,221)2e +. 故选:C .6.已知函数()()x f x x a e alnx =--,若恰有三个正整数0x ,使得0()0f x <,则实数a 的取值范围是( ) A.333(3e e ln +,444]22e e ln +B.412[42ln e +,313)33ln e +C.222(2e e ln +,444]22e e ln +D.313[33ln e +,212)22ln e+【名师解析】解:()f x 的定义域为(0,)+∞, 由()0f x <可得xalnxx a e -<, (1)显然0a =时,不等式在(0,)+∞上无解,不符合题意; (2)当0a <时,不等式为11x lnx x a e->, 令1()1f x x a =-,()x lnxg x e =,则当1x …时,()1f x <-,()0g x …,故不等式11x lnxx a e->没有正整数解,不符合题意;(3)当0a >时,不等式为11x lnx x a e-<, 显然1()1f x x a=-为增函数, 1()x xlnxg x xe -'=,令()1h x xlnx =-,则()(1)h x lnx '=-+, ∴当1x e >时,()0h x '<,故()h x 在1(e,)+∞上单调递减, 而h (1)10=>,h (2)12204eln ln =-=<, ∴存在0(1,2)x ∈使得0()0h x =,∴当[1x ∈,0)x 时,()0h x >,当0x x >时,()0h x <,即当[1x ∈,0)x 时,()0g x '>,当0x x >时,()0g x '<,()g x ∴在[1,0)x 上单调递增,在0(x .)+∞上单调递减, 又g (1)0=,且1x >时,()0g x >, 故不等式11x lnxx a e-<的三个正整数解为1,2,3, ∴(1)(1)(3)(3)(4)(4)0f g f g f g a <⎧⎪<⎪⎨⎪⎪>⎩…,即34110331441a ln a e ln a e ⎧-<⎪⎪⎪-<⎨⎪⎪-⎪⎩…,解得:343434322e e a e ln e ln <++…. 故选:A .7.已知函数若1()(34x f x kx e x =+-,若()0f x <的解集中恰有两个正整数,则k 的取值范围为( )A.331(12e -,231]8e - B.331[12e -,231)8e -C.231(8e -,314e - D.231[8e -,31)4e - 【名师解析】解:由()0f x <得1()()304x f x kx e x =+-<,即1()34x kx e x +<,即13(4x xkx e +<的解集中恰有两个正整数,设3()x x h x e =,则23333()()x x x xe xe xh x e e--'==, 由()0h x '>得330x ->得1x <,由()0h x '<得330x -<得1x >,即当1x =时函数()h x 取得极大值h (1)3e=, 设函数1()4g x kx =+, 作出函数()h x 的图象如图,由图象知当0k …,13()4x xkx e +<的解集中有很多整数解,不满足条件.则当0k >时,要使,13()4x xkx e+<的解集中有两个整数解,则这两个整数解为1x =和2x =, h (2)26e =,h(3)39e =,(2A ∴,26(3B e ,39)e , 当直线()g x 过(2A ,26(3B e ,39)e 时,对应的斜率满足 21624A k e +=,31934B k e +=,得2318A k e =-,33112B k e =-, 要使,13()4x xkx e+<的解集中有两个整数解,则B A k k k <…,即323131128k e e -<-…, 即实数k 的取值范围是331[12e -,231)8e -, 故选:B .8.已知()f x '是函数()f x 的导函数,且对任意的实数x 都有1()()(xf x f x e e '=-是自然对数的底数),(0)0f =,若不等式()0f x k ->的解集中恰有两个整数,则实数k 的取值范围是( )A.221[,)e eB.3232(,e e C.3232(,e e D.3232[,e e 【名师解析】解:设()()x g x e f x =, 则()[()()]1x g x e f x f x '='+=, 可设()g x x c=+,(0)(0)00g f c ==+= . 0c ∴=,()g x x ∴=, ()xx f x e ∴=, 1()xxf x e -∴'=, 当1x <时,()0f x '>,函数()f x 单调递增, 当1x >时,()0f x '<,函数()f x 单调递减, ()max f x f ∴=(1)1e=, 当x →+∞时,()0f x →,不等式()0f x k ->的解集中恰有两个整数,结合图形可知,整数为1,2f ∴(3)k f <…(2), ∴3232k e e <… 故选:D .9.已知函数(2)()ln x f x x=,关于x 的不等式2()()0f x af x +>只有两个整数解,则实数a 的取值范围是( )A.1(2,6]3ln ln -- B.16(,3ln e --C.1[6,2)3ln lnD.62[,3ln e【名师解析】解:21(2)()ln x f x x -'=,令()0f x '=得2ex =, ∴当02ex <<时,()0f x '>,()f x 单调递增, 当2ex >时,()0f x '<,()f x 单调递减, 由当12x <时,()0f x <,当12x >时,()0f x >, 作出()f x 的大致函数图象如图所示:2()()0f x af x +> ,(1)若0a =,即2()0f x >,显然不等式有无穷多整数解,不符合题意; (2)若0a >,则()f x a <-或()0f x >,由图象可知()0f x >有无穷多整数解,不符合题意; (3)若0a <,则()0f x <或()f x a >-,由图象可知()0f x <无整数解,故()f x a >-有两个整数解, f (1)f =(2)2ln =,且()f x 在(2e,)+∞上单调递减,()f x a ∴>-的两个整数解必为1x =,2x =, 又f (3)63ln =, ∴623ln a ln -<…,解得623ln ln a -<-…. 故选:A .10.函数()(4)(1)f x kx lnx x x =+->,若()0f x >的解集为(,)s t ,且(,)s t 中只有一个整数,则实数k 的取值范围为( ) A.1(22ln -,1433ln - B.1(22ln -,14)33ln - C.14(33ln -,11]22ln - D.14(33ln -,11)22ln - 【名师解析】解:令()0f x >,得:4xkx lnx+>, 令()xg x lnx =,则21()()lnx g x lnx -'=, 令()0g x '>,解得:x e >,令()0g x '<,解得:1x e <<, 故()g x 在(1,)e 递减,在(,)e +∞递增, 结合函数的单调性得:24(2)34(3)k g k g +>⎧⎨+⎩…,即22423343k ln k ln ⎧+>⎪⎪⎨⎪+⎪⎩…,解得:1142233k ln ln -<-…, 故选:A . 11.已知函数()xxf x e =,若不等式()(1)0f x a x -+>的解集中有且仅有一个整数,则实数a 的取值范围是( ) A.211[,]e eB.211[,)e eC.221[,]32e eD.221[,)32e e【名师解析】解:1()xxf x e -'=, ∴当1x <时,()0f x '>,当1x >时,()0f x '<,()f x ∴在(,1)-∞上单调递增,在(1,)+∞上单调递减, 作出()y f x =的函数图象如图所示:由()(1)0f x a x -+>仅有一个整数解得()(1)f x a x >+只有一整数解, 设()(1)g x a x =+,由图象可知:当0a …时,()()f x g x >在(0,)+∞上恒成立,不符合题意, 当0a >时,若()()f x g x >只有1个整数解,则此整数解必为1, ∴(1)(1)(2)(2)f g f g >⎧⎨⎩…,即21223a eae ⎧>⎪⎪⎨⎪⎪⎩…,解得22132a e e <…. 故选:D .12.已知函数2()(31)x f x x x e k =++-有三个不同的零点,则实数k 的取值范围是( )A.415(,)e e-B.45(0,)e C.451(,e e -D.1(,)e-+∞【名师解析】解:函数2()(31)x f x x x e k =++-, 可得:2()(54)(1)(4)x x f x x x e x x e '=++=++,()f x 在(,4)-∞-和(1,)-+∞上是增函数;在(4,1)--上是减函数, 当x →-∞时()f x k →-,当x →+∞时()f x →+∞, 所以函数2()(31)x f x x x e k =++-有三个不同的零点, 只需:满足0k -<,45(4)0f k e -=->,1(1)0f k e-=--<,解得45(0,)k e∈ 故选:B.13.已知函数()(2)x f x x e ax a =---,若不等式()0f x >恰有两个正整数解,则a 的取值范围是( ) A.31[4e -,0)B.1[2e -,0)C.31[4e -,)2eD.31[4e -,2)【名师解析】解:令()(2)x g x x e =-,()h x ax a =+, 由题意知,存在2个正整数,使()g x 在直线()h x 的上方,()(1)x g x x e '=- ,∴当1x >时,()0g x '<,当1x <时,()0g x '>,()max g x g ∴=(1)e =,且(0)2g =,g (2)0=,g (3)3e =-, 直线()h x 恒过点(1,0)-,且斜率为a , 由题意可知,3(1)(2)0(3)h e h h e <⎧⎪<⎨⎪-⎩…,故实数a 的取值范围是31[4e -,0),故选:A .14.已知函数2,0(),0x x x f x e x <⎧=⎨⎩…,且()||f x a x …有且只有一个整数解,则a 的取值范围是( )A.(2,]eB.(2,2]e C.(2,8]D.[e ,21)2e【名师解析】解:0a …时,||y a x =的图象在x 轴下方,不符题意; 0a >时,()||f x a x …有且只有一个整数解,即为x e ax …有且只有一个整数解, 由y ax =与x y e =相切,设切点为(,)m m e , 可得mme e a m==,解得1m =,a e =, 由题意可得x e ax …有且只有一个整数解,且为1, 可得22e a >,即212a e <,且a e …,即212e a e <…,故选:D .15.函数()(4)(1)f x kx lnx x x =+->,若()0f x >的解集为(,)s t ,且(,)s t 中恰有两个整数,则实数k 的取值范围为( ) A.11(2,1)222ln ln -- B.11(2,1]222ln ln -- C.141(,1)3322ln ln -- D.141(,1]3322ln ln -- 【名师解析】解:令()0f x >,得:4xkx lnx+>, 令()xg x lnx=,则21()()lnx g x lnx -'=,令()0g x '>,解得:x e >,令()0g x '<,解得:1x e <<, 故()g x 在(1,)e 递增,在(,)e +∞递减, 结合函数的单调性得44(4)34(3)k g k g +⎧⎨+>⎩…,即44443343k ln k ln ⎧+⎪⎪⎨⎪+>⎪⎩…,解得:14113322k ln ln -<-…, 故选:D .16.已知函数1()()23x f x kx e x =+-,若()0f x <的解集中有且只有一个正整数,则实数k 的取值范围为22121[,63e e -- . 【名师解析】解: 且()0f x <的解集中有且只有一个正整数, ∴有且只有一个正整数使123xx kx e +<,令1()3g x kx =+,2()x xh x e =,易得()h x 的图象如图()g x 的图象恒过1(0,3,∴结合()g x 和()h x 的图象特点可知0k >.且()()()()212113221423k g h e g h k e ⎧+<⎪<⎧⎪⎪⎨⎨⎪⎩⎪+⎪⎩即……. 故答案为:22121[,)63e e --. 17.已知函数()(1)(2)xf x m x x e e =----,若关于x 的不等式()0f x >有且只有一个正整数解,则实数m 的取值范围是 3(,2e e e + .【名师解析】解:()0f x >即为(1)(2)x m x x e e ->-+,设(1)y m x =-,()(2)x g x x e e =-+,()(1)x g x x e ∴'=-,当1x >时,()0g x '>,()g x 单增,当1x <时,()0g x '<,()g x 单减,()g x g ∴…(1)0=,当x →+∞时,()g x →+∞,当x →-∞时,()g x e →,函数(1)y m x =-恒过(1,0), 分别画出函数(1)y m x =-及函数()g x的图象如图所示,由图可知,要使不等式()0f x >有且仅有一个正整数解,则(1)y m x =-的图象在函数()y g x =图象的上方只有一个正整数值2,2m g ∴…(3)3e e =+且m g >(2)e =, ∴32e ee m +<…. 故答案为:3(,]2e ee +.。
数学高考压轴题学校:___________姓名:___________班级:___________考号:___________评卷人得分一、解答题1.已知函数()x f x e ax =-和()ln g x ax x =-有相同的最小值.(1)求a ;(2)证明:存在直线y b =,其与两条曲线()y f x =和()y g x =共有三个不同的交点,并且从左到右的三个交点的横坐标成等差数列.2.已知点(2,1)A 在双曲线2222:1(1)1x y C a a a -=>-上,直线l 交C 于P ,Q 两点,直线,AP AQ 的斜率之和为0.(1)求l 的斜率;(2)若tan PAQ ∠=PAQ △的面积.3.已知函数()e e ax x f x x =-.(1)当1a =时,讨论()f x 的单调性;(2)当0x >时,()1f x <-,求a 的取值范围;(3)设n *∈Nln(1)n ++>+ .4.已知双曲线2222:1(0,0)x y C a b a b -=>>的右焦点为(2,0)F ,渐近线方程为y =.(1)求C 的方程;(2)过F 的直线与C 的两条渐近线分别交于A ,B 两点,点()()1122,,,P x y Q x y 在C 上,且1210,0x x y >>>.过P 且斜率为Q M .从下面①②③中选取两个作为条件,证明另外一个成立:①M 在AB 上;②PQ AB ∥;③||||MA MB =.注:若选择不同的组合分别解答,则按第一个解答计分.5.已知函数()e ln(1)x f x x =+.(1)求曲线()y f x =在点(0,(0))f 处的切线方程;(2)设()()g x f x '=,讨论函数()g x 在[0,)+∞上的单调性;(3)证明:对任意的,(0,)s t ∈+∞,有()()()f s t f s f t +>+.6.如图,已知椭圆22112x y +=.设A ,B 是椭圆上异于(0,1)P 的两点,且点0,21Q ⎛⎫ ⎪⎝⎭在线段AB 上,直线,PA PB 分别交直线132y x =-+于C ,D两点.(1)求点P 到椭圆上点的距离的最大值;(2)求||CD 的最小值.7.设函数e()ln (0)2f x x x x=+>.(1)求()f x 的单调区间;(2)已知,a b ∈R ,曲线()y f x =上不同的三点()()()()()()112233,,,,,x f x x f x x f x 处的切线都经过点(,)a b .证明:(ⅰ)若e a >,则10()12e a b f a ⎛⎫<-<- ⎪⎝⎭;(ⅱ)若1230e,a x x x <<<<,则22132e 112e e 6e 6ea ax x a --+<+<-.(注:e 2.71828= 是自然对数的底数)参考答案:1.(1)1a =(2)见解析【解析】【分析】(1)根据导数可得函数的单调性,从而可得相应的最小值,根据最小值相等可求a.注意分类讨论.(2)根据(1)可得当1b >时,e x x b -=的解的个数、ln x x b -=的解的个数均为2,构建新函数()e ln 2x h x x x =+-,利用导数可得该函数只有一个零点且可得()(),f x g x 的大小关系,根据存在直线y b =与曲线()y f x =、()y g x =有三个不同的交点可得b 的取值,再根据两类方程的根的关系可证明三根成等差数列.(1)()e x f x ax =-的定义域为R ,而()e '=-x f x a ,若0a ≤,则()0f x '>,此时()f x 无最小值,故0a >.()ln g x ax x =-的定义域为()0,∞+,而11()ax g x a x x'-=-=.当ln x a <时,()0f x '<,故()f x 在(),ln a -∞上为减函数,当ln x a >时,()0f x '>,故()f x 在()ln ,a +∞上为增函数,故()min ()ln ln f x f a a a a ==-.当10x a <<时,()0g x '<,故()g x 在10,a ⎛⎫⎪⎝⎭上为减函数,当1x a >时,()0g x '>,故()g x 在1,a ⎛⎫+∞ ⎪⎝⎭上为增函数,故min 11()1ln g x g a a ⎛⎫==- ⎪⎝⎭.因为()e x f x ax =-和()ln g x ax x =-有相同的最小值,故11lnln a a a a-=-,整理得到1ln 1a a a -=+,其中0a >,设()1ln ,01a g a a a a -=->+,则()()()222211011a g a a a a a --'=-=≤++,故()g a 为()0,∞+上的减函数,而()10g =,故()0g a =的唯一解为1a =,故1ln 1aa a-=+的解为1a =.综上,1a =.(2)由(1)可得e ()x x f x =-和()ln g x x x =-的最小值为11ln11ln 11-=-=.当1b >时,考虑e x x b -=的解的个数、ln x x b -=的解的个数.设()e xS x x b =--,()e 1x S x '=-,当0x <时,()0S x '<,当0x >时,()0S x '>,故()S x 在(),0∞-上为减函数,在()0,∞+上为增函数,所以()()min 010S x S b ==-<,而()e0bS b --=>,()e 2b S b b =-,设()e 2b u b b =-,其中1b >,则()e 20bu b '=->,故()u b 在()1,+∞上为增函数,故()()1e 20u b u >=->,故()0S b >,故()e xS x x b =--有两个不同的零点,即e x x b -=的解的个数为2.设()ln T x x x b =--,()1x T x x-'=,当01x <<时,()0T x '<,当1x >时,()0T x '>,故()T x 在()0,1上为减函数,在()1,+∞上为增函数,所以()()min 110T x T b ==-<,而()ee0bbT --=>,()e e 20b b T b =->,()ln T x x x b =--有两个不同的零点即ln x x b -=的解的个数为2.当1b =,由(1)讨论可得ln x x b -=、e x x b -=仅有一个零点,当1b <时,由(1)讨论可得ln x x b -=、e x x b -=均无零点,故若存在直线y b =与曲线()y f x =、()y g x =有三个不同的交点,则1b >.设()e ln 2x h x x x =+-,其中0x >,故1()e 2xh x x'=+-,设()e 1x s x x =--,0x >,则()e 10xs x '=->,故()s x 在()0,∞+上为增函数,故()()00s x s >=即e 1x x >+,所以1()1210h x x x'>+-≥->,所以()h x 在()0,∞+上为增函数,而(1)e 20h =->,31e 333122(e 3e 30e e eh =--<--<,故()h x 在()0,∞+上有且只有一个零点0x ,0311ex <<且:当00x x <<时,()0h x <即e ln x x x x -<-即()()f x g x <,当0x x >时,()0h x >即e ln x x x x ->-即()()f x g x >,因此若存在直线y b =与曲线()y f x =、()y g x =有三个不同的交点,故()()001b f x g x ==>,此时e x x b -=有两个不同的零点1010,(0)x x x x <<,此时ln x x b -=有两个不同的零点0404,(01)x x x x <<<,故11e xx b -=,00e x x b -=,44ln 0x x b --=,00ln 0x x b --=所以44ln x b x -=即44ex bx -=即()44e0x bx b b ----=,故4x b -为方程e x x b -=的解,同理0x b -也为方程e x x b -=的解又11e x x b -=可化为11e xx b =+即()11ln 0x x b -+=即()()11ln 0x b x b b +-+-=,故1x b +为方程ln x x b -=的解,同理0x b +也为方程ln x x b -=的解,所以{}{}1004,,x x x b x b =--,而1b >,故0410x x b x x b =-⎧⎨=-⎩即1402x x x +=.【点睛】思路点睛:函数的最值问题,往往需要利用导数讨论函数的单调性,此时注意对参数的分类讨论,而不同方程的根的性质,注意利用方程的特征找到两类根之间的关系.2.(1)1-;(2)9.【解析】【分析】(1)由点(2,1)A 在双曲线上可求出a ,易知直线l 的斜率存在,设:l y kx m =+,()()1122,,,P x y Q x y ,再根据0AP BP k k +=,即可解出l 的斜率;(2)根据直线,AP AQ 的斜率之和为0可知直线,AP AQ的倾斜角互补,再根据tan PAQ ∠=,AP AQ 的斜率,再分别联立直线,AP AQ 与双曲线方程求出点,P Q 的坐标,即可得到直线PQ 的方程以及PQ 的长,由点到直线的距离公式求出点A 到直线PQ 的距离,即可得出PAQ △的面积.(1)因为点(2,1)A 在双曲线2222:1(1)1x yC a a a -=>-上,所以224111a a -=-,解得22a =,即双曲线22:12x C y -=易知直线l 的斜率存在,设:l y kx m =+,()()1122,,,P x y Q x y ,联立2212y kx m x y =+⎧⎪⎨-=⎪⎩可得,()222124220k x mkx m ----=,所以,2121222422,2121mk m x x x x k k ++=-=--,()()22222216422210120m k m k m k ∆=++->⇒-+>.所以由0AP BP k k +=可得,212111022y y x x --+=--,即()()()()122121210x kx m x kx m -+-+-+-=,即()()()1212212410kx x m k x x m +--+--=,所以()()2222242124102121m mk k m k m k k +⎛⎫⨯+-----= ⎪--⎝⎭,化简得,()2844410k k m k +-++=,即()()1210k k m +-+=,所以1k =-或12m k =-,当12m k =-时,直线():21l y kx m k x =+=-+过点()2,1A ,与题意不符,舍去,故1k =-.(2)不妨设直线,PA PB 的倾斜角为(),αβαβ<,因为0AP BP k k +=,所以παβ+=,因为tan PAQ ∠=,所以()tan βα-=,即tan 2α=-,2tan 0αα-=,解得tan α,于是,直线):21PA y x =-+,直线):21PB y x =-+,联立)222112y x x y ⎧=-+⎪⎨-=⎪⎩可得,(23211002x x +-+-=,因为方程有一个根为2,所以103P x -=,P y=53,同理可得,103Q x +=,Q y=53-.所以5:03PQ x y +-=,163PQ =,点A 到直线PQ的距离3d =,故PAQ △的面积为11623⨯=3.(1)()f x 的减区间为(),0-∞,增区间为()0,+∞.(2)12a ≤(3)见解析【解析】【分析】(1)求出()f x ¢,讨论其符号后可得()f x 的单调性.(2)设()e e 1ax xh x x =-+,求出()h x '',先讨论12a >时题设中的不等式不成立,再就102a <≤结合放缩法讨论()h x '符号,最后就0a ≤结合放缩法讨论()h x 的范围后可得参数的取值范围.(3)由(2)可得12ln t t t<-对任意的1t >恒成立,从而可得()ln 1ln n n +-的*n N ∈恒成立,结合裂项相消法可证题设中的不等式.(1)当1a =时,()()1e x f x x =-,则()e xf x x '=,当0x <时,()0f x ¢<,当0x >时,()0f x ¢>,故()f x 的减区间为(),0-∞,增区间为()0,+∞.(2)设()e e 1ax xh x x =-+,则()00h =,又()()1e e ax x h x ax '=+-,设()()1e e ax xg x ax =+-,则()()22e e ax xg x a a x '=+-,若12a >,则()0210g a '=->,因为()g x '为连续不间断函数,故存在()00,x ∈+∞,使得()00,x x ∀∈,总有()0g x ¢>,故()g x 在()00,x 为增函数,故()()00g x g >=,故()h x 在()00,x 为增函数,故()()01h x h >=-,与题设矛盾.若102a <≤,则()()()ln 11e e ee ax ax ax xx h x ax ++'=+-=-,下证:对任意0x >,总有()ln 1x x +<成立,证明:设()()ln 1S x x x =+-,故()11011x S x x x-'=-=<++,故()S x 在()0,+∞上为减函数,故()()00S x S <=即()ln 1x x +<成立.由上述不等式有()ln 12e e e e e e 0ax ax x ax ax x ax x +++-<-=-≤,故()0h x '≤总成立,即()h x 在()0,+∞上为减函数,所以()()01h x h <=-.当0a ≤时,有()e e e 1100ax x axh x ax '=-+<-+=,所以()h x 在()0,+∞上为减函数,所以()()01h x h <=-.综上,12a ≤.(3)取12a =,则0x ∀>,总有12e e 10x x x -+<成立,令12e x t =,则21,e ,2ln x t t x t >==,故22ln 1t t t <-即12ln t t t<-对任意的1t >恒成立.所以对任意的*n N ∈,有<整理得到:()ln 1ln n n +-()ln 2ln1ln 3ln 2ln 1ln n n +-+-+++- ()ln 1n =+,故不等式成立.【点睛】思路点睛:函数参数的不等式的恒成立问题,应该利用导数讨论函数的单调性,注意结合端点处导数的符号合理分类讨论,导数背景下数列不等式的证明,应根据已有的函数不等式合理构建数列不等式.4.(1)2213y x -=(2)见解析【解析】【分析】(1)利用焦点坐标求得c 的值,利用渐近线方程求得,a b 的关系,进而利用,,a b c 的平方关系求得,a b 的值,得到双曲线的方程;(2)先分析得到直线AB 的斜率存在且不为零,设直线AB 的斜率为k ,M (x 0,y 0),由③|AM |=|BM |等价分析得到200283k x ky k +=-;由直线PM 和QM 的斜率得到直线方程,结合双曲线的方程,两点间距离公式得到直线PQ 的斜率03x m y =,由②//PQ AB 等价转化为003ky x =,由①M在直线AB 上等价于()2002ky k x =-,然后选择两个作为已知条件一个作为结论,进行证明即可.(1)右焦点为(2,0)F ,∴2c =,∵渐近线方程为y =,∴ba=b ,∴222244c a b a =+==,∴1a =,∴b =∴C 的方程为:2213y x -=;(2)由已知得直线PQ 的斜率存在且不为零,直线AB 的斜率不为零,若选由①②推③或选由②③推①:由②成立可知直线AB 的斜率存在且不为零;若选①③推②,则M 为线段AB 的中点,假若直线AB 的斜率不存在,则由双曲线的对称性可知M 在x 轴上,即为焦点F ,此时由对称性可知P 、Q 关于x 轴对称,与从而12x x =,已知不符;总之,直线AB 的斜率存在且不为零.设直线AB 的斜率为k ,直线AB 方程为()2y k x =-,则条件①M 在AB 上,等价于()()2000022y k x ky k x =-⇔=-;两渐近线的方程合并为2230x y -=,联立消去y 并化简整理得:()22223440k x k x k --+=设()()3334,,,A x y B x y ,线段中点为(),N N N x y ,则()2342226,2233N N N x x k kx y k x k k +===-=--,设()00,M x y ,则条件③AM BM =等价于()()()()222203030404x x y y x x y y -+-=-+-,移项并利用平方差公式整理得:()()()()3403434034220x x x x x y y y y y ⎡⎤⎡⎤--++--+=⎣⎦⎣⎦,()()3403403434220y y x x x y y y x x -⎡⎤⎡⎤-++-+=⎣⎦⎣⎦-,即()000N N x x k y y -+-=,即200283k x ky k +=-;由题意知直线PM 的斜率为直线QM ,∴由))10102020,y y x x y y x x -=--=-,∴)121202y y x x x -=+-,所以直线PQ的斜率)1201212122x x x y y m x x x x +--==--,直线)00:PM y x x y =-+,即00y y =,代入双曲线的方程22330x y --=,即)3yy +-=中,得:()()00003y y ⎡⎤-=⎣⎦,解得P的横坐标:100x y ⎛⎫=+⎪⎪⎭,同理:200x y ⎛⎫=⎪⎪⎭,∴0012012002222000033,2,33y x x x y x x x x y x y x ⎛⎫-=++-=--⎪--⎭∴03x m y =,∴条件②//PQ AB 等价于003m k ky x =⇔=,综上所述:条件①M 在AB 上,等价于()2002ky k x =-;条件②//PQ AB 等价于003ky x =;条件③AM BM =等价于200283kx ky k +=-;选①②推③:由①②解得:2200002228,433k k x x ky x k k =∴+==--,∴③成立;选①③推②:由①③解得:20223k x k =-,20263k ky k =-,∴003ky x =,∴②成立;选②③推①:由②③解得:20223k x k =-,20263k ky k =-,∴02623x k -=-,∴()2002ky k x =-,∴①成立.5.(1)y x=(2)()g x 在[0,)+∞上单调递增.(3)证明见解析【解析】【分析】(1)先求出切点坐标,在由导数求得切线斜率,即得切线方程;(2)在求一次导数无法判断的情况下,构造新的函数,再求一次导数,问题即得解;(3)令()()()m x f x t f x =+-,(,0)x t >,即证()(0)m x m >,由第二问结论可知()m x 在[0,+∞)上单调递增,即得证.(1)解:因为()e ln(1)x f x x =+,所以()00f =,即切点坐标为()0,0,又1()e (ln(1))1xf x x x=+++',∴切线斜率(0)1k f '==∴切线方程为:y x =(2)解:因为1()()e (ln(1))1xg x f x x x=++'=+,所以221()e (ln(1))1(1)xg x x x x =++++',令221()ln(1)1(1)h x x x x =++-++,则22331221()01(1)(1)(1)x h x x x x x +=-+=>++++',∴()h x 在[0,)+∞上单调递增,∴()(0)10h x h ≥=>∴()0g x '>在[0,)+∞上恒成立,∴()g x 在[0,)+∞上单调递增.(3)解:原不等式等价于()()()(0)f s t f s f t f +->-,令()()()m x f x t f x =+-,(,0)x t >,即证()(0)m x m >,∵()()()e ln(1)e ln(1)x t x m x f x t f x x t x +=+-=++-+,e e ()e ln(1)e ln(1)()()11x t x x tx m x x t x g x t g x x t x++=++++-=+-++'+,由(2)知1()()e (ln(1))1xg x f x x x=++'=+在[)0,∞+上单调递增,∴()()g x t g x +>,∴()0m x '>∴()m x 在()0,∞+上单调递增,又因为,0x t >,∴()(0)m x m >,所以命题得证.6.(1)11;(2)5.【解析】【分析】(1)设,sin )Q θθ是椭圆上任意一点,再根据两点间的距离公式求出2||PQ ,再根据二次函数的性质即可求出;(2)设直线1:2AB y kx =+与椭圆方程联立可得1212,x x x x +,再将直线132y x =-+方程与PA PB 、的方程分别联立,可解得点,C D 的坐标,再根据两点间的距离公式求出CD ,最后代入化简可得231CD k =⋅+,由柯西不等式即可求出最小值.(1)设,sin )Q θθ是椭圆上任意一点,(0,1)P ,则222221144144||12cos (1sin )1311sin 2sin 11sin 111111PQ θθθθθ⎛⎫=+-=--=-+≤⎭+⎪⎝,当且仅当1sin 11θ=-时取等号,故||PQ (2)设直线1:2AB y kx =+,直线AB 方程与椭圆22112x y +=联立,可得22130124k x kx ⎛⎫++-= ⎪⎝⎭,设()()1122,,,A x y B x y ,所以12212211231412k x x k x x k ⎧+=-⎪+⎪⎪⎨⎪=-⎛⎫⎪+ ⎪⎪⎝⎭⎩,因为直线111:1y PA y x x -=+与直线132y x =-+交于C ,则111114422(21)1C x x x x y k x ==+-+-,同理可得,222224422(21)1D x x x x y k x ==+-+-.则224||(21)1C D x CD x k x =-=+-2=35161656565231555k =⋅=≥=+,当且仅当316k =时取等号,故CD 的最小值为5.【点睛】本题主要考查最值的计算,第一问利用椭圆的参数方程以及二次函数的性质较好解决,第二问思路简单,运算量较大,求最值的过程中还使用到柯西不等式求最值,对学生的综合能力要求较高,属于较难题.7.(1)()f x 的减区间为e 02⎛⎫⎪⎝⎭,,增区间为e ,2⎛⎫+∞ ⎪⎝⎭.(2)(ⅰ)见解析;(ⅱ)见解析.【解析】【分析】(1)求出函数的导数,讨论其符号后可得函数的单调性.(2)(ⅰ)由题设构造关于切点横坐标的方程,根据方程有3个不同的解可证明不等式成立,(ⅱ)31x k x =,1e a m =<,则题设不等式可转化为()()()2131313122236m m m t t m m t t --++--<+,结合零点满足的方程进一步转化为()()()()211312ln 0721m m m m m m ---++<+,利用导数可证该不等式成立.(1)()22e 12e 22xf x x x x -'=-+=,当e02x <<,()0f x ¢<;当e 2x >,()0f x ¢>,故()f x 的减区间为e 02⎛⎫⎪⎝⎭,,()f x 的增区间为e ,2⎛⎫+∞ ⎪⎝⎭.(2)(ⅰ)因为过(),a b 有三条不同的切线,设切点为()(),,1,2,3i i x f x i =,故()()()i i i f x b f x x a '-=-,故方程()()()f x b f x x a '-=-有3个不同的根,该方程可整理为()21e e ln 022x a x b x x x ⎛⎫----+= ⎪⎝⎭,设()()21e e ln 22g x x a x b x x x ⎛⎫=---+ ⎪⎝⎭,则()()22321e 1e 1e22g x x a x x x x x x⎛⎫'=-+-+--+ ⎪⎝⎭()()31e x x a x =---,当0e x <<或x a >时,()0g x ¢<;当e x a <<时,()0g x ¢>,故()g x 在()()0,e ,,a +∞上为减函数,在()e,a 上为增函数,因为()g x 有3个不同的零点,故()e 0g <且()0>g a ,故()21e e e ln e 0e 2e 2e a b ⎛⎫----+< ⎪⎝⎭且()21e e ln 022a a a b a a a ⎛⎫---+> ⎪⎝⎭,整理得到:12e a b <+且()e ln 2b a f a a >+=,此时()1e 13e11ln ln 2e 2e 22e 222a a a b f a a a a a ⎛⎫⎛⎫---<-+-+=-- ⎪ ⎪⎝⎭⎝⎭,设()3e ln 22u a a a =--,则()2e-202au a a '=<,故()u a 为()e,+∞上的减函数,故()3eln e 022eu a <--=,故()1012e a b f a ⎛⎫<-<- ⎪⎝⎭.(ⅱ)当0e a <<时,同(ⅰ)中讨论可得:故()g x 在()()0,,e,a +∞上为减函数,在(),e a 上为增函数,不妨设123x x x <<,则1230e x a x x <<<<<,因为()g x 有3个不同的零点,故()0g a <且()e 0g >,故()21e e e ln e 0e 2e 2e a b ⎛⎫----+> ⎪⎝⎭且()21e e ln 022a a a b a a a ⎛⎫---+< ⎪⎝⎭,整理得到:1ln 2e 2ea ab a +<<+,因为123x x x <<,故1230e x a x x <<<<<,又()2e e 1ln 2a ag x x b x x+=-+-+,设e t x =,()0,1e a m =∈,则方程2e e 1ln 02a ax b x x+-+-+=即为:2e ln 0e 2ea at t t b +-+++=即为()21ln 02m m t t t b -++++=,记123123e e e ,,,t t t x x x ===则113,,t t t 为()21ln 02m m t t t b -++++=有三个不同的根,设3131e 1x t k t x a ==>>,1eam =<,要证:22122e 112e e 6e 6e a a x x a --+<+<-,即证13e 2e e 26e 6ea at t a --+<+<-,即证:13132166m mt t m --<+<-,即证:131********m m t t t t m --⎛⎫⎛⎫+-+-+< ⎪⎝⎭⎝⎭,即证:()()()2131313122236m m m t t m m t t --++--<+,而()21111ln 02m m t t t b -++++=且()23331ln 02mm t t t b -++++=,故()()()22131313ln ln 102m t t t t m t t -+--+-=,故131313ln ln 222t t t t m m t t -+--=-⨯-,故即证:()()()21313131312ln ln 236m m m t t m t t m t t --+--⨯<-+,即证:()()()1213313ln1312072t t t m m m t t t +--++>-即证:()()()213121ln 0172m m m k k k --+++>-,记()()1ln ,11k k k k k ϕ+=>-,则()()2112ln 01k k k kk ϕ⎛⎫'=--> ⎪⎝⎭-,设()12ln u k k k k =--,则()2122210u k k k k k'=+->-=即()0k ϕ'>,故()k ϕ在()1,+∞上为增函数,故()()k m ϕϕ>,所以()()()()()()22131213121ln 1ln 172172m m m m m m k k m m k m --+--++++>+--,记()()()()()211312ln ,01721m m m m m m m m ω---+=+<<+,则()()()()()()()2232322132049721330721721m mm m m mm m m m m ω---+-+'=>>++,所以()m ω在()0,1为增函数,故()()10m ωω<=,故()()()()211312ln 0721m m m m m m ---++<+即()()()213121ln 0172m m m m m m --+++>-,故原不等式得证:【点睛】思路点睛:导数背景下的切线条数问题,一般转化为关于切点方程的解的个数问题,而复杂方程的零点性质的讨论,应该根据零点的性质合理转化需求证的不等式,常用的方法有比值代换等.。
1.已知点)1,0(F ,一动圆过点F 且与圆8)1(22=++y x 内切.(1)求动圆圆心的轨迹C 的方程;(2)设点)0,(a A ,点P 为曲线C 上任一点,求点A 到点P 距离的最大值)(a d ; (3)在10<<a 的条件下,设△POA 的面积为1S (O 是坐标原点,P 是曲线C 上横坐标为a 的点),以)(a d 为边长的正方形的面积为2S .若正数m 满足21mS S ≤,问m 是否存在最小值,若存在,请求出此最小值,若不存在,请说明理由.2.在直角坐标平面上有一点列),(111y x P ,),(222y x P ,…,),(n n n y x P ,…,对每个正整数n ,点n P 位于一次函数45+=x y 的图像上,且n P 的横坐标构成以23-为首项,1-为公差的等差数列{}n x .(1)求点n P 的坐标;(2)设二次函数)(x f n 的图像n C 以n P 为顶点,且过点)1,0(2+n D n ,若过n D 且斜率为n k 的直线n l 与n C 只有一个公共点,求⎪⎪⎭⎫⎝⎛+++-∞→n n n k k k k k k 13221111lim Λ的值. (3)设n x x x S 2{==,n 为正整数},n y y y T 12{==,n 为正整数},等差数列{}n a 中的任一项T S a n I ∈,且1a 是T S I 中的最大数,11522510-<<-a ,求{}n a 的通项公式.3.已知点A (-1,0),B (1,0),C (- 5712,0),D (5712,0),动点P (x , y )满足AP →·BP →=0,动点Q (x , y )满足|QC →|+|QD →|=103⑴求动点P 的轨迹方程C 0和动点Q 的轨迹方程C 1;⑵是否存在与曲线C 0外切且与曲线C 1内接的平行四边形,若存在,请求出一个这样的平行四边形,若不存在,请说明理由;⑶固定曲线C 0,在⑵的基础上提出一个一般性问题,使⑵成为⑶的特例,探究能得出相应结论(或加强结论)需满足的条件,并说明理由。
4.已知函数f (x )=m x 2+(m -3)x +1的图像与x 轴的交点至少有一个在原点右侧,⑴求实数m 的取值范围;⑵令t =-m +2,求[1t ];(其中[t ]表示不超过t 的最大整数,例如:[1]=1, [2.5]=2,[-2.5]=-3)⑶对⑵中的t ,求函数g (t )=t +1t[t ][1t ]+[t ]+[1t ]+1的值域。
5.已知焦点在x 轴上的双曲线C 的两条渐近线过坐标原点,且两条渐近线与以点)2,0(A 为圆心,1为半径为圆相切,又知C 的一个焦点与A 关于直线y=x 对称. (1)求双曲线C 的方程;(2)若Q 是双曲线C 上的任一点,F 1、F 2为双曲线C 的左、右两个焦点,从F 1引∠F 1QF 2的平分线的垂线,垂足为N ,试求点N 的轨迹方程.(3)设直线y=m x +1与双曲线C 的左支交于A 、B 两点,另一直线L 经过M (-2,0)及AB 的中点,求直线L 在y 轴上的截距b 的取值范围.6.已知)(x f 是定义在R 上的恒不为零的函数,且对于任意的x 、R y ∈都满足:)()()(y x f y f x f +=⋅(1)求)0(f 的值,并证明对任意的R x ∈,都有0)(>x f ;(2)设当0<x 时,都有)0()(f x f >,证明)(x f 在()+∞∞-,上是减函数; (3)在(2)的条件下,求集合{})lim (,),(,),(),(21n n n S f S f S f S f ∞→ΛΛ中的最大元素和最小元素。
7.直线)(*N n n y x ∈=+与x 轴、y 轴所围成区域内部(不包括边界)的整点个数为n a ,所 围成区域内部(包括边界)的整点个数为n b .(整点就是横坐标,纵坐标都为整数的点)(1)求3a 和3b 的值; (2)求n a 及n b 的表达式;(3)对n a 个整点中的每一个点用红、黄、蓝、白四色之一着色,其方法总 数为A n ,对n b 个整点中的每一个点用红、黄两色之一着色,其方法总数为B n ,试比较A n 与B n 的大小.8.已知动点M 到定点(1,0)的距离比M 到定直线2-=x 的距离小1。
(1)求证:M 点轨迹为抛物线,并求出其轨迹方程;(2)大家知道,过圆上任意一点P ,任意作相互垂直的弦PB PA ,,则弦AB 必过圆心(定点),受此启发,研究下面的问题:①过(1)中的抛物线的顶点O 任作相互垂直的弦OB OA ,,则弦AB 是否经过一个定点?若经过定点(设为Q ),请求出Q 点的坐标,否则说明理由;②研究:对于抛物线px y 22=上顶点以外的定点是否也有这样的性质?请提出一个一般的结论,并证明。
9.若函数)(x f A 的定义域为12)1()(),,[2+--+==ab x b a x x f b a A A 且,其中a 、b 为任意正 实数,且a<b 。
(1)当A=)7,4[时,研究)(x f A 的单调性(不必证明);(2)写出)(x f A 的单调区间(不必证明),并求函数)(x f A 的最小值、最大值;(3)若),)2(,)1[(),)1(,[2212221++=∈+=∈+k k I x k k I x k k 其中k 是正整数,对一切正整数k 不等式m x f x f k k I I <++)()(211都有解,求m 的取值范围。
10.我们把数列}{kn a 叫做数列}{n a 的k 方数列(其中a n >0,k ,n 是正整数),S (k ,n )表示 k 方数列的前n 项的和。
(1)比较S (1,2)·S (3,2)与[S (2,2)]2的大小;(2)若}{n a 的1方数列、2方数列都是等差数列,a 1=a ,求}{n a 的k 方数列通项公式。
(3)对于常数数列a n =1,具有关于S (k ,n )的恒等式如:S (1,n )=S (2,n ),S (2,n )=S (3,n )等等,请你对数列}{n a 的k 方数列进行研究,写出一个不是常数数列}{n a 的k 方数列关于S (k ,n )的恒等式,并给出证明过程。
11.记函数)()(1x f x f =,)())((2x f x f f =,它们定义域的交集为D ,若对任意的D x ∈,x x f =)(2,则称)(x f 是集合M 的元素.(1)判断函数12)(,1)(-=+-=x x g x x f 是否是M 的元素;(2)设函数)1(log )(xa a x f -=,求)(x f 的反函数)(1x f-,并判断)(x f 是否是M的元素;(3)若x x f ≠)(,写出M x f ∈)(的条件,并写出两个不同于(1)、(2)中的函数.(将.根据写出的函数类型酌情给分.............)12.已知抛物线)0(2:2>=p px y C 上横坐标为4的点到焦点的距离为5.(1)求抛物线C 的方程.(2)设直线)0(≠+=k b kx y 与抛物线C 交于两点),(,),(2211y x B y x A ,且)0(||21>=-a a y y ,M 是弦AB 的中点,过M 作平行于x 轴的直线交抛物线C 于点D ,得到ABD ∆;再分别过弦AD 、BD 的中点作平行于x 轴的直线依次交抛物线C 于点F E ,, 得到ADE ∆和BDF ∆;按此方法继续下去.解决下列问题:1).求证:22)1(16kkb a -=; 2).计算ABD ∆的面积ABD S ∆;3).根据ABD ∆的面积ABD S ∆的计算结果,写出BDF ADE ∆∆,的面积;请设计一种求抛物线C 与线段AB 所围成封闭图形面积的方法,并求出此封闭图形的面积.13.设椭圆:C 1222=+y ax (0>a )的两个焦点是)0,(1c F -和)0,(2c F (0>c ),且椭圆C 与圆222c y x =+有公共点.(1)求a 的取值范围;(2)若椭圆上的点到焦点的最短距离为23-,求椭圆的方程;(3)对(2)中的椭圆C ,直线:l m kx y +=(0≠k )与C 交于不同的 两点M 、N ,若线段MN 的垂直平分线恒过点)1,0(-A ,求实数m 的取值范围.14.我们用},,,m in{21n s s s Λ和},,,m ax {21n s s s Λ分别表示实数n s s s ,,,21Λ中的最小者和最大者.(1)设}cos ,min{sin )(x x x f =,}cos ,max{sin )(x x x g =,]2,0[π∈x ,函数)(x f 的值域为A ,函数)(x g 的值域为B ,求B A I ;(2)数学课上老师提出了下面的问题:设1a ,2a ,…,n a 为实数,R x ∈,求函数||||||)(2211n n x x a x x a x x a x f -++-+-=Λ(R x x x n ∈<<<Λ21)的最小值或最大值.为了方便探究,遵循从特殊到一般的原则,老师让学生先解决两个特例:求函数|1||1|3|2|)(--+++=x x x x f 和|2|2|1|4|1|)(-+--+=x x x x g 的最值. 学生甲得出的结论是:)}1(),1(),2(m in{)]([min f f f x f --=,且)(x f 无最大值. 学生乙得出的结论是:)}2(),1(),1(m ax {)]([max g g g x g -=,且)(x g 无最小值. 请选择两个学生得出的结论中的一个,说明其成立的理由;(3)试对老师提出的问题进行研究,写出你所得到的结论并加以证明(如果结论是分类的,请选择一种情况加以证明).15.设向量)2(,x =,)12(-+=x n x b , (n 为正整数),函数y ⋅=在[0,1]上的最小值与最大值的和为n a ,又数列{}n b 满足:()12121999121101010n n n n nb n b b b ---⎛⎫⎛⎫+-+⋅⋅⋅++=++⋅⋅⋅++ ⎪⎪⎝⎭⎝⎭. (1) 求证:1+=n a n . (2) (2).求n b 的表达式.(3) 若n n n c a b =-⋅,试问数列{}n c 中,是否存在正整数k ,使得对于任意的正整数n ,都有n k c c ≤成立?证明你的结论.(注:)(21a a a ,=与{}21a a a ,=表示意义相同)16、设斜率为1k 的直线L 交椭圆C :1222=+y x 于B A 、两点,点M 为弦AB 的中点,直线OM 的斜率为2k (其中O 为坐标原点,假设1k 、2k 都存在).(1)求1k ⋅2k 的值.(2)把上述椭圆C 一般化为22221x y a b +=(a >b >0),其它条件不变,试猜想1k 与2k 关系(不需要证明).请你给出在双曲线22221x y a b-=(a >0,b >0)中相类似的结论,并证明你的结论.(3)分析(2)中的探究结果,并作出进一步概括,使上述结果都是你所概括命题的特 例.如果概括后的命题中的直线L 过原点,P 为概括后命题中曲线上一动点,借助直线L 及动点P ,请你提出一个有意义的数学问题,并予以解决.17.已知向量(1,1)m =u r ,向量n r 与向量m u r 夹角为34π,且1m n ⋅=-u r r .(1)求向量n r;(2)若向量n r 与向量(1,0)q =r 的夹角为2,(cos ,2cos )22Cp A π=u r 向量,其中A ,C 为ABC ∆的内角,且A ,B ,C 依次成等差数列,试求求|n p +r u r|的取值范围.18.如图,过椭圆)0(12222>>=+b a by a x 的左焦点F 任作一条与两坐标轴都不垂直的弦AB ,若点M 在x 轴上,且使得MF 为△AMB 的一条内角平分线,则称点M 为该椭圆的“左特征点”.(1)求椭圆1522=+y x 的“左特征点”M 的坐标;(2)试根据(1)提出一个问题并给出解答。