初一上册计算题大全
- 格式:docx
- 大小:36.32 KB
- 文档页数:2
初一上册数学计算题100道1. 单项选择题(每题1分)1.一个正方形的边长是5cm,面积是多少?– A. 10cm²– B. 15cm²– C. 20cm²– D. 25cm²2.若a=3,b=5,则2a+b的结果是?– A. 6– B. 7– C. 8– D. 93.下列哪个小数是无限循环小数?– A. 0.4– B. 0.75– C. 0.428– D. 0.333…4.已知三角形的两个角分别是70°和90°,则第三个角的度数是多少?– A. 10°– B. 20°– C. 30°– D. 40°5.若一个数的平方等于16,则这个数是多少?– A. 2– B. 4– C. 6– D. 8…2. 填空题(每题2分)1.12÷3×2-4的结果是___。
2.1/3 + 1/6的结果是___。
3.一个矩形的长是5cm,宽是3cm,它的面积是___cm²。
4.已知三角形的底是6cm,高是4cm,它的面积是___cm²。
5.若x=5,y=3,则2x-3y的结果是___。
…3. 计算题(每题5分)1.将36分解成两个因数的乘积。
–解答:36可以分解成两个因数的乘积,如:1 * 36、2 * 18、3 * 12、4 * 9、6 * 6。
等等。
不同的分解方式有很多种。
2.计算:[(2+3) × (4-1)] ÷ 5。
–解答:首先计算括号内的值:2+3=5,4-1=3. 然后将得到的结果相乘:5×3=15. 最后将结果除以5得到最终答案:15÷5=3.…4. 应用题(每题10分)1.钱柜里有100只装有红球和白球的盒子,其中有50只盒子是只装有红球,20只盒子是只装有白球,还有30只盒子是既装有红球又装有白球的。
如果随机选取一个盒子,那么取到红球的概率是多少?–解答:取到红球的概率可以用公式计算:(红球盒子的数量)/(总盒子的数量)。
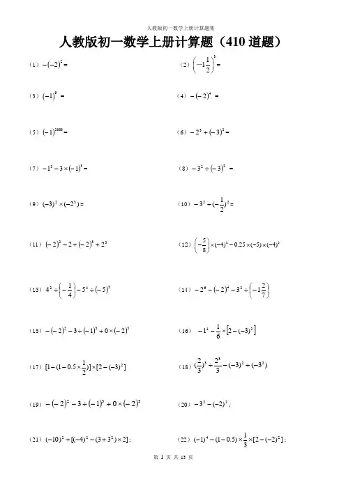
初一数学上册计算题(400道题)(1)()22--= (2)3112⎛⎫⎪⎝⎭-=(3)()91- = (4)()42-- =(5)()20031-= (6)()2332-+-=(7)()33131-⨯--= (8)()2233-÷- =(9))2()3(32-⨯-= (10)22)21(3-÷-=(11)()()3322222+-+-- (12)235(4)0.25(5)(4)8⎛⎫-⨯--⨯-⨯- ⎪⎝⎭(13)()34255414-÷-⎪⎭⎫ ⎝⎛-÷ (14)()⎪⎭⎫ ⎝⎛-÷----721322246(15)()()()33220132-⨯+-÷--- (16) []24)3(2611--⨯--(17)])3(2[)]215.01(1[2--⨯⨯-- (18)(19)()()()33220132-⨯+-÷--- (20)22)2(3---;(21)]2)33()4[()10(222⨯+--+-; (22)])2(2[31)5.01()1(24--⨯⨯---;332222()(3)(3)33÷--+-(23)94)211(42415.0322⨯-----+-; (24)20022003)2()2(-+-;(25))2()3(]2)4[(3)2(223-÷--+-⨯--; (26)200420094)25.0(⨯-.(27)()0252423132.⨯--÷-⎛⎝ ⎫⎭⎪+⎡⎣⎢⎢⎤⎦⎥⎥ (28)()()----⨯-221410222(29)()()()-⨯÷-+-⎛⎝ ⎫⎭⎪⨯-÷-3120313312232325.. (30)()()()-⎛⎝ ⎫⎭⎪⨯-⨯-⨯-212052832.(31) (32)(56)(79)---(33)(3)(9)(8)(5)-⨯---⨯- (34)3515()26÷-+(35)5231591736342--+- (36)()()22431)4(2-+-⨯---(37)411)8()54()4()125.0(25⨯-⨯-⨯-⨯-⨯33182(4)8-÷--(38)如果0)2(12=-++b a ,求20112010()-3ab a b a a ++-()的值(39)已知|1|a +与|4|b -互为相反数,求b a 的值。
七年级上册数学计算题专练一、有理数运算类。
1. 计算:(-3)+5 - (-2)- 解析:- 根据有理数加减法法则,减去一个数等于加上这个数的相反数。
- 所以(-3)+5 - (-2)=(-3)+5 + 2。
- 先计算(-3)+5 = 2,再计算2+2 = 4。
2. 计算:-2×(-3)÷(1)/(2)- 解析:- 根据有理数乘除法法则,先算乘法-2×(-3)=6。
- 再算除法6÷(1)/(2)=6×2 = 12。
3. 计算:(-2)^3+(-3)×[(-4)^2 - 2]- 解析:- 先计算指数运算,(-2)^3=-8,(-4)^2 = 16。
- 然后计算括号内的式子(-4)^2-2 = 16 - 2=14。
- 接着计算乘法-3×14=-42。
- 最后计算加法-8+(-42)=-8 - 42=-50。
二、整式加减类。
4. 化简:3a + 2b-5a - b- 解析:- 合并同类项,对于a的同类项3a-5a=(3 - 5)a=-2a。
- 对于b的同类项2b - b=(2 - 1)b = b。
- 所以化简结果为-2a + b。
5. 计算:(2x^2 - 3x + 1)-(3x^2 - 5x - 2)- 解析:- 去括号,得到2x^2-3x + 1-3x^2 + 5x+2。
- 合并同类项,2x^2-3x^2=(2 - 3)x^2=-x^2,-3x+5x=( - 3+5)x = 2x,1 + 2=3。
- 所以结果为-x^2+2x + 3。
三、一元一次方程类。
6. 解方程:2x+3 = 5x - 1- 解析:- 移项,将含x的项移到一边,常数项移到另一边,得到2x-5x=-1 - 3。
- 合并同类项-3x=-4。
- 系数化为1,x=(4)/(3)。
7. 解方程:(x+1)/(2)-(2x - 1)/(3)=1- 解析:- 先去分母,等式两边同时乘以6,得到3(x + 1)-2(2x - 1)=6。
初一数学上册计算题(400道题)(1)()22--= (2)3112⎛⎫⎪⎝⎭-=(3)()91- = (4)()42-- =(5)()20031-= (6)()2332-+-=(7)()33131-⨯--= (8)()2233-÷- =(9))2()3(32-⨯-= (10)22)21(3-÷-=(11)()()3322222+-+-- (12)235(4)0.25(5)(4)8⎛⎫-⨯--⨯-⨯- ⎪⎝⎭(13)()34255414-÷-⎪⎭⎫ ⎝⎛-÷ (14)()⎪⎭⎫ ⎝⎛-÷----721322246(15)()()()33220132-⨯+-÷--- (16) []24)3(2611--⨯-- (17)])3(2[)]215.01(1[2--⨯⨯-- (18) (19)()()()33220132-⨯+-÷--- (20)22)2(3---;(21)]2)33()4[()10(222⨯+--+-; (22)])2(2[31)5.01()1(24--⨯⨯---;(23)94)211(42415.0322⨯-----+-; (24)20022003)2()2(-+-;(25))2()3(]2)4[(3)2(223-÷--+-⨯--; (26)200420094)25.0(⨯-. (27)()0252423132.⨯--÷-⎛⎝ ⎫⎭⎪+⎡⎣⎢⎢⎤⎦⎥⎥ (28)()()----⨯-221410222(29)()()()-⨯÷-+-⎛⎝ ⎫⎭⎪⨯-÷-3120313312232325.. (30)()()()-⎛⎝ ⎫⎭⎪⨯-⨯-⨯-212052832.(31) (32)(56)(79)---(33)(3)(9)(8)(5)-⨯---⨯- (34)3515()26÷-+(35)5231591736342--+- (36)()()22431)4(2-+-⨯---(37)411)8()54()4()125.0(25⨯-⨯-⨯-⨯-⨯(38)如果0)2(12=-++b a ,求20112010()-3ab a b a a ++-()的值332222()(3)(3)33÷--+-(39)已知|1|a +与|4|b -互为相反数,求b a 的值。
七年级上计算题800题七年级上计算题综合一本全有理数1、 111117(113)(2)92844⨯-+⨯-2、419932(4)(1416)41313⎡⎤--⨯-÷-⎢⎥⎣⎦3、 33221121(5533)22⎡⎤⎛⎫⎛⎫--÷+⨯+⎢⎥ ⎪ ⎪⎝⎭⎝⎭⎢⎥⎣⎦4、2335(2)(10.8)114⎡⎤---+-⨯÷--⎢⎥⎣⎦5、(—315)÷(—16)÷(—2) 6、 –4 + 2 ×(-3) –6÷0.257、(—5)÷[1.85—(2—431)×7] 8、 18÷{1-[0.4+ (1-0.4)]×0.49、1÷( 61-31)×61 10、 –3-[4-(4-3.5×31)]×[-2+(-3) ]11、 8+(-41)- 5- (- 0.25) 12、 99 × 2613、 (3.5-7.75-4.25)÷1.114、|])21((|31)322(|)2(41[|)116(21523---÷-⨯-+----15、13611754136227231++-; 16、20012002200336353⨯+⨯-17、()5.5-+()2.3-()5.2---4.8 18、()8-)02.0()25(-⨯-⨯19、21+()23-⎪⎭⎫ ⎝⎛-⨯21 20、81)4(2833--÷-21、100()()222---÷⎪⎭⎫ ⎝⎛-÷3222、(-371)÷(461-1221)÷(-2511)×(-143)23、(-2)14×(-3)15×(-61)1424、-42+5×(-4)2-(-1)51×(-61)+(-221)÷(-241)25、-11312×3152-11513×41312-3×(-11513)26、41+3265+2131--27、()()4+×733×250)-(.-28、=++-)3()12( 29、=-++)4()15( 30、=-+-)8()16( 31、=+++)24()23( 32、=+-132)102( 33、=+(-11)(-32) 34、=+-0)35( 35、=-+)85(78 36、)3()26()2()4()14(-+++-+-++ 37、)15()41()26()83(++-+++-38、)2.0(3.1)9.0()7.0()8.1(-++-+++- 39、)326()434()313(41-+++-+40、=+--)15()14( 41、=---)16()14( 42、=--+)9()12( 43、=+-)17(12 44、=+-)52(0 45、=--)11(10846、=+-)3.2(8.4 47、=--)213(248、)5()]7()4[(--+-- 49、]12)3[(3--- 50、)109(8-- 51、)106()53(--- 52、543210-+-+- 53、2.104.87.52.4+-+-54、18)12()10(1130+-+----55、)61(41)31()412(213+---+--56、2111943+-+-- 57、31211+-58、)]18()21(26[13-+--- 59、2111)43(412--+---60、=⨯(-4)3 61、=⨯(-6)2 62、=⨯0(-6)63、=-⨯)43(32 64、=-⨯-)21()2( 65、=-⨯-)25.0()4(66、)25()7()4(-⨯-⨯- 67、)34(8)53(-⨯⨯-68、)1514348(43--⨯ 69、)8(45)201(-⨯⨯-70、53)8()92()4()52(8⨯-+-⨯---⨯71、)8(12)11(9-⨯-+⨯-72、=÷(-3)36 73、=÷21(-2) 74、=÷(-5)0 75、=÷(-0.2)8 76、=÷)43(-)87(- 77、6.018÷-78、)412()21()43(-÷-⨯- 79、2411)25.0(6⨯-÷-80、)21(31)32(-÷÷- 81、)2(48-÷+-82、)51(250-⨯÷- 83、)3(4)2(817-⨯+-÷-84、1)101(250322-⨯÷+ 85、911)325.0(321÷-⨯-86、1)51(25032--⨯÷+ 87、])3(2[)]215.01(1[2--⨯⨯--88、)145()2(52825-⨯-÷+-89、6)3(5)3(42+-⨯--⨯90、)25.0(5)41(8----+ 91、)48()1214361(-⨯-+-92、31)321()1(⨯-÷- 93、)199(41212+-÷⨯94、)16(94412)81(-÷+÷- 95、)]21541(43[21----96、13+(+7)-(-20)-(-40)-(+6)97、)2(9449344-÷+÷-98、22)36()33(24)12581(÷-÷---⨯-99、13)18()14(20----+-100、 8+(―41)―5―(―0.25) 101、 (-12)÷4×(-6)÷2102、 )1279543(+--÷361103、 2)5()2(10-⨯-+104、 (7)(5)90-⨯--÷(15)-105、 721×143÷(-9+19)106 、25×43―(―25)×21+25×(-41)107、 ()1-⎪⎭⎫⎝⎛-÷2131108、(-81)÷241+94÷(-16)109、 2(x-3)-3(-x+1)110、-4÷32-(-32)×(-30)111、 3223121213+⎪⎭⎫ ⎝⎛--⎪⎭⎫ ⎝⎛-+112、47÷)6(3287-⨯-113、48245834132⨯⎪⎭⎫⎝⎛+--114、|97|-÷2)4(31)5132(-⨯--115、 -22 -〔-32 + (- 2)4 ÷23 〕116、235(4)0.25(5)(4)8⎛⎫-⨯--⨯-⨯- ⎪⎝⎭117、 200423)1()2(161)1()21()21(-÷-⨯⎥⎦⎤⎢⎣⎡--÷--118、 100()()222---÷3)2(32-+⎪⎭⎫ ⎝⎛-÷ 119、 ―22+41×(-2)2120、 322)43(6)12(7311-⨯⎥⎦⎤⎢⎣⎡÷-+-- 121、 111117(113)(2)92844⨯-+⨯-122、419932(4)(1416)41313⎡⎤--⨯-÷-⎢⎥⎣⎦123、(-36)-[(-54)-(+32)]124、 (+3.74)-[(-5.91)-(-2.74)+(-2.78)] 125、 (-0.4)÷0.02×(-5)126、)—()—)+(—(25.0433242÷⨯ 127、 75)21(212)75(75211⨯-+⨯--⨯128、11)()+(2532.015[3-÷⨯----] 129 、12(4)4⎡⎤-|-16|-⨯-⎢⎥⎣⎦÷⎥⎦⎤⎢⎣⎡--)813(41130、 2335(2)(10.8)114⎡⎤---+-⨯÷--⎢⎥⎣⎦131、多项式计算一、合并同类项1、-5ab+3ab2、18p-9q+5-9q-10p3、-31a b 2+65a b 2-21b2a 4、3(a+b)2-4(a+b)25、2ab-5ab+3ab6、5x 2y-12y 2x 4+3x 4y 2-6yx 27、18p-9q+5+9q-16p 8、5a-(3b-2c+a)9、(3m-5)-(n-3m) 10、-(2m-3)10、n-3(4-2m) 12、a+5(-b-1)13、-(5m+n)-7(a-3b) 14、2ab-(3ab-5a 2b)15、6a 2-4ab-4(2a 2+21ab) 16、3x-[5x-(21x-4)]17、3x-5x+(3x-1) 18、4(xyz-2xy)-(xyz-3z)+3(2xy-z)19、A=x 2+xy+y 2, B=-3xy-x 2,求B-A 、2A-3B20、2a 2-(a+2b-3c) 21、-(2a-b)+(c-1)22、x 2+(3x-y+y 2) 23、-(a+b)-(c-d)24、-{-[-(5x-4y)]} 25、3(m-1)-4(1-m)26、-3(2x2-xy)+4(x2+xy+6)27、-{+[-(x-y)]}+{-[-(x+y)]}1(xy-x2)-8xy 29.-2(ab-3a2)-[2b2-(5ab+a2)+2ab]28、2x2-230、y2-(6x-y+3z) 31、9x2-[x-(5z+4)]32、x+[-6y+(5z-1)] 33、-(7x+y)+(z+4)34、4(x2+xy-6)-3(2x2-xy) 35、x+[(3x+1)-(4-x)]36、-(2x-y) 37、-3a+(4a2+2)38、-[-(2a-3y)] 39、-3(a-7)40、A=4a2+5b,B=-3a2-2b,求2A-B41、(a+b)+2(a+b)-4(a+b) 42、(7x-3y)-(10y-5x)43、-(m-2n)+4(m+5n)-2(-3m-n) 44、-xy2+3xy245、7a+3a2+2a-a2+3 46、3a+2b-5a-b47、-4ab+8-2b2-9ab-8 48、3b-3a3+1+a3-2b49、2y+6y+2xy-5 50、3f+2f-7f51、x-f+5x-4f 52、2a+3b+6a+9b-8a+12b53、3pq+7pq+4pq+pq 54、30a2b+2b2c-15a2b-4b2c55、7xy-8wx+5xy-12xy 56、4+3(x-1) 57、4x-(x-1) 58、4a-(a-3b)59、a+(5a-3b)-(a-2b) 60、3(2xy-y)-2xy61、8x-(-3x-5) 62、(3x-1)-(2-5x)63、(-4y+3)-(-5y-2) 64、3x+1-2(4-x)65、-(2m-3) 66、n-3(4-2m)67、16a-8(3b+4c) 68、t+32(12-9v)69、-(5m+n)-7(a-3b)70、-21(x+y)+41(p+q)71、-8(3a-2ab+4) 72、4(m+p)-7(n-2q)73、-2n-(3n-1) 74、a-(5a-3b)+(2b-a)75、-3(2s-5)+6s 76、1-(2a-1)-(3a+3)77、3(-ab+2a)-(3a-b)78、14(abc-2a)+3(6a-2abc)79、3(xy-2z)+(-xy+3z)80、-4(pq+pr)+(4pq+pr)81、5x 4+3x 2y-10-3x 2y+x 4-1 82、p 2+3pq+6-8p 2+pq83、(7y-3z)-(8y-5z) 84、-(a 5-6b)-3(-5a-4b)85、2(2a 2+9b)+3(-5a 2-4b) 86、-3(2x 2-xy)+4(x 2+xy-6)87、3b 2-(a 2+b 2)-b 2 88、x+(2x-1)-(3x +3)89、-2(ab-3a 2)+(5ab-a 2) 90、2a 2-(ab+a 2)-8ab91、-(b-4)+4(-b-3) 92、21(x 2-y)+31(x-y 2)+61(x 2+y 2)93、5x 3+3x 2y-10-3x 2y+x 3-1 94、-3(2x 2+xy)-4(2x 2-xy-7)二、先化简,再求值1、当x=2时,求代数式-3x 2+5x-0.5x 2+x-1的值2、当p=3,q=3时,求代数式8p 2-7q+6q-7p 2-7的值3、当x=-5时,求代数式6x+2x 2-3x+2x+1的值4、当x=2,y=-3时,求代数式4x 2+3xy-x 2-9的值5、当m=6,n=2时,求代数式31m-23n-65n-61m 的值6、当m=5,p=31,q=-23时,求代数式3pq-54m-4pq 的值7、当x=-2时,求代数式9x+6x 2-3(x-32x 2)的值8、当x=21时,求代数式41(-4x 2+2x-8)-(21x-1)的值9、当a=-1,b=1时,求代数式(5a 2-3b 2)+(a 2+b 2)-(5a 2+3b 2)的值10、当a=-2,b=2时,求代数式2(a 2b+ab 2)-2(a 2b-1)-2ab 2-2的值11、当x=-21,y=-1时,求代数式2x 2y+1的值12、当x=-2时,求代数式x+x1的值13、当x=-1,y=-2时,求代数式2xy+3x 2y-6xy-4x 2y 的值14、当m=5,p=31,q=-23时,求代数式3pq-54m-4pq+m 的值15、当m 2-mn=1,4mn-3n 2=-2时,求代数式m 2+3mn-3n 2的值16、当x=-1,y=-2时,求代数式3-2xy+3yx 2+6xy-4x 2y 的值17、当x 2-xy=3a,xy-y 2=-2a 时,求代数式x 2-y 2的值18、当x=2004,y=-1时,求代数式A=x 2-xy+y 2,B=-x 2+2xy+y 2,A+B 的值19、当a=5时,求代数式(6a+2a 2+1)-(a 2-3a)的值20、当x=-2时,求代数式9x+6x 2-3(x-32x 2)的值21、当x=5时,求代数式21(2x 2-6x-4)-4(-1+x+41x 2)的值22、当x=21,时,求代数式(2x 2-x-1)-(x 2-x-31)+(3x 2-331)的值23、当x 2+xy=2,y 2+xy=5时,求代数式x 2+2xy+y 2的值24、当a-b=4,c+d=-6时,求代数式(b+c)-(a-d)的值25、当a=21,b=1时,求代数式a 2+3ab-b 2的值26、当a=71,b=314时,求代数式4(b+1)+4(1-a)-4(a+b)的值27、当a=6,b=3时,求代数式42b ab 的值28、当a=-2,b=32时,求代数式21a-2(a-31b 2)-(23a-31b 2)的值29、当a=,时,求代数式1-(2a-1)-3(a+1)的值30、当(x+2)2+|y+1|=0时,求代数式5xy 2-[2x 2y-(2x 2y-xy 2)]的值31、当x+y=1521,xy=-1051时,求代数式6x+5xy+6y 的值32、当b a b a +-=3时,求代数式ba b a +-)(2-)(3)(4b a b a -+的值33、已知:a 2+2a+1=0,求2a 2+4a-3的值 三、填空1、当x=-221,y=-4时,代数式x 2-2xy+y 2的值是( )2、在代数式2x 2y 3-52x 3y+y 4-5x 4y 3中,其中x=0,y=-2,这个代数式的值为( )3、x=-2时,代数式x+x 1的值是( )4、当x=5时,代数式52x+4=( )5、代数式x 2+2008的最小值是( ),此时x=( )6、已知:a 2+3a+5=7,求3a 2+9a-2的值7、已知3a 2-a-2=0,则5+2a-6a 2=( )8、已知:a,b 互为相反数,c,d 互为倒数,m =2,求代数式mba 10++m 2-cd 的值 9、当a=-121,b=-6时,代数式a(b 2+ab)的值是( ) 10、当a=4,b=5,c=41时,代数式cb ba 22++=( )一元一次方程1、7(2-3y)-5(12-y)=8(1-7y)2、(z-4)-7(7-z)-9=12-3(9-z);3、3(x-7)-2[9-4(2-x)]=22;4、2(x+3)-5(1-x)=3(x -1)5、3(1)2(2)23x x x +-+=+6、 3(2)1(21)x x x -+=--7、576132x x -=-+ 8、143321=---mm9、52221+-=--y y y 10、12136x x x -+-=-11、38123x x ---= 12、12(x-3)=2-12(x-3)13、431261345x ⎡⎤⎛⎫--= ⎪⎢⎥⎝⎭⎣⎦14、4 1.550.8 1.230.50.20.1x x x----=+15、 0.1230.710.30.4x x--+= 16、 2(1)0.4(1)3430.24x x -+-=-17、-2(x -1)=4.18、5.0102.02.01.0+--x x =319.、5(x+8)-5=6(2x -7) 20、3x532x 35-=-21、 5(x+8)-5=-6(2x -7) 22.、 )1x (32)]1x (21x [21-=--牛刀小试——有理数和多项式满分100分(90分及格)一、 速算填空(每题1分,共20分):(1)、___)9()6(=-++ , (2)、___)9()6(=--+, (3)、___)9()6(=-⨯+, (4)、___)14()56(=-÷-, (5)、___4716=-, (6)、___46=+-,(7)、____)3(3=-, (8)、____)2(4=-, (9)、____24=-, (10)、____)1(2008=-, (11)、____)2(3=--, (12)、___565=--,(13)、___2131=-, (14)、___)103()65(=-⨯-,(15)、___8325.0=÷-, (16)、____5.04=, (17)、___55=+-,(18)、___1020=--, (19)、___)1.6()9.5(=---, (20)、___)13(0)56()7(=-÷⨯-⨯-。
人教版初一数学上册400道计算题及练习题
1.计算题:求下列各数的和,并写出结果:
a)26+13
b)47+59
c)85+17
2.计算题:求下列各数的差,并写出结果:
a)39-14
b)68-33
c)92-36
3.计算题:求下列各数的积,并写出结果:
a)8×5
b)15×9
c)7×12
4.计算题:求下列各数的商,并写出结果:
a)56÷7
b)63÷9
c)112÷8
5.计算题:计算下列各式的值,并写出结果:
a)37×(12-5)
b)6×(4+9)÷3
c)(20-12)×(5+3)
练习题部分则涉及了初一数学上册各个知识点的练习。
1.复数的计算:
a)计算:(3+4i)+(5-2i)
b)计算:(2-3i)-(1+2i)
c)计算:(4+5i)×(2+3i)
2.代数式的计算:
a)计算:2x+3y,其中x=4,y=7
b)计算:3a-2b,其中a=5,b=2
c)计算:5x²-2x+1,其中x=3
3.几何图形的计算:
a) 求矩形的面积和周长,长为6cm,宽为4cm
b) 求三角形的面积和周长,底为8cm,高为5cm
c) 求圆的面积和周长,半径为3cm
通过完成这些计算题及练习题,能够帮助初一学生巩固数学上册各个知识点,提高计算能力和解题能力。
七年级上册数学算式题一、有理数运算1. 计算:(5) + 8解析:异号两数相加,取绝对值较大的符号,并用较大的绝对值减去较小的绝对值。
|5| = 5,|8| = 8,8 > 5,所以结果为正,8 5 = 3。
答案:32. 计算:(3) (5)解析:减去一个数,等于加上这个数的相反数。
(3) (5) = (3) + 5 = 2答案:23. 计算:(2)×(6)解析:两数相乘,同号得正,异号得负,并把绝对值相乘。
(2)×(6) = 12答案:124. 计算:18÷(3)解析:两数相除,异号得负,并把绝对值相除。
18÷(3) = 6答案:65. 计算:(4)×5×(0.25)解析:先确定符号,负负得正,然后按照乘法法则计算。
(4)×5×(0.25) = 4×5×0.25 = 5答案:5二、整式的加减6. 化简:3x + 2x解析:合并同类项,系数相加,字母和字母的指数不变。
3x + 2x = 5x答案:5x7. 化简:5a 3a + 2a解析:合并同类项,5a 3a + 2a = 4a答案:4a8. 化简:(2x + 1) (x 3)解析:去括号,然后合并同类项。
2x + 1 x + 3 = x + 4答案:x + 49. 化简:3(m n) 2(m + n)解析:先运用乘法分配律去括号,然后合并同类项。
3m 3n2m 2n = m 5n答案:m 5n10. 先化简,再求值:2(a^2 ab) 3(a^2 2ab),其中a = 1,b = 2解析:2(a^2 ab) 3(a^2 2ab)= 2a^2 2ab 3a^2 + 6ab= a^2 + 4ab当a = 1,b = 2时,a^2 + 4ab= (1)^2 + 4×(1)×2= 1 8= 9答案:9三、一元一次方程11. 解方程:2x 3 = 5解析:移项得2x = 5 + 3,2x = 8,x = 4答案:x = 412. 解方程:3(x + 1) = 2x 1解析:去括号得3x + 3 = 2x 1,移项得3x 2x = 1 3,x = 4答案:x = 413. 解方程:\frac{x + 2}{3} \frac{x 1}{2} = 1解析:去分母得2(x + 2) 3(x 1) = 6,去括号得2x + 43x + 3 = 6,移项得2x 3x = 6 4 3,x = 1,x = 1答案:x = 114. 解方程:\frac{2x 1}{3} = \frac{x + 2}{4} 1解析:去分母得4(2x 1) = 3(x + 2) 12,去括号得8x 4 = 3x + 6 12,移项得8x 3x = 6 12 + 4,5x = 2,x = \frac{2}{5}答案:x = \frac{2}{5}15. 若关于x的方程2x + a = 4的解是x = 2,求a的值。
七年级上计算题80道题一、不带解析的60道计算题。
(一)有理数运算。
1. (-3)+52. 4 (-2)3. (-2)×(-3)4. 6÷(-2)5. (-2)^26. -3^27. (-1)^20238. 2×(-3)+(-4)÷29. (-5)×( 2 3)10. (-2)^3÷(-4)11. 3×(-2)+4×(-3)12. (-1)×(-2)×(-3)13. (-2)^2×(-3)^214. 4 3×(-2)15. (-(1)/(2))+(-(1)/(3))16. (-(3)/(4))×(2)/(3)17. (-(4)/(5))÷(-(2)/(3))18. (-2(1)/(3))+1(1)/(2)19. 3.5+(-2.5)20. (-4.5)×0.2(二)整式运算。
21. 3a + 2a22. 5x 3x23. 2a + 3b 5a + 2b24. 3(x + 2)25. -2(3x 1)26. 4x^2+3x 2x^2 x27. 3a^2b 2ab^2+5a^2b 3ab^228. (2x + 3y)(3x 2y)29. (x + 2)^230. (3x 1)^231. x(x 3)32. 2x(3x + 1)33. -3x(2x 5)34. (a + b)(a b)35. (2a + 3)(2a 3)36. 3x^2y×(-2xy^3)37. (-2a^2b)^338. 4x^3÷2x39. (12x^3 8x^2)÷4x40. (3x^2y 6xy^2)÷3xy (三)一元一次方程。
41. 2x + 3 = 742. 3x 1 = 543. 4 x=244. 2(x + 1)=645. 3(x 2)=946. (x)/(2)+1 = 347. (2x 1)/(3)=148. 5x+2 = 3x 449. 2x 3(x + 1)= 150. 3x 2(2x 1)=551. 4x 3 = 2x + 152. 5(x + 3)=3(x 1)53. (3x + 1)/(2)-(x 1)/(3)=154. x-(1)/(3)(x + 1)=155. 2x+(1)/(2)(x 1)=356. 3x (1)/(4)(2x 3)=557. 4x (2)/(3)(3x + 1)=258. x + 3=(1)/(2)(2x 1)59. 2x 1=(1)/(3)(6x 3)60. 3x+5=(1)/(4)(12x + 20)二、带解析的20道计算题。
数学计算题七年级上册一、有理数运算。
1. 计算:(-2)+3 - (-5)- 解析:- 首先去括号,根据去括号法则,−(−5)=5,所以原式变为-2 + 3+5。
- 然后按照从左到右的顺序计算,-2+3 = 1,1 + 5=6。
2. 计算:(-3)×(-4)÷(-2)- 解析:- 先计算乘法,根据有理数乘法法则,两数相乘,同号得正,异号得负,并把绝对值相乘,所以(-3)×(-4)=12。
- 再计算除法,12÷(-2)= - 6。
3. 计算:-2^2+(-3)^3÷(-1)^2023- 解析:- 先计算指数运算,根据幂的运算法则,−2^2=-4(这里要注意指数运算的优先级高于负号),(-3)^3=-27,(-1)^2023=-1。
- 然后计算除法,-27÷(-1)=27。
- 最后计算加法,-4 + 27 = 23。
4. 计算:<=ft((1)/(2)-(2)/(3)+(5)/(6))×(-18)- 解析:- 根据乘法分配律a(b + c)=ab+ac,这里a=-18,b=(1)/(2),c =-(2)/(3),d=(5)/(6)。
- 则原式=(1)/(2)×(-18)-(2)/(3)×(-18)+(5)/(6)×(-18)。
- 计算可得:-9+12 - 15=-12。
5. 计算:0.25×(-2)^3-<=ft[4÷<=ft(-(2)/(3))^2+1]- 解析:- 先计算指数运算,(-2)^3=-8,<=ft(-(2)/(3))^2=(4)/(9)。
- 然后计算乘法和除法,0.25×(-8)=-2,4÷(4)/(9)=4×(9)/(4)=9。
- 最后计算括号内的式子和减法,-(9 + 1)=-10,-2-10=-12。
二、整式的加减。
初一上册计算题专项训练在初一上册的数学学习中,我们主要学习了四则运算、分数运算、小数运算和比例运算等内容。
这些是基础的数学运算,掌握好了基础运算,对于数学的学习会有很大的帮助。
下面就针对初一上册的数学内容,进行计算题专项训练。
1.四则运算题目:(1)计算:12 + 34 - 56 × 2 ÷ 8。
(2)计算:6 ×(8 + 5)÷ 11 - 3。
(3)计算:3/4 + 2/5 - 1/6。
(4)计算:1/2 ×(1/4 + 1/3)。
解答:(1)12 + 34 - 56 × 2 ÷ 8 = 12 + 34 - 112 ÷ 8 = 12 +34 - 14 = 46 - 14 = 32。
(2)6 ×(8 + 5)÷ 11 - 3 = 6 × 13 ÷ 11 - 3 = 78 ÷ 11 - 3 = 7 - 3 = 4。
(3)3/4 + 2/5 - 1/6 = 45/60 + 24/60 - 10/60 = 69/60 - 10/60 = 59/60。
(4)1/2 ×(1/4 + 1/3)= 1/2 ×(3/12 + 4/12)= 1/2 ×(7/12) = 7/24。
2.分数运算题目:(1)计算:2/3 + 3/5 - 1/4。
(2)计算:1/2 × 1/3 × 3/4。
(3)计算:3/4 ÷ 1/2。
(4)计算:7/8 ÷ (1/16)。
解答:(1)2/3 + 3/5 - 1/4 = 40/60 + 36/60 - 15/60 = 61/60。
(2)1/2 × 1/3 × 3/4 = 1/2 × 3/12 = 3/24 = 1/8。
(3)3/4 ÷ 1/2 = 3/4 × 2/1 = 6/4 = 3/2 = 1 1/2。
人教版初一数学上册计算题(410道题)(1)()22--= (2)3112⎛⎫⎪⎝⎭-=(3)()91- = (4)()42-- =(5)()20031-= (6)()2332-+-=(7)()33131-⨯--= (8)()2233-÷- =(9))2()3(32-⨯-= (10)22)21(3-÷-=(11)()()3322222+-+-- (12)235(4)0.25(5)(4)8⎛⎫-⨯--⨯-⨯- ⎪⎝⎭(13)()34255414-÷-⎪⎭⎫ ⎝⎛-÷ (14)()⎪⎭⎫ ⎝⎛-÷----721322246(15)()()()33220132-⨯+-÷--- (16) []24)3(2611--⨯--(17)])3(2[)]215.01(1[2--⨯⨯-- (18)(19)()()()33220132-⨯+-÷--- (20)22)2(3---;(21)]2)33()4[()10(222⨯+--+-; (22)])2(2[31)5.01()1(24--⨯⨯---; 332222()(3)(3)33÷--+-(23)94)211(42415.0322⨯-----+-; (24)20022003)2()2(-+-;(25))2()3(]2)4[(3)2(223-÷--+-⨯--; (26)200420094)25.0(⨯-.(27)()0252423132.⨯--÷-⎛⎝ ⎫⎭⎪+⎡⎣⎢⎢⎤⎦⎥⎥ (28)()()----⨯-221410222(29)()()()-⨯÷-+-⎛⎝ ⎫⎭⎪⨯-÷-3120313312232325.. (30)()()()-⎛⎝ ⎫⎭⎪⨯-⨯-⨯-212052832.(31)(32)(56)(79)---(33)(3)(9)(8)(5)-⨯---⨯- (34)3515()26÷-+(35)5231591736342--+- (36)()()22431)4(2-+-⨯---(37)411)8()54()4()125.0(25⨯-⨯-⨯-⨯-⨯(38)如果0)2(12=-++b a ,求20112010()-3ab a b a a ++-()的值(39)已知|1|a +与|4|b -互为相反数,求ba 的值。