华中师范大学文学院考研专业介绍 国现当代文学
- 格式:doc
- 大小:25.50 KB
- 文档页数:4
华中师范大学专业课复习方案专业课一:中外文学史中外文学史:华师的文学专业课数目很多,涉及面非常广,教材也十分庞杂,盲目复习,难以起手,必须要做到去粗取精,析出重点,而一般考生在初期复习中很难做到。
大纲给出的专业课参考书目包含以下:文学各专业:《文学理论》刘安海、孙文宪主编,华中师范大学出版社2004年版《文学理论导引》王先霈、孙文宪主编,高等教育出版社《中国历代文论选》(一卷本),郭绍虞主编,上海古籍出版社《中国文学史》(四卷)袁行霈主编,高等教育出版社(两本文学史任选其一)《中国文学史》(三卷)章培恒、骆玉明主编,复旦大学出版社(两本文学史任选其一)《中国历代文学作品选》(上中下编)朱东润主编,上海古籍出版社《中国现代文学三十年》钱理群等著,北京大学出版社《中国当代文学》(上、下册)王庆生主编,华中师范大学出版社《外国文学史》(第1-4册)聂珍钊主编,华中理工大学出版社2004年复试专业考试参考书目:文艺学:《文学批评原理》王先霈主编,华中师范大学出版社2004年版中国古典文献学:《中国古典文献学》张三夕主编,华中师范大学出版社2007年1月版中国古代文学:《中国文学史》(四卷)袁行霈主编,高等教育出版社(两本文学史任选其一)《中国文学史》(三卷)章培恒、骆玉明主编,复旦大学出版社(两本文学史任选其一)《中国历代文学作品选》(上中下编)朱东润主编,上海古籍出版社中国现当代文学:《中国现代文学三十年》钱理群等著,北京大学出版社《中国当代文学》(上、下册)王庆生主编,华中师范大学出版社比较文学与世界文学:《外国文学史》(第1-4册)聂珍钊主编,华中理工大学出版社2004年《外国文学史》(上、下)郑克鲁主编,高等教育出版社2002年《比较文学教程》胡亚敏主编,华中师范大学出版社2004年7月版中国民间文学:《民间文学教程》刘守华主编,华中师范大学出版社影视文学:《电影媒介与艺术论》李显杰、修倜著,华中师范大学出版社教育硕士(语文)《语文课程与教学论》王文彦、蔡明主编,高等教育出版社,2007版复习经验指导由于这门课内容繁杂,涉及十几本书,很多同学感到无从下手,十分彷徨。
专业050106:中国现当代文学各培养单位的该学科竞争力依次分为5个等级,即5★、4★、3★、2★和0★:①5★等为重点优势学科的单位,即排在最前面的5%的培养单位;②4★等为优势学科的单位,占单位总数的15%,即排在5%~20%的单位;③3★等为良好学科的单位,占单位总数的30%,即排在20%~50%的单位;④2★等为一般学科的单位,占单位总数的30%,即排在50%~80%的单位;⑤0★等为较差学科的单位,占单位总数的20%,即排在80%~100%的单位。
考研志愿推荐表排名学校名称地区等级8 武汉大学湖北4★23 华中师范大学湖北3★40 华中科技大学湖北3★53 湖北大学湖北2★87 三峡大学湖北0★参考表1、中国高校研究生教育竞争力排行榜排名学校名称总分办学资源科研与产出质量与影响省市序类型序6 武汉大学88.027 6 9 湖北 1 综合 49 华中科技大学84.126 20 8 湖北 2 理工 338 华中师范大学65.3142 45 38 湖北 4 师范 312 8 湖北大学48.16126 147 128 湖北8 综合3824 5 三峡大学38.47157 197 245 湖北12 综合51参考表2、中国研究生教育分门类竞争力排行榜(文学)排名学校名称等级6 武汉大学5★16 华中师范大学4★46 华中科技大学4★91 武汉理工大学3★93 湖北大学3★108 中南民族大学3★122 中国地质大学3★137 湖北美术学院3★150 湖北师范学院3★169 三峡大学2★186 武汉音乐学院2★193 湖北工业大学2★199 中南财经政法大学2★204 武汉体育学院2★243 湖北民族学院2★253 武汉科技大学2★264 武汉纺织大学0★272 长江大学0★277 华中农业大学0★参考表3、中国研究生教育分学科竞争力排行榜(中国语言文学)排名学校名称等级14 华中师范大学4★16 武汉大学4★54 华中科技大学3★56 湖北大学3★88 中南民族大学2★99 湖北师范学院2★120 三峡大学2★137 湖北民族学院0★050106中国现代文学一、学科概况中国现代文学发端于五四新文化运动,它的发生和发展与近、现代中华民族的历史命运休戚相关。
中国现代文学精品课程资料一、华中师范大学:1、课程该矿2、教师风采3、课程建设4、多媒体教材5、多媒体课件6、教学实录7、学术研究8、学生成果9、教学对话10、教学资讯二、延大1、课程首页2、教师简介3、课程简介4、课程体系5、教学视频6、阅读书目7、复习思考8、师生互动一、教师简介何满仓,男,汉族,1955年生,陕西省洛川人,中共党员,延安大学文学院副教授,现当代文学教研室主任,中国现当代文学硕士生导师。
长期从事中国现代文学教学与研究,讲授中国现代文学、中国现当代文学通史、中国现代经典作家作品研究、中国现代小说研究、名作欣赏、鲁迅研究等硕士研究生以及本科课程的教学工作,延安大学文学院最受学生欢迎的教师之一。
曾获“教学质量优秀奖”、“教学改革成果奖”。
先后承担“鲁迅与延安文艺运动研究”、“党中央在延安13年文艺史料研究”、“中国现代文学精品课程建设”、“中国现代文学教学改革”等科研与教改项目。
主编“学生版经典赏析”《丁玲小说》、参编教材《中国新文学六十年》等。
近年来,在《学术界》、《甘肃社会科学》、《电影文学》、《时代文学》、《重庆师范大学学报》、《齐齐哈尔大学学报》、《延安大学学报》等刊物发表学术论文 30 余篇,现主要从事“延安文艺”和“现代著名作家”研究。
主要学术成果:1、延安文艺:民族文化与外来文化的杂交融合《学术界》2006、62、《论中国现代女性文学的演进与流变》《甘肃社会科学》2004、33、郁达夫小说创作非理性倾向成因及当代启示《重庆师范大学学报》2005、64、论现代散文演进中创型与繁荣《社会科学论坛》2005、115、中国现代女性文学中的女性书写《西北民族大学学报》2006、56、冷静审视女性本体-----论张爱玲小说对女性自身的体认《电影文学》 2007、57、论中国新文学建构的正确路向《时代文学》 2006、18、郁达夫与游记散文《电影文学》2008、29、幽默与讽刺:中国现代喜剧发展的两条路径及特点《时代文学》2005、510、非理性倾向铸就的文本特征《齐齐哈尔大学学报》 2005、511、非正面的社会关心——论林语堂后期的小品散文《西华大学学报》 2006、4期12、论中国现代诗歌的艺术流变与形式体制建构《河西学院学报》2006、413、对中国新文学政治化的反思《太原师范学院学报》 2005年第4期14、现代文化思潮投射下的文学母题《宝鸡文理学院学报》2005、615、主编:学生版•名家精品阅读之旅••丁玲小说吉林文史出版社 2006版王俊虎(1974—)男,陕西大荔人,1997年毕业于延安大学中文系,获文学学士学位;2003年毕业于陕西师范大学文学院,获文学硕士学位;2008年毕业于兰州大学文学院,获文学博士学位。
华中师范大学文学院考研专业介绍:中国现当代文学[摘要]为帮助各位报考华中师范大学文学类相关专业的同学们更好地展开复习备考,凯程考研辅导老师为大家梳理了华中师范大学文学院备考手册,帮助大家全面地了解相关情况。
华中师范大学中国现当代文学是全国最早开展中国现当代文学教学和研究的学科点之一,也是恢复研究生学位教育后全国首批招收培养现当代硕士研究生(1978年)、继而较早获得博士学位授予权(1993年)的学位点之一。
现为华中师范大学和湖北省重点学科、湖北省高校优势与特色领域学科。
有教学科研人员25人,其中教授13人(含博士导师5人)、副教授9人、具有博士学位者9人。
主要学术带头人为黄曼君、王庆生、周晓明、王又平,主要学术骨干有张永健、沈振煜、许祖华、张卫中、童秉国、吴建波、张岩泉等。
半个世纪来,华中师大中国现当代文学学科在作家作品研究、流派史研究、以及文体分类和交叉综合研究等方面都取得了显著成果。
近10年来,该学科先后承担、完成省部级以上科研项目50余项,出版专著、教材100余部,发表学术论文1000余篇。
其中,有40余项成果获得省部级以上奖励,有5部教材被教育部确定为全国中文学科教材或重点教材。
同时,该学科经教育部批准,于1997年承办了国内首届中国现代文学高级研讨班,并举办大型国内学术研讨会和全国性学术年会10次以上。
与省内相同或相近学科比较,该学科尤以在现代文学和当代文学两个主要研究领域的均衡发展为特色,形成了在“现代中国文学”的新框架中实现多学科联合研究的优势。
近10年来,该学科联合学院内外相关学科和学术力量,致力于“现代中国文学”这一新的学科观念和学科框架的建构,现已初步形成了现代中国文学研究新的、比较完整的学科体系,并在以下四个主要研究方向上形成了自己的特色和优势。
1、现代中国文学历史进程与总体发展研究。
主要代表性成果有黄曼君《论沙汀的创作道路》、《现代化视野中的中国20世纪文学系列研究》(湖北省第二届社会科学优秀成果一等奖),王庆生主编《中国当代文学》、《当代文学作品选》(教育部重点推荐教材和全国获奖教材),张永健《艾青的艺术世界》(湖北省第二届社会科学优秀成果三等奖),周晓明、王又平主编《现代中国文学·网络教程》(教育部新世纪网络课程工程项目)。
四川外语学院Sichuan International Studies University硕士学位研究生培养计划Graduate Degree Programs四川外语学院研究生部Graduate School of SISU中国现当代文学(学科代码:050106)为了配合实施《中华人民共和国学位条例》,保证学位研究生质量,特制定中国现当代文学专业硕士研究生培养方案。
一、培养目标:1、培养德智体全面发展的人才。
要求学生有坚定正确的政治方向,热爱祖国,有理想,遵纪守法,有敬业精神,有职业道德,有团队合作精神,有健康的体魄和心智。
2、具有扎实的专业基础理论和系统的专业知识,了解本专业学术研究额现状和发展趋势;具有严谨、求实的学风和独立从事学科研究能力;能熟练应用本专业知识进行一定的科研工作;学位论文有新的见解,有一定的理论和现实意义。
二、中国现当代文学专业总体介绍中国现当代文学专业是汉语言文学专业的二级学科,本专业依托四川外语学院强大的外语优势,在全面学习中国现当代文学专业知识的同时,重点研究中国现当代文学发生与发展过程中外国文学的影响。
具体而言,本专业下设三个研究方向,即中国现当代文学与外国文学,中国现当代文学理论与批评,中国现当代翻译文学。
四、颁发学位:文学硕士五、学习年限:二年半――三年六、课程学习以及学分要求:总学分:30个学分其中:学位基础课:3门课6个学分专业必修程:4门课8个学分专业选修课:7门课14个学分社会实践与学术会议报告:提交4篇相关论文2个学分七、课程设置:八、主要课程简介九、培养方式:全日制教学,课堂教学与导师指导结合。
十、中期考核:考核采取口试、笔试等方式,从各方面考察学生所必需的基础理论、专业知识及其相关的基本技能和科研能力。
十一、学位论文要求1)申请6月答辩的时间安排:2) 申请12月答辩的时间安排:3) 字数:学位论文用专业工作语言撰写,其中,英、法、俄、德语在两万词左右,汉、日语在三万字左右;4)质量要求:学位论文选题应有一定的理论与实践意义。
华中师范大学1998年研究生入学考试考试科目:中外文学史一、填空(40分)1. 现存最早的《诗经》法是“毛传郑笺”,“郑”指的是_______________。
2.屈原的作品有《离骚》、《九歌》、《天问》、_______________《招魂》等。
3. “汉赋四大家”指的是司马相如、_______________班固、张衡。
4. 《古诗十九首》最早为_______________收录。
5. 西晋太康时期作家中的“二陆”是指陆机和_______________。
6.魏晋时期的文论著作有曹丕的《典论• 论文》、陆机的《文赋》和挚虞的_______________。
7. 沈宋的作品是我国诗歌中_______________诗成熟的标志。
8. 陈子昂在_______________中提出了诗歌革新主张。
9. 唐传奇《霍小玉传》的作者是_______________。
10. 宋周邦彦的词集名_______________。
11. 辛弃疾的词集名_______________。
12. 由四部杂剧组成的《四声猿》的作者是_______________13. 南戏《琵琶记》的作者是_______________。
14. 明代反对拟古主义、和公安派同时的有以钟惺、_______________为代表的竟陵派。
15. “桐城派”散文主要作家有方苞、____________姚鼐等。
16. 近代从理论和创作实践上给“诗界革命”开辟道路的是_____________。
17. 中国新文学的开端以1917年胡适发表_________和陈独秀发表____________作为标志。
18. 被鲁迅誉为“杰出的抒情诗人”是_______________。
19. 《手推车》的作者是___________。
20.《给亡妇》的作者是___________。
21.蒋纯祖出自___________的笔下。
22. 梅春是___________所著中篇小说___________中的人物。
华中师范大学文学院2014--2015学年第一学期各专业研究生课表星期一星期二星期三星期四星期五1,2节民间文艺学原理中国现当代文学思潮研究比较文学与世界文学方法论民间文学与通俗文学研究硕士综合英语现代汉语研究引论先秦汉魏文学研究四库全书总目提要研究3,4节现代作家的当代转型研究硕士综合英语影视文本细读马克思主义与社会科学方法论(8512)中国传统文化研究中午中国民间文学史7,8节研究生英语特色选修课国学典籍(8510)元曲与明清戏曲研究9,10节研究生英语特色选修课中特理论(8511)语言理论发展与流派(9-21)11,12节20世纪西方文学批评(8511)电影叙事理论民间文学前沿影视镜像话语分析13,14节华中师范大学文学院2014--2015学年第二学期各专业研究生课表星期一星期二星期三星期四星期五1,2节新时期小说批评的理论与方法非物质文化遗产研究古代汉语研究引论(8507)民间文学比较研究硕士综合英语性别研究专题中国现代文学社团流派研究民俗学原理3,4节美学专题研究语言调查(8413)中国古典文献学研究三国演义与中国传统文化西方马克思主义经典文本研读史记汉书研究中国古代散文专题研究思想改造运动与中国当代文学研究硕士综合英语中古古典文献学论著导读文学理论批评专题中国古代文献文论专题研究中午7,8节文史工具书与中国古典文献学传说学研究影视理论专题学术示范与学术论文写作(文学类8210)对外汉语教学概论马克思主义与社会科学方法论(8311)9,10节理论语言学中国当代文学专题研究影视剧作理论与实践20世纪世界文学史论11,12节叙事学唐代诗歌研究欧美经典作家作品研究民间文学前沿文心雕龙研究13,14节学术示范与学术论文写作(语言类8403)现代逻辑与语言研究。
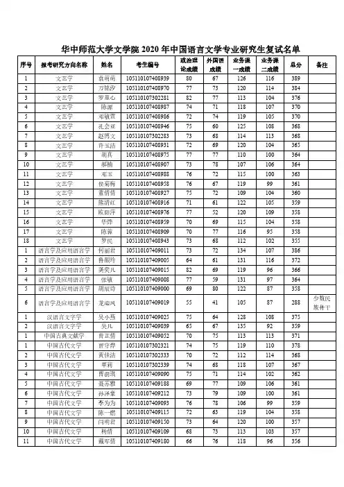
华中师范大学文学院2020年中国语言文学专业研究生复试名单序号报考研究方向名称姓名考生编号政治理论成绩外国语成绩业务课一成绩业务课二成绩总分备注1 文艺学袁萌萌105110107408939 80 67 126 116 3892 文艺学万铭汐105110107408970 77 73 120 114 3843 文艺学罗童心105110107302281 82 77 113 104 3764 文艺学陈源105110107408987 74 71 118 107 3705 文艺学邓敏萱105110107408986 72 74 119 105 3706 文艺学孔会亚105110107408946 75 60 125 108 3687 文艺学赵博文105110107302283 73 68 114 113 3688 文艺学许玉洁105110107408931 72 69 120 104 3659 文艺学胡真105110107408975 77 77 110 100 36410 文艺学郝楠105110107408907 73 78 107 106 36411 文艺学邓玉105110107408988 76 72 115 100 36312 文艺学侯菊梅105110107408958 76 67 119 99 36113 文艺学董倩倩105110107408927 75 72 109 104 36014 文艺学熊清红105110107408916 71 61 122 105 35915 文艺学欧阳萍105110107408976 77 52 120 109 35816 文艺学华烨105110107408959 70 69 115 104 35817 文艺学陈蓉105110107408909 70 77 116 95 35818 文艺学罗民105110107408943 73 68 112 102 3551 语言学及应用语言学何丽君105110107409011 73 72 134 107 3862 语言学及应用语言学鲁颜玲105110107409005 64 61 131 116 3723 语言学及应用语言学龚奕凡105110107409015 82 69 119 96 3664 语言学及应用语言学张敏105110107409008 77 59 131 97 3645 语言学及应用语言学胡辰诗105110107409000 69 80 122 87 3586 语言学及应用语言学龙迎凤105110107409019 55 41 105 87 288 少数民族骨干1 汉语言文字学吴小燕105110107409025 75 64 128 108 3752 汉语言文字学吴凡105110107409039 65 67 135 92 359 1 中国古典文献学曾芷倩105110107409052 70 75 113 113 3711 中国古代文学贾守烨105110107302321 74 75 119 110 3782 中国古代文学黄佳洁105110107302333 70 72 112 114 3683 中国古代文学覃莉105110107302339 74 68 118 107 3674 中国古代文学曹澍琪105110107409090 75 71 114 102 3625 中国古代文学聂苏雅105110107409188 69 77 109 106 3616 中国古代文学孙泽豪105110107409212 73 79 109 100 3617 中国古代文学李为为105110107409093 76 78 106 99 3598 中国古代文学陈一燃105110107409115 72 63 119 104 3589 中国古代文学闫明君105110107409150 73 64 120 100 35710 中国古代文学杨倩105110107409109 68 73 113 103 35711 中国古代文学戴军倩105110107409180 66 76 118 96 35612 中国古代文学蓝少敏105110107409062 67 66 105 95 333 少数民族骨干1 中国现当代文学艾宇佳105110107302352 82 69 121 116 3882 中国现当代文学王刘凌波105110107409407 73 74 117 120 384优秀夏令营营员3 中国现当代文学李涵105110107409310 64 74 126 113 3774 中国现当代文学王晓彤105110107409328 74 72 118 109 3735 中国现当代文学曾慧105110107302368 77 76 116 102 3716 中国现当代文学孟苛苛105110107409332 67 74 124 97 3627 中国现当代文学周功耀105110107409299 72 70 111 108 3618 中国现当代文学庄莲105110107409313 68 68 120 104 3609 中国现当代文学刘淑娇105110107409394 76 63 119 99 35710 中国现当代文学李佳欣105110107302353 71 77 106 103 35711 中国现当代文学曹潇潇105110107409298 73 66 116 100 35512 中国现当代文学金媛105110107409296 74 75 107 99 35513 中国现当代文学赵巧梅105110107409262 71 62 111 100 344 退役大学生士兵14 中国现当代文学岑晓婧105110107409396 74 50 121 106 351 少数民族骨干15 中国现当代文学杨戬帆105110107409387 76 54 103 103 336 少数民族骨干1 比较文学与世界文学侯卓灵105110107302385 76 75 120 112 3832 比较文学与世界文学黄绮105110107302377 74 75 127 106 3823 比较文学与世界文学杨彭倩105110107409488 77 75 117 108 3774 比较文学与世界文学张妍105110107409494 76 76 116 105 3735 比较文学与世界文学汪道霞105110107302378 71 65 110 120 3666 比较文学与世界文学王梦珺105110107409456 75 52 124 114 3657 比较文学与世界文学孙婧105110107409471 72 79 111 103 3658 比较文学与世界文学吴容梅105110107409505 74 75 110 104 3639 比较文学与世界文学徐颖105110107409491 72 85 102 102 36110 比较文学与世界文学邵宇欣105110107409442 72 65 116 106 3591 中国民间文学姜帅杰105110107409551 80 76 124 104 3842 中国民间文学成亚妮105110107409559 75 69 121 114 3793 中国民间文学李旭105110107409524 77 68 118 107 3704 中国民间文学张素素105110107409541 76 67 121 105 3695 中国民间文学张琴105110107409513 70 83 111 102 3666 中国民间文学何洁105110107409564 73 81 110 95 3597 中国民间文学刘文静105110107302396 74 61 119 102 356 1 对外汉语教学陈彤105110107409586 72 63 125 110 370华中师范大学文学院2020年汉语国际教育专业研究生复试名单序号姓名考生编号政治理论成绩外国语成绩业务课一成绩业务课二成绩总分1 胡姗姗105110107408843 77 77 125 125 4042 阎冬105110107408844 77 69 130 122 3983 王远远105110107408873 74 67 133 123 3974 叶佳红105110107408857 71 75 123 123 3925 丁曌105110107302255 64 71 128 126 3896 侯晓花105110107408861 75 76 113 118 3827 杨霞燕105110107408856 64 80 124 114 3828 董晴晴105110107408859 74 64 127 116 3819 廖广梅105110107408898 72 74 120 114 38010 罗诗瑶105110107408891 71 65 123 118 37711 郑琰105110107408875 77 63 125 111 37612 王柯105110107408890 78 62 122 112 37413 汪奕岑105110107302254 72 62 119 121 37414 杨逸舟105110107408896 67 82 111 114 37415 付悦105110107408874 76 63 117 114 37016 王冰清105110107408881 70 67 111 120 36817 胡文静105110107408852 73 70 119 102 36418 苏倩105110107408880 78 51 123 111 36319 李梓菁105110107408865 70 65 109 118 36220 杨文卿105110107408884 78 55 113 112 35821 代娥105110107302247 67 68 116 107 35822 周亚萍105110107408853 74 72 110 102 35823 王玉莹105110107408894 71 67 105 113 35624 王璟瑜105110107408862 64 74 106 112 35625 龙思雨105110107408871 67 59 115 113 35426 李朋105110107408885 75 68 102 109 35427 李雅姝105110107302249 69 77 96 111 35328 代陈银105110107408848 67 68 115 102 35229 姚淑鸽105110107302244 67 59 115 109 35030 唐雪105110107408855 73 49 118 109 34931 丁艺105110107408901 63 66 104 116 34932 邹杨105110107408887 71 66 101 109 347华中师范大学文学院2020年学科教学(语文)专业研究生复试名单序号姓名考生编号政治理论成绩外国语成绩业务课一成绩业务课二成绩总分1 李钰105110107408735 78 78 122 115 3932 代金稳105110107302204 81 74 126 111 3923 朱文静105110107408511 70 83 126 110 3894 欧逸芳105110107408738 77 78 124 108 3875 孙颖105110107408657 80 76 123 107 3866 刘越越105110107408548 75 75 129 105 3847 赵小雪105110107408623 74 68 121 115 3788 熊沐恩105110107302197 74 81 123 100 3789 伍思帆105110107408527 71 77 119 108 37510 魏彤彤105110107408621 84 82 106 102 37411 李嘉琪105110107408770 70 76 117 106 36912 曾菲菲105110107408570 74 78 115 102 36913 潘巧云105110107408736 75 77 119 96 36714 陈楚楚105110107302239 76 78 117 96 36715 陈德惠105110107408708 78 79 112 98 36716 方舟105110107302195 71 73 121 100 36517 袁莹莹105110107408585 77 74 116 98 36518 谭智雅105110107408783 71 75 118 101 36519 刘宇航105110107408569 72 77 118 98 36520 应允冷夕105110107302198 74 76 118 94 36221 蔡齐彤105110107302209 66 79 119 98 36222 张英盼105110107408777 74 80 111 97 36223 王璐105110107302208 71 70 117 103 36124 邓妮茹105110107408774 75 68 114 102 35925 王鑫105110107408505 72 78 111 98 35926 韩琴105110107408480 73 71 110 104 35827 付憧105110107408601 67 76 115 99 35728 周依霖105110107408739 70 57 119 110 35629 李雯霄105110107408559 81 63 114 98 35630 穆书雯105110107302221 76 57 115 105 35331 陶然105110107302224 70 68 118 97 35332 赵思惠105110107302213 73 73 110 97 35333 高云秋105110107408473 74 76 101 102 35334 刘漫105110107408752 78 64 112 98 35235 周橦鑫105110107408678 74 71 108 99 35236 李梦雨105110107408682 64 75 107 106 352。
华中师范大学文学院硕士研究生入学考试《710中国语言文学基础》科目考试大纲(科目代码:710)一、考试目的、性质和基本要求《中国语言文学基础》是我校文学院中国语言文学专业硕士生入学必考的专业基础课之一。
考试目的是要求考生掌握中国文学史、中国现当代文学史、外国文学史、现代汉语和古代汉语等方面的基本概念、基本理论和基本技能,能够运用有关基本知识分析和解决相关问题,并具备初步的研究与创新能力。
合格考生应当达到全国普通高等院校中国语言文学相关专业优秀本科毕业生的水平,具有较好的中国语言文学理论基础。
考生的复习范围和考试的命题范围以研究生院已经公布的关于本门课程考试的参考书目为据,考试将在“识记”、“理解”、“简单运用”和“综合运用”四个层面上对考生的知识体系和分析能力做出考察和评估。
二、考试形式和试卷结构(一)答卷方式:闭卷、笔试(二)答题时间:180分钟(三)题型比例名词解释约20%简答题约40%综合题约40%三、考查的主要内容《中国语言文学基础》主要涉及中国文学史、中国现当代文学史、外国文学史、现代汉语和古代汉语等方面内容。
(一)中国文学史1.文学本位、史学思维与多学科视角(1)文学本位:古代文学自身的特性;古代文学史研究的三层面:政治经济背景、创作主体、文学作品;文学鉴赏;文学传媒;(2)文学史与文学史学:古代史书对文学史的叙述;古代诗文评论著作对文学史的论述;20世纪初,系统完整的“中国文学史”著作的出现;(3)史学思维:了解古代文学传承流变的过程;寻绎文学发展史的规律;(4)文化学视角:了解结合哲学、考古学、社会学、宗教学、艺术学、心理学等综合研究古代文学史的研究成果。
2.古代文学的演进(1)文学演进的外部因素与内部因素:外部因素:社会政治、经济、文化、民族矛盾、地理环境;内部因素的复杂性;(2)古代文学发展的不平衡:文体发展的不平衡;朝代的不平衡;地域的不平衡;(3)各种文体的渗透与交融:诗与赋的渗透与交融;诗与词、曲的渗透与交融;赋与词的渗透与交融;诗与文的渗透与交融;史传与小说渗透与交融;(4)复古与革新:表面的复古与实质的革新;文与道的离合;文学与儒家思想;文学与佛道思想。
华中师范大学文学院考研专业介绍:中国现当代文学[摘要]为帮助各位报考华中师范大学文学类相关专业的同学们更好地展开复习备考,凯程考研辅导老师为大家梳理了华中师范大学文学院备考手册,帮助大家全面地了解相关情况。
华中师范大学中国现当代文学是全国最早开展中国现当代文学教学和研究的学科点之一,也是恢复研究生学位教育后全国首批招收培养现当代硕士研究生(1978年)、继而较早获得博士学位授予权(1993年)的学位点之一。
现为华中师范大学和湖北省重点学科、湖北省高校优势与特色领域学科。
有教学科研人员25人,其中教授13人(含博士导师5人)、副教授9人、具有博士学位者9人。
主要学术带头人为黄曼君、王庆生、周晓明、王又平,主要学术骨干有张永健、沈振煜、许祖华、张卫中、童秉国、吴建波、张岩泉等。
半个世纪来,华中师大中国现当代文学学科在作家作品研究、流派史研究、以及文体分类和交叉综合研究等方面都取得了显著成果。
近10年来,该学科先后承担、完成省部级以上科研项目50余项,出版专著、教材100余部,发表学术论文1000余篇。
其中,有40余项成果获得省部级以上奖励,有5部教材被教育部确定为全国中文学科教材或重点教材。
同时,该学科经教育部批准,于1997年承办了国内首届中国现代文学高级研讨班,并举办大型国内学术研讨会和全国性学术年会10次以上。
与省内相同或相近学科比较,该学科尤以在现代文学和当代文学两个主要研究领域的均衡发展为特色,形成了在“现代中国文学”的新框架中实现多学科联合研究的优势。
近10年来,该学科联合学院内外相关学科和学术力量,致力于“现代中国文学”这一新的学科观念和学科框架的建构,现已初步形成了现代中国文学研究新的、比较完整的学科体系,并在以下四个主要研究方向上形成了自己的特色和优势。
1、现代中国文学历史进程与总体发展研究。
主要代表性成果有黄曼君《论沙汀的创作道路》、《现代化视野中的中国20世纪文学系列研究》(湖北省第二届社会科学优秀成果一等奖),王庆生主编《中国当代文学》、《当代文学作品选》(教育部重点推荐教材和全国获奖教材),张永健《艾青的艺术世界》(湖北省第二届社会科学优秀成果三等奖),周晓明、王又平主编《现代中国文学·网络教程》(教育部新世纪网络课程工程项目)。
外国文学笔记及复习资料外国文学史笔记第一章古代文学西方古代文学包括:古希腊罗马文学和早期基督教文学。
(它们是氏族社会向奴隶制过渡时期的产物)。
古希腊罗马文学和早期基督教文学中分别体现出来的世俗与人本色彩和神圣与超越色彩共同构成西方文学(和文化)的两个源头。
恩格斯说:“没有希腊文化和罗马帝国的基础,也就没有现代的欧洲”。
第一节古代文学概述一古代希腊文学。
(欧洲文学的源头之一)(一)主要成就:神话、史诗和戏剧,此外还有寓言、抒情诗和文艺理论等(二)希腊神话的主要特征:1 鲜明的人本色彩,命运观念。
从诸神的恣情纵欲,到盗火者的狂热殉情;从阿喀琉斯多愤怒,到美狄亚的残忍复仇。
一切都是世俗,活生生的。
绝无宗教恐怖的压抑和彼岸天国的诱惑。
2 现实主义和浪漫主义并存。
古希腊文学的许多篇章从不同程度,不同侧面反映了当时社会。
为后人提供了第一手资料,也有相当一部分作品充满了神奇的想象、怪诞色彩、表现出浓厚的浪漫主义色彩。
3 种类繁多,且具有开创性。
除神话,史诗外还有悲剧,喜剧、寓言、故事、教谕诗、抒情诗、散文、小说等(三)古希腊文学的发展状况。
分为三个时期:第一时期(由氏族社会向奴隶社会过渡时期)史称“荷马时代”(英雄时代):主要成就:神话、史诗代表作家:赫西俄德代表作:(1)教谕诗《工作与时日》:现存最早一部以现实生活为题材的诗作。
(2)叙事诗《神谱》:最早一部比较系统地叙述宇宙起源和神的谱系的作品。
等二时期(奴隶制社会形成至全盛时期)史称“古典时期”:主要成就:抒情诗、散文、寓言、悲剧、喜剧、文艺理论,其中戏剧成就最大。
抒情诗中琴歌成就重大:萨福:柏拉图称她为“第十位文艺女神”。
独唱琴歌代表诗人阿那克瑞翁:创造“阿那克瑞翁体”。
合唱琴歌代表诗人:品达,代表作《胜利颂》寓言:《伊索寓言》(散文体):主要反映奴隶制社会劳动人民的思想感情,是劳动人民生活教训和斗争经验的总结(《农夫和蛇》《乌龟和兔子》等。
全盛时期欧洲文学史上著名的三大悲剧诗人:埃斯库罗斯、索福克勒斯、欧里庇得斯喜剧诗人:阿里斯托芬几次著名的战役后,出现了正式的历史著作。
考研这条路能走到底的人不多,今天和大家分享下我复习方法总结。
政治体上基本保证每天两小时的复习时间足以。
万事皆宜,贵在坚持,切忌“三天打鱼两天晒网。
”政治考试其实有着一个相对其他科目非常明显的框架,东一榔头西一棒槌,反而破坏了知识的内在联系,不利于理解和记忆。
我只跟李凡老师,下面是我总结的考研政治大概的复习规划:政治第一轮:准备阶段。
第一遍纯看李凡《政治新时器》一套里的知识点部分,一边浏览式阅读,一边看一边做记号,大概一天看40页(2个小时左右)。
这样10天左右看完第一遍。
看书之前要先看目录,对结构有了解,了解考研政治的重点模块。
政治第二轮:基础强化阶段。
7月初开始,继续看知识点,可以看完一章,做一章题,注意:做题答案不要直接写在本子上啊,方便日后再做,这个很重要,这个时候会慢一点,可以慢,很正常,这是开始消化吸收的阶段,这中间还要了解每章结构图,然后对着结构图回忆内容啊,梳理了结构啊之类。
政治第三轮:巩固阶段。
9月下旬吧,继续刷题,之前做错的题要标记,再看再做着重这些。
相信很多小伙伴当初刷题刷到怀疑人生。
前期已经做完习题集的同学可以将整理的错题集拿出来,再做一遍回顾回顾。
找出错题背后自己还未掌握的知识点,及时巩固。
如政治第四轮:考前冲刺阶段。
进入12月,要复习时事政治了,我这个大概看了3~5天,然后扔一边了,最后考前几天再看看就行了,不重要。
最重要背《政治新时器》里的大题。
我高中时的英语还能应付高考,成绩也还可以。
到了大学真的全部抛到一边了。
以为自己能凭借高中的那点知识应该能过个大学四级,那我真的低估我遗忘的能力了。
年年考,年年不过。
别人问我英语好不好,我也再没了底气说还可以了,只能说不好。
那很明显我的考研英语底子非常非常差了。
那只能慢慢捡回来。
每天就坐在自习室,背单词,单词用的《一本单词》,每天学习最基础的语法,学习长难句。
就这样的状态持续了好几个月,从三月到六月,单词终于背了有2遍。
背单词这件事可以说是贯穿了备考阶段的始终,从第一天开始一直到考试之前都不能丢下。
华中师范大学考研辅导班:华中师范大学文学院2021年考研参考书目专业:050100 中国语言文学【2017年为050101文艺学、050102语言学及应用语言学、050103汉语言文字学、05 0104中国古典文献学、050105中国古代文学、050106中国现当代文学、050108比较文学与世界文学、0501Z1中国民间文学、0501Z2对外汉语教学】初试考试科目:(1)101思想政治理论(2)201英语一(3)710汉语与文学基础(4)824语言与文学理论初试参考书目710汉语与文学基础:1、《现代汉语》(第二版)邢福义、汪国胜主编,华中师范大学出版社,2011年版2、《古代汉语》郭锡良主编,商务印书馆,1999年版3、《〈现代汉语〉学习辅导与习题集》,汪国胜、曾常年主编,中国人民大学出版社,2014年版4、《中国文学史》(四卷本,第二版比较通用,新出了第三版,哪个都可以)袁行霖主编,高等教育出版社5、《中国现代文学三十年》钱理群主编,北京大学出版社6、《中国当代文学史》(上下册)王庆生主编,华中师范大学出版社(橘色版)或者最新的高教版蓝色版7、《外国文学史》(4卷本)聂珍钊主编,华中师范大学出版社2010版或《外国文学史》(修订版上下册),郑克鲁主编,高等教育出版社2006年版(两本选其一)824语言与文学理论:1、《语言学概论》(第二版)邢福义、吴振国主编,华中师范大学出版社,2010年版2、《文学理论导引》王先霈、孙文宪主编,第二版,高等教育出版社3、《文学批评导引》王先霈、胡亚敏主编,第二版,高等教育出版社社(根据个人复习时间决定是否购买,历史上管科考过1-2次)4、《中国历代文论选》(一卷本)不用买四卷本的,郭绍虞主编专业:045103学科教学(语文)(专硕)初试考试科目:(1)101思想政治理论(2)204英语二(3)333教育综合(4)826语言文学综合考试初试参考书目333教育综合:《教育学》,王道俊编著,第7版《教育心理学》,陈琦、刘儒德主编《中国教育史》,孙培青编著,第3版《外国教育史教程》,吴式颖主编,人民教育出版社《全日制攻读教育硕士专业学位入学考试大纲及指南(教育综合科目)》全国教育硕士专业学位教育指导委员会组织编写,人民教育出版社翔高《教育综合真题汇编及模拟试卷可以后期检测用【选买】凯程《333 教育综合应试解析》较厚,含超纲内容,和大纲一样不适合直接背诵,答案不系统【选买】826语言文学综合考试《现代汉语》上下黄伯荣,高等教育出版社《现代汉语》(第二版)邢福义、汪国胜主编,华中师范大学出版社,2011年版【建议邢福义的也要看】【大纲规定教材语用章节为黄廖版没有内容】注:个人建议黄廖版、邢版都看,同样重要!《中国文学史》(四卷)袁行霖主编《中学语文课程与教学论》朱绍禹《新编语文课程与教学论》倪文锦《普通高中语文课文标准》中华人民共和国教育部制定 2017可作为教学设计的参考书目:高中语文教材、初中语文教材《〈现代汉语〉学习辅导与习题集》,汪国胜、曾常年主编,中国人民大学出版社,2014年版【选买】《现代汉语教学与自学参考》【内含黄廖版现代汉语课后习题答案,比网上答案靠谱、详细。
中国现当代文学专业(学科代码:050106)为了配合实施《中华人民共和国学位条例》,保证学位研究生的质量,特制订中国现当代文学专业硕士研究生培养方案。
一、培养目标:1、使研究生进一步学习马列主义、毛泽东思想、邓小平理论的基本原理和思想,并努力应用这些基本原理和思想方法来指导自己从事学术工作;2、培养研究生严谨的治学态度,能比较全面、系统地掌握本学科的相关知识,熟悉本学科的历史、当前发展和未来的趋势,具有独立从事本学科实际工作和科学研究的一般能力。
二、研究方向以及导师:序号研究方向主要研究内容导师1民国时期文学史20世纪前半期中国文学发展的过程,特点,规律,分期,主要文学思潮,论争,主要文学社团、流派,主要文学实绩等。
陈福康陈慧忠宋炳辉2新文学史料学传统史料学的继承,新文学史料学的框架,有关文学史料工具书的查检利用,有关版本、目录、考证的常识等。
陈福康3作家、流派研究重要作家如鲁迅、茅盾、郑振铎等人的专题研究,重要文学社团、流派如文学研究会、创造社、新月社及都市文学等综合研究。
陈福康陈慧忠宋炳辉4共和国时期文学20世纪后半期中国文学的发展和流变,文学论争,文革时期文学,新时期文学的特征及主要实绩和问题。
陈慧忠任生民宋炳辉三、颁发的学位:文学硕士四、学习年限:二年半五、课程学习以及学分的要求:总学分:32 学分其中:公共课:必须修2门课,10学分;学位课:必须修 5 门课,10 学分;基础课:必须修4门课,8学分;选修课:必须修2门课,4学分(包括公共选修课3门,4—6学分)。
六、课程设置:研究方向: 1、民国时期文学史学期课程学时第 一 学 期第 二 学 期第 三 学 期第 四、五 学 期考 核 方 法学 分授课老师马列主义理论课3636 4 第二外语363636 6 公 共 课民国时期文学史36 2 陈福康现代都市文学36 2 陈慧忠文学研究会研究36 2 陈福康新月派研究362 宋炳辉鲁迅等重要作家研究362 陈福康等 学 位 课新文学史料学36 2 陈福康共和国时期文学36 2 陈慧忠中外文学关系36 2 宋炳辉现代文论导读36 2 陈慧忠等 基 础 课选 修 课撰 写 论 文 并 答 辩研究方向: 2、新文学史料学学期课程学时第 一 学 期第 二 学 期第 三 学 期第 四、五 学 期考 核 方 法学 分授课老师马列主义理论课36364 第二外语363636 6 公 共 课新文学史料学36 2 陈福康民国时期文学史36 2 陈福康文学社团、流派研究362 陈福康等现代都市文学研究362 陈慧忠共和国时期“潜在写作”研究362 宋炳辉 学 位 课鲁迅等重要作家研究36 2 陈福康等共和国时期文学36 2 陈慧忠中外文学关系36 2 宋炳辉现代文论导读36 2 陈慧忠等 基 础 课选 修 课撰 写 论 文 并 答 辩研究方向: 3、作家、流派研究学期课程学时第 一 学 期第 二 学 期第 三 学 期第 四、五 学 期考 核 方 法学 分授课老师马列主义理论课36364 第二外语363636 6 公 共 课民国时期文学史36 2 陈福康共和国时期文学36 2 陈慧忠鲁迅等重要作家研究362 陈福康文学社团、流派研究362 陈福康等新月派研究362 宋炳辉 学 位 课中外文学关系36 2 宋炳辉新文学史料学36 2 陈福康共和国作家研究36 2 殷立玉现代文论导读36 2 陈慧忠等 基 础 课选 修 课撰 写 论 文 并 答 辩研究方向: 4、共和国时期文学研究学期课程学时第 一 学 期第 二 学 期第 三 学 期第 四、五 学 期考 核 方 法学 分授课老师马列主义理论课36364 第二外语363636 6 公 共 课共和国时期文学36 2 陈慧忠共和国时期作家研究36 2 殷立玉“文革”时期写作研究362 宋炳辉现代都市文学研究362 陈慧忠当代文学批评选讲362 宋炳辉等 学 位 课民国时期文学史36 2 陈福康中外文学关系36 2 宋炳辉新文学史料学36 2 陈福康现代文论导读36 2 陈慧忠等 基 础 课选 修 课撰 写 论 文 并 答 辩七、课程简介基础课:名称内容简介备注新文学史料学讲述文学史料学的基础知识,通过大量例证和个案分析,使学生学会鉴别、整理、查索、运用史料的基本方法和手段。
华中师范大学文学院考研专业介绍:比较文学与世界文学[摘要]为帮助各位报考华中师范大学文学类相关专业的同学们更好地展开复习备考,凯程考研辅导老师为大家梳理了华中师范大学文学院备考手册,帮助大家全面地了解相关情况。
华中师范大学比较文学与世界文学学科是文学院重要学科之一,本学科于1979年开始招收世界文学专业的硕士研究生,2001年开始招收博士研究生,现为文学院比较文学与世界文学硕士学位与博士学位授权二级学科。
比较文学与世界文学学科是在原世界文学学科的基础上,按照国家教委调整后的新的专业目录的要求,增添了比较文学而形成的新学科。
调整后的新学科既保留了过去学科的优势,也增加了新兴学科的特点,尤其是同外国语言文学学科的融合,从而使该学科更加适合20世纪以来外国文学发展的实际,更加适应未来外国文学研究的发展走向。
一、历史沿革我校比较文学与世界文学学科具有悠久的学术传统,产生过一批在我国外国文学研究界很有影响的专家学者,如从事欧美文学研究的薛诚之、周乐群、王忠祥等教授,从事日本文学研究的胡雪、彭端智等教授。
王忠祥教授是我国外国文学教学和研究方面的重要专家。
从50年代开始,师从穆木天先生的王忠祥教授就开始著书立说,逐渐形成了自己在国内外的学术影响。
王忠祥教授目前是本学科顾问,我校英美文学和比较文学研究所所长、《外国文学研究》名誉主编,曾任中国外国文学学会副会长、全国高校外国文学教研会常务理事、国家社科规划(“七五”、“八五”、“九五”)外国文学组成员。
王忠祥教授是我国著名易卜生研究、莎士比亚研究以及狄更斯研究专家,出版有《易卜生》、《易卜生文集》、《易卜生戏剧精品集》等多部专著,从教50年来,主编有《外国文学教程》(上、中、下三册)、《欧美文学史话》(主持编著,湖北教育出版社1986年,1986年获全国教育出版研究会主办的全国首届优秀教育图书一等奖)、《外国文学史》等多部教材。
目前正在根据时代精神需要组织重译重评外国古典文学名著,年逾古稀,但老骥伏枥,壮心不已,仍然在我国学术界发挥重要作用。
华中师范大学文学院考研专业介绍国现当代文学华中师范大学中国现当代文学是全国最早开展中国现当代文学教学和研究的学科点之一,也是恢复研究生学位教育后全国首批招收培养现当代硕士研究生(1978年)、继而较早获得博士学位授予权(1993年)的学位点之一。
现为华中师范大学和湖北省重点学科、湖北省高校优势与特色领域学科。
有教学科研人员25人,其中教授13人(含博士导师5人)、副教授9人、具有博士学位者9人。
主要学术带头人为黄曼君、王庆生、周晓明、王又平,主要学术骨干有张永健、沈振煜、许祖华、张卫中、童秉国、吴建波、张岩泉等。
半个世纪来,华中师大中国现当代文学学科在作家作品研究、流派史研究、以及文体分类和交叉综合研究等方面都取得了显著成果。
近10年来,该学科先后承担、完成省部级以上科研项目50余项,出版专著、教材100余部,发表学术论文1000余篇。
其中,有40余项成果获得省部级以上奖励,有5部教材被教育部确定为全国中文学科教材或重点教材。
同时,该学科经教育部批准,于1997年承办了国内首届中国现代文学高级研讨班,并举办大型国内学术研讨会和全国性学术年会10次以上。
与省内相同或相近学科比较,该学科尤以在现代文学和当代文学两个主要研究领域的均衡发展为特色,形成了在“现代中国文学”的新框架中实现多学科联合研究的优势。
近10年来,该学科联合学院内外相关学科和学术力量,致力于“现代中国文学”这一新的学科观念和学科框架的建构,现已初步形成了现代中国文学研究新的、比较完整的学科体系,并在以下四个主要研究方向上形成了自己的特色和优势。
1、现代中国文学历史进程与总体发展研究。
主要代表性成果有黄曼君《论沙汀的创作道路》、《现代化视野中的中国20世纪文学系列研究》(湖北省第二届社会科学优秀成果一等奖),王庆生主编《中国当代文学》、《当代文学作品选》(教育部重点推荐教材和全国获奖教材),张永健《艾青的艺术世界》(湖北省第二届社会科学优秀成果三等奖),周晓明、王又平主编《现代中国文学·网络教程》(教育部新世纪网络课程工程项目)。
2、现代中国文学理论批评史研究。
主要代表成果有黄曼君主编《中国近百年文学理论批评史》(教育部第二届全国高校人文社会科学研究优秀学术成果三等奖,教育部指定全国高校文科教材),许祖华《五四文学思想论》等。
3、现代中国文学社团流派及文体分类研究。
主要代表性成果有陈安湖主编《中国现代文学社团流派史》(湖北省第二届社会科学优秀成果荣誉奖)、周晓明《多源与多元:从中国留学族到新月派》、《中国现代电影文学史》(教育部首届全国高校人文社会科学研究优秀学术成果二等奖),吴建波《乱伦与周萍的性爱悲剧》(全国话剧论文奖)等。
4、现代中国文学文化发展趋向及交叉比较研究。
主要代表成果有王又平《新世纪文学转型中的小说创作潮流》,樊星《世纪末文化思潮史》(武汉市社会社科研究成果三等奖)、《当代文学与地域文化》(湖北省屈原文艺创作奖)等。
三、学科特色本学科经过数十年的学术积累,形成了以下几个方面的特色:(一)、文学史研究。
早在50—60年代,王忠祥教授就主持编写了供高校使用的教材《外国文学教程》,周乐群教授参加了杨周翰主编的《欧洲文学史》的撰写,彭端智教授担任了我国第一部东方文学史教材《东方文学简史》副主编。
改革开放以来,本学科专家主持编写了一系列在我国高校教学中发挥重要作用的三卷本《外国文学教程》(王忠祥等)、四卷本《外国文学史》(王忠祥、聂珍钊)、《外国文学史》(修订本,聂珍钊)、《20世纪西方文学》(聂珍钊等)教材。
(二)、作家作品研究。
我校比较文学与世界文学学科在外国作家作品研究方面取得了比较突出的成果,先后承担了国家社科基金项目《易卜生研究》、《哈代小说研究》、《屠格涅夫研究》、《高尔斯华绥研究》等。
王忠祥教授的《易卜生研究》率先在这一领域同国际接轨,是我国易卜生研究的学术成就代表。
聂珍钊教授的《哈代小说研究》、《英语诗歌形式研究》也在国内形成了自己的学术优势。
(三)、比较文学研究。
该学科的比较文学方向与比较文学在中国的复兴同步。
1978年,本学科的《外国文学研究》杂志率先登载比较文学论文;1985年开始在本科历届学生中开设比较文学概论课程;近年来形成了中外文学比较研究和中外文论比较研究的特色,出版了一些重要成果,如《叙事学》、《比较文学教程》、《现代诗学》、《现代诗的意象结构》等。
现开设的硕士生、博士生课程有:《比较文学的理论与实践》、《中英文学关系研究》、《叙事学研究》、《中西文艺思潮比较》、《文学中的政治》、《华裔美国文学研究》等。
(四)、文学伦理学批评。
本学科力图在学科建设方面形成自己的学术个性与研究特色,倡导优良学风,推动学术研究的发展。
近年来,聂珍钊教授带领学科致力于文学伦理学批评的研究,从方法论的角度展开对文学批评理论的新探索。
聂珍钊教授发表的《文学伦理学批评:文学批评方法新探索》、《作为方法论的文学伦理学批评》、《关于文学伦理学批评》等学术论文,奠定了该学科文学伦理学批评研究的基础。
(五)、《外国文学研究》杂志。
《外国文学研究》杂志是我国改革开放开放以来创办的第一份外国文学学科的学术杂志,也是我国大陆社会科学(SSCI)和艺术与人文学科目前唯一一份被AHCI(Art&HumanityCitationIndex)收录的杂志。
作为全世界最权威、最具有广泛认同度的期刊索引系统,AHCI在国际学术界得到了高度认同,其收录的期刊被认为是国际相关学科最具影响力的刊物。
《外国文学研究》被收录进AHCI,代表着中国艺术与人文学术领域开始获得国际承认,为中国的文学研究人员提供了一个与国际学术界平等对话、交流的平台。
《外国文学研究》杂志不仅成为华中师范大学比较文学与世界文学学科同国际接轨的桥梁,而且也是对我国外国文学学科国际化的有力推动。
在主编聂珍钊教授的带领下,该学科将进一步充分利用《外国文学研究》加强国内外的学术合作,促进自身的建设和发展。
(六)产生重要影响的学术会议。
2003年以来,本学科共主办全国与国际学术会议9次:2003年在山东青岛与青岛大学联合主办“跨文化视野中的外国文学研究”全国学术研讨会;2004年在江西南昌与江西师范大学联合主办“回顾与展望:中国的英美文学研究”全国学术研讨会;2004年,在湖北宜昌与三峡大学等联合主办“剑桥学术传统与批评方法”全国学术研讨会;2005年,在湖北武汉主办“第三届易卜生国际学术研讨会”;2005年,在湖北武汉主办“文学伦理学批评:文学研究方法新探讨”全国学术研讨会;2005年,在湖北武汉主办“十·五期间的英美文学”专题研讨会;2006年,在湖北武汉主办“湖北作家与外国文学”全国学术研讨会;在湖北武汉主办“易卜生诗歌研究”专题研讨会。
这些会议多数学者云集,规模较大,在学术界产生了重要的影响。
(七)多项国家社科基金项目、省部级奖项。
据不完全统计,本学科已经完成的国社科基金项目有王忠祥教授的“易卜生文学创作研究”、聂珍钊教授的“托玛斯·哈代小说研究”、“英美诗歌研究”和“文学伦理学批评导论”、苏晖教授的“黑色幽默与美国小说的幽默传统”、李俄宪教授的“日本左翼文学研究”等;在研国家社科基金项目有邹建军教授的“美国华人文学与中外文化”、罗良功教授的“兰斯顿休斯诗歌研究”、朱卫红教授的“理查生小说的伦理思想研究”等。
本学科获得省部级以上奖励的有聂珍钊的《悲戚而刚毅的艺术家:哈代小说研究》获全国首届高等学校人文社会科学研究优秀成果奖二等奖、《外国文学标准化考试》获得湖北省政府颁发的优秀教学成果二等奖、《论科学文化素质与外国文学教育》获湖北省社科联颁发的学习三个代表重要思想优秀论文二等奖;胡亚敏教授的《文化环境变迁与文艺学课程改革》获教育部“2001年普通高等学校优秀教学成果”二等奖(署名第一)、《文学批评原理》(副主编,文艺学系列教材之一)于2002年获教育部优秀教材一等奖等。
四、研究方向(一)、以英国文学为中心的欧洲文学研究。
在王忠祥、聂珍钊所开创的英国小说、诗歌和北欧戏剧研究的基础上,本学科将18—20世纪英国作家理查生小说(朱卫红教授)、康拉德小说(王松林教授,外聘)、乔伊斯小说(杨建教授)、德国的浪漫主义文学(刘渊副教授)、菲尔丁小说(杜娟副教授)等为几个重点,并争取在整体上向纵深拓展。
(二)以美国文学为中心的美洲文学研究。
以邹建军教授“美国华人文学与中外文化”、罗良功教授“兰斯顿·休斯诗歌研究”、苏晖教授“美国黑色幽默小说研究”三个国家社科基金项目的圆满完成为目标,加上“索尔·贝娄小说研究”(刘兮颖副教授),力争对美国诗歌、小说、族裔文学作比较深入与全面的研究。
(三)以日本文学为中心的东方文学研究。
以李俄宪教授的《日本左翼文学研究》等国家社科基金项目、杨建自选项目《东方文学学科的东方学渊源研究》等的完成为目标,进一步加强对日本文学及其他东方国家文学的研究,恢复我学科东方文学研究的活力。
(四)以综合研究为重心的比较文学研究。
在胡亚敏所奠定的比较文学理论研究的基础上,加强中外文学关系研究、建立比较文学学科建设的下潜模式与实用性研究,争取在三年内完成《比较文学原始文献导读》、《中英作家影响关系研究》等研究生比较文学教材与著作,为中国比较文学学科建设探索新的路向。
凯程教育:凯程考研成立于2005年,国内首家全日制集训机构考研,一直从事高端全日制辅导,由李海洋教授、张鑫教授、卢营教授、王洋教授、杨武金教授、张释然教授、索玉柱教授、方浩教授等一批高级考研教研队伍组成,为学员全程高质量授课、答疑、测试、督导、报考指导、方法指导、联系导师、复试等全方位的考研服务。
凯程考研的宗旨:让学习成为一种习惯;凯程考研的价值观口号:凯旋归来,前程万里;信念:让每个学员都有好最好的归宿;使命:完善全新的教育模式,做中国最专业的考研辅导机构;激情:永不言弃,乐观向上;敬业:以专业的态度做非凡的事业;服务:以学员的前途为已任,为学员提供高效、专业的服务,团队合作,为学员服务,为学员引路。
如何选择考研辅导班:在考研准备的过程中,会遇到不少困难,尤其对于跨专业考生的专业课来说,通过报辅导班来弥补自己复习的不足,可以大大提高复习效率,节省复习时间,大家可以通过以下几个方面来考察辅导班,或许能帮你找到适合你的辅导班。
师资力量:师资力量是考察辅导班的首要因素,考生可以针对辅导名师的辅导年限、辅导经验、历年辅导效果、学员评价等因素进行综合评价,询问往届学长然后选择。
判断师资力量关键在于综合实力,因为任何一门课程,都不是由一、两个教师包到底的,是一批教师配合的结果。
还要深入了解教师的学术背景、资料著述成就、辅导成就等。