数学二答案全新东方在线
- 格式:docx
- 大小:1.54 MB
- 文档页数:8
2022年全国硕士研究生招生考试数学二一、选择题:no 小题,每小题5分,共50分.在每小题给出的四个选项中,只有一个选项 是最符合题目要求的,请将所选项前的字母填在答题纸指定位置上1.当XT0时,a(x), 0(x)是非零无穷小量,给出以下四个命题: ① 若a(x)~0(x),则a2(x)~p2(x ). ② 若a2(x)~p2(x),则a(x)-p(x); ③ 若a(x)〜。
(x),则a(x)-P(x)~o(a(x)); ④ 若a(x)-p(x)~o(a(x)),则a ⑴〜0(x),其中所有真命题的序号是().A. ①②B.①®C.①③④D.②®④ 【答案】D.【解析】取a(x) = l-cosx, P(x) = lx2,排除①,故选D.^x = \2dx\x0 03.设函数/(同在x = x 处有2阶导数,则A. 当/(*)在*的某邻域内单调增加时,/ G )>00 0 B. 当rlv)>Ont, f(x)在X 的某邻域内单调增加 0 02D- 32. !2dJ 0 2-f —dK=()V + X31 B- 3 【答案】 【解析】D.交换积分次序后可得G + 1)0 y Jl + *3X2 ,C. 当/'(”在X 的某邻域内是凹函数时,/'"(x )>0D. 当/O>0,/«在气的某邻域内是凹函数0 0【答案】B.【解析】因/'(x)在x = x 处有2阶导数,则f\x )=lim /f W-/V 0)存在=|im 广(x)= p x ),°ip当f\x )>0时,由极限的局部保号性得,38>0,当x 話。
,8),有f\x)> 0 ,即35 >0, 0 0 当x G t/(x,6),有广⑴>0,故/■⑴在x = %的某邻域内单调增加,选B..dF = _dF diF _ diF . dx dy ,dx2 dyi【答案】C. 【解析】由于F(x,y) = jr= (x-y)jr/⑺出-f^//(r)dz,c当=f (f)dr + (x-y)f(x- y)-(x-y)f (x-y) = \x ~yf{t)6t,OX o~J x -y /(r)dr -(x-y)f(x-y) + (x-y)f(x-y) = J 。
考研数二真题答案详细解析学二真题答案详细解析前言:学二是一门相对较难的科目,对于考生来说,熟悉真题不仅能够了解考试题型,还能够加深对知识点的理解。
下面将对学二的真题进行详细解析。
一、选择题解析1. 题目:已知函数f(x) = |2x - 1|,则f'(x)=()A. 2B. 2x - 1C. 1D. -2x + 1解析:函数f(x)是一个绝对值函数,根据绝对值函数的导数公式,对于x > a,f(x)的导数为2,对于x < a,f(x)的导数为-2。
根据题目中的函数f(x) = |2x - 1|,可以得到x > 1/2时,f(x)的导数为2;x < 1/2时,f(x)的导数为-2。
所以答案选D. -2x + 1。
2. 题目:已知函数f(x) = 2^x,g(x) = log2x,h(x) =f(g(x)),则h'(x)=()A. 2^x * ln2B. x * ln2C. 2^xD. 1/2^x解析:根据链式法则,h'(x) = f'(g(x)) * g'(x)。
由函数f(x) = 2^x得到f'(x) = 2^x * ln2;由函数g(x) = log2x得到g'(x) =1/(x * ln2)。
将f'(g(x))和g'(x)代入链式法则公式中,得到h'(x) = (2^g(x) * ln2) * (1/(x * ln2))。
化简后可得到h'(x) = 2^g(x) / x。
由h(x) = f(g(x)),可以得到h'(x) = 2^(log2x) / x = x / x = 1。
所以答案选D. 1/2^x。
二、填空题解析1. 题目:已知函数y = ln(ax)在点(1, 0)处的切线与直线x = a交于点P,则P的坐标为(________)。
解析:y = ln(ax)的导数为dy/dx = 1/x。
2022年数二考研真题答案解析一、填空题:1一6小题,每小题4分,共24分.把答案填在题中横线上.(1)曲线口yl某4in某的水平渐近线方程为y.D55某2co某【分析】直接利用曲线的水平渐近线的定义求解即可•口4in某某4in某某1.0【详解】limlim某5某2co某某2co某55某1故曲线的水平渐近线方程为y.o51(2)设函数口1某2130intdt,某0在某0处连续,则a・f(某)某3a,某0【分析】本题为已知分段函数连续反求参数的问题.直接利用函数的连续性定义即可•【详解】由题设知,函数口f(某)在某0处连续,则口limf(某)f(0)a,o某0又因为limf(某)lim某0某0某0int2dt某3in某211im.某03某23所以口al.3(3)广义积分001某d某(1某2)22.D【分析】利用凑微分法和牛顿一莱布尼兹公式求解.口【详解】o02bd(l+某)某d某1lllimlim22(l某2)22b0(l某)2bl+某bO211111im2.Q2bl+b22(4)微分方程口yy(l某)某的通解是yC某e(某0).某【分析】本方程为可分离变量型,先分离变量,然后两边积分即可【详解】原方程等价为°dylld某,y某两边积分得口Inyln某某Cl,整理得口(5)设函数口C某.(Cel)yCe某dy某Oe.d某【分析】本题为隐函数求导,可通过方程两边对某求导(注意y是某的函数),一阶微分形式不变性口yy(某)由方程yl某ey确定,贝版和隐函数存在定理求解.口【详解】方法一:方程两边对某求导,得口yey某yey.Q又由原方程知,某0时,y方法二:方程两边微分,得°ydye某d某yl.代入上式得口dyd某某0y某0e.q某0,yl,得ey,代入ddyd某某Oe.Q方法三:令F(某,y)yl某ey,则口yleoF某某Oy,某FeyO,1,y某yO,1某lye某y,0,11 故口dyd某某OF某Fy某0,yle.D某O,yl(6)设矩阵A21,E为2阶单位矩阵,矩阵B满足BAB2E,贝血12qB2.o【分析】将矩阵方程改写为A某B或某AB或A某BC的形式,再用方阵相乘的行列式性质进行°计算即可•口【详解】由题设,有口B(AE)2E d于是有口BAE4,而口11AE2,所以B2.口11二、选择题:7-14小题,每小题4分,共32分.每小题给出的四个选项中,只有一项符合题目要求,把所选项前的字母填在题后的括号内.(7)设函数口yf(某)具有二阶导数,且f(某)0, f(某)0,某为自变量某在点某0处的增量,oy与dy分别为f(某)在点某0处对应的增量与微分,若某0,贝血(A)dOdyy.(B)Oydy.D(OoydyO.o(D)odyyO.口[A]。
新东方数学试题答案一、选择题1. 以下哪个选项是正确的整数比例?A. 2:3B. 3:5C. 4:7D. 5:8答案:A2. 求下列方程的解:2x + 3 = 7。
A. x = 1B. x = 2C. x = 3D. x = 4答案:B3. 一个长方形的长是12厘米,宽是8厘米,那么它的面积是多少平方厘米?A. 20B. 40C. 60D. 80答案:D4. 以下哪个数是3的倍数?A. 7B. 11C. 15D. 19答案:C5. 一个圆的半径是7厘米,求这个圆的周长(使用π = 3.14)。
A. 14.28厘米B. 21.98厘米C. 42.56厘米D. 63.36厘米答案:C二、填空题1. 一个等边三角形的每个内角是_______度。
答案:602. 如果一个数除以4的结果是18,那么这个数是_______。
答案:723. 一个长方体的体积可以通过_______、_______和_______相乘得到。
答案:长、宽、高4. 请计算:(3+5) × 2 = _______。
答案:165. 一个圆的直径是10厘米,那么它的半径是_______厘米。
答案:5三、解答题1. 请列出三种不同的分数,并说明它们相等的理由。
答:分数1/2、2/4和4/8都表示相同的数值,因为分子和分母同时乘以相同的数(在这个例子中分别是1、2和4),所以它们是相等的。
这是分数的基本性质,即改变分子和分母的乘数(除了零)不会改变分数的值。
2. 解方程:3x - 5 = 10。
答:首先,将方程两边同时加5,得到3x = 15。
然后,将两边同时除以3,得到x = 5。
所以,方程的解是x = 5。
3. 一个班级有40名学生,其中1/4是男生。
请问班级中有多少名男生?答:班级中有40名学生,1/4的学生是男生,所以男生的数量是40 × 1/4 = 10名。
因此,班级中有10名男生。
4. 一个长方体的长是9厘米,宽是6厘米,高是3厘米,请计算它的表面积。
2023年全国硕士研究生入学统一考试数学(二)试题及答案考试时间:180分钟,满分:150分一、选择题:1~10小题,每小题5分,共50分,下列每题给出的四个选项中,只有一个选项符合题目要求,请将所选项前的字母填在答题纸指定位置上.(1)曲线1ln()1yx e x =+−的斜渐近线方程为( ) (A)y x e =+ (B)1y x e=+(C)y x = (D)1y x e=−【答案】B 【解析】1limlimln()11x x y ke x x →∞→∞==+=−,11lim()lim()lim[ln(]lim [ln(ln ]11x x x x b y kx y x x e x x e e x x →∞→∞→∞→∞=−==−=+−=+−−−111lim ln(1lim (1)(1)x x x x e x e x e→∞→∞=+==−−,所以渐进线方程为1y x e =+,答案为B(2)设0()(1)cos ,0x f x x x x ≤=+>⎩的一个原函数为( )(A)),0()(1)cos sin ,0x x F x x x x x ⎧⎪−≤=⎨+−>⎪⎩(B))1,0()(1)cos sin ,0x x F x x x x x ⎧⎪−+≤=⎨+−>⎪⎩(C)),0()(1)sin cos ,0x x F x x x x x ⎧⎪+≤=⎨++>⎪⎩(D))1,0()(1)sin cos ,x x F x x x x x ⎧⎪++≤=⎨++>⎪⎩【答案】D【解析】根据原函数的连续性,可排除(A)(C);再根据原函数的可导性,可排除选项(B),答案为(D) (3)已知{}n x ,{}n y 满足1112x y ==,1sin n n x x +=,21(1,2,)n n y y n +== ,则当n →∞时( )(A)n x 是n y 的高阶无穷小(B)n y 是n x 的高阶无穷小(C)n x 与n y 是等价无穷小(D)n x 与n y 是同阶但不等价的无穷小【答案】B【解析】由已知可得,{}n x ,{}n y 均单调递减,且12n y ≤,又因为sin x x 在(0,2π上单调递减,故2sin 1x x π<<,所以2sin x x π>,所以21112sin sin 24n n n n nn n n n n ny y y y y y x x x x x ππ++==≤=,依次类推可得,111100()444n nn n n n y y y n x x x πππ++⎛⎫⎛⎫≤≤≤≤=→→∞ ⎪ ⎪⎝⎭⎝⎭,故n y 是n x 的高阶无穷小,答案为B (4)若微分方程0y ay by ′′′++=的解在(,)−∞+∞上有界,则( )(A)0,0a b <>(B)0,0a b >>(C)0,0ab =>(D)0,0ab =<【答案】C 【解析】0y ay by ′′′++=的解一共三种情形:①240a b Δ=−>,1212x xy C e C e λλ=+,但此时无论12,λλ取何值,y 在(,)−∞+∞上均无界;②240a b Δ=−=,12()xy C C x eλ=+,但此时无论λ取何值,y 在(,)−∞+∞上均无界;③240a b Δ=−<,12(cos sin )xy e C x C x αββ=+,此时若y 在(,)−∞+∞上有界,则需满足0α=,所以0,0a b =>,答案为(C)(5)设函数()y f x =由2sin x t ty t t⎧=+⎪⎨=⎪⎩确定,则( ) (A)()f x 连续,(0)f ′不存在(B)(0)f ′不存在,()f x ′在0x =处不连续(C)()f x ′连续,(0)f ′′不存在(D)(0)f ′′存在,()f x ′′在0x =处不连续【答案】C 【解析】当0t =时,有0x y ==①当0t>时,3sin x t y t t=⎧⎨=⎩,可得sin 33x xy =,故()f x 右连续;②当0t<时,sin x ty t t=⎧⎨=−⎩,可得sin y x x =−,故()f x 左连续,所以()f x 连续;因为0sin 033(0)lim 0x x x y x ++→−′==;0sin 0(0)lim 0x x x y x −−→−−′==,所以(0)0f ′=;③当0x >时,1sin sin cos 333393x x x x x y ′⎛⎫′==+ ⎪⎝⎭,所以0lim ()0x y x +→′=,即()f x ′右连续;④当0x <时,()sin sin cos y x x x x x ′′=−=−−,所以0lim ()0x y x −→′=,即()f x ′左连续,所以()f x ′连续;考虑01sin cos 23393(0)lim 9x x x xf x ++→+′′==;0sin cos (0)lim 2x x x x f x −−→−−′′==−,所以(0)f ′′不存在,答案为C(6)若函数121()(ln )f dx x x αα+∞+=⎰在0αα=处取得最小值,则0α=( ) (A)1ln(ln 2)−(B)ln(ln 2)− (C)1ln 2(D)ln 2【答案】A 【解析】当0α>时,121()(ln )f dx x x αα+∞+=⎰收敛, 此时21122111111()ln (ln )(ln )(ln )(ln 2)f dx d x x x x x ααααααα+∞+∞+∞++===−=⎰⎰,故211111ln ln 2()(ln 2)(ln 2)(ln 2)f ααααααα′⎡⎤−′==−⎢⎥⎣⎦,令()0f α′=,解得0α=1ln(ln 2)−(7)设函数2()()x f x x a e =+,若()f x 没有极值点,但曲线()y f x =有拐点,则a 的取值范围是( )(A)[0,1)(B)[1,)+∞(C)[1,2)(D)[2,)+∞【答案】C 【解析】2()()x f x x a e =+,2()(2)x f x x x a e ′=++,2()(42)x f x x x a e ′′=+++,因为()f x 没有极值点,所以440a −≤;又因为曲线()y f x =有拐点,所以164(2)0a −+>,联立求解得:[1,2)a ∈(8)设A ,B 为n 阶可逆矩阵,*M 为矩阵M 的伴随矩阵,则*A E OB ⎛⎫= ⎪⎝⎭( ) (A)****A B B A O B A ⎛⎫−⎪⎝⎭(B)****B A A B O A B ⎛⎫−⎪⎝⎭(C)****B A B A OA B ⎛⎫−⎪⎝⎭(D)****A B A B OB A ⎛⎫−⎪⎝⎭【答案】B【解析】*11111A E A E A E A AB A B O B O B O B O B −−−−−⎛⎫−⎛⎫⎛⎫== ⎪ ⎪ ⎪⎝⎭⎝⎭⎝⎭111***1*A B A A B A B B A A B O A B B OA B −−−−⎛⎫⎛⎫−−== ⎪ ⎪⎝⎭⎝⎭,答案为B (9)二次型222123121323(,,)()()4()f x x x x x x x x x =+++−−的规范形为( )(A)2212y y +(B)2212y y −(C)2221234y y y +−(D)222123y y y +−【答案】B 【解析】222123121323(,,)()()4()f x x x x x x x x x =+++−−222123121323233228x x x x x x x x x =−−+++二次型矩阵为211134143A ⎛⎫⎪=− ⎪ ⎪−⎝⎭,211134(7)(3)143E A λλλλλλλ−−−−=−+−=+−−−+ 故答案为B(10)已知向量1123α⎛⎫ ⎪= ⎪ ⎪⎝⎭,2211α⎛⎫ ⎪= ⎪ ⎪⎝⎭,1259β⎛⎫ ⎪= ⎪ ⎪⎝⎭,2101β⎛⎫ ⎪= ⎪⎪⎝⎭,若γ既可由12,αα线性表示,也可由12,ββ线性表示,则γ=( )(A)33,4k k R ⎛⎫⎪∈ ⎪ ⎪⎝⎭ (B)35,10k k R ⎛⎫ ⎪∈ ⎪ ⎪⎝⎭ (C)11,2k k R −⎛⎫ ⎪∈ ⎪ ⎪⎝⎭(D)15,8k k R ⎛⎫⎪∈ ⎪ ⎪⎝⎭【答案】D 【解析】令γ11221122k k l l ααββ=+=+,则有112211220k k l l ααββ+−−=,即12121212(,)0k k l l ααββ⎛⎫ ⎪ ⎪−−= ⎪ ⎪⎝⎭而121212211003(,)2150010131910011ααββ−−⎛⎫⎛⎫ ⎪ ⎪−−=−→− ⎪ ⎪⎪ ⎪−−⎝⎭⎝⎭所以1212(,,,)(3,1,1,1),TT k k l l c c R =−−∈,所以12(1,5,8)(1,5,8),T T c c c k k R γββ=−+=−=∈,答案为D二、填空题:11~16小题,每小题5分,共30分,请将答案写在答题纸指定位置上. (11)当0x →时,函数2()ln(1)f x ax bx x =+++与2()cos x g x e x =−是等价无穷小,则ab =________【答案】2−【解析】由已知可得:2222200022221(())()ln(1)2lim lim lim 1()cos (1())(1())2x x x x ax bx x x o x f x ax bx x g x e x x o x x o x →→→++−++++==−++−−+220221(1)(()2lim 13()2x a x b x o x x o x →++−+==+所以1310,22a b +=−=,即1,2a b =−=,所以2ab =−(12)曲线y =⎰的弧长为________43π【解析】由题意可得函数定义域为[x ∈,根据公式可得:2302sin 24cos L x t tdtπ====⎰304(1cos 2)t dt π=+=⎰43π+(13)设函数(,)z z x y =由2ze xz x y +=−确定,则2(1,1)2zx∂=∂_________【答案】32−【解析】代入(1,1)点可得,0z =,先代入1y =,可得21z e xz x +=−,两边对x 求导,2z e z z xz ′′++=,得(1)1z ′=两边再对x 求导,20z ze z e z z z xz ′′′′′′′++++=,代入(1,1)及0z =,(1)1z ′=得2(1,1)232zx∂=−∂(14)曲线35332x y y =+在1x =对应点处的法线斜率为________【答案】119−【解析】代入1x =得到1y =,两边对x 求导,242956x y y y y ′′=+,代入1x =,1y =可得:911y ′=,故1x =对应点处的法线斜率为1119y −=−′(15)设连续函数()f x 满足:(2)()f x f x x +−=,2()0f x dx =⎰,则31()f x dx =⎰_______【答案】12【解析】323211121()()()()(2)f x dx f x dx f x dx f x dx f x dx=+=++⎰⎰⎰⎰⎰[]2121111()()()022f x dx f x x dx f x dx xdx =++=+=+=⎰⎰⎰⎰(16)已知线性方程组13123123121202ax x x ax x x x ax ax bx +=⎧⎪++=⎪⎨++=⎪⎪+=⎩有解,其中,a b 为常数,若0111412a a a =,则11120a a ab =_______【答案】8【解析】由题意可得:方程组系数矩阵秩为3,可得增广矩阵的秩也为3,即011110012002a a a ab =按照第四列进行行列式展开可得:144411011(1)122(1)11012a a a a a b a ++⋅−+⋅−⋅=所以111280a a ab =三、解答题:17~22小题,共70分.请将解答写在答题纸指定的位置上.解答应写出文字说明、证明过程或演算步骤.(17)(本题满分10分)设曲线:()()L y y x x e =>经过点2(,0)e ,L 上任一点(,)P x y 到y 轴的距离等于该点处的切线在y 轴上的截距(1)求()y x ;(2)在L 上求一点,使得该点处的切线与两坐标轴所围三角形的面积最小,并求此最小面积【答案】(1)()(2ln )y x x x =− (2)33221(,)2e e ,最小面积是3e 【解析】(1)曲线L 上任一点(,)P x y 处的切线方程为()Y y y X x ′−=−,令0X =,则y 轴上的截距为Y y xy ′=−,则有x y xy ′=−,即11y y x′−=−,解得(ln )y x C x =−,其中C 为任意常数,代入2(,0)e 可得2C =,故()(2ln )y x x x =−(2)该点设为000(,(2ln ))x x x −,切线方程为0000(2ln )(1ln )()Y x x x X x −−=−− 令0X =,解得0Y x =;令0Y =,解得00ln 1x X x =−;所以该点处的切线与两坐标轴所围三角形的面积为:200011()22ln 1x S x XY x ==−求导00020(2ln 3)()2(ln 1)x x S x x −′=−,令0()0S x ′=,解得320x e =且为最小值点,最小面积为332()S e e =(18)(本题满分12分) 求函数2cos (,)2yx f x y xe=+的极值【答案】极小值为21(,2)2f e k e π−=−(k Z ∈) 【解析】先求驻点cos cos 0(sin )0y xy y f e x f xe y ⎧′=+=⎪⎨′=−=⎪⎩,解得驻点为1(,(21))e k π−−+和(,2)e k π−,其中k Z∈下求二阶偏导数,cos cos 2cos 1(sin )sin cos xx yxy y y yy f f e y f xe y xe y ⎧′′=⎪⎪′′=−⎨⎪′′=−⎪⎩代入1(,(21))e k π−−+(k Z ∈),解得210xxxy yy A f B f C f e −⎧′′==⎪⎪′′==⎨⎪′′==−⎪⎩,20AC B −<,故1(,(21))e k π−−+不是极值点; 代入(,2)e k π−(k Z ∈),解得210xxxy yy A f B f C f e ⎧′′==⎪⎪′′==⎨⎪′′==⎪⎩,20AC B −>且0A >,故(,2)e k π−是极小值点,其极小值为21(,2)2f e k e π−=−(k Z ∈) (19)(本题满分12分)已知平面区域{(,)01}D x y y x =≤≤≥(1)求D 的面积(2)求D 绕x 轴旋转所成旋转体的体积【答案】(1)ln(1S = (2)24V ππ=−【解析】(1)222214441tan sec csc ln csc cot tan sec D S x t tdt tdt t tt t ππππππ+∞====−⎰⎰⎰ln(1=+;(2)22222111111(1)1x V dx dx dx x x x x πππ+∞+∞+∞⎛⎫===− ⎪++⎝⎭⎰⎰⎰11arctan x x π+∞⎛⎫=−− ⎪⎝⎭24ππ=−(20)(本题满分12分)设平面有界区域D 位于第一象限,由曲线221x y xy +−=,222x y xy +−=与直线y =,0y =围成,计算2213Ddxdy x y +⎰⎰【解析】本题采用极坐标计算,322013Ddxdy d x y πθ=+⎰⎰⎰333222222000111ln 3cos sin 3cos sin 3cos sin d r d d πππθθθθθθθθθ===+++⎰⎰332220011111ln 2ln 2tan ln 22(3tan )cos 23tan 2d d ππθθθθθ=⋅=⋅==++⎰⎰(21)(本题满分12分) 设函数()f x 在[,]a a −上具有2阶连续导数,证明: (1)若(0)0f =,则存在(,)a a ξ∈−,使得21()[()()]f f a f a aξ′′=+−(2)若()f x 在(,)a a −内取得极值,则存在(,)a a η∈−,使得21()()()2f f a f a aη′′≥−−【答案】(1)利用泰勒公式在0x =处展开,再利用介值性定理; (2)利用泰勒公式在极值点处展开,再利用基本不等式进行放缩;【解析】(1)在0x =处泰勒展开,22()()()(0)(0)(0)2!2!f c f c f x f f x x f x x ′′′′′′=++=+, 其中c 介于0与x 之间;代入两个端点有:211()()(0),(0,)2!f f a f a a a ξξ′′′=+∈222()()(0)(),(,0)2!f f a f a a a ξξ′′′−=−+∈−两式相加可得:212()()()()2f f f a f a a ξξ′′′′++−=即122()()1[()()]2f f f a f a a ξξ′′′′++−=因为()f x 在[,]a a −上具有2阶连续导数,所以()f x ′′存在最大值M 与最小值m , 根据连续函数的介值性定理可得,12()()2f f m M ξξ′′′′+≤≤,所以存在(,)a a ξ∈−,使得12()()()2f f f ξξξ′′′′+′′=,即21()[()()]f f a f a aξ′′=+−成立;(2)若()f x 在(,)a a −内取得极值,不妨设0x 为其极值点,则由费马引理可得,0()0f x ′=将()f x 在0x 处泰勒展开,22000000()()()()()()()()()2!2!f d f d f x f x f x x x x x f x x x ′′′′′=+−+−=+−其中d 介于0x 与x 之间;代入两个端点有:210010()()()(),(,)2!f f a f x a x x a ηη′′=+−∈ 220020()()()(),(,)2!f f a f x a x a x ηη′′−=+−−∈−两式相减可得:221200()()()()()()22f f f a f a a x a x ηη′′′′−−=−−−−所以22120022()()11()()()()2222f f f a f a a x a x a a ηη′′′′−−=−−−− 22102021[()()()()]4f a x f a x aηη′′′′≤−++,记112()max[(),()]f f f ηηη′′′′′′=, 又因为22220000()()[()()]4a x a x a x a x a −++≤−++=,所以21()()()2f a f a f aη′′−−≤成立 (22)(本题满分12分)设矩阵A 满足对任意123,,x x x 均有112321233232x x x x A x x x x x x x ++⎛⎫⎛⎫ ⎪ ⎪=−+ ⎪ ⎪⎪ ⎪−⎝⎭⎝⎭(1)求A(2)求可逆矩阵P 与对角矩阵Λ,使得1P AP −=Λ【答案】(1)111211011A ⎛⎫⎪=− ⎪⎪−⎝⎭11 /11 (2)401310112P −⎛⎫ ⎪=− ⎪ ⎪⎝⎭,1221P AP −⎛⎫ ⎪=Λ=− ⎪ ⎪−⎝⎭【解析】(1)因为任意123,,x x x 均有112321233232x x x x A x x x x x x x ++⎛⎫⎛⎫ ⎪ ⎪=−+ ⎪ ⎪ ⎪ ⎪−⎝⎭⎝⎭,即112233*********x x A x x x x ⎛⎫⎛⎫⎛⎫ ⎪ ⎪⎪=− ⎪ ⎪⎪ ⎪ ⎪⎪−⎝⎭⎝⎭⎝⎭故可分别取单位向量100010001⎛⎫⎛⎫⎛⎫ ⎪ ⎪ ⎪ ⎪ ⎪ ⎪ ⎪ ⎪ ⎪⎝⎭⎝⎭⎝⎭,,,可得100111100010211010001011001A ⎛⎫⎛⎫⎛⎫ ⎪ ⎪⎪=− ⎪ ⎪⎪ ⎪ ⎪⎪−⎝⎭⎝⎭⎝⎭所以111211011A ⎛⎫ ⎪=− ⎪ ⎪−⎝⎭(2)111101101211221(2)2110110(2)1011E A λλλλλλλλλλλ−−−−−−−−=−+−=−+−=+−−−+−++−+101(2)211(2)(2)(1)20λλλλλλ−−=+−−=+−+− 所以A 的特征值为21,2−−,,下求特征向量: 当2λ=−时,解方程组(2)0E A x −−=,可得基础解系为1(0,1,1)T ξ=−;当1λ=−时,解方程组()0E A x −−=,可得基础解系为2(1,0,2)Tξ=−当2λ=时,解方程组(2)0E A x −=,可得基础解系为3(4,3,1)T ξ=令401310112P −⎛⎫ ⎪=− ⎪ ⎪⎝⎭,有1221P AP −⎛⎫ ⎪=Λ=− ⎪ ⎪−⎝⎭成立。
新东方在线考研资料免费下载中心2012年全国硕士研究生入学统一考试数学二真题及答案解析一、选择题:1 8小题,每小题4分,共32分.下列每题给出的四个选项中,只有一个选项符合题目要求的,请将所选项前的字母填在答题纸...指定位置上. (1) 曲线221x x y x +=-渐近线的条数 ( )(A) 0 (B) 1 (C) 2 (D) 3 【答案】C【详解】本题涉及到的主要知识点:(i )当曲线上一点M 沿曲线无限远离原点时,如果M 到一条直线的距离无限趋近于零,那么这条直线称为这条曲线的渐近线。
(ii )渐近线分为水平渐近线(lim ()x f x b →∞=,b 为常数)、垂直渐近线(0lim ()x x f x →=∞)和斜渐近线(lim[()()]0x f x ax b →∞-+=,,a b 为常数)。
(iii )注意:如果(1)()limx f x x→∞不存在;(2)()lim x f x a x→∞=,但lim[()]x f x ax →∞-不存在,可断定()f x 不存在斜渐近线。
在本题中,函数221x xy x +=-的间断点只有1x =±.由于1lim x y →=∞,故1x =是垂直渐近线.(而11(1)1lim lim(1)(1)2x x x x y x x →-→-+==+-,故1x =-不是渐近线).又211lim lim11x x x y x→∞→∞+==-,故1y =是水平渐近线.(无斜渐近线) 综上可知,渐近线的条数是2.故选C. (2) 设函数2()(1)(2)()xxnx f x e ee n =--- ,其中n 为正整数,则(0)f '= ( )(A) 1(1)(1)!n n --- (B) (1)(1)!n n -- (C) 1(1)!n n -- (D) (1)!n n -【答案】A【详解一】本题涉及到的主要知识点:00000()()()limlimx x f x x f x yf x x x→→+-'== . 在本题中,按定义200()(0)(1)(2)()(0)lim lim 0x x nx x x f x f e e e n f x x →→----'==-1(1)(2)[(1)](1)(1)!n n n -=-⨯-⨯⨯--=-- .故选A.【详解二】本题涉及到的主要知识点:()[()()]()()()()f x u x v x u x v x u x v x ''''==+.在本题中,用乘积求导公式.含因子1xe -项在0x =为0,故只留下一项.于是20(0)[(2)()]x x nx x f e e e n ='=-- 1(1)(2)[(1)](1)(1)!n n n -=-⨯-⨯⨯--=--故选(A ).(3) 设0(1,2,)n a n >= ,123n n S a a a a =++++ ,则数列{}n S 有界是数列{}n a 收敛的( ) (A )充分必要条件 (B )充分非必要条件(C )必要非充分条件 (D )既非充分也非必要条件 【答案】B【详解】因0(1,2,)n a n >= ,所以123n n S a a a a =++++ 单调上升.若数列{}n S 有界,则lim n n S →∞存在,于是11lim lim()lim lim 0n n n n n n n n n a S S S S --→∞→∞→∞→∞=-=-=反之,若数列{}n a 收敛,则数列{}n S 不一定有界.例如,取1n a =(1,2,)n = ,则n S n =是无界的.因此,数列{}n S 有界是数列{}n a 收敛的充分非必要条件.故选(B ). (4)设20sin (1,2,3)k x K e xdx k π==⎰I 则有 ( )(A)123I I I << (B) 321I I I << (C) 231I I I << (D)213I I I << 【答案】D【详解】本题涉及到的主要知识点: 设a c b <<,则()()()bc baacf x dx f x dx f x dx =+⎰⎰⎰.在本题中,210sin x I e xdx π=⎰,2220sin x I e xdx π=⎰,2330sin x I e xdx π=⎰222121sin 0x I I e xdx I I ππ-=<⇒<⎰,2332322sin 0x I I e xdx I I ππ-=>⇒>⎰,222323312sin sin sin x x x I I e xdx e xdx e xdx ππππππ-==+⎰⎰⎰2233()22sin()sin t x e t dt e xdx ππππππ-=-+⎰⎰223()312[]sin 0x x e e xdx I I πππ-=->⇒>⎰因此213I I I <<.故选D.(5)设函数(,)f x y 可微,且对任意的,x y 都有(,)0f x y x∂>∂,(,)0f x y y ∂<∂,则使不等式1122(,)(,)f x y f x y <成立的一个充分条件是( )(A )12x x >,12y y < (B )12x x >,12y y >(C )12x x <,12y y < (D )12x x <,12y y > 【答案】D【详解】本题涉及到的主要知识点:函数单调性的判定法 设函数()y f x =在[,]a b 上连续,在(,)a b 内可导. ①如果在(,)a b 内()0f x '>,那么函数()y f x =在[,]a b 上单调增加; ②如果在(,)a b 内()0f x '<,那么函数()y f x =在[,]a b 上单调减少. 在本题中,因(,)0f x y x∂>∂,当y 固定时对x 单调上升,故当12x x <时1121(,)(,)f x y f x y < 又因(,)0f x y y∂<∂,当x 固定时对y 单调下降,故当12y y >时2122(,)(,)f x y f x y < 因此,当12x x <,12y y >时112122(,)(,)(,)f x y f x y f x y << 故选D.(6)设区域D 由曲线sin y x =,2x π=±,1y =围成,则5(1)Dx y dxdy -=⎰⎰( )(A )π (B )2(C )-2(D )π-【答案】D【详解】本题涉及到的主要知识点:10,(,)(,)2(,),(,)DD f x y x y f x y dxdy f x y dxdy f x y x y ⎧⎪=⎨⎪⎩⎰⎰⎰⎰对或为奇函数,对或为偶函数在本题中,11555222sin sin 221(1)(1)()2x x Dx y dxdy dx x y dy x y y dx ππππ---=-=-⎰⎰⎰⎰⎰5222221(1sin )(1sin )2x x dx x dx πππππ--=---=-⎰⎰ 其中521(1sin )2x x -,sin x 均为奇函数,所以52221(1sin )02x x dx ππ--=⎰,22sin 0xdx ππ-=⎰故选(D )(7)设1100c α⎛⎫ ⎪= ⎪ ⎪⎝⎭,2201c α⎛⎫ ⎪= ⎪ ⎪⎝⎭,3311c α⎛⎫ ⎪=- ⎪ ⎪⎝⎭ ,4411c α-⎛⎫ ⎪= ⎪ ⎪⎝⎭ ,其中1234,,,c c c c 为任意常数,则下列向量组线性相关的为( )(A)123,,ααα (B) 124,,ααα (C)134,,ααα (D)234,,ααα 【答案】C【详解】本题涉及到的主要知识点:n 个n 维向量相关12,,,0n ααα⇔=在本题中,显然134123011,,0110c c c ααα-=-=, 所以134,,ααα必线性相关.故选C.(8) 设A 为3阶矩阵,P 为3阶可逆矩阵,且1100010002p AP -⎛⎫ ⎪= ⎪ ⎪⎝⎭.若P=(123,,ααα),1223(,,)ααααα=+,则1Q AQ -= ( )(A) 100020001⎛⎫ ⎪ ⎪ ⎪⎝⎭ (B) 100010002⎛⎫ ⎪ ⎪ ⎪⎝⎭ (C) 200010002⎛⎫ ⎪ ⎪ ⎪⎝⎭ (D)200020001⎛⎫⎪ ⎪ ⎪⎝⎭【答案】B【详解】本题涉及到的主要知识点: 设A 是一个m n ⨯矩阵,对A 施行一次初等行变换,相当于在A 的左边乘以相应的m 阶初等矩阵;对A 施行一次初等列变换,相当于在A 的右边乘以相应的n 阶初等矩阵.在本题中,由于P 经列变换为Q ,有12100110(1)001Q P PE ⎡⎤⎢⎥==⎢⎥⎢⎥⎣⎦,那么111112121212[(1)][(1)](1)()(1)Q AQ PE A PE E P AP E ----==100110011101110100120012⎡⎤⎡⎤⎡⎤⎡⎤⎢⎥⎢⎥⎢⎥⎢⎥=-=⎢⎥⎢⎥⎢⎥⎢⎥⎢⎥⎢⎥⎢⎥⎢⎥⎣⎦⎣⎦⎣⎦⎣⎦故选B.二、填空题:9 14小题,每小题4分,共24分.请将答案写在答题纸...指定位置上. (9)设()y y x =是由方程21yx y e -+=所确定的隐函数,则22x d y dx== .【答案】1【详解】本题涉及到的主要知识点: 隐函数求导的常用方法有:1. 利用复合函数求导法,将每个方程两边对指定的自变量求偏导数(或导数),此时一定要注意谁是自变量,谁是因变量,对中间变量的求导不要漏项。
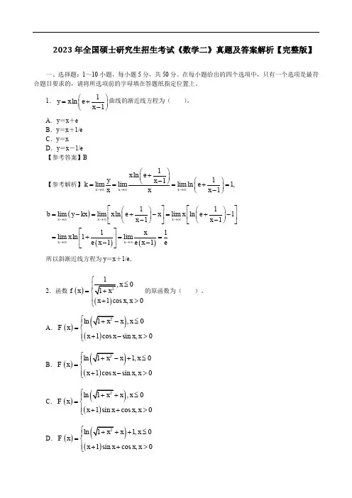
2023年全国硕士研究生招生考试考研《数学二》真题及详解【完整版】一、选择题:1〜10小题,每小题5分,共50分。
在每小题给出的四个选项中, 合题目要求的,请将所选项前的字母填在答题纸指定位置上。
只有一个选项是最符1.曲线y = xln (e^-LA 的渐近线方程为()。
A. y=x+eB. y=x+l/eC. y=xD. y=x —1/e【试题答案】B【试题解析】由已知y = xln (e^ —\ JC 1xlnyk = lim — = lim ----X —00JQXTOO,则可得:limln e +X —00 I1=1b = lim (y-Ax) = lim XT8 ' / XToox-1扁仁上、—X=limxL|' 1、e +--------1_ l X-lyX —>00、x — l)1lim xln XToo1+limXToo所以斜渐近线方程为y=x+l/e 。
2.__,x<0函数 x/l +、2[(x + l)cosx,x > 0的原函数为(A.尸("In +— jv ) jv < 0(x + l)cos x - sin x, x > 0B.尸("In ^/1 + %2 —1, x V 0(x + l)cos x - sin x, x > 0C.In ^/1 + x 2 + x) x V 0(x + l)sin x + cos >In^|/1+%2+x1,jv V0D.F(x)=<(x+l)sin x+cos>0【试题答案】D【试题解析】当xWO时,可得:当x〉0时,可得:j f(x)ch=j(x+l)cos xdx=j(x+l)dsinx=(x+l)sin x-j sin xdx=(x+l)sin x+cos x+C2在x=O处,有:lim In@+J1+工2>G=G,lim(x+l)sin%+cos%+C2=1+C2由于原函数在(一8,+8)内连续,所以Ci=l+C2,令C2=C,则C1=1+C,故In1+%2+x1+C,x V0j/(x)dx=<(x+l)sin x+cos x+C,x>0In+x2+1,x<0令C=0,则f(x)的一个原函数为F(x)=<(x+l)sin x+cos>03.设数列{Xn},{yn}满足xi=yi=l/2,x n+i=sinx n,yn+i=y「,当n—8时()。
2023年全国硕士研究生招生考试《数学二》真题及答案解析【完整版】一、选择题:1~10小题,每小题5分,共50分。
在每小题给出的四个选项中,只有一个选项是最符合题目要求的,请将所选项前的字母填在答题纸指定位置上。
1.1ln 1y x e x ⎛⎫=+⎪-⎝⎭曲线的渐近线方程为( )。
A .y =x +e B .y =x +1/e C .y =xD .y =x -1/e 【参考答案】B【参考解析】1ln 11lim lim lim ln 1,1x x x x e y x k e x x x →∞→∞→∞⎛⎫+ ⎪-⎛⎫⎝⎭===+= ⎪-⎝⎭ ()()()11lim lim ln lim ln 11111lim ln 1lim 11x x x x x b y kx x e x x e x x x x e x e x e →∞→∞→∞→∞→∞⎡⎤⎡⎤⎛⎫⎛⎫=-=+-=+- ⎪ ⎪⎢⎥⎢⎥--⎝⎭⎝⎭⎣⎦⎣⎦⎡⎤=+==⎢⎥--⎣⎦所以斜渐近线方程为y =x +1/e .2.函数()()01cos ,0x f x x x x ≤=+>⎩的原函数为( )。
A .())()ln ,01cos sin ,0x x F x x x x x ⎧≤⎪=⎨⎪+->⎩B .())()ln 1,01cos sin ,0x x F x x x x x ⎧+≤⎪=⎨⎪+->⎩C .())()ln ,01sin cos ,0x x F x x x x x ⎧≤⎪=⎨⎪++>⎩D .())()ln 1,01sin cos ,0x x F x x x x x ⎧+≤⎪=⎨⎪++>⎩【参考答案】D【参考解析】当x ≤0时,()(1d ln f x x x C ==+⎰当x >0时,()()()()()2d 1cos d 1dsin 1sin sin d 1sin cos f x x x x xx x x x x x x x x C =+=+=+-=+++⎰⎰⎰⎰原函数在(-∞,+∞)内连续,则在x =0处(110lim ln x x C C -→++=,()220lim 1sin cos 1x x x x C C +→+++=+ 所以C 1=1+C 2,令C 2=C ,则C 1=1+C ,故())()ln 1,0d 1sin cos ,0x C x f x x x x x C x ⎧++≤⎪=⎨⎪+++>⎩⎰,综合选项,令C =0,则f (x )的一个原函数为())()ln 1,01sin cos ,0x x F x x x x x ⎧+≤⎪=⎨⎪++>⎩.3.设数列{x n },{y n }满足x 1=y 1=1/2,x n +1=sinx n ,y n +1=y n 2,当n →∞时( )。
2023年新课标全国Ⅱ卷数学真题一、单选题1.在复平面内,对应的点位于( ).A.第一象限B.第二象限C.第三象限D.第四象限答案:A解析:,所以该复数对应的点为,位于第一象限.2.设集合,,若,则( ).A.2B.1C.D.答案:B解析:观察发现集合A中有元素0,故只需考虑B中的哪个元素是0。
因为,,所以,故或,解得:或1,注意不能保证,故还需代回集合检验,若,则,,不满足,不合题意;若,则,,满足. 故选B.3.某学校为了解学生参加体育运动的情况,用比例分配的分层随机抽样方法作抽样调查,拟从初中部和高中部两层共抽取60名学生,已知该校初中部和高中部分别有400名和200名学生,则不同的抽样结果共有( ).A.种B.种C.种D.种答案:D解析:应先找到两层中各抽多少人,因为是比例分配的分层抽取,故各层的抽取率都等于总体的抽取率,设初中部抽取x人,则,解得:,所以初中部抽40人,高中部抽20人,故不同的抽样结果共有种.4.若为偶函数,则( ).A .B.0C.D.1答案:B解法1:偶函数可抓住定义来建立方程求参,因为为偶函数,所以,即 ①,而,代入①得:,化简得:,所以.5.已知椭圆的左、右焦点分别为,,直线与C交于A,B两点,若面积是面积的2倍,则( ).A.B.C.D.答案:C解析:如图,观察发现两个三角形有公共的底边AB,故只需分析高的关系,作于点G,于点I,设AB与x轴交于点K,由题意,,所以,由图可知,所以,故,又椭圆的半焦距,所以,从而,故,所以,代入可得,解得:.6.已知函数在区间上单调递增,则a的最小值为( ).A.B.e C.D.答案:C解析:的解析式较复杂,不易直接分析单调性,故求导,由题意,,因为在上,所以在上恒成立,即 ①,观察发现参数a容易全分离,故将其分离出来再看,不等式①等价于,令,则,所以在上,又,,所以,故,因为在上恒成立,所以,故a的最小值为.7.已知为锐角,,则( ).A.B.C.D.答案:D解析:,此式要开根号,不妨上下同乘以2,将分母化为,所以,故,又为锐角,所以,故.8.记为等比数列的前n项和,若,,则( ).A.120B.85C.D.答案:C解法1:观察发现,,,的下标都是2的整数倍,故可考虑片段和性质,先考虑q是否为,若的公比,则,与题意不符,所以,故,,,成等比数列 ①,条件中有,不妨由此设个未知数,设,则,所以,,由①可得,所以,解得:或,若,则,,,所以,故;到此结合选项已可确定选C,另一种情况我也算一下,若,则,而,所以与同号,故,与题意不符;综上所述,m只能取,此时.二、多选题9.已知圆锥的顶点为P,底面圆心为O,AB为底面直径,,,点C在底面圆周上,且二面角为45°,则( ).A.该圆锥的体积为B.该圆锥的侧面积为C.D.的面积为答案:AC解析:A项,因为,,所以,,,从而圆锥的体积,故A项正确;B项,圆锥的侧面积,故B项错误;C项,要求AC的长,条件中的二面角还没用,观察发现和都是等腰三角形,故取底边中点即可构造棱的垂线,作出二面角的平面角,取AC中点Q,连接PQ,OQ,因为,,所以,,故即为二面角的平面角,由题意,,所以,故,所以,故C项正确;D项,,所以,故D项错误.10.设O为坐标原点,直线过抛物线的焦点,且与C交于M,N两点,l为C的准线,则( ).A.B.C.以MN为直径的圆与l相切D.为等腰三角形答案:AC解析:A项,在中令可得,由题意,抛物线的焦点为,所以,从而,故A项正确;B项,此处可以由直线MN的斜率求得,再代角版焦点弦公式求,但观察发现后续选项可能需要用M,N的坐标,所以直接联立直线与抛物线,用坐标版焦点弦公式来算,设,,将代入消去y整理得:,解得:或3,对应的y分别为和,所以图中,,从而,故B项错误;C项,判断直线与圆的位置关系,只需将圆心到直线的距离d和半径比较,的中点Q到准线的距离,从而以MN为直径的圆与准线l相切,故C项正确;D项,M,N的坐标都有了,算出,即可判断,,,所以,,均不相等,故D项错误.11.若函数既有极大值也有极小值,则( ).A.B.C.D.答案:BCD解析:由题意,,函数既有极大值,又有极小值,所以在上有2个变号零点,故方程在上有两个不相等实根,所以,由①可得,故C项正确;由②可得,所以a,c异号,从而,故D项正确;由③可得a,b同号,所以,故B项正确;因为a,c异号,a,b同号,所以b,c异号,从而,故A项错误.12.在信道内传输0,1信号,信号的传输相互独立.发送0时,收到1的概率为,收到0的概率为;发送1时,收到0的概率为,收到1的概率为. 考虑两种传输方案:单次传输和三次传输.单次传输是指每个信号只发送1次,三次传输 是指每个信号重复发送3次.收到的信号需要译码,译码规则如下:单次传输时,收到的信号即为译码;三次传输时,收到的信号中出现次数多的即为译码(例如,若依次收到1,0,1,则译码为1).A.采用单次传输方案,若依次发送1,0,1,则依次收到l,0,1的概率为B.采用三次传输方案,若发送1,则依次收到1,0,1的概率为C.采用三次传输方案,若发送1,则译码为1的概率为D.当时,若发送0,则采用三次传输方案译码为0的概率大于采用单次传输方案译码为0的概率答案:ABD解析:A项,由题意,若采用单次传输方案,则发送1收到1的概率为,发送0收到0的概率为,所以依次发送1,0,1,则依次收到1,0,1的概率为,故A项正确;B项,采用三次传输方案,若发送1,则需独立重复发送3次1,依次收到1,0,1的概率为,故B项正确;C项,采用三次传输方案,由B项的分析过程可知若发送1,则收到1的个数,而译码为1需收2个1,或3个1,所以译码为1的概率为,故C项错误;D项,若采用单次传输方案,则发送0译码为0的概率为;若采用三次传输方案,则发送0等同于发3个0,收到0的个数,且译码为0的概率为,要比较上述两个概率的大小,可作差来看,,因为,所以,从而,故D项正确.三、填空题13.已知向量,满足,,则______.答案:解析:条件涉及两个模的等式,想到把它们平方来看,由题意, ①,又,所以,故,整理得:,代入①可得,即,所以.14.底面边长为4的正四棱锥被平行于其底面的平面所截,截去一个底面边长为2,高为3的正四棱锥,所得棱台的体积为______.答案:28解析:如图,四棱锥与相似,它们的体积之比等于边长之比的立方,故只需求四棱锥的体积,,所以,故所求四棱台的体积,由题意,,所以.15.已知直线与交于A,B两点,写出满足“面积为”的m的一个值__ ____.答案:2(答案不唯一,也可填或或)解析:如图,设圆心到直线AB的距离为,则,注意到也可用d表示,故先由求d,再将d用m表示,建立关于m的方程,又,所以,由题意,,所以,结合解得:或,又,所以或,解得:或.16.已知函数,如图A,B是直线与曲线的两个交点,若,则______.答案:解法1:这个条件怎么翻译?可用求A,B横坐标的通解,得到,从而建立方程求,不妨设,令可得或,其中,由图知,,两式作差得:,故,又,所以,解得:,则,再求,由图知是零点,可代入解析式,注意,是增区间上的零点,且的增区间上的零点是,故应按它来求的通解,所以,从而,故,所以.四、解答题17.记的内角的对边分别为,已知的面积为,为中点,且.(1)若,求;(2)若,求.解:(1)如图,因为,所以,(要求,可到中来分析,所给面积怎么用?可以用它求出,从而得到BD)因为D是BC中点,所以,又,所以,由图可知,所以,故,(此时已知两边及夹角,可先用余弦定理求第三边AB,再用正弦定理求角B)在中,由余弦定理,,所以,由正弦定理,,所以,由可知B为锐角,从而,故.(2)(已有关于bc的一个方程,若再建立一个方程,就能求b和c,故把面积和中线都用b,c表示)由题意,,所以 ①,(中线AD怎样用b,c表示?可用向量处理)因为D为BC中点,所以,从而,故,所以,将代入上式化简得②,(我们希望找的是b,c的方程,故由①②消去A,平方相加即可)由①②得,所以③,由可得,所以,结合式③可得.18.已知为等差数列,,记,分别为数列,的前n项和,,.(1)求的通项公式;(2)证明:当时,.解:(1)(给出了两个条件,把它们用和d翻译出来,即可建立方程组求解和d)由题意, ①,②,由①②解得:,,所以.(2)由(1)可得,(要证结论,还需求,由于按奇偶分段,故求也应分奇偶讨论,先考虑n为偶数的情形)当为偶数时,③,因为和分别也构成等差数列,所以,,代入③化简得:,(要由此证,可作差比较)所以,故;(对于n为奇数的情形,可以重复上述计算过程,但更简单的做法是补1项凑成偶数项,再减掉补的那项)当为奇数时,,所以,故;综上所述,当时,总有.19.某研究小组经过研究发现某种疾病的患病者与未患病者的某项医学指标有明显差异,经过大量调查,得到如下的患病者和未患病者该指标的频率分布直方图:利用该指标制定一个检测标准,需要确定临界值c,将该指标大于c的人判定为阳性,小于或等于c的人判定为阴性.此检测标准的漏诊率是将患病者判定为阴性的概率,记为;误诊率是将未患病者判定为阳性的概率,记为.假设数据在组内均匀分布,以事件发生的频率作为相应事件发生的概率.(1)当漏诊率%时,求临界值c和误诊率;(2)设函数,当时,求的解析式,并求在区间的最小值.解:(1)(给的是漏诊率,故先看患病者的图,漏诊率为0.5%即小于或等于c的频率为0.5%,可由此求c)由患病者的图可知,这组的频率为,所以c在内,且,解得:;(要求,再来看未患病者的图,是误诊率,也即未患病者判定为阳性(指标大于c)的概率)由未患病者的图可知指标大于97.5的概率为,所以.(2)(包含两个分组,故应分类讨论)当时,,,所以,故 ①;当时,,,所以,故②;所以,且由①②可得.20.如图,三棱锥中,,,,E为BC的中点.(1)证明:;(2)点F满足,求二面角的正弦值.解:(1)(BC和DA是异面直线,要证垂直,需找线面垂直,可用逆推法,假设,注意到条件中还有,所以,二者结合可得到面ADE,故可通过证此线面垂直来证)因为,,所以和是全等的正三角形,故,又E为BC中点,所以,,因为AE,平面ADE,,所以平面ADE,又平面ADE,所以.(2)(由图可猜想面BCD,若能证出这一结果,就能建系处理,故先尝试证明)不妨设,则,因为,所以,故,,所以,故,所以EA,EB,ED两两垂直,以E为原点建立如图所示的空间直角坐标系,则,,,所以,,由可知四边形ADEF是平行四边形,所以,设平面DAB和平面ABF的法向量分别为,,则,令,则,所以是平面DAB的一个法向量,,令,则,所以是平面ABF的一个法向量,从而,故二面角的正弦值为.21.已知双曲线C的中心为坐标原点,左焦点为,离心率为.(1)求C的方程;(2)记C的左、右顶点分别为,,过点的直线与C的左支交于M,N两点,M在第二象限,直线与交于点P.证明:点在定直线上.解:(1)设双曲线方程为,由焦点坐标可知,则由可得,,双曲线方程为.(2)由(1)可得,设,显然直线的斜率不为0,所以设直线的方程为,且,与联立可得,且,则,直线的方程为,直线的方程为,联立直线与直线的方程可得:,由可得,即,据此可得点在定直线上运动.【点睛】关键点点睛:求双曲线方程的定直线问题,意在考查学生的计算能力,转化能力和综合应用能力,其中根据设而不求的思想,利用韦达定理得到根与系数的关系可以简化运算,是解题的关键.22.(1)证明:当时,;(2)已知函数,若是的极大值点,求a的取值范围.解:(1)构建,则对恒成立,则在上单调递增,可得,所以;构建,则,构建,则对恒成立,则在上单调递增,可得,即对恒成立,则在上单调递增,可得,所以;综上所述:.(2)令,解得,即函数的定义域为,若,则,因为在定义域内单调递减,在上单调递增,在上单调递减,则在上单调递减,在上单调递增,故是的极小值点,不合题意,所以.当时,令因为,且,所以函数在定义域内为偶函数,由题意可得:,(i)当时,取,,则,由(1)可得,且,所以,即当时,,则在上单调递增,结合偶函数的对称性可知:在上单调递减,所以是的极小值点,不合题意;(ⅱ)当时,取,则,由(1)可得,构建,则,且,则对恒成立,可知在上单调递增,且,所以在内存在唯一的零点,当时,则,且,则,即当时,,则在上单调递减,结合偶函数的对称性可知:在上单调递增,所以是的极大值点,符合题意;综上所述:,即,解得或,故a的取值范围为.。
2023考研数学二真题及解析一、选择题:1~10小题,每小题5分,共50分.在每小题给出的四个选项中,只有一个选项是最符合题目要求的,请将所选项前的字母填在答题纸指定位置上.1.曲线1ln e 1y x x=+ −的斜渐近线方程为( ). (A )e y x =+(B )1ey x =+(C )yx = (D )1ey x =−【答案】(B )【解析】方法1. 1ln e 11limlim x x y k x x →∞→∞=+==− ()()11lim lim ln e 1lim ln e ln 111e 1x x x b y x x x x x →∞→∞→∞=−=+−=++− −−()11lim e 1ex x x →∞=− 故曲线的斜渐近线方程为1ey x =+.故选(B ) 方法2. ()()11ln e 11ln 1e 1e 1y x x x x=+=++−−()11ln 1e 1e x x x x α =++=++ −,其中lim 0x α→∞=,故1e y x =+为曲线的斜渐近线. 【评注】由()11lim ln 1e 1e x x x →∞+= − ,知()11ln 1e 1ex x α +=+ − 【评注】1.由()11lim ln 1e 1e x x x →∞ += − ,知()11ln 1e 1e x x α +=+ −2.本题属于常规题:《基础班》《强化班》的例子不再对应列举,《答题模版班》思维定势19【例13】2.函数() 0,()1cos ,0.x f x x x x ≤=+>的一个原函数是( )(A) ), 0,()(1)cos sin ,0.x x F x x x x x −≤= +−>(B))1, 0,()(1)cos sin ,0.x x F x x x x x +≤= +−>(C) ), 0,()(1)sin cos ,0.x x F x x x x x −≤= ++>(D))1, 0,()(1)sin cos ,0.x x F x x x x x +≤= ++>【答案】 (D) .【分析】本题主要考查原函数的概念,分段函数不定积分的求法以及函数可导与连续的关系.【详解】由于当0x <时,)1()lnF xx x C ==++∫当0x >时,()()2()1cos d 1sin cos F x x x x x x x C =+=+++∫ 由于()F x 在0x =处可导性,故()F x 在0x =处必连续 因此,有00lim ()lim ()x x F x F x −+→→=,即 121C C =+.取20C =得)1, 0,()(1)sin cos ,0.x x F x x x x x −+≤= ++> 应选(D) .【评注】此题考查分段函数的不定积分,属于常规题,与2016年真题的完全类似,在《真题精讲班》系统讲解过. 原题为已知函数2(1),1,()ln ,1.x x f x x x −< = ≥ 则()f x 的一个原函数是( )(A) 2(1),1,()(ln 1), 1.x x F x x x x −<=−≥ (B) 2(1),1,()(ln 1)1, 1.x x F x x x x −<= +−≥ (C) 2(1),1,()(ln 1)1, 1.x x F x x x x −<=++≥ (D) 2(1),1,()(ln 1)1, 1.x x F x x x x −<= −+≥3.设数列{}{},n n x y 满足211111,sin ,2n n n n x y x x y y ++====()1,2,n = ,则当n →∞时( ) (A )n x 是n y 的高阶无穷小(B )n y 是n x 的高阶无穷小(C )n x 是n y 的等阶无穷小 (D )n x 是n y 的同阶但不等价无穷小 【答案】(B )【解析】由2111,,2n n y y y +==知2112nn y + =,则有112n n y y +<利用12sin n n n x x x π+=>,则1112n nx x π+<故21111111224444n n nn nn n n n n y y y y y x x x x x πππππ+−+− ≤=≤≤≤= 于是1110lim lim 04nn n n n y x +→∞→∞+ ≤≤= ,由夹逼准则lim 0nn ny x →∞=,选(B ) 【评注】本题属于今年难度较大的题,涉及到两个递推数列确定的无穷小的比较,涉及到不等式的放缩,有一定的综合性.4.若微分方程0y ay by ′′′++=的解在(,)−∞+∞上有界,则( )(A )00a b <>, (B )00a b >>, (C )00a b =>, (D )00a b =<, 【答案】(C )【解析】特征方程为20r ar b ++=,解得1,2r =.记24a b ∆=−当0∆>时,方程的通解为1212()e e r x r x yx c c ⋅⋅=+,当12,c c 不全为零时()y x 在(,)−∞+∞上无界.当12,c c 不全为零时()y x 在(,)−∞+∞上无界.当0∆=时,1202ar r −=<=,方程的通解为1112()e e r x r x yx c c x =+,当12,c c 不全为零时()y x 在(,)−∞+∞上无界.当0∆<时,1,22a r i β=−±,方程的通解为()212()e cos sin axy x c x c x ββ−=+.只有当0a =,且240a b ∆=−<,即0b >时,lim ()lim ()0x x y x y x →+∞→−∞==,此时方程的解在(,)−∞+∞上有界. 故选(C )【评注】此题关于x →+∞方向的讨论,在《基础班》习题课上讲解过,见《基础班》习题课第八讲《常微分方程》第15题5.设()y f x =由2,sin ,x t t y t t =+=确定,则( ) (A )()f x 连续,(0)f ′不存在 (B )(0)f ′存在,()f x ′在0x =不连续 (C )()f x ′连续,(0)f ′′不存在 (D )(0)f ′′存在,()f x ′′在0x =不连续 【答案】(C ) 【解析】0t ≥时3,sin ,x t y t t == ,即有sin 33x xy =.0t <时,sin ,x t y t t = =−,即有sin y x x =−.sin ,033sin ,0x x x y x x x ≥= −< ,显然有()f x 在0x =不连续,且(0)0f = 0x >时,sin cos 33(3)9x x x xf x =+′;0x <时,sin ()cos x f x x x ′=−−, 利用导数定义可得()0sin 0330lim 0x x xf x ++→−′==,()0sin 0lim 0x x x f x+−→−′==,即得(0)0f ′= 易验证()0lim ()lim ()00x x f x f x f +−→→′′===,即()f x ′在0x =连续()01sin cos 233930lim 9x x x xf x ++→+′′=,()0sin cos 0lim 2x x x x f x+−→−−′′==−,故(0)f ′′不存在 ,选(C ) 【评注】此题考查参数方程确定的分段函数,只要在参数方程中去掉绝对值的过程,就成了我们常规的分段函数求导的问题,无论是《基础班》第二讲例24,《强化班》第二讲例17. 6.若函数()()121d ln f x x x αα+∞+=∫在0αα=处取得最小值,则0α=( )(A )()1ln ln 2−(B )()ln ln 2−(C )1ln 2−(D )ln 2【答案】(A )【解析】反常积分的判别规律知11α+>,即0α>时反常积分()121d ln x x x α+∞+∫收敛此时()()()212111d ln ln f x x x x αααα+∞+∞+==−∫()11ln 2αα=令()()()2111ln ln 2ln 2ln 2f ααααα′=−−()2111ln ln 20ln 2ααα =−+= 得唯一驻点()1ln ln 2α=−,故选(A )【评注】此题是属于由反常积分确定的函数求最值的问题,积分本身不难,积分结果再求导,找驻点得结果.难度不大,只要基本计算能力过关,可轻松应对.《基础班》《强化班》相应问题得组合而已. 7.设函数()()2e xf x xa =+,若()f x 没有极值点,但曲线()f x 有拐点,则a 的取值范围是( )(A )[)0,1(B )[)1,+∞ (C )[)1,2 (D )[)2,+∞【答案】(C )【解析】()()2e xf x xa =+,()()22e x f x xa x ′=++,()()242e x f x xa x ′′=+++由()()211e x f x x a ′=++−,知10a −≥时,()0f x ′≥,此时()f x 无极值点.由()()222e x f x x a ′′=++−,知20a −<时,()f x ′′在2x =±的左右两侧变号,依题意有[)1,2a ∈,选(C )【评注】本题考查了极值点、拐点的必要条件与判定,题目本身是常规的,分开对这两个考点出题,在《基础班》和《强化班》都讲过,但这种问法有些学生可能会觉得很别扭.8.设A,B 分别为n 阶可逆矩阵,E 是n 阶单位矩阵,*M 为M 的伴随矩阵,则AE OB 为( ) (A )*****−A B B A O A B (B )****− A B A B O B A(C )****−B A B A O A B (D )**** −B A A B O A B 【答案】(D )【解析】由分块矩阵求逆与行列式的公式,结合1∗−=A A A 得11111∗−−−−− − ==A E A E A E E A A AB B O B O B O B O B ∗∗∗∗−=B O A A A B B ,选(D ) 【评注】这钟类型的题在02年,09年均考过完全类似的题,《基础班》第二讲也讲过,原题为【例1】设,A B ∗∗分别为n 阶可逆矩阵,A B 对应的伴随矩阵,∗∗=A O C O B9.二次型()()()222123121323(,,)4f x x x x x x x x x =+++−−的规范形为( ). (A )2212y y +(B )2212y y −(C )222123y y y −−(D )222123y y y +−【答案】(B ) 【详解】因为123(,,)f x x x 222123121323233228x x x x x x x x x =−−+++方法1.二次型的矩阵为 211134143=− −A , 由()()211134730143λλλλλλλ−−−−=−+−=+−=−−+E A ,得特征值为0,7,3−,故选(B )方法2.()222123123121323,,233228f x x x x x x x x x x x x =−−+++()()()22232322211232323233842x x x x x x x x x x x x ++=+++−−−+222222322332323126616222x x x x x x x x x x x +++++− =+− ()22231237222x x x x x +=+−− 故所求规范形为()2212312,,f x x x y y =−,故选(B )【评注】本题考查二次型的规范形,与考查正负惯性指数是同一类题,在《基础班》《强化班》均讲过. 《解题模板班》类似例题为【11】设123123(,,),(,,)T T a a a b b b αβ==,,αβ线性无关,则二次型 123112233112233(,,)()()f x x x a x a x a x b x b x b x =++++的规范型为( ). (A)21y (B)2212y y + (C) 2212y y − (D) 222123y y y ++10.已知向量12121,,1222150390,1====ααββ,若γ既可由12,αα表示,也由与12,ββ表示,则=γ( ).(A )334k (B )3510k(C )112k−(D )158k【答案】(D ) 【解析】由题意可设11212212x y x y +==+γααββ,只需求出21,x x 即可 即解方程组112112220x y y x +−−=ααββ()121212211003,,2150010131910011,−−−−=−→− −−ααββ 得()()2211,,1,3,,1,1TTx k x y y =−−,k 为任意常数11221212133215318x k k k k k x+=−+=−+=−=γαααα,故选(D )【评注】1.此题与《强化班》讲义第三讲练习第12题完全类似,原题为【12】(1)设21,αα,21,ββ均是三维列向量,且21,αα线性无关, 21,ββ线性无关,证明存在非零向量ξ,使得ξ既可由21,αα线性表出,又可由21,ββ线性表出.(2)当 =4311α,=5522α:1231β = − ,2343β−=−时,求所有既可由21,αα线性表出, 又可21,ββ线性表出的向量。
新东方2015考研数学二真题一、选择题(1) 下列反常积分中收敛的是() (A)2+∞⎰(B)2x+∞⎰ (C) 21lnxdx x +∞⎰( D) 2x x dx e+∞⎰(2)函数20sin ()lim(1)x tt t f x x→+在∞∞(-,+)内(A )连续 (B )有可去间断点 (C)有跳跃间断点 ( D)有无穷间断点(3)设函数1cos ,0(0,0x f x xx αβ⎧>⎪=⎨⎪≤⎩ (0,0)αβ>> 若()f x '在0x =处连续,则 (A )1αβ-> (B )01αβ<-≤ (C) 2αβ-> ( D) 02αβ<-≤(4)设函数()f x 在∞∞(-,+)连续,其2阶导函数()f x ''的图形如右图所示,则曲线()y f x =的拐点个数为:(A )0 (B )1 (C) 2 ( D) 3(5)设函数(,)f u v 满足2(,)yf x y x y x +=-,则11|u v f u ==∂∂与11|u v f v ==∂∂依次是(A )12,0 (B )0,12(C) 1,02- ( D) 10,2-(6)设D 是第一象限中曲线21,1xy xy ==与直线,y x y ==围成的平面区域,函数(,)f x y 在D 上连续,则(,)Df x y dxdy =⎰⎰(A )13sin 2142sin 2(cos ,sin )d f r r rdr πθπθθθθ⎰⎰(B)34(cos ,sin )d f r r rdrππθθθ⎰(C)13sin 2142sin 2(cos ,sin )d f r r dr πθπθθθθ⎰⎰( D)34(cos ,sin )d f r r dr ππθθθ⎰(7)设矩阵211111A a ⎛ =⎪ ⎝,21b d ⎛⎫⎪= ⎪⎪⎝⎭,若集合{1,2}Ω=,则线性方程组Ax b =有无穷多个解的充分必要条件为(A ),a d ∉Ω∉Ω (B ),a d ∉Ω∈Ω(C ),a d ∈Ω∉Ω(D ),a d ∈Ω∈Ω(8)设二次型123(,,)f x x x 在正交变换x Py =下的标准形为2221232y y y +-,其中123(,,)P e e e =,若132(,,)Q e e e =-,则123(,,)f x x x 在正交变换x Qy =下的标准形为(A )2221232y y y -+ (B )2221232y y y +- (C )21232y y y -- (D )21232y y y ++二、填空题(9)设3arctan 3t y t t=⎧⎨+⎩,则212t d ydx ==(10)函数2()2x f x x =⋅在0x =处的n 阶导数((0)n f =(11)设函数()f x 连续,20()()x x xf t dt ϕ=⎰,若(1)1ϕ=,'(1)5ϕ=,则(1)f =(12)设函数()y f x =是微分方程'''20y y y +-=的解,且在0x =处()y x 取得极值3,则()y x =(13)若函数(,)z z x y =由方程21x y z e xyz +++确定,则(0,0)dz=(14)设3阶矩阵A 的特征值为2,-2,1,2B A A E =-+,其中E 为3阶单位矩阵,则行列式B =三、解答题(15)设函数()ln(1)sin f x x a x bx x =+++⋅,2()g x kx =,若()f x 与()g x 在0x →是等价无穷小,求a ,b ,k 值。
2022年数二考研真题答案解析一、填空题:1-6小题,每小题4分,共24分.把答案填在题中横线上.(1)曲线y1某4in某的水平渐近线方程为y.55某2co某【分析】直接利用曲线的水平渐近线的定义求解即可.4in某某4in某某1.【详解】limlim某5某2co某某2co某55某1故曲线的水平渐近线方程为y.51(2)设函数1某2130intdt,某0在某0处连续,则a.f(某)某3a,某0【分析】本题为已知分段函数连续反求参数的问题.直接利用函数的连续性定义即可.【详解】由题设知,函数f(某)在某0处连续,则limf(某)f(0)a,某0又因为limf(某)lim某0某0某0int2dt某3in某21lim.某03某23所以a1.3(3)广义积分01某d某(1某2)22.【分析】利用凑微分法和牛顿-莱布尼兹公式求解.【详解】02bd(1+某)某d某111limlim22(1某2)22b0(1某)2b1+某b021111lim2.2b1+b22(4)微分方程yy(1某)某的通解是yC某e(某0).某【分析】本方程为可分离变量型,先分离变量,然后两边积分即可【详解】原方程等价为dy11d某,y某两边积分得lnyln某某C1,整理得(5)设函数C某.(Ce1)yCe某dy某0e.d某【分析】本题为隐函数求导,可通过方程两边对某求导(注意y是某的函数),一阶微分形式不变性yy(某)由方程y1某ey确定,则和隐函数存在定理求解.【详解】方法一:方程两边对某求导,得yey某yey.又由原方程知,某0时,y方法二:方程两边微分,得ydye某d某y1.代入上式得dyd某某0y某0e.某0,y1,得ey,代入ddyd某某0e.方法三:令F(某,y)y1某ey,则y1eF某某0y,某Fey0,1,y某y0,1某1ye某y,0,11故dyd某某0F某Fy某0,y1e.某0,y1(6)设矩阵A21,E为2阶单位矩阵,矩阵B满足BAB2E,则12B2.【分析】将矩阵方程改写为A某B或某AB或A某BC的形式,再用方阵相乘的行列式性质进行计算即可.【详解】由题设,有B(AE)2E于是有BAE4,而11AE2,所以B2.11二、选择题:7-14小题,每小题4分,共32分.每小题给出的四个选项中,只有一项符合题目要求,把所选项前的字母填在题后的括号内.(7)设函数yf(某)具有二阶导数,且f(某)0,f(某)0,某为自变量某在点某0处的增量,y与dy分别为f(某)在点某0处对应的增量与微分,若某0,则(A)0dyy.(B)0ydy.(C)ydy0.(D)dyy0.[A]【分析】题设条件有明显的几何意义,用图示法求解.【详解】由加,曲线f(某)0,f(某)0知,函数f(某)单调增yf(某)凹向,作函数yf(某)的图形如右图所示,0时,显然当某ydyf(某0)d某f(某0)某0,故应选(A).(8)设f(某)是奇函数,除某0外处处连续,某0是其第一类间断点,则某0f(t)dt是(B)连续的偶函数(D)在某(A)连续的奇函数.(C)在某0间断的奇函数某0间断的偶函数.[B]【分析】由于题设条件含有抽象函数,本题最简便的方法是用赋值法求解,即取符合题设条件的特殊函数f(某)去计算F(某)f(t)dt,然后选择正确选项.0【详解】取某,某0.f(某)1,某00时,F(某)f(t)dtlimtdt0某某则当某011lim 某22某2,202而F(0)0limF(某),所以F(某)为连续的偶函数,则选项(B)正确,故选(B).某0(9)设函数g(某)可微,h(某)e(A)ln31.1g(某),h(1)1,g(1)2,则g(1)等于(B)ln31.[C](D)ln21.(C)ln21.【分析】题设条件h(某)e【详解】h(某)e1g(某)1g(某)两边对某求导,再令某1即可.两边对某求导,得h(某)e1g(某)g(某).1,又h(1)1,g(1)2,可得上式中令某1h(1)e1g(1)g(1)2e1g(1)g(1)ln21,故选(C).(10)函数yC1e某C2e2某某e某满足的一个微分方程是yy2y3某e某.(B)(A)yy2y3e某.(C)yy2y3某e某.(D)yy2y3e某.[D]【分析】本题考查二阶常系数线性非齐次微分方程解的结构及非齐次方程的特解与对应齐次微分方程特征根的关系.故先从所给解分析出对应齐次微分方程的特征方程的根,然后由特解形式判定非齐次项形式.【详解】由所给解的形式,可知原微分方程对应的齐次微分方程的特征根为11,22.则对应的齐次微分方程的特征方程为(1)(2)0,即220.故对应的齐次微分方程为又yy2y0.y某某e某为原微分方程的一个特解,而1为特征单根,故原非齐次线性微分方程右端的非齐次项f(某)Ce某(C为常数).所以综合比较四个选项,应选(D)1应具有形式(11)设f(某,y)为连续函数,则4df(rco,rin)rdr等于00(A)220d某1某2某f(某,y)dy.(B)220d某1某20f(某,y)dy.(C)220dy1y2yf(某,y)d某.(D)220dy1y20f(某,y)d某.[C]【分析】本题考查将坐标系下的累次积分转换为直角坐标系下的累次积分,首先由题设画出积分区域的图形,然后化为直角坐标系下累次积分即可.【详解】由题设可知积分区域D如右图所示,显然是Y型域,则原式故选(C).(12)设220dy1y2yf(某,y)d某.f(某,y)与(某,y)均为可微函数,且y(某,y)0,已知(某0,y0)是f(某,y)在约束条件(某,y)0下的一个极值点,下列选项正确的是(A)若(B)若f某(某0,y0)0,则fy(某0,y0)0.f某(某0,y0)0,则fy(某0,y0)0.f某(某0,y0)0,则fy(某0,y0)0.f某(某0,y0)0,则fy(某0,y0)0.[D](C)若(D)若【分析】利用拉格朗日函数F(某,y,)的参数的值)取到极值的必要条件即可.【详解】作拉格朗日函数F(某,y,)f(某,y)(某,y)在(某0,y0,0)(0是对应某0,y0f(某,y)(某,y),并记对应某0,y0的参数的值为0,则F(某,y,)0f(某,y)(某,y)0某000某000某00,即.Fy(某0,y0,0)0fy(某0,y0)0y(某0,y0)0消去0,得f某(某)y0,y0(某y0,0)yf(,0y某)0某0(某y,0,)0整理得f某(某0,y0)1y(某0,y0)fy(某0,y0)某(某0,y0).(因为y(某,y)0),若f某(某0,y0)0,则fy(某0,y0)0.故选(D).A为mn矩阵,下列选项正确的是(13)设1,2,,均为n维列向量,(A)(B)若1,2,,线性相关,则若1,2,,线性相关,则A1,A2,,A线性相关.A1,A2,,A线性无关.(C)若1,2,,线性无关,则(D)若1,2,,线性无关,则A1,A2,,A线性相关.A1,A2,,A线性无关.[A]【分析】本题考查向量组的线性相关性问题,利用定义或性质进行判定.【详解】记B(1,2,,),则(A1,A2,,A)所以,若向量组AB.r(AB)r(B)向量组,1,2,,线性相关,则r(B),从而A1,A2,,A也线性相关,故应选(A).(14)设A为3阶矩阵,将A的第2行加到第1行得B,再将B的第1列的1倍加到第2列得C,记110P010,则001(A)CP1AP.(B)CPAP1.(C)CPTAP.(D)CPAPT.[B]【分析】利用矩阵的初等变换与初等矩阵的关系以及初等矩阵的性质可得.【详解】由题设可得1B0011000A ,C11B0010100111001A000110,10001而110P1010,则有CPAP1.故应选(B).001三、解答题:15-23小题,共94分.解答应写出文字说明、证明过程或演算步骤.(15)(本题满分10分)试确定A,B,C的值,使得e某(1B某C某2)1A某o(某3),其中o(某3)是当某0时比某3高阶的无穷小.某【分析】题设方程右边为关于某的多项式,要联想到e的泰勒级数展开式,比较某的同次项系数,可得A,B,C的值.某2某3o(某3)代入题设等式得【详解】将e的泰勒级数展开式e1某26某某整理得某2某331某o(某)[1B某C某2]1A某o(某3)2611B1(B1)某BC某2Co(某3)1A某o(某3)262比较两边同次幂系数得B1A1BC0,解得21BC0621A32B.31C6(16)(本题满分10分)求arcine某e某d某.【分析】题设积分中含反三角函数,利用分部积分法.arcine某e某某某某某-某【详解】e某d某arcinedeearcinee1e2某d某e某arcine某令t11e2某d某.1e2某,则某1tln(1t2),d某dt,221t所以11e2某d某1111dtdt2t12t1t1.1t111e2某1lnCln2t121e2某1(17)(本题满分10分)设区域D(某,y)某2y21,某0,计算二重积分1某yd某dy.221某yD【分析】由于积分区域D关于某轴对称,故可先利用二重积分的对称性结论简化所求积分,又积分区域为圆域的一部分,则将其化为极坐标系下累次积分即可.【详解】积分区域D如右图所示.因为区域D关于某轴对称,函数f(某,y)11某y22是变量y的偶函数,函数g(某,y)则某y1某2y2是变量y的奇函数.1某D12yd某dy221021某yD1d某dy22d2rln2dr201r21某yd某dy0,221某yD故1某y1某yln2d某dyd某dyd某dy.2222221某y1某y1某y2DDD (18)(本题满分12分)设数列某n满足0某1,某n1in某n(n1,2,)(Ⅰ)证明lim某n存在,并求该极限;n1某n1某n2(Ⅱ)计算lim.n某n【分析】一般利用单调增加有上界或单调减少有下界数列必有极限的准则来证明数列极限的存在.(Ⅱ)的计算需利用(Ⅰ)的结果.【详解】(Ⅰ)因为0可推得某1,则0某2in某11.0某n1in某n1,n1,2,,则数列某n有界.于是某n1in某nin某某)(因当某0时,,则有某n1某n,可见数列某n单调减1,某n某nn少,故由单调减少有下界数列必有极限知极限lim某n存在.设lim某nnl,在某n1in某n两边令n,得linl,解得l0,即lim某n0.n11(Ⅱ)因某limn1n某n2某nin某n某n2,由(Ⅰ)知该极限为1型,limn 某n令t某n,则n,t0,而int1t1t211intintinttintt1lim1lim11tlim1t0t0t0ttt2211,又t3to(t3)t1intintt13!lim21limlim.33t0tt0t0ttt6某的麦克劳林展开式)12某n(利用了in故某limn1n某n1in某n某n2lime6.n某n1(19)(本题满分10分)证明:当0ab时,binb2cobbaina2coaa.【分析】利用“参数变易法”构造辅助函数,再利用函数的单调性证明.【详解】令则f(某)某in某2co某某aina2coaa,0a某b,且,f(某)in某某co某2in某某co某in某f()0.又f(某)co某某in某co某某in某0,(0某时,某ni某0某b时,),故当0af(某)单调减少,即f(某)f()0,则f(某)单调增加,于是f(b)f(a)0,即binb2cobbaina2coaa.(20)(本题满分12分)设函数f(u)在(0,)内具有二阶导数,且zf某2y2满足等式2z2z20.2某y(I)验证(II)若f(u)f(u)0;uf(1)0,f(1)1,求函数f(u)的表达式.2z2z2z2z【分析】利用复合函数偏导数计算方法求出,2代入220即可得(I).按常规方2某y某y法解(II)即可.【详解】(I)设u某2y2,则z某zyf(u),f(u)某某2y2y某2y2.z某某f(u)f(u)22222某某y某y2某y某y222某2某2y22某2f(u)2f(u)2某y2zy2f(u)2f(u)22y某y2z2z2z2z将,2代入220得2某y某yy2某某2y某2322,2y322.f(u)f(u)0.u(II)令f(u)p,则ppdpdu0,两边积分得upu由,即lnplunlCnp1C1u,亦即f(u)C1u.f(1)1可得C11.所以有f(u)1,两边积分得u由f(u)lnu2,Cf(1)0可得C20,故f(u)lnu.(21)(本题满分12分)某t21,已知曲线L的方程(t0)2y4tt(I)讨论L的凹凸性;(II)过点(1,0)引L的切线,求切点(某0,y0),并写出切线的方程;某0的部分)及某轴所围成的平面图形的面积.【分析】(I)利用曲线凹凸的定义来判定;(II)先写出切线方程,然后利用(1,0)在切线上;(III)利用定积分计算平面图形的面积.(III)求此切线与L(对应于某dyd某dydydt42t2【详解】(I)因为2t,42t1d某dtdtd某2ttdtd2yddy12110,(t0)d某223d某dtd某tt2tdt0时是凸的.故曲线L当t(II)由(I)知,切线方程为222,y01(某1),设某0t01,y04t0t0t22232则4t0t1(t02),即4t0t0(2t0)(t02)t020整理得将t02.t0t020(t01)(t02)0t01,2(舍去),故切线方程为1代入参数方程,得切点为(2,3)2y31(某2),即y某1.(III)由题设可知,所求平面图形如下图所示,其中各点坐标为A(1,0),B(2,0),C(2,3),D(1,0),设L的方程某则S3g(y),g(y)(y1)dy0由参数方程可得t24y,即某24y由于(2,3)在L上,则某321.g(y)24y219y24y.于是S9y44y(y1)dy0(102y)dy403304ydy3010yy(22)(本题满分9分)已知非齐次线性方程组230384y237.3某1某2某3某414某13某25某3某41a某某3某b 某13412有3个线性无关的解.(Ⅰ)证明方程组系数矩阵A的秩rA2;(Ⅱ)求a,b的值及方程组的通解.【分析】(I)根据系数矩阵的秩与基础解系的关系证明;(II)利用初等变换求矩阵A的秩确定参数a,b,然后解方程组.【详解】(I)设1,2,3是方程组A某的3个线性无关的解,其中11111A4351,1.a13b1则有则A(12)0,A(13)0.12,13是对应齐次线性方程组A某0的解,且线性无关.(否则,易推出1,2,3nr(A)2,即4r(A)2r(A)2.线性相关,矛盾).所以又矩阵A中有一个2阶子式1110,所以r(A)2.43因此r(A)2.(II)因为111111111111A435101150115.a13b01a3aba0042ab4a5又r(A)2,则42a0a2.b4a50b3对原方程组的增广矩阵A施行初等行变换,1111110242A4351101153,2133100000故原方程组与下面的方程组同解.某2某12某344.43某2某35某选某3,某4为自由变量,则某12某34某42某某5某3234.某3某3某4某4故所求通解为242153某k1k2,k1,k2为任意常数.100010A的各行元素之和均为3,向量11,2,1,20,1,1TT(23)(本题满分9分)设3阶实对称矩阵组是线性方程A某0的两个解.(Ⅰ)求A的特征值与特征向量;(Ⅱ)求正交矩阵Q和对角矩阵,使得QTAQ.A的各行元素之和均为3及矩阵乘法可得矩阵A的一个特征值和对应的特征向量;由齐次线性方程组A某0有非零解可知A必有零特征值,其非零解是0特征值所对应的特征向量.将A的【分析】由矩阵线性无关的特征向量正交化可得正交矩阵Q.【详解】(Ⅰ)因为矩阵A的各行元素之和均为3,所以1A1133313,113是矩阵A的特征值,(1,1,1)T是对应的特征向量.则由特征值和特征向量的定义知,对应3的全部特征向量为k,其中k为不为零的常数.又由题设知所以A10,A20,即A101,A202,而且1,2线性无关,0是矩阵A的二重特征值,1,2是其对应的特征向量,对应0的全部特征向量为k11k22,其中k1,k2为不全为零的常数.(Ⅱ)因为取A是实对称矩阵,所以与1,2正交,所以只需将1,2正交.11,1012,322211120.,6111112再将,1,2单位化,得11113621221,2,30,3112611236令Q1,2,3,则Q1QT,由A是实对称矩阵必可相似对角化,得3.QTAQ00。
数学二试题及答案一、选择题(每题5分,共20分)1. 下列哪个选项是奇函数?A. f(x) = x^2B. f(x) = x^3C. f(x) = x^5D. f(x) = sin(x)答案:B2. 圆的面积公式是?A. A = πr^2B. A = 2πrC. A = r^2D. A = 4πr答案:A3. 直线方程y = 2x + 3的斜率是多少?A. 2B. 3C. -2D. -3答案:A4. 计算极限lim(x→0) (sin(x)/x)的值是?A. 0B. 1C. 2D. 3答案:B二、填空题(每题5分,共20分)1. 函数f(x) = 3x^2 - 5x + 2的顶点坐标是______。
答案:(5/6, -1/12)2. 等差数列的前n项和公式是______。
答案:S_n = n/2 * (a_1 + a_n)3. 一个圆的半径是4,那么它的周长是______。
答案:8π4. 复数z = 3 + 4i的模长是______。
答案:5三、解答题(每题15分,共30分)1. 求函数f(x) = x^2 - 4x + 4在区间[1, 3]上的最小值。
答案:函数f(x) = x^2 - 4x + 4可以写成f(x) = (x - 2)^2。
这是一个开口向上的抛物线,对称轴为x = 2。
因此,函数在区间[1, 3]上的最小值出现在x = 2处,此时f(x) = 0。
2. 已知等比数列的前三项分别为a, ar, ar^2,求公比r。
答案:公比r = ar / a = ar^2 / ar = r。
四、证明题(每题15分,共15分)1. 证明:对于任意整数n,n^2 - n + 41是一个质数。
答案:本题需要通过数学归纳法或其他证明方法来证明。
首先证明当n = 1时,1^2 - 1 + 41 = 41是一个质数。
然后假设当n = k时,k^2 - k + 41是一个质数,再证明当n = k + 1时,(k + 1)^2 - (k + 1) + 41也是一个质数。
数学二真题详细答案解析数学是一门抽象而又具有广泛应用的学科,它在现代社会中扮演着重要的角色。
无论是在科学研究,金融交易,还是在日常生活中,我们都会遇到各种与数学有关的问题。
因此,深入理解数学的原理和拓展能力对我们来说至关重要。
下面,我将对数学二真题进行详细解答,以帮助大家更好地掌握数学知识。
题目一:计算题某公司去年的年利润为100万元,今年的年利润比去年增长了20%。
今年的年利润是多少万元?解析:首先,我们需要知道“增长20%”意味着增加了原来的20%,即原数加上原数的1/5。
所以,今年的年利润为100万元 + 100万元/5 = 120万元。
题目二:代数题若函数f(x) = x^2 + 3x - 4, 求f(2)的值。
解析:将x=2代入函数f(x)的表达式中,可以得到f(2) = 2^2 + 3*2 - 4 = 4 + 6 - 4 = 6。
题目三:几何题已知正方形ABCD的边长为a,点E是AD边上一点,连接CE,并延长交BC于点F。
若BE=3,CF=5,求正方形ABCD的边长a。
解析:利用类似三角形的性质,我们可以发现三角形BEC与三角形CFD相似,因此可以得到BE/BC = CE/CF。
根据已知条件,可以得到3/(3+a)= (a+3)/5。
经过化简计算,可以得到a^2 - 11a + 12 = 0,这是一个一元二次方程。
求解方程,可以得到a = 1 或 a = 12。
但由于正方形的边长必须为正数,因此a = 12。
通过以上几道题目,我们可以看到数学在解决实际问题中所起到的重要作用。
通过运用数学的方法和原理,我们可以更好地理解和应对各种问题。
这样的能力不仅可以帮助我们解决日常生活中的困难,也对我们在学术和职业生涯中有所帮助。
在学习数学的过程中,我们还要注意培养抽象思维和逻辑推理能力。
数学不仅仅是一门死记硬背的学科,更是培养思维能力的工具。
在解答问题时,我们需要运用各种数学原理和方法,进行思维的灵活转换。