化工热力学第二版 夏清 第2章 吸收答案
- 格式:doc
- 大小:343.00 KB
- 文档页数:8
化工原理第二版夏清,贾绍义课后习题解答(夏清、贾绍义主编.化工原理第二版(下册).天津大学出版)社,2011.8.)第1章蒸馏1.已知含苯0.5(摩尔分率)的苯-甲苯混合液,若外压为99kPa,试求该溶液的饱和温度。
苯和甲苯的饱和蒸汽压数据见例1-1附表。
t(℃) 80.1 85 90 95 100 105x 0.962 0.748 0.552 0.386 0.236 0.11解:利用拉乌尔定律计算气液平衡数据查例1-1附表可的得到不同温度下纯组分苯和甲苯的饱和蒸汽压PB *,PA*,由于总压P = 99kPa,则由x = (P-PB *)/(PA*-PB*)可得出液相组成,这样就可以得到一组绘平衡t-x图数据。
以t = 80.1℃为例 x =(99-40)/(101.33-40)= 0.962 同理得到其他温度下液相组成如下表根据表中数据绘出饱和液体线即泡点线由图可得出当x = 0.5时,相应的温度为92℃2.正戊烷(C5H12)和正己烷(C6H14)的饱和蒸汽压数据列于本题附表,试求P = 13.3kPa下该溶液的平衡数据。
温度 C5H12223.1 233.0 244.0 251.0 260.6 275.1 291.7 309.3K C6H14248.2 259.1 276.9 279.0 289.0 304.8 322.8 341.9饱和蒸汽压(kPa) 1.3 2.6 5.3 8.0 13.3 26.6 53.2 101.3解:根据附表数据得出相同温度下C5H12(A)和C6H14(B)的饱和蒸汽压以t = 248.2℃时为例,当t = 248.2℃时 PB* = 1.3kPa查得PA*= 6.843kPa得到其他温度下A¸B的饱和蒸汽压如下表t(℃) 248 251 259.1 260.6 275.1 276.9 279 289 291.7 304.8 309.3PA*(kPa) 6.843 8.00012.472 13.30026.600 29.484 33.42548.873 53.200 89.000101.300PB*(kPa) 1.300 1.634 2.600 2.826 5.027 5.300 8.000 13.300 15.694 26.600 33.250 利用拉乌尔定律计算平衡数据平衡液相组成以260.6℃时为例当t= 260.6℃时 x = (P-PB *)/(PA*-PB*)=(13.3-2.826)/(13.3-2.826)= 1 平衡气相组成以260.6℃为例当t= 260.6℃时 y = PA*x/P = 13.3×1/13.3 = 1同理得出其他温度下平衡气液相组成列表如下t(℃) 260.6 275.1 276.9 279 289x 1 0.3835 0.3308 0.0285 0y 1 0.767 0.733 0.524 0 根据平衡数据绘出t-x-y曲线3.利用习题2的数据,计算:⑴相对挥发度;⑵在平均相对挥发度下的x-y数据,并与习题2 的结果相比较。
化工原理第二版夏清,贾绍义课后习题解答(夏清、贾绍义主编 . 化工原理第二版(下册). 天津大学出版)社 ,2011.8. )第1 章蒸馏1.已知含苯 0.5 (摩尔分率)的苯 - 甲苯混合液,若外压为 99kPa,试求该溶液的饱和温度。
苯和甲苯的饱和蒸汽压数据见例1-1 附表。
t (℃) 80.1 859095100105x0.9620.7480.5520.3860.2360.11解:利用拉乌尔定律计算气液平衡数据查例 1-1 附表可的得到不同温度下纯组分苯和甲苯的饱和蒸汽压**,由P,PB A于总压P = 99kPa ,则由 x = (P-P***B )/(P A -P B )可得出液相组成,这样就可以得到一组绘平衡 t-x 图数据。
以 t = 80.1℃为例x = ( 99-40 )/ (101.33-40 )= 0.962同理得到其他温度下液相组成如下表根据表中数据绘出饱和液体线即泡点线由图可得出当 x = 0.5时,相应的温度为92℃2. 正戊烷( C5 H12)和正己烷( C6H14)的饱和蒸汽压数据列于本题附表,试求P =13.3kPa 下该溶液的平衡数据。
温度 C H223.1233.0244.0251.0260.6275.1 512291.7309.3K C6H14248.2259.1276.9279.0289.0304.8 322.8341.9饱和蒸汽压 (kPa) 1.3 2.6 5.3 8.0 13.3 26.653.2101.3解:根据附表数据得出相同温度下C5H12( A)和 C6H14(B)的饱和蒸汽压以 t = 248.2*= 1.3kPa ℃时为例,当 t = 248.2 ℃时 P B*查得 P A = 6.843kPa得到其他温度下 A?B 的饱和蒸汽压如下表t( ℃) 248251 259.1 260.6 275.1 276.9 279289 291.7304.8 309.3*P A (kPa) 6.843 8.00012.472 13.30026.600 29.484 33.42548.873 53.200 89.000101.300P B*(kPa) 1.300 1.634 2.600 2.826 5.027 5.300 8.000 13.300 15.694 26.600 33.250利用拉乌尔定律计算平衡数据平衡液相组成以260.6℃时为例当 t= 260.6***)℃时 x = (P-P B)/(P A-P B=( 13.3-2.826) / (13.3-2.826)= 1平衡气相组成以 260.6 ℃为例当 t= 260.6*×1/13.3 = 1℃时 y = P A x/P = 13.3同理得出其他温度下平衡气液相组成列表如下t( ℃ )260.6275.1 276.9 279289x10.38350.33080.02850y10.7670.7330.5240根据平衡数据绘出t-x-y曲线3.利用习题 2 的数据,计算:⑴相对挥发度;⑵在平均相对挥发度下的 x-y 数据,并与习题 2 的结果相比较。
第一章流体流动2.在本题附图所示的储油罐中盛有密度为 960 ㎏ / ? 的油品,油面高于罐底6.9 m,油面上方为常压。
在罐侧壁的下部有一直径为 760 mm的圆孔,其中心距罐底 800 mm,孔盖用 14mm的钢制螺钉紧固。
若螺钉材料的工作应力取为39.23 ×106 Pa ,问至少需要几个螺钉?分析:罐底产生的压力不能超过螺钉的工作应力即P油≤σ螺解:P螺 = ρgh× A = 960×9.81 ×(9.6-0.8)×3.14 ×0.76 2150.307×103Nσ螺 = 39.03 × 103×3.14 ×0.014 2×nP 油≤ σ螺得 n ≥ 6.23取n min= 7至少需要 7 个螺钉3 .某流化床反应器上装有两个U型管压差计,如本题附4.本题附图为远距离测量控制装置,用以测定分相槽内煤油和水的两相界面位置。
已知两吹气管出口的距离H = 1m,U管压差计的指示液为水银,煤油的密度为820Kg/?。
试求当压差计读数R=68mm时,相界面与油层的吹气管出口距离h。
分析:解此题应选取的合适的截面如图所示:忽略空气产生的压强,本题中 1-1′和 4- 4′为等压面, 2-2′和 3-3′为等压面,且1- 1′和 2-2′的压强相等。
根据静力学基本方程列出一个方程组求解解:设插入油层气管的管口距油面高h在 1-1′与 2-2′截面之间P1 = P2 + ρ水银 gR∵P= P4,P=P312且 P3 = ρ煤油 g h , P 4 = ρ水 g(H-h)+ ρ煤油 g( h + h )联立这几个方程得到ρ水银 gR =ρ水 g(H-h)+ρ煤油 g(h + h)- ρ煤油gh 即ρ水银 gR =ρ水 gH +ρ煤油 gh-ρ水 gh带入数据1.0 3×103×1 - 13.6×103×0.068 = h(1.0×103-0.82×103)h= 0.418 m5.用本题附图中串联U管压差计测量蒸汽锅炉水面上方的蒸气压,U管压差计的指示液为水银,两U管间的连接管内充满水。
化工原理课后习题答案(夏清、陈常贵主编.化工原理.天津大学出版社,2005.)第一章流体流动2.在本题附图所示的储油罐中盛有密度为 960 ㎏/㎥的油品,油面高于罐底 6.9 m,油面上方为常压。
在罐侧壁的下部有一直径为 760 mm 的圆孔,其中心距罐底800 mm,孔盖用14mm的钢制螺钉紧固。
若螺钉材料的工作应力取为39.23×106Pa ,问至少需要几个螺钉?分析:罐底产生的压力不能超过螺钉的工作应力即P油≤σ螺解:P螺 = ρgh×A = 960×9.81×(9.6-0.8) ×3.14×0.762150.307×103 Nσ螺 = 39.03×103×3.14×0.0142×nP油≤σ螺得 n ≥ 6.23取 n min= 7至少需要7个螺钉3.某流化床反应器上装有两个U 型管压差计,如本题附4. 本题附图为远距离测量控制装置,用以测定分相槽内煤油和水的两相界面位置。
已知两吹气管出口的距离H = 1m,U管压差计的指示液为水银,煤油的密度为820Kg/㎥。
试求当压差计读数R=68mm时,相界面与油层的吹气管出口距离h。
分析:解此题应选取的合适的截面如图所示:忽略空气产生的压强,本题中1-1´和4-4´为等压面,2-2´和3-3´为等压面,且1-1´和2-2´的压强相等。
根据静力学基本方程列出一个方程组求解解:设插入油层气管的管口距油面高Δh在1-1´与2-2´截面之间P1 = P2 + ρ水银gR∵P1 = P4,P2 = P3且P3= ρ煤油gΔh , P4 = ρ水g(H-h)+ ρ煤油g(Δh + h)联立这几个方程得到ρ水银gR = ρ水g(H-h)+ ρ煤油g(Δh + h)-ρ煤油gΔh 即ρ水银gR =ρ水gH + ρ煤油gh -ρ水gh 带入数据1.0³×10³×1 - 13.6×10³×0.068 = h(1.0×10³-0.82×10³)h= 0.418m5.用本题附图中串联U管压差计测量蒸汽锅炉水面上方的蒸气压,U管压差计的指示液为水银,两U管间的连接管内充满水。
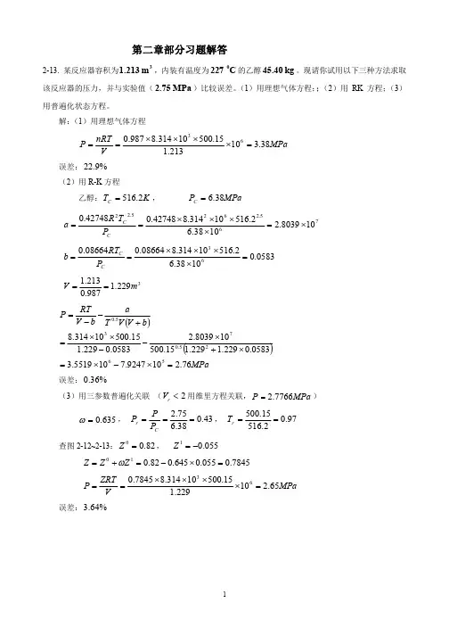
化工热力学答案(完整资料).doc【最新整理,下载后即可编辑】化工热力学第二章作业解答2.1试用下述三种方法计算673K ,4.053MPa 下甲烷气体的摩尔体积,(1)用理想气体方程;(2)用R-K 方程;(3)用普遍化关系式解(1)用理想气体方程(2-4) V =RT P=68.3146734.05310=1.381×10-3m 3·mol -1 (2)用R-K 方程(2-6)从附录二查的甲烷的临界参数和偏心因子为 Tc =190.6K ,Pc =4.600Mpa ,ω=0.008 将Tc ,Pc 值代入式(2-7a )式(2-7b )2 2.50.42748c cR T a p ==2 2.560.42748(8.314)(190.6)4.610=3.224Pa ·m 6·K 0.5·mol -20.0867c c RT b p ==60.08678.314190.64.610=2.987×10-5 m 3·mol -1 将有关的已知值代入式(2-6)4.053×106=58.3146732.98710V -?-?-0.553.224(673)( 2.98710)V V -+?迭代解得V =1.390×10-3 m 3·mol -1(注:用式2-22和式2-25迭代得Z 然后用PV=ZRT 求V 也可) (3)用普遍化关系式673 3.53190.6r T T Tc ===664.053100.8814.610r P P Pc ?===?因为该状态点落在图2-9曲线上方,故采用普遍化第二维里系数法。
由式(2-44a )、式(2-44b )求出B 0和B 1B 0=0.083-0.422/Tr 1.6=0.083-0.422/(3.53)1.6=0.0269 B 1=0.139-0.172/Tr 4.2=0.139-0.172/(3.53)4.2=0.138 代入式(2-43)010.02690.0080.1380.0281BPcB B RT cω=+=+?= 由式(2-42)得Pr 0.881110.0281 1.0073.53BPc Z RT c Tr=+=+?=V =1.390×10-3 m 3·mol -12.2试分别用(1)Van der Waals,(2)R-K ,(3)S-R-K 方程计算273.15K 时将CO 2压缩到比体积为550.1cm 3·mol -1所需要的压力。
化工热力学第二章答案
化工热力学是研究化学体系热力学性质及其变化规律的一门学科,是化学工程学的重要基础学科。
在化工热力学的学习中,第二章是一个基础的章节,主要介绍了熵的基本概念、状态函数以及热力学第二定律等内容。
首先,我们来谈谈熵的概念。
熵是一个描述系统无序程度的物理量,是热力学中的一个基本概念。
熵的单位是焦耳每开尔文(J/K),表示系统在一个可逆过程中吸收的热量与温度之积的比值。
我们可以将熵理解为一个系统的混乱程度,系统越混乱,熵就越大。
接着,我们谈谈状态函数。
状态函数是描述一个物理系统状态的函数,其值只与系统的当前状态有关,与系统的路径无关。
在热力学中,熵就是一个状态函数。
这就意味着,无论系统的变化如何,系统的熵值总是保持不变的。
这种性质使得熵成为了热力学中非常重要的一个概念。
最后,我们来讲述一下热力学第二定律。
热力学第二定律是热力学中的一个基本定律,它规定了热在现实过程中的流动方向。
热力学第二定律有许多不同的表述方法,其中最著名的一种是克
劳修斯表述。
克劳修斯表述规定,在闭合系统中,熵总是增加的,而不会减少。
也就是说,在一个中气体扩散,热量流到低温区域
的过程中,总是熵增加。
总之,熵、状态函数以及热力学第二定律都是化工热力学中非
常基础的概念和定律。
掌握好这些概念和定律,可以帮助我们更
好地理解化学过程和物理过程中的热力学变化,也可以更好地进
行热力学分析和计算。
习题:2-1.为什么要研究流体的pVT 关系?答:在化工过程的分析、研究与设计中,流体的压力p 、体积V 和温度T 是流体最基本的性质之一,并且是可以通过实验直接测量的。
而许多其它的热力学性质如内能U 、熵S 、Gibbs 自由能G 等都不方便直接测量,它们需要利用流体的p –V –T 数据和热力学基本关系式进行推算;此外,还有一些概念如逸度等也通过p –V –T 数据和热力学基本关系式进行计算。
因此,流体的p –V –T 关系的研究是一项重要的基础工作。
2-2.理想气体的特征是什么?答:假定分子的大小如同几何点一样,分子间不存在相互作用力,由这样的分子组成的气体叫做理想气体。
严格地说,理想气体是不存在的,在极低的压力下,真实气体是非常接近理想气体的,可以当作理想气体处理,以便简化问题。
理想气体状态方程是最简单的状态方程:RT pV =2-3.偏心因子的概念是什么?为什么要提出这个概念?它可以直接测量吗?答:纯物质的偏心因子ω是根据物质的蒸气压来定义的。
实验发现,纯态流体对比饱和蒸气压的对数与对比温度的倒数呈近似直线关系,即符合:⎪⎪⎭⎫ ⎝⎛-=r sr Tp 11log α 其中,c s s r p p p =对于不同的流体,α具有不同的值。
但Pitzer 发现,简单流体(氩、氪、氙)的所有蒸气压数据落在了同一条直线上,而且该直线通过r T =0.7,1log -=sr p 这一点。
对于给定流体对比蒸气压曲线的位置,能够用在r T =0.7的流体与氩、氪、氙(简单球形分子)的sr p log 值之差来表征。
Pitzer 把这一差值定义为偏心因子ω,即)7.0(00.1log =--=r s r T p ω任何流体的ω值都不是直接测量的,均由该流体的临界温度c T 、临界压力c p 值及r T =0.7时的饱和蒸气压s p 来确定。
2-4.纯物质的饱和液体的摩尔体积随着温度升高而增大,饱和蒸气的摩尔体积随着温度的升高而减小吗?答:正确。
.第二章流体的压力、体积、浓度关系:状态方程式2-1 试分别用下述方法求出400 ℃、 4.053MPa 下甲烷气体的摩尔体积。
( 1 )理想气体方程;( 2 ) RK 方程;( 3)PR 方程;( 4 )维里截断式( 2-7)。
其中 B 用 Pitzer 的普遍化关联法计算。
[解 ] ( 1 )根据理想气体状态方程,可求出甲烷气体在理想情况下的摩尔体积V id为V id RT8.314(400273.15) 1.381 103m3mol 1p 4.053106(2)用 RK 方程求摩尔体积将RK 方程稍加变形,可写为V RT a(V b)b(E1)p T 0.5 pV (V b)其中0.42748R2T c2.5ap c0.08664 RT cbp c从附表 1 查得甲烷的临界温度和压力分别为T c=190.6K,p c=4.60MPa,将它们代入a, b 表达式得a0.42748 8.3142 190.62.5 3.2217m 6 Pa mol -2 K 0.54.60106b0.086648.314190.6 2.9846 10 5 m3 mol 14.60106以理想气体状态方程求得的V id为初值,代入式( E1)中迭代求解,第一次迭代得到V1值为V18.314673.15 2.984610 54.053106.3.2217 (1.381 100.56673.15 4.053 10 1.381 103 2.9846 10 5 )3(1.381 10 3 2.984610 5 )1.38110 32.984610 5 2.124610 51.3896331 10m mol第二次迭代得 V2为V2 1.381103 2.98461053.2217(1.389610 3 2.984610 5)673.15 0.5 4.05310 61.389610 3(1.389610 3 2.984610 5)1.38110 32.984610 5 2.112010 51.389710 3 m3 mol1V1和 V2已经相差很小,可终止迭代。
.第二章流体的压力、体积、浓度关系:状态方程式2-1 试分别用下述方法求出400 ℃、 4.053MPa 下甲烷气体的摩尔体积。
( 1 )理想气体方程;( 2 ) RK 方程;( 3)PR 方程;( 4 )维里截断式( 2-7)。
其中 B 用 Pitzer 的普遍化关联法计算。
[解 ] ( 1 )根据理想气体状态方程,可求出甲烷气体在理想情况下的摩尔体积V id为V id RT8.314(400273.15) 1.381 103m3mol 1p 4.053106(2)用 RK 方程求摩尔体积将RK 方程稍加变形,可写为V RT a(V b)b(E1)p T 0.5 pV (V b)其中0.42748R2T c2.5ap c0.08664 RT cbp c从附表 1 查得甲烷的临界温度和压力分别为T c=190.6K,p c=4.60MPa,将它们代入a, b 表达式得a0.42748 8.3142 190.62.5 3.2217m 6 Pa mol -2 K 0.54.60106b0.086648.314190.6 2.9846 10 5 m3 mol 14.60106以理想气体状态方程求得的V id为初值,代入式( E1)中迭代求解,第一次迭代得到V1值为V18.314673.15 2.984610 54.053106.3.2217 (1.381 100.56673.15 4.053 10 1.381 103 2.9846 10 5 )3(1.381 10 3 2.984610 5 )1.38110 32.984610 5 2.124610 51.3896331 10m mol第二次迭代得 V2为V2 1.381103 2.98461053.2217(1.389610 3 2.984610 5)673.15 0.5 4.05310 61.389610 3(1.389610 3 2.984610 5)1.38110 32.984610 5 2.112010 51.389710 3 m3 mol1V1和 V2已经相差很小,可终止迭代。
第二章 吸收1. 从手册中查得101.33 KPa 、25 ℃时,若100 g 水中含氨1 g ,则此溶液上方的氨气平衡分压为0.987 KPa 。
已知在此组成范围内溶液服从亨利定律,试求溶解度系数H (kmol/ (m 3·kPa))及相平衡常数m 。
解:(1) 求H 由33NH NH C P H *=.求算.已知:30.987NH a P kP *=.相应的溶液浓度3NH C 可用如下方法算出:以100g 水为基准,因为溶液很稀.故可近似认为其密度与水相同.并取其值为31000/kg m .则:333331/170.582/100110000.582/0.590/()0.987NH NH NH a C kmol m H C P kmol m kP *==+∴===⋅ (2). 求m .由333333330.9870.00974101.331/170.01051/17100/180.00974/0.9280.0105NH NH NH NH NH NH NH NH y m x P y P x m y x ****======+=== 2. 101.33 kpa 、10 ℃时,氧气在水中的溶解度可用p O2=3.31×106x 表示。
式中:P O2为氧在气相中的分压,kPa 、x 为氧在液相中的摩尔分数。
试求在此温度及压强下与空气充分接触后的水中,每立方米溶有多少克氧。
解: 氧在空气中的摩尔分数为0.21.故: 222266101.330.2121.2821.28 6.43103.31106 3.3110O O aO O P Py kP P x -==⨯====⨯⨯⨯ 因2O x 值甚小,故可以认为X x ≈即:2266.4310O O X x -≈=⨯ 所以:溶解度6522232()6.431032 1.1410()/()11.4118()g O kg O kg H O m H O --⎡⎤⨯⨯==⨯=⎢⎥⨯⎣⎦3. 某混合气体中含有2%(体积)CO 2,其余为空气。
化工热力学课后答案(填空、判断、画图)第1章 绪言一、是否题1. 封闭体系的体积为一常数。
(错)2. 封闭体系中有两个相βα,。
在尚未达到平衡时,βα,两个相都是均相敞开体系;达到平衡时,则βα,两个相都等价于均相封闭体系。
(对)3. 理想气体的焓和热容仅是温度的函数。
(对)4. 理想气体的熵和吉氏函数仅是温度的函数。
(错。
还与压力或摩尔体积有关。
)5. 封闭体系的1mol 气体进行了某一过程,其体积总是变化着的,但是初态和终态的体积相等,初态和终态的温度分别为T 1和T 2,则该过程的⎰=21T T V dT C U ∆;同样,对于初、终态压力相等的过程有⎰=21T T P dT C H ∆。
(对。
状态函数的变化仅决定于初、终态与途径无关。
)二、填空题1. 状态函数的特点是:状态函数的变化与途径无关,仅决定于初、终态 。
2. 封闭体系中,温度是T 的1mol 理想气体从(P i ,V i )等温可逆地膨胀到(P f ,V f ),则所做的功为()f i rev V V RT W ln =(以V 表示)或()i f rev P P RT W ln = (以P 表示)。
3. 封闭体系中的1mol 理想气体(已知igP C ),按下列途径由T 1、P 1和V 1可逆地变化至P 2,则A 等容过程的 W = 0 ,Q =()1121T P P R C igP ⎪⎪⎭⎫ ⎝⎛--,U =()1121T PPR C igP ⎪⎪⎭⎫⎝⎛--,H =1121T P P C ig P ⎪⎪⎭⎫ ⎝⎛-。
B 等温过程的 W =21lnP P RT -,Q =21ln P PRT ,U = 0 ,H = 0 。
第2章P-V-T关系和状态方程一、是否题1. 纯物质由蒸汽变成液体,必须经过冷凝的相变化过程。
(错。
可以通过超临界流体区。
)2. 当压力大于临界压力时,纯物质就以液态存在。
(错。
若温度也大于临界温度时,则是超临界流体。
化⼯热⼒学第⼆章习题及答案化⼯热⼒学第⼆章作业解答2.1试⽤下述三种⽅法计算673K ,4.053MPa 下甲烷⽓体的摩尔体积,(1)⽤理想⽓体⽅程;(2)⽤R-K ⽅程;(3)⽤普遍化关系式解(1)⽤理想⽓体⽅程(2-4) V =R T P=68.3146734.05310=1.381×10-3m 3·mol -1(2)⽤R-K ⽅程(2-6)从附录⼆查的甲烷的临界参数和偏⼼因⼦为 T c =190.6K ,Pc =4.600Mpa ,ω=0.008 将T c ,Pc 值代⼊式(2-7a )式(2-7b )22.50.42748ccR T a p ==2 2.560.42748(8.314)(190.6)4.610=3.224Pa ·m 6·K 0.5·mol -20.0867ccRT b p ==60.08678.314190.64.610=2.987×10-5 m 3·mol -1将有关的已知值代⼊式(2-6) 4.053×106= 58.3146732.98710V -?-?-0.53.224(673)( 2.98710)V V -+?迭代解得V =1.390×10-3 m 3·mol -1(注:⽤式2-22和式2-25迭代得Z 然后⽤PV=ZRT 求V 也可) (3)⽤普遍化关系式673 3.53190.6r T T T c=== 664.053100.8814.610r P P Pc===? 因为该状态点落在图2-9曲线上⽅,故采⽤普遍化第⼆维⾥系数法。
由式(2-44a )、式(2-44b )求出B 0和B 1B 0=0.083-0.422/T r 1.6=0.083-0.422/(3.53)1.6=0.0269 B 1=0.139-0.172/T r 4.2=0.139-0.172/(3.53)4.2=0.138 代⼊式(2-43)010.02690.0080.1380.0281B P c B B RTcω=+=+?=由式(2-42)得Pr 0.881110.0281 1.0073.53BPc Z RTc Tr=+=+?= ? ?V =1.390×10-3 m 3·mol -12.2试分别⽤(1)Van der Waals,(2)R-K ,(3)S-R-K ⽅程计算273.15K 时将CO 2压缩到⽐体积为550.1cm 3·mol -1所需要的压⼒。
化工原理课后习题答案第一章流体流动2.在本题附图所示的储油罐中盛有密度为 960 ㎏/㎥的油品,油面高于罐底 6.9 m,油面上方为常压。
在罐侧壁的下部有一直径为 760 mm 的圆孔,其中心距罐底 800 mm,孔盖用14mm的钢制螺钉紧固。
若螺钉材料的工作应力取为39.23×106 Pa ,问至少需要几个螺钉?分析:罐底产生的压力不能超过螺钉的工作应力即P油≤σ螺解:P螺 = ρgh×A = 960×9.81×(9.6-0.8) ×3.14×0.762150.307×103 Nσ螺 = 39.03×103×3.14×0.0142×nP油≤σ螺得 n ≥ 6.23取 n min= 7至少需要7个螺钉3.某流化床反应器上装有两个U 型管压差计,如本题附4. 本题附图为远距离测量控制装置,用以测定分相槽内煤油和水的两相界面位置。
已知两吹气管出口的距离H = 1m,U管压差计的指示液为水银,煤油的密度为820Kg/㎥。
试求当压差计读数R=68mm时,相界面与油层的吹气管出口距离h。
分析:解此题应选取的合适的截面如图所示:忽略空气产生的压强,本题中1-1´和4-4´为等压面,2-2´和3-3´为等压面,且1-1´和2-2´的压强相等。
根据静力学基本方程列出一个方程组求解解:设插入油层气管的管口距油面高Δh在1-1´与2-2´截面之间P1 = P2 + ρ水银gR∵P1 = P4,P2 = P3且P3 = ρ煤油gΔh , P4 = ρ水g(H-h)+ ρ煤油g(Δh + h)联立这几个方程得到ρ水银gR = ρ水g(H-h)+ ρ煤油g(Δh + h)-ρ煤油gΔh 即ρ水银gR =ρ水gH + ρ煤油gh -ρ水gh 带入数据1.0³×10³×1 - 13.6×10³×0.068 = h(1.0×10³-0.82×10³)h= 0.418m5.用本题附图中串联U管压差计测量蒸汽锅炉水面上方的蒸气压,U管压差计的指示液为水银,两U管间的连接管内充满水。
化工原理第二版_(下册)夏清贾绍义_课后习题解答化原答案第1章蒸馏1.已知含苯0.5(摩尔分率)的苯-甲苯混合液,若外压为99kPa,试求该溶液的饱和温度。
苯和甲苯的饱和蒸汽压数据见例1-1附表。
t(℃)80.1859095100105某0.9620.7480.5520.3860.2360.11解:利用拉乌尔定律计算气液平衡数据查例1-1附表可的得到不同温度下纯组分苯和甲苯的饱和蒸汽压PB 某,PA某,由于总压P=99kPa,则由某=(P-PB)/(PA-PB)可得出液相组成,这样就可以得到一组绘平衡t-某图数据。
以t=80.1℃为例某=(99-40)/(101.33-40)=0.962同理得到其他温度下液相组成如下表根据表中数据绘出饱和液体线即泡点线由图可得出当某=0.5时,相应的温度为92℃2.正戊烷(C5H12)和正己烷(C6H14)的饱和蒸汽压数据列于本题附表,试求P=13.3kPa下该溶液的平衡数据。
温度C5H12223.1233.0244.0251.0260.6275.1291.7309.3KC6H14248.2259.1276.9279.0289.0304.8322.8341.9饱和蒸汽压(kPa)1.32.65.38.013.326.653.2101.3某某某解:根据附表数据得出相同温度下C5H12(A)和C6H14(B)的饱和蒸汽压以t=248.2℃时为例,当t=248.2℃时PB某=1.3kPa查得PA某=6.843kPa得到其他温度下A¸B的饱和蒸汽压如下表t(℃)248251259.1260.6275.1276.9279289291.7304.8309.3化原答案PA某(kPa)6.8438.00012.47213.30026.60029.48433.42548.87353.20089.000101.300PB某(kPa)1.3001.6342.6002.8265.0275.3008.00013.30015.69426.60033.250利用拉乌尔定律计算平衡数据平衡液相组成以260.6℃时为例当t=260.6℃时某=(P-PB某)/(PA某-PB某)=(13.3-2.826)/(13.3-2.826)=1平衡气相组成以260.6℃为例当t=260.6℃时y=PA某/P=13.3某1/13.3=1同理得出其他温度下平衡气液相组成列表如下t(℃)260.6275.1276.9279289某10.38350.33080.02850y10.7670.7330.5240根据平衡数据绘出t-某-y曲线3.利用习题2的数据,计算:⑴相对挥发度;⑵在平均相对挥发度下的某-y数据,并与习题2的结果相比较。
第二章习题解答一、问答题:2-1【参考答案】:流体p-V-T 关系是化工热力学的基石,是化工过程开发和设计、安全操作和科学研究必不可少的基础数据。
(1)流体的PVT 关系可以直接用于设计。
(2)利用可测的热力学性质(T ,P ,V 等)计算不可测的热力学性质(H ,S ,G ,等)。
只要有了p-V-T 关系加上理想气体的id p C ,可以解决化工热力学的大多数问题。
2-2【参考答案】:1)超临界流体区的特征是:T >T c 、p >p c 。
2)临界点C 的数学特征:3)饱和液相线是不同压力下产生第一个气泡的那个点的连线;4)饱和汽相线是不同压力下产生第一个液滴点(或露点)那个点的连线。
5)过冷液体区的特征:给定压力下液体的温度低于该压力下的泡点温度。
6)过热蒸气区的特征:给定压力下蒸气的温度高于该压力下的露点温度。
7)汽液共存区:在此区域温度压力保持不变,只有体积在变化。
2-3【参考答案】:气体只有在低于T c 条件下才能被液化。
2-4【参考答案】:不同。
真实气体偏离理想气体程度不仅与T 、p 有关,而且与每个气体的临界特性有关,即最本质的因素是对比温度、对比压力以及偏心因子r T ,r P 和ω。
2-5【参考答案】:偏心因子ω为两个分子间的相互作用力偏离分子中心之间的作用力的程度。
其物理意义为:一般流体与球形非极性简单流体(氩,氪、氙)在形状和极性方面的偏心度。
为了提高计算复杂分子压缩因子的准确度。
偏心因子不可以直接测量。
偏心因子ω,ω由测定的对比温度为0.7时的对比饱和压力的数据计算而得,并不能直接测量。
2-6 【参考答案】:所谓状态方程的普遍化方法是指方程中不含有物性常数a ,b ,而是以对比参数作为独立变量;普遍化状态方程可用于任何流体、任意条件下的PVT 性质的计算。
普遍化方法有两种类型:(1)以压缩因子的多项式表示的普遍化关系式 (普遍化压缩因子图法);(2)以()()()()点在点在C V PC V PT T 0022==∂∂∂两项virial 方程表示的普遍化第二virial 系数关系式(普遍化virial 系数法)2-7【参考答案】:三参数对应状态原理与两参数对应状态原理的区别在于为了提高对比态原理的精度,引入了第三参数如偏心因子ω。
第二章 吸收1. 从手册中查得 KPa 、25 ℃时,若100 g 水中含氨1 g ,则此溶液上方的氨气平衡分压为 KPa 。
已知在此组成范围内溶液服从亨利定律,试求溶解度系数H (kmol/ (m 3·kPa))及相平衡常数m 。
解:(1) 求H 由33NH NH C P H *=.求算.已知:30.987NH a P kP *=.相应的溶液浓度3NH C 可用如下方法算出:以100g 水为基准,因为溶液很稀.故可近似认为其密度与水相同.并取其值为31000/kg m .则:(2). 求m .由333333330.9870.00974101.331/170.01051/17100/180.00974/0.9280.0105NH NH NH NH NH NH NH NH y m x P y P x m y x ****======+=== 2. kpa 、10 ℃时,氧气在水中的溶解度可用p O2=×106x 表示。
式中:P O2为氧在气相中的分压,kPa 、x 为氧在液相中的摩尔分数。
试求在此温度及压强下与空气充分接触后的水中,每立方米溶有多少克氧。
解: 氧在空气中的摩尔分数为0.21.故: 因2O x 值甚小,故可以认为X x ≈即:2266.4310O O X x -≈=⨯ 所以:溶解度6522232()6.431032 1.1410()/()11.4118()g O kg O kg H O m H O --⎡⎤⨯⨯==⨯=⎢⎥⨯⎣⎦3. 某混合气体中含有2%(体积)CO 2,其余为空气。
混合气体的温度为30 ℃,总压强为 kPa 。
从手册中查得30 ℃时CO 2在水中的亨利系数E = KPa ,试求溶解度系数H (kmol/(m 3·kPa、))及相平衡常数m ,并计算每100克与该气体相平衡的水中溶有多少克CO 2。
解:(1). 求H 由2H O H EM ρ=求算.(2). 求m(1) 当0.02y =时.100g 水溶解的2CO因x 很小,故可近似认为X x ≈故100克水中溶有220.01318CO gCO4.在 kPa 、0 ℃下的O 2与CO 混合气体中发生稳定的分子扩散过程。
已知相距 cm 的两截面上O 2的分压分别为 kPa 和 kPa ,又知扩散系数为 cm 2/s ,试计算下列两种情况下O 2的传递速率,kmol/(m 2·s):(1) O 2与CO 两种气体作等分子反向扩散。
(2) CO 气体为停滞组分。
解: (1) 等分子反向扩散时2O 的传递速率:(2) 2O 通过停滞CO 的扩散速率5. 一浅盘内存有2 mm 厚的水层,在20 ℃的恒定温度下逐渐蒸发并扩散到大气中。
假定扩散始终是通过一层厚度为5 mm 的静止空气膜层,此空气膜层以外的水蒸气分压为零。
扩散系数为×10-5 m 2/s ,大气压强为 KPa 。
求蒸干水层所需的时间。
解: 这是属于组分()A 通过停滞组分的扩散。
已知扩散距离(静止空气膜厚度)为3510Z m -=⨯.水层表面的水蒸气分压(20)C o 的饱和水蒸气压力为1 2.3346A a P kP =.静止空气膜层以外;水蒸气分压为20A P =单位面积上单位时间的水分蒸发量为故液面下降速度:水层蒸干的时间:6. 试根据马克斯韦尔-吉利兰公式分别估算0 ℃、 kPa 时氨和氯化氢在空气中的扩散系数D (m 2/s),并将计算结果与表2-2中的数据相比较。
解:(1). 氨在空气中的扩散系数.查表2.4知道,空气的分子体积:氨的分子体积:又知29/.17/B A M g mol M g mol ==则0.101.33a C kP o 时,氨在空气中的扩散系数可由Maxwea Gilliland :式计算.(2) 同理求得7. 在 kPa 、27 ℃下用水吸收混于空气中的甲醇蒸气。
甲醇在气、液两相中的组成都很低,平衡关系服从亨利定律。
已知溶解度系数H = kmol/(m 3·kPa),气膜吸收系数k G =×10-5 kmol/(m 2·s·kPa),液膜吸收系数k L =×10-5kmol/(m 2·kmol/m 3)。
试求总吸收系数K G ,并算出气膜阻力在总阻力中所占百分数。
解: 总吸收系数气膜P 助在点P 助中所占百分数.8. 在吸收塔内用水吸收棍子空气中的甲醇,操作温度27 ℃,压强 KPa 。
稳定操作状况下塔内某截面上的气相甲醇分压为 5 kPa ,液相中甲醇组成为 kmol/m 3。
试根据上题中的有关数据算出该截面上的吸收速率。
解: 吸收速率()A G A A N K P P *=-由上题已求出521.12210/()G a k kmol m s kP -=⨯⋅⋅又知:31.955/()a H kmol m kP =⋅则该截面上气相甲醇的平衡分压为则55221.12210(5 1.08) 4.410/()0.1583/()A N kmol m s kmol m h --=⨯⨯-=⨯⋅=⋅9. 在逆流操作的吸收塔中,于 kpa 、25 ℃下用清水吸收混合气中的H 2S ,将其组成由2%降至 (体积)。
该系统符合亨利定律。
亨利系数E =×16 kPa。
若取吸收剂用量为理论最小用量的12倍,试计算操作液气比及出口液相组成若压强改为1013 kPa ,其他条件不变,再求手及解: (1) 求101.33a kP 下,操作液气比及出口液相组成。
最小液气比12min 120.02040.001()518.0.0204/545Y Y L Y V X m--===- 操作液气比为min 1.2() 1.2518622.L L V V=⨯=⨯= 出口液相浓度(2) 求1013a kP 下的操作液气比及出口液组成则:出口液相组成:11. 在 kPa 下用水吸收据于空气中的氨。
已知氨的摩尔分数为,混合气体于40 ℃下进入塔底,体积流量为 m 3/s ,空塔气速为 m/s 。
吸收剂用量为理论最小用量的倍,氨的吸收率为95%,且已估算出塔内气相体积吸收总系数的平均值为。
在操作条件下的气液平衡关系为,试求塔径及填料层高度。
解:121212min 1211220.10.111110.1(1)0.1111(10.95)0.005555.0.0.11110.005555() 2.47.0.11112.61.1 2.47 2.72.1()(0.11110.005555)00.0388.2.722.60.956.2.721G Y Y Y X Y Y L Y V X mL VV X Y Y X L mV S L N ϕ==-=-=⨯-==--===-=⨯==-+=⨯-+=====o 122210.1111ln[(1)]ln[(10.956)0.956]13.8110.9560.005555Y Y S S S Y Y **--+=-⨯+=--- 塔截面积:塔径: 又知:0.5562730.90.0195/.22.427340V kmol s =⨯⨯=+ 则:塔上填料层高度:12.在吸收塔中用清水吸收混合气中的SO 2,气体流量为5000 m 3(标准)/h ,其中SO 2占10%,要求SO 2回收率为95%。
气、液逆流接触,在塔的操作条件下SO 2在两相间的平衡关系近似为。
试求:(1) 若取用水量为最小用量的15倍,用水量应为多少?(2) 在上述条件下,用图解法求所需理论塔板数;(3) 如仍用(2)中求出的理论板数,而要求回收率从95%提高到98%,用水量应增加到多少?解:(1) 求用水量:(2) 求理论板数()a 梯级图解法在Y X -直角坐标图中给出平衡线.26.77oE CY *=⨯及操作线BT由图中B 点开始在操作线与平衡线之间画梯级得理论板层数 5.5T N =()b 用克列姆塞尔算图则相对回收率12120.11110.005560.950.1111Y Y Y mX ϕ--===- 在理论最小用水量下,T N =∞,J 据此查图221-得:min 0.95A = 而min 0.95L mV= 查图221-(或由式277c -计算)可知当:1.43.0.95L A mVϕ===时 两种方法解得的结果相同。
(3) 求98ρ=o o 时所需增加的水量用克列姆塞尔法估算,已知:'0.98. 5.5T N ϕ==据此查图221-得' 1.75A =.则:' 1.75 1.7526.72019390/.L mV kmol h ==⨯⨯=故需要增加的用水量13. 在一个接触效能相当于8层理论塔板的筛板塔内,用一种摩尔质量为250、密度为则900 kg/m 3的不挥发油吸收捏于空气中的丁烧。
塔内操作压强为 kPa ,温度为15 ℃,进塔气体含丁烷5%(体积),要求回收率为95%。
丁烷在15 ℃时的蒸气压强为 kPa ,液相密度为58O kg/m 3假定拉乌尔定律及道尔顿定律适用,求:(1) 回收每1 m 3丁烷需用溶剂油多少(m 3)?(2) 若操作压强改为 kPa ,而其他条件不变,则上述溶剂油耗量将是多少(m 3)?解: (1). 由拉乌尔定律.由于为低组成吸收,可以认为 1.92Y X *=由克列姆塞尔方程得到:解得:由此可知,每回收1kmol 丁烷所需纯溶剂油数量为丁烷的摩尔质量为58.08.则回收每31m 液体丁烷所需溶剂油的体积为(2). 若304.0.p kPa =则:因为20X =故20Y *=10.042.Y *=(条件未变,仍用上法求得)14. 在一逆流吸收塔中用三乙醇胶水溶液吸收混于气态烃中的H 2S ,进塔气相含H 2S %(体积),要求吸收率不低于99%,操作温度300 K ,压强为 kPa ,平衡关系为,进塔液体为新鲜溶剂,出塔液体中H 2S 组成为 kmol(H 2S )/kmol(溶剂)。
已知单位塔截面上单位时间流过的惰性气体量为 kmol/(m 2·s),气相体积吸收总系数为 kmol/(m 3·s·kPa),求所需填料层高度。
解:12G G Ya mV Y Y Z H N K Y -=⋅=Ωo o V () 已知: 则:2(0.030.026)0.00030.00143.0.030.026ln 0.00030.000395101.330.04/()m Ya G Y K K ap kmol m S --==-==⨯=⋅V 又知:15.有一吸收塔,填料层高度为3 m ,操作压强为 KPa ,温度为20 ℃,用清水吸收棍于空气中的氨。