河北专接本高等数学真题03
- 格式:doc
- 大小:27.60 KB
- 文档页数:4
河北省2005年专科接本科教育考试数学(一)(理工类)试题(考试时间:60分钟 总分:120分)一、单项选择题(本大题共10个小题,每小题2分,共20分。
在每小题给出的四个备选项中,选出一个正确的答案,并将所选项前的字母填写在答题纸的相应位置上,填写在其它位置上无效。
)1 在区间[]1,1-上,设函数)(x f 是偶函数,那么)(x f -( ) A 是奇函数 B 是偶函数C 既不是奇函数也不是偶函数D 不能被判定奇偶性 2 设0x ,sin 2)(),1()(2→=+=当x x x x In x a β时,( ) A()()x βαx 没有极限 B ()x α与()x β是等价无穷小C ()x α与()x β是同阶无穷小D ()x α是比()x β高阶的无穷小3 如果函数)(x f 在点0x 处连续,并且在点0x 的某个去心邻域内)(x f >0,那么( ) A 0)(0≥x f B 0)(0>x f C 0)(0=x f D 0)(0<x f4 设函数)(x f 在点0x 可导,那么)(x f ( )A 在点0x 的某个邻域内可导B 在点0x 的某个邻域内连续C 在点0x 处连续D 不能判定在点0x 处是否连续5 设函数)(x f 满足等式,05=-'-''y y y 并且0)(0)(00<='x f x f ,,那么在点0x 处,函数)(x f ( )A 不能被判定是否取得极值B 一定不取得极值C 取得极小值D 取得极大值 6 设βα,是两个向量,并且=⋅=⋅==βαβαβα那么,2,2,2( )A 2 B 22 C21 D 17 直线712131-=--=-z y x 与平面3x-2y+7z=8的关系式( ) A 平行但直线不在平面内 B 直线垂直与平面C 直线在平面内D 直线与平面既不垂直也不平行8 设∑∞=-=-+1101)(n n na aa ,那么极限=∞→n n a lim ( )A 可能存在,也可能不存在B 不存在C 存在,但是极限值无法确定D 存在,并且极限值为1 9 微分方程1=+''y y 的通解是( ) A 1cos +=x C y ,其中C 为任意常数 B 1sin +=x C y ,其中C 为任意常数C 1sin cos 21++=x C x C y ,其中21,C C 为任意常数D 1sin cos 21-+=x C x C y ,其中21,C C 为任意常数10 设A 为n 阶方阵(),2≥n λ为常数(1≠λ),那么|λA|=( ) A | A|B nλ|A|C |λ| | A|D λ | A|二 填空题(本大题共10个小题,每小题3分,共30分。
河北专接本数学(常微分方程)模拟试卷3(题后含答案及解析) 题型有:1. 选择题 2. 填空题 5. 综合题选择题在每小题给出的四个选项中,只有一项是符合要求的。
1.下列各式是一阶微分方程的有( ).A.y2+4y一2=0B.y”+2y’+3y=0C.y’+ex=(y’+ex)’D.(7x一6y)dx+(2x+y)dy=0正确答案:D 涉及知识点:常微分方程2.微分方程x2y”+xy’+2y=0的阶是( ).A.4B.3C.2D.1正确答案:C 涉及知识点:常微分方程3.以下函数可以作为某个二阶方程的通解的是( ).A.C1x2+C2x+CB.x2+y2=CC.y=ln(C1x)+ln(C2sinx)D.y=C1sin2x+C2cos2x正确答案:D 涉及知识点:常微分方程4.下列函数中是微分方程y’+=x的解的为( ).A.B.C.D.正确答案:D 涉及知识点:常微分方程5.已知r1=0,r2=一4是某二阶常系数线性齐次微分方程的特征方程的两个根,则该方程是( ).A.y”+4y’=0B.y”—4y’=0C.y”+4y=0D.y”—4y=0正确答案:A 涉及知识点:常微分方程6.微分方程xdy=ylnydx的一个解是( ).A.y=lnxB.ln2y=zC.y=sinxD.y=ex正确答案:D 涉及知识点:常微分方程填空题7.微分方程sinxcosydx=cosxsinydy满足初始条件的特解为__________.正确答案:涉及知识点:常微分方程8.微分方程+3y=e2x的通解为__________.正确答案:涉及知识点:常微分方程9.微分方程(x—2)y’=y+2(x—2)3在初始条件y|x=1=0下的特解为__________.正确答案:y=(x一2)3一(x一2) 涉及知识点:常微分方程10.已知曲线过点(1,2),且其上任一点处的切线斜率为x2,则曲线的方程为__________.正确答案:涉及知识点:常微分方程11.微分方程+y=e—x的通解为.正确答案:y=e—x(x+C) 涉及知识点:常微分方程12.微分方程xdy—ydx=y2eydy的通解为__________.正确答案:x=一yey+Cy 涉及知识点:常微分方程13.已知二阶常系数齐次微分方程的通解为y=C1ex+C2e—x,则原方程为__________.正确答案:y”一y=0 涉及知识点:常微分方程14.以y=e2x,y=xe2x为特解的二阶常系数齐次微分方程为__________.正确答案:y”—4y’+4y=0 涉及知识点:常微分方程15.已知微分方程y”+y=x的一个解为y1=x,微分方程y”+y=ex的一个解为y2=ex,则微分方程y”+y=x+ex的通解为__________.正确答案:y=C1cosx+C2sinx+ex+x 涉及知识点:常微分方程综合题16.求微分方程的通解3xx+5x一5y’=0正确答案:涉及知识点:常微分方程17.求微分方程的通解y—xy’=a(yx+y’)正确答案:涉及知识点:常微分方程18.求微分方程的通解y’—=(x+1)x正确答案:x(x+1)2+c(x+1)2 涉及知识点:常微分方程19.求微分方程的通解tanx=1+y正确答案:y=Csinx一1 涉及知识点:常微分方程20.求微分方程的通解=10x+y正确答案:10x+10—y=C 涉及知识点:常微分方程21.求微分方程的通解ylnxdx+xlnydy=0正确答案:ln2x+ln2y=C 涉及知识点:常微分方程22.求微分方程的通解xdy+dx=eydx正确答案:e—y=1一Cx 涉及知识点:常微分方程23.求微分方程的通解x(y2一1)dx+y(x2一1)dy=0正确答案:(y2一1)(x2一1)=C 涉及知识点:常微分方程24.求已给微分方程满足初始条件的特解正确答案:2(x3—y3)+3(x2一y2)+5=0 涉及知识点:常微分方程25.求已给微分方程满足初始条件的特解y’一ytanxsecx,y|x=0=0正确答案:y=xsecx 涉及知识点:常微分方程26.求已给微分方程满足初始条件的特解y’=e2x—y,y|x=0=0正确答案:ey=(1+e2x) 涉及知识点:常微分方程27.求已给微分方程满足初始条件的特解y’+ycosx=e—sinx,y|x=0=0正确答案:y=xe—sinx 涉及知识点:常微分方程28.求微分方程的通解或特解(y2一6x)+2y=0正确答案:涉及知识点:常微分方程29.求微分方程的通解或特解+3y=2正确答案:涉及知识点:常微分方程30.求微分方程的通解或特解+y=e—x正确答案:y=(x+C)e—x 涉及知识点:常微分方程31.求微分方程的通解或特解一3xy=xy2正确答案:涉及知识点:常微分方程32.求微分方程的通解或特解(x2+1)+2xy=4x2正确答案:涉及知识点:常微分方程33.求微分方程的通解或特解+2y=4x正确答案:y=2x—1+Ce—2x 涉及知识点:常微分方程34.求微分方程的通解或特解y’+2xy=4x正确答案:涉及知识点:常微分方程35.求微分方程的通解或特解y’一=2x2正确答案:y=x2+Cx 涉及知识点:常微分方程36.求微分方程的通解或特解+y—e2=0,y|x=a=6正确答案:涉及知识点:常微分方程。
2003年河北省专接本(数学)真题试卷(题后含答案及解析)题型有:1. 选择题 2. 填空题 4. 解答题选择题在每小题给出的四个选项中,只有一项是符合要求的。
1.函数的定义域为( ).A.[0,π]B.[-4,一π]U[0,π]C.[-4,4]D.[一π,π]正确答案:B解析:定义域借助三角函数的图像可得D:一4≤x≤一π0≤x≤-π,即D:[-4,一π]∪[0,π].2.设f(x)在点x0处不连续,则( ).A.f’(x0)必存在B.必存在C.f’(x0)必不存在D.必不存在正确答案:C解析:A不对因为f’(x0)存在,f’(x)在点x0必连续B不对,因为不连续也可能是因为左或右极限不存在,或存在但不相等引起的,而此时极限不存在.D 不对,因为不连续可能是因为是极限值不等于函数值引起的.C对,因为不连续一定不可导.3.=( ).A.e-6B.∞C.1D.e3正确答案:A解析:4.曲线y=cosx上点处的法线的斜率是( ).A.B.2C.D.正确答案:D解析:5.函数y=Insinx在闭区间上满足罗尔定理的全部条件,则使定理结论成立的ξ=( ).A.B.C.D.正确答案:A解析:令y’=cotx=0,得驻点它属于区间6.已知则( ).A.1B.C.D.2正确答案:C解析:由得f(x2)=3x2,故f(x)=3x于是7.平面x+2y—z+3=0与空间直线.的位置关系是( ).A.互相垂直B.互相平行但直线不在平面上C.既不平行也不垂直D.直线在平面上正确答案:D解析:平面及直线的法向量及方向向量分别为=(1,2,-1),=(3,-1,1)因为,所以与垂直,从而平面与直线平行,又直线上点(1,一1,2)满足平面方程,这说明直线在平面内.故选D8.设区域D:1≤x2+y2≤4,则A.6πB.15πC.4πD.2π正确答案:A解析:9.下列级数中收敛的级数是( ).A.B.C.D.正确答案:B解析:因为而收敛,从而绝对收敛,故选B10.方程y’’一4y’+4y=0的两个线性无关的解为( ).A.e2x与e2x+1B.e2x与ce2xC.e2x与xe2xD.3e2x与一e2x正确答案:C解析:方程的特征方程为r2—4r+4=0,特征根为r1=r2=2,方程有无关解y1=e2z,y2=xe2x.故选C填空题11.设f(x)为联系函数,则∫f2(x)df(x)_________.正确答案:12.=_______________.正确答案:解析:由积分公式得:13.幂级数的收敛区间(不考虑端点)为__________.正确答案:(1,3)解析:收敛半径收敛区间为|x一2|满足初始条件y|x=1=2的特解是___________.正确答案:y=2x解析:分离变量,得两边积分得,lnyl=InIxI+InC,或y=Cx由y(1)=2得C=2,故所求特解为y=2x.15.曲面ex一z+xy=3在点(2,1,0)处的切平面方程为___________.正确答案:x+2y一4=0解析:记F(x,y,z)=ez一z+xy一3,则点(2,1,0)处的法向量为点(2,1,0)处的平面方程为x一2+2(y一1)=0.解答题解答时应写出推理、演算步骤。
河北省2011年普通高校专科接本科教育选拔考试《数学(三)》(管理、农学类)试卷参考答案和评分标准一、 单项选择题 (本大题共10小题, 每小题3分, 共30分. 选对得3分。
选错、未选或多选得0分)1.B 2. C 3. B 4. C 5. A 6. D 7. D 8. A 9. A 10. D二、填空题 (本大题共5小题, 每小题4分, 共20分. 填对得4分,未填或错填得0分) 11. 1612. 1 13. 2- 14. ln2 15. 0 三、计算题(本大题共4小题, 每小题10分, 共40分. 解答过程、步骤和答案必须完整正确)16. 解:由于00lim ()lim e 1x x x f x --→→== ……………………………..4分 00lim ()lim()x x f x a x a +-→→=+= ……………………. …………… 8分 又()f x 在0x =处连续, 所以1a = ………………………………………10分17. 解: 原式=1d(arctan )x x - …………………………………… 3分21(arctan )2x = …………………………………………………6分221(arctan(1))]2=⨯-- 221[()()]234ππ=- 27288π= …………………………………………………………10分 18. 解: 方程两边对x 求导得e e y x y xy y +=-''………………………………..3分化简得e e x y y y x-'=+ ……………………………………………………...6分 把0x =代入原方程得0y = …………………………………………….8分 所以(0)1y '= …………………………………….……………………….10分 19.解:11111321301263λ⎛⎫ ⎪ ⎪ ⎪⎝⎭- ………………………………………………… …….2分 11111012630000λλ⎛⎫ ⎪ ⎪ ⎪⎝⎭→---- ……………………………………………5分 当0λ=时, 原方程组有解. ………………………………………………….. …….7分此时增广矩阵为111111015201263012630000000000---⎛⎫⎛⎫ ⎪ ⎪→ ⎪ ⎪ ⎪ ⎪⎝⎭⎝⎭则解为134********x x x x x x ⎧⎪⎨⎪⎩=-++=--(其中34,x x 是自由未量) ……………………..10分四、应用题(本题10分. 解答过程、步骤和答案必须完整、正确)20.解: 设D 点选在距A 点km x 处,则100BD x =-,CD=设货物从B 点运到C 点需要的总运费y ,则y ()31005x =⨯-+()0100x ≤≤…………………3分 现在求在区间[]0100,上取何值时,函数y 的值最小.对函数y 求导数:3y '=-,…… ………..…………………………………..6分令0y '=,得 所以15x =或15x =- (舍去).………………………………8分 故15380x y ==,而闭区间[]0100,端点处的函数值分别为0400x y ==,100500x y ==>.因此,当15x =时,y 取得最小值.即D 应选在距离A 点15km 处,这时总运费最省.……………………………………………………..10分。
[专升本类试卷]河北专接本数学(多元函数积分学)模拟试卷3一、选择题在每小题给出的四个选项中,只有一项是符合要求的。
1 设D1:一1≤x≤1,一1≤y≤1,则(x2+y2)dxdy=( ).2 设区域D是单位圆x2+y2≤1在第一象限的部分,则二重积分=( ).3 设D是平面区域0≤x≤1,0≤y≤2,则二重积分=( ).(A);(B)1;(C)4;(D)2.4 设,x+y=1围成的,则I1,I2的大小关系为( ).(A)I1=I2;(B)I1>I2;(C)I1<I2;(D)I1≥I2.5 设D={(x+y)|x2+y2≤a2},若,则a=( ).二、填空题6 设D是平面区域x2+y2≤1,则二重积分=__________.7 设I=,交换积分次序后I=__________.8 交换积分次序∫01dy∫0y f(x,y)dx+∫12dy∫02—y f(x,y)dx=__________.9 设D是平面区域一1≤x≤1,0≤y≤2,则二重积分=__________.10 设L是正向曲线x2+y2=R2,则曲线积分∮L xy2dy—x2ydx=__________.三、综合题11 计算xe xy dxdy,其中D是由0≤x≤1,一1≤y≤0围成的区域.12 计算(3x+2y)dxdy,其中D是由两条坐标轴及直线x+ky=2围成的闭区域.13 计算,其中D是由1≤x≤2,3≤y≤4围成的区域.14 计算xcos(x+y)dxdy,其中D是顶点分别为(0,0),(π,0)和(π,π)的三角形闭区域.15 计算∫13dx∫x—12siny2dy.16 计算(x2+3x2y+y3)dxdy,其中D是由0≤x≤1,0≤y≤1围成的区域.17 计算(1—2x—3y)dxdy,其中D是由直线2x+3y=1与两坐标轴围成的区域.18 计算xy2dxdy,其中D是由圆周x2+y2=4及y轴所围成的右半闭区域.19 计算(x+6y)dxdy,其中D是由y=x,y=5x,x=1围成的区域.20 计算xydxdy,其中D是由直线y=x一1与抛物线y2=2x+6所围成的闭区域。
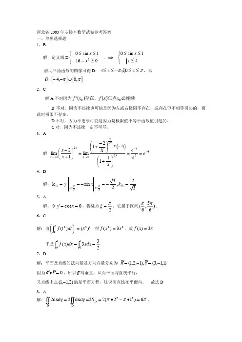
河北省2003年专接本数学试卷参考答案 一、单项选择题 1、B解 定义域D ⎩⎨⎧161sin 02≥-≤≤xx ,⇒⎩⎨⎧≤≤≤41sin 0x x 借助三角函数的图像可得D :-4ππ≤≤-≤≤x x 0或,即 [][]ππ,0,4:⋃--D2、C解A 不对因为()()必连续在点存在,00'x x f x fB 不对,因为不连续也可能是因为左或右极限不存在,或存在但不相等引起的,而此时极限不存在。
D 不对,因为不连续可能是因为是极限值不等于函数值引起的。
C 对,因为不连续一定不可导。
3、A解 ()624222114*21lim12lim ---∞→+∞→==⎪⎭⎫ ⎝⎛+-⎪⎭⎫ ⎝⎛-+=⎪⎭⎫⎝⎛+-eeeX X x x XXx xx4、D解:32,23sin k 33'=-=-====法切k xy x x ππ5、A解:令0cot '==x y ,得驻点2πξ=,它属于区间)65,6(ππ。
6、C解:由)'()(3'02x dt t f x=⎪⎭⎫ ⎝⎛⎰ 得223)(x x f =,故x x f 3)(=于是⎰⎰==110233)(xdx dx x f7、D .解:平面及直线的法向量及方向向量分别为 )1,1,3(),1,2,1(-=-=s n因为0=∙s n ,所以n与垂直,从而平面与直线平行,又直线上点)2,1,1(-满足平面方程,这说明直线在平面内。
故选D 8、A解:πππ6)12(22dxdy 2dxdy 222DD=∙-∙===⎰⎰⎰⎰D S 。
9、B解:因为 ,212c o s u nnn n ≤=而∑∞=121n n收敛,从而∑∞=12cos n nn 绝对收敛。
故选B 。
10、C解:方程的特征方程为,0442=+-r r 特征根为221==r r ,方程有无关解xxxey ey 2221,==。
故选C 。
二、填空题 1、C x f +)(3132、23ln 解:由积分公式⎰+-=-a x a x aax dx ln2122,得:23ln )31ln 0(2111ln 211222=-=⎥⎦⎤⎢⎣⎡+-=-⎰∞++∞x x x dx。
河北专升本数学真题及答案解析河北省是中国的一个重要的教育区域,专升本考试是该地区许多成人学习群体所关注的重要考试。
其中,数学科目一直是许多考生最头疼的问题之一。
本文将针对河北专升本数学真题及答案解析进行深入探讨。
在进行数学考试的准备阶段,研究历年真题是非常重要的一步。
通过了解过去一段时间内的考试内容和难度,可以更好地调整学习重心,有针对性地准备。
下面,我们来逐一解析几道河北专升本数学真题。
首先,我们来看一道关于方程的题目。
如下:已知方程3x2 + 7x + a = 0 (a > 0)的两个根分别为x1和x2,求x1-2x2的值。
解析:对于一个二次方程ax2 + bx + c = 0,它的两个根可以由以下公式求得:x1 = (-b + √(b2 - 4ac)) / (2a)x2 = (-b - √(b2 - 4ac)) / (2a)根据题目中已知的条件,我们可以得到方程的两个根:x1 = (-7 + √(72 - 4 * 3a)) / (2 * 3)x2 = (-7 - √(72 - 4 * 3a)) / (2 * 3)接下来,我们可以算出x1-2x2的值:x1-2x2 = (-7 + √(72 - 4 * 3a)) / (2 * 3) - 2 * ((-7 - √(72 - 4 * 3a)) / (2 * 3))= (-7 + √(72 - 4 * 3a)) / (2 * 3) + (14 + 2√(72 - 4 * 3a)) / (2 * 3)= (-7 + 14 + √(72 - 4 * 3a) + 2√(72 - 4 * 3a)) / (2 * 3)= (7 + 3√(72 - 4 * 3a)) / (2 * 3)所以,x1-2x2的值为(7 + 3√(72 - 4 * 3a)) / (2 * 3)。
接下来,我们来看一道与概率有关的题目。
如下:甲、乙、丙三个人自动瞄准一个靶,甲命中靶的概率是1/3,乙命中的概率是1/4,丙命中的概率是1/5。
河北省2008年专科接本科教育考试数学(一)(理工类)试题(考试时间: 60分钟 总分: 100分)说明: 请将答案填写在答题纸相应位置上, 填写在其它位置上无效。
一、单项选择题(本大题共10个小题, 每小题2分, 共20分。
在每小题给出的四个备选项中, 选出一个正确的答案, 并将所选项前的字母填写在答题纸的相应位置上, 填写在其它位置上无效。
)1 设 = , , 则 ( )A 22x xB x1C 1±D 12 下列公式中计算正确的是( )A 1sin lim=∞→x x x B 11sin lim =∞→xx xC e x x x -=-∞→)11(limD e xxx =+-∞→)11(lim3设函数 可导, 则 ( ) A )(x f '- B)(21x f ' C )(2x f ' D )(x f ' 4设函数 在区间[ ]上可导, , 则方程 在区间( )内( )A 至少有两个实根B 有且仅有一个实根C 没有实根D 根的个数不能确定 5 下列各式中, 正确的是( ) A⎰+=c xdx x 21 B ⎰+=c x xdx 2sec tanC⎰+=c x xdx cos sin D ⎰+=-c x dx xarcsin 1126 经过点A (2,3,1)且平行于yox 坐标平面的平面方程是( ) A 2=x B 3=y C 1=z D 06=-++z y x7下列级数中, 收敛的级数是() A∑∞=11n n B ∑∞=2)23(n nC ∑∞=131n nD ∑∞=12n nn8 微分方程032=-'+''y y y 的通解是() A x xe c e c y 231+=- B x x e e c y +=-31 C x xe c ec y -+=231 D x x e e y 33-+=A 向量组βα,线性相关B 向量组γα,线性相关C 向量组γβ,线性相关D 向量组γβα,,线性相关 10 设矩阵 为 阶方阵, , 则下列说法正确的是()A B A ,均不可逆 B O B A =+ C 00==B A 或行列式 D00==B A 或二 填空题(本大题共4个小题, 每小题4分, 共16分。
专升本河北考试试题及答案专升本河北考试是很多想要提高自身学历的人士所追求的目标。
通过专升本考试,可以获得本科学位并在职场上更上一层楼。
本文将为大家提供一些专升本河北考试的试题及答案,希望对考生们的备考有所帮助。
一、数学试题1. 解方程:2x + 5 = 17答案:x = 62. 求二次函数的顶点坐标:y = x^2 - 4x + 3答案:顶点坐标为(2,-1)3. 计算三角函数值:sin(45°)答案:sin(45°) = √(2)/2二、英语试题阅读理解:The iPhone is one of the most popular smartphones in the world. It was created by the company Apple and has been a huge success. The iPhone has many features, such as a high-quality camera, a large screen, and the ability to connect to the internet. Many people use their iPhones to send messages, make phone calls, and play games. The iPhone is also known for its longbattery life, which means that users don't have to charge it as frequently as other phones.1. What company created the iPhone?答案:Apple2. What are some features of the iPhone?答案:High-quality camera, large screen, internet connectivity3. What can people use their iPhones for?答案:Sending messages, making phone calls, playing games三、政治试题1. 中国共产党的诞生时间是?答案:1921年2. 第一次全国土地会议召开的时间是?答案:1948年3. 中国共产党第一次全国代表大会召开的时间是?答案:1921年通过以上试题及答案,我们可以看到专升本河北考试涵盖了多个科目,包括数学、英语、政治等。
普通高校专科接本科教育选拔考试高等数学(一)试卷(考试时间:60分钟) (总分:100分)说明:请在答题纸的相应位置上作答,在其它位置上作答的无效.一、单项选择题(0本大题共10小题,每小题3分,共30分.在每小题给出的四个备选项中,选出一个正确的答案,请将选定的答案填涂在答题纸的相应位置上.)1.函数)2(3)(-+-=x In x x f 的定义域为( ).【集训营第一章原题型】. A. (2,3] B.[3,+∞) C.(-∞,2) D.[2,3)2.设函数00,)21(,)(1>≤⎩⎨⎧++=x x x e a x f xx 在0=x 处连续,则常数=a ( ).【魔鬼班卷四5题数二】. A.1-e B.e C.1-e D.12-e3.设)(0'x f ,)0('f 均存在,以下四式中错误的一项是( ). 【习题册第二章限时原题型】 A. 000')()(lim)(0x x x f x f x f x x --=→B. h x f h x f x f h )()(lim)(0000'-+=→C. xx f x x f x f x ∆-∆+=→∆)()(lim)(0000'D. xx f f x )(lim)0(0'→= 4.当 0→x 时,与 x tan 等价的无穷小是( ). 【保过班第二章原题型】 A. x x -2 B. x cos 1- C.x x sin 2+ D.11-+x5.设矩阵=⎪⎪⎭⎫ ⎝⎛=-1,4321A A 则( ). 【保过班测试卷5原题型】 A.21 B. 21- C. 1 D. -16.设'()ln ()cos ,()xf x f x x dx f x ==⎰则( ). 【新题型】 A. C x x x ++)sin (cos B.C x x x +-cos sin C.C x x x +-sin cos D.C x x +sin7.过点)1,0,2(0-P ,且垂直与平面032=+-z y x 的直线方程是( ). 【保过班第四章测试原题型】 A.31212+=-=-z y x B.31212--==--z y x C.31212-=-=+z y x D.31212-+==-+z y x 8.下列所给级数中收敛的是( ). 【习题册第七章8题原题型】A. ∑∞=11n n B. ∑∞=11n n C. n n n 1)1(1∑∞=- D. 51∑∞=n n In9.设A,B 为同阶方阵,则有( ). 【习题册第九章限时3题原题】 A. T T T B A AB =)( B. BA AB =C.111)(---+=+B A B A D. BA AB = 10.微分方程22=-y dxdy通解为( ). 【习题册第八章原题型】 A. 12-=x ce y B. 12+=x ce y C. 1-=x ce y D.1+=x ce y 二、填空题(本大题共5小题,每小题4分,共20分。
2023河北专接本数学试卷2023年河北省专接本数学考试参考内容第一部分:选择题(共50分)1. 设函数f(x) = ax^2 + bx + c,其中a,b,c是常数,且a ≠ 0。
若f(x) > 0对于任意的x∈(-∞,∞),则以下选项中正确的是()A. a > 0B. b < 0C. c < 0D. ab - c > 02. 若一个集合的元素个数为n,且元素从1到n依次排列。
从这个集合中任意挑选一个元素,将其划去,然后再从剩下的元素中挑选一个元素。
重复操作,直到剩下一个元素为止。
若这个操作过程中挑选的元素依次是3,6,15,47,……,则n的值是()A. 13B. 14C. 15D. 163. 已知等差数列{an}的前n项和为Sn = n^2 + 5n,则{an}的通项公式是()A. an = 2nB. an = 3n + 2C. an = 3n +1D. an = 4n + 14. 已知f(x) = ax^2 + bx + c是一个开口向上的抛物线,且f(1) - f(-1) = 16,则以下选项中正确的是()A. a = 4B. b = 0C. c = 4D. b = 165. 若a,b,c满足等式(ab)^2 + (bc)^2 + (ca)^2 = abc,则以下选项中正确的是()A. |ab| = 1B. |bc| = 1C. |ca| = 1D. abc = 1第二部分:解答题(共50分)解答题题目如下:1. 设函数f(x) = ax^2 + bx + c,其中a,b,c是常数,且a ≠ 0。
(1)若f(1) = 4,f(-1) = 2,求a,b,c的值。
(2)若f(0) = f(1),求a,b,c的关系。
2. 解方程:log3(2x - 3) + log3(3 - x) = 1。
3. 已知直角三角形ABC中,∠A = 90°,AC = 2BC,角B的对边BC上有一点D,连接AD,并延长交BC的延长线于E,使得DE = BC。
河北省 2019 年一般高校专科接本科教育选拔考试《高等数学(一)》(考试时间 60 分钟)(总分 100 分)一、 单项选择题 ( 本大题共 10小题, 每题 3 分, 共30分. 在每题给出的四个备选项中, 选出一个正确的答案 , 并将所选项前面的字母填写在答题纸的相应地点上)1. 函数 f (x) 4 x 2ln(e x 1) 的定义域为().. 2,2B.0,2C.0,2D.2,2A2.limx 1x 023A. e 2B. 3 x()3C.e 6D.e 6e 23.设 f (x) 在 x 0 处可导,若 limf ( x 02h) f (x 0 h) 3 ,则 f (x 0 ) ()h 0hA .1B. 0C. 1D. 34. 广义积分2x4 dx ( )11 xA . 0B.4C.2 D.5. 设矩阵 A3 21 0 , E1 0 ,若 AB X E ,则 X =() .1 , B41 0 153 1 3 13 13 1 A .51B.5 1C.51D.5 122226. 已知 f (x) 的一个原函数为e x ,则 xf (x)dx ()A. xe x e xc B.xe xe x cC. xe xe xcD.xe xe xc7. 过点 P 0 (2,3,1) 且与向量 a ( 1,1,2) 和 b (0,1, 1) 垂直的直线方程为() .A . x 2 y 3 z 1B.x 2 y 3 z 1 31 13 1 1x 2 y 3 z 1x 2 y 3 z 1C.11D.11338. 以下所给级数中发散的是()A .n 1 B.sin1C.1 11D.n 1n 1n 1nn 1 n 2 nn 1 n(n 2)219.设 A112,B 10 ,则AB 1()1323A .1 1 5 B.1 1 51 1 5 1 1 530 5 530 5 5C.55D.5530 3010. 微分方程dyy e x 的通解为( )dx x1 (xx)yxeeA.x1 ( xx)yxe eC.x1xxB. y( xeec)1xxD.y( xe e c)二、 填空题 (本大题共 5小题, 每题4 分 , 共 20 分. 将答案填写在答题纸的相应地点上)2x a, x11. 设函数f (x) sin 2xx0,在 (,)内连续 , 则 a =__________x ,12. 曲线 yx 3 3x 25x 4 的拐点坐标为 _____________13. 幂级数( 1) n ( x 1)n 的收敛域为 _________ n 1 4nn14. 设 y(c 1 c 2 x)e 3x ( c 1, c 2 为随意常数)为某个二阶常系数线性齐次微分方程的通解,则该微分方程为15. 曲线 x 22 y 2 3z 221 在点 (1, 2,2) 的切平面方程为.三.计算题(本大题共4 小题,每题 10 分,共 40 分。
2012年河北省专接本数学三(农学类)真题试卷(题后含答案及解析) 题型有:1. 选择题 2. 填空题 4. 解答题 5. 综合题选择题在每小题给出的四个选项中,只有一项是符合要求的。
1.下列函数是奇函数的为( ).A.f(x)=exB.f(x)=x2|x|C.f(x)=sinxD.f(x)=cosx正确答案:C解析:A非奇非偶,B偶×偶=偶,C奇函数,D偶函数.2.极限=( ).A.1B.C.=-eD.e正确答案:B解析:根据零位×无穷得3.曲线在点处的切线与坐标轴所围成的三角形的面积S是( ).A.1B.2C.4D.与x0有关正确答案:B解析:在处的斜率为得切线方程令得x=2x0即所围三角形4.已知函数y=f(x)在x=x0处取极大值,则( ).A.x=x0是f(x)的驻点B.f(x)在点x0处可导,但x=x0不一定是驻点C.不等式f(x)≤f(x0)D.在点x0的某邻域内有f(x)≤f(x0)成立正确答案:D解析:根据极值的定义可得.5.定积分=( ).A.0B.C.D.正确答案:A解析:上下限对称,被积函数为奇函数,积为0.6.函数f(x)=2x3-3x2的单调递减区间为( ).A.(-∞,0]B.[0,1]C.[1,2]D.[2,+∞)正确答案:B解析:f’(x)=6x2—6x=6x(x-1)=0得驻点x1=0,x2=1在(0,1)内,f’(x) 8.下列级数中发散的是( ).A.B.C.D.正确答案:A解析:发散.9.微分方程y’一y=1的通解为( ).A.y=Ce-x一1B.y=Cex一1C.Y=Ce-xD.y=cex正确答案:B解析:y’+p(x)y=g(x)即10.当a=( )时,行列式A.1B.0C.1D.2正确答案:C解析:当a=1时,行列式其中两行(列)相同,则行列式值为0.填空题11.若函数,在x=0处连续,则k=_______.正确答案:2解析:根据连续定义可知:12.函数z=(lnx+y)的二阶混合偏导势=_________.正确答案:解析:13.幂级数的收敛半径为_________.正确答案:e解析:幂级数的收敛半径公式为:14.已知矩阵则ATA=__________.正确答案:解析:15.微分方程满足初始条件y(0)=2的特解为__________.正确答案:解析:将y(0)=2代入得c=2特解解答题解答时应写出推理、演算步骤。
精品文档2007年专科接本科教育考试河北省
数学(三)(管理类)试题)
100分总分:(考试时间:60分钟说明:请将答案填写在答题纸相应位置上,填写在其它位置上无效。
分。
在每小题给出的四个备选项中,选30个小题,每小题3分,共一、单项选择题(本大题共10 )出一个正确的答案,并将所选项前的字母填写在答题纸的相应位置上,填写在其它位置上无效。
1?ln(x?1f(x)?)的定义域是()1 函数2x?41,2?2,2) B
( A ()
1,??2,??)
( D C ( )
1??(0x?1?2x)x)xf(a???,?设函数2 在( ))上连续,则=(??a x?0 ?2?2ee B A
e2? D C
??)(fx(x)f 3 设)的是(存在,则下列四个极限中等于00f(x??x)?f(x)f(x)?f(x?h)0000limlim B A
?xh0h?x?0?f(x)?f(x)f(x?h)?f(x?h)000limlim C D
xx?h x?x0?h00f(x)a,ba,bf(a)f(b)a,b之连]上续,在(=在间满)内可4 若函数导,且足在[,则?(x)?0的点fc()
A 必存在且只有一个
B 至少存在一个
C 不一定存在
D 不存在
5 下列关于极值的命题中,正确的是()
?(x)fxf(x)的极值点,则 A 若一定是=000B 极大值一定大于极小值
xxf(x)f(x)的驻点若是的极值点,则一定是C 00??(xf)fx()x)xf(=0 在处取得极值且存在,则若D 00021x?)(fxxf()) 6 若是的一个原函数,则(=
精品文档.
精品文档3x2C?1?x x22 D C A B
313?dx1)xcosx(x??)7 定积分的值为(1?12 D C
A 0
B 1 3z?xy e?z?)8 设函数=(,则x?),0(11?ee D
0 C A 1
B
)下列无穷级数中,绝对收敛的是(9
3nsin n?1n?12????n(?1)?1)(2???? D A
B C 22nn?1n n1n?n?1n?11n?nBA,阶方阵,则下列说法正确的是(设矩阵为)10
22A?22A B?B)?A(A?B)(A?B
A
2O?O,则BA?0且AB?OOA?,则A?若 C 若 D
分。
把答案填写在答题纸的相应位置上,填写个小题,每小题4分,共16二填空题(本大题共4 在其它位置上无效。
)110,?ln(x?1)?y?__________________ 在点(11曲线)处的切线方程为x?xey?的单调增区间是函数__________________
12?1?n)1x?(_____________________ 的收敛区间是幂级数13n n51n?
y?2?0cosxy?sinx?y?的特解是14_____________
满足初始条件微分方程?x2
二计算题(本大题共5个小题,每小题3分,共15分。
把答案填写在答题纸的相应位置上,填写在其它位置上无效。
)
x2?tdtsin0lim求极限15 xsin?x0?x
精品文档.
精品文档
?dxxarctan求不定积分16
2y'0xy?e??yy(x)由方程e?)y(0所确定,求17 设函数
?z?z2222?xy)z?f(x?x,y?yf,具有连续偏导数,求18 设?x?y 10110????????A?0?10B?01BAX?X,设,其中矩阵,求矩阵19 ????????11100????精品文
档.
精品文档
四、解答题(本题11分。
把答案填写在答题纸的相应位置上,填写在其它位置上无效。
)
x?x?x?1?312?T2x?x?x?2(1,?1,1)是方程组的一个解。
,已知20 设非齐次线性方程组
?321?3x?x?ax?b?123
a,b为何值时方程组有唯一解?(1)问
a,b为何值时方程组有无穷多解?并求处导出组的基础解系表示的通解2)问(
五、应用题(本题8分。
将解答的主要过程、步骤和答案填写在答题纸的相应位置上,填写在其它位置上无效。
)
2xy?x xy?轴旋转一周所形成的旋21 与直线求由抛物线所围成的平面图形的面积及该图形绕转体的体积。
精品文档.。