滕州市西岗镇卓楼小学小学三年级2013级02班体测数据
- 格式:xls
- 大小:28.00 KB
- 文档页数:2
序号等级单项得分肺活量(毫升)50米跑(秒)坐位体前屈(厘米)跳绳(次/1分钟)1优秀100170010.216.11092优秀95160010.314.61043优秀90150010.413994良好85140010.512935良好80130010.611876及格78124010.89.9807及格761180118.8738及格74112011.27.7669及格72106011.4 6.65910及格70100011.6 5.55211及格6894011.8 4.44512及格6688012 3.33813及格6482012.2 2.23114及格6276012.4 1.12415及格6070012.601716不及格5066012.8-0.81417不及格4062013-1.61118不及格3058013.2-2.4819不及格2054013.4-3.2520不及格1050013.6-42序号等级单项得分肺活量(毫升)50米跑(秒)坐位体前屈(厘米)跳绳(次/1分钟)1优秀10014001118.61172优秀95130011.117.31103优秀90120011.2161034良好85110011.514.7955良好80100011.813.4876及格789601212.3807及格7692012.211.2738及格7488012.410.1669及格7284012.695910及格7080012.87.95211及格6876013 6.84512及格6672013.2 5.73813及格6468013.4 4.63114及格6264013.6 3.52415及格6060013.8 2.41716不及格5058014 1.61417不及格4056014.20.81118不及格3054014.40819不及格2052014.6-0.8520不及格1050014.8-1.62小学一年级男生体测标准小学一年级女生体测标准小学二年级男生体测标准小学二年级女生体测标准小学三年级男生体测标准小学三年级女生体测标准小学四年级男生体测标准小学四年级女生体测标准序号等级单项得分肺活量(毫升)50米跑(秒)坐位体前屈(厘米)跳绳(次/1分钟)仰卧起坐(次/1分钟)50米×8往返跑(分.秒)1优秀10029008.416.5148501′36〞2优秀9528008.515.2143471′39〞3优秀9027008.613.8138441′42〞4良好8524508.711.6132411′45〞5良好8022008.89.4126381′48〞6及格78211098.2119361′51〞7及格7620209.27112341′54〞8及格7419309.4 5.8105321′57〞9及格7218409.6 4.698302′00〞10及格7017509.8 3.491282′03〞11及格68166010 2.284262′06〞12及格66157010.2177242′09〞13及格64148010.4-0.270222′12〞14及格62139010.6-1.463202′15〞15及格60130010.8-2.656182′18〞16不及格50122011-3.653162′22〞17不及格40114011.2-4.650142′26〞18不及格30106011.4-5.647122′30〞19不及格2098011.6-6.644102′34〞20不及格1090011.8-7.64182′38〞序号等级单项得分肺活量(毫升)50米跑(秒)坐位体前屈(厘米)跳绳(次/1分钟)仰卧起坐(次/1分钟)50米×8往返跑(分.秒)1优秀10022508.319.8158481′41〞2优秀9521508.418.5151461′44〞3优秀9020508.517.2144441′47〞4良好8519508.815.1136411′50〞5良好8018509.113128381′53〞6及格7817709.311.9121361′56〞7及格7616909.510.8114341′59〞8及格7416109.79.7107322′02〞9及格7215309.98.6100302′05〞10及格70145010.17.593282′08〞11及格68137010.3 6.486262′11〞12及格66129010.5 5.379242′14〞13及格64121010.7 4.272222′17〞14及格62113010.9 3.165202′20〞15及格60105011.1258182′23〞16不及格50102011.3 1.255162′27〞17不及格4099011.50.452142′31〞18不及格3096011.7-0.449122′35〞19不及格2093011.9-1.246102′39〞20不及格1090012.1-24382′43〞小学五年级男生体测标准小学五年级女生体测标准序号等级单项得分肺活量(毫升)50米跑(秒)坐位体前屈(厘米)跳绳(次/1分钟)仰卧起坐(次/1分钟)50米×8往返跑(分.秒)1优秀10032008.216.6157511′30〞2优秀9531008.315.3152481′33〞3优秀9030008.414147451′36〞4良好8527508.511.5141421′39〞5良好8025008.69135391′42〞6及格7824008.87.7128371′45〞7及格7623009 6.4121351′48〞8及格7422009.2 5.1114331′51〞9及格7221009.4 3.8107311′54〞10及格7020009.6 2.5100291′57〞11及格6819009.8 1.293272′00〞12及格66180010-0.186252′03〞13及格64170010.2-1.479232′06〞14及格62160010.4-2.772212′09〞15及格60150010.6-465192′12〞16不及格50141010.8-562172′16〞17不及格40132011-659152′20〞18不及格30123011.2-756132′24〞19不及格20114011.4-853112′28〞20不及格10105011.6-95092′32〞序号等级单项得分肺活量(毫升)50米跑(秒)坐位体前屈(厘米)跳绳(次/1分钟)仰卧起坐(次/1分钟)50米×8往返跑(分.秒)1优秀10025008.219.9166491′37〞2优秀9524008.318.7159471′40〞3优秀9023008.417.5152451′43〞4良好8522008.715.2144421′46〞5良好802100912.9136391′49〞6及格7820109.211.8129371′52〞7及格7619209.410.7122351′55〞8及格7418309.69.6115331′58〞9及格7217409.88.5108312′01〞10及格701650107.4101292′04〞11及格68156010.2 6.394272′07〞12及格66147010.4 5.287252′10〞13及格64138010.6 4.180232′13〞14及格62129010.8373212′16〞15及格60120011 1.966192′19〞16不及格50117011.2 1.163172′23〞17不及格40114011.40.360152′27〞18不及格30111011.6-0.557132′31〞19不及格20108011.8-1.354112′35〞20不及格10105012-2.15192′39〞小学六年级男生体测标准小学六年级女生体测标准。
年级编号班级编号班级名称学籍号民族代码姓名性别出生日期家庭住址1代明昕120080901山东省枣庄市13201537048102015级01班G37048120081鹿家栋120080929山东省枣庄市13201537048102015级01班G37048120081渠奥振120081006山东省枣庄市13201537048102015级01班G37048120081赵联柱120081010山东省枣庄市13201537048102015级01班G37048120081赵振120081027山东省枣庄市13201537048102015级01班G37048120081刘子豪120081118山东省枣庄市13201537048102015级01班G37048120081刘奇120081119山东省枣庄市13201537048102015级01班G37048120081祝文龙120081208山东省枣庄市13201537048102015级01班G37048120081褚柯120081223山东省枣庄市13201537048102015级01班G370481200813201537048102015级01班G37048120091赵连森120090121山东省枣庄市1赵子贺120090123山东省枣庄市13201537048102015级01班G37048120091黄孝良120090130山东省枣庄市13201537048102015级01班G37048120091刘腾蔚120090218山东省枣庄市13201537048102015级01班G37048120091李家旭120090307山东省枣庄市13201537048102015级01班G37048120091孔博120090504山东省枣庄市13201537048102015级01班G370481200913201537048102015级01班G37048120091朱思远120090602山东省枣庄市1渠俊杰120090720山东省枣庄市13201537048102015级01班G37048120091王鹏林120090802山东省枣庄市13201537048102015级01班G370481200913201537048102015级01班L37048120081黄士林120080810山东省枣庄市13201537048102015级01班G32032220081赵孔楠220081012山东省枣庄市1刘宇鑫220081004山东省枣庄市13201537048102015级01班G37048120081刘泓鑫220081004山东省枣庄市13201537048102015级01班G37048120081满淑瑕220081104山东省枣庄市13201537048102015级01班G37048120081王蕴静220081123山东省枣庄市13201537048102015级01班G37048120081赵静蕾220090606山东省枣庄市13201537048102015级01班G370481200913201537048102015级01班G37048120091满婧220090617山东省枣庄市1朱雪梅220090619山东省枣庄市13201537048102015级01班G370481200913201537048102015级01班G37048120091刘晓嫚220090729山东省枣庄市1褚红钰220090816山东省枣庄市13201537048102015级01班G37048120091赵姝宇220090822山东省枣庄市13201537048102015级01班G3704812009身高体重肺活量50米跑坐位体前屈一分钟跳绳一分钟仰卧起是否免测1413315299.116.312914否1352817399.314.915132否1423912169.49.410621否1382815299.214.910039否1373018109.3610.39728否1353921489.5 6.913821否1373317929.015.217846否125271779119.310018否1383014889.513.513729否1252413769.414.811932否1353515799.910.312040否133321587109.99137否1282711009.215.615938否1373710219.418.915139否1403010469.116.312914否1425411649.314.915132否13730.512229.49.410621否1363515609.214.910039否1383215599.3610.39728否1353320379.5 6.913821否1323217109.015.217846否131301037119.310018否1403210379.513.513729否1272411729.414.811932否1242316099.910.312040否132251974109.99137否126.52511009.215.615938否1383017919.418.915139否1322518899.116.312914否1352710349.314.915132否。
序号等级1优秀2优秀3优秀4良好5良好6及格7及格8及格9及格10及格11及格12及格13及格14及格15及格16不及格17不及格18不及格19不及格20不及格序号等级1优秀2优秀3优秀4良好5良好6及格7及格8及格9及格10及格11及格12及格13及格14及格15及格16不及格17不及格18不及格19不及格20不及格序号等级1优秀2优秀3优秀4良好5良好6及格7及格8及格9及格10及格11及格12及格13及格小学一年级男生体测标准单项得分肺活量 (毫升 )50 米跑 (秒)坐位体前屈 (CM)跳绳 ( 次/1 分钟 ) 100170010.216.110995160010.314.610490150010.4139985140010.5129380130010.6118778124010.89.980761180118.87374112011.27.76672106011.4 6.65970100011.6 5.5526894011.8 4.4456688012 3.3386482012.2 2.2316276012.4 1.1246070012.60175066012.8-0.8144062013-1.6113058013.2-2.482054013.4-3.251050013.6-42小学一年级女生体测标准单项得分肺活量 (毫升 )50 米跑 (秒)坐位体前屈 (CM)跳绳 ( 次/1 分钟 ) 10014001118.611795130011.117.311090120011.21610385110011.514.79580100011.813.487789601212.3807692012.211.2737488012.410.1667284012.69597080012.87.9526876013 6.8456672013.2 5.7386468013.4 4.6316264013.6 3.5246060013.8 2.4175058014 1.6144056014.20.8113054014.4082052014.6-0.851050014.8-1.62小学二年级男生体测标准单项得分肺活量 (毫升 )50 米跑 (秒)坐位体前屈 (CM)跳绳 ( 次/1 分钟 ) 10020009.616.21179519009.714.71129018009.813.21078516509.911.91018015001010.69578143010.29.58876136010.48.48174129010.67.37472122010.8 6.26770115011 5.16068108011.245366101011.4 2.9466494011.6 1.83914及格15及格16不及格17不及格18不及格19不及格20不及格序号等级1优秀2优秀3优秀4良好5良好6及格7及格8及格9及格10及格11及格12及格13及格14及格15及格16不及格17不及格18不及格19不及格20不及格序号等级1优秀2优秀3优秀4良好5良好6及格7及格8及格9及格10及格11及格12及格13及格14及格15及格16不及格17不及格18不及格19不及格20不及格序号等级1优秀2优秀3优秀6287011.80.7326080012-0.4255075012.2-1.2224070012.4-2193065012.6-2.8162060012.8-3.6131055013-4.410小学二年级女生体测标准单项得分肺活量 (毫升 )50 米跑 (秒)坐位体前屈 (CM)跳绳 ( 次/1 分钟 ) 10016001018.912795150010.117.612090140010.216.311385130010.514.810580120010.813.3977811501112.29076110011.211.18374105011.4107672100011.68.9697095011.87.8626890012 6.7556685012.2 5.6486480012.4 4.5416275012.6 3.4346070012.8 2.3275068013 1.5244066013.20.7213064013.4-0.1182062013.6-0.9151060013.8-1.712小学三年级男生体测标准单项得分肺活量 (毫升 )50 米跑 (秒)坐位体前屈 (CM)跳绳 ( 次/1 分钟 )仰卧起坐 (次/1 分钟 ) 10023009.116.312648 9522009.214.912145 9021009.313.411642 8519009.411.811039 8017009.510.210436 7816209.79.19734 7615409.989032 74146010.1 6.98330 72138010.3 5.87628 70130010.5 4.76926 68122010.7 3.66224 66114010.9 2.55522 64106011.1 1.44820 6298011.30.34118 6090011.5-0.83416 5084011.7-1.63114 4078011.9-2.42812 3072012.1-3.22510 2066012.3-4228 1060012.5-4.8196小学三年级女生体测标准单项得分肺活量 (毫升 )50 米跑 (秒)坐位体前屈 (CM)跳绳 ( 次/1 分钟 )仰卧起坐 (次/1 分钟 ) 10018009.219.213946 9517009.317.913244 9016009.416.6125424良好5良好6及格7及格8及格9及格10及格11及格12及格13及格14及格15及格16不及格17不及格18不及格19不及格20不及格序号等级1优秀2优秀3优秀4良好5良好6及格7及格8及格9及格10及格11及格12及格13及格14及格15及格16不及格17不及格18不及格19不及格20不及格序号等级1优秀2优秀3优秀4良好5良好6及格7及格8及格9及格10及格11及格12及格13及格14及格15及格16不及格8515009.714.911739 8014001013.210936 78134010.212.110234 76128010.4119532 74122010.69.98830 72116010.88.88128 701100117.77426 68104011.2 6.66724 6698011.4 5.56022 6492011.6 4.45320 6286011.8 3.34618 6080012 2.23916 5078012.2 1.43614 4076012.40.63312 3074012.6-0.23010 2072012.8-1278 1070013-1.8246小学四年级男生体测标准单项得分肺活量 (毫升 )50 米跑 (秒)坐位体前屈 (CM)跳绳 ( 次/1 分钟 )仰卧起坐 (次/1 分钟 ) 10026008.716.413749 9525008.81513246 9024008.913.612743 852150911.712140 8019009.19.811537 7818209.38.610835 7617409.57.410133 7416609.7 6.29431 7215809.958729 70150010.1 3.88027 68142010.3 2.67325 66134010.5 1.46623 64126010.70.25921 62118010.9-15219 60110011.1-2.24517 50103011.3-3.24215 4096011.5-4.23913 3089011.7-5.23611 2082011.9-6.2339 1075012.1-7.2307小学四年级女生体测标准单项得分肺活量 (毫升 )50 米跑 (秒)坐位体前屈 (CM)跳绳 ( 次/1 分钟 )仰卧起坐 (次/1 分钟 ) 10020008.719.514947 9519008.818.114245 9018008.916.913543 8517009.21512740 8016009.513.111937 7815309.71211235 7614609.910.910533 74139010.19.89831 72132010.38.79129 70125010.57.68427 68118010.7 6.57725 66111010.9 5.47023 64104011.1 4.36321 6297011.3 3.25619 6090011.5 2.14917 5088011.7 1.3461517不及格18不及格19不及格20不及格序号等级1优秀2优秀3优秀4良好5良好6及格7及格8及格9及格10及格11及格12及格13及格14及格15及格16不及格17不及格18不及格19不及格20不及格序号等级1优秀2优秀3优秀4良好5良好6及格7及格8及格9及格10及格11及格12及格13及格14及格15及格16不及格17不及格18不及格19不及格20不及格序号等级1优秀2优秀3优秀4良好5良好4086011.90.543133084012.1-0.340112082012.3-1.13791080012.5-1.9347小学五年级男生体测标准单项得分肺活量 (毫升 )50 米跑 (秒)坐位体前屈 (CM)跳绳 ( 次/1 分钟 )仰卧起坐 (次50 米×8往返/1 分钟 )跑 (分 .秒 ) 10029008.416.5148501′ 36 〞9528008.515.2143471′ 39 〞9027008.613.8138441′ 42 〞8524508.711.6132411′ 45 〞8022008.89.4126381′ 48 〞78211098.2119361′ 51 〞7620209.27112341′ 54 〞7419309.4 5.8105321′ 57 〞7218409.6 4.698302′ 00 〞7017509.8 3.491282′ 03 〞68166010 2.284262′ 06 〞66157010.2177242′ 09 〞64148010.4-0.270222′ 12 〞62139010.6-1.463202′ 15 〞60130010.8-2.656182′ 18 〞50122011-3.653162′ 22 〞40114011.2-4.650142′ 26 〞30106011.4-5.647122′ 30 〞2098011.6-6.644102′ 34 〞1090011.8-7.64182′ 38 〞小学五年级女生体测标准单项得分肺活量 (毫升 )50 米跑 (秒)坐位体前屈 (CM)跳绳 ( 次/1 分钟 )仰卧起坐 (次50 米×8往返/1 分钟 )跑 (分 .秒 ) 10022508.319.8158481′ 41 〞9521508.418.5151461′ 44 〞9020508.517.2144441′ 47 〞8519508.815.1136411′ 50 〞8018509.113128381′ 53 〞7817709.311.9121361′ 56 〞7616909.510.8114341′ 59 〞7416109.79.7107322′ 02 〞7215309.98.6100302′ 05 〞70145010.17.593282′ 08 〞68137010.3 6.486262′ 11 〞66129010.5 5.379242′ 14 〞64121010.7 4.272222′ 17 〞62113010.9 3.165202′ 20 〞60105011.1258182′ 23 〞50102011.3 1.255162′ 27 〞4099011.50.452142′ 31 〞3096011.7-0.449122′ 35 〞2093011.9-1.246102′ 39 〞1090012.1-24382′ 43 〞小学六年级男生体测标准单项得分肺活量 (毫升 )50 米跑 (秒)坐位体前屈 (CM)跳绳 ( 次/1 分钟 )仰卧起坐 (次50 米×8往返/1 分钟 )跑 (分 .秒 ) 10032008.216.6157511′ 30 〞9531008.315.3152481′ 33 〞9030008.414147451′ 36 〞8527508.511.5141421′ 39 〞8025008.69135391′ 42 〞6及格7及格8及格9及格10及格11及格12及格13及格14及格15及格16不及格17不及格18不及格19不及格20不及格序号等级1优秀2优秀3优秀4良好5良好6及格7及格8及格9及格10及格11及格12及格13及格14及格15及格16不及格17不及格18不及格19不及格20不及格7824008.87.7128371′ 45 〞7623009 6.4121351′ 48 〞7422009.2 5.1114331′ 51 〞7221009.4 3.8107311′ 54 〞7020009.6 2.5100291′ 57 〞6819009.8 1.293272′ 00 〞66180010-0.186252′ 03 〞64170010.2-1.479232′ 06 〞62160010.4-2.772212′ 09 〞60150010.6-465192′ 12 〞50141010.8-562172′ 16 〞40132011-659152′ 20 〞30123011.2-756132′ 24 〞20114011.4-853112′ 28 〞10105011.6-95092′ 32 〞小学六年级女生体测标准单项得分肺活量 (毫升 )50 米跑 (秒)坐位体前屈 (CM)跳绳 ( 次/1 分钟 )仰卧起坐 (次50 米×8往返/1 分钟 )跑 (分 .秒 ) 10025008.219.9166491′ 37 〞9524008.318.7159471′ 40 〞9023008.417.5152451′ 43 〞8522008.715.2144421′ 46 〞802100912.9136391′ 49 〞7820109.211.8129371′ 52 〞7619209.410.7122351′ 55 〞7418309.69.6115331′ 58 〞7217409.88.5108312′ 01 〞701650107.4101292′ 04 〞68156010.2 6.394272′ 07 〞66147010.4 5.287252′ 10 〞64138010.6 4.180232′ 13 〞62129010.8373212′ 16 〞60120011 1.966192′ 19 〞50117011.2 1.163172′ 23 〞40114011.40.360152′ 27 〞30111011.6-0.557132′ 31 〞20108011.8-1.354112′ 35 〞10105012-2.15192′ 39 〞。
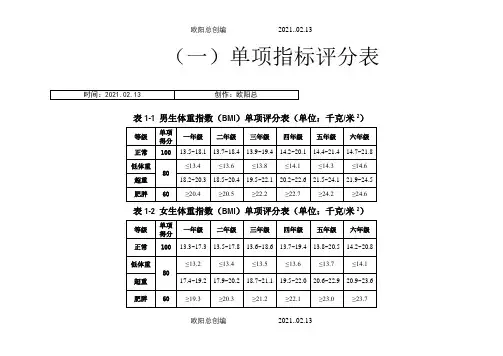
(一)单项指标评分表表1-1 男生体重指数(BMI)单项评分表(单位:千克/米2)表1-2 女生体重指数(BMI)单项评分表(单位:千克/米2)欧阳总创编 2021..02.13表1-3 男生肺活量单项评分表(单位:毫升)表1-4 女生肺活量单项评分表(单位:毫升)欧阳总创编 2021..02.13表1-5 男生50米跑单项评分表(单位:秒)欧阳总创编 2021..02.13表1-6 女生50米跑单项评分表(单位:秒)欧阳总创编 2021..02.13表1-7 男生坐位体前屈单项评分表(单位:厘米)欧阳总创编 2021..02.13表1-8 女生坐位体前屈单项评分表(单位:厘米)表1-9 男生一分钟跳绳单项评分表(单位:次)欧阳总创编 2021..02.13表1-10 女生一分钟跳绳单项评分表(单位:次)欧阳总创编 2021..02.13表1-13 男生一分钟仰卧起坐、引体向上单项评分表(单位:次)欧阳总创编 2021..02.13注:小学三年级~六年级:一分钟仰卧起坐;初中、高中、大学:引体向上。
表1-14 女生一分钟仰卧起坐单项评分表(单位:次)欧阳总创编 2021..02.13表1-15 男生耐力跑单项评分表(单位:分·秒)欧阳总创编 2021..02.13注:小学五年级~六年级:50米×8往返跑;初中、高中、大学:1000米跑。
表1-16 女生耐力跑单项评分表(单位:分·秒)欧阳总创编 2021..02.13注:小学五年级~六年级:50米×8往返跑;初中、高中、大学:800米跑。
(二)加分指标评分表表2-1 男生一分钟跳绳评分表(单位:次)欧阳总创编 2021..02.13注:一分钟跳绳为高优指标,学生成绩超过单项评分100分后,以超过的次数所对应的分数进行加分。
表2-2 女生一分钟跳绳评分表(单位:次)注:一分钟跳绳为高优指标,学生成绩超过单项评分100分后,以超过的次数所对应的分数进行加欧阳总创编 2021..02.13分。
小学类评分表=小学一、二年级男生评分标准 等 级单项得分 50米跑(秒)25米×2往返跑(秒) 立定跳远(米) 投沙包(米)坐位体前屈(厘米) 跳绳(次/1分钟) 踢毽子(次/30秒) 优秀100 9.4 9.8 1.56 23.6 12.4 140 45 98 9.5 10.0 1.55 22.3 12.1 134 43 969.610.31.5420.511.61244094 9.7 10.6 1.53 18.6 11.2 115 38 92 9.8 11.0 1.51 16.0 10.6 103 34 90 9.9 11.4 1.49 13.5 10.0 90 30 良好87 10.1 11.5 1.47 12.9 9.4 86 29 8410.5 11.8 1.43 11.9 8.5 81 28 81 10.8 12.0 1.39 10.9 7.6 75 26 78 11.3 12.3 1.35 9.6 6.4 68 24 75 11.8 12.5 1.30 8.4 5.3 60 22 及格72 11.9 12.8 1.27 7.9 4.6 56 21 6912.1 13.2 1.23 7.3 3.5 51 20 66 12.2 13.6 1.19 6.7 2.5 45 19 63 12.4 14.1 1.13 5.9 1.1 38 17 60 12.6 14.6 1.07 5.0 -0.3 30 15 不及格50 12.7 15.0 1.06 4.8 -0.9 28 14 4012.9 15.7 1.03 4.5 -1.7 24 12 30 13.0 16.4 1.00 4.1 -2.5 20 10 20 13.2 17.3 0.97 3.7 -3.7 15 8 1013.418.20.933.2-4.8105小学一、二年级女生评分标准等 级 单项得分50米跑(秒)25米×2往返跑(秒) 立定跳远(米)投沙包(米)坐位体前屈(厘米) 跳绳(次/1分钟) 踢毽子(次/30秒)优秀100 9.9 10.1 1.47 21.6 15.1 145 40 98 10.0 10.3 1.46 20.1 14.9 138 38 9610.1 10.6 1.44 17.9 14.5 128 35 94 10.2 11.0 1.43 15.7 14.1 118 33 92 10.3 11.4 1.40 12.8 13.5 104 29 90 10.5 11.9 1.38 9.9 13.0 90 25 良好87 10.7 12.0 1.36 9.4 12.3 86 24 8411.1 12.3 1.32 8.6 11.3 81 22 81 11.5 12.5 1.29 7.8 10.2 75 20 78 12.0 12.7 1.25 6.8 8.9 68 18 75 12.5 13.0 1.20 5.7 7.5 60 15 及格72 12.6 13.3 1.18 5.4 6.7 56 14 6912.7 13.7 1.14 5.0 5.5 51 13 66 12.9 14.1 1.10 4.6 4.4 45 12 63 13.0 14.6 1.05 4.0 2.8 38 11 60 13.2 15.1 0.99 3.5 1.2 30 9 不及格50 13.3 15.3 0.98 3.3 0.8 28 8 4013.5 15.7 0.95 3.1 0.1 24 7 30 13.7 16.0 0.92 2.9 -0.5 20 6 20 13.9 16.5 0.89 2.6 -1.4 15 5 1014.117.00.862.4-2.3103小学三、四年级男生评分标准等级单项得分50米跑(秒)25米×2往返跑(秒)立定跳远(米)掷实心球(米)坐位体前屈(厘米)跳绳(次/1分钟)仰卧起坐(次/1分钟)优秀100 8.6 9.4 1.78 9.5 12.9 160 48 98 8.7 9.5 1.77 9.2 12.6 154 47 96 8.8 9.7 1.75 8.7 12.1 144 46 94 8.9 9.8 1.74 8.3 11.7 135 44 92 9.0 10.1 1.72 7.6 11.1 123 42 90 9.1 10.3 1.70 7.0 10.5 110 40良好87 9.3 10.5 1.68 6.9 9.9 106 39 84 9.6 10.9 1.65 6.7 8.9 101 38 81 9.8 11.3 1.61 6.5 8.0 95 37 78 10.2 11.7 1.57 6.3 6.7 88 35 75 10.5 12.2 1.53 6.0 5.5 80 34及格72 10.6 12.3 1.50 5.9 4.7 75 32 69 10.8 12.5 1.45 5.7 3.5 68 30 66 10.9 12.6 1.41 5.5 2.4 60 27 63 11.1 12.8 1.35 5.3 0.8 50 24 60 11.2 13.0 1.29 5.0 -0.8 40 21不及格50 11.3 13.2 1.28 4.6 -1.4 37 20 40 11.4 13.5 1.26 4.1 -2.2 32 18 30 11.6 13.8 1.23 3.5 -3.1 28 17 20 11.7 14.1 1.20 2.8 -4.2 21 15 10 11.9 14.5 1.17 2.0 -5.3 15 13小学三、四年级女生评分标准等级单项得分50米跑(秒)25米×2往返跑(秒)立定跳远(米)掷实心球(米)坐位体前屈(厘米)跳绳(次/1分钟)仰卧起坐(次/1分钟)优秀100 9.0 7.8 1.67 8.2 15.4 165 48 98 9.1 8.1 1.66 7.8 15.1 159 47 96 9.2 8.6 1.65 7.3 14.6 149 46 94 9.3 9.0 1.64 6.7 14.2 140 44 92 9.4 9.7 1.62 6.0 13.6 128 42 90 9.5 10.3 1.60 5.2 13.0 115 40良好87 9.7 10.5 1.58 5.0 12.3 111 39 84 10.0 10.9 1.54 4.8 11.3 106 38 81 10.3 11.2 1.51 4.6 10.2 100 37 78 10.7 11.7 1.46 4.2 8.8 93 35 75 11.1 12.2 1.41 3.9 7.4 85 34及格72 11.2 12.3 1.38 3.8 6.6 80 32 69 11.4 12.4 1.34 3.5 5.4 73 30 66 11.5 12.6 1.30 3.2 4.1 65 27 63 11.7 12.8 1.25 2.9 2.5 55 24 60 11.8 13.0 1.19 2.5 0.9 45 21不及格50 11.9 13.1 1.18 2.4 0.4 42 20 40 12.0 13.4 1.16 2.2 -0.2 37 18 30 12.2 13.7 1.13 2.0 -0.9 32 17 20 12.3 14.1 1.10 1.7 -1.7 25 15 10 12.5 14.5 1.07 1.5 -2.6 18 13等级单项得分肺活量体重指数400米跑(分.秒)50米×8往返跑(分.秒)台阶试验50米跑(秒)25米×2往返跑(秒)立定跳远(米)掷实心球(米)握力体重指数坐位体前屈(厘米)仰卧起坐(次/1分钟)跳绳(次/1分钟)篮球运球(秒)足球颠球(次)排球垫球(次)优秀100 80 1'12〞1'24〞 67 8.0 8.8 1.98 12.0 70 13.3 50 160 11.8 40 30 98 79 1'14〞1'26〞 66 8.1 8.9 1.97 11.6 69 13.0 49 155 12.3 38 29 96 78 1'18〞1'28〞 65 8.2 9.1 1.95 11.1 68 12.5 48 148 13.0 35 28 94 76 1'20〞1'30〞 64 8.3 9.3 1.93 10.5 67 12.1 47 140 13.6 33 26 92 74 1'24〞1'33〞 63 8.4 9.5 1.91 9.8 65 11.4 45 130 14.5 29 24 90 73 1′28〞1'36〞 62 8.5 9.8 1.89 9.0 64 10.8 43 120 15.4 25 22良好87 71 1′31〞1'39〞 60 8.7 9.9 1.87 8.9 62 10.1 42 116 15.8 24 21 84 69 1′33〞1'43〞 59 8.9 10.1 1.83 8.7 60 9.1 40 111 16.5 22 20 81 66 1'37〞1'47〞 57 9.2 10.4 1.79 8.5 57 8.1 39 105 17.2 21 19 78 63 1'41〞1'51〞 55 9.6 10.6 1.74 8.3 54 6.8 37 98 18.1 18 18 75 60 1′45〞1′55〞53 9.9 10.9 1.70 8.0 51 5.4 35 90 19.0 16 16及格72 58 1'47〞1'58〞 52 10.0 11.1 1.67 7.8 49 4.6 33 84 19.9 15 15 69 55 1'49〞2'02〞 50 10.1 11.4 1.62 7.4 47 3.3 31 76 21.2 14 14 66 53 1'51〞2'06〞 49 10.2 11.7 1.58 7.0 44 2.1 28 68 22.5 13 13 63 49 1'53〞2'10〞 47 10.4 12.1 1.52 6.5 40 0.4 25 56 24.2 12 11 60 45 1'55〞2'15〞 45 10.5 12.4 1.46 6.0 37 -1.3 22 45 26.0 10 9不及格50 44 2'05〞2'25〞 44 10.6 12.6 1.45 5.7 36 -1.9 21 41 27.1 9 8 40 42 2'15〞2'35〞 43 10.7 12.9 1.42 5.2 35 -2.8 19 36 28.8 8 7 30 40 2'25〞2'45〞 42 10.8 13.2 1.39 4.7 34 -3.8 18 30 30.5 7 6 20 37 2'35〞2'55〞 41 11.0 13.6 1.36 4.1 32 -5.0 16 22 32.7 5 5 10 35 2'45〞3'05〞 40 11.1 14.0 1.32 3.4 30 -6.2 14 15 35.0 3 3等级单项得分肺活量体重指数400米跑(分.秒)50米×8往返跑(分.秒)台阶试验50米跑(秒)25米×2往返跑(秒)立定跳远(米)掷实心球(米)握力体重指数坐位体前屈(厘米)仰卧起坐(次/1分钟)跳绳(次/1分钟)篮球运球(秒)足球颠球(次)排球垫球(次)优秀100 73 1'12〞1'24〞64 8.4 8.4 1.86 12.4 64 15.9 50 165 12.9 40 27 98 72 1'14〞1'26〞63 8.5 8.6 1.85 11.7 63 15.6 49 160 13.5 38 26 96 71 1'18〞1'28〞62 8.6 8.9 1.83 10.7 62 15.1 48 153 14.5 35 25 94 70 1'20〞1'30〞61 8.7 9.3 1.81 9.7 61 14.6 47 145 15.4 33 24 92 68 1'24〞1'33〞60 8.8 9.7 1.79 8.3 60 13.9 45 135 16.7 29 23 90 67 1′28〞 1'36〞59 8.9 10.2 1.77 6.9 59 13.3 43 125 18.0 25 21良好87 65 1′31〞 1'39〞58 9.1 10.3 1.74 6.7 57 12.6 42 121 18.8 24 20 84 63 1′33〞 1'43〞56 9.4 10.5 1.71 6.4 55 11.5 40 116 19.9 22 19 81 61 1'37〞1'47〞54 9.6 10.7 1.67 6.2 53 10.4 39 110 21.0 21 18 78 58 1'41〞1'51〞52 10.0 11.0 1.62 5.8 50 8.9 37 103 22.5 18 17 75 55 1′45〞1′55〞 49 10.3 11.2 1.57 5.4 48 7.4 35 95 24.0 16 15及格72 53 1'47〞1'58〞48 10.4 11.4 1.54 5.2 46 6.6 33 89 24.9 15 14 69 50 1'49〞2'02〞47 10.6 11.8 1.50 4.9 44 5.3 31 81 26.2 14 13 66 47 1'51〞2'06〞45 10.7 12.1 1.46 4.6 42 4.1 28 73 27.5 13 12 63 44 1'53〞2'10〞43 10.9 12.5 1.40 4.2 38 2.4 25 61 29.3 12 11 60 40 1'55〞2'15〞41 11.0 13.0 1.34 3.8 35 0.7 22 50 31.0 10 9不及格50 39 2'05〞2'25〞40 11.1 13.5 1.33 3.7 34 0.2 21 46 32.1 9 8 40 37 2'15〞2'35〞39 11.2 14.4 1.31 3.4 33 -0.6 19 41 33.8 8 7 30 36 2'25〞2'45〞38 11.3 15.2 1.28 3.2 32 -1.4 18 35 35.5 7 6 20 34 2'35〞2'55〞37 11.5 16.3 1.25 2.9 30 -2.4 16 28 37.8 5 5 10 32 2'45〞3'05〞35 11.6 17.5 1.22 2.6 28 -3.4 14 20 40.0 3 3。
年级编号班级编号班级名称学籍号民族代码姓名性别出生日期家庭住址1杜传洋男20040409西岗镇杜庄村15201137048102011级03班G37048120041赵曰基男20040630西岗镇邓集村15201137048102011级03班G370481200415201137048102011级03班G37048120041王延志男20041011西岗镇姜桥村1杜明昊男20041013西岗镇杜庄村15201137048102011级03班G370481200415201137048102011级03班G37048120041王战男20041014西岗镇孔楼村1段修宇男20041101西岗镇段庄村15201137048102011级03班G37048120041姚程乾男20041108西岗镇邓集村15201137048102011级03班G37048120041孙传钰男20041207西岗镇段庄村15201137048102011级03班G37048120041满欣旺男20041217西岗镇李庄村15201137048102011级03班G37048120041李明昊男20050106西岗镇李庄村15201137048102011级03班G37048120051孔令志男20050201西岗镇西孔庄村15201137048102011级03班G37048120051宋昌远男20050203西岗镇孔楼村15201137048102011级03班G37048120051杜金祥男20050205西岗镇杜庄村15201137048102011级03班G37048120051杨程男20050206西岗镇王场村15201137048102011级03班G37048120051满建康男20050220西岗镇段庄村15201137048102011级03班G37048120051徐瑞男20050228西岗镇邓集村15201137048102011级03班G37048120051李政哲男20050305西岗镇李庄村15201137048102011级03班G37048120051徐东方男20050310西岗镇邓集村15201137048102011级03班G37048120051孙庆洲男20050407西岗镇段庄村15201137048102011级03班G37048120051李政桓男20050410西岗镇邓集村15201137048102011级03班G37048120051王宜灿男20050526西岗镇王场村15201137048102011级03班G37048120051徐振兴男20050711西岗镇段庄村15201137048102011级03班G37048120051王昊男20050626西岗镇姜桥村15201137048102011级03班G37048120051吕景文男20041108西岗镇王场村15201137048102011级03班G370826200415201137048102011级03班L37048120041徐滕微男20041020西岗镇李庄村15201137048102011级03班L37048120041李闯男20041024西岗镇邓集村1王宇女20020216姜桥15201137048102011级03班G370481200215201137048102011级03班G37048120041孔德娣女20040909级索镇杨二庄村1王雪迎女20041118西岗镇姜桥村15201137048102011级03班G37048120041刘紫梦女20041129西岗镇杜庄村15201137048102011级03班G37048120041李菲女20041203西岗镇李庄村15201137048102011级03班G37048120041李奉亭女20050307西岗镇王场村15201137048102011级03班G37048120051李欣芮女20050317西岗镇李庄村15201137048102011级03班G37048120051王艺娜女20050720西岗镇姜桥村15201137048102011级03班G37048120051孙文军女20050801西岗镇卓楼村15201137048102011级03班G3704812005身高体重肺活量50米跑坐位体前屈50米×8往返跑仰卧起坐跳绳1584617008.710.81'41"46116 1554232008.911.51'46"40123 1554123008.510.81'45"38132 1564318008.411.51'48"42122 1483827009.59.11'49"33123 1554518009.7 5.41'50"35126 14636210010.2 6.81'41"32124 155********.58.11'52"40103 157********.312.11'41"42112 1494123009.2 5.41'46"43124 1474117008.7 4.61'50"3797 1564424008.8 6.81'41"3299 1534521008.7 5.41'50"2889 1524119009.48.92'01"2776 16550180010.5 6.32'09"2687 1604321008.67.11'49"26103 1473919009.110.41'50"24126 1605920009.612.62'31"3584 1686123008.97.41'51"3785 1464117009.110.41'46"42145 1533923008.613.31'55"39110 1564517008.78.91'48"40153 1574624008.98.41'49"35135 1504121008.5 6.61'50"4399 1433619008.48.91'53"3789 1564718009.1 6.32'13"3276 1614721009.610.41'50"24126 1574719008.912.62'31"3584 1464120009.17.41'51"3785 1534123008.610.41'46"42145 1584617008.713.31'55"39110 1554618008.911.51'46"40123 157********.510.81'45"38132 1523919008.611.51'48"42122 1403317509.19.11'49"33123。
课程学习课外活动感受与欣赏表现创造音乐与相关文化校外学习(10分)艺术特长(101203201637048107161012016级01班2016370481071610017李星霖男1203201637048107161012016级01班2016370481071610023卓维灏男1203201637048107161012016级01班2016370481071610024李诚男1203201637048107161012016级01班2016370481071610025闫瑞男1203201637048107161012016级01班2016370481071610026王琪正男1203201637048107161012016级01班2016370481071610027杨博为男1203201637048107161012016级01班2016370481071610029陶国庆男1203201637048107161012016级01班2016370481071610121满建廷男1203201637048107161012016级01班2016370481071610122徐义颖男1203201637048107161012016级01班2016370481071610123燕群成男1203201637048107161012016级01班2016370481071610124杜锦玉男1203201637048107161012016级01班2016370481071610128孙浩男1203201637048107161012016级01班2016370481071610129杜浩瑞男1203201637048107161012016级01班2016370481071610130徐健男1203201637048107161012016级01班2016370481071610131孙铭泽男义务教育阶段艺术素质测评成绩管理(音乐)发展指标(20分)班级编号学籍号姓名性别班级名称分数年级编号基础指标(40分)学业指标(50分)1203201637048107161012016级01班2016370481071610148孙浩然男1203201637048107161012016级01班2016370481071610149李欣慰男1203201637048107161012016级01班2016370481071610153杜博文男1203201637048107161012016级01班2016370481071610155卓起男1203201637048107161012016级01班2016370481071610018王书瑶女1203201637048107161012016级01班2016370481071610020杜欣儒女1203201637048107161012016级01班2016370481071610021卓维娜女1203201637048107161012016级01班2016370481071610022满孝倩女1203201637048107161012016级01班2016370481071610028费娜女1203201637048107161012016级01班2016370481071610146满淑涵女1203201637048107161012016级01班2016370481071610147卓淑颖女1203201637048107161012016级01班2016370481071610154孙源擎女等级。
课程学习课外活动感受与欣赏表现创造音乐与相关文化校外学习(10分)艺术特长(101204201537048107161032015级03班2015370481071610002卓东奇男1204201537048107161032015级03班2015370481071610006孔凡浩男1204201537048107161032015级03班2015370481071610007赵健舟男1204201537048107161032015级03班2015370481071610036陶阳男1204201537048107161032015级03班2015370481071610038费厚兴男1204201537048107161032015级03班2015370481071610042杨恩男1204201537048107161032015级03班2015370481071610043孙硕男1204201537048107161032015级03班2015370481071610045赵曰毅男1204201537048107161032015级03班2015370481071610046闫京豪男1204201537048107161032015级03班2015370481071610048姚桐男1204201537048107161032015级03班2015370481071610050徐浩凯男1204201537048107161032015级03班2015370481071610051孔富生男1204201537048107161032015级03班2015370481071610052闫钧帅男1204201537048107161032015级03班2015370481071610054段相旭男1204201537048107161032015级03班2015370481071610055王耀男义务教育阶段艺术素质测评成绩管理(音乐)发展指标(20分)班级编号学籍号姓名性别班级名称分数年级编号基础指标(40分)学业指标(50分)1204201537048107161032015级03班2015370481071610056朱滕辉男1204201537048107161032015级03班2015370481071610001卓婷婷女1204201537048107161032015级03班2015370481071610009李文悦女1204201537048107161032015级03班2015370481071610010李欣茹女1204201537048107161032015级03班2015370481071610011宋笑笑女1204201537048107161032015级03班2015370481071610037杨瑞女1204201537048107161032015级03班2015370481071610039周雨晴女1204201537048107161032015级03班2015370481071610040姚笑笑女1204201537048107161032015级03班2015370481071610044卓文雅女1204201537048107161032015级03班2015370481071610049李心雨女1204201537048107161032015级03班2015370481071610053韩雨彤女等级。
课程学习课外活动感受与欣赏表现创造音乐与相关文化校外学习(10分)艺术特长(101202201737048107161012017级01班2017370481071610010王思硕男1202201737048107161012017级01班2017370481071610011孔祥雨男1202201737048107161012017级01班2017370481071610012杜家祺男1202201737048107161012017级01班2017370481071610014卓维博男1202201737048107161012017级01班2017370481071610015王文博男1202201737048107161012017级01班2017370481071610016满亚奇男1202201737048107161012017级01班2017370481071610018杜皓杰男1202201737048107161012017级01班2017370481071610024段培浩男1202201737048107161012017级01班2017370481071610026卓一凡男1202201737048107161012017级01班2017370481071610027孔令宇男1202201737048107161012017级01班2017370481071610030卓维尚男1202201737048107161012017级01班2017370481071610033杜昊泽男1202201737048107161012017级01班2017370481071610108孙浚豪男1202201737048107161012017级01班2017370481071610017李萌女1202201737048107161012017级01班2017370481071610019王欣雅女义务教育阶段艺术素质测评成绩管理(音乐)发展指标(20分)班级编号学籍号姓名性别班级名称分数年级编号基础指标(40分)学业指标(50分)1202201737048107161012017级01班2017370481071610020王欣慧女1202201737048107161012017级01班2017370481071610021孔铭翠女1202201737048107161012017级01班2017370481071610022杜莉女1202201737048107161012017级01班2017370481071610025王思茹女1202201737048107161012017级01班2017370481071610028杨玉婷女1202201737048107161012017级01班2017370481071610029杜家琪女1202201737048107161012017级01班2017370481071610031王雅茹女1202201737048107161012017级01班2017370481071610034杜欣悦女1202201737048107161012017级01班2017370481071610110刘星灿女等级。
课程学习课外活动感受与欣赏表现创造音乐与相关文化校外学习(10分)艺术特长(101206201337048107161012013级01班2013370481071610018段昊辰男1206201337048107161012013级01班2013370481071610020郭亚澎男1206201337048107161012013级01班2013370481071610021满瀚林男1206201337048107161012013级01班2013370481071610028李硕男1206201337048107161012013级01班2013370481071610066满智男1206201337048107161012013级01班2013370481071610067李航宇男1206201337048107161012013级01班2013370481071610068徐颢宇男1206201337048107161012013级01班2013370481071610070王守德男1206201337048107161012013级01班2013370481071610072蒋易霖男1206201337048107161012013级01班2013370481071610076李明昊男1206201337048107161012013级01班2013370481071610079闫培斌男1206201337048107161012013级01班2013370481071610080孙崇庆男1206201337048107161012013级01班2013370481071610082闫益瑞男1206201337048107161012013级01班2013370481071610083郑德水男1206201337048107161012013级01班2013370481071610095孙奇男义务教育阶段艺术素质测评成绩管理(音乐)发展指标(20分)班级编号学籍号姓名性别班级名称分数年级编号基础指标(40分)学业指标(50分)1206201337048107161012013级01班2013370481071610096金利泽男1206201337048107161012013级01班2013370481071610017段涵笑女1206201337048107161012013级01班2013370481071610023李雯笑女1206201337048107161012013级01班2013370481071610026魏萃莹女1206201337048107161012013级01班2013370481071610071李洺慧女1206201337048107161012013级01班2013370481071610073杜明倩女1206201337048107161012013级01班2013370481071610075李昕嵘女1206201337048107161012013级01班2013370481071610081费慧慧女1206201337048107161012013级01班2013370481071610093孟艺女1206201337048107161012013级01班2013370481071610094赵冰洁女1206201337048107161012013级01班2013370481071610097郑艳秋女等级。
年级编号班级编号班级名称学籍号民族代码姓名性别出生日期家庭住址
1孙文杰男20061015西姜桥村委会13201337048102013级02班G3704032006
1徐瑞男20060421山东省枣庄市13201337048102013级02班G3704812006
1李永海男20060730西岗镇李庄村13201337048102013级02班G3704812006
13201337048102013级02班G3704812006
1满瀚林男20061029西岗镇段庄村
1李明昊男20061207西岗镇邓集村13201337048102013级02班G3704812006
1段昊辰男20070111西岗镇卓楼村13201337048102013级02班G3704812007
1闫培斌男20070113姜桥村13201337048102013级02班G3704812007
1王鹏智男20070414西岗镇大孔庄13201337048102013级02班G3704812007
1满耀鸿男20070415山东省枣庄市13201337048102013级02班G3704812007
1孔畅男20070609山东省枣庄市13201337048102013级02班G3704812007
1廖丕杰男20070626山东省枣庄市13201337048102013级02班G3704812007
13201337048102013级02班G3704812007
1满智男20070808西岗镇孔满楼13201337048102013级02班L37048120061李金柱男20061110西岗镇邓集村
1满奕彤女20060926山东省枣庄市13201337048102013级02班G3704812006
1王桐女20061011山东省枣庄市13201337048102013级02班G3704812006
1蒋诗冉女20061025西岗镇西姜桥13201337048102013级02班G3704812006
1邓慧茹女20061106西岗镇邓集村13201337048102013级02班G3704812006
1孔美淇女20070121西岗镇大孔庄13201337048102013级02班G3704812007
1李雯笑女20070305岗镇大孔庄村13201337048102013级02班G3704812007
13201337048102013级02班G3704812007
1郑涵月女20070310西岗镇姜桥村
1王艺颖女20070402西岗镇西姜桥13201337048102013级02班G3704812007
1李姝函女20070413山东省枣庄市13201337048102013级02班G3704812007
1杜雨彤女20070521西岗镇杜庄村13201337048102013级02班G3704812007
1李洺慧女20070719西岗镇邓集村13201337048102013级02班G3704812007
1李昕嵘女20070818西岗镇邓集村13201337048102013级02班G3704812007
13201337048102013级02班G3708262006
1徐心月女20061210微山县留庄镇
1孟艺女20070420西岗镇西姜桥13201337048102013级02班G3708262007
13201337048102013级02班L37048120061孙慧茹女20061218西岗镇姜桥村
身高体重肺活量50米跑坐位体前屈仰卧起坐跳绳1374222009.714.945121 1373516009.413.442116 1323115009.714.939110 1433620009.114.84897 1403217009.99.136107 1363517009.0 6.932110 1383118009.211.83090 1373015009.410.24547 1353116009.7 5.84876 1353215009.18.03283 14316240010.3 3.628110 1353015009.99.13962 1302715009.79.14297 1403214009.2 6.93276 1373010009.7 3.030121 1433119009.5 5.848116 134********.713.436104 1313511009.316.32690 1423516009.18.03083 1423318209.39.13476 1353612009.9 6.926104 1373512009.711.83497 1393513009.413.44583 1413416009.214.941120 1313015009.711.047117 1272513009.713.236109 1353013009.38.84088 1414011009.714.948132。