数学分析1复习题
- 格式:pdf
- 大小:606.00 KB
- 文档页数:4
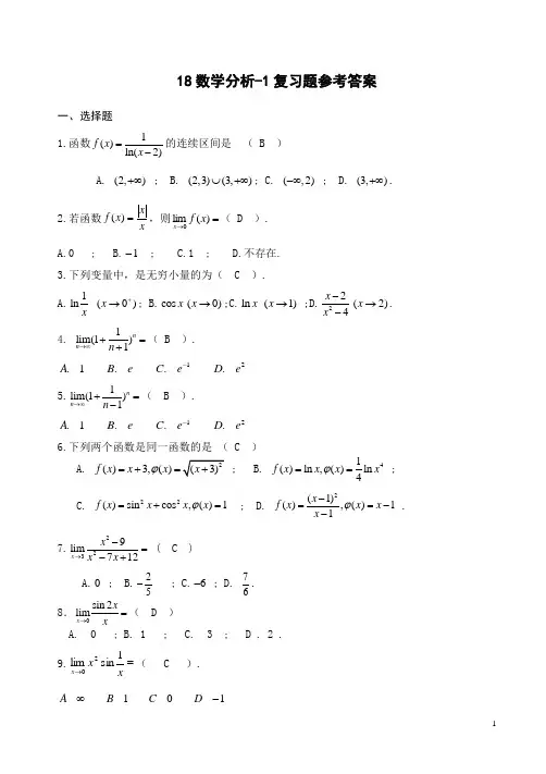
18数学分析-1复习题参考答案一、选择题 1.函数1()ln(2)f x x =-的连续区间是 ( B )A. (2,)+∞ ;B. (2,3)(3,)⋃+∞;C. (,2)-∞ ;D. (3,)+∞.2.若函数xx x f =)(,则=→)(lim 0x f x ( D ).A.0 ;B.1- ;C.1 ;D.不存在. 3.下列变量中,是无穷小量的为( C ). A.1ln(0)x x +→; B.cos (0)x x →;C.ln (1)x x → ;D.22(2)4x x x -→-. 4. 1lim(1)1nn n →∞+=+( B ). 12.1...-A B eC eD e5.1lim(1)1→∞+=-nn n ( B ). 12.1...-A B eC eD e6.下列两个函数是同一函数的是 ( C )A. ()3,()f x x x ϕ=+=41()ln ,()ln 4f x x x x ϕ== ;C. 22()sin cos ,()1f x x x x ϕ=+= ; D. 2(1)(),()11x f x x x x ϕ-==-- . 7.2239lim 712x x x x →-=-+ ( C ) A.0 ; B.25- ; C.6- ; D. 76.8.0sin 2lim →=x xx( D )A. 0 ;B. 1 ;C. 3 ; D . 2 .9.=→xx x 1sin lim 2( C ). 11A B C D ∞-10. 函数3412++-=x xy 的定义域是( B ) A. 2±≠x ; B. 2±≠x 且3-≥x ; C.3-≥x ; D. 以上均不正确.),1.();,.();1,.();1,1.()(|2|||.11+∞+∞-∞-∞-->D C B A D x x x 的集合是所有用区间表示满足不等式12.当0→x 时,下列( B )为无穷小量A .x e ;B .x sin ;C .sin x x ;D .xx 1sin )1(2+13.=→xxx 3sin 5sin lim 0 ( D )A .0 ; B. 1 ; C. 不存在; D. 35.14.设函数x x x f -+=33)(,则)(x f 在),(+∞-∞内为( A ) A. 偶函数; B.奇函数; C. 非奇非偶函数 ; D.以上均不对. 15. 函数()1ln f x x=+的定义域是( D ) ().2,2A - ; [)(].0,11,2B ⋃ ; ()().2,11,2C -⋃ ; ()().0,11,2D ⋃.16.函数1sin y x=是定义域内的( C ).A 周期函数 ; .B 单调函数 ; .C 有界函数; .D 无界函数. 17.已知;()sin 2cos f x x x =+,则(0)f =( A ) A.2 ; B. 0 ; C. 1; D.-1 ..210.;210.;110.;110.)()2lg(1.181122-=+=-=+=++=----x x x x y D y C y B y A D x y 的反函数是函数..;;.;..)(}.80|{},55|{.19B B A D B A C B A B B B A A A x x B x x A ⊃⊃⊂⊂≤≤=≤≤-= 则有设二、填空题1.已知函数(1)(1)f x x x -=-,则函数f ()x = x 2+x 。
《数学分析Ⅰ》试卷(A )一、是非题(共30分,每题3分)1.无穷小量与有界变量的乘积是无穷小量。
( )2.设E 是有界数集,{}.sup E x x ∈=β 若,'ββ< 则'β不是E 的上界。
( )3.设()x f 在0x 连续且(),00>x f 则存在()δ,0x O ,其内()0>x f 。
( ) 4.{}n x 是无穷大量的充要条件是{}n x 无界。
( )5.当∞→n 时,,n e ,10n ()100ln n 中趋于无穷的速度最快的是ne 。
( )6.若()x f 在()b a ,内可微,则它在()b a ,内连续。
( )7.若()x f 在[]b a ,可微, ()b a x ,0∈是()x f 的极值点,则()0'0=x f 。
( ) 8.若()x f 在()δ,0x O 内单调有界,则()x f x x 0lim →存在。
( )9.若()x f 在X 上有有界导函数,则它在X 上一致连续。
( )10.闭区间集合[]{}n n b a ,满足:,11n n n n b b a a ≤<≤++ ,,2,1 =n 则n n a ∞→lim 和 n n b ∞→lim 都存在。
( )二、填空题(共15分,每小题3分)11.若+∆=∆x A y ,其中A 不依赖于,x ∆ 则称()x f y =在x 点可微。
12.()()12-=x x x f 的不可导点为 。
13.=⎪⎪⎭⎫⎝⎛++++++∞→n n n n n 22212111lim 。
14.=⎪⎪⎭⎫⎝⎛++→xxxx x e e e sin 13203lim 。
15.x sin 在0=x 的泰勒公式是 。
三、计算题(共15分,每小题3分) 16.()(),22x v x u y += 求'y 。
17.,1arcsin 2x y -= 求'y 。
18. 设,sin cos ⎩⎨⎧==te y t e x tt 求dx dy。
《数学分析(一)》题库及答案一.单项选择1、函数)(x f 的定义域为]2,1[-,则函数)1(+x f 的定义域为_______。
A .]1,2[-B .]2,1[-C .[0,3]D .[1,3]2、函数)(x f 在0x x →时极限存在,是)(x f 在0x 点处连续的_______。
A .充分但非必要条件B .必要但非充分条件C .充分必要条件D .既非充分又非必要条件3、设函数⎪⎪⎩⎪⎪⎨⎧>=<-=1,11,21,1)(x xx x x x f ,则=→)(lim 1x f x _______。
4、设⎪⎩⎪⎨⎧≥+<=0,10,sin )(x x x x x x f ,则=→)(lim 0x f x ________。
A .-1 B .0 C .1 D .不存在5、已知)1ln()(a x x f += )0(>x ,则=')1(f ________。
A .aB .2aC .21 D . 1 6、若在区间),(b a 内,函数)(x f 的一阶导数0)(<'x f ,二阶导数0)(>''x f ,则)(x f 在),(b a 内是________。
A .单调减少,曲线上凸B .单调增加,曲线上凸C .单调减少,曲线下凸D .单调增加,曲线下凸二、填空题1、函数)43cos(π+=xy 的周期为________。
2、=+∞→x x x)21(lim ________。
3、设x y 2sin =,则='''y ________。
4、设,2xe y =则y '''=_______。
5、设,)(lim 0A x x f x =→则=→xbx f x )(lim 0_______。
6、曲线xy 1=的渐近线是_______、_______。
三、判断对错1. 设函数在)(x f (a 、b )上连续,则在)(x f [ a 、b ] 上有界。
数学分析1考试题及答案一、选择题(每题4分,共20分)1. 函数f(x) = x^2在区间[-1, 1]上是否连续?A. 是B. 否答案:A2. 极限lim(x→0) (sin(x)/x)的值是多少?A. 0B. 1C. 2D. ∞答案:B3. 以下哪个函数在x=0处不可导?A. f(x) = x^3B. f(x) = |x|C. f(x) = e^xD. f(x) = ln(x)答案:B4. 函数f(x) = x^2 + 3x - 4的零点个数是?A. 0B. 1C. 2D. 3答案:C5. 以下哪个级数是收敛的?A. 1 + 1/2 + 1/3 + ...B. 1 - 1/2 + 1/3 - 1/4 + ...C. 1 + 1/4 + 1/9 + ...D. 1/2 + 1/4 + 1/8 + ...答案:C二、填空题(每题3分,共15分)1. 函数f(x) = x^3 - 3x的导数是________。
答案:3x^2 - 32. 函数f(x) = e^x的不定积分是________。
答案:e^x + C3. 函数f(x) = x^2在区间[0, 2]上的定积分是________。
答案:8/34. 函数f(x) = sin(x)的原函数是________。
答案:-cos(x) + C5. 函数f(x) = ln(x)的定义域是________。
答案:(0, +∞)三、计算题(每题10分,共30分)1. 计算极限lim(x→∞) (x^2 - 3x + 2) / (x^3 + 5x^2 - 2x)。
答案:02. 求函数f(x) = x^3 - 6x^2 + 9x + 1在区间[1, 3]上的定积分。
答案:-43. 求函数f(x) = 2x^2 - 3x + 1的极值点。
答案:x = 3/4四、证明题(每题15分,共30分)1. 证明函数f(x) = x^2在区间[-1, 1]上是单调递增的。
答案:略2. 证明函数f(x) = x^3在x=0处连续。
《数学分析Ⅰ》题目讲解一、 单项选择题(每小题2分,共14分)1、设数列{}n x 满足1112n n n x x x +⎛⎫=+ ⎪⎝⎭且lim nn x →∞=,则为【 】A 、0B 、1C 、12 D 、22、已知tan,0,()1,0,xxf x xx⎧≠⎪=⎨⎪=⎩则0x=是()f x的【】A、第一类不连续点B、第二类不连续点C、连续点D、可去不连续点3、已知1sin,0()0,0x xf x xx⎧>⎪=⎨⎪≤⎩,则()f x在0x=处【】A、左可导B、右可导C、可微D、不连续4、若0lim ()x x f x 存在,下列说法一定正确的是【】A 、()f x 在0x 的任一邻域内有界 B 、()f x 在0x 的某一邻域内无界 C 、()f x 在0x 的某一邻域内有界 D 、()f x 在0x 的任一邻域内无界5、若()f x 在0x =处连续,并且220()lim h f h c h→=,则【 】 A 、(0)0f =且(0)f -'存在 B 、(0)0f =且(0)f +'存在 C 、(0)f c =且(0)f -'存在 D 、(0)f c =且(0)f +'存在6、若()f x 在点0x 处存在左、右导数,则()f x 在点0x 处必然【 】A 、可导B 、不可导C 、连续D 、不连续7、下列叙述错误的是【 】A 、若()f x 在点0x 可导,则()f x 在点0x 可微;B 、若()f x 在点0x 可导,则()f x 在点0x 连续;C 、若()f x 在点0x 可导,则()0()0f x ′=; D 、设()f x 在点0x 可导,则0x 是极值点当仅当0()0f x =′.参考答案:1. B 2.C 3.A 4.C 5.B 6.C7.D二、填空题(每小题3分,共21分)1、33561lim 141x x x x x x →∞⎡⎤++⎛⎫+-=⎢⎥ ⎪+⎝⎭⎢⎥⎣⎦ 2、曲线ln y x =上平行于直线115y x =+的切线的方程为3、设()1f a '=,则 0(2)(3)lim h f a h f a h h→+--=4、曲线22x y x e -=+的斜渐近线为5、函数32()92415f x x x x =-+-的极小值点x =______ _6、已知当0x →时ln(1)ax +与1xe -等价,则a = 7、()()5n x=参考答案:1. 114e+;2. ()15ln55y x =-+;3. 5;4. 2y x =;5. 4;6. 1;7. ()ln 55nx三、计算题(每小题6分,共36分)1、计算111lim 1n n n n n →∞⎛⎫+++⎪+++⎝⎭.1、计算111lim 1n n n nn →∞⎛⎫+++⎪+++⎝⎭ 解:设1111n x n n n n=++++++,由于1n n nx n n ≤≤++,lim 1n n n →∞=+,lim 11n nn →∞=+ ,(4分) 由夹逼性,lim 1n n x →∞=,即原极限为1。
数学分析(I)复习题一、选择填空题n TT1. 设= n sin —,则数列{*”}是 ( )(A) 收敛数列;(B)无穷人;(C)发散的有界数列; 2. 命题①若 hw\a n = a ,贝ijlimo “ = a ; n —>oo*n —>oo② 若对于任意自然数p ,都有lim a n =d ,则lim^ =ci (P 为任一自然数);“一>8 Pn->co③ 若 lim a n =a ,则 lim|a 打=a ;7T —>OO>20*④ P£>0,U(a,£)中含仏}的无穷多项,贝ij lima” =a ."T8中不止确的个数是() (A) 1(B)2(C)3(D)43. 当刃T oo 时,卜•列变量屮非无穷小量的是()/7丄,2171(A) —(6?>1)(B2(C) — (D) sin-a n n4. 设函数/在(a — 恥 + 力)上单调,则/(a + 0)与/@一0) (A)都存在FL 相等; (B)都存在但不一定相等; (C)有一个不存在;(D)都不存在兀2_]丄5当兀T 1时,函数一£一啲极限是()x-l(A) 2;(B) 0; (C) 8; (£>)不存在但不为g2、- --- ax-b) 兀+ 1 7(A) a = \,b = \\ (S) a = -l.b = l\ (C) a = \y b = —1;(D) a = —\,b =cin x7. 设f(Q = L —,则兀=0是/的 ()I x I(D)无界但不是无穷人。
6•已知lim =0,则(A)连续点;(B)可去间断点;(C)跳跃间断点;(D)第二类间断点。
8.若函数/在(Q,b)上连续,则/ ( )(C)在(Q,b)的任一闭区间上有界;(D)在[a,b]有界。
e x -e----- ,X <1x-\9.设= { -1, x = l,则广(对在兀=1点处()lnx .------,x > 11-x(A)无定义;(B)仅左连续;(C)仅右连续;(D)连续.10.下列说法正确的是( )(A)若/⑴在勺点处的左极限、右极限存在,贝厅(兀)在勺点连续;(B)若对于V^>0,/(x)在(a +》,b-5)上连续,则/(兀)在[讪上连续;(C)若f (兀)在(°劝上连续,助a + 0)J(b-0)存在,则/(兀)在(°劝上一致连续;(D)若I f(x)l在兀。
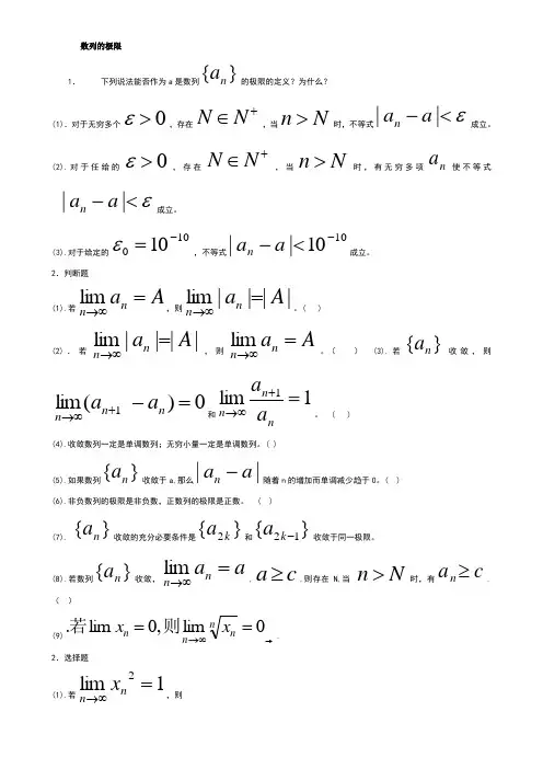
数列的极限1. 下列说法能否作为a 是数列}{n a 的极限的定义?为什么?(1).对于无穷多个0>ε,存在+∈NN ,当Nn >时,不等式ε<-||a a n 成立。
(2).对于任给的0>ε,存在+∈N N ,当Nn >时,有无穷多项na 使不等式ε<-||a a n 成立。
(3).对于给定的10010-=ε,不等式1010||-<-a a n 成立。
2.判断题(1).若A a n n =∞→lim ,则||||lim A a n n =∞→。
( )(2).若||||lim A a n n =∞→,则A a n n =∞→l i m。
( ) (3).若}{n a 收敛,则0)(l i m 1=-+∞→n n n a a 和1lim 1=+∞→nn n a a 。
( )(4).收敛数列一定是单调数列;无穷小量一定是单调数列。
( )(5).如果数列}{n a 收敛于a,那么||a a n -随着n 的增加而单调减少趋于0。
( )(6).非负数列的极限是非负数,正数列的极限是正数。
( )(7).}{n a 收敛的充分必要条件是}{2k a 和}{12-k a 收敛于同一极限。
(8).若数列}{n a 收敛,a a n n =∞→lim ,c a ≥,则存在N,当 Nn >时,有ca n ≥.( )(9)0lim ,0lim .==∞→n n n n x x 则若.2.选择题(1).若1lim 2=∞→n n x ,则○11lim=∞→nnx. ○21lim-=∞→nnx○3nnx∞→lim不存在.○4}{nx有界.3.求极限(1))2222(lim284nn∞→(2)nnn2sin2lim+∞→(3))2411(lim3233nnnnnn++++++∞→(4)4)411(lim+∞→-+n n n(5) nn nn++∞→21lim(6)若daannn=-+∞→)(lim1,求nann∞→lim4.设aann=∞→lim,证明(1).annann=∞→][lim(2).若,0>>naa,则1lim=∞→nnna5.设)(21,0,011nnn xaxxxa+=>>+.证明}{nx收敛,并求其极限。
第一章实数集与函数§1实数1、设a 为有理数,x 为无理数,试证明:⑴x a +是无理数.⑵当0≠a 时,ax 是无理数.证: ⑴ 假设x a +是有理数,则x a x a =-+)(是有理数,这与题设x 为无理数相矛盾, 故x a +是无理数.⑵假设ax 是有理数,则x aax=为有理数,这与题设x 为无理数相矛盾 故ax 是无理数.1、 试在数轴上表示出下列不等式的解: ⑴ 0)1(2>-x x ;⑵⑶2、 设a 、R b ∈.证明:若对任何正数ε有ε<-b a ,则b a =. 证:用反证法.倘若结论不成立,则根据实数集有序性,有b a >或b a <; 若b a >,则又由绝对值定义知:b a b a -=-.令b a -=ε,则ε为正数,但这与ε<-=-b a b a 矛盾; 若b a <,则又由绝对值定义知:a b b a -=-.令a b -=ε,则ε为正数,但这与ε<-=-a b b a 矛盾; 从而必有b a =. 3、 设0≠x ,证明21≥+xx ,并说明其中等号何时成立. 证:因x 与x 1同号,从而21211=⋅≥+=+xx x x x x , 等号当且仅当xx 1=,即1±=x 时成立.4、 证明:对任何R x ∈,有⑴ 121≥-+-x x ;⑵2321≥-+-+-x x x 证: ⑴因为21111-=+-≤--x x x ,所以121≥-+-x x .⑵因为21132-+-≤-≤--x x x x , 所以2321≥-+-+-x x x5、 设a 、b 、+∈R c (+R 表示全体正实数的集合),证明:c b c a b a -≤+-+2222证:对任意的正实数a 、b 、c 有)(22222c b a bc a +≤,两端同时加244c b a +,有224222222242c b a c a b a bc a c b a +++≤++, 即))(()(222222c a b a bc a ++≤+bc c a b a a 2))((2222222-≤++-,两端再同加22c b +,则有c b c a b a -≤+-+2222其几何意义为:当c b ≠时,以),(b a ,),(c a ,)0,0(三点为顶点的三角形,其两边之差小于第三边. 当c b =时,此三角形变为以),(c a ,)0,0(为端点的线段,此时等号成立6、 设0,0>>b x ,且b a ≠,证明x b x a ++介于1与ba之间. 证:因为x b a b x b x a +-=++-1,)()(x b b a b x b a x b x a +-=-++,且0,0>>b x 所以当b a >时, b ax b x a <++<1; 当b a <时, 1<++<xb xa b a ; 故x b x a ++总介于1与ba 之间.7、 设p 为正整数,证明:若p 不是完全平方数,则p 是无理数证:假设p 是有理数,则存在正整数m 、n 使nmp =,且m 与n 互素. 于是22m p n =.可见n 能整除2m .由于m 与n 互素,从而它们的最大公因数为1,由辗转相除法知:存在整数u 、v 使1=+nv mu .从而m mnv u m =+2因n 能整除2m ,又能整除mnv ,故能整除其和,于是n 可整除m ,这样1=n 因此2m p =.这与p 不是完全平方数相矛盾, 故p 是无理数8、 设a 与b 为已知实数,试用不等式符号(不用绝对值符号)表示下列不等式的解: ⑴ b x a x -<-;⑵b x a x -<-;⑶b a x <-2.解: ⑴原不等式等价于11<---bx ba 这又等价于20<--<b x b a 即⎩⎨⎧-<-<>b x b a b x 220或⎩⎨⎧->-><b x b a bx 220即⎪⎪⎩⎪⎪⎨⎧>+>>b a b a x b x 2或⎪⎪⎩⎪⎪⎨⎧<+<<ba b a x b x 2故当b a >时,不等式的解为2ba x +>当b a <时,不等式的解为2ba x +<当b a =时,不等式无解.⑵原不等式等价于⎩⎨⎧-<->b x a x b x 且⎩⎨⎧-<->b x x a bx即⎩⎨⎧>>b a b x 且⎪⎩⎪⎨⎧+>>2b a x bx 故当b a >时,21bx +>; 当b a ≤时,不等式无解. ⑶当0≤b 时,显然原不等式无解,当0>b 时原不等式等价于b a x b a +<<-2因此①当0≤+b a 或0≤b 时,无解②当0>+b a 且0>b 时,有解 Ⅰ 如果b a ≥,则解为b a x b a +<<-即b a x b a +<<-或b a x b a +>>--Ⅱ 如果b a <,则解为b a x +< 即b a x b a +<<+-§2数集 确界原理1、 用区间表示下列不等式的解: ⑴01≥--x x ;⑵61≤+xx ; ⑶0))()((>---c x b x a x (a 、b 、c 为常数,且c b a <<)⑷22sin ≥x 解 ⑴原不等式等价于以下不等式组⎩⎨⎧≥--<011x x x 或⎩⎨⎧≥--≥011x x x前一不等式组的解为21≤x ,后一不等式组无解. 所以原不等式的解为⎥⎦⎤ ⎝⎛∞-∈21,x ⑵不等式61≤+xx 等价于616≤+≤-x x这又等价于不等式组⎩⎨⎧≤+≤->x x x x 61602或⎩⎨⎧-≤+≤<xx x x 61602前一不等式组的解为]223,223[+-∈x ,后一不等式组解为]223,223[+---∈x . 因此原不等式解为 ]223,223[]223,223[+-+---∈x⑶令))()(()(c x b x a x x f ---=,则由c b a <<知:⎪⎩⎪⎨⎧∞+∈>-∞∈<= ;),(),(,0;),(),(,0)(c b a x c b a x x f因此0)(>x f 当且仅当 ;),(),(∞+∈c b a x因此原不等式的解为 ),(),(∞+∈c b a x .⑷当]43,4[ππ∈x 时22sin ≥x .由正弦函数的周期性知22sin ≥x 的解是]432,42[ππππ++∈k k x ,其中k 是整数2、设S 为非空数集,试给出下列概念的定义:⑴数集S 没有上界; ⑵数集S 无界.解: ⑴设S 为一非空数集,若对任意的0>M ,总存在S x ∈0,使M x >0,则称数集S 没有上界 ⑵设S 为一非空数集,若对任意的0>M ,总存在S x ∈0,使M x >0,则称数集S 无界3、证明:由(3)式确定的数集有上界,无下界. 证:{}22R x x y y S ∈-==.对任意的R x ∈,222≤-=x y 所以数集S 有上界2而对任意的0>M ,取m x +=31,则S M M x y ∈--=--===1322211, 但M y -<1,因此数集S 无下界4、 求下列数集的上、下确界,并依定义加以验证. ⑴{}22<=x x S⑵{},!为自然数n n x x S ==; ⑶{})1,0(内的无理数为x x S =; ⑷⎩⎨⎧=-==},2,1,211 n x x S n 解: ⑴2sup =S ,2inf -=S ,以下依定义加以验证.由22<x 知22<<-x ,因之对任意的S x ∈,有2<x 且2->x ,即2,2-分别是S 的上、下界.又对任意的0>ε,不妨设22<ε,于是存在220ε-=x ,221ε+-=x使0x 、1x S ∈,但ε->20x ,ε+-<21x ,所以2sup =S ,2inf -=S⑵+∞=S sup ,1inf =S ,以下依定义加以验证. 对任意的S x ∈,+∞<≤x 1,所以1是S 的下界.对任意的自然数n ,+∞<!n ,所以+∞=S sup ;对任意的0>ε,存在S x ∈==1!11,使ε+<11x ,所以1inf =S ⑶1sup =S ,0inf =S ,以下依定义加以验证.对任意的S x ∈,有10<<x ,所以1、0分别是S 的上、下界.又对任意的0>ε,取εη<<0,且使η-1为无理数,则η-1S ∈,εη->-11 所以1sup =S ;由η的取法知η是无理数,S ∈η,εεη+=<0,所以0inf =S⑷1sup =S ,21inf =S ,以下依定义加以验证. 对任意的S x ∈,有121≤≤x ,所以1、21分别是S 的上、下界.对任意的0>ε,必存在自然数k ,使S x k k ∈-=211,且ε->-=1211k k x所以1sup =S又S x ∈=-=21211,ε+<=-=2121211x 所以21inf =S5. 设S 为非空有下界数集.证明:S S S min inf =⇔∈=ξξ证:设S S ∈=inf ξ,则对一切S x ∈有ξ≥x ,而S ∈ξ,故ξ是数集S 中最小的数,即S min =ξ. 设S min =ξ,则S ∈ξ,下面验证S inf =ξ. Ⅰ 对一切S x ∈,有ξ≥x ,即ξ是S 的下界. Ⅱ 对任何ξβ>,只须取S x ∈=ξ0,则β<0x ,从而ξ不是S 的下界,故S inf =ξ.6.设S 为非空数集,定义}{S x x S ∈-=-,证明:⑴S S sup inf -=-⑵S S inf sup -=-证: ⑴设-=S inf ξ,由下确界的定义知,对任意的-∈S x ,有ξ≥x ,且对任意的0>ε,存在-∈S x 0,使εξ+<0x由}{S x x S ∈-=-知, 对任意的S x ∈-,ξ-≤-x ,且存在S x ∈-0,使εξ-->-0x ,由上确界的定义知ξ-=-S sup ,即S S sup inf -=-. 同理可证⑵式成立.7.设B A 、皆为非空有界数集,定义数集},,{B y A x y x z z B A ∈∈+==+. 证明: ⑴B A B A sup sup )sup(+=+ ⑵B A B A inf inf )inf(+=+ 证: ⑴设1sup η=A ,2sup η=B .对任意的B A z +∈,存在A x ∈,B y ∈,使y x z +=. 于是1η≤x ,2η≤y ,从而21ηη+≤z对任意的0>ε,必存在A x ∈0,B y ∈0且210εη->x ,220εη->y ,则存在B A y x z +∈+=000,使εηη-+>)(210z ,所以B A B A sup sup )sup(21+=+=+ηη ⑵同理可证8.设x a a ,1,0≠>为有理数,证明:{{⎪⎩⎪⎨⎧<>=<<,1}inf ,1}sup a r a a r a a rxr r x r x ,当为有理数,当为有理数证: 只证1>a 的情况, 1<a 的情况可以类似地予以证明.设}{x r r a E r<=,为有理数.因为1>a ,r a 严格递增,故对任意的有理数x r <,有x r a a <,即x a 是E 的一个上界.对任意的0>ε,不妨设x a <ε,于是必存在有理数x r <0,使得xr x a a a <<-0ε.事实上,由x a log 递增知:xx a a <-<ε0等价于x a a xa x a =<-log )(log ε取有理数0r ,使得x r a xa <<-0)(log ε.所以E a xsup =,即}{sup 为有理数r aa rxr x<=§4具有某些特征的函数1、证明:21)(x xx f +=是R 上的有界函数. 证: 利用不等式212x x +≤有2112211)(22≤+=+=x x xx x f 对一切的),(∞+-∞∈x 都成立 故21)(x xx f +=是R 上的有界函数2、⑴证明陈述无界函数的定义; ⑵证明:21)(x x f =为)1,0(上的无界函数. ⑶举出函数f 的例子,使f 为闭区间]1,0[上的无界函数.解: ⑴设)(x f 在D 上有定义,若对任意的正数M ,都存在D x ∈0,使M x f >)(0,则称函数)(x f 为D 上的无界函数.⑵对任意的正数M ,存在)1,0(110∈+=M x ,使M M x x f >+==11)(2所以21)(xx f =为)1,0(上的无界函数. ⑶设⎪⎩⎪⎨⎧=∈=0,0]1,0(,1)(x x x x f .下证)(x f 为无界函数0>∀M ,]1,0(110∈+=∃M x ,使得M M x f >+=1)(0 所以⎪⎩⎪⎨⎧=∈=0,0]1,0(,1)(x x x x f 是闭区间[0,1]上的无界函数.3、 证明下列函数在指定区间上的单调性: ⑴13-=x y 在),(∞+-∞内严格递增; ⑵x y sin =在]2,2[ππ-上严格递增;⑶x y cos =在],0[π上严格递减.证: ⑴任取1x 、),(2∞+-∞∈x ,21x x <, 则0)(3)13()13()()(212121<-=---=-x x x x x f x f , 可见)()(21x f x f <,所以13-=x y 在),(∞+-∞内严格递增. ⑵任取1x 、]2,2[2ππ-∈x ,21x x <,则有22221ππ<+<-x x ,02221<-≤-x x π, 因此02cos21>+x x ,02sin 21<-x x , 从而02sin 2cos 2sin sin )()(21212121<-+=-=-x x x x x x x f x f , 故)()(21x f x f <,所以x y sin =在]2,2[ππ-上严格递增.⑶任取1x 、],0[2π∈x ,21x x <,则π<+<2021x x ,02221<-≤-x x π, 从而02sin21>+x x ,02sin 21<-x x 02sin 2sin2cos cos )()(21212121>-+-=-=-x x x x x x x f x f 故)()(21x f x f >,所以x y cos =在],0[π上严格递减.4、 判别下列函数的奇偶性:(1)12)(24-+=x x x f ;(2) x x x f sin )(+=;(3)22)(x e x x f -=; (4))1lg()(2x x x f -+=解(1)因)(121)(2)()(2424x f x x x x x f =-+=--+-=-, 故12)(24-+=x x x f 是偶函数. (2)因),()sin ()sin()()(x f x x x x x f -=+-=-+-=-故x x x f sin )(+=是奇函数.(3)因)()()(222)(2x f e x e x x f x x ==-=----,故22)(x e x x f -=是偶函数. (4))()1lg(11lg)1lg())(1lg()(2222x f x x x x x x x x x f -=++-=++=++-=-++-=-故)1lg()(2x x x f -+=是奇函数.5、 求下列函数的周期:(1)x x f 2cos )(=;(2)x x f 3tan )(=;(3)3sin 22cos )(xx x f +=. 解 (1) )2cos 1(21cos )(2x x x f +==,而x 2cos 1+的周期是π,所以x x f 2cos )(=的周期是π. (2))3tan(x 的周期是3π,所以x x f 3tan )(=的周期是3π. (3)2cos x 的周期是π4,3sin x 的周期是π6,所以3sin 22cos )(xx x f +=的周期是π12.6、 设)(x f 为定义在],[a a -上的任一函数,证明: (1) ],[),()()(a a x x f x f x F -∈-+=为偶函数; (2) ],[),()()(a a x x f x f x G -∈--=为奇函数; (3) f 可表示为某个奇函数与某个偶函数之和.证 (1)由已知函数)(x F 的定义域关于原点对称且],,[a a x -∈∀)()()()()()(x F x f x f x f x f x F =-+=+-=-.故)(x F 为],[a a -的偶函数.(2) 由已知函数)(x G 的定义域关于原点对称且],,[a a x -∈∀有)()]()([)()()(x G x f x f x f x f x G -=---=--=-.故)(x G 为],[a a -的奇函数.(3)由(1)(2)知: ),(2)()(x f x G x F =+从而)(21)(212)()()(x G x F x G x F x f +=+=,而)(x F ,)(x G 分别是偶函数和奇函数.显然)(21x F 也是偶函数, )(21x G 也是奇函数.从而f 可表示为某个奇函数与某个偶函数之和.7、 设)(x f ,)(x g 为定义在D 上的有界函数,且对任一)()(,x g x f D x ≤∈,证明:(1))(sup )(sup x g x f Dx D x ∈∈≤;(2) )(inf )(inf x g x f Dx D x ∈∈≤. 证 (1)假设)(sup )(sup x g x f Dx D x ∈∈>. 令))(sup )(sup (21x g x f D x D x ∈∈-=ε,则0>ε 由上确界定义知,存在D x ∈0,))(sup )(sup (21)(sup )(0x g x f x f x f Dx D x D x ∈∈∈+=->ε,又对任意的D x ∈,<)(x g ))(sup )(sup (21)(sup x g x f x g D x D x D x ∈∈∈+=+ε. 由此知)()(0x g x f >,这与题设)()()(D x x g x f ∈∀≤相矛盾,所以)(sup )(sup x g x f D x D x ∈∈≤.(2)同理可证结论成立.8、 设f 为定义在D 上的有界函数,证明:(1) )(inf )}({sup x f x f Dx D x ∈∈-=-;(2) )(sup )}({inf x f x f Dx D x ∈∈-=- 证: (1)令ξ=∈)(inf x f Dx .由下确界的定义知,对任意的D x ∈,ξ≥)(x f ,即ξ-≤-)(x f , 可见ξ-是)(x f -的一个上界;对任意的0>ε,存在D x ∈0,使εξ+<)(0x f ,即εξ-->-)(0x f ,可见ξ-是)(x f -的上界中最小者.所以)(inf )}({sup x f x f Dx D x ∈∈-=-=-ξ(2)同理可证结论成立.9、 证明:函数x x f tan )(=在)2,2(ππ-内为无界函数,但在)2,2(ππ-内任一闭区间[]b a ,上有界.证: (1)对任意的正数M ,取)1arctan(0+=M x , 则220ππ<<-x ,M M M x >+=+=1)1(tan(arctantan 0 所以x x f tan )(=在)2,2(ππ-内是无界函数. (2)任取[]b a ,)2,2(ππ-∈,由于x tan 在[]b a ,上是严格递增的,从而b x a tan tan tan ≤≤对任意的[]b a x ,∈都成立.令}tan ,tan max{a a M =,则对一切的[]b a x ,∈,有M x ≤tan ,所以x x f tan )(=在)2,2(ππ-内任一闭区间[]b a ,上有界.10、 讨论狄利克雷函数⎩⎨⎧=为无理数时当为有理数时当x x x D ,0,1)(的周期性、单调性、有界性。
十)数学分析1考试试题(十)《数学分析1》考试试题一、叙述题1叙述闭区间套定理;2用肯定的形式叙述函数)(x f 在数集D 上无上阶;3叙述Rolle 微分中值定理;二、计算题1 求极限x x x x )11(lim -+∞→ ; 2 求摆线-=-=ty t t x cos 1sin π20≤≤t ,在π=t 处的二阶导数22dx y d 的值;3 设x e x f =)(2,求不定积分?dx x x f )( ;4 求不定积分?-+dx e ex x 1arctan 2 ;三、讨论题 1讨论函数=)(x f ≤0 ,00 , 1sin x x x x φ 在0=x 点处的左、右导数; 2设221)(xn nx x f n += ,[]A e x .∈ ,)0(+∞πππA e 2 1 )、、(Λ=n ,讨论)(x f n 在[]A e .上的单调性的最大值点;四、证明题1用定义证明21121lim=-+∞→x x x ; 2证明:方程033=+-c x x ,(其中c 为常数)在[]1,0上可能有两个不同的实根;3若数列{}n x 收敛于a (有限数),它的任何子列{}k n x 也收敛于a 。
(十一)一年级《数学分析》考试题一(满分 1 0 分,每小题 2 分)判断题:1 设数列}{n a 递增且(有限). 则有}sup{n a a =. ( )2 设函数)(x f 在点0x 的某邻域)(0x U 内有定义. 若对)(0x U x n ο∈?,当0x x n →时, 数列)}({n x f 都收敛于同一极限. 则函数)(x f 在点0x 连续. ( )3 设函数)(x f y =在点0x 的某邻域内有定义. 若存在实数A ,使0→?x 时,),()()(00x x A x f x x f ?=?--?+ο则)(0x f '存在且A x f =')(0. ( )4 若),(0)( ,0)()(2121x f x f x f x f ''<<''='='则有).()(21x f x f >( )5 设 ??+=+=c x G dx x g c x F dx x f )()( ,)()(. 则当)()(x G x F ≠时,有)()(x g x f ≠. ( )二(满分 1 5 分,每小题 3 分)填空题: 1 =+=∞→+=∑n n n k n a k n a lim .911612 . 2 函数 |3|ln 3)(--=x x x f 的全部间断点是 . 3. )1ln()(2x x f +=, 已知56)2()(lim000=--→h h x f x f h , =0x . 4. 函数193)(23+--=x x x x f 的既递减又下凸的区间是 .5. ??='+=dx x f x c x dx x f )( ,sin)(2 . 二(满分 3 6 分,每小题 6 分)计算题: 1 1111lim 30-+-+→x x x .2 求函数54)15(4)(+-=x x x f 的极值 . 3 ?+12x x dx . 4 ?++dx x x )1ln(2. 5+-+dx x x x 5232.6 在边长为 a 的正三角形的三个角上剪去长为x 的四边形(如右上图),然后折起来做成底为正三角形的盒子. 求最大体积 .三(满分 7 分)验证题: 用“δε-”定义验证函数 254)(2-+=x x x f 在点20=x 连续 . 四(满分 3 2 分,每小题 8 分)证明题:1 设函数f 在区间]2 , 0 [a 上连续 , 且 ) 2 () 0 (a f f =. 试证明 :] , 0 [ a c ∈?, 使 )() (a c f c f +=.2 设函数)(x f 在区间 I 上可导, 且导函数 )(x f '在该区间上有界 .试证明函数 )(x f 在区间 I 上一致连续 .3 设函数)(x f 在区间] , 0 [a 上二阶可导,且 0) (=a f . )()(2x f x x F =.试证明: ) , 0 ( a ∈?ξ, 使0) (=''ξF .4 试证明: 对R ∈?n x x x ,,, 21Λ, 有不等式 n x x x n x x x n n 2222121 +++≤+++ΛΛ.(十二)一年级《数学分析》考试题一判断题(正确的记(√ ),错误的记(×))(共18分,每题3分):1. 设)(x f 在],[b a 上连续,M 与m 分别是)(x f 的最大值和最小值,则对于任何数)(M c m c ≤≤,均存在],[b a ∈ξ,使得c f =)(ξ。
一、填空题:(一)。
(二)设,则。
(三)设,则,=。
(四)当时,与等价。
(五)函数在点可微是函数在点连续的条件。
(六)设,则为其间断点。
(七)设,则。
(八)已知,则。
(九)设,它的严格单调上升区间为。
(十)设,则在严格上凸。
(十一)设,则,=。
(十二)当时,与等价。
(十三)设,则为其间断点。
(十四)设,则。
(十五)函数的拐点是二、选择题(一)“对任意给定的,总存在正整数,当时,恒有”是数列收敛于的()。
A、充分条件但不是必要条件B、必要条件但非充分条件C、充分必要条件D、既非充分条件有非必要条件(二),则是()。
A无界函数;B、偶函数;C、单调函数;D、以为周期的函数(三)下列等式正确的是()。
A、B、C、D、(四)设,则满足()。
A、在无界B、在有界C、当时有极限D、当时为无穷大量(五)设函数为内的可导偶函数,则是()A、内的偶函数B、内的奇函数C、内的非奇非偶函数D、可能是奇函数,可能是偶函数(六)当时,与为同阶无穷小,则()。
A、0B、1C、2D、3(七)函数在区间上满足l a g r a n g e中值定理,则()。
A、B、1C、D、(八)=()。
A、0B、1C、D、(九)设在上可导,是的最大值点,则()。
A、B、C、时D、以上都不对(十)函数在区间上的最小值是()。
A、B、C、D、(十一)数列收敛于,则对任意的的()邻域之外,数列中的点()。
A、必不存在B、至多只有有限多个C、必定有无穷多个D、可能有有限多个,可能有无穷多个(十二)设数列满足,下列说法正确的是()。
A、若收敛,则必发散B、若无界,则必有界C、若有界界,则必为无穷小D、若为无穷小量,则必为无穷小量(十三)当时,与为同阶无穷小,则()。
A、1B、3C、5D、7(十四)函数在区间上满足L a g r a n g e中值定理,则()。
A、B、1C、D、(十五)=()。
A、0B、1C、D、(十六)函数在区间上的最小值是()。
A、0B、1C、2D、(十七)设在处连续,那么在处()。
数学分析(I)复习题一、选择填空题YITC1.x zt = n sin —,则数列{兀}是( )(A)收敛数列;(B)无穷人;(C)发散的有界数列;(D)无界但不是无穷人。
2.命题①若lim|a w I = a ,则lima” = a;n-><x> >8②若对于任意自然数p ,都冇lim a n =a,则lim a n = a (P为任一自然数);n—>oo P n-»co④0£>0,[/(。
,£)中含血}的无穷多项,贝Ulima“ = a .屮不正确的个数是( )(A) 1 (B)2 (C)3 (D)43.当朴->8时,下列变量中非无穷小量的是()n —nt 7T(A)—(^>1) (B) e" (C) — (£>) sin- a n n4.设函数/在(a —》,d + 5)上单调,则/(a + 0)与/(a—0)(A)都存在且相等;(B)都存在但不一定相等;(C)有一个不存在;(D)都不存在/一1丄5当兀T 1时,函数 ~ 严啲极限是()(A) 2; (B)0; (C) 8;(D)不存在但不为g2)(x6己知lim ----------- a x-b) =0,则兀+ 1 丿(A) a = l,b = 1; (B) a = -l,b = 1;(C) a = \y b = -1; (£)) a = -l,/? = -l.Qin r7.设,则x = 0是/的 ( )(A)连续点;(B)可去间断点;(C)跳跃间断点;(D)第二类间断点。
8.若函数/在(a,b)上连续,则/ ( )(C)在(a, b)的任一闭区间上有界;(D)在[a, b]有界。
e x -e 1----- ,X < 1X — 19.设f(x)= -1, x = l,贝”(兀)在无=1点处( )lnx ,------ ,x > 1\- x(A)无定义;(B)仅左连续;(C)仅右连续;(D)连续.10.下列说法正确的是( )(A)若/⑴在勺点处的左极限、右极限存在,贝厅(朗在勺点连续;(B)若对于VS > 0J(兀)在(a + &b-5)上连续,则/⑴在[讪上连续;(C)若/⑴在(a,b)±连续,l/(a + 0)J@-0)存在,贝叭兀)在(讪上一致连续;(D)若丨f(x) I在必点连续,贝疗⑴在勺点也连续.X — X11.设/(x)= ------------- ,则其( )sin^x(A)冇无穷多个第一类间断点;(B)只有一个可去间断点;(C)有两个跳跃间断点;(D)有三个可去间断点.12.设/是奇函数,且lim/Q = 0,贝ij ( )5 x(A)兀=0是/的极小值点;(B)兀=0是/的极大值点;(C)y = /(x)在兀=0的切线平行于兀轴;(D)y = /(x)在x = 0的切线不平行于兀轴13.设y = /(x)在兀。
《数学分析1》期末考试试卷(闭卷 120分钟)一.判断题(每小题2分,共20分)1、设A B ,为非空数集,{}S A B inf min infA infB =,则S=,.2、若0lim ()x x f x →存在,0lim ()x x g x →不存在,则0lim[()()]x x f x g x →±不存在3、若()f x 无上界,则存在{}()n x D f ⊂,使得lim ()n n f x →∞=+∞4、lim ()x af x A →=⇔存在{}()n x D f ⊂,使得lim ()n n n x a f x A →∞→=且5、若lim n n x A →∞=,lim n n y →∞不存在,lim n n n x y →∞存在,则0A =6、11(1)1)(12)n n e n n n ⎧⎫++<=⎨⎬⎩⎭递增,且(, 7、()()f x g x ,在0x x =不可导,则()()f x g x ±在0x x =也不可导 8、00()()f x f x +-'',均存在,则()f x 在0x x →连续9、若0()0f x '<,则存在0δ>,使得()f x 在00()x x δδ-+,内递减 10、()f x 在0x x =不可导,则0x 不是()f x 的极值点二.求极限(每题5分,共20分)1、4tan()4lim cot 2x x x ππ→- 2、101lim()1x x x x →+- 3、1ln lim (arctan )2xx x π→+∞-4、tan 24lim(tan )xx x π→三. 计算(每题5分,共20分)1、用导数定义求1(ln )x x e x ='2、2(arcsin )y x dy =,求3、ln((0)y x a =>,,求'y 4、求2()(sin )n x四. 证明(每题5分,共20分)1、设0lim ()0x x f x a →=>.证明:n =2、lim n n x a →∞=,lim()0n n n y x →∞-=,证明lim n n y a →∞=.3、证明:()f x =[)1∞,+内一致收敛4、求证: 3tan 23x x x x π∈>-(0,)时,. 五.确定[)()0f x x =∈∞,+的单调区间. (5分)六. ()()f x g x ,在[,]a b 上连续,()()f a g a <,()()f b g b >.求证:存在(,)a b ξ∈,使 ()()f g ξξ= (5分)七. 设()f x 在[0,1]上连续,在(0,1)内可导,求证:(0,1)ξ∈,使得()(1)()(1)f f f f ξξξξ''-=- (5分) 八. 求证:23()xf x x e -=在区间(,)-∞+∞内有界. (5分)。
数学分析1测试题1一、 填空题(每小题3分,共24分)1. 已知2(1)1S n −=+ , 则supS= , infS= .2. 设21cos ()xf x x−=,那么0lim ()x f x →= . 3. 201sinlimx x x x →= . 4. ||1,lim 1nnn a a a →∞≠+当时= .5. 0lim ()x x f x →存在的归结原则是 .6. 函数3, (0,)(,)()sin 21 , 0,xx f x x x ππππ ∈∪= = 的间断点为 , 且为第 类间断点.7. ()|cos |f x x =在x= 处的导数不存在. 8. 已知1(2)(1)(1)1,lim1x f x f f x→−−′=−则= .二、 计算题(每小题8分,共56分) 1.求lim n n →∞+.2.设()().f x x f x ′=求 3.设 ()(ln ),().x f x x f x ′=求4.曲线的参数方程为sin cos 2x t y t== , 求曲线在4t π=处的切线、法线方程. 5.已知1sin ,0()0, 0x x f x xx α≠ = = , 问: (1) α为何值时, f(x)在x=0处连续; (2) α为何值时, f(x)在x=0处可导. 6.求30sin lim x x xx→−.7.求1ln 0cos lim sin xx x x +→.三、 证明题(每小题10分,共20分) 1.用''εδ−定义证明: 011lim2x x →−=. 2.证明:当12122121,0,,,sin sin 2x x x x x x x x π∈<−<− 且时有, 并由此证明方程1sin 20,2x x π+= 在内存在唯一实根.数学分析1测试题2一、填空题(每小题3分,共24分)1. 已知(1)1n n S n=− + , 则supS= , infS= .2. 设21, 1()11, 1x x f x x x −≠=− = ,那么1lim ()x f x →= . 3. 1lim 1n n n n +→∞+= .4. 设()lim ,()x x xxxn n n f x e f x n n −−−→∞−=+则= . 5. 0lim ()x x f x A →=的''εδ−定义为 .6. 函数()ln |1sin |f x x =+的间断点为 , 且为第 类间断点.7. ()|sin |f x x =在x= 处的导数不存在.8. 已知1(2)(0)1,(0)0,limx f x f f x→′==则= .二、计算题(每小题8分,共56分) 1. 已知0b a >>,求n →∞.2. 设()().f x f x ′=求3. 设 cos ()(sin ),().x f x x f x ′=求4. 已知1(),().xf x x f x ′=求5. 已知289,0()1, 0x x x f x a x x b +−>= +< ,试确定,a b , 使 f(x)在x=0处可导. 6. 求30(2)2lim x x e x x x →−++. 7. 求()0lim sin x x x +→.三、证明题(每小题2分,共20分)1.用''N ε−定义证明: 1lim212n n n →∞=+. 2.应用中值定理证明:0,ln(1)x x x >+<当时有, 并由此证明数列2111ln 1ln 1ln 1,1,2,222n na n=++++++=L L 收敛.数学分析1测试题3一、 填空题(每小题3分,共24分)1. 已知{}111,S n N n=−∪−∈ , 则supS= , infS= .2. 23lim 23n n n n n →∞+= .3. 0lim ()''x x f x A εδ+→=−的定义是= .4. 设sin 2, 0()1, 0xx f x x x ≠= = , 那么0lim ()x f x →= .5. 当0,1cos(2)x x →−时与 为等价无穷小量. 6.1limsin x x→−= .7. 由图象及导数的几何意义知()|sin |f x x =在x= 处不可导. 8. 设2(),[,]f x x x a b =∈, 则拉格朗日中值定理中的ξ= (,)a b ∈. 二、 计算题(每小题8分,共48分)1.求0n x >.2. 试叙述0lim ()x x f x →存在的归结原则,并说明0lim cos x →不存在. 3.试指出2()sgn(1)f x x =−的间断点,并说明类型. 4.设2, 0(), 0x x f x x x ≥= < , 求()f x ′.5.设()(ln ),().x f x x f x ′=求 6.设22(),().x f x e d f x =求 三、 证明题(共28分)1.用''N ε−定义证明: 22lim313n n n →∞=+. (9分)2.设00lim ()()0x x f x f x →=>,试叙述保号性定理, 并给出证明. (9分) 3.(10分)设f(x)在0x 处可导, 且0()0f x ≠. 试用导数的定义证明:'020()1()()x x f x f x f x =′ −=.数学分析1测试题4一、填空题(每小题3分,共24分)1. 已知11,S n N n=+∈ , 则supS= , infS= .2. 1lim 1n n n n +→∞+= .3. 0lim ()''x x f x A εδ−→=−的定义是= .4. 设sin 3, 0()1, 0xx f x x x ≠= = , 那么0lim ()x f x →= .5. 当20,x x e →时-1与 为等价无穷小量.6. 0x →= .7. 由图象及导数的几何意义知()|cos |f x x =在x= 处不可导. 8. 设3(),[,]f x x x a b =∈, 则拉格朗日中值定理中的ξ= (,)a b ∈. 二、计算题(每小题8分,共48分)1.求, n .2.试叙述0lim ()x x f x →存在的归结原则,并说明0lim sin x →不存在. 3.试指出2()sgn(31)f x x x =−+的间断点,并说明类型. 4.设cos , 0()1sin , 0x x f x x x ≥ =+< , 求()f x ′. 5.设2cos ()(sin),().x f x f x ′=求 6.设sin()2(),().ax b f x e d f x +=求 三、证明题(共28分)1.用''εδ−定义证明: 11lim12x x x →=+. (9分) 2.设函数0000(),(),().f x x g u u u f x =在连续在连续且证明: 0(())g f x x 在处连续. (9分) 3.设f(x)在0x 的某邻域内有定义,且在0x 可导. 若0x 为f(x)的极值点, 则必有0()0f x ′=. (10分)数学分析1测试题5一、填空题(每小题4分,共32分)1. 已知{}(0,1)2S =∪ 中的有理数, 则MaxS= , infS= .2. 若f(x)在D 上满足 , 则称f(x)在D 上有界.3.将区间[0,2]中的点的x 映射到区间[0,1]中的点u 的映射u= ;而将[2,6]映射到[0,1]的映射u .4. 0,1x →−当时的等价无穷小是 .5. ()sgn(cos )f x x =的所有间断点的集合为 ,且是 类间断点.6. 曲线()y f x =在点00(,())x f x 处的切线方程为 , 法线方程为 .7. 试举一函数()f x = 该函数在0x 处连续,但不可导. 8. 已知0(2)(0)(0)2,limsin x f x f f x→−′=则= .二、计算题(每小题6分,共36分) 1.求lim n →∞++L . 2.求极限 22ln(sin )lim(2)x x x ππ→− 3.求极限 2221lim 1x x x x →+∞− +4.设2ln arcsin ..y y x′= 求5.设ln .x y x y ′=,求6.设22sin ,,.cos ttx e tdy d y dx dx y e t= = 求 四、证明题(每小题2分,共20分)1.用''εδ−定义证明: 211lim 2x x x→+=.2.设{}n a 为递增且有上界函数. 证明lim sup{}n n n a a →∞=, 并举例说明.3.设2()x f x x e =,证明: (1) ()f x ′在[0,3]上有界; (2) 用定义证明f(x)在[0,3]上一致收敛.4.试求极限121lim 11x x x →+∞+−,并证明()()lim 10k k n n n →∞+−=(0<k<1为常数.数学分析1测试题6一、填空题(每小题4分,共32分) 1. 已知{}(0,1)S =∪中的无理数, 则MaxS= , infS= .2. 若f(x)在D 上满足 , 则称f(x)为D 上的递增函数.3.将区间[0,3]中的点的x 映射到区间[0,1]中的点u 的映射u= ;而将[1,4]映射到[0,1]的映射u .4. 0,ln(12)x x →+当时的等价无穷小是 .5. ()sgn(sin )f x x =的所有间断点的为 ,且是 类间断点.6. 若()y f x =在D 上满足 , 则称f(x)在D 上一致连续.7. 试举一函数()f x = 该函数在0x 处连续,但不可导.8. 已知0()(0)(0)2,limsin 2x f x f f x→−′=则= .二、计算题(每小题6分,共36分) 1.已知0b a c >>>,求n 2.求极限 1lim 1x x x e →+∞−3.求极限 ()1lim 1sin xx x →+4.设3ln arc ..y tg y x′= 求5.设cos (sin ).x y x y ′=,求6.设22232,,.2x t t dy d y dx dx y t t=− =− 求 三、证明题(每小题2分,共20分)1.用''εδ−定义证明: 11lim 12x x x →=+.2.设0, 0()1sin , 0k x f x x x x == ≠ , 分别求:(1)当k 为何值时, f(x)在00x =处可导;(2) 当k 为何值时, 0()0f x x ′=在连续.3.用定义证明2()f x x =f(x)在[1,3]上一致收敛. 问:f(x)在(1,3)也一致收敛吗?为什么?4.证明:若f(x)是以2π为周期的函数,则存在ξ,使得()()f f ξπξ+=.数学分析1测试题7一、填空题(每小题3分,共24分)1. 用εδ−定义叙述: 函数()y f x =在0x 处的右极限是实数A 的定义是 .2. 用N ε−语言陈述数列{}n a 不是柯西数列为.3. 无界数列不是无穷大量,试利用子列的性质, 列举一个在n →∞时,不是无穷大量的无界数列: .4. 设()()1g x f x =−,且lim ()x ag x e →=,则lim ()x af x →= ;在x a →时,函数f(x)收敛的理由是 . 5. 0sin limx mx tgnx →= ;01lim sin x x x→ .6. 函数()f x 在0x 处连续是()f x 在0x 可微的 条件. 函数()f x 在0x 处可微是()f x 在0x 连续的 条件.7. 连续函数f(x)的局部保号性是指 . 8. 若函数()f x 在0x 处有0()0f x ′≠, 则曲线00()(,())y f x x f x =在点处的法线方程是 . 二、计算题(每小题8分,共48分) 1. 计算极限(1) 2132lim 31x x x x −→+∞+−(2) 2021lim sin 1cos x x x →− −2. 已知(1)1,(1)1,(1)0f f f ′′′===, 试求2222()1d f x x dx =在时的值.3. 289, 0(), 0x x x f x xa xb +−≥+<, 试确定a,b 的值, 使()0f x x =在处可导. 4. 设(sin )(1cos )x a t t y b t =− =− , 求22d ydx .5. 设ln y x =, 求()n y .(对结论的正确性请作严密的论述)6. 求数集1{|1,1,2,}3A x x n n ==−=+L 的上确界,并按定义加以检验. 三、验证题(3题共28分) 1. 设21sin , 0()0, 0x x f x xx > = ≤ ,验证()0f x x =在可导, 并求出()f x ′的表达式. 2. 求证: 方程3310x x −+=在[0,1]内有且仅有一个实根. 3. 试用数学分析的有关知识说明:当x 位于原点附近时, 近似公式ln(1)x x +≈的合理性(即说明此式的由来).数学分析1测试题8一、填空题(每小题3分,共24分)1. 用εδ−定义叙述: 函数()y f x =在数集D 上无界的定义是 .2. 函数()y f x =在0x 左连续的定义,用εδ−语言叙述为 .3. 构造一个在(,)−∞+∞上定义,0x →时为无穷大量的函数是 .4. 数列{}n a 收敛是{}n a 的任意子列收敛的 条件.5. 0sin sin 4lim_____;lim _______.3x x x xx x→∞→==6. 运用函数增量与微分的近似关系式时,应取()______,f x =0__x =, x ∆= , 0()f x ′= .7. 曲线223y x x =−+上,斜率为2的切线是过点 的切线. 8. 设(ln())y f x =, 则函数()f x 可导, 则22d ydx = .二、计算题(每小题8分,共48分) 1. 计算极限(1) lim(1mx x k x →∞+; (2) 011lim()1x x x e →−−2. 已知等式2211()()x x df x df x dxdx ===成立, 求(1)((1)1)f f ′⋅−的值.3. 已知2,3(),3x x f x ax b x ≥=+< 当当在x=3可导, 则,a b 各取值. 4. 设y xarctgx =, 求2d y . 5. 已知11y x=−, 求()n y .(对结论的正确性请作严密的论述) 6. 求数集2{|3}x x <的下确界, 并按定义检验. 三、验证题(3题共28分)1. 用εδ−语言验证22112lim 213x x x x →−=−−.2. 试说明||y x =是初等函数,且在x=0不可导.3. 设函数()f x 在有限区间(,)a b 内可导,且lim (),lim ()x ax af x A f x B +−→→==存在.求证: 在(,)a b 内必存在一点ξ使()B Af b aξ−′=−.数学分析1测试题9一、填空题(每小题3分,共24分)1. 设1{1}{1},,sup ____,inf _____.S n N S S n=−∪−∈==则2. 函数()sgn(sin )f x x =的所有间断点为 ,且都是第 类间断点.3. 叙述连续函数的局部保号性: 若f(x)在点0x 连续, 且0()0f x >, 则 .4. 若289,0(), 0x x x f x x a x b +−≥ = +<在0x =处可导, 则___,___.a b == 5. 已知1(2)(1)(1)1,lim 1x f x f f x→−−′=−则= . 6. 021lim(sin sin 3)x x x x x→+= . 7. 当0,1cos 2x x →−时与 是等价无穷小量. 8. 00()()lim(()())0,lim h h f a h f a f a h f a h→→+−+−=是存在的 条件(选择“充分”、“必要”、“充要”三者中的一个).二、计算题(6+6+6+7+7+7+7+9)1.设0,n b a c >>>求. 2. 求极限253lim 52x x x x →∞+ −3. 求极限22ln(sin )lim (2)x x x ππ→−. 4.设2ln(arcsin ),y y x′=求. 5. 设(ln ),x y x y ′=求.6. 设2sin(32),x y e dy +=求.7. 设22sin ,,,2cos t t x e t dy d y t dx dx y e tπ = = = 求并求当时曲线的切线方程与法线方程. 三、证明题(8+9+10=27分)1. 用εδ−定义证明:211lim 0x x x→−=. 2. 用拉格朗日中值定理证明:当0b a >>时,有ln b a b b a b a a−−<<. 3. 试叙述函数f(x)在区间I 上一致连续的定义, 并据定义证明1()sin f x x=在区间(c,1)(其中0<c<1)上一致连续.数学分析1测试题10一、填空题(每小题3分,共24分)1.设{(0,1)}sup ____,inf _____.S S S =∪==中的无理数则2. 函数()sin x f x x=, 则0x =为 间断点,(,0)x k k Z k π=∈≠为f(x)的第 类间断点.3. 函数f(x)在点0x 连续的εδ−定义为 .4. 函数f(x)在区间I 上的函数.若 , 则称f(x)在I 上一致连续.5. 若31sin ,0()2, 0x x x f x xe a x > = +≤在0x =处连续, 则___.a = 6. 已知||1,lim 1nnn a a a →∞≠+则= . 7. 31lim(sin sin 2)x x x x x→∞+= . 8. 设0()(0)(0)2,lim sin 2x f x f f x→−′==则 . 二、计算题(6+6+6+7+7+7+7+9)1. lim n n→∞+求. 2. 求极限232lim 31x x x x →∞+ −3. 求极限02lim sin x x x e e x x x−→−−−. 4.设arcsin(ln )y x x y ′=+求. 5. 设sin ,x y x y ′=求.6. 设2ln (),tgx y e dy =求.7. 设22(sin ),,,(1cos )2x a t t dy d y t y a t dx dx π=− = =− 求并求当时曲线的切线方程与法线方程.三、证明题(8+9+10=27分)1. 用εδ−定义证明:212lim 3x x x→+=. 2. 用拉格朗日中值定理证明:当0h >时,有21h arctgh h h <<+. 3. 试述函数极限的归结原则,并由此证明0lim sin x →不存在.。
一、填空题:
(一)。
(二)设,则。
(三)设,则,=。
(四)当时,与等价。
(五)函数在点可微是函数在点连续的条件。
(六)设,则为其间断点。
(七)设,则。
(八)已知,则。
(九)设,它的严格单调上升区间为。
(十)设,则在严格上凸。
(十一)设,则,=。
(十二)当时,与等价。
(十三)设,则为其间断点。
(十四)设,则。
(十五)函数的拐点是
二、选择题
(一)“对任意给定的,总存在正整数,当时,恒有”是数列收敛于的()。
A、充分条件但不是必要条件
B、必要条件但非充分条件
C、充分必要条件
D、既非充分条件有非必要条件
(二),则是()。
A无界函数;B、偶函数;C、单调函数;D、以为周期的函数
(三)下列等式正确的是()。
A、B、C、D、
(四)设,则满足()。
A、在无界
B、在有界
C、当时有极限
D、当时为无穷大量(五)设函数为内的可导偶函数,则是()
A、内的偶函数
B、内的奇函数
C、内的非奇非偶函数
D、可能是奇函数,可能是偶函数
(六)当时,与为同阶无穷小,则()。
A、0B、1C、2D、3
(七)函数在区间上满足l a g r a n g e中值定理,则()。
A、B、1C、D、
(八)=()。
A、0B、1C、D、
(九)设在上可导,是的最大值点,则()。
A、B、
C、时
D、以上都不对
(十)函数在区间上的最小值是()。
A、B、C、D、
(十一)数列收敛于,则对任意的的()邻域之外,数列中的点()。
A、必不存在
B、至多只有有限多个
C、必定有无穷多个
D、可能有有限多个,可能有无穷多个
(十二)设数列满足,下列说法正确的是()。
A、若收敛,则必发散
B、若无界,则必有界
C、若有界界,则必为无穷小
D、若为无穷小量,则必为无穷小量
(十三)当时,与为同阶无穷小,则()。
A、1
B、3
C、5
D、7
(十四)函数在区间上满足L a g r a n g e中值定理,则()。
A、B、1C、D、
(十五)=()。
A、0B、1C、D、
(十六)函数在区间上的最小值是()。
A、0B、1C、2D、
(十七)设在处连续,那么在处()。
A、不一定可导;
B、必不可导;
C、可导且导数为;
D、可导且导数为。
(十八)设,那么()。
A、0;
B、1;
C、不存在;
D、2。
(十九)曲线在点(0,0)处的法线方程为()。
A、;
B、;
C、;
D、。
(二十)若无上界,则()。
A、无收敛子列;
B、是无穷大量;
C、有一个子列是无穷大量;
D、得不出任何结论。
(二十一)当时,下列无穷大量的阶为的是()。
A、;
B、;
C、;
D、。
三、计算题及证明:
(一)求极限。
(二)求极限。
(三)证明不等式:,。
(四)证明方程在内有且只有一个实根。
(五)设函数由方程确定,求。
(六)叙述函数极限和数列极限之间的关系并由此证明不存在。
(七)叙述一致连续定义并证明:对任意固定的,在上一致连续。
(八)求极限。
(九)求极限。
(十)证明不等式:,。
(十一)证明方程在内存在一个实根。
(十二)设函数由参数方程确定,求。
(十三)叙述函数当极限为的定义并由此证明。
(十四)叙述一致连续定义并证明:若在区间上有定义且存在一个正数,对一切有,则在上一致连续。
(十五)设函数在区间上二阶可导,且,,试证明:,使。
(十六)设,当,时,在内可导。
(十七)在上连续,,证明对任意两正数,至少存在一点,使得。
(十八)证明:不是周期函数。
(十九)设,证明:存在,当且时,必有。