(教案)中考分式化简求值专题复习
- 格式:doc
- 大小:39.00 KB
- 文档页数:1
初中数学教案分式的运算与化简教案教学目标:学生能够掌握分式的基本运算与化简方法。
教学重点:分式的加法、减法、乘法和除法的运算与化简。
教学难点:应用不同的运算方法解决实际问题。
一、引入1. 导入主题分式在数学中起着重要的作用,它能够帮助我们简化计算过程,解决实际问题。
今天我们将学习分式的运算与化简方法。
2. 激发学生兴趣通过提问的方式引出学生的疑问与思考,例如:你们在生活中遇到过分式吗?它们是如何帮助你们解决问题的?二、知识点讲解1. 分式的定义与表示提醒学生回顾分式的定义与表示方法,确保学生对分子、分母的理解。
2. 分式的加法与减法(以x/y + z/w为例)a. 约分法:将两个分数的分母找到最小公倍数,分别进行分数扩展,再进行加法运算。
示例1: 3/4 + 1/2 = 3/4 + 2/4 = 5/4示略2: 1/3 - 1/6 = 2/6 - 1/6 = 1/6b. 通分法:将两个分数的分母相乘作为新的分母,再进行分子的运算。
示例1: 3/4 + 1/2 = 3/4 + 2/4 = 5/4示略2: 1/3 - 1/6 = 2/6 - 1/6 = 1/63. 分式的乘法与除法(以x/y * z/w为例)a. 乘法:将两个分式的分子相乘,分母相乘。
示例1:(3/4) * (5/6) = 15/24示例2:(3/4) * (2/3) = 6/12b. 除法:将除数的分子与被除数的分母相乘,分母与分子相乘。
示例1:(3/4) ÷ (5/6) = (3/4) * (6/5) = 18/20示例2:(3/4) ÷ (2/3) = (3/4) * (3/2) = 9/84. 分式的化简a. 分母为1的分式化简为整数。
示例:5/1 = 5b. 分子与分母有公因数时,约去公因数。
示例:6/10 = 3/5c. 分母为两个数的和或差时,进行提公因式化简。
示例:1/(x+3) + 1/(x+2) = (2x+5)/(x^2+5x+6)三、实例演练1. 课堂练习教师提供一些简单分式的运算练习题,让学生在黑板上解答,并进行讲解与订正。
数学中考北师大版分式方程与分式的化简求值教学设计梁山初中张粉妮分式方程及化简求值一、教材分析:(一)重要性和地位纵观这几年各省的高考数学试题,中考试题16题不是分式方程,确实是化简求值考题,要紧考查学生分析问题、解决问题的能力和处理问题的能力在试卷中一样是16题,分值约5分题.因此,加强这些试题的命题动向研究,对指导中考复习无疑又十分重要的意义,分式方程与化简与求值是最基础的知识,中考对本部分内容的考察要紧以解答题题的形式显现,因此无形中就提升了分式方程与化简与求值的地位。
针对中考,我设计了本节课。
(二)教学目标:知识与能力1.明白得解分式方程的一样解法和分式方程可能产生增根的缘故,把握解分式方程验根的方法以及分式化简求值的解题技巧。
2.在教学过程中,培养学生动手练习、主动观看、主动摸索、自我发觉的学习能力,连续提高学生的运算能力、培养学生运用公式合理归纳、联想、证明、探究问题的能力。
过程与方法1、了解高考方向,把握知识的脉络,让学生在课堂中积极摸索。
重在把握分式方程与化简与求值的差不多技巧2. 会解分式方程,体会分式方程是一种有效描述现实世界的模型,进展学生分析问题解决问题的能力,培养应用意识,渗透转化思想。
情感态度与价值观强化用数学的意识,增进同学之间的配合,体验在数学活动中运用知识解决问题的成功体验,树立学好数学的自信心。
增强学习数学的爱好,培养学习的主动性,增强克服困难的勇气。
教学重点1.解分式方程的差不多思路和解法2、化简求值的差不多技巧与方法。
教学难点明白得分式方程可能产生增根的缘故,准确、灵活地使用化简求值。
二、学情分析学生基础不是扎实,学习积极性不是专门高,求知欲、表现不是欲强,但具有一定的独立摸索和探究的能力.三、教法在设计本教学时,要紧贯彻以下两个思想:1、树立以学生进展为本的思想。
通过构建以学习者为中心、有利于学生主体精神、创新能力健康进展的宽松的教学环境,提供学生自主探究和动手操作的机会,鼓舞他们创新摸索,亲身参与概念和方法的形成过程。
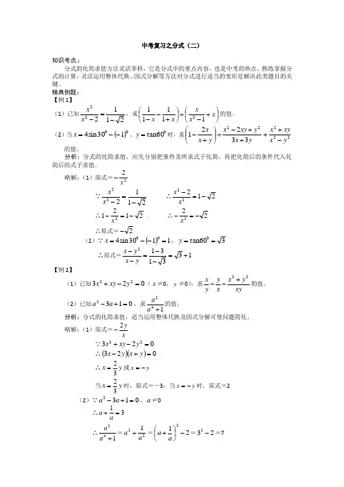
中考复习之分式(二)知识考点:分式的化简求值方法灵活多样,它是分式中的重点内容,也是中考的热点。
熟练掌握分式的计算,灵活运用整体代换、因式分解等方法对分式进行适当的变形是解决此类题目的关键。
精典例题:【例1】(1)已知211222-=-x x ,求⎪⎭⎫ ⎝⎛+-÷⎪⎭⎫ ⎝⎛+--x x x x x 111112的值。
(2)当()00130sin 4--=x 、060tan =y 时,求y x y xy x y x x 3322122++-÷⎪⎪⎭⎫ ⎝⎛+-222y x xy x -++ 的值。
分析:分式的化简求值,应先分别把条件及所求式子化简,再把化简后的条件代入化简后的式子求值。
略解:(1)原式=22x- ∵211222-=-x x ∴21222-=-x x ∴21212-=-x ∴222-=-x∴原式=2-(2)∵()1130sin 400=--=x ,360tan 0==y∴原式=1331312+=--=--y x y x 【例2】(1)已知02322=-+y xy x (x ≠0,y ≠0),求xyy x x y y x 22+--的值。
(2)已知0132=+-a a ,求142+a a 的值。
分析:分式的化简求值,适当运用整体代换及因式分解可使问题简化。
略解:(1)原式=xy 2-∵02322=-+y xy x∴()()023=+-y x y x∴y x 32=或y x -= 当y x 32=时,原式=-3;当y x -=时,原式=2 (2)∵0132=+-a a ,a ≠0∴31=+a a ∴142+a a =221a a +=212-⎪⎭⎫ ⎝⎛+a a =232-=7探索与创新:【问题一】已知a 、b 、c 为实数,且满足()()02)3(432222=---+-+-c b c b a ,求cb b a -+-11的值。
解:由题设有()()()⎪⎩⎪⎨⎧=-+-+-≠--0432023222c b a c b ,可解得a =2,3-=b ,c =-2 ∴c b b a -+-11=321321-++=3232++-=4 【问题二】已知c c b a b c b a c c b a ++-=+-=-+,求()()()abca c cb b a +++的值。
中考化简求值专题复习教学设计西平罗乡中心学校 牛树芳学校: 班级: 姓名:学习目标:1:掌握分式的化简求值。
一是使分式有意义时,求解相关字母的取值范围;二是运用“整体法”“化归法”对分式化简求值。
2:利用分式的基本性质对分式进行通分和约分,进而把分式化为最简。
3:重点掌握分式化简基本技能、基本计算。
一、知识要点:(1)当 时,分式无意义;当 时,分式的值为零。
(2)分式的分子与分母都 同一个不等于零的整式,分式的值不变。
(3)通分的关键是确定几个分式的 。
(4)同分母分式相加减, 不变,把 相加减。
(5)异分母分式相加减,先 ,变为同分母的分式,然后再加减。
(6)分式乘分式,用分子的积作为积的 ,分母的积作为积的 。
(7)分式除以分式,把除式的分子、分母颠倒位置后,与被除式 。
(8)平方差公式: ,完全平方和公式: ,完全平方差公式: 。
二、基础闯关:1、化简:22193m m m -=-+2、先化简,再求值:232224x x x x x x ⎛⎫-+ ⎪+--⎝⎭,其中x=33、先化简,再求值:222344322+-++÷+++a a a a a a a ,其中a=5.三、互动探究1、先化简,再求值:(+)÷,其中x=﹣1.2、化简求值:,a取﹣1、0、1、2中的一个数.四、畅谈收获:1.您有什么收获或者还有什么疑惑?五、中考链接(练习)1、(2014•抚顺)先化简,再求值:(1﹣)÷,其中x=(+1)0+()﹣1•tan60°.2.(2014•泰州)先化简,再求值:(1﹣)÷﹣,其中x满足x2﹣x﹣1=0.3.(2014•凉山州)先化简,再求值:÷(a+2﹣),其中a2+3a﹣1=0.4.(2014•烟台)先化简,再求值:÷(x﹣),其中x为数据0,﹣1,﹣3,1,2的极差。
分式的化简方法教学案一、教学目标1.了解分式的定义和基本性质。
2.掌握分式的化简方法。
3.学会应用分式的化简方法解决实际问题。
二、教学重点1.分式的化简方法。
2.分式的应用。
三、教学难点1.掌握分式的化简方法。
2.运用分式解决实际问题。
四、教学准备1.教师需要准备白板、黑板、笔。
2.学生需要准备笔、笔记本。
五、教学过程1.引入教师通过简单的数学问题引入本课学习内容。
例如:“你有8个苹果,你要将他们平均分给4个人,请问每个人分到几个苹果?”引导学生思考,将8除以4,得到答案2个苹果。
从中引入分式的基本概念,并介绍分式的定义和基本性质。
分式是指一个整数除以另一个整数,或者一个多项式除以另一个多项式,例如1/2或(x+1)/(x-1),其中分母不能为零。
2.讲解(1)分式的定义和基本性质。
(2)分式的化简方法。
①通分,并将分式化简为最简形式。
②合并同类项,并将分式化简为最简形式。
③分解因式,并将分式化简为最简形式。
(3)分式的应用。
通过实例分析,引导学生了解应用分式的归约公式解决实际问题的方法。
3.练习教师以简单的例子引导学生进行分式的归约练习,并根据学生练习情况适时进行讲解和辅导。
4.巩固通过例题的讲解,引导学生总结并掌握分式的化简方法。
学生需掌握通分、合并同类项和分解因式这三种方法,并能够熟练运用这些方法解决实际问题。
五、教学效果的评估通过课后作业及时检查学生掌握情况,及其对分式的化简方法的灵活应用。
对学生的不足场次进行讲解,并对学生做好知识点复习和答疑辅导,六、教学反思本课程将分式的基本概念、基本方法和应用相结合。
引导学生在课堂上一步一步掌握分式化简方法。
同时通过实例分析,引导学生跨越认知层面,促使其提高数学应用能力。
课堂效果较好。
学校:花厅中学年级:九年级班级:九(1)班学科:数学执教者:
课题分式的化简求值专
题复习教
学
目
标掌握分式化简求值的概念,了解化简求
值的方法。
学生能熟练应用平方差,完
全平方和及完全平方差公式。
学生能熟
练应用分式的性质对分式进行化简。
重点分式的性质及平方公式的应用
主体课型要素组合方式
课时安排1课时难点分式的化简
设计意图梳理知识点知识点的运用灵活运用知识点学生反思巩固提升
教学环节导入主动学习互动探究整理学案自主检测(练习)
教学流程1.完成导学案的知
识要点。
(看+想+做)
教师察看学生完成情
况,对学困生给予辅
导。
1.完成基础闯关的练习。
(看+想+做+讲+听)
1、让学生独立完成,巡视
察看学生完成情况,对学
困生给予辅导。
2、进行讨论交流。
1.完成互动探究的练习。
(看+想+做+讲+听)
1、让学生独立完成互动探
究,教师察看学生完成情
况,对学困生给予辅导。
2、讨论交流,并选择小组
进行展示。
1.你有什么收获或者还有什么
疑惑?
(想+写+讲)
完成自主检测练习,课后
找老师或同学交流。
(想+听+讲)。
大庆市第二十五中学“发展性课堂”导学案大庆市第二十五中学“发展性课堂”导学案AB=大庆市第二十五中学“发展性课堂”导学案有最大值还是最小值?这个值是多少?请你根据上表所给数据表述出每件售价提高的数量(元)与日销量减少的数量大庆市第二十五中学“发展性课堂”导学案1题图、已知⊙O1、⊙,若两圆相交,则圆心距(D.8,则下列说法错误的是D.OD=DE,侧面展开后所得的扇形的圆心角为.13题图°,OA=1,则AP=__________(第6题图)2011福建福州,9,4分)120AOB ∠= ,则大圆半径. 2011浙江省嘉兴,6心距为( ) 6B 、8ABO C 图2大庆市第二十五中学“发展性课堂”导学案的中点O 4题图,再取此两中线的交点O的中垂线,再取此两中垂线的交点O的角平分线,再取此两角平分线的交点OABC,分别以A、C为圆心,BC、AB长为半径画弧,两弧在直线)B.∠ADC与∠BAD互补D.∠ADC与∠ABC互余是不等边三角形,若DE=BC,则以D、E为两个顶点作位置不同的三角形,使所全等,这样的三角形做多可作出().6个D.8个7题图的角平分线”的作法:①在OA和OB上分别截取OD、OE_______________为半径画弧,两弧在∠AOB内交于点C;③画射线如图,以O为圆心,任意长为半径画弧,与射线OM交于点A,再以,画射线OB,则cos∠AOB的值等于________.授课过程_______≌△______,Rt_______≌△______,Rt_______≌△______,Rt为了推进农村新型合作医疗制度改革,准备在某镇新建一个医疗点村的村委会所在地的距离都相等,请你用尺规作图的方法确定点P的位置.写出已知、求作;不写作法,保留作图痕迹.______________________________________;__________________________________________.如图,在单位长度为1的正方形网格中,一段圆弧经过网格的交点为原点、竖直和水平方向所在的直线为坐标轴、网格边长为单位长,建立平面②用直尺和圆规画出该圆弧所在圆的圆心D的位置的基础上,完成下列问题:、D___________;结果保留根号);是一个圆锥的侧面展开图,则该圆锥的底面面积为与⊙D的位置关系并说明你的理由.是某村一片若干亩土地的示意图,在党的“十六大”精神的指导下,为进一步加大农村经济结构调整的力度,该村决定把这块土地平均分给四位“花农”种植,请你帮他们分一分,提供两种分法.要求:画出图形,并简要说明分法.5,宽为3的矩形纸片;(结果保留根号)请你设计一种裁剪的方法.,使其两边为已知线段a、b,夹角为出已知、求作;保留作图痕迹;不在已知的线、角上作图;不写作法____________________________________________________________________________________________。
中考专题复习(3)分式的化简求值学校:宁蒗县蒗蕖中学姓名:郑继芬一:教学目标(1):知识技能:掌握解决分式、根式化简求值的基本方法。
(2):数学思考:在发现、探究的过程中,我们应该熟练地掌握课本上提到的数学公式(如完全平方公式、平方差公式等)。
从直观到抽象、从感性认识到理性认识的转变,发展学生直观想象能力,分析、归纳、抽象概括的思维能力.(3):解决问题:培养学生的观察、分析、归纳能力,,运用观察法找出更好的解题思路和方法,会产生事半功倍的效果。
(4):情感态度:让学生体验到数学与生活是紧密联系的。
二:教学重点各种解题方法的掌握以及对相关公式的熟练运用三:教学难点熟练地掌握课本上提到的数学公式(如完全平方公式、平方差公式等)。
四:教学过程(一)基础知识复习代数式的求值与代数式的恒等变形关系十分密切.许多代数式是先化简再求值,特别是有附加条件的代数式求值问题,往往需要利用乘法公式、绝对值与算术根的性质、分式的基本性质、通分、约分、根式的性质等等,经过恒等变形,把代数式中隐含的条件显现出来,化简,进而求值.1:常用的公式:(1)a2-b2=(a+b)(a-b); (2)a2±2ab+b2=(a±b)2说明:根据多项式的特点,根据字母、系数、指数、符号等正确恰当地选择公式.(1.)因式分解的常用方法:(1)提公因式;例:x9+x6+x3(2)公式法;例:x2﹣1(3)因式分解法;例:x2﹣5x﹣62.约分: 最简公因式(相同的部分)约分时应注意以下几点:(1)分子、分母是能因式分解的多项式时,进行因式分解(2)分子、分母互为相反数时,提出负号(3)约分完后,应注意剩余项是 11 3.通分:找最小公倍数通分时应注意以下几点:(1)通分时先要确定(分母的)最小公倍数(2)通分时,整式的分母可看作 1(3)通分前,分子、分母能约分应注意约分,可简化通分后的式子。
4.分式的加减法则:同有理数的法则相同(二)【典型范例】【例1】化简求值:•(),其中x=.考点:分式的化简求值.专题:计算题.分析:原式括号中两项通分并利用同分母分式的减法法则计算,约分得到最简结果,将x的值代入计算即可求出值.解答:解:原式=•=x+1,当x=时,原式=.点评:此题考查了分式的化简求值,熟练掌握运算法则是解本题的关键.【例2】先化简,再求值:÷(1﹣),其中a=﹣2.考点:分式的化简求值..分析:先通分,然后进行四则运算,最后将a=﹣2代入计算即可.解答:解:原式=×=,当a=﹣2时,原式===.点评:本题考查了分式的化简求值,解答此题的关键是把分式化到最简,然后代值计算.(三)【课堂练一练】(1) 化简求值:211()(1)11x x x +⋅-+-,其中12x =. (2)先化简,再求值: a a a a a -+-÷--2244)111(,其中1-=a (3)化简求值:21(1)11x x x x x x ⎡⎤+-⋅⎢⎥---⎦⎣,其中1x = (4)先化简、再求值:33)225(423-=---÷--a a a a a ,其中 (5)先化简,再求值: 211()1122x x x x -÷-+-,然后从-1,1,2中选取一个数作为x 的值代入求值.(6)先化简:⎪⎪⎭⎫ ⎝⎛++÷--a b ab a ab a b a 22222,当1-=b 时,再从-2<a <2的范围内选取一个合适的整数a 代入求五:小结(1)让学生及时回顾整理本节课所学的知识.(2)了解教学效果,及时调整教学.(3)学生自己总结发言本节课的收获,不足之处由其他学生补充完善,(4)教师应重点关注不同层次的学生对本节知识的理解、掌握程度.学生独立完成,教师批改总结.六:布置作业(1) 中考四套样卷1的15小题(2) 中考四套样卷2的15小题(3) 中考四套样卷3的15小题(4)中考四套样卷4的15小题学生独立完成,教师批改总结.教学设计说明本节课主要是研究代数式的化简与求值.在教学设计中力求做到:(1)代数式是用基本运算符号,把数和表示数的字母连接而成的式子。
2023年中考九年级数学一轮复习 --分式化简求值1.先化简,再求代数式aa+2−1a−1÷a+2a2−2a+1的值,其中a=6tan60∘−22.先化简,再求值:(1x−3+1x+3)·9−3x2x,其中x= √3-3.3.先化简,再求值:x 2−6x+9x2−9÷x−32,其中x=√2﹣3.4.先化简,再求值:a2−1b2−2b+1÷ a+1b−1+1b−1,其中a= √3,b= √3+1.5.先化简,再求值:(1﹣1a+1)×a2+2a+12,其中a=√2.6.先化简(2x+11−x﹣1)÷x1−x2,然后从﹣2≤x<2的范围内选取一个合适的整数作为x的值代入求值.7.先化简,再求值:(1−1a+1)÷aa2+2a+1,其中a=√3−1.8.先化简,再求值:(1﹣2x)÷ x 2−4x+4x2−4﹣x+4x+2,其中x2+2x﹣8=0.9.先化简,再请你用喜爱的数代入求值(x+2x2−2x −x−1x2−4x+4)÷x+2x3−4x10.先化简,后求值.(aa+1﹣aa2−1)÷aa+1﹣a+1a−1,其中a= √3+1.11.先化简,再求值:(1x−y+1x+y)÷xyx2−y2,其中x=2014,y=﹣2.12.先化简,再求值:x−2x2−1÷(1﹣3x+1),其中x= √3+1.13.先化简,再求代数式aa+2−1a−1÷a+2a2−2a+1的值,其中a=6tan30°−2.14.先化简,再求值:(m+2+52−m)⋅2m−43−m,其中m=12.15.先化简,再求值:(x 2−1x2−2x+1−1)÷x x−1,其中x=3−1×6.16.先化简,再求值:a+1a2−2a+1÷(1+2a−1),其中a=3.答案解析部分1.【答案】解:原式= a a+2−1a−1·(a−1)2a+2= a a+2−a−1a+2 = 1a+2 当a=6× √33﹣2=2 √3 ﹣2时, 原式= 12√3−2+2=12√3= √362.【答案】解:原式= x+3+x−3(x+3)(x−3) • 3(3−x )2x =﹣ 3x+3 当x= √3 ﹣3时,原式=﹣ √3 .3.【答案】解:原式=(x−3)2(x+3)(x−3)•2x−3=2x+3, 当x=√2﹣3时,原式=√2.4.【答案】解:原式= (a−1)(a+1)(b−1)2 • b−1a+1 + 1b−1 = a−1b−1 + 1b−1= a b−1 ,当a= √3 ,b= √3 +1时,原式= √3√3+1−1 =1.5.【答案】解:原式 =a a+1×(a+1)22 =a(a+1)2 . 当a =√2 时,原式 =√2(√2+1)2=2+√22 . 6.【答案】解:( 2x+11−x ﹣1)÷ x 1−x 2= 2x+1−(1−x)1−x ⋅(1+x)(1−x)x= 2x+1−1+x 1−x ⋅(1+x)(1−x)x= 3x 1−x ⋅(1+x)(1−x)x=3(1+x )=3+3x ,∵﹣2≤x <2且x 为整数,∴当x=﹣2时,原式=3+3×(﹣2)=3+(﹣6)=﹣3.7.【答案】解:原式= a+1−1a+1÷a(a+1)2=a a+1·(a+1)2a=a+1。
分式的化简求值与分式方程一、分式化简技巧1. 在分式的运算中,有整式时,可以把整式看做分母为1的式子,然后再计算。
2. 要注意运算顺序,先乘方、同级运算从左到右依次进行。
3. 如果分式的分子分母是多项式,可先分解因式,再运算。
4. 注意分式化简题不能去分母.类型一、分式化简1、计算:2、化简:类型二、化简求值3、先化简,再求值:⎪⎪⎭⎫⎝⎛--÷-x y xy x x y x 22,其中1,2-==y x 。
2、4、先化简,再求值:21121222+---÷+++x xx x x x x ,其中x=23-.2228224a a a a a a +-⎛⎫+÷ ⎪--⎝⎭35(2)482y y y y -÷+---5、先化简,再求代数式的值.22+2(+)+111a a a a a ÷-+,其中2012(1)tan 60a =-+︒类型三、化简求值与不等式组6、先化简再求值:,其中x 是不等式组的整数解.类型四、化简求值,整体代入7、已知11)a b a b+=≠,求()()a b b a b a a b ---的值。
8、先化简,再求值:(x -1x -x -2x +1)÷2x 2-x x 2+2x +1,其中x 满足x 2-x -1=0.二、分式方程技巧:解分式方程的步骤:1、去分母,化分式方程为整式方程两边同乘 以最简公分母2、解整式方程-------去括号、移项、合并同类项、系数化为13、检验-------带入最简公分母,若为零,则为増根,应舍去。
1、解方程:22333xx x -+=--2、解分式方程:163104245--+=--x x x x3、解方程:.课后练习1、解分式方程:212111xx x -=--2、化简,:,12111xx x -=--2211()22x yx y x x y x +--++3、在一次夏令营活动中,小明同学从营地A 出发,到A 地的北偏东60°方向的C 处,他先沿正东方向走了 200 m 到达B 地,再沿北偏东30°方向走,恰能到达目的地C(如图 6-5-7),由此可知,B、C 两地相距多少米。
化简求值专题教学设计
施秉二中:向兴友
教学内容:化简求值
教学目的:使学生能够进行分式的混合运算。
教学重点:使学生掌握分式的通分与约分。
教学难点:分式的通分与约分。
教学过程:
【解题基本方法】
1、分解因式
(1)提公因式法:ma+mb+mc=
(2)公式法:
平方差公式:a 2-b 2=
完全平方公式a 2+2ab+b 2=
(3)因式分解:x 2+(a+b)x+ab=
2、分式的通分:异分母的分式相加减关键在于找再通分。
3、解题目技巧:
要善于观察题目的特征,若分子,分母是多项式则应先将其分解因式,再把除法转化为乘法,再约分化简。
4、找出下列各式的最简公分母:
x+x 1
a+1-1
1a 最简公分母是:最简公分母是:
11
a a -11a a ④322x +9
x 42x 最简公分母是:最简公分母是:
⑤212x x +1
x x
最简公分母是:
【小题热身】
1.先简化,再求b a b
ab a 2
22÷(a 1+b 1) 值:其中a ,b 互为倒数。
2.先化简,再求值:(1-21x )÷41
222
x x x ,其中x=-3
3.先化简,再求值:(1-112x x )÷12222x x x
x ,其中x=21。
初中分式化简教案教学目标:1. 理解分式的概念和基本性质;2. 掌握分式化简的方法和技巧;3. 能够运用分式化简解决实际问题。
教学内容:1. 分式的概念和基本性质;2. 分式化简的方法和技巧;3. 分式化简在实际问题中的应用。
教学过程:一、导入(5分钟)1. 引导学生回顾整式的概念和基本性质,为新课的学习打下基础;2. 提问:我们已经学习了整式的四则运算,那么分式呢?分式有哪些基本性质?二、新课讲解(20分钟)1. 讲解分式的概念:分式是两个整式的比,其中分母不能为零;2. 讲解分式的基本性质:分式的分子和分母同时乘以或除以同一个非零整式,分式的值不变;3. 讲解分式化简的方法和技巧:a. 先将分式的分子和分母分解因式;b. 然后约去分子和分母中相同的因式;c. 最后将化简后的分式写成最简形式。
三、例题讲解(15分钟)1. 出示例题:化简分式 (3x + 5) / (2x - 3);2. 引导学生按照分式化简的方法和技巧进行计算;3. 讲解例题的解题思路和步骤。
四、课堂练习(10分钟)1. 出示练习题:化简分式 (2x^2 - 5x + 3) / (x^2 - 2x + 1) 和 (4a^3 - 9a^2 + 6a - 1) / (a^3 - 2a^2 + a);2. 让学生独立完成练习题,教师巡回指导;3. 讲解练习题的解题思路和步骤。
五、总结与拓展(5分钟)1. 总结本节课所学的内容,让学生明确分式化简的方法和技巧;2. 提问:分式化简在实际问题中的应用有哪些?引导学生思考和探索;3. 出示拓展题:某工厂生产两种产品A和B,生产一个产品A需要2小时,生产一个产品B需要3小时。
现在有8小时的生产时间,要求生产尽可能多的产品B,问最多能生产多少个产品B?教学评价:1. 课堂讲解是否清晰易懂,学生是否能理解和掌握分式的概念和基本性质;2. 学生是否能运用分式化简的方法和技巧解决实际问题;3. 学生对分式化简的练习题的完成情况,以及是否能正确解题。
数学中考专题一:分式化简求值一、考纲要求(分值范围17-20分)(一)、有理数部分1.了解部分:|a|的含义。
2.理解部分:有理数的概念、相反数、绝对值、乘方的意义、有理数的混合运算、有理数的运算律。
3.掌握部分:用数轴上的点表示有理数、比较有理数的大小、相反数、绝对值、有理数的加减乘除乘方运算、有理数的混合运算、有理数的运算律。
4.运用部分:相反数、绝对值、理数的混合运算、有理数的运算律。
(二)、实数部分1.了解部分:平方根、算术平方根、立方根的概念、利用乘方和开方互逆求百以内整数的平方根和立方根、无理数和实数的概念及其与数轴上的点的对应关系、近似数的概念、二次根式及最简二次根式的概念、二次根式(根号下仅限于数)加减乘除及四则运算法则。
2.理解部分:平方根、算术平方根、立方根的概念、利用乘方和开方互逆求百以内整数的平方根和立方根。
3.掌握部分:求实数的相反数与绝对值、用有理数估计一个无理数的大致范围、用计算机进行近似计算。
4.运用部分:二次根式(根号下仅限于数)加减乘除及四则运算法则(三)、代数式1.了解部分:无。
2.理解部分:用字母表示数的意义、求代数式的值。
3.掌握部分:简单数量关系的分析与表示、求代数式的值。
4.运用部分:求代数式的值。
(四)、整式与分式1.了解部分:整数指数幂的意义和基本性质、分式和最简分式的概念。
2.理解部分:科学记数法、整式的概念、乘法公式(平方差和完全平方公式)3.掌握部分:整式的加减乘法(多项式限一次与二次式)运算、乘法公式(平方差和完全平方公式)、用提公因式法公式法(直接用公式不超过两次)进行因式分解、公式的基本性质、约分和通分、分式的加减乘除运算。
4.运用部分:科学记数法、乘法公式(平方差和完全平方公式)、用提公因式法公式法(直接用公式不超过两次)进行因式分解、公式的基本性质。
5.经历部分:乘法公式(平方差和完全平方公式)。
6.探索部分:乘法公式(平方差和完全平方公式)。
分式化简复习课教案一、教学目标1. 了解什么是分式化简;2. 研究分式化简的基本原则和方法;3. 掌握分式化简的常见技巧;4. 能够通过练题熟练应用所学知识。
二、教学内容1. 什么是分式化简- 分式化简是指将复杂的分式表达式化简为简单的形式,以便计算和理解。
- 一般来说,分式化简的目标是消除分母或因式分解。
2. 分式化简的基本原则和方法- 分子和分母可以同时除以一个公因子;- 分式可以合并同类项;- 分式可以展开并简化。
3. 分式化简的常见技巧- 利用最大公约数化简;- 利用分子分母同乘以适当的因式;- 利用分子分母因式分解;- 利用公式化简。
4. 分式化简的练题- 练不同类型的分式化简题目,并鼓励学生积极参与解题过程。
- 提供实际问题的分式化简题目,增强学生的应用能力。
三、教学方法1. 讲解法:通过教师对分式化简的基本概念、原则、方法进行系统讲解,帮助学生理解和掌握相关知识。
2. 案例分析法:通过解析一些实际问题的分式化简过程,引导学生将所学知识应用到实际情境中,加深理解。
3. 互动讨论法:鼓励学生积极参与课堂讨论,提出问题并与教师及同学一起探讨解决方法,促进学生的研究和思考能力。
四、教学步骤1. 引入:通过一个生活中的实例引出分式化简的概念并解释其重要性。
2. 讲解:教师对分式化简的基本原则和方法进行讲解,并通过示例演示分式化简的步骤。
3. 练:教师出示一些简单的分式化简题目,让学生在黑板上进行求解,并互相交流和讨论解题思路。
4. 深化:教师提出一些复杂的分式化简问题,引导学生分析和解决问题,并讨论不同的解题方法和思路。
5. 总结:教师对本节课所学内容进行总结,并回顾重点和难点,强调掌握分式化简的重要性和应用场景。
6. 作业:布置分式化简的作业,要求学生在家中继续练和巩固所学知识。
五、教学评估1. 课堂表现:观察学生的参与度、回答问题的准确性和及时性。
2. 练题:检查学生完成的分式化简题的正确性和方法的正确应用程度。
由一道“考试题”弓I发的思考----- 分式的化简求值问题教学目标:1,熟记分式的基本性质,理解通分、约分、最简分式、最简公分母这些概念的同时思考通分,约分的方2,熟练掌握分式化简求值问题的基本方法和步骤,尝试总法、技巧。
结题目类型及解题技巧。
教学重点:能正确利用分式的基本性质对分式进行化简,求值教学难点:通分,约分的方法技巧的掌握及添括号的应用教学过程:活动一:试卷原题再现17,(5分)试说明代数式(2y+3)(3y+2)-6y(y+3)+5y+16的值与y的值无关活动设计说明:①老师帮助分析本题全班得分情况②学生代表说一说错误原因及正确解题思路③老师出示优秀试卷解答过程活动二:回顾概念,查漏补缺出示题目:已知x=2015-5 . 八〜1.414,求代数式x2 -2x+ 1 x _ 3兀2_1 +(1屈+》)的值活动设计说明:① 出示题目,引发思考,设置问题② 大胆尝试,提出疑问,出谋划策,各抒己见③ 展示详细的解题过程教师寄语:约分,通分,因式分解是分式化简得必要途径,同学 们一定要对以上概念在理解的基础上熟练应用。
活动三:加强练习,步步提升出示题目:(1)已知x=2015,y=2016求代数式 「 + (x - 二 )的值并从-1 < x < 3中选择一个合适的整数代入求值(3)化简分式,并选择你喜欢的数值代入求值5 2m - 4(m+2+ 二;"')十:% 活动设计说明:①给学生一次自主选择的权利,学生可根据自己的接受情况,选择全部完成或选择其中两道完成都可②老师通过让学生演板解题过程或口答解题思路的方式来 检查学生的掌握情况,并根据情况给予指导(2)化简分式分式化简求值题的一般解题思路为:(1)利用因式分解、通分、约分等相关知识对原复杂的分式进行化简.(2)选择合适的字母取值代入化简后的式子计算得结果.注意字母取值时一定要使原分式有意义,而不是只看化简后的式子.活动四:向中考迈进一小步(出示2016年中招考题第16题)X —1-------- 1--------------------2 2(兀一1 ) - - 2x + 1,其中,X的值从不等式组‘ -x<l2x-l<4的整数解中选取活动设计说明:①第一次见到中招试卷与本章学习有关的内容,也是每年必考题目,老师需鼓励学生独立完成,提升信心②根据完成情况,进行个别指导活动五:小结与作业:①整理本节你认为需要记录的重要知识点和典型题目②把你的疑问提出来和同伴交流,并把收获简洁的整理在课堂笔记本上作业:①请把本节练习的题目中你认为还需要加强的题目写在作业本上,②补充练习。