2007-2008第2学期北航经济管理概论试题与解答A卷
- 格式:doc
- 大小:248.50 KB
- 文档页数:8
第2章市场供求1、为什么产品的需求曲线是向右下方倾斜的,供给曲线则是向右上方倾斜的?①需求:价格上涨,需求量减少,价格下跌,需求量增加,两者呈相反方向变化;②供给:价格上涨,供给量增加,价格下跌,供给量减少,两者呈相同方向变化。
2、影响需求和供给的主要因素各有哪些?①需求:产品价格,消费者收入,相关产品价格,消费者偏好,广告费用,消费者对未来价格变化的期望;②供给:产品价格,生产中可互相替代的产品价格,产品成本。
3、为什么需求的变动表现为需求曲线的位移,需求量的变动则表现为需求量沿需求曲线移动?因为需求不是指一个量,而是指一种关系,即需求量与价格之间的关系,这种关系是山需求曲线来表现的,故需求的变动就表现为需求的线的位移。
需求量则是指一个量,山需求曲线上的某一点来表示,故需求量的变动就表现为需求量(需求曲线上的某一点)沿需求曲线移动。
4、请解释在完全竞争市场条件下需求、供给和价格之间的关系。
在完全竞争市场条件下,需求和供给决定价格。
如果用图形表示,也就是市场需求曲线和市场供给曲线的交点决定该产品的价格,在经济学上称为均衡价格。
在均衡价格上,市场需求量等于市场供给量。
如果市场实际价格高于均衡价格, 就会出现供过于求,供给者之间的竞争就会促使价格下跌;如果市场实际价格低于均衡价格,就会出现供不应求,消费者之间的竞争乂会推动价格上升。
所以,在竞争性的市场里,实际价格会自动向均衡价格黑拢。
3、对产品征收消费税对产品的价格和产量会有什么影响?为什么?对产品征收消费税,会使产品的行业供给的线向左上方移动,从而导致产品价格上涨,产量减少。
6、政府对人民基本生活必需品规定最高价格,对该产品的供求关系会产生什么影响?政府应相应采取什么措施?政府对人民基本生活必需品规定最高价格,会导致市场上商品短缺(供不应求),从而可能引起排队、走后门、黑市交易等反常现象。
这时,政府为了保证公平分配,通常要实行配给制,凭票供应。
第3章需求分析1. 价格弹性与销售收入之间存在什么关系?这一关系对于企业的价格决策有什么意义?举例说明。
北京航空航天大学经济管理学院SCHOOL OF ECONOMICS AND MANAGEMENT OF BUAA课后作业《我为什么要学经济管理》课程名称:经济管理学生班级:学生学号:学生姓名:学生成绩:我为什么要学经济管理摘要:经济学研究社会如何管理自己的稀缺资源。
在大多数社会中,资源并不是由一个全权的独裁者来配置,而是通过千百万家庭和企业的共同行动来配置的。
因此经济学家研究人们如何做出决策。
而管理在现代社会作用有着无法替代的作用。
在现实社会中,人们都是生活在各种不同组织之中的。
没有组织,仅凭人们个体的力量,无法征服自然,也不可能有所成就;没有组织,也就没有人类社会今天的发展与繁荣。
然而,仅仅有了组织也还是不够的,因为人类社会中存在组织就必然有人群的活动,有人群的活动就有管理,有了管理,组织才能进行正常有效的活动,简而言之,管理是保证组织有效地运行所必不可少的条件。
关键词:经济;决策;管理1. 经济学的重要性19世纪伟大的经济学家阿尔弗雷德·马歇尔(Alfred Marshall)在他的教科书《经济学原理》中这样写道:“经济学是一门研究人类一般生活事务的学问。
”虽然自从马歇尔那个时代以来,我们对经济了解得更多了,但经济学的这一定义在今天依然如同在1890年他的教科书第1版出版时一样正确。
作为一个21世纪初的学生,作为一个理工科的大学生,我为什么应该学习经济学呢?原因有二个:学习经济学的第一个原因是,它有助于你了解你所生活在其中的世界。
有许多经济问题会激起你的好奇心。
为什么北京市房价那么贵?为什么如果旅客周六停留一个晚上,航空公司对往返机票的收费就要低一些?为什么电影明星得到的报酬如此之高?为什么许多非洲国家的生活水平如此低下?为什么一些国家通货膨胀率高,而另一些国家物价稳定?为什么在一些年份找工作容易,而在另一些年份困难?这些只是经济学课程可以回答的许多问题中的几个。
学习经济学的第二个原因是,它将使你更好地理解经济政策的潜力与局限性。
北京航空航天大学BEIHANG UNIVERSITY2009-2010 学年 第二学期期末考试统一用答题册考试课程 概率统计与随机过程A (09J70050)班 级_____________ 学 号 _____________姓 名______________ 成 绩 _________ 考场教室_________ 任课教师_________题号 一 二 三 四 五 六 七[七] 八[八] 总分 分数阅卷人 校对人A2009年6月 24 日8:00—10:00一、单项选择题(每小题3分,满分18分)1、设1234,,,X X X X 是来自正态总体2(0,)N σ的样本,设∑==4141i i X X ,当2σ= ( )时, 概率}21{≤≤X P 最大。
(A, (B )6ln2 , (C, (D ) 32ln 2。
2、 设总体X 的密度函数为1(1)01(;)0x x x f x θθθθ-⎧+<<=⎨⎩(1-),,其它,其中0θ>,12,,,n X X X 是来自总体X 的样本,则参数θ的矩估计量为( )。
(A )1X X - , ( B )22X X - , (C ) 2XX- , ( D ) 21X X -。
3、设1,,n X X 是来自正态总体2(,)N μσ的样本,当c =( )时,222ˆˆX c μσ=+是 2μ的无偏估计,其中2211ˆ()n i i X X n σ==-∑,∑==n i i X n X 11 。
(A )11n -- , (B )11n - , ( C ) 1n - , ( D )1n。
4、设随机变量),(~2σμN X ,则=-||μX E [ ].(A) 0, (B) σ, (C)σπ22, (D) μ.5、两人约定在某地相会,假定每人到达的时间是相互独立的,且到达时间在中午12时到下午1时之间服从均匀分布,则先到者等待10分钟以上的概率为[ ]. (A) 3625, (B) 7225, (C)5247, (D)3611.6、设n X X X ,,,21⋅⋅⋅是总体),(2σμN 的样本,μ已知,下列几个作为2σ的估计量中,较优的是[ ].(A) 2121)(1ˆX X n n i i -=∑=σ, (B) 2122)(11ˆX X n n i i --=∑=σ, (C) 2123)(1ˆμσ-=∑=n i i X n , (D) 21124)(11ˆμσ--=∑-=n i i X n .二、填空题(每小题3分,满分18分)1、有n 个白球与n 个黑球任意地放入两个袋中,每袋装n 个球.现从两袋中各取一球,则所取两球颜色相同的概率为 。
北京航空航天大学2007—2008第二学期经济 管理概论期末考试试卷(A ) 注意:①按照考卷的要求解答,不符合要求无分;②所有试题按题号,顺序答在答题纸上,不得随意改变顺序、不得不写题号。
学生姓名学生学号考试分数考试时间2008-6-261、生产系统空间组织的工艺专业化原则最适合于多品种小批量生产。
2、以NPV和NPVR评价两个投资方案,NPV大的方案,NPAVR一定也大,因而评价结论一定一致。
3、马斯洛提出的“需求层次理论”,最高层次的需求是尊重需求。
4、某种商品的需求价格弹性为– 1.2。
现欲提高其价格,预计以后总收入将会提高。
5、当决策的状态空间有两个或两个以上,且各状态发生的概率已知,此时面对的决策问题从状态分析,是不确定性决策。
二、概念题(5个,10分,每个2分)1、市场经济2、系统3、固定资产折旧4、资金时间价值5、价值工程三、选择题(共20分,每个2分。
将你认为最佳选项英文字母填入下表。
)1、某企业生产T型产品,固定成本11万元,产品价格为15元,产品的单位变成成本为4元,这个产品的盈亏平蘅点为:A 12,100件B 10,000件C 11,000件D 15,000件2、下列管理学家被后人称为“科学管理之父”的是()。
A 法约尔 B 麦格雷戈 C 马斯洛 D 泰罗3、某企业生产A产品,每件产品可获利20元,每个小时可产3件。
现企业考虑改产B产品。
生产B产品每件可获利40元,每小时可产2件。
如果生产B产品,可获经济利润为()。
A 80元B 60元C 20元D 0元4、总时差是指在不影响总工期,即不影响其紧后作业时间的前提下,作业可推迟开始的一段时间。
A 最迟开始 B 最迟结束 C 最早开始 D 最早结束5、企业获得最大利润,意味着产品生产及销售的边际成本边际收益。
A 大于B 小于C 等于D 不等于6、价值工程的核心是。
A 提高功能B 价值分析C 提高价值D 降低成本7、在总公司和生产单位之间设立一级组织机构。
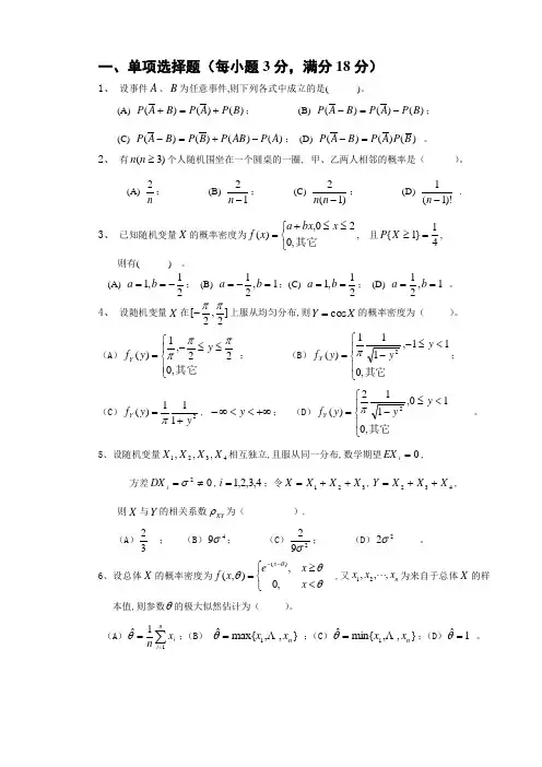
一、单项选择题(每小题3分,满分18分)1、 设事件A 、B 为任意事件,则下列各式中成立的是( )。
(A) )()()(B P A P B A P +=+; (B) )()()(B P A P B A P -=-; (C) )()()()(A P AB P B P B A P -+=-; (D) )()()(B P A P B A P =- 。
2、 有)3(≥n n 个人随机围坐在一个圆桌的一圈, 甲、乙两人相邻的概率是( )。
(A)n2; (B)12-n ; (C))1(2-n n ; (D))!1(1-n .3、 已知随机变量X 的概率密度为⎩⎨⎧≤≤+=其它,020,)(x bx a x f , 且41}1{=≥X P ,则有( ) 。
(A) 21,1-==b a ; (B) 1,21=-=b a ;(C) 21,1==b a ; (D) 1,21==b a 。
4、 设随机变量X 在]2,2[ππ-上服从均匀分布,则X Y cos =的概率密度为( )。
(A )⎪⎩⎪⎨⎧≤≤-=其它,022,1)(πππy y f Y ; (B )⎪⎩⎪⎨⎧<≤--=其它,011,111)(2y y y f Y π; (C )2111)(y y f Y +=π, +∞<<∞-y ; (D )⎪⎩⎪⎨⎧<≤-=其它,010,112)(2y yy f Y π 。
5、设随机变量4321,,,X X X X 相互独立,且服从同一分布,数学期望0=iEX,方差02≠=σiDX,4,3,2,1=i ;令321X XX X ++=,432X X X Y ++=,则X 与Y 的相关系数XY ρ为( ). (A )32 ; (B )49σ; (C )292σ; (D )22σ 。
6、设总体X 的概率密度为⎩⎨⎧<≥=--θθθθx x e x f x ,0,),()( ,又n x x x ,,,21⋅⋅⋅为来自于总体X 的样本值,则参数θ的极大似然估计为( )。
北京航空航天大学2006 —2007学年第二学期经济 管理概论期末考试试卷(B )注意:①按照考卷的要求解答,不符合要求无分;②扣留和携带本次试卷出考场,以考试作弊处理。
③所有试题按题号,顺序答在答题纸上,不得随意改变顺序、不得不写题号。
学生姓名学生学号考试分数考试时间 2007、7、17一、解释概念(5个,10分,每个2分。
)1、边际成本2、资金的时间价值3、流动资产4、价值工程5、4P(营销组合)1、供给量与价格成方向变动是供给规律。
2、在科学管理阶段提出管理具有计划、组织、指挥、协调和控制五职能的著名管理学者是。
3、PDCA循环(又称戴明循环)是指在开展TQC活动中,按四个阶段(包含八个步骤)展开的质量管理活动。
14、产品质量特性有的能够直接定量表示,有的难以直接定量表示。
不论是直接,还是间接定量表示产品质量特性,都应准确表达对产品质量的要求。
5、选择VE对象的原则,从经营上要有迫切性和必要性,从降低成本、增加功能、的可能性方面出发,有针对性地加以选择。
三、判断正误(10分,将你的判断填入下表,用“√”、“×”表示。
)1、管理是面向集体的,为了实现组织一致的目标,不允许组织成员存在个性。
2、赫兹伯格通过“霍桑实验”提出了“经济人”的观点。
3、若其他条件不变,某商品价格上升10%,需求量(亦企业销售量)下降了8%。
能使企业总收益增加:4、运用IRR评价项目经济性时,当IR R>i0(项目基准投资收益率)时,认为该项目可行。
5、工艺专业化原则与对象专业化原则相比,在管理上形成的运输路线短、节省运输费用。
6、目标市场定位的主要目的是确定产品销售的场所与地点。
7、质量控制是为了检验产品质量,把好产品进入市场的出厂关。
8、在产品的生产批量很大时,应按生产工艺专业化原则布置工作场地。
9、把某一个时点上的资金数值换算成与其等价的另外一个时点上的资金数值,这一过程称为等值计算。
10、工序能力是产品质量的直接保证,在质量管理中为了确保加工产品质量要使工序能力尽可能大,工序能力越大越好。
官方网址 北大、人大、中财、北外教授创办 集训营、一对一保分、视频、小班、少干、强军 北京航空航天大学政治经济学考研模拟题及答案解析一、概念题1. 经济增长(北京航空航天大学2007研)答:经济增长一般是指一个国家或地区在一定时期内因就业人数增加、资本积累和技术进步等原因,经济规模(包括物质产品和劳务)在数量上的扩大和增加,它反映了一国国民经济总量的变化状况。
经济增长是指一个经济社会的实际产量(或实际收入)的长期增加,即按不变价格水平所测定的充分就业产量的增加。
通常以国民生产总值GNP (或人均国民生产总值)的增加来测度,GNP 的增长描述了一国整体生产能力的扩增,人均国民生产总值的增长表示了物质生活水平的改善。
经济增长理论主要研究发达国家的问题。
研究发达国家国民经济长期发展问题的理论。
其发展主要经历了哈罗德—多马模型、新古典经济增长模型和内生增长模型三个阶段。
导致经济增长的因素就是经济增长的源泉。
主要包括生产要素的增加和技术水平的进步:生产要素由劳动和资本存量两部分组成。
其中劳动的增加不只是量的增加还包括质的提高(劳动者的素质、年龄等)。
技术进步包括发明和应用新技术降低生产成本、增加产出。
技术进步是通过使生产要素的使用更有效率而促进经济增长的。
2. 经济发展答:经济发展是指一个国家或地区经济增长以及经济结构、社会结构不断优化和高度化的演进过程。
经济发展除了包含有经济增长的内容外,还包括由增长引起的一系列经济结构的变化,如生产结构、就业结构、收入分配结构、消费结构、人口结构等等,广大人民物质福利的改善,以及环境质量的提高。
较之经济增长,经济发展的内涵较广,是一个既包括数量又包括质量的概念。
但是需要指出的是,经济发展并不是一个包罗万象的概念。
经济发展不包括也不应该包括政治结构、民主制度等社会发展的内容,尽管政治结构、民主制度等对经济发展也存在影响。
衡量经济发展比衡量经济增长困难得多。
一般认为,发展的中心意义是社会和个人的福利的增进,因此表明发展至少应该包括五个方面的指标:基本必需品的总消费量、收入分配的均等程度、识字率、健康水平和就业状况。
1 固定资产折旧:固定资产的价值在不同时期内由于损耗而降低的部分。
2 机会成本:在资金有限和资金多用途的前提下,把资金投入到某个项目中而放弃了的将资金投入到其他项目中最大的收益值。
3 资金的时间价值:资金在周转过程中由于时间因素而产生的差额价值。
4 边际收益:每增加一单位产量或投入要素所带来收益的增加量。
5 价值工程:以最低的成本可靠的实现产品的必要功能,着重功能分析,以提高产品的价值为目标所开展的一系列有效的经济技术活动。
6 质量:某项产品或者服务所具有的总体特征和特性,基于此可以满足用户明确的或潜在的需要。
7 管理:在特定的环境下,通过对有限资源的组织调配,运用决策、计划、组织、协调、控制等多方面职能,有效地达到既定的组织目标的过程。
8 管理跨度:一个主管能有直接有效的指挥下属的数目。
9 系统:相互作用、相互依赖、相互联系的两个或两个以上元素所组成的实现特定功能的有机整体。
10 边际成本:每增加一单位产量、投入要素等影响成本的要素所增加的成本。
11 流动资产:企业生产过程中需要预先垫付于劳动对象(原材料、燃料、辅助材料)和工资等方面的资金,其最初是货币形态,在企业生产过程发生转换,最后通过产品销售等途径又转变为货币形态。
用于资金的周转、演变和回收过程。
12 概念技能:能够洞察企业与环境之间相互影响的复杂程度,在此基础上加以判断、分析、概括、提炼并能在关键时刻迅速作出正确决策的能力。
13 并行工程:产品或者相关过程中实行的并行的、一体化的系统化方法,用于降低成本,提高生产率,尽早使产品投入市场。
14 固定资产:使用期在一年以上,价值在规定限额以上,服务于产品的生产周期并且物质形态不会发生变化的劳动资料。
15 企业文化:企业在长期发展过程中培育的、全部企业人员所共同遵守的最高目标、价值标准、行为规范、基本信念等在组织活动中的体现。
16 市场经济:市场经济是一种经济体系,在这种体系下产品和服务受自由市场的自由价格机制所调配和引导。
北京航空航天大学2008年硕士研究生入学考试试题综合英语I. Define the following terms (20, 2x10)1. embedding2. morphology3. lingua franca4. minimal pairs5. synchronic linguistics6. interlanguage7. adjacency pairs8. componential analysis9. mode of discourse10. code-switchingII. Briefly answer the following questions (20, 4×5)1. What is linguistic determinism?2. What is sociolinguistics?3. What are the major concerns of the Prague School theory?4. What are the crucial features or criteria of diglossia in the narrow sense of the term?5. What are the unique features of Halliday’s systemic linguistics?III. Answer the following questions. (20, 4x5)1. Why is it important to know the relations a sign has with others, such as syntagmatic andparadigmatic relations?2. A speech act consists of three related acts according to J. L. Austin’s Speech Act theory. Whatare they? Analyze the following conversation in the light of Speech Act theory.Customer: Waiter! There’s a fly in my soup.Waiter: Don’t worry, there’s no extra charge.3. Words are in different sense relations with each other. What sense relation is illustrated in eachof the pairs of words below? Add one more example to each pair.(a) casual-informal (b) intelligent-stupid(c) steal-steel (d) animal-dog4. What do you think is the difference between descriptive linguistics and prescriptive linguistics?Give your reasons.5. Think of the four maxims of the Cooperative Principle proposed by P. Grice, and explain theviolation of maxims in the cases below.(1) A: Have you seen my watch?B: Look in the drawer.(2) A: Reno’s the capital of Nevada.B: Yeah, London’s the capital of New Jersey.(3) A: I really liked that dinner.B: I’m a vegetarian.(4) A: Let’s dine out with the kids this weekend.B: Okay, but not M-c-D-o-n-a-l-d-s.IV. Write a short paper of your understanding of the following questions. (30, 10x3)1. What do you think is the relationship between the arbitrariness of the linguistic sign and the way language is used to classify reality? Illustrate your view with examples.2. Eskimos have many different words for different types of snow, Aborigines for different types of sand, and in Arabic one must choose from a whole range of words which are subsumed under the Western category CAMEL. Can you explain these phenomena with you linguistic knowledge?3. Which linguistic school or approach do you think will develop rapidly in China? Elaborateyour view in no less than 100 words.附表:1合作经营协议书甲方:乙方:经甲乙双方友好协商,就中石油煤层气保德区块地面工程合作经营事宜,自愿达成如下协议,以资信守:一、合伙宗旨:共同合作、合法经营、利益共享、风险共担。
2007级经济管理专业《财务会计学》试题(A卷)参考答案一、选择题 (从每小题的备选答案中选出你认为正确的一个或多个答案,将其英文大写字母编号填入括号内。
不答、错答、漏答均不得分。
每小题3分,共30分)1.下列各项中,属于财务会计基本前提的是(ABD)。
A.会计主体 B.持续经营C.历史成本 D.货币计量2.下列关于会计等式的陈述不正确的是(D)。
A. 资产-负债=所有者权益B. 资产-所有者权益=负债C. 资产=负债+所有者权益D. 资产=负债-所有者权益3.下列各项中,符合会计要素收入定义的是(A)。
A.出售产品收入 B.投资者投入资金C.出售固定资产净收益 D.向购货方收取的增值税销项税额4.下列各项中,导致负债总额变化的是(B)。
A.赊销商品 B.赊购商品C.收到银行汇票 D.用盈余公积转增资本5.一个公司拥有新的固定资产,在通货膨胀的环境下,运用下列哪种组合的会计方法,可以使公司的账面利润最高?(A)折旧方法存货计价方法A. 直线法先进先出法B. 直线法后进先出法C. 双倍余额递减法先进先出法D. 双倍余额递减法后进先出法6.如果某公司的经营杠杆系数是 1.5, 财务杠杆系数是 2,则其综合杠杆系数为( B )。
A.2.5B.3C.0.5D. 0.757. 已知一家企业的流动比率为 1.5。
如果用一部分现金偿还企业的应付账款,则流动比率将(B)。
A.不变B. 增加C. 减少D.不能确定8.某公司2005年度销售收入净额为6000万元。
年初应收账款余额为300万元,年末应收账款余额为500万元,一年按360天计算,则该公司应收账款周转天数为( D )天。
A.15 B.17C.22 D.249.在杜邦财务分析体系中,综合性最强的财务比率是( A )。
A.净资产收益率B.总资产净利率C.总资产周转率D.营业净利率10.某企业2006年12月份销售商品15万元,收取了一张商业汇票,货款将在2007年1月份才能收到,按照权责发生制原则,这15万元货款应记入( A )。
经管复习笔记第一章概述一一经济与管理的基本概念一、经济问题与经济学定义人类需求的无限性与经济资源的稀缺性f经济问题客观存在的稀缺性及由此引起的选择的需要f经济学历史:马歇尔、屮国清代“经济特科”经济指一定范围内组织一切生产、分配、流通和消费活动与关系的系统的总称研究经济问题、探讨经济发展规律、解释经济现象成因的社会科学即称为经济学核心矛盾:人们无限的欲望和资源的稀缺性另一定义:经济学是研究个人、企业、政府以及其他组织如何在社会内进行选择,以及这些选择如何决定社会稀缺资源的使用的科学强调:资源的稀缺性和选择的重要性二、人类欲望的无限性和资源的稀缺性1、白由资源(空气等)和经济资源(时间和信息、人力资源、白然资源和资本资源)2、人需求的五个等级:生理需要、安全需要、情感和归属需要、尊重需要、自我实现需要3、选择是稀缺的结果;机会成本——将某资源投入以特定用途后所放弃的英他用途所能获得的最大利益三、经济学基木问题1、四个基木问题:生产什么产品、什么生产方法、如何分配产品、资源总2、经济类型:自给、市场、计划、混合区别在于资源配置和资源利用量是否并如何得到充分利用?的方式。
3、微观经济学研究单个经济单位,宏观经济学研究国民经济总过程四、理性经济人假设1、利己的理性2、原则:利己但不损人管理的慕本概念一、含义1、管理者在动态的环境下通过对组织内部资源及整合的组织外部资源进行有效的计划、组织、领导和控制已实现组织目标的科学和艺术过程2、管理的基本职能一一计划、组织、领导和控制。
3、管理的环境——内部、外部4、角色与管理技能a)分类:基层管理者、中层、高层b)技能:概念机能、人际技能、技术技能越高层,概念技能要求越高;越基层,技术技能越高;人际技能都重要c)工作内容:传统管理(计划决策和控制)、沟通、人力资源管理、网络联系第二节、经济学的发展历史一、古代经济思想二、现代经济学说五个阶段:启蒙阶段(重商主义、重农学派)、占典学派、新占典主义、恩斯丄戈、后凯恩斯时代占典经济学:亚当•斯密于1776年发表《国富论》,标志着古典经济学诞生对国民财富的性质和原因进行了研究,影响最大的是经济自由主义思想运用方法:科学抽象和经验归纳法大一卫•李嘉图——古典经济学杰岀代表马歇尔——新古典经济学奠基者马克思和恩格斯:剩余价值学说、劳动价值论、资本积累及社会总资本再生产——完全计划的公有制经济凯恩斯主义——宏观经济学Z父以经济总量分析代替微观个量分析,建立了宏观经济学分析框架开辟了货币理论分析第三节、现代管理思想的演变一、古代管理二、科学管理吋代a)泰勒——科学管理Z父:主要贡献在于捉出管理应该专业化。
管理学和计算大题(完整版)(首先恭祝您从无硝烟的考研战场凯旋,在此我仅以此复习大纲献给您,希望能让您满意)初看可能觉得有点长,但您真正要做的就是花两三小时把它看完一遍就能完全理解(不要死记硬背)一、经济学与管理学的区别经济学:解决的是“资源稀缺性”与“人的欲望无限性”之间的矛盾,使资源配置最优化。
它假定人是机会主义倾向的经济人”,主要通过看不见的手(市场)”在一定的制度安排下,实现主观为自己, 客观为社会”的资源优化配置。
管理学:认为人是具有多种需要的复杂人”,研究在特定的环境下, 管理者如何利用组织的有限资源,通过“计划、组织、领导、控制”一一“看得见的手”等有效的管理职能,实现组织既定目标。
二^理的基本职能(不同管理学家有不同观点)最流行的:计划一一组织一一领导一一控制(附:现代管理在这四核心上又强调了“决策、创新、协调”)法约尔:计划一一组织一一指挥一一协调一一控制孔茨:计划一一组织一一人员配备一一指导和领导一一控制三、管理者所需的技能管理层次(概念技能:能够洞察企业与环境相互影响的复杂程性,在此基础上加以分析、判断、抽象、概括并迅速作出正确决策的能力)四、管理主要思想及其演变自古代管理思想(略)后的管理理论演变如下图。
大家先简单的有个大致的概念即可下面我们按时间顺序研究重要的理论和代表人物(要有一定程度的熟悉、会做选择、填空题)经济人时代、科学管理时代、古典管理理论时代(注重生产过程、组织控制方面的研究。
对人的因素注意较少、把人当作机器一样看待)“管理科学之父” Taylor 的(=泰勒=泰罗)科学管理主要内容:1)科学管理的中心问题是“提高效率”2)选择第一流的工人(为了提高工作效率)3)标准化原理(掌握标准化的操作方法、使用标准化的工具等)4)实行刺激性的计件工资报酬制度5)工人和雇主都认识到提高效率对双方都有利6)计划职能同执行职能分开7)实行“职能工长制” (即将管理工作予以细分)8)实行例外原理主要特点:研究范围没有超出“劳动作业的技术过程”和“车间管理” ,研究重点为提高效率代表作:《科学管理原理》和《科学管理》(附:试论述科学管理的重要作用,联系实际举例论述——某年考题)科学管理理论对我们当代企业仍具有重要指导意义。
2007-2008学年第二学期期中考试试题数学分析(下) 2008年4月27日一. 填空题(每小题4分, 共20分)1. 级数∑∞=+13)23(n nnn x的收敛域是 .2. 设函数222)(π-=xx f 在],[ππ-上的Fourier 级数为:∑∞=++10)sin cos (2n n nnx b nx aa , 则=0a , n a = , nb = .3. 函数y xe z 2=在点)0,1(P 处,沿着从点)0,1(P 到点)1,2(-Q 方向的方向导数为 .4. 3221)ln(limyx e x yy x ++→→= .5. 曲线⎩⎨⎧=++=++64222z y x z y x 在点)1,2,1(处的法平面为 .二. 选择题(每小题4分, 共20分)1. 设 )}({x f n 是定义在区间I 上的函数列,与“函数项级数∑∞=1)(n n x f 在区间I上一致收敛”等价的论断是 ………………………………………………..( ) A .,,0*N N ∈∃>∀ε当N n m >>,对一切I x ∈,都有 ε<-)()(x f x f n m ;B .,,0*N N ∈∃>∀ε当N n m >>,对一切I x ∈, 都有 ε<∑=|)(|mnk k x f ;C .函数列)}({x f n 在I 上一致收敛于0;D .对每一给定的+∈∃>∀∈N N I x ,0,ε,当N n m >>,都有.|)(|ε<∑=mnk k x f2. 设),(y x f 在),(00y x 的某一个邻域内有定义,则下述论断正确的是……...( ) A .若),(y x f 在),(00y x 处连续,则),(),(00y 00y x f y x f x ,一定存在; B .若),(),(0000y x f y x f y x ,存在,则),(y x f 在),(00y x 处连续;C .若),(),(0000y x f y x f y x ,存在,则),(y x f 在),(00y x 处沿任意方向的方向导数一定存在;D .若),(),(y x f y x f y x ,存在且连续, 则),(y x f 在),(00y x 处连续.3. 设n R E ⊂,下列叙述中不正确的是……………………………………...( ) A .如果E 是一个列紧集,则E 必是一个有界闭集; B .开集E F ⊆,则有o E F ⊆;C .若E 是闭集,则E 中的所有的点都是E 的凝聚点;D .若E 是开集,则E 中的所有的点都是E 的凝聚点.4. 下列广义积分收敛的是 …………………..………………………..…………( )A .+∞⎰B .1+∞⎰; C .1 1.6dx x⎰; D. 221(ln )dx x x ⎰.5. 方程1212=-+y xx dxdy 的通解为…………………………………….………()A. x x e x C e 121)(+; B. x xe x C e121)(+-;C. x xe x C e 121)(+--; D. xx e x C e 121)(-+.三、(10分)求幂级数∑∞=1n n nx 的和函数并指明其定义域.四、(10分)求方程x xe y y y 322'3''=+-的通解.五、(10分)设广义积分为dx a x x p⎰+∞+0)(cos ,其中0,0>>p a ,试证明(1)当1>p 时,积分绝对收敛, (2)当10≤<p 时, 积分条件收敛.六、(10分)设),(v u f z =具有二阶连续偏导数,且,22y x u +=yx v =, 求22xz ∂∂.七、(10分)要设计一个容量为4的长方形开口水箱,试问水箱的长、宽、高各等于多少时,其表面积最小?并求出其表面积?八、(10分)设⎪⎩⎪⎨⎧=+≠+++=0,00,1sin )(),(22222222y x y x yx y x y x f1) 求偏导数),(),,(y x f y x f y x ,并讨论偏导数在)0,0(处的连续性? 2) 讨论函数),(y x f 在)0,0(处的可微性?2007-2008数学分析(下)期中考试参考答案一. 填空1. )3,3[-2. =0a 235π-, 2)1(2na nn -=, n b = 03.22-4. 2ln5. z x =二.选择1.B 2. D 3. C 4. B 5. B三.解:级数∑∞=1n n nx 的收敛半径是1=R ,当1±=x 时级数发散,所以定义域为)1,1(- ………3分 设 =)(x s ∑∞=1n nnx ,∑∞=-==11)()(n n nxx x S x f 逐项积分,得到⎰∑⎰∞=--==xn xn xxdx nxdx x f 011,1)(………7分所以2')1(1)(x x x x x x S -=⎪⎭⎫⎝⎛-= ………10分 四. 解:特征方程 ,0232=+-r r 的特征根为:,,2121==r r ………3分所以对应齐次方程通解为: ,221x x e c e c Y += ………5分,3=λ不是方程的根,设xeB Ax y 3)(*+=为方程的一个特解,带入方程得x B A Ax 2232=++, 所以 ⎪⎩⎪⎨⎧-==231B A 所以 xe x y 3)23(*-= ………8分所以通解为: .)23(3221x x x e x e c e c y -++= ………10分五、解:(1)当1>p 时,axaxx pp+≤+1c os 而⎰+∞+01dxax p收敛,所以原积分绝对收敛。
北京航空航天大学2007—2008第二学期
经济 管理概论期末考试试卷(A ) 注意:①按照考卷的要求解答,不符合要求无分;
②所有试题按题号,顺序答在答题纸上,不得随意改变顺序、不得不写题号。
学生姓名学生学号
考试分数考试时间2008-6-26
1、生产系统空间组织的工艺专业化原则最适合于多品种小批量生产。
2、以NPV和NPVR评价两个投资方案,NPV大的方案,NPAVR一定也大,因而评价结论一定一致。
3、马斯洛提出的“需求层次理论”,最高层次的需求是尊重需求。
4、某种商品的需求价格弹性为– 1.2。
现欲提高其价格,预计以后总收入将会提高。
5、当决策的状态空间有两个或两个以上,且各状态发生的概率已知,此时面对的决策问题从状态分析,是不确定性决策。
二、概念题(5个,10分,每个2分)
1、市场经济
2、系统
3、固定资产折旧
4、资金时间价值
5、价值工程
三、选择题(共20分,每个2分。
将你认为最佳选项英文字母填入下表。
)
1、某企业生产T型产品,固定成本11万元,产品价格为15元,产品的单位变成成本为4元,这个产品的盈亏平蘅点为:
A 12,100件
B 10,000件
C 11,000件
D 15,000件
2、下列管理学家被后人称为“科学管理之父”的是()。
A 法约尔 B 麦格雷戈 C 马斯洛 D 泰罗
3、某企业生产A产品,每件产品可获利20元,每个小时可产3件。
现企业考虑改产B产品。
生产B产品每件可获利40元,每小时可产2件。
如果生产B产品,可获经济利润为()。
A 80元
B 60元
C 20元
D 0元
4、总时差是指在不影响总工期,即不影响其紧后作业时间的前提下,作业可推迟开始的一段时间。
A 最迟开始 B 最迟结束 C 最早开始 D 最早结束
5、企业获得最大利润,意味着产品生产及销售的边际成本边际收益。
A 大于
B 小于
C 等于
D 不等于
6、价值工程的核心是。
A 提高功能
B 价值分析
C 提高价值
D 降低成本
7、在总公司和生产单位之间设立一级组织机构。
它有独立产品(业务)、独立对外市场、独立经济利益(上缴公司利润);总公司实行“集中决策、分散经营”的管理模式。
该企业的组织结构形式是。
A 直线-职能(参谋)制
B 矩阵制
C 超事业部制
D 事业部制
8、在下列各选项中是“全面质量管理”的英文缩写的是。
A VE
B A
C C TQC
D PDCA
9、在质量管理中将产生产品质量产生波动的原因分为两类,即和。
A 企业内部原因和企业外部原因
B 系统性原因和偶然性原因
C 技术性原因和非技术性原因
D 突发性原因和经常性原因
10、以IRR评价和选择投资方案,当下列那一选项成立时,该方案可行?(i0为基准投资收益率)
A IRR = i0
B IRR <i0
C IRR>i0
D IRR ≤i0
四、简答(2个,10分,每个5分。
)
1、试述市场均衡价格是怎样形成的?
2、试述系统工程的基本观点。
计算(10分)
设某决策问题各方案面临的各状态下的收益值(元/ 单位)如下表所示。
(1)请用乐观准则和最小后悔值准则两种方法进行方案决策。
(2)若四种状态概率分别为:0.2、0.3、0.3、0.2。
以收益期望值法决策方案。
六、计算题(10分)
某工程各工序的逻辑关系及作业时间如表所示:
要求:(1)绘制网络图;(2)计算工序I的ES、LS;
(3)确定该项目的关键工序和项目的计划时间。
七、计算题(10分)
某工厂计划安排生产A 和B两种产品,已知生产单位产品所需的设备和原材料如下表所示。
该工厂每生产一件A产品,可获利2元,每生产一件B产品可获利3元,问应该如何安排生产,可使工厂的获利最多?
八、计算题(10分)
有一个生产汽车的投资方案,用于确定性经济分析的现金流量如表4所示。
所采用的数据是按未来最可能出现的情况预测的。
设基准折效率为10%,标准投资回收期为10年,不考虑所得税,试用净现值指标和动态投资回收期指标判断方案的可行性。
九、计算题(10分)
用图解法求解线性规划问题,并指出问题是具有唯一最优解、无穷多最优解还是无界解。
⎪⎩
⎪⎨⎧≥≤+--≥-+=0, 25.01 ..22 21212121x x x x x x t s x x z Max
(全部试题结束)
北京航空航天大学2007—2008 第 二 学 期
经济 ∙ 管理概论 期末考试试卷 (A ) 答案
一、判断题(5个,10分,每个2分。
将你判断的对、错结论填入下表)
二、概念题(5个,10分,每个2分。
)
1、市场经济:
2、系统:
3、固定资产折旧:
4、资金时间价值:
5、价值工程:以最低寿命周期成本、可靠地实现必要功能,以功能分析为核心、以提高价值为目的的有组织的技术经济活动。
三、选择题(共20分,每个2分。
将你认为最佳选项英文字母填入下表。
)
四、简答(2个,10分,每个5分。
)
1、试述市场均衡价格是怎样形成的?
2、试述系统工程的基本观点。
计算(10分)
1、 =ma x{7,9,7,8,5} = 9 ←→ A 2 计算后悔值如下:
(){}
i a
a max max c a ,,i 1,....m *
θ⇔θ=⎡⎤⎣⎦
Min{ 2、3、4、2、4 } = 2 ←→ A 1、A 4 。
2、
⎥
⎥
⎥
⎥⎥
⎥
⎦
⎤
⎢⎢⎢⎢⎢⎢⎣⎡=⎥⎥⎥⎥⎦⎤⎢⎢⎢⎢⎣⎡⎥⎥⎥⎥⎥⎥⎦⎤⎢⎢
⎢⎢⎢⎢⎣⎡=⎪⎪⎪⎪⎪⎭⎫ ⎝⎛⎪⎪⎪⎪⎪⎭⎫ ⎝⎛==6.45.50.52.55.52.03.03.02.05553
865353759642
7654)(212
12222111211n mn m m n n T
p p p c c c c c c c c c DP A E
由于方案A 1和A 4的期望收益最大且相同,按下界差进一步选优
)(min ),(),(ik k
i i c a E a D -=θθ,即
5.145.5),(1=-=θa D 5.235.5),(4=-=θa D
所以,最优方案为A 4。
六、计算题(10分)
(1)绘制网络图
七、计算题(10分)
(2)工序I 的T ES (
I )=T LS (I )= 22 – 4 =18 (3)关键线路为:A >B >E >G >I 计划时间为:22
⎪⎪⎩⎪⎪⎨
⎧≥≤≤≤++=01241648232Z max 2121212
1x x x x x x x x 、
X* = (4,2)T MaxZ = 14
八、计算题(10分)
解:NPV=-K+ (R-C)(P/A,10%,10)(P/F,10%,1)+L(P/F,10%,11)=11394>0 当基准折效率为10%时,项目的累积净现金流量如下表
所以,动态投资回收期为
T=5+2809.05/(2809.05+1510.045)=5.65<10
由此可见,无论用净现值指标还是用动态投资回收期指标评价,该方案均可行。
4 8 X 2
X 1
九、计算题(10分)
≤2 可行域无界,规划为无界解。