线性代数 居余马 第6章 二次型
- 格式:ppt
- 大小:2.36 MB
- 文档页数:83
第六章 二次型1、二次型基本概念1º二次型:n 个变量n x x ,,1 的二次齐次多项式n n n x x a x x a x a x x f 11211221111),,(+++=n n x x a x x a 222112++++…+211n nn n n x a x x a ++⎪⎪⎪⎪⎪⎭⎫ ⎝⎛=n x x x x 21 ⎪⎪⎪⎪⎪⎭⎫ ⎝⎛=nn n n n n a a a a a a a a a A 212222111211 ∴A A Axx x f T T ==且)( 例如:3221232221453x x x x x x x f -+++=⎪⎪⎪⎪⎪⎪⎭⎫ ⎝⎛--=52102132022A 结论:二次型与对称矩阵一一对应,称对称矩阵的秩为对应二次型的秩. 2º标准二次型:22111),(n n n y d y d y y f ++=3º规范二次型:2212211)(q P P p q p z z z z z z f +++-+=++4º秩与惯性指数惯性指数:在标准型或规范型中,正平方项的个数称为正惯性;负平方项的个数称为负惯性指数,且正负惯性指数之和为二次型的秩,正负惯性指数之差称为符号差。
化标准形式规范型:①配方;②合同变换二次型的矩阵的秩,正负惯性指数等相关题目思路:1)Ax x x x x f T n =),,(21 将,则秩f =秩A2)将),,(21n x x x f 用合同变换式配方法化为标准型221121),,(n n n y d y d x x x f ++= 负项的个数=负惯性指数,秩f =平方项个数或化为规范型2221v p z z z f --++= 将 秩v f =正惯性指数为P ,负惯性指数为P v -例1. 1)二次型323121321224),,(x x x x x x x x x f ++-=的矩阵是 ,二次型的秩为 3 .2)实二次型2322213213),,(x x x x x x f +-=的秩为 ,正、负惯性指数分别为 例2.设)1()()()()(),,(212222121>++-+++=n x x nx nx nx x x x f n n n则f 的正负惯性指数之和为解:n n n x x x x x n x n f 1212221222)1()1(-----++-=⎪⎪⎪⎪⎪⎭⎫ ⎝⎛---------→⎪⎪⎪⎪⎪⎭⎫ ⎝⎛---------=11111111111111122222222n n n n n n n n n n n A⎪⎪⎪⎪⎪⎭⎫ ⎝⎛→⎪⎪⎪⎪⎪⎭⎫ ⎝⎛------→22220000111111111111n n n n2、将二次型化为标准形式已知标准形来求参数标准化方法1º配方法原理:配完全平方情形1:有平方项21⨯n a步骤:对所有含1x 的项配方,使得配方后余下的项不含1x ,如此继续,直至每一项均包含在平方项中。
第六章 二次型一、基本概念n 个变量的二次型是它们的二次齐次多项式函数,一般形式为f(x 1,x 2,…,x n )= a 11x 12+2a 12x 1x 2+2a 13x 1x 3+…+2a 1n x 1x n + a 22x 22+2a 23x 1x 3+…+2a 1n x 1x n + …+a nn x n 2=212nii iij i j i i ja x a x x =≠+∑∑.它可以用矩阵乘积的形式写出:构造对称矩阵A⎪⎪⎪⎪⎪⎭⎫ ⎝⎛⎪⎪⎪⎪⎪⎭⎫ ⎝⎛==∑∑==n nn n n n n n n i nj j i ij n x x x a a a a a a a a a x x x x x a x x x f 21212222111211211121),,(),,( 记[]Tx x x X ,,21=,则f(x 1,x 2,…,x n )= X TAX称对称阵A 为二次型f 的矩阵, 称对称阵A 的秩为二次型f 的秩.注意:一个二次型f 的矩阵A 必须是对称矩阵且满足AX X f T=,此时二次型的矩阵是唯一的,即二次型f 和它的矩阵A (A 为对称阵)是一一对应的,因此,也把二次型f 称为对称阵A 的二次型。
实二次型 如果二次型的系数都是实数,并且变量x 1,x 2,…,x n 的变化范围也限定为实数,则称为实二次型.大纲的要求限于实二次型.标准二次型 只含平方项的二次型,即形如2222211n n x d x d x d f +++=称为二次型的标准型。
规范二次型 形如221221q p p p x x x x ++--+ 的二次型,即平方项的系数只1,-1,0,称为二次型的规范型。
二、可逆线性变量替换和矩阵的合同关系对二次型f(x 1,x 2,…,x n )引进新的变量y 1,y 2,…,y n ,并且把x 1,x 2,…,x n 表示为它们的齐一次线性函数⎪⎪⎩⎪⎪⎨⎧+++=+++=+++=nnn n n n nn nn y c y c y c x y c y c y c x y c y c y c x 22112222121212121111 代入f(x 1,x 2,…,x n )得到y 1,y 2,…,y n 的二次型g(y 1,y 2,…,y n ). 把上述过程称为对二次型f(x 1,x 2,…,x n )作了线性变量替换,如果其中的系数矩阵c 11 c 12 … c 1n C = c 21 c 22 … c 2n … … …c n1 c n2 … c nn 是可逆矩阵,则称为可逆线性变量替换.下面讲的都是可逆线性变量替换.变换式可用矩阵乘积写出:CY X =Y AC C Y CY A CY AX X f T T T T )()()(===记AC C B T =,则B B T=,从而BY Y f T=。
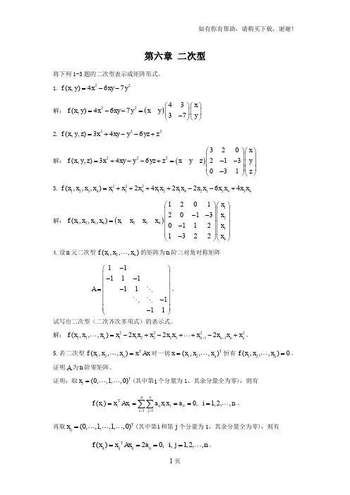
第六章 二次型将下列1-3题的二次型表示成矩阵形式。
1.22(,)467f x y x xy y =-- 解:()2243(,)46737x f x y x xy y xy y ⎛⎫⎛⎫=--= ⎪⎪-⎝⎭⎝⎭2.222(,,)346f x y z x xy y yz z =+--+解:()222320(,,)346213031x f x y z x xy y yz z xyz y z ⎛⎫⎛⎫⎪⎪=+--+=-- ⎪⎪ ⎪⎪-⎝⎭⎝⎭3.22212341341214232434(,,,)242264f x x x x x x x x x x x x x x x x x =++++--+解:()12123412343412012013(,,,)01121322x x f x x x x x x x x x x ⎛⎫⎛⎫ ⎪ ⎪-- ⎪⎪= ⎪ ⎪- ⎪ ⎪-⎝⎭⎝⎭4.设n 元二次型12(,,,)n f x x x 的矩阵为n 阶三对角对称矩阵1111111111A -⎛⎫⎪-- ⎪⎪=- ⎪- ⎪⎪-⎝⎭, 试写出二次型(二次齐次多项式)的表示式。
解:22221211222311(,,,)222n n n n n f x x x x x x x x x x x x x --=-+-++-+。
5.若二次型12(,,,)T n f x x x x Ax =对一切12(,,,)T n x x x x =恒有12(,,,)0n f x x x =,证明A 为n 阶零矩阵。
证明:取(0,,1,,0)T i x =(其中第i 个分量为1,其余分量全为零),则有11()0,1,2,,nnTi i i ij i j ii i j f x x Ax a x x a i n =======∑∑。
再取(0,,1,,1,,0)T ij x =(其中第i 和第j 个分量为1,其余分量全为零),则有()20,,1,2,,T ij ij ij ij f x x Ax a i j n ====。
第六章 二次型一、基本概念n 个变量的二次型是它们的二次齐次多项式函数,一般形式为f(x 1,x 2,…,x n )= a 11x 12+2a 12x 1x 2+2a 13x 1x 3+…+2a 1n x 1x n + a 22x 22+2a 23x 1x 3+…+2a 1n x 1x n + …+a nn x n 2=212nii i ij i j i i ja x a x x =≠+∑∑.它可以用矩阵乘积的形式写出:构造对称矩阵A⎪⎪⎪⎪⎪⎭⎫ ⎝⎛⎪⎪⎪⎪⎪⎭⎫ ⎝⎛==∑∑==n nn n n n n n n i n j j i ij n x x x a a a a a a a a a x x x x x a x x x f 21212222111211211121),,(),,( 记[]Tx x x X ,,21=,则f(x 1,x 2,…,x n )= X TAX称对称阵A 为二次型f 的矩阵, 称对称阵A 的秩为二次型f 的秩.注意:一个二次型f 的矩阵A 必须是对称矩阵且满足AX X f T=,此时二次型的矩阵是唯一的,即二次型f 和它的矩阵A (A 为对称阵)是一一对应的,因此,也把二次型f 称为对称阵A 的二次型。
实二次型 如果二次型的系数都是实数,并且变量x 1,x 2,…,x n 的变化围也限定为实数,则称为实二次型.大纲的要求限于实二次型.标准二次型 只含平方项的二次型,即形如2222211n n x d x d x d f +++=称为二次型的标准型。
规二次型 形如221221q p p p x x x x ++--+ 的二次型,即平方项的系数只 1,-1,0,称为二次型的规型。
二、可逆线性变量替换和矩阵的合同关系对二次型f(x 1,x 2,…,x n )引进新的变量y 1,y 2,…,y n ,并且把x 1,x 2,…,x n 表示为它们的齐一次线性函数⎪⎪⎩⎪⎪⎨⎧+++=+++=+++=nnn n n n nn n n y c y c y c x y c y c y c x y c y c y c x 22112222121212121111 代入f(x 1,x 2,…,x n )得到y 1,y 2,…,y n 的二次型g(y 1,y 2,…,y n ). 把上述过程称为对二次型f(x 1,x 2,…,x n )作了线性变量替换,如果其中的系数矩阵c 11 c 12 … c 1n C = c 21 c 22 … c 2n … … …12 …n 是可逆矩阵,则称为可逆线性变量替换.下面讲的都是可逆线性变量替换.变换式可用矩阵乘积写出:CY X =Y AC C Y CY A CY AX X f T T T T )()()(===记AC C B T =,则B B T=,从而BY Y f T=。
线性代数知识点总结(第6章)(一)二次型及其标准形1、二次型:(1)一般形式(2)矩阵形式(常用)2、标准形:如果二次型只含平方项,即f(x1,x2,…,x n)=d1x12+d2x22+…+d n x n2这样的二次型称为标准形(对角线)3、二次型化为标准形的方法:(1)配方法:通过可逆线性变换x=Cy(C可逆),将二次型化为标准形。
其中,可逆线性变换及标准形通过先配方再换元得到。
★(2)正交变换法:通过正交变换x=Qy,将二次型化为标准形λ1y12+λ2y22+…+λn y n2其中,λ1,λ2,…,λn是A的n个特征值,Q为A的正交矩阵注:正交矩阵Q不唯一,γi与λi对应即可。
(二)惯性定理及规范形4、定义:正惯性指数:标准形中正平方项的个数称为正惯性指数,记为p;负惯性指数:标准形中负平方项的个数称为负惯性指数,记为q;规范形:f=z12+…z p2-z p+12-…-z p+q2称为二次型的规范形。
5、惯性定理:二次型无论选取怎样的可逆线性变换为标准形,其正负惯性指数不变。
注:(1)由于正负惯性指数不变,所以规范形唯一。
(2)p=正特征值的个数,q=负特征值的个数,p+q=非零特征值的个数=r(A)(三)合同矩阵6、定义:A、B均为n阶实对称矩阵,若存在可逆矩阵C,使得B=C T AC,称A与B合同△7、总结:n阶实对称矩阵A、B的关系(1)A、B相似(B=P-1AP)←→相同的特征值(2)A、B合同(B=C T AC)←→相同的正负惯性指数←→相同的正负特征值的个数(3)A、B等价(B=PAQ)←→r(A)=r(B)注:实对称矩阵相似必合同,合同必等价(四)正定二次型与正定矩阵8、正定的定义二次型x T Ax,如果任意x≠0,恒有x T Ax>0,则称二次型正定,并称实对称矩阵A是正定矩阵。
9、n元二次型x T Ax正定充要条件:(1)A的正惯性指数为n(2)A与E合同,即存在可逆矩阵C,使得A=C T C或C T AC=E(3)A的特征值均大于0(4)A的顺序主子式均大于0(k阶顺序主子式为前k行前k列的行列式)10、n元二次型x T Ax正定必要条件:(1)a ii>0(2)|A|>011、总结:二次型x T Ax正定判定(大题)(1)A为数字:顺序主子式均大于0(2)A为抽象:①证A为实对称矩阵:A T=A;②再由定义或特征值判定12、重要结论:(1)若A是正定矩阵,则kA(k>0),A k,A T,A-1,A*正定(2)若A、B均为正定矩阵,则A+B正定。