高中会考数学考试试题
- 格式:doc
- 大小:443.50 KB
- 文档页数:6
数学会考试题及答案一、选择题(每题5分,共20分)1. 下列哪个选项是最小的自然数?A. 0B. 1C. 2D. 3答案:A2. 一个数的平方根是它本身,这个数是?A. 1B. -1C. 0D. 1和-1答案:C3. 计算下列哪个选项的结果是正数?A. (-3) × (-4)B. (-3) × 4C. 3 × (-4)D. (-3) × (-3)答案:A4. 一个等腰三角形的底角是45度,那么顶角是多少度?A. 45度B. 90度C. 135度D. 180度答案:B二、填空题(每题5分,共20分)5. 一个圆的半径是3厘米,那么它的周长是______厘米。
答案:18.846. 一个长方体的长、宽、高分别是4厘米、3厘米、2厘米,那么它的体积是______立方厘米。
答案:247. 一个数的绝对值是5,这个数是______。
答案:±58. 一个等差数列的首项是2,公差是3,那么第5项是______。
答案:17三、解答题(每题10分,共20分)9. 已知一个直角三角形的两条直角边长分别为3厘米和4厘米,求斜边的长度。
答案:斜边的长度为5厘米。
10. 已知一个等腰三角形的周长是24厘米,底边长为6厘米,求腰长。
答案:腰长为9厘米。
四、证明题(每题10分,共20分)11. 证明:如果一个三角形的两边之和大于第三边,那么这个三角形是存在的。
答案:根据三角形的三边关系定理,如果一个三角形的两边之和大于第三边,那么这个三角形是存在的。
12. 证明:勾股定理的逆定理,即如果一个三角形的三边满足勾股定理,那么这个三角形是直角三角形。
答案:设三角形的三边长分别为a、b、c,且a² + b² = c²,根据勾股定理的逆定理,可知这个三角形是直角三角形。
五、应用题(每题10分,共20分)13. 一个工厂生产了100个零件,其中95个是合格的,5个是不合格的。
一、单选题1. 在棱长为2的正方体中,点,分别是线段,(不包括端点)上的动点,且线段平行于平面,则四面体的体积的最大值为( )A .2B.C.D.2. 若集合,则集合可能为( )A.B.C.D.3.设是定义域为的奇函数,且,当时,,.将函数的正零点从小到大排序,则的第4个正零点为( )A.B.C.D.4.已知变量关于的回归方程为,若对两边取自然对数,可以发现与线性相关.现有一组数据如下表所示:12345则当时,预测的值为( )A.B.C.D.5. 函数在区间(,)内的图象是( )A.B.C.D.6. 若,且a 为整数,则“b 能被5整除”是“a 能被5整除”的A .充分不必要条件B .必要不充分条件C .充要条件D .既不充分也不必要条件7.已知,则( )A.B.C.D.8.已知函数满足函数恰有5个零点,则实数的取值范围为( )A.B.C.D.9. 已知P为所在平面内一点,且满足,,则A.B.C.D.10. 已知数列的首项,且,,则满足条件的最大整数( )A .2022B .2023C .2024D .202511.在区间与内各随机取1个整数,设两数之和为,则成立的概率为( )广东省2024年普通高中合格性学业水平考试数学模拟数学试题一二、多选题A.B.C.D.12.如图,在正四棱柱中,是线段上的动点,有下列结论:①;②,使;③三棱锥体积为定值;④三棱锥在平面上的正投影的面积为常数.其中正确的是( )A .①②③B .①③C .②③④D .①④13. 已知,分别为随机事件A ,B 的对立事件,,,则( )A.B.C .若A ,B独立,则D .若A ,B互斥,则14.已知非常数函数及其导函数的定义域均为R ,若为奇函数,为偶函数,则( ).A.B.C.D.15. 我国居民收入与经济同步增长,人民生活水平显著提高.“三农”工作重心从脱贫攻坚转向全面推进乡村振兴,稳步实施乡村建设行动,为实现农村富强目标而努力.年年某市城镇居民、农村居民年人均可支配收入比上年增长率如图所示.根据下面图表,下列说法正确的是()A .对于该市居民年人均可支配收入比上年增长率的中位数,城镇比农村的大B .对于该市居民年人均可支配收入比上年增长率的极差,城镇比农村的大C .年该市农村居民年人均可支配收入比年有所下降D .年该市农村居民年人均可支配收入比年有所上升16. 若直线与两曲线、分别交于、两点,且曲线在点处的切线为,曲线在点处的切线为,则下列结论正确的有( )A .存在,使B .当时,取得最小值三、填空题四、填空题五、解答题C.没有最小值D.17. 蜚英塔俗称宝塔,地处江西省南昌市,建于明朝天启元年(1621年),为中国传统的楼阁式建筑.蜚英塔坐北朝南,砖石结构,平面呈六边形,是江西省省级重点保护文物,已被列为革命传统教育基地.某学生为测量蜚英塔的高度,如图,选取了与蜚英塔底部D 在同一水平面上的A ,B两点,测得米,,,,则蜚英塔的高度是_______米.18. 在复平面内,复数所对应的点的坐标为,则_____________.19.已知、分别为椭圆的左、右焦点,为椭圆上的动点,点关于直线的对称点为,点关于直线的对称点为,则当最大时,的面积为__________.20. 如图,在棱长为2的正方体中,点是侧面内的一个动点.若点满足,则的最大值为__________,最小值为__________.21.椭圆的左、右焦点分别为,,过焦点的直线交椭圆于,两点,则的周长为______;若,两点的坐标分别为和,且,则的内切圆半径为______.22. 计算求值:(1);(2)已知,均为锐角,,,求的值.23. 某校高中“数学建模”实践小组欲测量某景区位于“观光湖”内两处景点,之间的距离,如图,处为码头入口,处为码头,为通往码头的栈道,且,在B 处测得,在处测得(均处于同一测量的水平面内)(1)求两处景点之间的距离;(2)栈道所在直线与两处景点的连线是否垂直?请说明理由.六、解答题七、解答题八、解答题九、解答题24. 1995年联合国教科文组织宣布每年的4月23日为世界读书日,主旨宣言为“希望散居在全球各地的人们,都能享受阅读带来的乐趣,都能尊重和感谢为人类文明作出巨大贡献的文学、文化、科学思想的大师们,都能保护知识产权.”为了解大学生课外阅读情况,现从某高校随机抽取100名学生,将他们一年课外阅读量(单位:本)的数据,分成7组,,…,,并整理得到如图频率分布直方图:(1)求其中阅读量小于60本的人数;(2)已知阅读量在,,内的学生人数比为2:3:5.为了解学生阅读课外书的情况,现从阅读量在内的学生中随机选取3人进行调查座谈,用表示所选学生阅读量在内的人数,求的分布列和数学期望;(3)假设同一组中的每个数据可用该组区间的中点值代替,试估计100名学生该年课外阅读量的平均数在第几组(只需写出结论).25. 已知.(1)求不等式的解集;(2)令的最小值为,若正数满足,证明:.26. 如图,在四棱锥P A BCD 中,PA ⊥平面ABCD ,底面ABCD 为菱形,E 为CD的中点.(1)求证:BD ⊥平面PAC ;(2)若∠ABC =60°,求证:平面PAB ⊥平面PAE .27. 在一次猜灯速的活动中,共有20道灯谜,甲同学知晓其中16道灯谜的谜底,乙同学知晓其中12道灯谜的谜底,两名同学之间独立竞猜,假设猜对每道灯谜都是等可能的.(1)任选一道灯谜,求甲和乙各自猜对的概率;(2)任选一道灯谜,求甲和乙至少一人猜对的概率.28.已知等比数列的前n 项和为,,.(1)求;(2)若数列的前n项和为,,且,试写出满足上述条件的数列的一个通项公式,并说明理由.。
山东普通高中会考数学真题及答案A一、选择题(每小题3分,共75分)1.(3分)已知集合A={0,1},B={﹣1,1,3},那么A∩B等于()A.{0} B.{1} C.{0,1} D.{0,1,3} 2.(3分)平面向量,满足=2,如果=(1,2),那么等于()A.(﹣2,﹣4)B.(﹣2,4)C.(2,﹣4)D.(2,4)3.(3分)如果直线y=kx﹣1与直线y=3x平行,那么实数k的值为()A.﹣1 B.C.D.34.(3分)如图,给出了奇函数f(x)的局部图象,那么f(1)等于()A.﹣4 B.﹣2 C.2 D.45.(3分)如果函数f(x)=a x(a>0,且a≠1)的图象经过点(2,9),那么实数a等于()A.2 B.36.(3分)某中学现有学生1800人,其中初中学生1200人,高中学生600人.为了解学生在“阅读节”活动中的参与情况,决定采用分层抽样的方法从全校学生中抽取一个容量为180的样本,那么应从高中学生中抽取的人数为()A.60 B.90 C.100 D.110(3分)已知直线l经过点O(0,0),且与直线x﹣y﹣3=0垂直,那么直线l的方程是()7.A.x+y﹣3=0 B.x﹣y+3=0 C.x+y=0 D.x﹣y=0 8.(3分)如图,在矩形ABCD中,E为CD中点,那么向量等于()A.B.C.D.9.(3分)实数的值等于()A.1 B.2 C.3 D.410.(3分)函数y=x2,y=x3,,y=lgx中,在区间(0,+∞)上为减函数的是()A.y=x2B.y=x3C.D.y=lgx11.(3分)某次抽奖活动共设置一等奖、二等奖两类奖项.已知中一等奖的概率为0.1,中二等奖的概率为0.1,那么本次活动中,中奖的概率为()A.0.1 B.0.2 C.0.3 D.0.712.(3分)如果正△ABC的边长为1,那么•等于()A.B.C.1 D.213.(3分)在△ABC中,角A,B,C所对的边分别为a,b,c,如果a=10,A=45°,B=30°,那么b等于()A.B.C.D.14.(3分)已知圆C:x2+y2﹣2x=0,那么圆心C到坐标原点O的距离是()A.B.C.1 D.15.(3分)如图,在四棱柱ABCD﹣A1B1C1D1中,底面ABCD是正方形,A1A⊥底面ABCD,A1A=2,AB =1,那么该四棱柱的体积为()A.1 B.2 C.4 D.816.(3分)函数f(x)=x3﹣5的零点所在的区间是()A.(1,2)B.(2,3)C.(3,4)D.(4,5)17.(3分)在sin50°,﹣sin50°,sin40°,﹣sin40°四个数中,与sin130°相等的是()A.sin50°B.﹣sin50°C.sin40°D.﹣sin40°18.(3分)把函数y=sin x的图象向右平移个单位得到y=g(x)的图象,再把y=g(x)图象上所有点的纵坐标伸长到原来的2倍(横坐标不变),所得到图象的解析式为()A.B.C.D.19.(3分)函数的最小值是()A.﹣1 B.0 C.1 D.220.(3分)在空间中,给出下列四个命题:①平行于同一个平面的两条直线互相平行;②垂直于同一个平面的两条直线互相平行;③平行于同一条直线的两个平面互相平行;④垂直于同一个平面的两个平面互相平行.其中正确命题的序号是()A.①B.②C.③D.④21.(3分)北京市环境保护监测中心每月向公众公布北京市各区域的空气质量状况.2018年1月份各区域的PM2.5浓度情况如表:各区域1月份PM2.5浓度(单位:微克/立方米)表区域PM2.5浓度区域PM2.5浓度区域PM2.5浓度怀柔27 海淀34 平谷40密云31 延庆35 丰台42门头沟32 西城35 大兴46顺义32 东城36 开发区46昌平32 石景山37 房山47朝阳34 通州39从上述表格随机选择一个区域,其2018年1月份PM2.5的浓度小于36微克/立方米的概率是()A.B.C.D.22.(3分)已知,那么=()A.B.C.D.23.(3分)在△ABC中,角A,B,C所对的边分别为a,b,c,如果,那么△ABC的最大内角的余弦值为()A.B.C.D.24.(3分)北京故宫博物院成立于1925年10月10日,是在明、清朝两代皇宫及其宫廷收藏的基础上建立起来的中国综合性博物馆,每年吸引着大批游客参观游览.下图是从2012年到2017年每年参观人数的折线图.根据图中信息,下列结论中正确的是()A.2013年以来,每年参观总人次逐年递增B.2014年比2013年增加的参观人次不超过50万C.2012年到2017年这六年间,2017年参观总人次最多D.2012年到2017年这六年间,平均每年参观总人次超过160万25.(3分)阅读下面题目及其证明过程,在横线处应填写的正确结论是()如图,在三棱锥P﹣ABC中,平面PAC⊥平面ABC,BC⊥AC求证:BC⊥PA证明:因为平面PAC⊥平面ABC平面PAC∩平面ABC=ACBC⊥AC,BC⊂平面ABC所以______.因为PA⊂平面PAC.所以BC⊥PAA.AB⊥底面PAC B.AC⊥底面PBC C.BC⊥底面PAC D.AB⊥底面PBC 二、解答题(共4小题,满分25分)26.(7分)已知函数(Ⅰ)A=;(将结果直接填写在答题卡的相应位置上)(Ⅱ)函数f(x)的最小正周期T=(将结果直接填写在答题卡的相应位置上)(Ⅲ)求函数f(x)的最小值及相应的x的值.27.(7分)如图,在三棱锥P﹣ABC中,PA⊥底面ABC,AB⊥BC,D,E,分别为PB,PC的中点.(Ⅰ)求证:BC∥平面ADE;(Ⅱ)求证:BC⊥平面PAB.28.(6分)已知圆O:x2+y2=r2(r>0)经过点A(0,5),与x轴正半轴交于点B.(Ⅰ)r=;(将结果直接填写在答题卡的相应位置上)(Ⅱ)圆O上是否存在点P,使得△PAB的面积为15?若存在,求出点P的坐标;若不存在,说明理由.29.(5分)种植于道路两侧、为车辆和行人遮阴并构成街景的乔木称为行道树.为确保行人、车辆和临近道路附属设施安全,树木与原有电力线之间的距离不能超出安全距离.按照北京市《行道树修剪规范》要求,当树木与原有电力线发生矛盾时,应及时修剪树枝.《行道树修剪规范》中规定,树木与原有电力线的安全距离如表所示:树木与电力线的安全距离表电力线安全距离(单位:m)水平距离垂直距离≤1KV≥1 ≥13KV~10KV≥3 ≥335KV~110KV≥3.5 ≥4154KV~220KV≥4 ≥4.5 330KV≥5 ≥5.5500KV≥7 ≥7现有某棵行道树已经自然生长2年,高度为2m.据研究,这种行道树自然生长的时间x(年)与它的高度y(m)满足关系式(Ⅰ)r=;(将结果直接填写在答题卡的相应位置上)(Ⅱ)如果这棵行道树的正上方有35kV的电力线,该电力线距地面20m.那么这棵行道树自然生长多少年必须修剪?(Ⅲ)假如这棵行道树的正上方有500kV的电力线,这棵行道树一直自然生长,始终不会影响电力线段安全,那么该电力线距离地面至少多少m?参考答案与解析一、选择题(每小题3分,共75分)1.(3分)已知集合A={0,1},B={﹣1,1,3},那么A∩B等于()A.{0} B.{1} C.{0,1} D.{0,1,3}【考点】1E:交集及其运算.菁优网版权所有【专题】11:计算题;37:集合思想;4O:定义法;5J:集合.【分析】利用交集定义直接求解.【解答】解:∵集合A={0,1},B={﹣1,1,3},∴A∩B={1}.故选:B.【点评】本题考查交集的求法,考查交集定义、不等式等基础知识,考查运算求解能力,是基础题.2.(3分)平面向量,满足=2,如果=(1,2),那么等于()A.(﹣2,﹣4)B.(﹣2,4)C.(2,﹣4)D.(2,4)【考点】96:平行向量(共线).菁优网版权所有【专题】11:计算题;34:方程思想;4O:定义法;5A:平面向量及应用.【分析】利用数乘向量运算法则直接求解.【解答】解:∵平面向量,满足=2,=(1,2),∴=2(1,2)=(2,4).故选:D.【点评】本题考查向量的求法,考查数乘向量运算法则等基础知识,考查运算求解能力,是基础题.3.(3分)如果直线y=kx﹣1与直线y=3x平行,那么实数k的值为()A.﹣1 B.C.D.3【考点】II:直线的一般式方程与直线的平行关系.菁优网版权所有【专题】11:计算题;34:方程思想;4O:定义法;5B:直线与圆.【分析】利用两条直线相互平行的充要条件即可得出.【解答】解:∵直线y=kx﹣1与直线y=3x平行,∴k=3,经过验证满足两条直线平行.故选:D.【点评】本题考查了两条直线相互平行的充要条件,考查了推理能力与计算能力,属于基础题.4.(3分)如图,给出了奇函数f(x)的局部图象,那么f(1)等于()A.﹣4 B.﹣2 C.2 D.4【考点】3K:函数奇偶性的性质与判断.菁优网版权所有【专题】11:计算题;34:方程思想;35:转化思想;51:函数的性质及应用.【分析】根据题意,由函数的图象可得f(﹣1)的值,结合函数的奇偶性可得f(1)的值,即可得答案.【解答】解:根据题意,由函数的图象可得f(﹣1)=2,又由函数为奇函数,则f(1)=﹣f(﹣1)=﹣2,故选:B.【点评】本题考查函数的奇偶性的性质,关键是掌握函数单调性的性质,属于基础题.5.(3分)如果函数f(x)=a x(a>0,且a≠1)的图象经过点(2,9),那么实数a等于()A.2 B.3【考点】4B:指数函数的单调性与特殊点.菁优网版权所有【专题】38:对应思想;4R:转化法;51:函数的性质及应用.【分析】由题意代入点的坐标,即可求出a的值.【解答】解:指数函数f(x)=a x(a>0,a≠1)的图象经过点(2,9),∴9=a2,解得a=3,故选:B.【点评】本题考查了指数函数的图象和性质,属于基础题.6.(3分)某中学现有学生1800人,其中初中学生1200人,高中学生600人.为了解学生在“阅读节”活动中的参与情况,决定采用分层抽样的方法从全校学生中抽取一个容量为180的样本,那么应从高中学生中抽取的人数为()A.60 B.90 C.100 D.110【考点】B3:分层抽样方法.菁优网版权所有【专题】11:计算题;38:对应思想;4O:定义法;5I:概率与统计.【分析】根据分层抽样的定义和题意知,抽样比例是,根据样本的人数求出应抽取的人数【解答】解:根据分层抽样的定义和题意,则高中学生中抽取的人数 600×=60(人).故选:A.【点评】本题的考点是分层抽样方法,根据样本结构和总体结构保持一致,求出抽样比,再求出在所求的层中抽取的个体数目.(3分)已知直线l经过点O(0,0),且与直线x﹣y﹣3=0垂直,那么直线l的方程是()7.A.x+y﹣3=0 B.x﹣y+3=0 C.x+y=0 D.x﹣y=0【考点】IJ:直线的一般式方程与直线的垂直关系.菁优网版权所有【专题】11:计算题;34:方程思想;4O:定义法;5B:直线与圆.【分析】由题意可求出直线l的斜率,由点斜式写出直线方程化简即可.【解答】解:∵直线l与直线x﹣y﹣3=0垂直,∴直线l的斜率为﹣1,则y﹣0=﹣(x﹣0),即x+y=0故选:C.【点评】本题考查了直线方程的求法,属于基础题.8.(3分)如图,在矩形ABCD中,E为CD中点,那么向量等于()A.B.C.D.【考点】9H:平面向量的基本定理.菁优网版权所有【专题】35:转化思想;5A:平面向量及应用.【分析】直接利用向量的线性运算求出结果.【解答】解:在矩形ABCD中,E为CD中点,所以:,则:=.故选:A.【点评】本题考查的知识要点:向量的线性运算的应用,主要考查学生的运算能力和转化能力,属于基础题型.9.(3分)实数的值等于()A.1 B.2 C.3 D.4【考点】41:有理数指数幂及根式;4H:对数的运算性质.菁优网版权所有【专题】33:函数思想;4A:数学模型法;51:函数的性质及应用.【分析】直接利用有理指数幂及对数的运算性质求解即可.【解答】解:=2+0=2.故选:B.【点评】本题考查了有理指数幂及对数的运算性质,是基础题.10.(3分)函数y=x2,y=x3,,y=lgx中,在区间(0,+∞)上为减函数的是()A.y=x2B.y=x3C.D.y=lgx【考点】3E:函数单调性的性质与判断.菁优网版权所有【专题】11:计算题;34:方程思想;35:转化思想;51:函数的性质及应用.【分析】根据题意,依次分析4个函数在区间(0,+∞)的单调性,综合即可得答案.【解答】解:根据题意,函数y=x2,为二次函数,在区间(0,+∞)为增函数;y=x3,为幂函数,在区间(0,+∞)为增函数;,为指数函数,在区间(0,+∞)上为减函数;y=lgx中,在区间(0,+∞)为增函数;故选:C.【点评】本题考查函数单调性的判定,关键是掌握常见函数的单调性,属于基础题.11.(3分)某次抽奖活动共设置一等奖、二等奖两类奖项.已知中一等奖的概率为0.1,中二等奖的概率为0.1,那么本次活动中,中奖的概率为()A.0.1 B.0.2 C.0.3 D.0.7【考点】C2:概率及其性质.菁优网版权所有【专题】38:对应思想;4R:转化法;5I:概率与统计.【分析】根据互斥事件概率加法公式即可得到其发生的概率的大小.【解答】解:由于中一等奖,中二等奖,为互斥事件,故中奖的概率为0.1+0.1=0.2,故选:B.【点评】此题考查概率加法公式及互斥事件,是一道基础题.12.(3分)如果正△ABC的边长为1,那么•等于()A.B.C.1 D.2【考点】9O:平面向量数量积的性质及其运算.菁优网版权所有【专题】38:对应思想;4R:转化法;5A:平面向量及应用.【分析】根据向量的数量积的运算性质计算即可.【解答】解:∵正△ABC的边长为1,∴•=||•||cos A=1×1×cos60°=,故选:B.【点评】本题考查了向量的数量积的运算,是一道基础题.13.(3分)在△ABC中,角A,B,C所对的边分别为a,b,c,如果a=10,A=45°,B=30°,那么b等于()A.B.C.D.【考点】HP:正弦定理.菁优网版权所有【专题】38:对应思想;4R:转化法;58:解三角形.【分析】根据正弦定理直接代入求值即可.【解答】解:由正弦定理==,得=,解得:b=5,故选:B.【点评】本题考查了正弦定理的应用,考查解三角形问题,是一道基础题.14.(3分)已知圆C:x2+y2﹣2x=0,那么圆心C到坐标原点O的距离是()A.B.C.1 D.【考点】J2:圆的一般方程.菁优网版权所有【专题】11:计算题;34:方程思想;35:转化思想;5B:直线与圆.【分析】根据题意,由圆的一般方程分析可得圆心C的坐标,进而由两点间距离公式,计算可得答案.【解答】解:根据题意,圆C:x2+y2﹣2x=0,其圆心C为(1,0),则圆心C到坐标原点O的距离d==1;故选:C.【点评】本题考查圆的一般方程,涉及两点间距离公式,属于基础题.15.(3分)如图,在四棱柱ABCD﹣A1B1C1D1中,底面ABCD是正方形,A1A⊥底面ABCD,A1A=2,AB =1,那么该四棱柱的体积为()A.1 B.2 C.4 D.8【考点】LF:棱柱、棱锥、棱台的体积.菁优网版权所有【专题】11:计算题;31:数形结合;4O:定义法;5F:空间位置关系与距离.【分析】该四棱柱的体积为V=S正方形ABCD×AA1,由此能求出结果.【解答】解:∵在四棱柱ABCD﹣A1B1C1D1中,底面ABCD是正方形,A1A⊥底面ABCD,A1A=2,AB=1,∴该四棱柱的体积为V=S正方形ABCD×AA1=12×2=2.故选:B.【点评】本题考查该四棱柱的体积的求法,考查四棱柱的性质等基础知识,考查运算求解能力,是基础题.16.(3分)函数f(x)=x3﹣5的零点所在的区间是()A.(1,2)B.(2,3)C.(3,4)D.(4,5)【考点】52:函数零点的判定定理.菁优网版权所有【专题】11:计算题;34:方程思想;35:转化思想;49:综合法;51:函数的性质及应用.【分析】求得f(1)f(2)<0,根据函数零点的判定定理可得函数f(x)的零点所在的区间.【解答】解:由函数f(x)=x3﹣5可得f(1)=1﹣5=﹣4<0,f(2)=8﹣5=3>0, 故有f(1)f(2)<0,根据函数零点的判定定理可得,函数f(x)的零点所在区间为(1,2),故选:A.【点评】本题主要考查函数的零点的判定定理的应用,属于基本知识的考查.17.(3分)在sin50°,﹣sin50°,sin40°,﹣sin40°四个数中,与sin130°相等的是()A.sin50°B.﹣sin50°C.sin40°D.﹣sin40°【考点】GF:三角函数的恒等变换及化简求值.菁优网版权所有【专题】35:转化思想;56:三角函数的求值.【分析】利用诱导公式化简可得答案.【解答】解:由sin130°=sin(180°﹣50°)=sin50°.∴与sin130°相等的是sin50°故选:A.【点评】题主要考察了诱导公式的应用,属于基本知识的考查.18.(3分)把函数y=sin x的图象向右平移个单位得到y=g(x)的图象,再把y=g(x)图象上所有点的纵坐标伸长到原来的2倍(横坐标不变),所得到图象的解析式为()A.B.C.D.【考点】HJ:函数y=Asin(ωx+φ)的图象变换.菁优网版权所有【专题】35:转化思想;49:综合法;57:三角函数的图象与性质.【分析】由题意利用函数y=A sin(ωx+φ)的图象变换规律,得出结论.【解答】解:把函数y=sin x的图象向右平移个单位得到y=g(x)=sin(x﹣)的图象,再把y=g(x)图象上所有点的纵坐标伸长到原来的2倍(横坐标不变),所得到图象的解析式为y=2sin(x﹣),故选:A.【点评】本题主要考查函数y=A sin(ωx+φ)的图象变换规律,属于基础题.19.(3分)函数的最小值是()A.﹣1 B.0 C.1 D.2【考点】3H:函数的最值及其几何意义.菁优网版权所有【专题】33:函数思想;48:分析法;51:函数的性质及应用.【分析】分别讨论两段函数的单调性和最值,即可得到所求最小值.【解答】解:当x>﹣1时,f(x)=x2的最小值为f(0)=0;当x≤﹣1时,f(x)=﹣x递减,可得f(x)≥1,综上可得函数f(x)的最小值为0.故选:B.【点评】本题考查分段函数的最值求法,注意分析各段的单调性和最值,考查运算能力,属于基础题.20.(3分)在空间中,给出下列四个命题:①平行于同一个平面的两条直线互相平行;②垂直于同一个平面的两条直线互相平行;③平行于同一条直线的两个平面互相平行;④垂直于同一个平面的两个平面互相平行.其中正确命题的序号是()A.①B.②C.③D.④【考点】2K:命题的真假判断与应用.菁优网版权所有【专题】38:对应思想;48:分析法;5F:空间位置关系与距离.【分析】由线面平行的性质可判断①;由线面垂直的性质定理可判断②;由两个平面的位置关系可判断③;由面面平行的判定定理可判断④.【解答】解;对于①,平行于同一个平面的两条直线互相平行或相交或异面,故①错误;对于②,垂直于同一个平面的两条直线互相平行,故②正确;对于③,平行于同一条直线的两个平面互相平行或相交,故③错误;对于④,垂直于同一个平面的两个平面互相平行或相交,故④错误.故选:B.【点评】本题考查空间线线和面面的位置关系的判断,考查平行和垂直的判断和性质定理的运用,属于基础题.21.(3分)北京市环境保护监测中心每月向公众公布北京市各区域的空气质量状况.2018年1月份各区域的PM2.5浓度情况如表:各区域1月份PM2.5浓度(单位:微克/立方米)表区域PM2.5浓度区域PM2.5浓度区域PM2.5浓度怀柔27 海淀34 平谷40密云31 延庆35 丰台42门头沟32 西城35 大兴46顺义32 东城36 开发区46昌平32 石景山37 房山47朝阳34 通州39从上述表格随机选择一个区域,其2018年1月份PM2.5的浓度小于36微克/立方米的概率是()A.B.C.D.【考点】CB:古典概型及其概率计算公式.菁优网版权所有【专题】11:计算题;38:对应思想;4O:定义法;5I:概率与统计.【分析】由表可知从上述表格随机选择一个区域,共有17种情况,其中2018年1月份PM2.5的浓度小于36微克/立方米的地区有9个,根据概率公式计算即可.【解答】解:从上述表格随机选择一个区域,共有17种情况,其中2018年1月份PM2.5的浓度小于36微克/立方米的地区有9个,则2018年1月份PM2.5的浓度小于36微克/立方米的概率是,故选:D.【点评】本题主要考查频率分布表、古典概型、统计等基础知识,考查数据处理能力、运算求解能力以及应用意识,考查必然与或然思想等22.(3分)已知,那么=()A.B.C.D.【考点】GP:两角和与差的三角函数.菁优网版权所有【专题】35:转化思想;36:整体思想;56:三角函数的求值.【分析】直接利用同角三角函数关系式的应用求出结果.【解答】解:知,那么,则:=sin==, 故选:D.【点评】本题考查的知识要点:三角函数关系式的恒等变变换,主要考查学生的运算能力和转化能力,属于基础题型.23.(3分)在△ABC中,角A,B,C所对的边分别为a,b,c,如果,那么△ABC的最大内角的余弦值为()A.B.C.D.【考点】HR:余弦定理.菁优网版权所有【专题】38:对应思想;4O:定义法;58:解三角形.【分析】先判断△ABC的最大内角为A,再利用余弦定理计算cos A的值.【解答】解:△ABC中,,∴△ABC的最大内角为A,且cos A===.故选:A.【点评】本题考查了余弦定理的应用问题,是基础题.24.(3分)北京故宫博物院成立于1925年10月10日,是在明、清朝两代皇宫及其宫廷收藏的基础上建立起来的中国综合性博物馆,每年吸引着大批游客参观游览.下图是从2012年到2017年每年参观人数的折线图.根据图中信息,下列结论中正确的是()A.2013年以来,每年参观总人次逐年递增B.2014年比2013年增加的参观人次不超过50万C.2012年到2017年这六年间,2017年参观总人次最多D.2012年到2017年这六年间,平均每年参观总人次超过160万【考点】F4:进行简单的合情推理.菁优网版权所有【专题】11:计算题;31:数形结合;44:数形结合法;5I:概率与统计.【分析】由从2012年到2017年每年参观人数的折线图,得2012年到2017年这六年间,2017年参观总人次最多.【解答】解:由从2012年到2017年每年参观人数的折线图,得:在A中,2013年以来,2015年参观总人次比2014年参观人次少,故A错误;在B中,2014年比2013年增加的参观人次超过50万,故B错误;在C中,2012年到2017年这六年间,2017年参观总人次最多,故C正确;在D中,2012年到2017年这六年间,平均每年参观总人次不超过160万,故D错误.【点评】本题考查命题真假的判断,考查折线图的应用,考查运算求解能力,考查数形结合思想,是基础题.25.(3分)阅读下面题目及其证明过程,在横线处应填写的正确结论是()如图,在三棱锥P﹣ABC中,平面PAC⊥平面ABC,BC⊥AC求证:BC⊥PA证明:因为平面PAC⊥平面ABC平面PAC∩平面ABC=ACBC⊥AC,BC⊂平面ABC所以______.因为PA⊂平面PAC.所以BC⊥PAA.AB⊥底面PAC B.AC⊥底面PBC C.BC⊥底面PAC D.AB⊥底面PBC 【考点】LW:直线与平面垂直.菁优网版权所有【专题】38:对应思想;4R:转化法;5F:空间位置关系与距离.【分析】根据面面垂直的性质定理判断即可.【解答】解:根据面面垂直的性质定理判定得:BC⊥底面PAC,故选:C.【点评】本题考查了面面垂直的性质定理,考查数形结合思想,是一道基础题.二、解答题(共4小题,满分25分)26.(7分)已知函数(Ⅰ)A= 2 ;(将结果直接填写在答题卡的相应位置上)(Ⅱ)函数f(x)的最小正周期T=2π(将结果直接填写在答题卡的相应位置上)(Ⅲ)求函数f(x)的最小值及相应的x的值.【考点】HW:三角函数的最值.菁优网版权所有【专题】33:函数思想;4O:定义法;57:三角函数的图象与性质.【分析】(Ⅰ)由f(0)=1求得A的值;(Ⅱ)由正弦函数的周期性求得f(x)的最小正周期;(Ⅲ)由正弦函数的图象与性质求得f(x)的最小值以及对应x的值.【解答】解:(Ⅰ)函数由f(0)=A sin=A=1,解得A=2;(Ⅱ)函数f(x)=2sin(x+),∴f(x)的最小正周期为T=2π;(Ⅲ)令x+=2kπ﹣,k∈Z;x=2kπ﹣,k∈Z;此时函数f(x)取得最小值为﹣2.故答案为:(Ⅰ)2,(Ⅱ)2π.【点评】本题考查了正弦函数的图象与性质的应用问题,是基础题.27.(7分)如图,在三棱锥P﹣ABC中,PA⊥底面ABC,AB⊥BC,D,E,分别为PB,PC的中点.(Ⅰ)求证:BC∥平面ADE;(Ⅱ)求证:BC⊥平面PAB.【考点】LS:直线与平面平行;LW:直线与平面垂直.菁优网版权所有【专题】14:证明题;31:数形结合;49:综合法;5F:空间位置关系与距离.【分析】(Ⅰ)由D、E分别为PB、PC的中点,得DE∥BC,由此能证明BC∥平面ADE.(Ⅱ)推导出PA⊥BC,AB⊥BC,由此能证明BC⊥平面PAB.【解答】证明:(Ⅰ)在△PBC中,∵D、E分别为PB、PC的中点,∴DE∥BC,∵BC⊄平面ADE,DE⊂平面ADE,∴BC∥平面ADE.(Ⅱ)∵PA⊥平面ABC,BC⊂平面ABC,∴PA⊥BC,∵AB⊥BC,PA∩AB=A,∴BC⊥平面PAB.【点评】本题考查线面平行、线面垂直的证明,考查空间中线线、线面、面面间的位置关系等基础知识,考查运算求解能力,考查数形结合思想,是中档题.28.(6分)已知圆O:x2+y2=r2(r>0)经过点A(0,5),与x轴正半轴交于点B.(Ⅰ)r= 5 ;(将结果直接填写在答题卡的相应位置上)(Ⅱ)圆O上是否存在点P,使得△PAB的面积为15?若存在,求出点P的坐标;若不存在,说明理由.【考点】J9:直线与圆的位置关系.菁优网版权所有【专题】34:方程思想;4R:转化法;5B:直线与圆.【分析】(Ⅰ)直接由已知条件可得r;(Ⅱ)存在.由(Ⅰ)可得圆O的方程为:x2+y2=25,依题意,A(0,5),B(5,0),求出|AB|=,直线AB的方程为x+y﹣5=0,又由△PAB的面积,可得点P到直线AB的距离为,设点P(x0,y0),解得x0+y0=﹣1或x0+y0=11(显然此时点P不在圆上,故舍去),联立方程组,求解即可得答案.【解答】解:(Ⅰ)r=5;(Ⅱ)存在.∵r=5,∴圆O的方程为:x2+y2=25.依题意,A(0,5),B(5,0),∴|AB|=,直线AB的方程为x+y﹣5=0,又∵△PAB的面积为15,∴点P到直线AB的距离为,设点P(x0,y0),∴,解得x0+y0=﹣1或x0+y0=11(显然此时点P不在圆上,故舍去),联立方程组,解得或.∴存在点P(﹣4,3)或P(3,﹣4)满足题意.【点评】本题考查直线与圆的位置关系,考查点到直线的距离公式,是中档题.29.(5分)种植于道路两侧、为车辆和行人遮阴并构成街景的乔木称为行道树.为确保行人、车辆和临近道路附属设施安全,树木与原有电力线之间的距离不能超出安全距离.按照北京市《行道树修剪规范》要求,当树木与原有电力线发生矛盾时,应及时修剪树枝.《行道树修剪规范》中规定,树木与原有电力线的安全距离如表所示:树木与电力线的安全距离表电力线安全距离(单位:m)水平距离垂直距离≤1KV≥1 ≥13KV~10KV≥3 ≥335KV~110KV≥3.5 ≥4154KV~220KV≥4 ≥4.5330KV≥5 ≥5.5500KV≥7 ≥7现有某棵行道树已经自然生长2年,高度为2m.据研究,这种行道树自然生长的时间x(年)与它的高度y(m)满足关系式(Ⅰ)r=;(将结果直接填写在答题卡的相应位置上)(Ⅱ)如果这棵行道树的正上方有35kV的电力线,该电力线距地面20m.那么这棵行道树自然生长多少年必须修剪?(Ⅲ)假如这棵行道树的正上方有500kV的电力线,这棵行道树一直自然生长,始终不会影响电力线段安全,那么该电力线距离地面至少多少m?【考点】5C:根据实际问题选择函数类型.菁优网版权所有【专题】11:计算题;33:函数思想;4A:数学模型法;51:函数的性质及应用.【分析】(Ⅰ)将x=2,y=2代入计算即可,(Ⅱ)函数解析式为y=,令y=20﹣4=16,解得x=10,问题得以解决, (Ⅲ)根据指数函数的性质可得y=<30,问题得以解决【解答】解:(Ⅰ)r=,故答案为:(Ⅱ)根据题意,该树木的高度为16米时需要及时修剪这颗行道数,函数解析式为y=,令y=20﹣4=16,解得x=10,故这棵行道树自然生长10年必须修剪;(Ⅲ)因为>0,所以1+28×>1,所以y=<30,所以该电力线距离地面至少37米,这这棵行道树一直自然生长,始终不会影响电力线段安全.【点评】本题考查了函数在实际生活中的应用,考查了分析问题解决问题的能力,属于中档题.声明:试题解析著作权属菁优网所有,未经书面同意,不得复制发布日期:2019/7/25 12:12:34;用户:qgjyuser10448;邮箱:qgjyuser10448.21957750;学号:21985455。
山东高二高中数学水平会考班级:___________ 姓名:___________ 分数:___________一、选择题1.若,则一定成立的不等式是A.B.C.D.2.等差数列中,若,则等于A.3B.4C.5D.63.在中,a=15,b=10,A=60°,则=A.B.C.D.4.等差数列{}的公差不为零,首项=1,是和的等比中项,则数列的前10项之和是A.90B.100C.145D.1905.在中,角A、B、C所对应的边分别为a、b、c,若角A、B、C依次成等差数列,且a=1,等于A. B. C. D.26.不等式的解集为,不等式的解集为,不等式的解集是,那么等于A.-3B.1C.-1D.37.已知两个正数、的等差中项是5,则、的等比中项的最大值为A. 10B. 25 C 50 D. 1008.已知圆的半径为4,为该圆的内接三角形的三边,若,则三角形的面积为A.B.C.D.9.当时,不等式恒成立,则的最大值和最小值分别为A.2,-1B.不存在,2C.2,不存在D.-2,不存在10.已知x、y满足约束条件则目标函数z=(x+1)2+(y-1)2的最大值是A.10B.90C.D.211.已知等比数列满足,且,则当时,A.B.C.D.12.已知方程的四个实根组成以为首项的等差数列,则A.2 C. D.二、填空题1.等差数列的前项和为,若,则2.若关于x的不等式的解集为,则实数a的取值范围是3.设等比数列的公比,前项和为,则4.在中,角的对边分别是,已知,则的形状是三角形.三、解答题1.已知集合,(Ⅰ)当时,求(Ⅱ)若,求实数的取值范围.2.在△ABC中,角A、B、C的对边分别为a、b、c,且(Ⅰ)求角A的大小;(Ⅱ)若,求△ABC的面积.3.如图,海中小岛A周围40海里内有暗礁,一船正在向南航行,在B处测得小岛A在船的南偏东30°,航行30海里后,在C处测得小岛在船的南偏东45°,如果此船不改变航向,继续向南航行,问有无触礁的危险?4.已知点(1,2)是函数的图象上一点,数列的前项和.(Ⅰ)求数列的通项公式(Ⅱ)若,求数列的前项和.5.运货卡车以每小时x千米的速度匀速行驶130千米(50≤x≤100)(单位:千米/小时).假设汽油的价格是每升2元,而汽车每小时耗油(2+)升,司机的工资是每小时14元(Ⅰ)求这次行车总费用y关于x的表达式(Ⅱ)当x为何值时,这次行车的总费用最低,并求出最低费用的值6.已知数列中,,,(Ⅰ)证明数列是等比数列,并求出数列的通项公式(Ⅱ)记,数列的前项和为,求使的的最小值山东高二高中数学水平会考答案及解析一、选择题1.若,则一定成立的不等式是A.B.C.D.【答案】C【解析】本题考查的是不等式的性质。
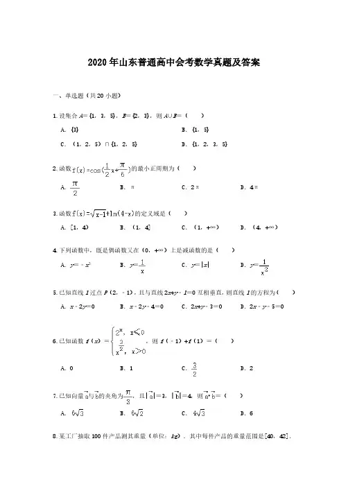
2020年山东普通高中会考数学真题及答案一、单选题(共20小题)1.设集合A={1,3,5},B={2,3},则A∪B=( )A.{3} B.{1,5}C.(1,2,5)∩{1,2,5} D.{1,2,3,5}2.函数的最小正周期为( )A.B.πC.2πD.4π3.函数的定义域是( )A.[1,4)B.(1,4] C.(1,+∞)D.(4,+∞)4.下列函数中,既是偶函数又在(0,+∞)上是减函数的是( )A.y=﹣x3B.y=C.y=|x| D.y=5.已知直线l过点P(2,﹣1),且与直线2x+y﹣l=0互相垂直,则直线l的方程为( )A.x﹣2y=0 B.x﹣2y﹣4=0 C.2x+y﹣3=0 D.2x﹣y﹣5=0 6.已知函数f(x)=,则f(﹣1)+f(1)=( )A.0 B.1 C.D.27.已知向量与的夹角为,且||=3,||=4,则•=( )A.B.C.D.68.某工厂抽取100件产品测其重量(单位:kg).其中每件产品的重量范围是[40,42].数据的分组依据依次为[40,40,5),[40,5,41),[41,41,5),[41,5,42),据此绘制出如图所示的频率分布直方图,则重量在[40,41)内的产品件数为( )A.30 B.40 C.60 D.809.sin 110° cos40°﹣cos70°•sin40°=( )A.B.C.﹣D.﹣10.在平行四边形ABCD中,+﹣=( )A.B.C.D.11.某产品的销售额y(单位:万元)与月份x的统计数据如表.用最小二乘法求出y关于x的线性回归方程为=7x+,则实数=( )x 3 4 5 6y25 30 40 45A.3 B.3.5 C.4 D.10.512.下列结论正确的是( )A.若a<b,则a3<b3B.若a>b,则2a<2bC.若a<b,则a2<b2D.若a>b,则lna>lnb13.圆心为M(1,3),且与直线3x﹣4y﹣6=0相切的圆的方程是( )A.(x﹣1)2+(y﹣3)2=9 B.(x﹣1)2+(y﹣3)2=3C.(x+1)2+(y+3)2=9 D.(x+1)2+(y+3)2=314.已知袋中有大小、形状完全相同的5张红色、2张蓝色卡片,从中任取3张卡片,则下列判断不正确的是( )A.事件“都是红色卡片”是随机事件B.事件“都是蓝色卡片”是不可能事件C.事件“至少有一张蓝色卡片”是必然事件D.事件“有1张红色卡片和2张蓝色卡片”是随机事件15.若直线(a﹣1)x﹣2y+1=0与直线x﹣ay+1=0垂直,则实数a=( )A.﹣1或2 B.﹣1 C.D.316.将函数y=sin x的图象上所有的点的横坐标缩短到原来的倍(纵坐标不变),再将得到的图象向右平移个单位,得到的图象对应的函数解析式为( )A.y=sin(3x﹣)B.y=sin(3x﹣)C.y=sin(x﹣)D.y=sin(x﹣)17.3名同学各自在周六、周日两天中任选一天参加公益活动,则周六、周日都有同学参加公益活动的概率为( )A.B.C.D.18.如图,在正方体ABCD﹣A1B1C1D1中,下列判断正确的是( )A.A1D⊥C1C B.BD1⊥AD C.A1D⊥AC D.BD1 ⊥AC19.已知向量,不共线,若=+2,=﹣3+7,=4﹣5,则( )A.A,B,C三点共线B.A,B,D三点共线C.A,C,D三点共线D.B,C,D三点共线20.在三棱锥P﹣ABC中,PA,PB,PC两两垂直,且PA=1,PB=PC=2,则该三棱锥的外接球体的体积为( )A.B.C.9πD.36π二、填空题(共5小题)21.某校田径队共有男运动员45人,女运动员36人.若采用分层抽样的方法在全体运动员中抽取18人进行体质测试,则抽到的女运动员人数为 .22.已知α为第二象限角,若sinα=,则tanα的值为 ﹣ .23.已知圆锥底面半径为1,高为,则该圆锥的侧面积为 .24.已知函数f(x)=x2+x+a在区间(0,1)内有零点,则实数a的取值范围为 ﹣ .25.若P是圆C1:(x﹣4)2+(y﹣5)2=9上一动点,Q是圆C2:(x+2)2+(y+3)2=4上一动点,则|PQ|的最小值是 .三、解答题(共3小题)26.如图,在四棱锥P﹣ABCD中,四边形ABCD是平行四边形,E、F分别是AB、PC中点,求证:EF∥面PAD.27.在△ABC中,a,b,c分别是角A,B,C的对边,且a=6,cos B=.(1)若sin A=,求b的值;(2)若c=2,求b的值及△ABC的面积S.28.已知函数f(x)=ax+log3(9x+1)(a∈R)为偶函数.(1)求a的值;(2)当x∈[0,+∞)时,不等式f(x)﹣b≥0恒成立,求实数b的取值范围.2020年山东普通高中会考数学参考答案一、单选题(共20小题)1.选:D.2.选:D.3.选:A.4.选:D.5.选:B.6.选:C.7.选:D.8.选:B.9.选:A.10.选:B.11.选:D.12.选:A.13.选:A.14.选:C.【知识点】随机事件15.选:C.16.选:A.17.选:D.18.选:D.19.选:B.20.选:A.二、填空题(共5小题)21.答案为:8.22.答案为:.23.答案为:2π.24.答案为:(﹣2,0)25.答案为:5.三、解答题(共3小题)26.【解答】证明:取PD的中点G,连接FG、AG.因为PF=CF,PG=DG,所以FG∥CD,且FG=CD.又因为四边形ABCD是平行四边形,且E是AB的中点.所以AE∥CD,且AE=CD.所以FG∥AE,且FG=AE,所以四边形EFGA是平行四边形,所以EF∥AG.又因为EF⊄平面PAD,AG⊂平面PAD,所以EF∥平面PAD.27.【解答】解:(1)由cos B=可得sin B=,由正弦定理可得,,所以b===,(2)由余弦定理可得,cos B===,解可得,b=4,S===4.28.【解答】解:(1)根据题意可知f(x)=f(﹣x),即ax+log3(9x+1)=﹣ax+log3(9﹣x+1),整理得=﹣2ax,即﹣2ax==2x,解得a=﹣1;(2)由(1)可得f(x)=x+log3(9x+1),因为f(x)﹣b≥0对x∈[0,+∞)恒成立,即x+log3(9x+1)≥b对x∈[0,+∞)恒成立,因为函数g(x)=x+log3(9x+1)在[0,+∞)上是增函数,所以g(x)min=g(0)=log32,则b≤log32.。
湖北高一高中数学水平会考班级:___________ 姓名:___________ 分数:___________一、选择题1.成等比数列,其中则()A.B.C.D.或2.已知集合,,则( )A.B.C.D.3.已知平行四边形的三个顶点的坐标分别为,,,则顶点的坐标为( )A.(2,2)B.(-2,2)C.(2,-2)D.(-2,-2)4.远望灯塔高七层,红光点点倍加增,只见顶层灯一盏,请问共有几盏灯?答曰:( )A.64B.128C.63D.1275.在中则的值为()A.B.C.D.6.给出下列命题,其中正确的是( )A.若,则;B.若,则;C.若,则;D.若,则.7.某市环保局为增加城市的綠地面积,提出两个投资方案:方案A为一次性投资100万元;方案B为第一年投资10 万元,以后每年都比前一年增加10万元。
则按照方案B经过多少年后,总投入不少于方案A的投入。
答曰:( )A.4B.5C.9D.108.锐角使同时成立,则的值为( )A.B.C.D.9.已知,则( )A.B.C.D.二、填空题1.函数在区间上单调递减( )A.B.(-C.D.2.设等差数列的前n项和为已知则3.若,则4.5.已知关于的不等式,对一切实数都成立,则的取值范围是6.在中分别为角所对的边,已知,且的面积为,则三、解答题1.(本题满分12 分)(1)计算,(2)已知,求sin的值。
2.(本题满分12 分)已知数列为等比数列,且首项为,公比为,前项和为.(Ⅰ)试用,,表示前项和;(Ⅱ)证明(Ⅰ)中所写出的等比数列的前项和公式。
3.(本题满分12 分)如图,从气球上测得正前方的河流的两岸的俯角分别为,如果这时气球的高度米,求河流的宽度.4.(本题满分12 分)已知(Ⅰ)将化成的形式;(Ⅱ)求的最小正周期和最大值以及取得最大值时的的值;(Ⅲ)求的单调递增区间。
5.(本题满分13 分)据气象部门预报,在距离某码头南偏东方向600km处的热带风暴中心,正以每小时20km的速度向正北方向移动,距风暴中心450km以内的地区都将受到影响,从现在起多长时间后,该码头将受到热带风暴中心的影响,影响多长时间?(精确到0.1h)6.(本题满分14分)在等差数列中,已知。
第一卷(选择题 共45分)一.选择题(15'×3=45')1.已知角的终边经过点(3,4-),则tan x 等于( ) A.34 B.34- C.43D.43- 2.已知lg 2,lg3a b ==,则3lg 2等于( )A.a b -B.b a -C.b aD.a b 3.设集合{}(1,2)M =,则下列关系成立的是( )∈M ∈M C.(1,2)∈M D.(2,1)∈M4.直线30x y -+=的倾斜角是( ).450 C5.底面半径为2,高为4的圆柱,它的侧面积是( )π π π π6.若b<0<a(a,b ∈R),则下列不等式中正确的是( )<a 2 B.11b a> C.b a -<- D.a b a b ->+ 7.已知4,0,cos 25x x π⎛⎫∈-= ⎪⎝⎭,则tan x 等于( ) A.34 B.34- C.43D.43- 8.已知数列{}n a 的前n 项和12n n S n +=+,则3a 等于( ) A.120 B.124 C.128D.132 9.在ΔABC 中,sin sin cos cos 0A B A B -<则这个三角形一定是( )A.锐角三角形B.钝角三角形C.直角三角形D.等腰三角形10.若函数1()(2)2f x x x =≠-,则()f x ( ) A.在(2,)-+∞内单调递增 B.在(2,)-+∞内单调递减 C.在(2,)+∞内单调递增 D.在(2,)+∞内单调递减11.在空间中,,,a b c 是两两不重合的三条直线,,,αβγ是两两不重合的三个平面,下列命题正确是( )A.若两直线,a b 分别与平面α平行,则//a b .B.若直线a 与平面β内的一条直线b 平行,则//a β.C.若直线a 与平面β内的两条直线b 、c 都垂直,则a ⊥β.D.若平面β内的一条直线a 垂直平面γ,则γ⊥β.12.不等式(1)(2)0x x ++<的解集是( )A.{}21x x -<<-B.{}21x x x <->-或C.{}12x x <<D.{}12x x x <>或13.正四棱柱ABCD-A 1B 1C 1D 1中,A 1 C 1与BD 所在直线所成角的大小是( ) .450 C14.某数学兴趣小组共有张云等10名实力相当的组员,现用简单随机抽样的方法从中抽取3人参加比赛,则张云被选中的概率是( )% % 如图所示的程序框图,如果输入三个实数a,b,c ,要求输出这三个数中最大的数,那么在空白处的判断框中,应该填入下面四个选项中的( )(注:框图中的赋值符号“=”也可以写成“←”或“:=”)A.c x >B.x c >C.c b >D.b c >第二卷(非选择题共55分)二.填空题(5'×4=20')16.已知0,0,1a b a b >>+=则ab 的最大值是____.17.若直线210ay -=与直线(31)10a x y -+-=平行,则实数a 等于____.18.已知函数2,(4)()(1),(4)x x f x f x x ⎧<=⎨-≥⎩,那么(5)f 的值为_____. 19.在[],ππ-内,函数sin()3y x π=-为增函数的区间是______. 20.设12,9,542a b a b ==⋅=-则a 和b 的夹角θ为____.三.解答题(共5小题,共35分)21.已知(2,1),(,2),a b λ==-⑴若a b ⊥求λ的值;⑵若//a b 求λ的值.22.(本题6分)已知一个圆的圆心坐标为(1,2)-,且过点(2,2)P -,求这个圆的标准方程.23.(本题7分)已知{}n a 是各项为正数的等比数列,且1231,6a a a =+=,求该数列前10项的和n S .24.(本题8分)已知函数31()cos ,2f x x x x R =-∈,求()f x 的最大值,并求使()f x 取得最大值时x 的集合. 25.(本题8分)已知函数()f x 满足()(),0,(2)1,xf x b cf x b f =+≠-=-且(1)(1)f x f x -=-+对两边都有意义的任意 x 都成立.⑴求()f x 的解析式及定义域;⑵写出()f x 的单调区间,并用定义证明在各单调区间上是增函数还是减函数参考答案一、二、16、41 17、31 18、8 19、 [6π-,65π] 20、43π 三、21、解:∵a ⊥b ,∴a •b=0,又∵a=(2,1),b =(λ,-2),∴a •b=2λ-2=0,∴λ=1 22、解:依题意可设所求圆的方程为(x+1)2+(y-2)2=r 2。
高中会考试题数学及答案一、选择题(每题3分,共30分)1. 若函数f(x) = 2x^2 + 4x + 3,则f(-1)的值为:A. 0B. 2C. 4D. 6答案:B2. 已知等差数列{a_n}的前三项分别为1, 4, 7,则该数列的公差为:A. 1B. 2C. 3D. 4答案:B3. 一个圆的半径为5,那么它的面积是:A. 25πB. 50πC. 75πD. 100π答案:B4. 若直线y = 2x + 1与直线y = -x + 3相交,则交点的横坐标为:A. -1B. 0C. 1D. 2答案:C5. 一个等腰三角形的两边长分别为3和4,那么它的周长是:A. 10B. 11C. 12D. 13答案:B6. 函数y = x^3 - 3x^2 + 4x - 2的导数是:A. 3x^2 - 6x + 4B. 3x^2 - 6x + 2C. 3x^2 - 9x + 4D. 3x^2 - 9x + 2答案:A7. 已知集合A = {1, 2, 3},集合B = {2, 3, 4},则A∩B的元素个数为:A. 1B. 2C. 3D. 4答案:B8. 若sin(α) = 3/5,且α为第一象限角,则cos(α)的值为:A. 4/5B. -4/5C. 3/5D. -3/5答案:A9. 一个数列的前四项为2, 5, 8, 11,若该数列是等差数列,则第五项为:A. 14B. 15C. 16D. 17答案:A10. 已知函数f(x) = x^2 - 4x + 3,若f(x) = 0,则x的值为:A. 1B. 2C. 3D. 4答案:B二、填空题(每题4分,共20分)1. 已知等比数列{a_n}的前三项分别为2, 6, 18,则该数列的公比为______。
答案:32. 一个矩形的长为10cm,宽为5cm,那么它的对角线长度为______。
答案:5√5 cm3. 函数y = √x的反函数是______。
答案:y = x^24. 已知一个抛物线的顶点为(2, -3),且开口向上,则它的标准方程为______。
高中数学会考试卷第一卷(选择题共60 分)一、选择题:本大题共14 小题:第( 1)—( 10)题每小题 4 分,第( 11) - ( 14)题每小题 5 分,共 60 分,在每小题给出的四个选项中,只有一项是符合题目要求的。
(1)已知集合A={0, 1, 2,3, 4} ,B={0, 2,4, 8} ,那么 A∩ B 子集的个数是:()A、6个B、7个C、8 个D、9个(2)式子 4· 5的值为:()A、 4/5B、5/4C、 20 D 、1/20(3)已知 sin θ =3/5,sin2θ<0,则tg(θ /2)的值是:()A、-1/2 B 、1/2 C 、1/3 D 、3(4)若 log a (a 2 +1)<log a 2a<0,则 a 的取值范围是:()A、( 0,1) B 、 (1/2,1) C、(0,1/2) D、(1,+∞)(5)函数 f(x)= π/2+arcsin2x 的反函数是()A、 f -1 (x)=1/2sinx,x ∈ [0, π] B 、 f -1 (x)=-1/2sinx,x ∈ [0, π ]C 、 f -1 (x)=-1/2cosx,x ∈ [0, π ]D 、 f -1 (x)=1/2cosx,x ∈ [0, π](6)复数 z=(+ i) 4 (-7-7i) 的辐角主值是:()A、π/ 12 B 、 11π/12 C 、19π /12 D 、 23π /12(7)正数等比数列a1 ,a 2 ,a 8的公比 q≠ 1, 则有:()A、 a1+a8 >a4 +a5 B 、 a1 +a8<a4 +a5 C、 a1+a8=a4 +a5 D、 a1+a8与 a4+a5大小不确定2 2(8)已知 a、 b∈R,条件 P: a +b ≥ 2ab、条件 Q:,则条件P 是条件 Q 的()D 、既不充分也不必要条件(9)椭圆的左焦点F1,点 P 在椭圆上,如果线段PF1的中点 M在 Y 轴上,那么 P 点到右焦点F2的距离为:()A、 34/5B、 16/5C、 34/25D、16/25(10)已知直线l 1与平面α成π /6 角,直线l 2与 l 1成π /3 角,则 l 2与平面α所成角的范围是:()A、 [0 ,π /3]B、[π/3,π/2] C[π /6,π /2]、D、[0,π/2](11)已知,b为常数,则a 的取值范围是:()A、 |a|>1B、a∈R且a≠1C、-1<a≤1D、a=0或a=1(12)如图,液体从一球形漏斗漏入一圆柱形烧杯中,开始时漏斗盛满液体,经过 3 分钟漏完。
一、单选题二、多选题1.已知函数,设()为实数,且.给出下列结论:①若,则;②若,则.其中正确的是( )A .①与②均正确B .①正确,②不正确C .①不正确,②正确D .①与②均不正确2.若,则( )A .1B .-1C .2D .-23. 已知集合,,则集合P 的子集有A .2个B .4个C .6个D .8个4. 若将一个椭圆绕其中心旋转90°,所得椭圆短轴两顶点恰好是旋转前椭圆的两焦点,这样的椭圆称为“对偶椭圆”.下列椭圆中是“对偶椭圆”的是( )A.B.C.D.5. 数列{}中, ,(n ,则( )A.B.C.D.6. 现从3名男医生和4名女医生中抽取两人加入“援鄂医疗队”,用表示事件“抽到的两名医生性别相同”,表示事件“抽到的两名医生都是女医生”,则A.B.C.D.7.在正项等比数列中,,,则的值为( )A.B.C.D.8. 已知命题,命题,则是的( )A .充分不必要条件B .必要不充分条件C .充要条件D .既不充分也不必要条件9. 如图是一块高尔顿板示意图,在一块木板上钉着若干排互相平行但相互错开的圆柱形小木钉,小木钉之间留有适当的空隙作为通道,前面挡有一块玻璃,将小球从顶端放入,小球在下落过程中,每次碰到小木钉后都等可能地向左或向右落下,最后落入底部的格子中,格子从左到右分别编号为,用表示小球落入格子的号码,则()A.B.C.D.福建省普通高中2021-2022学年高二6月学业水平合格性考试数学试题三、填空题四、解答题10. 某市两万名高中生数学期末统考成绩(满分100分)服从正态分布,其正态密度函数,则( )附:若随机变量X服从正态分布,则,,.A .试卷平均得分与试卷总分比值为该试卷难度,则该份试卷难度为0.5B .任取该市一名学生,该生成绩低于67分的概率约为0.023C .若按成绩靠前的16%比例划定为优秀,则优秀分数线约为83分D .该次数学成绩高于99分的学生约有27人11. 已知不同平面,,满足,,不同的直线a ,b ,c 满足,,,则下列说法正确的有( )A.B.C.D.12.已知为复数,下列结论正确的有( )A.B.C .若,则D .若,则或13.若的展开式中所有项的系数之和为,则______,含项的系数是______(用数字作答).14.已知数列中,,,前n 项和为.若,则数列的前15项和为______.15.设等比数列的前项和为,若,则公比的取值范围为______.16. 已知实数,函数,是自然对数的底数.(1)当时,求函数的单调区间;(2)求证:存在极值点,并求的最小值.17. 某手机配件生产厂为了了解该厂生产同一型号配件的甲、乙两车间的生产质量.质检部门随机从甲、乙两车间各抽检了件配件,其检测结果:等级一等品二等品次品甲车间配件频数乙车间配件频数其中一、二等品为正品.(1)分别估计甲、乙车间生产出配件的正品的概率;(2)该厂规定一等品每件的出厂价是二等品每件的出厂价的倍.已知每件配件的生产成本为元,根据环保要求,每件次品需要处理费用为元,厂家要求生产的每件配件的平均利润不低于元,求二等品每件的出厂的最低价.18.如图,在长方体中,为中点.(Ⅰ)求证:;(Ⅱ)在棱上是否存在一点,使得//平面,若存在,求的长;若不存在,说明理由.(Ⅲ)若二面角的大小为,求的长.19. 人工智能(AI)是一门极富挑战性的科学,自诞生以来,理论和技术日益成熟.某公司研究了一款答题机器人,参与一场答题挑战.若开始基础分值为()分,每轮答2题,都答对得1分,仅答对1题得0分,都答错得分.若该答题机器人答对每道题的概率均为,每轮答题相互独立,每轮结束后机器人累计得分为,当时,答题结束,机器人挑战成功,当时,答题也结束,机器人挑战失败.(1)当时,求机器人第一轮答题后累计得分的分布列与数学期望;(2)当时,求机器人在第6轮答题结束且挑战成功的概率.20. 在四棱锥中,平面,,,,为的中点,在平面内作于点.(1)求证:平面平面;(2)求二面角的余弦值.21. 的内角A、B、C的对边分别为a、b、c,已知(1)求角C的大小;(2)若,,求的值.。
高中会考数学试题及答案一、选择题(每题3分,共30分)1. 下列哪个数是无理数?A. 0.33333…(无限循环)B. πC. √2D. 1/32. 函数f(x) = 2x^2 - 3x + 1的图像与x轴的交点个数是:A. 0个B. 1个C. 2个D. 3个3. 已知等差数列的前三项和为6,第二项为2,求该数列的首项a1和公差d:A. a1 = 1, d = 1B. a1 = 0, d = 2C. a1 = 2, d = 0D. a1 = 3, d = -14. 集合A={1, 2, 3},集合B={2, 3, 4},求A∩B:A. {1}B. {2, 3}C. {3, 4}D. {1, 2, 3}5. 已知三角形ABC的三边长分别为a=3, b=4, c=5,求其面积:B. 9C. 10D. 126. 根据题目所给的函数y=x^3-2x^2+x-2,求导数y':A. 3x^2-4x+1B. x^3-2x^2+1C. 3x^2-4x+2D. x^3-2x7. 已知sinθ=0.6,求cosθ的值(结果保留根号):A. √(1-0.36)B. -√(1-0.36)C. √(1-0.6^2)D. -√(1-0.6^2)8. 将下列二次方程x^2-4x+4=0进行因式分解:A. (x-2)(x-2)B. (x+2)(x-2)C. (x-1)(x-3)D. (x+1)(x+3)9. 已知圆的方程为(x-2)^2 + (y-3)^2 = 9,求圆心坐标:A. (2, 3)B. (-2, 3)C. (2, -3)D. (-2, -3)10. 根据题目所给的等比数列求和公式S_n = a1(1-q^n)/(1-q),当n=5,a1=2,q=2时,求S_5:B. 63C. 64D. 65二、填空题(每题4分,共20分)11. 已知函数f(x) = x^2 + bx + c,若f(1) = 2,则b + c =_______。
会考数学试题及答案一、选择题1. 下列哪个选项不是实数集合R的子集?A. 整数集合ZB. 有理数集合QC. 无理数集合D. 复数集合C答案:D2. 如果函数f(x) = 2x + 3在x=1处的导数为5,那么下列哪个选项是错误的?A. f'(1) = 5B. f(1) = 5C. f(x)在x=1处的切线斜率为5D. f(1) = 2*1 + 3答案:B二、填空题1. 若二次方程ax² + bx + c = 0的判别式Δ = b² - 4ac,当a > 0且Δ > 0时,方程有____个实数根。
答案:两2. 圆的面积公式为S = πr²,其中r为圆的半径。
若圆的半径为4,则其面积为____。
答案:16π三、解答题1. 已知函数f(x) = x³ - 3x² + 2x - 1,求f(x)的极值点。
解:首先求导数f'(x) = 3x² - 6x + 2。
令f'(x) = 0,解得x₁= 1,x₂ = 2/3。
在x₁和x₂处分别计算f''(x)的值,得到f''(1)= -1,f''(2/3) = 2。
因此,x₁ = 1是极大值点,x₂ = 2/3是极小值点。
2. 某工厂生产一种产品,其成本函数为C(x) = 5000 + 50x,销售价格为P(x) = 130 - 0.05x,其中x为产品数量。
求工厂的盈亏平衡点。
解:盈亏平衡点是指总收入等于总成本的点,即P(x) * x = C(x)。
将P(x)和C(x)代入,得到方程130x - 0.05x² = 5000 + 50x。
化简得0.05x² - 80x + 5000 = 0。
解此二次方程,得到x = 100。
因此,工厂的盈亏平衡点为生产100件产品时。
四、证明题1. 证明:对于任意实数a和b,不等式|a + b| ≤ |a| + |b|恒成立。
2024年安徽普通高中会考数学真题及答案2024年安徽普通高中会考数学真题及答案一、真题部分1、在等差数列${ a_{n}}$中,已知$a_{3} + a_{7} = 22$,那么$a_{5} =$() A.$10$ B.$9$ C.$8$ D.$7$2、已知复数$z = \frac{1 + i}{1 - i}$,则$|z| =$()A.$1$B.$\sqrt{2}$C.$2$D.$2\sqrt{2}$3、已知向量$\overset{\longrightarrow}{a} = (1,2)$,$\overset{\longrightarrow}{b} = (x,y)$,且$\overset{\longrightarrow}{a} \perp\overset{\longrightarrow}{b}$,则$xy$的值为()A.$2$B.$3$C.$4$D.$5$二、答案部分1、正确答案是:A. $10$ 在等差数列${ a_{n}}$中,因为$a_{3} + a_{7} = 22$,所以$a_{5} = \frac{a_{3} + a_{7}}{2} = 10$。
因此,答案为A。
2、正确答案是:B. $\sqrt{2}$ 复数$z = \frac{1 + i}{1 - i} = \frac{(1 + i)^{2}}{(1 - i)(1 + i)} = i$,因此$|z| = 1$. 所以正确答案为B。
3、正确答案是:C.$4$ 向量$\overset{\longrightarrow}{a} = (1,2)$,$\overset{\longrightarrow}{b} = (x,y)$,且$\overset{\longrightarrow}{a} \perp\overset{\longrightarrow}{b}$,所以$\overset{\longrightarrow}{a} \cdot\overset{\longrightarrow}{b} = x + 2y = 0$,解得$xy = 4$. 因此,正确答案为C。
数学会考高中试题及答案一、选择题(每题3分,共30分)1. 已知函数\( f(x) = 2x^2 - 4x + 3 \),下列说法正确的是:A. 函数的图像是开口向上的抛物线B. 函数的图像是开口向下的抛物线C. 函数的图像与x轴有两个交点D. 函数的图像与x轴没有交点答案:A2. 圆的方程为\( (x-2)^2 + (y-3)^2 = 9 \),圆心坐标为:A. (2, 3)B. (-2, 3)C. (2, -3)D. (-2, -3)答案:A3. 已知等差数列的前三项依次为1,3,5,则该数列的第五项为:A. 7B. 9C. 11D. 13答案:B4. 函数\( y = \log_2(x) \)的定义域是:A. \( x > 0 \)B. \( x < 0 \)C. \( x \geq 0 \)D. \( x \leq 0 \)答案:A5. 集合\( A = \{1, 2, 3\} \)和集合\( B = \{2, 3, 4\} \)的交集为:A. \( \{1\} \)B. \( \{2, 3\} \)C. \( \{2, 4\} \)D. \( \{3, 4\} \)答案:B6. 直线\( y = 2x + 1 \)与直线\( y = -x + 4 \)的交点坐标为:A. (1, 3)B. (-1, 3)C. (1, -1)D. (-1, -1)答案:A7. 已知\( \sin \alpha = \frac{1}{2} \),\( \alpha \)是第二象限角,则\( \cos \alpha \)的值为:A. \( \frac{1}{2} \)B. \( -\frac{1}{2} \)C. \( \frac{\sqrt{3}}{2} \)D. \( -\frac{\sqrt{3}}{2} \)答案:D8. 函数\( f(x) = x^3 - 3x^2 + 3x - 1 \)的单调递增区间为:A. \( (-\infty, 1) \)B. \( (1, +\infty) \)C. \( (-\infty, 2) \)D. \( (2, +\infty) \)答案:B9. 向量\( \vec{a} = (1, 2) \)和向量\( \vec{b} = (2, 1) \)的夹角为:A. \( \frac{\pi}{4} \)B. \( \frac{\pi}{3} \)C. \( \frac{\pi}{2} \)D. \( \frac{2\pi}{3} \)答案:A10. 已知等比数列的前三项依次为2,4,8,则该数列的公比为:A. 2B. 4C. 1D. 0.5答案:A二、填空题(每题4分,共20分)1. 已知\( \tan \theta = 3 \),\( \theta \)是第一象限角,则\( \sin \theta \)的值为______。
⾼中数学会考习题精选⾼中数学会考练习题集练习⼀集合与函数(⼀)1. 已知S ={1,2,3,4,5},A ={1,2},B ={2,3,6},则______=B A I ,______=B A Y ,______)(=B A C S Y .2. 已知},31|{},21|{<<=<<-=x x B x x A则______=B A I ,______=B A Y .3. 集合},,,{d c b a 的所有⼦集个数是_____,含有2个元素⼦集个数是_____.4. 图中阴影部分的集合表⽰正确的有________.(1))(B A C U Y (2))(B A C U I(3))()(B C A C U U Y (4))()(B C A C U U I5. 已知},6|),{(},4|),{(=+==-=y x y x B y x y x A ________B A =则I .6. 下列表达式正确的有__________.(1)A B A B A =??I (2)B A A B A ??=Y(3)A A C A U =)(I (4)U A C A U =)(Y7. 若}2,1{≠?}4,3,2,1{?A ,则满⾜A 集合的个数为____.8. 下列函数可以表⽰同⼀函数的有________.(1)2)()(,)(x x g x x f == (2)2)(,)(x x g x x f == (3)x x x g x x f 0)(,1)(== (4))1()(,1)(+=+?=x x x g x x x f 9. 函数x x x f -+-=32)(的定义域为________.10. 函数291)(x x f -=的定义域为________.11. 若函数_____)1(,)(2=+=x f x x f 则.12. 已知_______)(,12)1(=-=+x f x x f 则.13. 已知1)(-=x x f ,则______)2(=f .14. 已知?≥<=0,20,)(2x x x x f ,则_____)0(=f _____)]1([=-f f .15. 函数x y 2-=的值域为________.16. 函数R x x y ∈+=,12的值域为________.17. 函数)3,0(,22∈-=x x x y 的值域为________.18. 下列函数在),0(+∞上是减函数的有__________.(1)12+=x y (2)x y 2= (3)x x y 22+-= (4)12+--=x x y(1)1+=x y (2)x x y -=2 (3)1=y (4)x y 1-=20. 若映射B A f →:把集合A 中的元素(x,y )映射到B 中为),(y x y x +-,则(2, 6)的象是______,则(2, 6)的原象是________.21. 将函数x y 1=的图象向左平移2个单位,再向下平移1个单位,则对应图象的解析式为 .22. 某⼚从1998年起年产值平均每年⽐上⼀年增长%,设该⼚1998年的产值为a ,则该⼚的年产值y 与经过年数x 的函数关系式为________.集合与函数(⼆)1. 已知全集I ={1,2,3,4,5,6},A ={1,2,3,4},B ={3,4,5,6},那么C I (A ∩B )=( ).A.{3,4}B.{1,2,5,6}C.{1,2,3,4,5,6}D.Ф2. 设集合M ={1,2,3,4,5},集合N ={9|2≤x x },M ∩N =( ).A.{33|≤≤-x x }B.{1,2}C.{1,2,3}D.{31|≤≤x x }3. 设集合M ={-2,0,2},N ={0},则( ).A .N 为空集 B. N ∈M C. N ?M D. M ?N4. 命题“b a >”是命题“22bc ac >”的____________条件.5. 函数y =)1lg(2-x 的定义域是__________________.6. 已知函数f (x )=log 3(8x +7),那么f (21)等于_______________.7. 若f (x )=x + 1x ,则对任意不为零的实数x 恒成⽴的是( ).A. f (x )=f (-x )B. f (x )=f (x 1) C. f (x )=-f (x 1) D. f (x ) f (x1)=0 8. 与函数y = x 有相同图象的⼀个函数是( ). =x 2 B. y =x 2x C. y =a log a x (a >0, a ≠1) D. y = log a a x (a>0, a≠1) 9. 在同⼀坐标系中,函数y =x 5.0log 与y =x 2log 的图象之间的关系是( ).A.关于原点对称D.关于y 轴对称10. 下列函数中,在区间(0,+∞)上是增函数的是( ).=-x 2 = x 2-x +2 =(21)x =x 1log 3.011. 函数y =)(log 2x -是( ).A. 在区间(-∞,0)上的增函数B. 在区间(-∞,0)上的减函数C. 在区间(0,+∞)上的增函数D. 在区间(0,+∞)上的减函数12. 函数f (x )=3x -13x +1 ( ).A. 是偶函数,但不是奇函数B. 是奇函数,但不是偶函数C. 既是奇函数,⼜是偶函数D.不是奇函数,也不是偶函数13. 下列函数中为奇函数的是( ).A. f (x )=x 2+x -1B. f (x )=|x |C. f (x )=23x x +D. f (x )=522xx --14. 设函数f (x )=(m -1)x 2+(m +1)x +3是偶函数,则m=________.15. 已知函数f (x )=||2x ,那么函数f (x )( ).A. 是奇函数,且在(-∞,0)上是增函数B. 是偶函数,且在(-∞,0)上是减函数C. 是奇函数,且在(0,+∞)上是增函数D. 是偶函数,且在(0,+∞)上是减函数16. 函数y =||log 3x (x ∈R 且x ≠0)( ) .A. 为奇函数且在(-∞,0)上是减函数B. 为奇函数且在(-∞,0)上是增函数C. 是偶函数且在(0,+∞)上是减函数D. 是偶函数且在(0,+∞)上是增函数17. 若f (x )是以4为周期的奇函数,且f (-1)=a (a ≠0),则f (5)的值等于(18. 如果函数y =x a log 的图象过点(91,2),则a =___________.19. 实数2732–3log 22·log 218 +lg4+2lg5的值为_____________.20. 设a =, b = c =则a, b, c 的⼤⼩关系为( )A. bB. aC. aD. c21. 若1log 21>x ,则x 的取值范围是( ).A. 21B.210<x D.0数列(⼀)1. 已知数列{n a }中,12=a ,121+=+n n a a ,则=1a ______.2. – 81是等差数列 – 5 , – 9 , – 13 , … 的第()项.3. 若某⼀数列的通项公式为n a n 41-=,则它的前50项的和为______.4. 等⽐数列,271,91,31,1…的通项公式为________. 5. 等⽐数列,54,18,6,2…的前n 项和公式n S =__________.6. 12-与12+的等⽐中项为__________.7. 若a ,b ,c 成等差数列,且8=++c b a ,则b = .8. 等差数列{a n }中,a 3+ a 4+ a 5+ a 6+ a 7=150,则a 2+a 8= .9. 在等差数列{a n }中,若a 5=2,a 10=10,则a 15=________.10. 在等差数列{a n }中,,56=a 583=+a a , 则=9S _____.10. 数列1781,1327,99,53,11,…的⼀个通项公式为________. 11. 在等⽐数列中,各项均为正数,且962=a a ,则)(log 5433 1a a a = .12. 等差数列中,2,241-==d a , 则n S =___________.13. 已知数列{ a n }的前项和为S n = 2n 2 – n ,则该数列的通项公式为_______.14. 已知三个数成等⽐数列,它们的和为14,它们的积为64,则这三个数为 .数列(⼆)1. 在等差数列}{n a 中,85=a ,前5项的和105=S ,2. 在公⽐为2的等⽐数列中,前4项的和为45,则⾸项为_____.3. 在等差数列}{n a 中,已知1554321=++++a a a a a ,则42a a +=_______.4. 在等差数列}{n a 中,已知前n 项的和n n S n -=24, 则=20a _____.5. 在等差数列}{n a 公差为2,前20项和等于100,那么20642...a a a a ++++等于________.6. 已知数列}{n a 中的3231+=+n n a a ,且2053=+a a ,则=8a _______. 7. 已知数列}{n a 满⾜n n a a =-+21,且11=a ,则通项公式=n a ______.8. 数列}{n a 中,如果)1(21≥=+n a a n n ,且21=a ,那么数列的前5项和=5S _.9. 两数15-和15+的等⽐中项是__________________.10. 等差数列}{n a 通项公式为72-=n a n ,那么从第10项到第15项的和为___.11. 已知a, b, c, d 是公⽐为3 的等⽐数列,则dc b a ++22=___________. 12. 在各项均为正数的等⽐数列中,若551=a a ,则=)(log 4325a a a ________.三⾓函数(⼀)1. 下列说法正确的有____________.(1)终边相同的⾓⼀定相等(2)锐⾓是第⼀象限⾓(3)第⼆象限⾓为钝⾓(4)⼩于?90的⾓⼀定为锐⾓ (5)第⼆象限的⾓⼀定⼤于第⼀象限的⾓2. 已知⾓x 的终边与⾓?30的终边关于y 轴对称,则⾓x 的集合可以表⽰为__________________________.3. 终边在y 轴上⾓的集合可以表⽰为________________________.4. 终边在第三象限的⾓可以表⽰为________________________.5. 在??-720~360之间,与⾓?175终边相同的⾓有__________________.6. 在半径为2的圆中,弧度数为3π的圆⼼⾓所对的弧长为________,扇形⾯积为__________.7. 已知⾓α的终边经过点(3,-4),则sin α=______ , cos α=______,tan α=_______ .8. 已知0cos 0sin ><θθ且,则⾓θ⼀定在第______象限.9. “0sin >θ”是“θ是第⼀或第⼆象限⾓”的________条件.10. 计算:πππ2cos cos 0tan 20sin 1223cos 7-+++=________. 11. 化简:tan cos ____θθ=.12. 已知,54cos -=α且α为第三象限⾓,则_____tan _____,sin ==αα . 13. 已知31tan =α,且23παπ<<,则_____cos _____,sin ==αα . 14. 已知2tan =α,则____sin cos cos 2sin =+-αααα. 15. 计算:_____)317sin(=-π, _____)4cos()sin()2sin()cos(=----++αππαπααπ.三⾓函数(⼆)1. 求值: ?165cos =________,=?-)15tan(________.2. 已知21cos -=θ,θ为第三象限⾓,则=+)3sin(θπ________, =+)3cos(θπ________,=+)3 tan(θπ________. 3. 已知x tan ,y tan 是⽅程0762=++x x 的两个根,则=+)tan(y x ______.4. 已知31sin =α,α为第⼆象限⾓,则=α2sin ______, =α2cos ______,=α2tan ______.5. 已知21tan =α,则=α2tan ______.6. 化简或求值:=---y y x y y x cos )cos(sin )sin(______,=??-??170sin 20sin 10cos 70sin ______,=-ααsin 3cos ______,____15tan 115tan 1=?-?+, _____5tan 65tan 35tan 65tan =??-?-?, =??15cos 15sin ____, =-2cos 2sin 22θθ______15.22cos 22-?=______, ?-?150tan 1150tan 22=______.7. 已知,3tan ,2tan ==?θ且?θ,都为锐⾓,则=+?θ______.8. 已知21cos sin =+θθ,则=θ2sin ______. 9. 已知41sin =θ,则=-θθ44cos sin ______. 10. 在ABC ?中,若,53sin ,135cos =-=B A 则=C sin ________.三⾓函数(三)1. 函数)4sin(π+=x y 的图象的⼀个对称中⼼是( ).A. )0,0(B. )1,4(πC. )1,43(πD. )0,43(π 2. 函数)3cos(π-=x y 的图象的⼀条对称轴是( ).B. 3π-=x C. 65π=x D. 3π=x 3. 函数x x y cos sin =的值域是________,周期是______,此函数的为____函数(填奇偶性).4. 函数x x y cos sin -=的值域是________,周期是______,此函数的为____函数(填奇偶性).5. 函数x x y cos 3sin +=的值域是________,周期是______,此函数的为____函数(填奇偶性).8. 函数)42tan(3π-=x y 的定义域是__________________,值域是________,周期是______,此函数为______函数(填奇偶性).9. ⽐较⼤⼩:??530cos ___515cos , )914sin(____)815sin(ππ-- ??143tan ____138tan , ??91tan ___89tan10. 要得到函数)42sin(2π+=x y 的图象,只需将x y 2sin 2=的图象上各点____11. 将函数x y 2cos =的图象向左平移6π个单位,得到图象对应的函数解析式为________________.12. 已知22cos -=θ,)20(πθ<<,则θ可能的值有_________.三⾓函数(四)1. 在??360~0范围内,与-1050o 的⾓终边相同的⾓是___________.2. 在π2~0范围内,与π310终边相同的⾓是___________. 3. 若sinα<0且cosα<0 ,则α为第____象限⾓.4. 在??-360~360之间,与⾓?175终边相同的⾓有_______________.5. 在半径为2的圆中,弧度数为3π的圆⼼⾓所对的弧长为______________. 6. 已知⾓α的终边经过点(3,-4),则cos α=______.7. 命题 “x = π2 ” 是命题 “sin x =1” 的_____________条件. 8. sin(π617-)的值等于___________. 9. 设π4 <α<π2 ,⾓α的正弦. 余弦和正切的值分别为a ,b ,c ,则( ). A. a10. 已知,54cos -=α且α为第三象限⾓,则_____tan =α. 11. 若 tan α=2且sin α<0,则cos α的值等于_____________.12. 要得到函数y =sin(2x -π3 )的图象,只要把函数y =sin2x 的图象( ).A.向左平移π3 个单位B. 向右平移π3 个单位C.向左平移π6 个单位13. 已知tan α=-3 (0<α<2π),那么⾓α所有可能的值是___________14. 化简cos x sin(y -x )+cos(y -x )sin x 等于_____________15. cos25o cos35o –sin25o sin35o 的值等于_____________(写具体值).16. 函数y =sin x +cos x 的值域是( )A.[-1,1]B.[-2,2]C.[-1, 2 ]D.[- 2 , 2 ]17. 函数y =cos x - 3 sin x 的最⼩正周期是( )A.2πB. 4π C. ππ18. 已知sin α=53,90o <α<180o ,那么sin2α的值__________. 19. 函数y=cos 2 x -sin 2x 的最⼩正周期是( )A. 4πB. 2πC. πD. π220. 函数y =sin x cos x 是( )A.周期为2π的奇函数B. 周期为2π的偶函数C. 周期为π的奇函数D. 周期为π的偶函数21. 已知2tan =α,则=α2tan ________.练习九平⾯向量(⼀)1. 下列说法正确的有______________.(1)零向量没有⽅向 (2)零向量和任意向量平⾏(3)单位向量都相等 (4)(a ·b )·c =a ·(b ·c )(5)若a ·c = b ·c ,且c 为⾮零向量,则a =b(6)若a ·b =0,则a,b 中⾄少有⼀个为零向量.2. “b a =”是“a ∥b ”的________________条件.3. 下列各式的运算结果为向量的有________________.(1)a +b (2)a -b (3)a ·b (4)λa (5)||b a + (6)a ·04. 计算:=-++MP MN NQ QP ______.设=AB a, =AC b ,⽤a , b 表⽰下列向量:=BC ________,=AM ________,=MB ________.=AB a,6. 在□ABCD 中,对⾓线AC ,BD 交于O 点,设=AD b ,⽤a , b 表⽰下列向量:=AC ________,.=BD ________,=CO ________,=OB ________.7. 已知21,e e 不共线,则下列每组中a , b 共线的有______________.(1)113,2e b e a -== (2)213,2e b e a -==(3)212121,2e e b e e a +-=-= (4)2121,e e b e e a +=-= 8. 已知,4||,3||==b a 且向量b a,的夹⾓为?120,则=b a ·________,=-||b a __________.9. 已知)1,1(),3,2(-==b a ,则=-b a 2______,=b a ·________,=||a ______,向量b a,的夹⾓的余弦值为_______.12. 已知)1,2(),2,1(-==b a k ,当b a,共线时,k =____;当b a,垂直时,k =____.13. 已知)4,2(),2,1(B A -,)3,(x C ,且A,B,C 三点共线,则x =______.14. 把点)5,3(P 按向量a =(4,5)平移⾄点P ’,则P ’的坐标为_______.15. 将函数22x y =的图象F 按a =(1,-1)平移⾄F ’, 则F ’的函数解析式为____.16. 将⼀函数图象按a =(1,2)平移后,所得函数图象所对应的函数解析式为x y lg =,则原图象的对应的函数解析式为_______.17. 将函数x x y 22+=的图象按某⼀向量平移后得到的图象对应的函数解析式为2x y =,则这个平移向量的坐标为________.18. 已知)3,2(),5,1(B A ,点M 分有向线段的⽐2-=λ,则M 的坐标为____.19. 已知P 点在线段21P P 上,21P P =5,P P 1=1,点P 分有向线段21P P 的⽐为__.20. 已知P 点在线段21P P 的延长线上,21P P =5,P P 2=10,点P 分有向线段21P P 的⽐为_____.21. 在ABC ?中,?=45A ,?=105C ,5=a ,则b =_______.22. 在ABC ?中,2=b ,1=c ,?=45B ,则C =_______.23. 在ABC ?中,32=a ,6=b ,?=30A ,则B =_______.24. 在ABC ?中,3=a ,4=b ,37=c ,则这个三⾓形中最⼤的内⾓为______.25. 在ABC ?中,1=a ,2=b ,?=60C ,则c =_______.26. 在ABC ?中,7=a ,3=c ,?=120A ,则b =_______.平⾯向量(⼆)1. ⼩船以10 3 km/h 的速度向垂直于对岸的⽅向⾏驶,同时河⽔的流速为10km/h ,则⼩船实际航⾏速度的⼤⼩为( ).2 km/h h C. 10 2 km/h D. 10km/h2. 若向量→a =(1,1),→b =(1,-1),→c =(-1,2),则→c =( ).A. -12 →a +32 →bB. 12 →a -32 →bC. 32 →a -12 →bD.- 32 →a +12 →b3. 有以下四个命题:①若→a ·→b =→a ·→c 且→a ≠→0,则→b =→c ;②若→a ·→b =0,则→a =→0或→b =→0;③⊿ABC 中,若→AB ·→AC >0,则⊿ABC 是锐⾓三⾓形;④⊿ABC 中,若→AB ·→BC =0,则⊿ABC 是直⾓三⾓形.其中正确命题的个数是( ).4. 若|→a |=1,|→b |=2,→c =→a +→b ,且→c ⊥→a ,则向量→a 与→b 的夹⾓为( ).D150o5. 已知→a . →b 是两个单位向量,那么下列命题中真命题是( ).A. →a =→bB. →a ·→b =0C. |→a ·→b |<1D. →a 2=→b 26. 在⊿ABC 中,AB =4,BC =6,∠ABC =60o ,则AC 等于( ).A. 28B. 76C. 27D. 2197. 在⊿ABC 中,已知a = 3 +1, b =2, c = 2 ,那么⾓C 等于( ).A. 30oB. 45oC. 60oD. 120o8. 在⊿ABC 中,已知三个内⾓之⽐A :B :C =1:2:3,那么三边之⽐a :b :c =(). A. 1: 3 :2 B. 1:2:3 C. 2: 3 :1 D. 3:2:1不等式1. 不等式3|21|>-x 的解集是__________.2. 不等式2|1|≤-x 的解集是__________.3. 不等式42>x 的解集是__________.4. 不等式022>--x x 的解集是__________.5. 不等式012<++x x 的解集是__________.6. 不等式032≥--xx 的解集是__________. 7. 已知不等式02>++n mx x 的解集是}2,1|{>-则m 和n 的值分别为__________.8. 不等式042>++mx x 对于任意x 值恒成⽴,则m 的取值范围为________.9. 已知d c b a >>,,下列命题是真命题的有_______________.(1)d b c a +>+ (2)d b c a ->- (3)x b x a ->- (4)bd ac > (5)c b d a > (6)22b a > (7)33b a > (8)33b a > (9)ba 11< (11) 22bx ax > 10. 已知64,52<<<<b a ,则b a +的取值范围是______________,则a b -的取值范围是______________,ab 的取值范围是___________. 11. 已知0,>b a 且,2=ab 则b a +的最___值为_______.12. 已知0,>b a 且,2=+b a 则ab 的最___值为_______.13. 已知,0>m 则函数mm y 82+=的最___值为_______,此时m =_______.14. a >0,b >0是ab >0的( ).A. 充分条件但不是必要条件B. 必要条件但不是充分条件C. 充分必要条件D. 既⾮充分条件也⾮必要条件15. 若0<A. b a 11>B. ab a 11>- C. ||||b a > D. 22b a > 16. 若0>>b a ,0>m ,则下列不等式中⼀定成⽴的是( ).A. m a m b a b ++>B. m b m a b a -->C. m a m b a b ++<D. mb m a b a --< 17. 若0>x ,则函数xx y 1+=的取值范围是( ). A.]2,(--∞ B. ),2[+∞ C. ),2[]2,(+∞--∞Y D. ]2,2[-18. 若0≠x ,则函数22364x xy --=有( ). A. 最⼤值264- B. 最⼩值264-C. 最⼤值264+D. 最⼩值264+19. 解下列不等式:(1) 5|32|1<-≤x (2) 6|5|2>-x x(3) 10|83|2<-+x x解析⼏何(⼀)1. 已知直线l 的倾斜⾓为?135,且过点)3,(),1,4(--m B A ,则m 的值为______.2. 已知直线l 的倾斜⾓为?135,且过点)2,1(,则直线的⽅程为____________.3. 已知直线的斜率为4,且在x .轴.上的截距为2,此直线⽅程为____________.4. 直线023=+-y x 倾斜⾓为____________.5. 直线042=+-y x 与两坐标轴围成的三⾓形⾯积为__________.6. 直线042=+-y x 关于y 轴对称的直线⽅程为________________.7. 过点)3,2(P 且在两坐标轴上截距互为相反数的直线⽅程为_____________.8. 下列各组直线中,互相平⾏的有____________;互相垂直的有__________. (1)022121=+-+=y x x y 与 (2)0322=-+-=y x x y 与 (3)0322=--=y x x y 与 (4)023=++y x 与33+=x y (5)052052=+=+y x 与 (6)052052=-=+x x 与9. 过点(2,3)且平⾏于直线052=-+y x 的⽅程为________________.过点(2,3)且垂直于直线052=-+y x 的⽅程为________________.10. 已知直线01:,022:21=--+=--+a y ax l a ay x l ,当两直线平⾏时,a =______;当两直线垂直时,a =______.11. 直线53=-y x 到直线032=-+y x 的⾓的⼤⼩为__________.12. 设直线0243:,022:,0243:321=+-=++=-+y x l y x l y x l ,则直线21l l 与的交点到3l 的距离为____________.13. 平⾏于直线0243=-+y x 且到它的距离为1的直线⽅程为____________.解析⼏何(⼆)1. 圆⼼在)2,1(-,半径为2的圆的标准⽅程为____________,⼀般⽅程为__________,参数⽅程为______________.2. 圆⼼在点)2,1(-,与y 轴相切的圆的⽅程为________________,与x 轴相切的圆的⽅程为________________,过原点的圆的⽅程为________________3. 半径为5,圆⼼在x 轴上且与x =3相切的圆的⽅程为______________.4. 已知⼀个圆的圆⼼在点)1,1(-,并与直线0334=+-y x 相切,则圆的⽅程为______.5. 点)1,1(-P 和圆024222=--++y x y x 的位置关系为________________.6. 已知4:22=+y x C 圆,(1)过点)3,1(-的圆的切线⽅程为________________.(2)过点)0,3(的圆的切线⽅程为________________.(3)过点)1,2(-的圆的切线⽅程为________________.(4)斜率为-1的圆的切线⽅程为__________________.7. 已知直线⽅程为043=++k y x ,圆的⽅程为05622=+-+x y x(1)若直线过圆⼼,则k =_________.(2)若直线和圆相切,则k =_________.(3)若直线和圆相交,则k 的取值范围是____________. (4)若直线和圆相离,则k 的取值范围是____________.8. 在圆822=+y x 内有⼀点)2,1(-P ,AB 为过点P 的弦.(1)过P 点的弦的最⼤弦长为__________.(2)过P 点的弦的最⼩弦长为__________.解析⼏何(三)1. 已知椭圆的⽅程为116922=+x y ,则它的长轴长为______,短轴长为______,焦点坐标为________,离⼼率为________,准线⽅程为____________.在坐标系中画出图形.2. 已知双曲线的⽅程为116922=-x y ,则它的实轴长为______,虚轴长为______,焦点坐标为________,离⼼率为________,准线⽅程为____________,渐近线⽅程为__________. 在坐标系中画出图形.3. 经过点)2,0(),0,3(--Q P 的椭圆的标准⽅程是_____________.4. 长轴长为20,离⼼率为53,焦点在y 轴上的椭圆⽅程为__________. 5. 焦距为10,离⼼率为35,焦点在x 轴上的双曲线的⽅程为__________. 6. 与椭圆1492422=+y x 有公共焦点,且离⼼率为45的双曲线⽅程为________. 7. 已知椭圆的⽅程为16422=+y x ,若P 是椭圆上⼀点,且,7||1=PF则________||2=PF .8. 已知双曲线⽅程为14491622-=-y x ,若P 是双曲线上⼀点,且,7||1=PF 则________||2=PF .9. 已知双曲线经过)5,2(-P ,且焦点为)6,0(±,则双曲线的标准⽅程为______10. 已知椭圆12516922=+y x 上⼀点P 到左焦点的距离为12,则P 点到左准线的距离为__________.11. 已知双曲线1366422=-y x 上点P 到右准线的距离为532,则P 点到右焦点的距离为__________.12. 已知⼀等轴双曲线的焦距为4,则它的标准⽅程为____________________.13. 已知曲线⽅程为14922=-+-k y k x , (1) 当曲线为椭圆时,k 的取值范围是______________.(2) 当曲线为双曲线时,k 的取值范围是______________.14. ⽅程y 2 = 2px (p >0)中的字母p 表⽰( ).A .顶点、准线间的距离B .焦点、准线间的距离C .原点、焦点间距离D .两准线间的距离15. 抛物线x y 22=的焦点坐标为__________,准线⽅程为____________.16. 抛物线y x 212-=的焦点坐标为__________,准线⽅程为____________.17. 顶点在原点,对称轴为坐标轴,焦点为)0,2(-的抛物线⽅程为________.18. 顶点在原点,对称轴为坐标轴,准线⽅程为81-=y 的抛物线⽅程为____. 19. 经过点)8,4(-P ,顶点在原点,对称轴为x 轴的抛物线⽅程为__________.解析⼏何(四) 1. 如果直线l 与直线3x -4y +5=0关于y 轴对称,那么直线l 的⽅程为_____.2. 直线3x + y +1=0的倾斜⾓的⼤⼩是__________.3. 过点(1,-2)且倾斜⾓的余弦是-35 的直线⽅程是______________.4. 若两条直线l 1: ax +2y +6=0与l 2: x +(a -1)y +3=0平⾏,则a 等于_________.5. 过点(1,3)且垂直于直线052=-+y x 的⽅程为________________.6. 图中的阴影区域可以⽤不等式组表⽰为().A. ≤+-≤≥0110y x y xB.≤+-≥≤0101y x y x C. ≥+-≥≤0101y x y x D. ??≥+-≥≥0101y x y x 7. 已知圆的直径两端点为)4,3(),2,1(-,则圆的⽅程为_____________.8. 圆⼼在点)2,1(-且与x 轴相切的圆的⽅程为________________.9. 已知02024:22=---+y x y x C 圆,它的参数⽅程为_________________.10. 已知圆的参数⽅程是θθsin 2cos 2{==y x (θ为参数),那么该圆的普通⽅程是______ 11. 圆x 2+y 2-10x=0的圆⼼到直线3x +4y -5=0的距离等于___________.12. 过圆x 2+y 2=25上⼀点P(4, 3),并与该圆相切的直线⽅程是____________.13. 已知椭圆的两个焦点是F 1(-2, 0)、F 2(2, 0),且点A(0, 2)在椭圆上,那么这个椭圆的标准⽅程是_________.14. 已知椭圆的⽅程为x 29 +y 225 =1,那么它的离⼼率是__________.15. 已知点P 在椭圆x 236 +y 2100 =1上,且它到左准线的距离等于10,那么点P 到左焦点的距离等于______.16. 与椭圆x 29 +y 24 =1有公共焦点,且离⼼率e =52 的双曲线⽅程是()A. x 2-y 24 =1B. y 2-x 24 =1C. x 24 -y 2=1D. y 24 -x 2=117. 双曲线x 24 -y 29 =1的渐近线⽅程是___________.18. 如果双曲线x 264 -y 236 =1上⼀点P 到它的右焦点的距离是5,那么点P 到它的右准线的距离是___________.19. 抛物线x y 22=的焦点坐标为__________.20. 抛物线y x 212-=的准线⽅程为__________. 21. 若抛物线y 2=2px 上⼀点横坐标为6,这个点与焦点的距离为10,那么此抛物线的焦点到准线的距离是_______.⽴体⼏何(⼀)判断下列说法是否正确:1. 下列条件,是否可以确定⼀个平⾯:[ ](1)不共线的三个点[ ](2)不共线的四个点[ ](3)⼀条直线和⼀个点[ ](4)两条相交或平⾏直线2. 关于空间中的直线,判断下列说法是否正确:[ ](1)如果两直线没有公共点,则它们平⾏[ ](2)如果两条直线分别和第三条直线异⾯,则这两条直线也异⾯[ ](3)分别位于两个平⾯内的两条直线是异⾯直线[ ](4)若βαβα//,,??b a ,则a,b 异⾯[ ](5)不在任何⼀个平⾯的两条直线异⾯[ ](6)两条直线垂直⼀定有垂⾜[ ](7)垂直于同⼀条直线的两条直线平⾏[ ](8)若c a b a //,⊥,则b c ⊥[ ](9)过空间中⼀点有且只有⼀条直线和已知直线垂直[ ](10)过空间中⼀点有且只有⼀条直线和已知直线平⾏3. 关于空间中的直线和平⾯,判断下列说法是否正确:[ ](1)直线和平⾯的公共点个数可以是0个,1个或⽆数[ ](2)若,,//α?b b a 则α//a[ ](3)如果⼀直线和⼀平⾯平⾏,则这条直线和平⾯的任意直线平⾏[ ](4)如果⼀条直线和⼀个平⾯平⾏,则这条直线和这个平⾯内的⽆数条直线平⾏[ ](5)若两条直线同时和⼀个平⾯平⾏,则这两条直线平⾏[ ](6)过平⾯外⼀点,有且只有⼀条直线和已知平⾯平⾏[ ](7)过直线外⼀点,有⽆数个平⾯和已知直线平⾏[ ](8)若共⾯且b a b a ,,,//αα?,则b a //4. 关于空间中的平⾯,判断下列说法是否正确:[ ](1)两个平⾯的公共点的个数可以是0个,1个或⽆数[ ](2)若b a b a //,,βα??,则βα//[ ](3)若βαβα//,,??b a ,则a βαα//,?a β//a αα//,//b a b a //βα//,//a a βα//αβα?a ,//β//a 关于直线与平⾯的垂直,判断下列说法是否正确:[ ](1)如果⼀直线垂直于⼀个平⾯内的所有直线,则这条直线垂直于这个平⾯[ ](2)若αα?⊥a l ,,则a l ⊥[ ](3)若m l m ⊥?,α,则α⊥l[ ](4)若n l m l n m ⊥⊥?,,,α,则α⊥l[ ](5)过⼀点有且只有⼀条直线和已知平⾯垂直[ ](6)过⼀点有⽆数个平⾯和已知直线垂直6. 关于平⾯和平⾯垂直,判断下列说法是否正确:[ ] (1)若,,βα⊥?a a 则βα⊥[ ] (2)若b a b a ⊥??,,βα,则βα⊥[ ] (3)若,,,βαβα??⊥b a ,则b a ⊥[ ] (4)若,,βαα⊥?a 则β⊥a[ ] (6)若γαβα//,⊥,则γβ⊥[ ] (7)垂直于同⼀个平⾯的两个平⾯平⾏[ ] (8)垂直于同⼀条直线的两个平⾯平⾏[ ] (9)过平⾯外⼀点有且只有⼀个平⾯与已知平⾯垂直7. 判断下列说法是否正确:[ ] (1)两条平⾏线和同⼀平⾯所成的⾓相等[ ] (2)若两条直线和同⼀平⾯所的⾓相等,则这两条直线平⾏[ ] (3)平⾯的平⾏线上所有的点到平⾯的距离都相等[ ] (4)若⼀条直线上有两点到⼀个平⾯的距离相等,则这条直线和平⾯平⾏⽴体⼏何(⼆)1. 若平⾯的⼀条斜线长为2,它在平⾯内的射影的长为3,则这条斜线和平⾯所成的⾓为________.2. 在⼀个锐⼆⾯⾓的⼀个⾯内有⼀点,它到棱的距离是到另⼀个平⾯距离的2倍,则这个⼆⾯⾓的⼤⼩为________.3. 已知AB 为平⾯α的⼀条斜线,B 为斜⾜,α⊥AO ,O 为垂⾜,BC 为平⾯内的⼀条直线,?=∠?=∠45,60OBC ABC ,则斜线AB 与平⾯所成的⾓的⼤⼩为________.4. 观察题中正⽅体ABCD-A 1B 1C 1D 1中, ⽤图中已有的直线和平⾯填空:(1) 和直线BC 垂直的直线有_________________.(2) 和直线BB 1垂直且异⾯的直线有__________.(3) 和直线CC 1平⾏的平⾯有________________.(4) 和直线BC 垂直的平⾯有________________.(5) 和平⾯BD 1垂直的直线有________________.5. 在边长为a 正⽅体!111D C B A ABCD -中(1)C B C A 111与所成的⾓为________.(2)1AC 与平⾯ABCD 所成的⾓的余弦值为________.(3)平⾯ABCD 与平⾯11B BDD 所成的⾓为________.(4)平⾯ABCD 与平⾯11B ADC 所成的⾓为________.(5)连结11,,DA BA BD ,则⼆⾯⾓1A BD A --的正切值为________.(6)BC AA 与1的距离为________.(7)11BC AA 与的距离为________.6. 在棱长均为a 的正三棱锥ABC S -中,(1) 棱锥的⾼为______.(2) 棱锥的斜⾼为________.(3) SA 与底⾯ABC 的夹⾓的余弦值为________.(4) ⼆⾯⾓A BC S --的余弦值为________.(5) 取BC 中点M ,连结SM ,则AC 与SM 所成的⾓的余弦值是_____.(6) 若⼀截⾯与底⾯平⾏,交SA 于A ’,且SA’:A’A =2:1,则截⾯的⾯积为______.7. 在棱长均为a 的正四棱锥ABCD S -中,(1) 棱锥的⾼为______.(2) 棱锥的斜⾼为________.(3) SA 与底⾯ABCD 的夹⾓为________.(4) ⼆⾯⾓A BC S --的⼤⼩为________. 8. 已知正四棱锥的底⾯边长为24,侧⾯与底⾯所成的⾓为?45,那么它的侧⾯积为_________.9. 在正三棱柱111C B A ABC -中,底⾯边长和侧棱长均为a , 取AA 1的中点M ,连结CM ,BM ,则⼆⾯⾓A BC M --的⼤⼩为 _________.10.已知长⽅体的长、宽、⾼分别是2、3、4,那么它的⼀条对⾓线长为_____.11. 在正三棱锥中,已知侧⾯都是直⾓三⾓形,那么底⾯边长为a 时,它的全⾯积是______.12. 若球的⼀截⾯的⾯积是π36,且截⾯到球⼼的距离为8,则这个球的体积为______,表⾯积为_________.。
高中数学会考集训1、若a b >,R c ∈,则下列命题中成立的是( ) A .bc ac > B .1>b a C .22bc ac ≥ D .ba 11< 2.已知lg2=a ,lg3=b ,则3lg 2=( )(A )a -b (B )b -a (C )ba(D )a b3.在等比数列{}n a 中,若32a =,则12345a a a a a =( )(A )8(B )16(C )32(D )4、函数()f x =的定义域是( ) A .1x <-或1x ≥ B .1x <-且1x ≥ C .1x ≥ D .11x -<< 5、函数x x x y 2sin 21cos sin 2-+⋅=的最小正周期是( ) A .2πB . πC . π2D . π4 6、为了得到函数x y 2sin 3=,R x ∈的图象,只需将函数3sin 23y x π⎛⎫=- ⎪⎝⎭,R x ∈的图象上所有的点( )A . 向左平行移动3π个单位长度 B . 向右平行移动3π个单位长度 C . 向左平行移动6π个单位长度D . 向右平行移动6π个单位长度7、在等差数列}{n a 中,32=a ,137=a ,则10S 等于( ) A . 19 B . 50 C . 100 D . 120 8、甲、乙两个人投篮,他们投进蓝的概率分别为25,12现甲、乙两人各投篮1次则两个人都投进的概率是( ) A .15 B .103 C . 910 D . 459、圆0204222=-+-+y x y x 截直线0125=+-c y x 所得弦长为8,则c 的值为( )A . 10B .-68C . 12D . 10或-68 10、已知等比数列{}n a 满足1223412a a a a +=+=,,则5a = ( ) A .64 B .81 C .128 D .24311、如果执行右面的程序框图,那么输出的S 等于( )A .20B . 90C . 110D . 13212. 若数列{}n a 满足:对任意的n N *∈,只有有限个正整数m 使得m a n <成立,记这样的m 的个数为()n a *,则得到一个新数列{}()n a *.例如,若数列{}n a 是1,2,3,n …,…,则数列{}()n a *是0,1,2,1,n -…,….已知对任意的N n *∈,2n a n =,则5()a *= ,(())n a **= .13.已知数列{}n a 满足1133,2,n n a a a n +=-=则na n的最小值为__________. 14、设222tan =θ, 2πθπ⎛⎫∈ ⎪⎝⎭,,求θθθθcos sin 1sin 2cos 22+--的值.15、已知数列}{n a 中,n S 是它的前n 项和,并且241+=+n n a S ,11=a . (1)设n n n a a b 21-=+,求证}{n b 是等比数列;(2)设n nn a C 2=,求证}{n C 是等差数列; (3)求数列}{n a 的通项公式及前n 项和公式.16.如图,在直三棱柱111ABC A B C -中,1111A B B C ⊥,E 、F 分别是1A B 、1A C 的中点.求证:(Ⅰ)EF∥平面ABC ;(Ⅱ)平面11A FB ⊥平面11BB C C . 17.设二次方程()2*110n n a x a x n N +-+=∈有两根α和β,且满足6263ααββ-+=.(1)试用n a 表示1+n a ;(2)求证:23n a ⎧⎫-⎨⎬⎩⎭是等比数列;(3)当671=a 时,求数列{}n a 的通项公式. 18.已知点()0 1A ,,B C ,是x 轴上两点,且6BC =(B 在C 的左侧).设ABC ∆的外接圆的圆心为M .(Ⅰ)已知4AB AC ⋅=-,试求直线AB 的方程;(Ⅱ)当圆M 与直线9y =相切时,求圆M 的方程;(Ⅲ)设1AB l =,2AC l =,1221l l s l l =+,试求s 的最大值. 19.求下面各数列的和: (1)111112123123n++++++++++; (2).21225232132n n -++++ 20.已知数列{}n a 是等差数列,且.12,23211=++=a a a a (1)求数列{}n a 的通项公式;(2)令).(R x x a b n n n ∈=求数列{}n b 前n 项和的公式.21.已知等差数列{}n a 满足:37a =,5726a a +=,{}n a 的前n 项和为n S . (Ⅰ)求n a 及n S ;(Ⅱ)令b n =211n a -(n ∈N *),求数列{}n b 的前n 项和n T .22.已知数列{}n a 中,1111,n n a a c a +==-.(Ⅰ)设51,22n n c b a ==-,(I )求数列{}n b 的通项公式; (II )求使不等式13n n a a +<<成立的c 的取值范围 .23.设数列{}n a 满足21112,32n n n a a a -+=-=。
高中数学会考试题及答案第一部分:选择题1. 下列哪个不是一次函数?A. f(x) = 2x + 3B. f(x) = 5x^2 - 3C. f(x) = 4x - 1D. f(x) = x/2 + 12. 已知直角三角形ABC,∠A = 90°,AB = 5 cm,AC = 12 cm,求BC的长度。
A. 10 cmB. 11 cmC. 13 cmD. 15 cm3. 解方程2x + 5 = 17的解为:A. x = 6B. x = 7C. x = 8D. x = 94. 已知函数f(x) = 3x - 2,求f(a + b)的值。
A. 4a + b - 2B. 2a + 3b - 2C. 3a + 3b - 2D. 3a + 3b + 25. 若三角形的三边分别为a, b, c,且满足c^2 = a^2 + b^2,这个三角形是:A. 等腰三角形B. 锐角三角形C. 直角三角形D. 钝角三角形第二部分:填空题6. 一个几何中心名为 ____________。
7. 一条直线和一个平面相交,交点个数为 ____________。
8. 未知数的指数为负数,表示 ____________。
9. 若两个角的和等于180°,则这两个角称为 ____________。
10. 在一个等边三角形中,每个内角大小为 ____________。
第三部分:解答题11. 用二分法求方程x^2 - 4x + 3 = 0在区间[1, 3]上的一个根的精确值。
12. 已知函数f(x) = 3x^2 - 12x + 9,求f(x)的最小值。
13. 若平面内通过点A(-2, 3)和点B(4, 1)的直线与x轴交于点C,求直线AC的斜率和方程。
答案:1. B2. C3. A4. B5. C6. 几何中心7. 一个8. 负数9. 互补角10. 60°11. 使用二分法可得根的精确值为2。
12. f(x)的最小值为 0。
2011级高中数学毕业会考试题命题: 二高高二数学组 2012.11.10一、选择题(共20个小题,每小题3分,共60分)每题只有一个符合题目要求,请把所选答案涂在“机读答题卡”相应位置上1.已知集合{}{}13,25A x x B x x A B =-≤<=<≤=,则( ) A. ( 2, 3 ) B. [-1,5] C. (-1,5) D. (-1,5] 2.sin3π4cos 6π5tan ⎪⎭⎫⎝⎛3π4-=( ).A .-433 B .433C .-43D .43 3.奇函数)(x f 在区间[]a b --,上单调递减,且)0(0)(b a x f <<>,那么)(x f 在区间[]b a ,上( )A .单调递减B .单调递增C .先增后减D .先减后增4.盛有水的圆柱形容器的内壁底面半径为5,两个直径为5的玻璃小球都浸没于水中,若取出这两个小球,则水面将下降的高度为( )A 、53 B 、3 C 、2 D 、 435.已知关于某设备的使用年限x 与所支出的维修费用y(元)有如下表统计资料:若y 对x 呈线性相关关系,则回归直线方程y bx a =+表示的直线一定过定点( ) A (3,4) B (4,6) C (4,5) D (5,7) 6.在等比数列{}n a 中,若32a =,则12345a a a a a = ( ) (A )8(B )16(C )32(D )7.在某次测量中得到的A 样本数据如下:82,84,84,86,86,86,88,88,88,88.若B 样本数据恰好是A 样本数据都加2后所得数据,则A ,B 两样本的下列数字特征对应相同的是( ) A .众数 B .平均数 C .中位数 D .标准差8.已知点()0,0O 与点()0,2A 分别在直线y x m =+的两侧,那么m 的取值范围是 ( )(A )20m -<< (B )02m << (C )0m <或2m > (D )0m >或2m <-9.函数sin 26y x π⎛⎫=+ ⎪⎝⎭图像的一个对称中心是 ( )(A )(,0)12π-(B )(,0)6π-(C )(,0)6π(D )(,0)3π10.已知0a >且1a ≠,且23a a >,那么函数()x f x a =的图像可能是( )(A ) (B ) (C ) (D )A 'GFEDC BA11.ABCD 为长方形,AB =2,BC =1,O 为AB 的中点,在长方形ABCD 内随机取一点,取到的点到O 的距离大于1的概率为( )A. π4 B .1-π4 C.π8 D .1-π812.某几何体的正视图和侧视图均如图1所示,则该几何体的俯视图不可能是( )13.有四个幂函数:①()1f x x -=; ②()2f x x -=; ③()3f x x =; ④()13f x x =.某同学研究了其中的一个函数,他给出这个函数的两个性质:(1)定义域是{x | x ∈R ,且x ≠0};(2)值域是{y | y ∈R ,且y ≠0}.如果这个同学给出的两个性质都是正确的,那么他研究的函数是 ( )(A )① (B )② (C )③ (D )④14.如图,正ABC ∆的中线AF 与中位线DE 相交于G ,已知ED A '∆是AED ∆绕DE 旋转过程中的一个图形, 下列四个命题正确的个数为( )①动点'A 在平面ABC 上的射影在线段AF 上; ②恒有平面BCED GF A 平面⊥'; ③三棱锥FED A -‘的体积有最大值; ④异面直线E A ’与BD 不可能垂直.A 3B 1C 2D 415.把函数y =sin x (x ∈R )的图象上所有点向左平行移动3π个单位长度,再把所得图象上所有点的横坐标缩短到原来的21倍(纵坐标不变),得到的图象所表示的函数是( ).A .y =sin ⎪⎭⎫ ⎝⎛3π - 2x ,x ∈R B .y =sin ⎪⎭⎫ ⎝⎛6π + 2x ,x ∈R C .y =sin ⎪⎭⎫ ⎝⎛3π + 2x ,x ∈R D .y =sin ⎪⎭⎫ ⎝⎛32π + 2x ,x ∈R16.有5件产品.其中有3件一级品和2件二级品.从中任取两件,则以0.7为概率的是( )A 至多有1件一级品B .恰有l 件一级品C .至少有1件一级品D .都不是一级品 17.△ABC 中,45A ∠=︒,105B ∠=︒,A ∠的对边2a =,则C ∠的对边c 等于 ( ) (A )2 (B(C(D )1A 图1B C D18.如果执行右面的程序框图,那么输出的S 等于( )(A )45 (B )55 (C )90 (D )110 19.已知直线420mx y +-=与250x y n -+=互相垂直,垂足为()1,p p ,则m n p -+的值是( ) A .24 B .20 C . 0 D .-420.如果方程x 2-4ax +3a 2=0的一根小于1,另一根大于1,那么实数a 的取值范围是 ( )(A )113a << (B )1a > (C )13a < (D )1a = 二、填空题(共4道小题,每小题3分,共12分)21.某校有高级教师26人,中级教师104人,其他教师若干.为了解该校教师的工资收入情况,若按分层抽样从该校的所有教师中抽取56人进行调查,已知从其他教师中共抽取了16人,则该校共有教师 人.22.直线b x y +=与曲线21y x -=有两个交点,则b 的取值 范围是 ;232,()()22-=-∙+b a b a ,则a 与b 的夹角为 24.16.下列说法中正确的有_______①刻画一组数据集中趋势的统计量有极差、方差、标准差等;刻画一组数据离散程度统计量有平均数、中位数、众数等。
②抛掷两枚硬币,出现“两枚都是正面朝上”、“两枚都是反面朝上”、“恰好一枚硬币正面朝上”的概率一样大,③有10个阄,其中一个代表奖品,10个人按顺序依次抓阄来决定奖品的归属,则摸奖的顺序对中奖率没有影响。
④向一个圆面内随机地投一个点,如果该点落在圆内任意一点都是等可能的,则该随机试验的数学模型是古典概型。
2011级高中数学毕业会考答题页(2012.12)班级 学籍号 姓名 成绩21. 22. 23. 24. . 三、解答题(共3道小题,共28分)25.( 8分) 如图所示,在四棱锥P —ABCD 中,底面为直角梯形,AD ∥BC ,∠BAD=90°,PA ⊥底面ABCD ,且PA=AD=AB=2BC ,M 、N 分别为PC 、PB 的中点. (1)求证:PB ⊥DM ;(2)求BD 与平面ADMN 所成的角.26.( 10分)在△ABC 中,设A 、B 、C 的对边分别为a 、b 、c ,向量m =(cosA,sinA),n =(2-sinA,cosA),若|m +n |=2. (1)求角A 的大小; (2)若b=42,且c=2a ,求△ABC 的面积.27.( 10分)已知等差数列}{n a 的前n 项和为S n ,且262-+=n n S n (*N n ∈),(1)求数列}{n a 的通项公式a n ; (2)设na ab n n n +=+11,求数列{b n }的前n 项和T n2011级高中数学毕业会考答案 2012.11.10一、选择题:(共20个小题,每小题3分,共60分) BABAC |CDBAA |BDAAB |CACBA二、填空题:(4个小题,每题3分,共12分)21. 182 22. ]1,2(--;23. 。
60 24. _ ③ 三、解答题(共3道小题,共28分)25.(8分)在△ABC 中,设A 、B 、C 的对边分别为a 、b 、c ,向量m =(cosA,sinA),n =(2-sinA,cosA),若|m +n |=2.(1)求角A 的大小; (2)若b=42,且c=2a ,求△ABC 的面积.解 (1)m +n =(2+cosA-sinA,cosA+sinA), |m +n |2=(2+cosA-sinA)2+(cosA+sinA)2=2+22(cosA-sinA)+(cosA-sinA)2+(cosA+sinA)2=2+22(cosA-sinA)+2=4-4sin (A-4π)∵|m +n |=2,∴4-4sin (A-4π)=4,sin (A-4π)=0. 又∵0<A <π,∴-4π<A-4π<43π,∴A-4π=0,∴A=4π.(2)由余弦定理,a 2=b 2+c 2-2bccosA,又b=42,c=2a,A=4π,得a 2=32+2a 2-2×42×2a ·22,即a 2-82a+32=0,解得a=42,∴c=8.∴S △ABC =21b ·csinA=21×42×8×sin 4π=16.S △ABC =21×(42)2=16.26.(10分) (1)证明 ∵N 是PB 的中点,PA=PB ,∴AN ⊥PB.∵∠BAD=90°,∴AD ⊥AB.∵PA ⊥平面ABCD ,∴PA ⊥AD.∵PA ∩AB=A ,∴AD ⊥平面PAB ,∴AD ⊥PB. 又∵AD ∩AN=A ,∴PB ⊥平面ADMN. ∵DM ⊂平面ADMN ,∴PB ⊥DM.(2)解 连接DN ,∵PB ⊥平面ADMN ,∴∠BDN 是BD 与平面ADMN 所成的角,在Rt △BDN 中,sin ∠BDN=BD BN =ABAB2221⋅=21, ∴∠BDN=30°,即BD 与平面ADMN 所成的角为30°.27.( 10分)已知等差数列}{n a 的前n 项和为S n ,且262-+=n n S n (*N n ∈),(1)求数列}{n a 的通项公式a n ; (2)设na ab n n n +=+11,求数列{b n }的前n 项和T n解:(Ⅰ)由题意,当n=1时,a 1=S 1=-2 当2≥n 时,有.26)1()1(26221n n n n n S S a n n n =--+---+=-=- ∴⎩⎨⎧≥=-=)2( )1(2n n n a n …………1分(Ⅱ)当n=1时,31122111211-=+⨯-=+=a a b 当2≥n 时, )2(121)1(1121+=+=++=+==n n n n n n n na ab n n n)211(21+-=n n ∴数列{b n }的前n 项和T n =b 1+b 2+…+b n =)2111111614151314121(2131+-++--++-+-+-+-n n n n =1111111111()()32231212212n n n n -++--=-+++++。