(完整版)初一上学期期末计算题汇总.doc
- 格式:doc
- 大小:463.02 KB
- 文档页数:9
人教版七年级数学上册期末复习专题:计算题(含答案)1.计算:25.7+(-7.3)+(-13.7)+7.3.2.计算:(-72)+37-(-22)+(-17)3.3.计算:√.25.4.计算:4+(-2)×2-(-36)÷4.5.计算:(-1+2.75)×(-24)+(-1)。
6.计算:(5.5-2.2)×(4.5+3.8)。
7.计算:(3.5+2.7)÷(1.2-0.8)。
8.计算:(√9+√16)×(√25-√36)。
9.化简:-4ab-9ab-2b2+8.10.化简:3a-2-3a+15.11.化简:4a2b-5ab2-3a2b+4ab2.12.化简:3ab-13ba-4.13.化简:-ab2-2a2b+2ab2-3a2b。
14.化简:3a2b-2ab2+6ab2-2a2b-5ab2.15.化简:(a-b)2.16.化简:2y+2y-4y。
17.解方程:5x-4=-9x+3.18.解方程:4-4x+12=18-2x。
19.解方程:3x-7x+7=3-2x-6.20.解方程:2x+3=5x-4.21.解方程:5x+2=3x+10.22.解方程:2(x-3)+5=3(x+2)-2.23.解方程:(x+2)(x-3)=0.24.解方程:2x-5=3x+2.25.计算:180°-87°19′42″。
26.计算:118°12′-(37°37′×2)。
27.计算:34°25′20″×3+35°42′。
28.计算:10°9′24″÷6.参考答案:1.原式=12.4.2.原式=-30.3.原式=-7.4.原式=-1.5.原式=-60.25.6.原式=29.43.7.原式=16.8.原式=-11.9.原式=-13ab-2b2.10.原式=13.11.原式=a2b-ab2.12.原式=16a2b-5.5ab2+4.13.原式=-ab2-5a2b。
初一上学期期末计算题汇总【题目】1 、化简:2a 2﹣3ab+4b2﹣6ab﹣2b22 、解方程:3(x+1 )﹣2 (x﹣1 )=13 、解方程:4 、已知2x ﹣6= ﹣2,求代数式(x﹣2 )3+4 (x ﹣2)2﹣3x+5的值.5 、计算(1 )(2 )6 、已知3(a+1 )2+2|b+3|=0,化简并求 3 (3a+2b )﹣ 2 (3a+2b )﹣的值.7 、已知A=,B=a 2+3a ﹣1 ,且3A ﹣B+C=0 ,求代数式C;当a=2 时,求 C 的值.8 、等式y=ax 3 +bx+c中,当x=0 时,y=3 ;当x= ﹣ 1 时,y=5 ;求当x=1 时,y 的值.9、计算题:①12 ﹣(﹣18 )+ (﹣7 )﹣15②﹣22÷(﹣)2×| ﹣5| ×(0﹣.1 ) 3③﹣10 十8 ÷(﹣2 )2﹣(﹣4)×(﹣3)④10 、已知(2a ﹣1)2+|b+1|=0 ,求()2 十()200211 、已知a 2+a+1=0 ,求a2007+a 2006 +a 2005 的值.12 、已知x2+x+3=0,求x5+3x4+2x3+2x2﹣10x的值13、计算:(1 );(2 )+ (﹣1)2114 、解方程:15 、先化简,再求值:2 (3x 2+y )﹣(2x 2﹣y),其中,y=﹣116、计算:(1 );(2 )﹣ 2 2 +[18 ﹣(﹣3)×2]÷4 .17、解方程:( 1 )4x ﹣1=x+2 ;(2 )18 、先化简,再求值:2x 2 +[x 2﹣(3x 2 +2x ﹣1 )],其中19 、计算:(﹣1 )10×3+8 ÷(﹣4 ).20 、化简:2x+5+3x﹣721、解方程:( 1 )2x ﹣9=5x+3(2 )22 、先化简,再求值:x2﹣(5x 2﹣4y )+3 (x2﹣y),其中x= ﹣1 ,y=2 .23 、计算:﹣17+ (﹣6 )+23 ﹣(﹣20 )24 、计算:25 、计算:()×24 .26 、计算:﹣3 2+ (﹣1 )2010÷(﹣)2﹣3×(0.5﹣)27 、先化简,再求值:3 (2a 2 b ﹣ab 2)﹣(5a 2b ﹣4ab 2),其中a=2 ,b= ﹣1 .28 、解方程:4x+3 (2x ﹣5)=7 ﹣x.29、解方程:30、计算:( 1 )﹣24+3 ﹣16 ﹣ 5 ;( 2 )﹣ 2 3÷×(﹣)2;(3 );(4 );(5 )﹣ 1 4﹣(1﹣0.5 )××[2 ﹣(﹣3)2 ].31、化简:( 1 )5m ﹣7n ﹣8p+5n ﹣9m ﹣p ;( 2 )(5x 2 y﹣7xy 2)﹣(xy 2﹣3x 2 y);( 3 )3 (﹣3a 2﹣2a )﹣[a2﹣2 (5a ﹣4a 2+1 )﹣3a] .32 、先化简再求值:3x 3﹣[5x 2 +3x 3+2 (﹣2x 2 +x )] ,其中x= ﹣ 3 .33 、从一个多项式中减去2ab ﹣3bc+4,由于误认为加上这个式子,得到2bc ﹣2ab ﹣1 ,试求正确答案.34、解方程:( 1 )3 (x﹣1)﹣2(2x+1 )=12 ;(2 )35、36 、若a、b 满足,则求代数式3a 2 b ﹣[2ab 2﹣2(ab ﹣ a 2b )+ab]+3ab 2的值.37 、(4 分)38 、解关于x 的方程:2m ﹣(m ﹣n )x= (m+n )x.39 、|x ﹣1|+|x ﹣3|=3【答案】1 、解:2a 2﹣3ab+4b 2﹣6ab ﹣2b 2=2a 2﹣3ab ﹣6ab+4b 2﹣2b 2=2a 2﹣9ab+2b2.2 、解:去括号,得3x+3 ﹣2x+2=1 ,移项,得3x ﹣2x=1 ﹣2 ﹣3 ,合并同类项,得x= ﹣4 .3 、解:去分母得:3(3x ﹣ 1 )﹣12=2 (5x ﹣7),去括号得:9x ﹣3 ﹣12=10x ﹣14 移项得:9x ﹣10x= ﹣14+15 ,合并得:﹣x=1 ,系数化为 1 得:x= ﹣ 14 、解:∵2x6=﹣﹣2 ,∴x=2 ,∴(x﹣2)3+4 (x ﹣2)2﹣3x+5= (2 ﹣2)3+4 (2 ﹣2 )2﹣3 ×2+5= ﹣6+5= ﹣1 .5 、解:(1 )原式= =0=3 ;(2 )原式= ==45 ﹣18+38=656 、解:由题意得:A+ (2x 2 +5x ﹣3 )=x 2 +3x ﹣7移项得:A=x 2 +3x ﹣7 ﹣(2x 2+5x ﹣3)=x 2+3x ﹣7﹣2x 2﹣5x+3=﹣x2﹣2x﹣4.7 、解:原式= (3﹣2﹣)(3a+2b)﹣(3a+2b)2=(3a+2b)﹣(3a+2b) 2= [(3a+2b )﹣(3a+2b )2 ],∵3 (a+1 )2+2|b+3|=0,∴a+1=0 ,b+3=0 ,∴a= ﹣1,b= ﹣3 ,∴3a+2b= ﹣3﹣6= ﹣9 ,∴原式= (﹣9﹣81 )= ﹣30 .8 、解:当x=0 时,y=3 ,即c=3 。
七年级上计算题800题七年级上计算题综合一本全有理数1、 111117(113)(2)92844⨯-+⨯-2、419932(4)(1416)41313⎡⎤--⨯-÷-⎢⎥⎣⎦3、 33221121(5533)22⎡⎤⎛⎫⎛⎫--÷+⨯+⎢⎥ ⎪ ⎪⎝⎭⎝⎭⎢⎥⎣⎦4、2335(2)(10.8)114⎡⎤---+-⨯÷--⎢⎥⎣⎦5、(—315)÷(—16)÷(—2) 6、 –4 + 2 ×(-3) –6÷0.257、(—5)÷[1.85—(2—431)×7] 8、 18÷{1-[0.4+ (1-0.4)]×0.49、1÷( 61-31)×61 10、 –3-[4-(4-3.5×31)]×[-2+(-3) ]11、 8+(-41)- 5- (- 0.25) 12、 99 × 2613、 (3.5-7.75-4.25)÷1.114、|])21((|31)322(|)2(41[|)116(21523---÷-⨯-+----15、13611754136227231++-; 16、20012002200336353⨯+⨯-17、()5.5-+()2.3-()5.2---4.8 18、()8-)02.0()25(-⨯-⨯19、21+()23-⎪⎭⎫ ⎝⎛-⨯21 20、81)4(2833--÷-21、100()()222---÷⎪⎭⎫ ⎝⎛-÷3222、(-371)÷(461-1221)÷(-2511)×(-143)23、(-2)14×(-3)15×(-61)1424、-42+5×(-4)2-(-1)51×(-61)+(-221)÷(-241)25、-11312×3152-11513×41312-3×(-11513)26、41+3265+2131--27、()()4+×733×250)-(.-28、=++-)3()12( 29、=-++)4()15( 30、=-+-)8()16( 31、=+++)24()23( 32、=+-132)102( 33、=+(-11)(-32) 34、=+-0)35( 35、=-+)85(78 36、)3()26()2()4()14(-+++-+-++ 37、)15()41()26()83(++-+++-38、)2.0(3.1)9.0()7.0()8.1(-++-+++- 39、)326()434()313(41-+++-+40、=+--)15()14( 41、=---)16()14( 42、=--+)9()12( 43、=+-)17(12 44、=+-)52(0 45、=--)11(10846、=+-)3.2(8.4 47、=--)213(248、)5()]7()4[(--+-- 49、]12)3[(3--- 50、)109(8-- 51、)106()53(--- 52、543210-+-+- 53、2.104.87.52.4+-+-54、18)12()10(1130+-+----55、)61(41)31()412(213+---+--56、2111943+-+-- 57、31211+-58、)]18()21(26[13-+--- 59、2111)43(412--+---60、=⨯(-4)3 61、=⨯(-6)2 62、=⨯0(-6)63、=-⨯)43(32 64、=-⨯-)21()2( 65、=-⨯-)25.0()4(66、)25()7()4(-⨯-⨯- 67、)34(8)53(-⨯⨯-68、)1514348(43--⨯ 69、)8(45)201(-⨯⨯-70、53)8()92()4()52(8⨯-+-⨯---⨯71、)8(12)11(9-⨯-+⨯-72、=÷(-3)36 73、=÷21(-2) 74、=÷(-5)0 75、=÷(-0.2)8 76、=÷)43(-)87(- 77、6.018÷-78、)412()21()43(-÷-⨯- 79、2411)25.0(6⨯-÷-80、)21(31)32(-÷÷- 81、)2(48-÷+-82、)51(250-⨯÷- 83、)3(4)2(817-⨯+-÷-84、1)101(250322-⨯÷+ 85、911)325.0(321÷-⨯-86、1)51(25032--⨯÷+ 87、])3(2[)]215.01(1[2--⨯⨯--88、)145()2(52825-⨯-÷+-89、6)3(5)3(42+-⨯--⨯90、)25.0(5)41(8----+ 91、)48()1214361(-⨯-+-92、31)321()1(⨯-÷- 93、)199(41212+-÷⨯94、)16(94412)81(-÷+÷- 95、)]21541(43[21----96、13+(+7)-(-20)-(-40)-(+6)97、)2(9449344-÷+÷-98、22)36()33(24)12581(÷-÷---⨯-99、13)18()14(20----+-100、 8+(―41)―5―(―0.25) 101、 (-12)÷4×(-6)÷2102、 )1279543(+--÷361103、 2)5()2(10-⨯-+104、 (7)(5)90-⨯--÷(15)-105、 721×143÷(-9+19)106 、25×43―(―25)×21+25×(-41)107、 ()1-⎪⎭⎫⎝⎛-÷2131108、(-81)÷241+94÷(-16)109、 2(x-3)-3(-x+1)110、-4÷32-(-32)×(-30)111、 3223121213+⎪⎭⎫ ⎝⎛--⎪⎭⎫ ⎝⎛-+112、47÷)6(3287-⨯-113、48245834132⨯⎪⎭⎫⎝⎛+--114、|97|-÷2)4(31)5132(-⨯--115、 -22 -〔-32 + (- 2)4 ÷23 〕116、235(4)0.25(5)(4)8⎛⎫-⨯--⨯-⨯- ⎪⎝⎭117、 200423)1()2(161)1()21()21(-÷-⨯⎥⎦⎤⎢⎣⎡--÷--118、 100()()222---÷3)2(32-+⎪⎭⎫ ⎝⎛-÷ 119、 ―22+41×(-2)2120、 322)43(6)12(7311-⨯⎥⎦⎤⎢⎣⎡÷-+-- 121、 111117(113)(2)92844⨯-+⨯-122、419932(4)(1416)41313⎡⎤--⨯-÷-⎢⎥⎣⎦123、(-36)-[(-54)-(+32)]124、 (+3.74)-[(-5.91)-(-2.74)+(-2.78)] 125、 (-0.4)÷0.02×(-5)126、)—()—)+(—(25.0433242÷⨯ 127、 75)21(212)75(75211⨯-+⨯--⨯128、11)()+(2532.015[3-÷⨯----] 129 、12(4)4⎡⎤-|-16|-⨯-⎢⎥⎣⎦÷⎥⎦⎤⎢⎣⎡--)813(41130、 2335(2)(10.8)114⎡⎤---+-⨯÷--⎢⎥⎣⎦131、多项式计算一、合并同类项1、-5ab+3ab2、18p-9q+5-9q-10p3、-31a b 2+65a b 2-21b2a 4、3(a+b)2-4(a+b)25、2ab-5ab+3ab6、5x 2y-12y 2x 4+3x 4y 2-6yx 27、18p-9q+5+9q-16p 8、5a-(3b-2c+a)9、(3m-5)-(n-3m) 10、-(2m-3)10、n-3(4-2m) 12、a+5(-b-1)13、-(5m+n)-7(a-3b) 14、2ab-(3ab-5a 2b)15、6a 2-4ab-4(2a 2+21ab) 16、3x-[5x-(21x-4)]17、3x-5x+(3x-1) 18、4(xyz-2xy)-(xyz-3z)+3(2xy-z)19、A=x 2+xy+y 2, B=-3xy-x 2,求B-A 、2A-3B20、2a 2-(a+2b-3c) 21、-(2a-b)+(c-1)22、x 2+(3x-y+y 2) 23、-(a+b)-(c-d)24、-{-[-(5x-4y)]} 25、3(m-1)-4(1-m)26、-3(2x2-xy)+4(x2+xy+6)27、-{+[-(x-y)]}+{-[-(x+y)]}1(xy-x2)-8xy 29.-2(ab-3a2)-[2b2-(5ab+a2)+2ab]28、2x2-230、y2-(6x-y+3z) 31、9x2-[x-(5z+4)]32、x+[-6y+(5z-1)] 33、-(7x+y)+(z+4)34、4(x2+xy-6)-3(2x2-xy) 35、x+[(3x+1)-(4-x)]36、-(2x-y) 37、-3a+(4a2+2)38、-[-(2a-3y)] 39、-3(a-7)40、A=4a2+5b,B=-3a2-2b,求2A-B41、(a+b)+2(a+b)-4(a+b) 42、(7x-3y)-(10y-5x)43、-(m-2n)+4(m+5n)-2(-3m-n) 44、-xy2+3xy245、7a+3a2+2a-a2+3 46、3a+2b-5a-b47、-4ab+8-2b2-9ab-8 48、3b-3a3+1+a3-2b49、2y+6y+2xy-5 50、3f+2f-7f51、x-f+5x-4f 52、2a+3b+6a+9b-8a+12b53、3pq+7pq+4pq+pq 54、30a2b+2b2c-15a2b-4b2c55、7xy-8wx+5xy-12xy 56、4+3(x-1) 57、4x-(x-1) 58、4a-(a-3b)59、a+(5a-3b)-(a-2b) 60、3(2xy-y)-2xy61、8x-(-3x-5) 62、(3x-1)-(2-5x)63、(-4y+3)-(-5y-2) 64、3x+1-2(4-x)65、-(2m-3) 66、n-3(4-2m)67、16a-8(3b+4c) 68、t+32(12-9v)69、-(5m+n)-7(a-3b)70、-21(x+y)+41(p+q)71、-8(3a-2ab+4) 72、4(m+p)-7(n-2q)73、-2n-(3n-1) 74、a-(5a-3b)+(2b-a)75、-3(2s-5)+6s 76、1-(2a-1)-(3a+3)77、3(-ab+2a)-(3a-b)78、14(abc-2a)+3(6a-2abc)79、3(xy-2z)+(-xy+3z)80、-4(pq+pr)+(4pq+pr)81、5x 4+3x 2y-10-3x 2y+x 4-1 82、p 2+3pq+6-8p 2+pq83、(7y-3z)-(8y-5z) 84、-(a 5-6b)-3(-5a-4b)85、2(2a 2+9b)+3(-5a 2-4b) 86、-3(2x 2-xy)+4(x 2+xy-6)87、3b 2-(a 2+b 2)-b 2 88、x+(2x-1)-(3x +3)89、-2(ab-3a 2)+(5ab-a 2) 90、2a 2-(ab+a 2)-8ab91、-(b-4)+4(-b-3) 92、21(x 2-y)+31(x-y 2)+61(x 2+y 2)93、5x 3+3x 2y-10-3x 2y+x 3-1 94、-3(2x 2+xy)-4(2x 2-xy-7)二、先化简,再求值1、当x=2时,求代数式-3x 2+5x-0.5x 2+x-1的值2、当p=3,q=3时,求代数式8p 2-7q+6q-7p 2-7的值3、当x=-5时,求代数式6x+2x 2-3x+2x+1的值4、当x=2,y=-3时,求代数式4x 2+3xy-x 2-9的值5、当m=6,n=2时,求代数式31m-23n-65n-61m 的值6、当m=5,p=31,q=-23时,求代数式3pq-54m-4pq 的值7、当x=-2时,求代数式9x+6x 2-3(x-32x 2)的值8、当x=21时,求代数式41(-4x 2+2x-8)-(21x-1)的值9、当a=-1,b=1时,求代数式(5a 2-3b 2)+(a 2+b 2)-(5a 2+3b 2)的值10、当a=-2,b=2时,求代数式2(a 2b+ab 2)-2(a 2b-1)-2ab 2-2的值11、当x=-21,y=-1时,求代数式2x 2y+1的值12、当x=-2时,求代数式x+x1的值13、当x=-1,y=-2时,求代数式2xy+3x 2y-6xy-4x 2y 的值14、当m=5,p=31,q=-23时,求代数式3pq-54m-4pq+m 的值15、当m 2-mn=1,4mn-3n 2=-2时,求代数式m 2+3mn-3n 2的值16、当x=-1,y=-2时,求代数式3-2xy+3yx 2+6xy-4x 2y 的值17、当x 2-xy=3a,xy-y 2=-2a 时,求代数式x 2-y 2的值18、当x=2004,y=-1时,求代数式A=x 2-xy+y 2,B=-x 2+2xy+y 2,A+B 的值19、当a=5时,求代数式(6a+2a 2+1)-(a 2-3a)的值20、当x=-2时,求代数式9x+6x 2-3(x-32x 2)的值21、当x=5时,求代数式21(2x 2-6x-4)-4(-1+x+41x 2)的值22、当x=21,时,求代数式(2x 2-x-1)-(x 2-x-31)+(3x 2-331)的值23、当x 2+xy=2,y 2+xy=5时,求代数式x 2+2xy+y 2的值24、当a-b=4,c+d=-6时,求代数式(b+c)-(a-d)的值25、当a=21,b=1时,求代数式a 2+3ab-b 2的值26、当a=71,b=314时,求代数式4(b+1)+4(1-a)-4(a+b)的值27、当a=6,b=3时,求代数式42b ab 的值28、当a=-2,b=32时,求代数式21a-2(a-31b 2)-(23a-31b 2)的值29、当a=,时,求代数式1-(2a-1)-3(a+1)的值30、当(x+2)2+|y+1|=0时,求代数式5xy 2-[2x 2y-(2x 2y-xy 2)]的值31、当x+y=1521,xy=-1051时,求代数式6x+5xy+6y 的值32、当b a b a +-=3时,求代数式ba b a +-)(2-)(3)(4b a b a -+的值33、已知:a 2+2a+1=0,求2a 2+4a-3的值 三、填空1、当x=-221,y=-4时,代数式x 2-2xy+y 2的值是( )2、在代数式2x 2y 3-52x 3y+y 4-5x 4y 3中,其中x=0,y=-2,这个代数式的值为( )3、x=-2时,代数式x+x 1的值是( )4、当x=5时,代数式52x+4=( )5、代数式x 2+2008的最小值是( ),此时x=( )6、已知:a 2+3a+5=7,求3a 2+9a-2的值7、已知3a 2-a-2=0,则5+2a-6a 2=( )8、已知:a,b 互为相反数,c,d 互为倒数,m =2,求代数式mba 10++m 2-cd 的值 9、当a=-121,b=-6时,代数式a(b 2+ab)的值是( ) 10、当a=4,b=5,c=41时,代数式cb ba 22++=( )一元一次方程1、7(2-3y)-5(12-y)=8(1-7y)2、(z-4)-7(7-z)-9=12-3(9-z);3、3(x-7)-2[9-4(2-x)]=22;4、2(x+3)-5(1-x)=3(x -1)5、3(1)2(2)23x x x +-+=+6、 3(2)1(21)x x x -+=--7、576132x x -=-+ 8、143321=---mm9、52221+-=--y y y 10、12136x x x -+-=-11、38123x x ---= 12、12(x-3)=2-12(x-3)13、431261345x ⎡⎤⎛⎫--= ⎪⎢⎥⎝⎭⎣⎦14、4 1.550.8 1.230.50.20.1x x x----=+15、 0.1230.710.30.4x x--+= 16、 2(1)0.4(1)3430.24x x -+-=-17、-2(x -1)=4.18、5.0102.02.01.0+--x x =319.、5(x+8)-5=6(2x -7) 20、3x532x 35-=-21、 5(x+8)-5=-6(2x -7) 22.、 )1x (32)]1x (21x [21-=--牛刀小试——有理数和多项式满分100分(90分及格)一、 速算填空(每题1分,共20分):(1)、___)9()6(=-++ , (2)、___)9()6(=--+, (3)、___)9()6(=-⨯+, (4)、___)14()56(=-÷-, (5)、___4716=-, (6)、___46=+-,(7)、____)3(3=-, (8)、____)2(4=-, (9)、____24=-, (10)、____)1(2008=-, (11)、____)2(3=--, (12)、___565=--,(13)、___2131=-, (14)、___)103()65(=-⨯-,(15)、___8325.0=÷-, (16)、____5.04=, (17)、___55=+-,(18)、___1020=--, (19)、___)1.6()9.5(=---, (20)、___)13(0)56()7(=-÷⨯-⨯-。
七年级数学上册计算题专项训练一、有理数的运算1. 加法运算计算:公式解析:有理数加法运算,异号两数相加,取绝对值较大的符号,并用较大的绝对值减去较小的绝对值。
公式,公式,公式,所以结果为正,公式。
计算:公式解析:同号两数相加,取相同的符号,并把绝对值相加。
公式,结果为公式。
2. 减法运算计算:公式解析:减去一个数等于加上这个数的相反数。
所以公式。
计算:公式解析:公式(同样是减去一个数等于加上这个数的相反数)。
3. 乘法运算计算:公式解析:异号两数相乘得负,公式,所以结果为公式。
计算:公式解析:同号两数相乘得正,公式,结果为公式。
4. 除法运算计算:公式解析:异号两数相除得负,公式,所以结果为公式。
计算:公式解析:同号两数相除得正,公式,结果为公式。
5. 混合运算计算:公式解析:先算乘除:公式,公式。
再算加减:公式。
计算:公式解析:先算乘方:公式。
再算乘法:公式。
最后算减法:公式。
二、整式的加减运算1. 同类项的合并化简:公式解析:同类项是指所含字母相同,并且相同字母的指数也相同的项。
合并同类项时,把同类项的系数相加,字母和字母的指数不变。
这里公式和公式是同类项,系数相加公式,结果为公式。
化简:公式解析:公式和公式是同类项,系数相减公式,结果为公式。
2. 整式的加减计算:公式解析:去括号:括号前是正号,把括号和它前面的正号去掉后,原括号里各项的符号都不改变;括号前是负号,把括号和它前面的负号去掉后,原括号里各项的符号都要改变。
所以公式。
合并同类项:公式。
计算:公式解析:先去括号:公式,公式。
再计算:公式。
三、一元一次方程的计算1. 简单方程的求解解方程:公式解析:方程两边同时减去公式,得到公式,即公式。
解方程:公式解析:方程两边同时除以公式,得到公式,即公式。
2. 带括号方程的求解解方程:公式解析:先去括号:公式。
然后方程两边同时减去公式:公式,得到公式。
最后方程两边同时除以公式:公式,解得公式。
初一年级上册数学期末试题荟萃一、选择题1、将6280000用科学记数法表示,正确的是()A.6.28×l07B.6.28×106C.62.8×105D.0.628×1082、若x=2是方程ax-3=x+1的解,那么a等于()A.4B.3C.﹣3D.13、下列各组中两个式子的值相等的是()A.72与﹣72B.(﹣2)2与﹣22C.|﹣2|与﹣|+2| D.(﹣2)3与﹣234、已知代数式x+3y的值是3,则代数式2x+6y+1的值是()A.1 B.4 C.7 D.不能确定5、若(m﹣2)x|m|﹣1=5是一元一次方程,则m的值为()A.2 B.﹣2 C.2或﹣2 D.16、下列调查中,其中适合采用抽样调查的是()①检测某市的空气质量;②为了解某中东呼吸综合征(MERS)确诊病人同一架飞机乘客的健康情况;③为保证“神舟9号”成功发射,对其零部件进行检查;④调查某班50名同学的视力情况.A.①B.②C.③D.④7、如图,已知点C在线段AB上,点M、N分别是AC、BC的中点,且AB=8cm,则MN的长度为()cm.A.2 B.3 C.4 D.68、一家商店将某种服装按成本价提高20%后标价,又以9折优惠卖出,结果每件服装仍可获利8元,则这种服装每件的成本是()A.100元B.105元C.110元D.115元9、(古代数学问题)今有共买物,人出八,盈三;人出七,不足四.问人数、物价各几何?意思是:几个人一起去买某物品,如果每人出8钱,则多了3钱;如果每人出7钱,则少了4钱.问有多少人,物品的价格是多少?设有x人,则根据题意列出方程正确的是()A.8x+3=7x﹣4 B.8x﹣3=7x+4 C.8x﹣3=7x﹣4 D.8x+3=7x+410、如图所示是甲、乙两户居民家庭全年支出费用的扇形统计图,根据统计图,下面对全年食品支出费用判断正确的是()A.甲户比乙户多B.乙户比甲户多C.甲、乙两户一样多D.无法确定哪一户多11、一根1米长的铁丝,第一次剪去一半,第二次剪去剩下的一半,如此剪下去,第六次后剩下的铁丝的长度为( )米.A .4)21(B .5)21(C .6)21(D .12)21(12、小明所在城市的“阶梯水价”收费办法是:每户用水不超过5吨,每吨水费x 元;超过5吨,超过部分每吨加收2元,小明家今年5月份用水9吨,共交水费为44元,根据题意列出关于x 的方程正确的是( ) A .5x +4(x +2)=44 B .5x +4(x ﹣2)=44 C .9(x +2)=44 D .9(x +2)﹣4×2=4413、如图,M ,N ,P ,R 分别是数轴上四个整数所对应的点,其中有一点是原点,并且MN=NP=PR=1.数a 对应的点在M 与N 之间,数b 对应的点在P 与R 之间,|a |+|b |=3,则原点是( )A .M 或RB .N 或PC .M 或ND .P 或R14、据报道,2016年深圳双创活动周上会场参观人数累计超过50万人,某数学学习兴趣小组为了解参观者的职业情况,他们应采用的收集数据的方式是( ) A .对所有参观者发放问卷进行调查B .对所有参观者中的成年人发放问卷进行调查C .在主会场入口随机发放问卷进行调查D .在无人机展厅随机发放问卷进行调查15、A 、B 两地相距900千米,甲乙两车分别从A 、B 两地同时出发,相向而行,已知甲车的速度为110千米/时,乙车的速度为90千米/时,则当两车相距100千米时,甲车行驶的时间是( )A .4小时B .4.5小时C .5小时D .4小时或5小时16、把一副三角尺ABC 与BDE 按如图所示那样拼在一起,其中A 、D 、B 三点在同一直线上,BM 为∠ABC 的平分线,BN 为∠CBE 的平分线,则∠MBN 的度数是( )A .30°B .45°C .55°D .60°17、某工程,甲独做需12天完成,乙独做需8天完成,现由甲先做3天,乙再参加合做,求完成这项工程共用的时间.若设完成此项工程共用x 天,则下列方程正确的是( ) A .18123=++xx B .183123=-++x x C .1812=+xx D .18312=-+x x18、有理数a 、b 在数轴上的对应的位置如图所示,则下列各式①a+b <0; ②a ﹣b >0;③ab >0;④|a |>b ;⑤1﹣b >0;⑥a +1<0,一定成立的有( )A .3个B .4个C .5个D .6个19、线段AB=12cm ,点C 在AB 上,且AC=BC ,M 为BC 的中点,则AM 的长为( ) A .4.5cmB .6.5cmC .7.5cmD .8cm20、黑、白两种颜色的正六边形地砖按如图所示的规律拼成若干个图案:则第10个图案中有白色地砖( )块A .40B .41C .42D .43二、填空题1、单项式532yx π-的系数是 .2、若x =2是方程ax +3bx ﹣12=0的解,则3a +9b 的值为 .4、已知,如图,点A 、O 、C 在同一直线上,OE 平分∠AOB ,OF 平分∠BOC .则∠EOF= °.5、若|x |=2,|y |=3,且yx2<0,则x+y = .6、已知线段AB = 20cm ,直线AB 上有一点C ,且BC=6cm ,M 是线段AC 的中点,则AM= cm .7、适合|a +2|+|a ﹣1|=3的所有变数a 的取值范围为 .8、将一些白色的围棋棋子按如图的规律摆成图案,其中第1个图案有4个棋子,第2个图案有9个棋子,第3个图案有16个棋子,第4个图案有25个棋子,以后每个图案中间一列的棋子都比前一个图案中间一列的棋子多1个,则第n 个图案中棋子的个数为 .9、如图,在直线AD 上任取一点O ,过点O 作射线OB ,OE 平分∠DOB ,OC 平分∠AOB ,∠BOC=26°时,∠BOE 的度数是 .10、如图所示,用长度相等的小棒按一定规律摆成一组图案,第一个图案需要6根小棒,第2个图案需要11根小棒,第3个图案需要16根小棒…,则第n 个图案需要 根小棒.11、若有理数m ,n ,p 满足1||||||=++p p n n m m ,则=|3|2mnp mnp= .12、已知有理数a ,b ,c 在数轴上的位置如图所示,化简:|b ﹣c |﹣2|b ﹣a |+|c+a |= .13、用棋子摆下面一组正方形图案:依照规律填写表中空格: 图形序列 ① ② ③ ④ ⑤ … ⑩ 每边棋子颗数 2 3 … … … 棋子总颗数48………(2)照这样的规律摆下去,当每边有n 颗棋子时,这个图形所需要棋子总颗数是 ,第100个图形需要的棋子颗数是 .三、计算题 1、解下列方程:(1)3(x +1)﹣2(x +2)=2x +3; (2)18143=+-+xx (3)23141xx x --=-- (4) 412131+-=+x x2、化简求值:(1)化简与求值:(x﹣1)﹣2(x2+1)﹣(4x2﹣2x),其中x=﹣3.(2)先化简,再求代数式的值:3(a2b+ab2)﹣(4a2b﹣2)﹣(3ab2+2),其中a=﹣3,b=2.(3)先化简,再求值:5(3a2b﹣ab2)﹣(ab2+3a2b﹣1),已知|a+2|+(b﹣1)2 = 03、为体现社会对教师的尊重,教师节这一天上午,出租车司机小王在东西向的公路上免费接送老师.如果规定向东为正,向西为负,出租车的行程如下(单位:千米):+15,﹣4,+13,﹣10,﹣12,+3,﹣13,﹣17.(1)最后一名老师送到目的地时,小王距出车地点的距离是多少?(2)若汽车耗油量为0.4升/千米,这天下午汽车共耗油多少升?几何证明1、如图,OM是∠AOC的平分线,ON是∠BOC的平分线.(1)如图1,当∠AOB是直角,∠BOC=60°时,∠MON的度数是多少?(2)如图2,当∠AOB=α,∠BOC=60°时,猜想∠MON与α的数量关系;(3)如图3,当∠AOB=α,∠BOC=β时,猜想:∠MON与α、β有数量关系吗?如果有,指出结论并说明理由.2、我们已学习了角平分线的概念,那么你会用他们解决有关问题吗?(1)如图1所示,将长方形笔记本活页纸片的一角折过去,使角的顶点A落在A′处,BC为折痕.若∠ABC=55°,求∠A′BD的度数.(2)在(1)条件下,如果又将它的另一个角也斜折过去,并使BD边与BA′重合,折痕为BE,如图2所示,求∠2和∠CBE的度数.(3)如果将图2中改变∠ABC的大小,则BA′的位置也随之改变,那么(2)中∠CBE的大小会不会改变?请说明.3、如图,在数轴上A点表示数a,B点表示数b,C点表示数c,且a、c满足|a+3|+(c﹣9)2=0.(1)a=,c=;(2)如图所示,在(1)的条件下,若点A与点B之间的距离表示为AB=|a﹣b|,点B与点C之间的距离表示为BC=|b﹣c|,点B在点A、C之间,且满足BC=2AB,则b=;(3)在(1)(2)的条件下,若点P为数轴上一动点,其对应的数为x,当代数式|x﹣a|+|x﹣b|+|x﹣c|取得最小值时,此时x=,最小值为;(4)在(1)(2)的条件下,若在点B处放一挡板,一小球甲从点A处以1个单位/秒的速度向左运动;同时另一小球乙从点C处以2个单位/秒的速度也向左运动,在碰到挡板后(忽略球的大小,可看作一点)以原来的速度向相反的方向运动,设运动的时间为t(秒),请表示出甲、乙两小球之间的距离d (用t的代数式表示).4、如图,已知∠AOB=90°,∠EOF=60°,OE平分∠AOB,OF平分∠BOC,求∠AOC和∠COB的度数.列方程解应用题1、某周末小明从家里到西湾公园去游玩,已知他骑自行车去西湾公园,骑自行车匀速的速度为每小时8千米,回家时选择乘坐公交车,公交车匀速行驶的速度为每小时40千米,结果骑自行车比公交车多用1.6小时,问他家到西湾公园相距多少千米?2、某校七年级社会实践小组去商场调查商品销售情况,了解到该商场以每件80元的价格购进了某品牌衬衫500件,并以每件120元的价格销售了400件,商场准备采取促销措施,将剩下的衬衫降价销售.请你帮商场计算一下,每件衬衫降价多少元时,销售完这批衬衫正好达到盈利45%的预期目标?3、七(1)班组织去看“元旦”大型演出活动,已知一等座票每张24元,二等座票每张18元,如果全班50名学生购票共用去1026元,请问七(1)班购买一等座票和二等座票各多少张?4、某体育用品商场销售A、B两种品牌的足球,已知每个A种品牌的售价比B 种品牌足球的售价高20元,售出5个A种品牌足球与售出6个B种品牌足球的总售价相同.①求A、B两种品牌足球的售价;②“元旦”期间,该商场决定对这两种品牌足球均打8折销售,李老师在该商场购买了20个这两种品牌的足球,发现所需的总费用比打折前少420元,请问李老师在该商场购买A、B两种品牌的足球名多少?5、请根据图中提供的信息,回答下列问题:(1)一个暖瓶与一个水杯分别是多少元?(2)甲、乙两家商场同时出售同样的暖瓶和水杯.为了迎接新年,两家商场都在搞促销活动.甲商场规定:这两种商品都打九折;乙商场规定:买一个暖瓶赠送一个水杯.若某单位想要买4个暖瓶和15个水杯,请问选择哪家商场购买更合算,并说明理由.6、本星期周末,七年级准备组织学生观看电影,由各班班长负责买票,票价每张20元,1班班长问售票员买团体票是否可以优惠,售票员说:50人以上的团体票有两个优惠方案可选择:方案一:全体人员可打8折;方案二:若打9折,有7人可免票.①2班有61名学生,他该选择哪个方案?②1班班长思考一会儿,说:我们班无论选择哪种方案,要付的钱是一样的.你知道1班有几人吗?统计应用1、某市教育部门对部分学校的八年级学生对待学习的态度进行了一次抽样调查(把学习态度分为三个层级,A级:对学习很感兴趣;B级:对学习较感兴趣;C级:对学习不感兴趣),并将调查结果绘制成图①和图②的统计图(不完整).请根据图中提供的信息,解答下列问题:(1)此次抽样调查中,共调查了名学生;(2)将图①补充完整;(3)求出图②中C级所占的圆心角的度数;(4)根据抽样调查结果,请你估计该市近80000名八年级学生中大约有多少名学生学习态度达标(达标包括A级和B级)?2、在“元旦”期间,某商场推出A、B、C、D四种不同类型礼盒共1000盒进行销售,在图1中是各类型礼盒所占数的百分比,已知四类礼盒一共已经销售了50%,各类礼盒的销售数量如图2所示:(1)商场中的D类礼盒有盒.(2)请在图1扇形统计图中,求出A部分所对应的圆心角等于度.(3)请将图2的统计图补充完整.(4)通过计算得出类礼盒销售情况最好.3、为了解某城市的空气质量情况,某环保兴趣小组从环境监测网随机抽取了若干天的空气质量情况作为样本进行统计,绘制了如图所示的条形统计图和扇形统计图(部分信息未给出).请你根据图中提供的信息,解答下列问题:(1)计算被抽取的天数;(2)请补全条形统计图,并求扇形统计图中表示“优”的扇形的圆心角度数;(3)请估计该市这一年(365天)达到“优”和“良”的总天数.4、某中学对全校学生进行文明礼仪知识测试,为了解测试结果,随机抽取部分学生的成绩进行分析,将成绩分为三个等级:不合格、一般、优秀,并绘制成如下两幅统计图(不完整).请你根据图中所给的信息解答下列问题:(1)请将以上两幅统计图补充完整;(2)若“一般”和“优秀”均被视为达标成绩,则该校被抽取的学生中有人达标;(3)若该校学生有学生2000人,请你估计此次测试中,全校达标的学生有多少人?5、环保部门为了提高宣传实效,随机抽样调查了100户居民8月的生活垃圾量,并绘制成不完整的频数分布直方图,(如图1),并将他们的垃圾分类情况绘制成不完整的扇形统计图,请你根据图中的信息解答下列问题:(1)请将条形统计图1补充完整;(2)图2的扇形统计图中,表示“有害垃圾C”所在扇形的圆心角度数为度;(3)根据统计,8月所抽查的居民产生的生活垃圾总量约为2750kg,则其中为可回收的垃圾约为kg.。
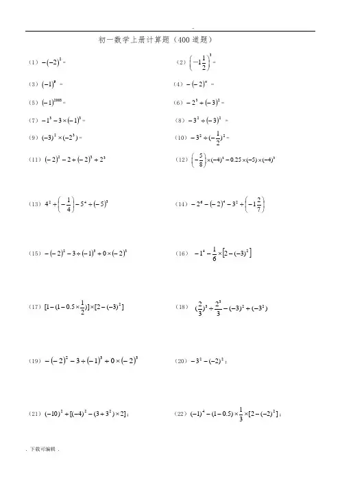
初一數學上冊計算題(400道題)(1)()22--= (2)3112⎛⎫⎪⎝⎭-=(3)()91- = (4)()42-- =(5)()20031-= (6)()2332-+-=(7)()33131-⨯--= (8)()2233-÷- =(9))2()3(32-⨯-= (10)22)21(3-÷-=(11)()()3322222+-+-- (12)235(4)0.25(5)(4)8⎛⎫-⨯--⨯-⨯- ⎪⎝⎭(13)()34255414-÷-⎪⎭⎫ ⎝⎛-÷ (14)()⎪⎭⎫ ⎝⎛-÷----721322246(15)()()()33220132-⨯+-÷--- (16) []24)3(2611--⨯--(17)])3(2[)]215.01(1[2--⨯⨯-- (18) (19)()()()33220132-⨯+-÷--- (20)22)2(3---;(21)]2)33()4[()10(222⨯+--+-; (22)])2(2[31)5.01()1(24--⨯⨯---; 332222()(3)(3)33÷--+-(23)94)211(42415.0322⨯-----+-; (24)20022003)2()2(-+-;(25))2()3(]2)4[(3)2(223-÷--+-⨯--; (26)200420094)25.0(⨯-.(27)()0252423132.⨯--÷-⎛⎝ ⎫⎭⎪+⎡⎣⎢⎢⎤⎦⎥⎥ (28)()()----⨯-221410222(29)()()()-⨯÷-+-⎛⎝ ⎫⎭⎪⨯-÷-3120313312232325.. (30)()()()-⎛⎝ ⎫⎭⎪⨯-⨯-⨯-212052832.(31) (32)(56)(79)---(33)(3)(9)(8)(5)-⨯---⨯- (34)3515()26÷-+(35)5231591736342--+- (36)(37)411)8()54()4()125.0(25⨯-⨯-⨯-⨯-⨯ ()()22431)4(2-+-⨯---33182(4)8-÷--(38)如果0)2(12=-++b a ,求20112010()-3ab a b a a ++-()の值(39)已知|1|a +與|4|b -互為相反數,求b a の值。
中学七年级(上)期末数学试卷一、选择题:(本大题10个小题,每小题2分,共20分)在每个小题的下面,都给出了代号为A、B、C、D的四个答案,其中只有一个是正确的,请将正确答案的代号填入答题卷中对应的表格内.1.(2分)在﹣3,﹣1,0,2这四个数中,最小的数是()A.﹣3B.﹣1C.0D.22.(2分)下列调查方式合适的是()A.为了了解一批电视机的使用寿命,采用普查方式B.为了了解全国中学生的视力状况,采用普查方式C.对嫦娥三号卫星零部件的检查,采用抽样调查的方式D.为了了解人们保护水资源的意识,采用抽样调查的方式3.(2分)如图表示一个由相同小立方块搭成的几何体的俯视图,小正方形中的数字表示该位置上小立方块的个数,则该几何体的主视图为()A.B.C.D.4.(2分)某班有60名学生,班长把全班学生对周末出游地的意向绘制成了扇形统计图,其中“想去重庆金佛山滑雪的学生数”的扇形圆心角是60°,则下列说法正确的是()A.想去重庆金佛山滑雪的学生有12人B.想去重庆金佛山滑雪的学生肯定最多C.想去重庆金佛山滑雪的学生占全班学生的D.想去重庆金佛山滑雪的学生占全班学生的60%5.(2分)下列计算正确的是()A.x2+x2=x4B.x3•x•x4=x7C.a4•a4=a16D.a•a2=a36.(2分)下列判断错误的是()A.多项式5x2﹣2x+4是二次三项式B.单项式﹣a2b3c4的系数是﹣1,次数是9C.式子m+5,ab,x=1,﹣2,都是代数式D.当k=3时,关于x,y的代数式(﹣3kxy+3y)+(9xy﹣8x+1)中不含二次项7.(2分)小明将前年春节所得的压岁钱买了一个某银行的两年期的理财产品,该理财产品的年回报率为4.5%,银行告知小明今年春节他将得到利息288元,则小明前年春节的压岁钱为()A.6400元B.3200元C.2560元D.1600元8.(2分)如图,已知A、B是线段EF上两点,EA:AB:BF=1:2:3,M、N分别为EA、BF的中点,且MN=8cm,则EF长()A.9cm B.10cm C.11cm D.12cm9.(2分)若关于x的方程2(﹣k)x﹣3x=﹣1无解,则()A.k=﹣1B.k=l C.k≠﹣1D.k≠110.(2分)生物课题研究小组对附着在物体表面的三个微生物(课题组成员把他们分别标号为1,2,3)的生长情况进行观察记录,这三个微生物第一天各自一分为二,产生新的微生物(依次被标号为4,5,6,7,8,9),接下去每天都按照这样的规律变化,即每个微生物一分为二,形成新的微生物(课题组成员用如图所示的图形进行形象的记录),那么标号为1000的微生物会出现在()A.第7天B.第8天C.第9天D.第10天二、填空题:(本大题15个小题,每小题2分,共30分)请将每小题的答案填在答题卷中对应横线上.11.(2分)若a3•a m=a8,则m=.12.(2分)若单项式﹣2a m b3与a5b2﹣n是同类项,则m+n=.13.(2分)如果3y9﹣2m+2=0是关于y的一元一次方程,则m=.14.(2分)当嫦娥三号刚进入轨道时,速度为大约每秒7100米,将数7100用科学记数法表示为.15.(2分)25.14°=°′″.16.(2分)下午1点20分,时针与分针的夹角为度.17.(2分)若x=1是方程a(x﹣2)=a+2x的解,则a=.18.(2分)已知a、b满足|a+3b+1|+(2a﹣4)2=0,则(ab3)2=.19.(2分)已知2x2+xy=6,3y2+2xy=9,则4x2+8xy+9y2的值为.20.(2分)有理数a、b在数轴上的位置如图,则|a﹣b|﹣2|a﹣c|﹣|b+c|=.21.(2分)如图,∠AOD=90°,∠AOB:∠BOC=1:3,OD平分∠BOC,则∠AOC=度.22.(2分)一圆柱形容器的内半径为3厘米,内壁高30厘米,容器内盛有18厘米高的水,现将一个底面半径为2厘米,高15厘米的金属圆柱竖直放入容器内,问容器内的水将升高厘米.23.(2分)已知A,B,M,N在同一直线上,点M是AB的中点,并且NA=8,NB=6,则线段MN=.24.(2分)以下说法:①两点确定一条直线;②两点之间直线最短;③若x=y,则=;④若|a|=﹣a,则a<0;⑤若a,b互为相反数,那么a,b的商必定等于﹣1.其中正确的是.(请填序号)25.(2分)已知AB是一段只有3米长的窄道路,由于一辆小汽车与一辆大卡车在AB段相遇,必须倒车才能继续通过.如果小汽车在AB段正常行驶需10分钟,大卡车在AB段正常行驶需20分钟,小汽车在AB段倒车的速度是它正常行驶速度的,大卡车在AB段倒车的速度是它正常行驶的,小汽车需倒车的路程是大卡车的4倍.问两车都通过AB这段狭窄路面的最短时间是分钟.三、计算题:(本大题5个小题,共20分)26.(8分)计算:(1)﹣12+|﹣6|×+()4×(﹣2)5;(2)2﹣(﹣+)×36.27.(8分)解方程:(1)2(2x﹣1)=3x﹣7;(2)=1﹣.28.(4分)先化简,再求值:3(x2﹣2xy)﹣2[xy﹣1+(﹣xy+x2)],其中x=﹣4,y=.四、解答题:(本大题5个小题,每小题6分,共30分)29.(6分)某校七年级学生举行元旦游园活动,设有语文天地,趣味数学,English World三大项目,趣味数学含七巧板拼图,速算,魔方还原,脑筋急转弯以及其他小项目,每位同学只能参加一个项目,小王对同学们参加趣味数学的项目进行了调查统计,制成如下扇形统计图,并根据参加“魔方还原”的同学的成绩制成了如下条形统计图,已知参加七巧板拼图的同学有24人,参加“脑筋急转弯”的人数是参加“魔方还原”的2倍.(1)参加趣味数学的总人数为人;(2)参加“魔方还原”的人数占参加趣味数学总人数的百分比为%;(3)补全条形统计图.30.(6分)列方程解应用题:销售服装的“欣欣”淘宝店今冬重点推出某新款大衣,标价为1000元,平常一律打九折出售.商家抓住商机,提前在淘宝网首页上打出广告“双11当天该款大衣打六五折后再让利30元”.因此双11当天该款大衣销售了30件,最后“双11”当天的利润相当于平时卖10件大衣的利润,求衣服的进价.31.(6分)如图,∠AOB是平角,射线OD平分∠AOC,射线OE平分∠BOD,且∠BOC=4∠AOD,求∠COE的度数.32.(6分)列方程解应用题:由甲地到乙地前三分之二的路是高速公路,后三分之一的路是普通公路,高速公路和普通公路交界处是丙地.A车在高速公路和普通公路的行驶速度都是80千米/时;B车在高速公路上的行驶速度是100千米/时,在普通公路上的行驶速度是70千米/时,A、B两车分别从甲、乙两地同时出发相向行驶,在高速公路上距离丙地40千米处相遇,求甲、乙两地之间的距离是多少?33.(6分)列方程解应用题:近年来,我市全面实行新型农村合作医疗,得到了广大农民的积极响应,很多农民看病贵、看病难的问题在合作医疗中得到了缓解.参加医保的农民可在规定的医院就医并按规定标准报销部分医疗费用,下表①是医疗费用分段报销的标准;下表②是甲、乙、丙三位农民今年的实际医疗费及个人承担总费用.表①医疗费用范围门诊费住院费(元)0~5000的部分5000~20000的部分20000以上的部分报销比例a%40%50%c%表②门诊费住院费个人承担总费用甲260元0元182元乙80元2800元b元丙400元25000元11780元注明:①个人承担医疗费=实际医疗费﹣按标准报销的金额;②个人承担总费用包括门诊费和住院费中个人承担的部分.请根据上述信息,解答下列问题:(1)填空:a=,b=,c=;(2)李大爷去年和今年的实际住院费共计52000元,他本人共承担了18300元,已知今年的住院费超过去年,则李大爷今年实际住院费用是多少元?2013-2014学年重庆市南开中学七年级(上)期末数学试卷参考答案与试题解析一、选择题:(本大题10个小题,每小题2分,共20分)在每个小题的下面,都给出了代号为A、B、C、D的四个答案,其中只有一个是正确的,请将正确答案的代号填入答题卷中对应的表格内.1.(2分)在﹣3,﹣1,0,2这四个数中,最小的数是()A.﹣3B.﹣1C.0D.2【解答】解:这四个数在数轴上的位置如图所示:由数轴的特点可知,这四个数中最小的数是﹣3.故选:A.2.(2分)下列调查方式合适的是()A.为了了解一批电视机的使用寿命,采用普查方式B.为了了解全国中学生的视力状况,采用普查方式C.对嫦娥三号卫星零部件的检查,采用抽样调查的方式D.为了了解人们保护水资源的意识,采用抽样调查的方式【解答】解:为了了解一批电视机的使用寿命,采用抽样调查方式,A错误;为了了解全国中学生的视力状况,采用抽样调查方式,B错误;对嫦娥三号卫星零部件的检查,采用普查的方式,C错误;为了了解人们保护水资源的意识,采用抽样调查的方式,D正确,故选:D.3.(2分)如图表示一个由相同小立方块搭成的几何体的俯视图,小正方形中的数字表示该位置上小立方块的个数,则该几何体的主视图为()A.B.C.D.【解答】解:根据俯视图中的每个数字是该位置小立方块的个数,得出主视图有3列,从左到右的列数分别是4,3,2.故选:C.4.(2分)某班有60名学生,班长把全班学生对周末出游地的意向绘制成了扇形统计图,其中“想去重庆金佛山滑雪的学生数”的扇形圆心角是60°,则下列说法正确的是()A.想去重庆金佛山滑雪的学生有12人B.想去重庆金佛山滑雪的学生肯定最多C.想去重庆金佛山滑雪的学生占全班学生的D.想去重庆金佛山滑雪的学生占全班学生的60%【解答】解:A、想去重庆金佛山滑雪的学生有60×=10人,故选项错误;B、没有其它去处的数据,不能确定为最多,故选项错误;C、想去重庆金佛山滑雪的学生占全班学生的,故选项正确;D、想去重庆金佛山滑雪的学生占全班学生的,故选项错误.故选:C.5.(2分)下列计算正确的是()A.x2+x2=x4B.x3•x•x4=x7C.a4•a4=a16D.a•a2=a3【解答】解:A、x2+x2=2x2,故A选项错误;B、x3•x•x4=x8,故B选项错误;C、a4•a4=a8,故C选项错误;D、a•a2=a3,故D选项正确.故选:D.6.(2分)下列判断错误的是()A.多项式5x2﹣2x+4是二次三项式B.单项式﹣a2b3c4的系数是﹣1,次数是9C.式子m+5,ab,x=1,﹣2,都是代数式D.当k=3时,关于x,y的代数式(﹣3kxy+3y)+(9xy﹣8x+1)中不含二次项【解答】解:A、多项式是二次三项式,故本选项正确;B、单项式的系数是﹣1,次数是2+3+4=9,故本选项正确;C、x=1不是代数式,故本选项错误;D、代入得:﹣9xy+3y+9xy﹣8x+1=3y﹣8x+1中不含二次项,故本选项正确;故选:C.7.(2分)小明将前年春节所得的压岁钱买了一个某银行的两年期的理财产品,该理财产品的年回报率为4.5%,银行告知小明今年春节他将得到利息288元,则小明前年春节的压岁钱为()A.6400元B.3200元C.2560元D.1600元【解答】解:设本金是x元,由题意得:4.5%x×2=288,解得x=3200;答:小明前年春节的压岁钱为3200元.故选:B.8.(2分)如图,已知A、B是线段EF上两点,EA:AB:BF=1:2:3,M、N分别为EA、BF的中点,且MN=8cm,则EF长()A.9cm B.10cm C.11cm D.12cm【解答】解:∵EA:AB:BF=1:2:3,可以设EA=x,AB=2x,BF=3x,而M、N分别为EA、BF的中点,∴MA=EA,NB=BF,∴MN=MA+AB+BN=x+2x+x=4x∵MN=8cm,∴4x=8,∴x=2,∴EF=EA+AB+BF=6x=12,∴EF的长为12cm,故选:D.9.(2分)若关于x的方程2(﹣k)x﹣3x=﹣1无解,则()A.k=﹣1B.k=l C.k≠﹣1D.k≠1【解答】解;若关于x的方程2(﹣k)x﹣3x=﹣1无解,1﹣2k﹣3=0,k=﹣1,故选:A.10.(2分)生物课题研究小组对附着在物体表面的三个微生物(课题组成员把他们分别标号为1,2,3)的生长情况进行观察记录,这三个微生物第一天各自一分为二,产生新的微生物(依次被标号为4,5,6,7,8,9),接下去每天都按照这样的规律变化,即每个微生物一分为二,形成新的微生物(课题组成员用如图所示的图形进行形象的记录),那么标号为1000的微生物会出现在()A.第7天B.第8天C.第9天D.第10天【解答】解:第一天产生新的微生物有6个标号,第二天产生新的微生物有12个标号,以此类推,第三天、第四天、第五天…产生新的微生物分别有24个,48个,96个,192个,384个,768个,…前八天所有微生物的标号共有3+6+12+24+48+96+192+384=762个,所以标号为1000的微生物会出现在第8天.故选:B.二、填空题:(本大题15个小题,每小题2分,共30分)请将每小题的答案填在答题卷中对应横线上.11.(2分)若a3•a m=a8,则m=5.【解答】解:∵a3•a m=a3+m=a8,∴3+m=8,解得:m=5.故答案为:512.(2分)若单项式﹣2a m b3与a5b2﹣n是同类项,则m+n=4.【解答】解:由同类项的定义可得m=5;2﹣n=3,即n=﹣1.∴m+n=5﹣1=4.故答案为:4.13.(2分)如果3y9﹣2m+2=0是关于y的一元一次方程,则m=4.【解答】解:3y9﹣2m+2=0是关于y的一元一次方程,得到9﹣2m=1,解得:m=4,故答案为:414.(2分)当嫦娥三号刚进入轨道时,速度为大约每秒7100米,将数7100用科学记数法表示为7.1×103.【解答】解:7100=7.1×103.故答案为:7.1×103.15.(2分)25.14°=25°8′24″.【解答】解:∵0.14°=0.14×60′=8.4′,0.4′=0.4×60″=24″,∴25.14°=25°8′24″.故答案为:25,8,24.16.(2分)下午1点20分,时针与分针的夹角为80度.【解答】解:30×(2+1﹣)=80°,故答案为:80.17.(2分)若x=1是方程a(x﹣2)=a+2x的解,则a=﹣1.【解答】解:x=1是方程a(x﹣2)=a+2x的解,将x=1代入该方程,得:a(1﹣2)=a+2,是一个关于a为未知数的一元一次方程,去括号得:﹣a=a+2,移项得:﹣a﹣a=2,合并同类项得:﹣2a=2,两边同除以﹣2得:a=﹣1,∴a=﹣1.故填:﹣1.18.(2分)已知a、b满足|a+3b+1|+(2a﹣4)2=0,则(ab3)2=4.【解答】解:由题意得,a+3b+1=0,2a﹣4=0,解得a=2,b=﹣1,所以,(ab3)2=[2×(﹣1)3]2=(﹣2)2=4.故答案为:4.19.(2分)已知2x2+xy=6,3y2+2xy=9,则4x2+8xy+9y2的值为39.【解答】解:∵2x2+xy=6,3y2+2xy=9,∴原式=2(2x2+xy)+3(3y2+2xy)=12+27=39.故答案为:39.20.(2分)有理数a、b在数轴上的位置如图,则|a﹣b|﹣2|a﹣c|﹣|b+c|=3a ﹣c.【解答】解:根据题意得:b<a<0<c,且|a|<|c|<|b|,∴a﹣b>0,a﹣c<0,b+c<0,则原式=a﹣b+2a﹣2c+b+c=3a﹣c.故答案为:3a﹣c21.(2分)如图,∠AOD=90°,∠AOB:∠BOC=1:3,OD平分∠BOC,则∠AOC= 144度.【解答】解:∵∠AOB:∠BOC=1:3,∴设∠AOB为x,∠BOC为3x,∵OD平分∠BOC,∴∠BOD=∠BOC=x,∵∠AOD=90°,∴x+x=90°,x=36°,3x=108°,∴∠AOC=∠AOB+∠BOC=36°+108°=144°,故答案为:144.22.(2分)一圆柱形容器的内半径为3厘米,内壁高30厘米,容器内盛有18厘米高的水,现将一个底面半径为2厘米,高15厘米的金属圆柱竖直放入容器内,问容器内的水将升高6厘米.【解答】解:设此时的水深是x厘米,则容器内的水将升高(x﹣18)厘米,由题意,得π×32×x=π×32×18+π×22×15解得x=24,24﹣18=6,答:容器内的水将升高6厘米.故答案为6.23.(2分)已知A,B,M,N在同一直线上,点M是AB的中点,并且NA=8,NB=6,则线段MN=1或7.【解答】解;①N在线段AB上,,AB=AN+NB=14,点M是AB的中点,AM=BM=7,NM=AN﹣AM=7﹣6=1;②N在线段AB的延长线上,,AB=AN﹣BN=2,点M是AB的中点,MB=AM=1,MN=MB+BN=1+6=7,故答案为:1或7.24.(2分)以下说法:①两点确定一条直线;②两点之间直线最短;③若x=y,则=;④若|a|=﹣a,则a<0;⑤若a,b互为相反数,那么a,b的商必定等于﹣1.其中正确的是①.(请填序号)【解答】解:①两点确定一条直线,正确;②两点之间线段最短,故原命题错误;③若x=y,则=,其中a,b不为0,故原命题错误;④若|a|=﹣a,则a≤0,错误;⑤若a,b互为相反数,那么a,b的商必定等于﹣1,其中a,b不为0,故原命题错误.其中正确的是①.故答案为:①.25.(2分)已知AB是一段只有3米长的窄道路,由于一辆小汽车与一辆大卡车在AB段相遇,必须倒车才能继续通过.如果小汽车在AB段正常行驶需10分钟,大卡车在AB段正常行驶需20分钟,小汽车在AB段倒车的速度是它正常行驶速度的,大卡车在AB段倒车的速度是它正常行驶的,小汽车需倒车的路程是大卡车的4倍.问两车都通过AB这段狭窄路面的最短时间是50分钟.【解答】解:小汽车X通过AB段正常行驶需要10分钟,小汽车在AB段倒车的速度是它正常行驶速度的,由此得出倒车时间AB段X=10÷=50分钟,卡车Y通过AB段正常行驶需20分钟,大卡车在AB段倒车的速度是它正常行驶速度的,由此得出倒车时间AB段Y=20÷=160分钟,又因为:小汽车需要倒车的路程是大卡车需倒车的路程的4倍,得到小车进入AB段,大车进入AB段,由此得出实际Y倒车时间=160×=32分钟,实际X倒车时间=50×=40分钟.若Y倒X进则是32+20=52分钟两车都通过AB路段,若X倒Y进则是40+10=50分钟两车都通过AB路段,所以两车都通过AB路段的最短时间是50分钟.故答案为:50.三、计算题:(本大题5个小题,共20分)26.(8分)计算:(1)﹣12+|﹣6|×+()4×(﹣2)5;(2)2﹣(﹣+)×36.【解答】解:(1)﹣12+|﹣6|×+()4×(﹣2)5=﹣1+3+×(﹣32)=2﹣2=0(2)2﹣(﹣+)×36=2﹣×36+×36﹣×36=2﹣28+198﹣6=16627.(8分)解方程:(1)2(2x﹣1)=3x﹣7;(2)=1﹣.【解答】解:(1)方程去括号得:4x﹣2=3x﹣7,移项合并得:x=﹣5;(2)去分母得:3.4﹣4x=0.6﹣0.5﹣2x,移项合并得:2x=3.3,解得:x=1.65.28.(4分)先化简,再求值:3(x2﹣2xy)﹣2[xy﹣1+(﹣xy+x2)],其中x=﹣4,y=.【解答】解:原式=3x2﹣6xy﹣xy+2+3xy﹣3x2=﹣xy+2,当x=﹣4,y=时,原式=7+2=9.四、解答题:(本大题5个小题,每小题6分,共30分)29.(6分)某校七年级学生举行元旦游园活动,设有语文天地,趣味数学,English World三大项目,趣味数学含七巧板拼图,速算,魔方还原,脑筋急转弯以及其他小项目,每位同学只能参加一个项目,小王对同学们参加趣味数学的项目进行了调查统计,制成如下扇形统计图,并根据参加“魔方还原”的同学的成绩制成了如下条形统计图,已知参加七巧板拼图的同学有24人,参加“脑筋急转弯”的人数是参加“魔方还原”的2倍.(1)参加趣味数学的总人数为120人;(2)参加“魔方还原”的人数占参加趣味数学总人数的百分比为15%;(3)补全条形统计图.【解答】解:(1)∵参加七巧板拼图的同学有24人,占20%,∴参加趣味数学的总人数为24÷20%=120(人);(2)设参加“魔方还原”的有x人,则参加“脑筋急转弯”的有2x人,由题意得x+2x=120×(1﹣25%﹣20%﹣10%),解得x=18,则参加“魔方还原”的人数占参加趣味数学总人数的百分比为×100%=15%;(3)∵参加“魔方还原”的有18人,∴参加“魔方还原”的同学还原魔方的时间为3~4分钟的有:18﹣(1+2+3+8)=4(人),条形统计图补充如下:故答案为120;15.30.(6分)列方程解应用题:销售服装的“欣欣”淘宝店今冬重点推出某新款大衣,标价为1000元,平常一律打九折出售.商家抓住商机,提前在淘宝网首页上打出广告“双11当天该款大衣打六五折后再让利30元”.因此双11当天该款大衣销售了30件,最后“双11”当天的利润相当于平时卖10件大衣的利润,求衣服的进价.【解答】解:设衣服的进价为x元,则30(1000×0.65﹣30﹣x)=10(1000×0.9﹣x),解得x=480.答:衣服的进价为480元.31.(6分)如图,∠AOB是平角,射线OD平分∠AOC,射线OE平分∠BOD,且∠BOC=4∠AOD,求∠COE的度数.【解答】解:∵OD平分∠AOC,∴∠AOD=∠COD=∠AOC,∵∠BOC=4∠AOD,∴∠BOC=2∠AOC,∵∠BOC+∠AOC=180°,∴3∠AOC=180°,∴∠AOC=60°,∴∠COD=∠AOC=30°,∠BOC=2∠AOC=120°∴∠BOD=150°,∵OE平分∠BOD,∴∠EOD=∠BOE=75°,∴∠COE=∠DOE﹣∠COD=75°﹣30°=45°.32.(6分)列方程解应用题:由甲地到乙地前三分之二的路是高速公路,后三分之一的路是普通公路,高速公路和普通公路交界处是丙地.A车在高速公路和普通公路的行驶速度都是80千米/时;B车在高速公路上的行驶速度是100千米/时,在普通公路上的行驶速度是70千米/时,A、B两车分别从甲、乙两地同时出发相向行驶,在高速公路上距离丙地40千米处相遇,求甲、乙两地之间的距离是多少?【解答】解:设甲、乙两地之间的距离是x千米,根据题意得:=+,解得x=252.答:甲、乙两地之间的距离是252千米.33.(6分)列方程解应用题:近年来,我市全面实行新型农村合作医疗,得到了广大农民的积极响应,很多农民看病贵、看病难的问题在合作医疗中得到了缓解.参加医保的农民可在规定的医院就医并按规定标准报销部分医疗费用,下表①是医疗费用分段报销的标准;下表②是甲、乙、丙三位农民今年的实际医疗费及个人承担总费用.表①医疗费用范围门诊费住院费(元)0~5000的部分5000~20000的部分20000以上的部分报销比例a%40%50%c%表②门诊费住院费个人承担总费用甲260元0元182元乙80元2800元b元丙400元25000元11780元注明:①个人承担医疗费=实际医疗费﹣按标准报销的金额;②个人承担总费用包括门诊费和住院费中个人承担的部分.请根据上述信息,解答下列问题:(1)填空:a=30,b=1736,c=80;(2)李大爷去年和今年的实际住院费共计52000元,他本人共承担了18300元,已知今年的住院费超过去年,则李大爷今年实际住院费用是多少元?【解答】解:(1)甲的门诊费为260元,个人承担为182元,所以有260(1﹣a%)=182,解得a=30,乙个人承担费用为:b=80×(1﹣30%)+2800×(1﹣40%)=1736(元),根据题意丙个人承担费用为:400×(1﹣30%)+5000×(1﹣40%)+(20000﹣5000)×(1﹣50%)+(25000﹣20000)(1﹣c%)=11780,解得c=80.故答案为:30,1736,80;(2)由表可知当住院费用为20000元时,其个人承担费用5000×60%+15000×50%=10500元,而李大爷两年总承担为18300元,故去年的费用低于20000元,当如果去年住院费用为5000元时,其个人承担费用为3000元,则今年的为52000﹣5000=47000元,个人承担费用为:5000×60%+15000×50%+27000×20%=15900元,此时住院费用为15900+3000=18900>18300,故李大爷去年住院费用小于5000元,设今年住院费用为x元,则去年住院费用为(52000﹣x)元,根据题意可得:(52000﹣x)×60%+5000×60%+15000×50%+(x﹣20000)×20%=18300,解得x=48500.所以李大爷今年实际住院费用为48500元.。
七年级数学上册计算题汇总1、已知线段AB,BC为同一直线上的两条线段,M,N分别是线段AB,BC的中点,AB=16㎝,BC=6㎝,则MN的长为多少?2、已知线段AB=7cm,在直线AB上画线段BC=3cm,则线段AC=_______3、在同一条公路旁,住着五个人,他们在同一家公司上班,如图9,不妨设这五个人的家分别住在点ABDEF位置,公司在C点,若AB=4km,BC=2km,CD=3km,DE=3km,EF=1km,他们全部乘出租车上班,车费单位报销.出租车收费标准是:起步价3元(3km以内,包括3km),以后每千米1.5元(不足1km,以1km计算),每辆车能容纳3人.(1)若他们分别乘出租车去上班,公司在支付车费多少元?(2)如果你是公司经理,你对他们有没有什么建议?4、在一条东西走向的公路上有一个停车点,记作0米,如果由停车点向东走50米,记作+50米,向西走30米,记作-30米,回答下列问题:(1)甲先由停车点向东走了80米,有向西走了50米,此时,甲相对停车点的位置记作什么?(2)乙先由停车点向东走了90米,又向西走了120米,此时,乙相对停车点的位置记作什么?5、小虫重某点0出发在一直线上来回爬行,假定向右爬行的路程记为正数,向左爬行的路程记为负数,爬行的各路段路程依次为(单位cm);+5,-3,+10,-8,-6,+12,-10问:(1)小虫最后是否回到出发点?(2)小虫离开出发点最原始多少米?(3)在爬行中,如果每爬行1cm奖励1粒芝麻,则小虫一共得到多少粒芝麻?6、—2的绝对值表示它离开原点的距离是个单位,记作7、已知|x|=3,|y|=2,且x<y,则x+y=____8、若(x-1)2+|y+4|=0,则3x+5y=______若|a-3|+ |3a-4b|=0,则-2a+8b=____9、1、(-5)7读作________________,其中底数是______,指数是_______。
初一数学上册计算题(400道题)(1)()22--= (2)3112⎛⎫⎪⎝⎭-=(3)()91- = (4)()42-- =(5)()20031-= (6)()2332-+-=(7)()33131-⨯--= (8)()2233-÷- =(9))2()3(32-⨯-= (10)22)21(3-÷-=(11)()()3322222+-+-- (12)235(4)0.25(5)(4)8⎛⎫-⨯--⨯-⨯- ⎪⎝⎭(13)()34255414-÷-⎪⎭⎫ ⎝⎛-÷ (14)()⎪⎭⎫ ⎝⎛-÷----721322246(15)()()()33220132-⨯+-÷--- (16) []24)3(2611--⨯--(17)])3(2[)]215.01(1[2--⨯⨯-- (18)(19)()()()33220132-⨯+-÷--- (20)22)2(3---;(21)]2)33()4[()10(222⨯+--+-; (22)])2(2[31)5.01()1(24--⨯⨯---; 332222()(3)(3)33÷--+-(23)94)211(42415.0322⨯-----+-; (24)20022003)2()2(-+-;(25))2()3(]2)4[(3)2(223-÷--+-⨯--; (26)200420094)25.0(⨯-.(27)()0252423132.⨯--÷-⎛⎝ ⎫⎭⎪+⎡⎣⎢⎢⎤⎦⎥⎥ (28)()()----⨯-221410222(29)()()()-⨯÷-+-⎛⎝ ⎫⎭⎪⨯-÷-3120313312232325.. (30)()()()-⎛⎝ ⎫⎭⎪⨯-⨯-⨯-212052832.(31) (32)(56)(79)---(33)(3)(9)(8)(5)-⨯---⨯- (34)3515()26÷-+ (35)5231591736342--+- (36)()()22431)4(2-+-⨯---(37)411)8()54()4()125.0(25⨯-⨯-⨯-⨯-⨯33182(4)8-÷--(38)如果0)2(12=-++b a ,求20112010()-3ab a b a a ++-()的值(39)已知|1|a +与|4|b -互为相反数,求b a 的值。
人教版七年级上册期末复习:计算题专题训练(一)一.有理数混合运算1.计算:(1)|﹣|+(﹣)﹣×(﹣2)3;(2)(﹣6)+(﹣1)×0.75×|﹣1|÷|﹣3|2.2.计算与化简:(1)12﹣(﹣6)+(﹣9);(2)(﹣48)×(﹣﹣+);(3)﹣32÷(﹣2)2×|﹣1|×6+(﹣2)3.3.计算题:(1)8+(﹣3)2×(﹣2)﹣(﹣3)(2)﹣12﹣24×(﹣+﹣)4.计算:(1)(2)5.计算:(1)(﹣3)÷(﹣)×0.75×||÷|﹣3|2;(2)﹣32××[(﹣5)2×(﹣)﹣240÷(﹣4)×].二.整式计算与求值6.计算(1)3a(5a﹣2b);(2)(12a3﹣6a2+3a)÷3a;(3)(x+3)2﹣(x+2)(x﹣2).7.计算:(1)4x4y2÷(﹣2xy);(2)(3x﹣y)2+y(3x﹣y).8.计算:(1)3xy•(﹣2x3y)2÷(﹣6x5y3);(2)(m+2)(m﹣2)﹣(m﹣1)2.9.计算与化简(1)计算:(36a4b3﹣9a3b2+4a2b2)÷(﹣3ab)2;(2)先化简,再求值.(x﹣y)2+(3x﹣y)(x+y)﹣(x﹣2y)(x+2y),其中x,y 满足(x+2)2+|y﹣3|=0.10.计算:(1)(﹣3xy)2÷y2.(2)(3x+4)(3x﹣4)﹣(2x+3)(3x﹣2).三.解一元一次方程11.解下列方程:(1)﹣2=x+1;(2)5(x﹣5)﹣2(x﹣12)=2;(3)﹣=1;(4)(3x+7)=2﹣x.12.解方程(1)4x+7.5=13;(2)x﹣0.6x=5.13.解下列方程:(1)8x﹣3=5x+3;(2)5(y+8)=5﹣6(7﹣2y);(3);(4)﹣=x+1.14.解方程:(1)2x﹣3=5;(2).15.解方程:(1)3x+2=7﹣2x;(2).参考答案1.解:(1)原式=﹣﹣×(﹣8)=+1=1;(2)原式=﹣6﹣××÷9=﹣6﹣=﹣6.2.解:(1)12﹣(﹣6)+(﹣9)=12+6+(﹣9)=18+(﹣9)=9;(2)(﹣48)×(﹣﹣+)=(﹣48)×(﹣)+(﹣48)×(﹣)+(﹣48)×=24+30﹣28=26;(3)﹣32÷(﹣2)2×|﹣1|×6+(﹣2)3.=﹣9÷4××6+(﹣8)=﹣××6+(﹣8)=(﹣18)+(﹣8)=﹣26.3.解:(1)原式=8+9×(﹣2)+3=8﹣18+3=﹣10+3=﹣7;(2)原式=﹣1﹣24×(﹣)﹣24×﹣24×(﹣)=﹣1+4﹣16+18=3﹣16+18=﹣13+18=5.4.解:(1)原式=×(﹣12)﹣×(﹣12)+×(﹣12)=﹣4+9﹣10=﹣5;(2)原式=﹣9﹣2×9+(﹣6)×(﹣)=﹣9﹣18+9=﹣18.5.解:(1)(﹣3)÷(﹣)×0.75×||÷|﹣3|2=×××=.(2)﹣32××[(﹣5)2×(﹣)﹣240÷(﹣4)×] =﹣3×[25×(﹣)+60×]=﹣3×(﹣15+15)=﹣3×0=0.6.解:(1)原式=15a2﹣6ab.(2)原式=4a2﹣2a+1.(3)原式=x2+6x+9﹣(x2﹣4)=x2+6x+9﹣x2+4=6x+13.7.解:(1)4x4y2÷(﹣2xy)=﹣2x3y;(2)(3x﹣y)2+y(3x﹣y)=9x2﹣6xy+y2+3xy﹣y2=9x2﹣3xy.8.解:(1)3xy•(﹣2x3y)2÷(﹣6x5y3)=3xy•4x6y2÷(﹣6x5y3)=12x7y3÷(﹣6x5y3)=﹣2x2;(2)(m+2)(m﹣2)﹣(m﹣1)2=m2﹣4﹣(m2﹣2m+1)=m2﹣4﹣m2+2m﹣1=2m﹣5.9.解:(1)(36a4b3﹣9a3b2+4a2b2)÷(﹣3ab)2=(36a4b3﹣9a3b2+4a2b2)÷9a2b2=4a2b﹣a+;(2)(x﹣y)2+(3x﹣y)(x+y)﹣(x﹣2y)(x+2y)=x2﹣2xy+y2+3x2+3xy﹣xy﹣y2﹣(x2﹣4y2)=x2﹣2xy+y2+3x2+3xy﹣xy﹣y2﹣x2+4y2=3x2+4y2,∵(x+2)2+|y﹣3|=0,∴x+2=0,y﹣3=0,解得x=﹣2,y=3,当x=﹣2,y=3时,原式=3×(﹣2)2+4×32=3×4+4×9=12+36=48.10.解:(1)(﹣3xy)2÷y2=9x2y2÷y2.=9x2;(2)(3x+4)(3x﹣4)﹣(2x+3)(3x﹣2)=9x2﹣16﹣(6x2﹣4x+9x﹣6)=9x2﹣16﹣6x2﹣5x﹣6=3x2﹣5x﹣22.11.解:(1)﹣2=x+1,去分母得:9x﹣24=4x+12,移项得:9x﹣4x=12+24,合并同类项得:5x=36,解得:x=7.2.(2)5(x﹣5)﹣2(x﹣12)=2,去括号得:5x﹣25﹣2x+24=2,移项得:5x﹣2x=2+25﹣24,合并同类项得:3x=3,解得:x=1.(3)﹣=1,去分母得:3(3x+5)﹣4(4x﹣2)=12 去括号得:9x+15﹣16x+8=12,移项得:9x﹣16x=12﹣15﹣8,合并同类项得:﹣7x=﹣11,解得:x=.(4)(3x+7)=2﹣x,去分母得:4(3x+7)=28﹣21x,去括号得:12x+28=28﹣21x移项合并得:33x=0,解得:x=0.12.解:(1)4x+7.5=13,移项,得4x=13﹣7.5,合并同类项,得4x=5.5,系数化为1,得x=1.375;(2)x﹣0.6x=5,合并同类项,得0.4x=5,系数化为1,得x=.13.解:(1)8x﹣3=5x+3,移项,得8x﹣5x=3+3,合并同类项,得3x=6,系数化为1,得x=2;(2)5(y+8)=5﹣6(7﹣2y),去括号,得5y+40=5﹣42+12y,移项,得5y﹣12y=5﹣42﹣40,合并同类项,得﹣7x=﹣77,系数化为1,得x=11;(3),去分母,得3(y+2)﹣12=2(2y﹣1),去括号,得3y+6﹣12=4y﹣2,移项,得3y﹣4y=12﹣6﹣2,合并同类项,得﹣y=4,系数化为1,得y=﹣4;(4)﹣=x+1,去分母,得3(x+7)﹣4(x﹣1)=12(x+1),去括号,得3x+21﹣4x+4=12x+12,移项,得3x﹣4x﹣12x=12﹣4﹣21,合并同类项,得﹣13x=﹣13,系数化为1,得x=1.14.解:(1)2x﹣3=5,移项得:2x=5+3,合并同类项得:2x=8,系数化为1得:x=4;(2),去分母得:x+1+6=3x,移项得:x﹣3x=﹣1﹣6,合并同类项得:﹣2x=﹣7,系数化为1得:x=3.5.15.解:(1)3x+2=7﹣2x,移项,得3x+2x=7﹣2,合并同类项,得5x=5,系数化1,得x=1;(2),去分母,得3(x+2)﹣2(2x﹣3)=12,去括号,得3x+6﹣4x+6=12,移项,得3x﹣4x=12﹣6﹣6,合并同类项,得﹣x=0,系数化1,得x=0.。
七年级数学上册计算题汇总1、已知线段AB,BC为同一直线上的两条线段,M,N分别是线段AB,BC的中点,AB=16㎝,BC=6㎝,则MN的长为多少?2、已知线段AB=7cm,在直线AB上画线段BC=3cm,则线段AC=_______3、在同一条公路旁,住着五个人,他们在同一家公司上班,如图9,不妨设这五个人的家分别住在点ABDEF位置,公司在C点,若AB=4km,BC=2km,CD=3km,DE=3km,EF=1km,他们全部乘出租车上班,车费单位报销.出租车收费标准是:起步价3元(3km以内,包括3km),以后每千米1.5元(不足1km,以1km计算),每辆车能容纳3人.(1)若他们分别乘出租车去上班,公司在支付车费多少元?(2)如果你是公司经理,你对他们有没有什么建议?4、在一条东西走向的公路上有一个停车点,记作0米,如果由停车点向东走50米,记作+50米,向西走30米,记作-30米,回答下列问题:(1)甲先由停车点向东走了80米,有向西走了50米,此时,甲相对停车点的位置记作什么?(2)乙先由停车点向东走了90米,又向西走了120米,此时,乙相对停车点的位置记作什么?5、小虫重某点0出发在一直线上来回爬行,假定向右爬行的路程记为正数,向左爬行的路程记为负数,爬行的各路段路程依次为(单位cm);+5,-3,+10,-8,-6,+12,-10问:(1)小虫最后是否回到出发点?(2)小虫离开出发点最原始多少米?(3)在爬行中,如果每爬行1cm奖励1粒芝麻,则小虫一共得到多少粒芝麻?6、—2的绝对值表示它离开原点的距离是个单位,记作7、已知|x|=3,|y|=2,且x<y,则x+y=____8、若(x-1)2+|y+4|=0,则3x+5y=______若|a-3|+ |3a-4b|=0,则-2a+8b=____9、1、(-5)7读作________________,其中底数是______,指数是_______。
七年级上期末计算题(1)(-9)+(-13) (2)(-12)+27 (3) (-28)+(-34)(4) 67+(-92) (5) (-27.8)+43.9 (6)(-23)+7+(-152)+65(7)|52+(-31)| (8)(-52)+|―31| (9) 38+(-22)+(+62)+(-78) (10)(-8)+(-10)+2+(-1) (11)(-32)+0+(+41)+(-61)+(-21) (12)(-8)+47+18+(-27) (13)(-5)+21+(-95)+29(14)(-8.25)+8.25+(-0.25)+(-5.75)+(-7.5) (15)6+(-7)+(9)+2 (16)72+65+(-105)+(-28) (17)(-23)+|-63|+|-37|+(-77) (18)19+(-195)+47 (19)(+18)+(-32)+(-16)+(+26) (20)(-0.8)+(-1.2)+(-0.6)+(-2.4)(21) (-8)+(-321)+2+(-21)+12 (22) 553+(-532)+452+(-31) (23)(-6.37)+(-343)+6.37+2.75 (24)7-9 (25)―7―9 (26) 0-(-9) (27)(-25)-(-13) (28)8.2―(―6.3) (29) (-321)-541 (30) (-12.5)-(-7.5) (31)(-26)―(-12)―12―18 (32)―1―(-21)―(+23) (33)(-20)-(+5)-(-5)-(-12) (34) (-23)―(-59)―(-3.5)(35)|-32|―(-12)―72―(-5) (36)(-41)―(-85)―81 (37)(+103)―(-74)―(-52)―710 (38)(-516)―3―(-3.2)―7 (39)(+71)―(-72)―73 (40)(+6.1)―(-4.3)―(-2.1)―5.1 (41)(-32)―(-143)―(-132)―(+1.75) (42)(-332)―(-2)43―(-132)―(-1.75) (43)-843-597+461-392 (44) -443+61+(-32)―25 (45)0.5+(-41)-(-2.75)+21 (46)(+4.3)-(-4)+(-2.3)-(+4) (47)(-9)×32 (48)(-132)×(-0.26) (49)(-2)×31×(-0.5) (50)31×(-5)+31×(-13) (51)(-4)×(-10)×0.5×(-3) (52)(-83)×34×(-1.8) (53)(-0.25)×(-74)×4×(-7) (54)(-73)×(-54)×(-127) (55)(-8)×4×(-21)×(-0.75)(56)4×(-96)×(-0.25)×481 (57)(74-181+143)×56(58)(65―43―97)×36 (59)(-36)×(94+65-127) (60)(-43)×(8-34-0.4) (61)(-66)×〔12221-(-31)+(-115)〕 (62)25×43-(-25)×21+25×41 (63)(187+43-65+97)×72 (64)18÷(-3) (65)(-24)÷6 (66)(-57)÷(-3) (67)(-53)÷52 (68)(-42)÷(-6) (69)(+215)÷(-73)(70)(-139)÷9 (71) 0.25÷(-81) (72)-36÷(-131)÷(-32) (73)(-1)÷(-4)÷74 (74)3÷(-76)×(-97) (75)0÷[(-341)×(-7)] (76)-3÷(31-41) (77)(-2476)÷(-6) (78)2÷(5-18)×181 (79)131÷(-3)×(-31) (80)-87×(-143)÷(-83) (81)(43-87)÷(-65) (82)(29-83+43)÷(-43) (83)-3.5 ×(61-0.5)×73÷21 (84)-172÷(-165)×183×(-7) (85)56×(-31-21)÷45 (86)75÷(-252)-75×125-35÷4 (87) 0.8×112+4.8×(-72)-2.2÷73+0.8×119 (88)(-1275420361-+-)×(-15×4) (89)()⨯⨯-73187(-2.4)(90)2÷(-73)×74÷(-571) (91)[1521-(141÷152+321]÷(-181) (92)51×(-5)÷(-51)×5 (93)-(31-211+143-72)÷(-421) (94)-13×32-0.34×72+31×(-13)-75×0.34 (95)8-(-25)÷(-5)(96)(-13)×(-134)×131×(-671) (97)(-487)-(-521)+(-441)-381 (98)(-16-50+352)÷(-2) (99)(-0.5)-(-341)+6.75-521 (100)178-87.21+43212+532119-12.79 (101)(-6)×(-4)+(-32)÷(-8)-3 (102)-72-(-21)+|-121| (103)(-9)×(-4)+ (-60)÷12 (104) [(-149)-175+218]÷(-421) (105)-|-3|÷10-(-15)×31(106)-153×(327-165)÷221 (107)(231-321+11817)÷(-161)×(-7)(108)-2×23 (109) -22-()31- (110)43-34 (111)31--2×()31- (112)()23-÷()24-(113)2-×()22- (114)232-+()34- (115)()32-×()42-×()52- (116)2-×23-()232⨯-(117)()22-2-+()32-+32 (118)22--3)3(-×()31--()31- (119)-()[]221--+()221- (120)0-()23-÷3×()32- (121) 22-×()221-÷()38.0- (122)-23×()231-(123)-()32-÷()221-(124)()243-×(-32+1) ×0 (125)6+22×()51- (126) -10+8÷()22--4×3 (127)-51-()()[]55.24.0-⨯- (128)()251--(1-0.5)×31 (129)()32-×()232-×()323- (130)4×()23-+6 (131)()1321-×83×()122-×()731- (132)-27+2×()23-+(133)(-6)÷()231- (134)()42-÷(-8)-()321-×(-22) (135) ()()[]222345----×(11587÷)×()47-(136)()22--2[()221--3×43]÷51(137) ()26-÷9÷()296÷- (138)36×()23121-(139)-{()⎥⎦⎤⎢⎣⎡-÷⎪⎭⎫ ⎝⎛-⨯+--)2(2114.0333} (140)-41+(1-0.5)×31×[2×()23-](141)-4×()[]3671÷-+()[]()33235-÷-- (142) -33-()[]1283--÷+()23-×()32-÷1) ) )(174) (175)1、 2、 3、 4、(204) (205) (206)(207) (208)12(2x -3)=4x+4 (209)71(2x+14)=4-15x (210)216x +=213x -(211) 13y -+24y +=3+2y (212)2(1)3x +-5(1)6x +=1 (213)0.10.03x --0.90.20.7x-=1(214)460.01x ---6.5=0.0220.02x ---7.5 (215))312(65++-a a(216)ba b a +--)5(2(217)-32009)214(2)2(++--y x y x (218)-[]12)1(32--+--n m m(219))(4)()(3222222y z z y y x ---+- (220)222[(1)1]1x x x -----(221)-)32(3)32(2a b b a -+- (222))]2([2)32(3)(222222y xy x x xy x xy x +------- (223)222213344a b ab ab a b ⎛⎫⎛⎫+-+ ⎪ ⎪⎝⎭⎝⎭(224) ()()323712p p p p p +---+(225)2237(43)2x x x x ⎡⎤----⎣⎦(226)-22225(3)2(7)a b ab a b ab --- (227)2(-a 3+2a 2)-(4a 2-3a +1) (228)(4a 2-3a +1)-3(-a 3+2a 2). (229)3(a 2-4a +3)-5(5a 2-a +2) (230)3x 2-[5x -2(14x -32)+2x 2](231)7a +(a 2-2a )-5(a -2a 2 ) (232)-3(2a +3b )-31(6a -12b )(233)222226284526x y xy x y x xy y x x y+---+- (234)3(2)(3)3ab a a b ab -+--+;(235)22112()822a ab a ab ab ⎡⎤--+-⎢⎥⎣⎦; (236)(a 3-2a 2+1)-2(3a 2-2a +21)(237)x -2(1-2x +x 2)+3(-2+3x -x 2) (238))24()215(2222ab ba ab b a +-+-(239)-4)142()346(22----+m m m m (240))5(3)8(2222xy y x y x xy ++--+- (241))312(65++-a a(242)-[]12)1(32--+--n m m(243))(4)6()4(3222222y z z y y x ---+-- (244)2)(107)(43)(1032+-+-+-y x y x y x(245)3(-ab +2a )-(3a -b )+3ab (246)2a 2-[12(ab -a 2)+8ab ]-12ab(247)2213[5(3)2]42a a a a ---++ (248)4y x 2-3[6xy -2(4xy -2)-y x 2]+5(249)-2a 2-[3a -(21a -3)+a 2]+5 (250)3x 2-[7x 2-2(x 2-3x )-2x ](251))4()9(6101212+++--+-n n n n n n x x x x x x (252)ba ab b a ab ab b a 222222]23)35(54[3--+--(253)7xy +xy 3+4+6x - 25xy 3-5xy -3 (254)-2(4a -3b )+3(5b -3a )(255)6.32.53.44.15.1+--+- (256)()⎪⎭⎫⎝⎛-÷-21316 (257)⎪⎭⎫ ⎝⎛÷⎪⎭⎫ ⎝⎛++-24161315.0 (258))7.1(5.2)4.2(5.23.75.2-⨯--⨯+⨯- (259)()⎥⎦⎤⎢⎣⎡-÷⎪⎭⎫ ⎝⎛÷-+---2532.0153 (260)⎪⎭⎫⎝⎛-÷⎥⎦⎤⎢⎣⎡⎪⎭⎫ ⎝⎛-⨯----35132211|5| (261)()⎥⎥⎦⎤⎢⎢⎣⎡-⎪⎭⎫ ⎝⎛-⨯-⨯-214124322 (262) -9+5×(-6) -(-4)2÷(-8)(263)()2313133.0121-÷⎪⎭⎫ ⎝⎛+⨯+-(264)321264+-=-x x (265)133221=+++x x (266) 15+(―41)―15―(―0.25)(267))32(9449)81(-÷⨯÷- (268)—48 × )1216136141(+--(269)()⎥⎦⎤⎢⎣⎡⎪⎭⎫ ⎝⎛-+-⨯-854342(270)4×(-3)2-13+(-12-|-43|(271)-32 -[(-2)2 -(1-54×43)÷(-2)](272)2x-19=7x+31 (273)413-x -675-x = 1(274)化简(求值)y xyx y x xy y x 22)(2)(22222----+的值,其中2,2=-=y x(275)212116()4(3)2--÷-+⨯- (276) ()()233256323x x x x ---+-(277)先化简,再求值,已知a = 1,b = —31,求多项式()()33222312222a b ab a b ab b-+---⎛⎫ ⎪⎝⎭的值(278)-22-(-3)3×(-1)4-(-1)5 (279)-1-(1-0.5)×31×[2-(-3)2] (280)11+(-22)-3×(-11) (281)32232692)23()3)(2(-÷+⨯-- (282)-2(x -1)=4 (283)-8x =3-1/2x (284)11148()6412⨯-+- (285)()⎪⎭⎫⎝⎛-⨯-÷-312618(286)23)31(⨯--(-6) (287) -12-(1-0.5)×(-131)×[2-(-3)2](288)-23-3×(-2)3-(-1)4 (289) (-62)21()25.0(|-3|32)23÷-+÷⨯(290)8141211+-+- (291))3(31)2(-⨯÷- (292)22)2(323-⨯-⨯- (293) 22)7(])6()61121197(50[-÷-⨯+--(294)先化简,再求值:2)(2)(3++--y x y x ,其中1-=x ,.43=y(295)2)6(328747-⨯-÷ (296) 化简:)42()12()34(222a a a a a a +-+-+--(297)先化简,再求值:⎪⎭⎫ ⎝⎛+-+⎪⎭⎫ ⎝⎛--22312331221y x y x x ,其中x=-2,y=32。
七年级数学上册计算题汇总1、已知线段AB,BC为同一直线上的两条线段,M,N分别是线段AB,BC的中点,AB=16㎝,BC=6㎝,则MN的长为多少?2、已知线段AB=7cm,在直线AB上画线段BC=3cm,则线段AC=_______3、在同一条公路旁,住着五个人,他们在同一家公司上班,如图9,不妨设这五个人的家分别住在点ABDEF位置,公司在C点,若AB=4km,BC=2km,CD=3km,DE=3km,EF=1km,他们全部乘出租车上班,车费单位报销.出租车收费标准是:起步价3元(3km以内,包括3km),以后每千米1.5元(不足1km,以1km计算),每辆车能容纳3人.(1)若他们分别乘出租车去上班,公司在支付车费多少元?(2)如果你是公司经理,你对他们有没有什么建议?4、在一条东西走向的公路上有一个停车点,记作0米,如果由停车点向东走50米,记作+50米,向西走30米,记作-30米,回答下列问题:(1)甲先由停车点向东走了80米,有向西走了50米,此时,甲相对停车点的位置记作什么?(2)乙先由停车点向东走了90米,又向西走了120米,此时,乙相对停车点的位置记作什么?5、小虫重某点0出发在一直线上来回爬行,假定向右爬行的路程记为正数,向左爬行的路程记为负数,爬行的各路段路程依次为(单位cm);+5,-3,+10,-8,-6,+12,-10问:(1)小虫最后是否回到出发点?(2)小虫离开出发点最原始多少米?(3)在爬行中,如果每爬行1cm奖励1粒芝麻,则小虫一共得到多少粒芝麻?6、—2的绝对值表示它离开原点的距离是个单位,记作7、已知|x|=3,|y|=2,且x<y,则x+y=____8、若(x-1)2+|y+4|=0,则3x+5y=______若|a-3|+ |3a-4b|=0,则-2a+8b=____9、1、(-5)7读作________________,其中底数是______,指数是_______。
七年级数学上册计算题汇总1、已知线段AB,BC为同一直线上的两条线段,M,N分别是线段AB,BC的中点,AB=16㎝,BC=6㎝,则MN的长为多少?2、已知线段AB=7cm,在直线AB上画线段BC=3cm,则线段AC=_______3、在同一条公路旁,住着五个人,他们在同一家公司上班,如图9,不妨设这五个人的家分别住在点ABDEF位置,公司在C点,若AB=4km,BC=2km,CD=3km,DE=3km,EF=1km,他们全部乘出租车上班,车费单位报销.出租车收费标准是:起步价3元(3km以内,包括3km),以后每千米1.5元(不足1km,以1km计算),每辆车能容纳3人.(1)若他们分别乘出租车去上班,公司在支付车费多少元?(2)如果你是公司经理,你对他们有没有什么建议?4、在一条东西走向的公路上有一个停车点,记作0米,如果由停车点向东走50米,记作+50米,向西走30米,记作-30米,回答下列问题:(1)甲先由停车点向东走了80米,有向西走了50米,此时,甲相对停车点的位置记作什么?(2)乙先由停车点向东走了90米,又向西走了120米,此时,乙相对停车点的位置记作什么?5、小虫重某点0出发在一直线上来回爬行,假定向右爬行的路程记为正数,向左爬行的路程记为负数,爬行的各路段路程依次为(单位cm);+5,-3,+10,-8,-6,+12,-10问:(1)小虫最后是否回到出发点?(2)小虫离开出发点最原始多少米?(3)在爬行中,如果每爬行1cm奖励1粒芝麻,则小虫一共得到多少粒芝麻?6、—2的绝对值表示它离开原点的距离是个单位,记作7、已知|x|=3,|y|=2,且x<y,则x+y=____8、若(x-1)2+|y+4|=0,则3x+5y=______若|a-3|+ |3a-4b|=0,则-2a+8b=____9、1、(-5)7读作________________,其中底数是______,指数是_______。
初一上学期期末计算题汇总【题目】1 、化简: 2a 2﹣ 3ab+4b2﹣6ab﹣2b22 、解方程: 3( x+1 )﹣ 2 ( x﹣ 1 ) =13 、解方程:.4 、已知 2x ﹣ 6= ﹣ 2,求代数式( x﹣ 2 )3+4 ( x﹣ 2)2﹣ 3x+5的值.5 、计算(1 )(2 ).6 、已知 3( a+1 )2+2|b+3|=0 ,化简并求 3 ( 3a+2b )﹣ 2 ( 3a+2b )﹣的值.7 、已知 A= , B=a 2+3a ﹣1 ,且 3A ﹣B+C=0 ,求代数式 C;当 a=2 时,求 C 的值.8 、等式 y=ax 3 +bx+c 中,当 x=0 时, y=3 ;当 x= ﹣ 1 时, y=5 ;求当 x=1 时, y 的值.9、计算题:①12 ﹣(﹣18 )+ (﹣ 7 )﹣ 15②﹣ 22÷(﹣)2× | ﹣ 5| ×(0﹣.1 )3③﹣ 10 十 8 ÷(﹣2 )2﹣(﹣ 4)×(﹣ 3)④.10 、已知( 2a ﹣ 1)2+|b+1|=0 ,求()2 十() 200211 、已知 a 2+a+1=0 ,求 a2007 +a 2006 +a 2005 的值.12 、已知 x2+x+3=0,求x5+3x4+2x3+2x2﹣10x的值13、计算:(1 );(2 )+ (﹣ 1)21.14 、解方程:.15 、先化简,再求值: 2 ( 3x 2+y )﹣( 2x 2﹣ y),其中,y=﹣1.16、计算:(1 );(2 )﹣ 2 2 +[18 ﹣(﹣ 3)×2]÷ 4 .17、解方程:(1)4x ﹣1=x+2 ;(2 ).18 、先化简,再求值:2x 2 +[x 2﹣( 3x 2 +2x ﹣ 1 ) ],其中.19 、计算:(﹣ 1 )10× 3+8 ÷(﹣4 ).20 、化简: 2x+5+3x﹣7.21、解方程:(1)2x ﹣9=5x+3(2 ).22 、先化简,再求值:x2﹣( 5x 2﹣ 4y ) +3 ( x2﹣ y),其中 x= ﹣1 ,y=2 .23 、计算:﹣ 17+ (﹣ 6 ) +23 ﹣(﹣ 20 )24 、计算:.25 、计算:()× 24 .26 、计算:﹣ 3 2+ (﹣ 1 )2010÷(﹣)2﹣3×(0.5﹣)27 、先化简,再求值: 3 ( 2a 2 b ﹣ ab 2)﹣( 5a 2b ﹣ 4ab 2),其中 a=2 , b= ﹣ 1 .28 、解方程: 4x+3 ( 2x ﹣ 5) =7 ﹣x.29、解方程:30、计算:(1)﹣ 24+3 ﹣ 16 ﹣ 5 ;(2)﹣ 2 3÷ ×(﹣)2;(3 );(4 );(5 )﹣ 1 4﹣( 1﹣ 0.5 )×× [2 ﹣(﹣3)2 ].31、化简:(1)5m ﹣ 7n ﹣ 8p+5n ﹣9m ﹣p ;(2)( 5x 2 y﹣ 7xy 2)﹣( xy 2﹣ 3x 2 y);(3)3 (﹣ 3a 2﹣ 2a )﹣ [a2﹣2 (5a ﹣ 4a 2+1 )﹣ 3a] .32 、先化简再求值: 3x 3﹣[5x 2 +3x 3+2 (﹣ 2x 2 +x )] ,其中 x= ﹣ 3 .33 、从一个多项式中减去 2ab ﹣ 3bc+4 ,由于误认为加上这个式子,得到2bc ﹣ 2ab ﹣ 1 ,试求正确答案.34、解方程:(1)3 (x﹣ 1)﹣ 2( 2x+1 ) =12 ;(2 ).35、36 、若 a、 b 满足,则求代数式3a 2 b ﹣ [2ab 2﹣ 2( ab ﹣ a 2b ) +ab]+3ab 2 的值.37 、( 4 分)38 、解关于x 的方程: 2m ﹣( m ﹣ n )x= ( m+n ) x.39 、 |x ﹣ 1|+|x ﹣ 3|=3【答案】1 、解: 2a 2﹣ 3ab+4b 2﹣ 6ab ﹣ 2b 2=2a 2﹣ 3ab ﹣6ab+4b 2﹣2b 2=2a 2﹣9ab+2b 2.2 、解:去括号,得3x+3 ﹣ 2x+2=1 ,移项,得3x ﹣ 2x=1 ﹣2 ﹣3 ,合并同类项,得x= ﹣ 4 .3 、解:去分母得: 3 ( 3x ﹣ 1 )﹣ 12=2 ( 5x ﹣ 7),去括号得: 9x ﹣3 ﹣12=10x ﹣ 14移项得: 9x ﹣ 10x= ﹣ 14+15 ,合并得:﹣ x=1 ,系数化为 1 得: x= ﹣ 14 、解:∵2x6=﹣﹣ 2 ,∴ x=2 ,∴(x﹣ 2)3+4 ( x﹣ 2)2﹣ 3x+5= ( 2 ﹣ 2)3+4 (2 ﹣2 )2﹣ 3 × 2+5= ﹣6+5= ﹣1 .5 、解:( 1 )原式 = =0 =3 ;(2 )原式 = ==45 ﹣18+38=65.6 、解:由题意得:A+ (2x 2 +5x ﹣3 ) =x 2 +3x ﹣ 7移项得: A=x 2 +3x ﹣7 ﹣( 2x 2+5x ﹣ 3) =x 2+3x ﹣ 7﹣ 2x 2﹣ 5x+3=﹣x2﹣2x﹣4.7 、解:原式 = ( 3﹣ 2﹣)(3a+2b)﹣(3a+2b)2=(3a+2b)﹣(3a+2b) 2= [( 3a+2b )﹣( 3a+2b )2 ],∵ 3 (a+1 )2+2|b+3|=0,∴a+1=0 ,b+3=0 ,∴ a= ﹣1, b= ﹣3 ,∴ 3a+2b= ﹣3﹣ 6= ﹣9 ,∴原式 = (﹣ 9﹣ 81 ) = ﹣30 .8 、解:当 x=0 时, y=3 ,即 c=3 。
当 x= ﹣1 时, y=5 ,即﹣ a﹣ b+c=5 ,得 a+b= ﹣ 2;当 x=1 时, y=a+b+c= ﹣ 2+3=1 .答:当 x=1 时, y 的值是 1 .9 、解:①12 ﹣(﹣18 ) + (﹣ 7 )﹣ 15=12+18+[ (﹣ 7 ) + (﹣ 15 ) ]=30+ (﹣ 22 )=8 ;②﹣ 22÷(﹣)2×|﹣5|×(0﹣.1)3=﹣4÷× 5×(﹣0.001)= ﹣ 4 × 25 × 5 ×(0﹣.0001 )=0.5 ;③﹣10+8 ÷(﹣2)2﹣(﹣ 4 )×(﹣ 3 ) = ﹣ 10+8 ÷ 4 ﹣12= ﹣ 10+2 ﹣ 12= ﹣ 22+2=﹣20;④=120 ×(﹣+﹣)=120 ×(﹣) +120 × +120 ×(﹣) = ﹣700+765+ (﹣ 176 )= ﹣ 876+765= ﹣ 111 .10 、解:∵( 2a ﹣ 1)2 +|b+1|=0 ;∴ 2a ﹣1=0 , b+1=0 ,解得 a= , y= ﹣ 1;故()2十()2002 =4+1=511 、解:a 2007 +a 2006 +a 2005 的=a 2005 ( a2 +a+1 ),把a 2+a+1=0 代入上式得: =a 2005× 0=0 .12 、解:∵x2 +x+3=0 ,∴x2+x= ﹣ 3,x5 +3x 4+2x 3+2x 2﹣ 10x=x 3( x2 +x )+2x 4 +2x 3 +2x 2﹣ 10x= ﹣ 3x 3 +2x 4 +2x 3 +2x 2﹣10x=2x 4﹣ x3+2x 2﹣ 10x=2x 2( x2 +x )﹣ 3x 3+2x 2﹣ 10x= ﹣ 3x 3﹣ 4x 2﹣10x= ﹣ 3x ( x2 +x )﹣ x 2﹣10x= ﹣ 10 (x2 +x ) =30 .13 、解:( 1 )原式 = ,= ﹣ 12 ﹣16+20= ﹣8 .(2 )原式 = =2 ﹣ 1=1 .14 、解:方程两边同时乘以 6 ,得: 3( 1 ﹣ x) =2 ( 4x ﹣1 )﹣ 6 ,去括号得: 3 ﹣3x=8x ﹣2 ﹣ 6,移项得: 8x+3x=3+2+6 ,合并同类项得:11x=11 ,系数化为 1 ,得: x=1 .15 、解:原式 =6x 2+2y ﹣ 2x 2 +y=4x 2 +3y .当, y= ﹣ 1 时,原式 ===1+ (﹣ 3 ) = ﹣ 2 .16 、解:( 1 )原式=48 ×=0 ;(2)原式 = ﹣ 4+24 ÷ 4= ﹣4+6=217 、解:( 1 )移项得, 4x ﹣ x=2+1 ,合并同类项得, 3x=3 ,系数化 1 得, x=1 ;(2 )去分母得: 3 (y+2 )﹣ 2 ( 2y ﹣3 )=12 ,去括号得:3y+6 ﹣ 4y+6=12 ,合并同类项得:﹣ y=0 ,即 y=0 .18 、解:原式 =2x 2+x 2﹣3x 2 +2x+1= ﹣ 2x+1 ,当时,原式 = ﹣ 2 ×(﹣) +1=2 .19 、解:原式=1 × 3 ﹣ 8 ÷ 4=32=1﹣.20 、解:原式 = (2x+3x ) + ( 5 ﹣ 7) =5x ﹣221 、解:( 1 )移项得: 2x ﹣ 5x=3+9 .合并得:﹣ 3x=12 .系数化为 1 得: x= ﹣ 4 .( 2 )解:两边同时乘以12 ,得 2 ( 5x ﹣ 7 ) +12=3 ( 3x ﹣1 ).去括号得: 10x ﹣ 14+12=9x ﹣ 3 .移项得: 10x ﹣9x= ﹣ 3+14 ﹣ 12 ,合并得: x= ﹣ 1 .22 、解: x 2﹣( 5x 2﹣ 4y )+3 ( x2﹣ y) =x 2﹣ 5x 2+4y+3x 2﹣3y= ﹣x2+y ;∴当 x= ﹣ 1 , y=2 时,原式 = ﹣(﹣ 1 )2+2=1 .23 、解:﹣ 17+ (﹣ 6) +23 ﹣(﹣ 20 )= ﹣ 17+ (﹣ 6 ) +23+ ( +20 )= ﹣ 17 ﹣6+23+20= ﹣ 23+23+20=20 .24 、解:= ﹣×(﹣)×(﹣) = ﹣ 1 .25 、解:原式 =× 24+× 24﹣× 24=3+16﹣18=19﹣18=1.26 、原式 = 9+1 ÷3 ×()= 9+1×4 3×()= 9+4+ = 4 .27 、解: 3 (2a 2 b ab 2)( 5a 2 b 4ab 2)=6a 2 b 3ab 2 5a 2b+4ab 2⋯(2 分)=6a 2 b 5a 2 b 3ab 2 +4ab 2⋯(3 分) =a 2 b+ab 2⋯(5 分)当 a=2 , b= 1 ,原式 =2 2×(1 ) +2 ×(1 )2= 2 .28 、解:去括号得: 4x+6x 15= x,移,得:4x+6x+x=7+15 ,合并同,得:11x=22 ,系数化成 1 得: x=229 、解:去分母得,6( 3x+4 ) 12=7 2x ,去括号得,18x+2412=7 2x ,移得, 18x+2x=7 24+12 ,合并同得, 20x= 5 ,系数化 1 得,x= .30 、解:( 1 ) 24+3 16 5= 21 16 5= 42(2 ) 2 3÷ ×()2= 8 × × = 8(3 )= × 8 =6 1=(4 )== 1 ( 1 ) =0(5 ) 1 4( 1 0.5 )×× [2(3)2]= 1= 1 ()=31 、解:( 1 )原式 = ( 5 9) m+ ( 7+5 ) n ( 8+1 ) p=4m 2n 9p ;( 2 )原式 =5x 2y 7xy 2 xy 2+3x 2 y= ( 5+3 ) x2 + ( 7 1 )) xy 2 =8x 2 y 8xy 2;( 3 )原式 =3 ( 3a 2 2a ) [a 2 10a+8a 2 2 3a]= 9a 2 6a 9a 2 +13a+2= 18a 2 +7a+2.32 、解:原式 =3x 3( 5x 2+3x 34x 2+2x ) =3x 3x23x 32x=x22x .当 x= 3 ,原式 = ( 3)2 2 ×(3 ) = 9+6= 3 .33 、解:由题意得:这个多项式=2bc ﹣2ab ﹣1 ﹣( 2ab ﹣ 3bc+4 ),∴正确答案可表示为:2bc ﹣ 2ab ﹣1﹣( 2ab ﹣ 3bc+4 )﹣( 2ab ﹣ 3bc+4 ),=2bc ﹣ 2ab ﹣ 1 ﹣ 2( 2ab ﹣3bc+4 )=2bc ﹣ 2ab ﹣ 1 ﹣ 4ab+6bc﹣8=8bc﹣6ab﹣9.34 、解:( 1 )3 (x﹣ 1 )﹣ 2 ( 2x+1 ) =12 ;去括号,得 3x ﹣3 ﹣ 4x ﹣ 2=12 ,移项,合并同类项,得﹣x=17 系数化为 1 ,得 x= ﹣ 17 ;( 2 ).去分母,得 3 (3 ﹣ x) =3x+4 去括号,得9 ﹣3x=3x+4 ,移项,合并同类项,得﹣6x= ﹣ 5 系数化为1,得 x= .35 、解:,= ﹣ 9 ﹣ 9+125 × ﹣ 0.9 ÷ 0.9= 18+100﹣﹣ 1=81 .36 、解:∵( a ﹣ 3 )2+|b+ |=0 ,∴ a ﹣3=0 ,b+ =0 ,∴ a=3 ,b= ﹣,又∵原式 =3a 2b ﹣2ab 2 +2ab ﹣ 3a 2b ﹣ ab+3ab 2 =ab 2 +ab ,∴当 a=3 , b= ﹣时,原式 =ab 2 +ab=3 ×(﹣)2+3 ×(﹣) = ﹣ 1= ﹣.37 、答:去括号得:x﹣﹣ 6= x+1 ,移项得:x﹣ x=1+6+ ,合并同类项得:﹣ x= ,系数化为 1 得:.38 、解:∵2m﹣(m ﹣n ) x= ( m+n ) x,移项得:﹣(m ﹣ n )x﹣( m+n ) x= ﹣2m ,合并同类项得:﹣(m ﹣ n+m+n)x=﹣2m,合并同类项得:﹣2mx= ﹣ 2m ,∴当 m≠0时, x=1 ;当 m=0 , x 的解是任意实数.39 、解:当x< 1 时,原方程就可化简为:1﹣ x+3 ﹣ x=3 ,解得: x=0.5 ;第二种:当 1 <x< 3 时,原方程就可化简为:x﹣ 1﹣ x+3=3 ,不成立;第三种:当x> 3 时,原方程就可化简为:x﹣ 1+x ﹣ 3=3 ,解得: x=3.5 ;故 x 的解为 0.5 或 3.5 .。