(新)高中数学奇偶性练习题及答案
- 格式:doc
- 大小:166.31 KB
- 文档页数:4
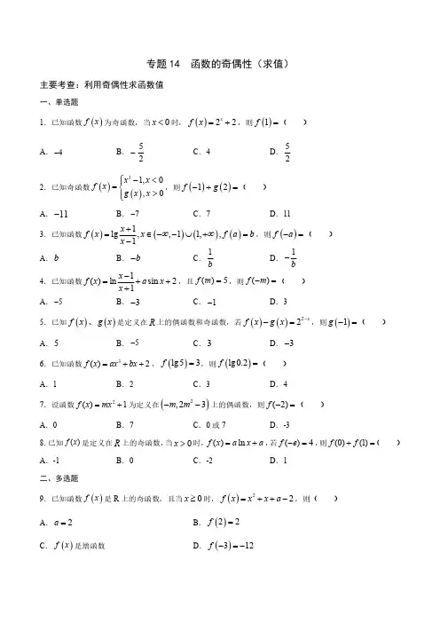
专题14函数的奇偶性(求值)主要考查:利用奇偶性求函数值一、单选题1.已知函数()f x 为奇函数,当0x <时,()22x f x =+,则()1f =()A .4-B .52-C .4D .522.已知奇函数()()31,0,0x x f x g x x ⎧-<⎪=⎨>⎪⎩,则()()12f g -+=()A .11-B .7-C .7D .113.已知函数()()()()1lg ,,11,,1x f x x f a b x ∞∞+=∈--⋃+=-,则()f a -=()A .bB .b -C .1bD .1b-4.已知函数1()ln sin 21x f x a x x -=+++,且()5f m =,则()f m -=()A .5-B .3-C .1-D .35.已知()f x 、()g x 是定义在R 上的偶函数和奇函数,若()()22x f x g x --=,则()1g -=()A .5B .5-C .3D .3-6.已知函数3()2f x ax bx =++,()lg53f =,则()lg 0.2f =()A .1B .2C .3D .47.设函数2()1f x mx =+为定义在()2,23m m --上的偶函数,则(2)f -=()A .0B .7C .0或7D .-38.已知()f x 是定义在R 上的奇函数,当0x >时,()ln f x a x a =+,若()4f e -=,则(0)(1)f f +=()A .-1B .0C .-2D .1二、多选题9.已知函数()f x 是R 上的奇函数,且当0x ≥时,()22f x x x a =++-,则()A .2a =B .()22f =C .()f x 是增函数D .()312f -=-10.对于函数()sin f x a x bx c =++(其中,,a b ∈R ,c Z ∈),选取a ,b ,c 的一组值计算()1f 和()1f -,所得出的正确结果可能是()A .4和6B .3和1C .2和4D .1和211.已知定义在R 上的奇函数()f x 满足(1)()f x f x +=-,且当(2,3)x ∈时,()25f x x =-,则下列结论正确的有()A .函数()f x 的周期为2B .函数()f x 在区间(1,0)-上单调递增C .(2.5)0f -=D .(2021.2)0.6f =-12.已知函数()f x 满足x R ∀∈,()()f x f x -=-,且当0x >时,22()f x x x =-,则()A .()00f =B .()11f -=C .()f x 在[单调递减D .(1,0)x ∃∈-,()2f x >三、填空题13.若函数()()22g x f x x =-是奇函数,且()12f =,则()1f -=______.14.已知函数22(1)sin ()1x x f x x ++=+,其中()f x '为函数()f x 的导数,则(2018)(2018)(2019)(2019)f f f f ''+-+--=_________15.设函数22(1)sin(2)()(2)1x x f x x -+-=-+的最大值为M ,最小值为m ,则M m +=_________.16.已知3311sin ,sin 288x x m y y m +=+=-,且,,,44x y m R ππ⎛⎫∈-∈ ⎪⎝⎭,则tan 23x y π⎛⎫++= ⎪⎝⎭_____四、解答题17.函数()f x 是定义在R 上的奇函数,当0x >时,2()1f x x x =-+.(1)计算()0f ,()1f -;(2)当0x <时,求()f x 的解析式.18.定义在R 上的函数()f x 既是偶函数又是周期函数,若()f x 的最小正周期是π,且当0,2x π⎡⎤∈⎢⎥⎣⎦时,()sin f x x =,求53f π⎛⎫ ⎪⎝⎭的值.19.已知奇函数()()()3x x a f x x-+=.()1求()3f -的值;()2求实数a 的值.20.已知()f x 是定义在R 上的偶函数,且0x ≤时,()12()log 1f x x =-.(1)求()0f ,()1f ;(2)求函数()f x 的解析式.21.设f (x )是定义在R 上的奇函数,且对任意实数x ,恒有f (x +2)=-f (x ).当x ∈[0,2]时,()22.f x x x =-(1)求证:f (x )是周期函数;(2)当x ∈[2,4]时,求f (x )的解析式;(3)计算()()()012)20(17f f f f +++⋯+.22.已知函数224,0(),0x x x f x x ax x ⎧--≤=⎨+>⎩,为奇函数.(1)求(2)f 和实数a 的值;(2)求方程()(2)f x f =的解.。
高中数学例题:判断函数的奇偶性例1. 判断下列函数的奇偶性:(1)()(f x x =+; (2)f(x)=x 2-4|x|+3 ;(3)f(x)=|x+3|-|x-3|; (4)()|2|-2f x x =+; (5)22-(0)()(0)x x x f x x x x ⎧+≥⎪=⎨+<⎪⎩; (6)1()[()-()]()2f x g x g x x R =-∈ 【思路点拨】利用函数奇偶性的定义进行判断.【答案】(1)非奇非偶函数;(2)偶函数;(3)奇函数;(4)奇函数;(5)奇函数;(6)奇函数.【解析】(1)∵f(x)的定义域为(]-1,1,不关于原点对称,因此f(x)为非奇非偶函数;(2)对任意x ∈R ,都有-x ∈R ,且f(-x)=x 2-4|x|+3=f(x),则f(x)=x 2-4|x|+3为偶函数 ;(3)∵x ∈R ,f(-x)=|-x+3|-|-x-3|=|x-3|-|x+3|=-f(x),∴f(x)为奇函数;(4)[)(]2-1x 11-x 0 x -1,00,1x 0x -4x+22≤≤⎧≥⎧∴∴∈⋃⎨⎨≠≠≠±⎩⎩且()(2)-2f x x x∴==+(-)-()f x f x ∴===,∴f(x)为奇函数; (5)∵x ∈R ,f(x)=-x|x|+x ∴f(-x)=-(-x)|-x|+(-x)=x|x|-x=-f(x),∴f(x)为奇函数;(6)11(-){(-)-[-(-)]}[(-)-()]-()22f xg x g x g x g x f x ===,∴f(x)为奇函数. 【总结升华】判定函数奇偶性容易失误是由于没有考虑到函数的定义域.函数的定义域关于原点对称是函数具有奇偶性的前提条件,因此研究函数的奇偶性必须“坚持定义域优先”的原则,即优先研究函数的定义域,否则就会做无用功.如在本例(5)中若不研究定义域,在去掉|2|x +的绝对值符号时就十分麻烦.举一反三:【变式1】判断下列函数的奇偶性: (1)23()3x f x x =+; (2)()|1||1|f x x x =++-; (3)222()1x x f x x +=+; (4)22x 2x 1(x 0)f (x)0(x 0)x 2x 1(x 0)⎧+-<⎪==⎨⎪-++>⎩. 【答案】(1)奇函数;(2)偶函数;(3)非奇非偶函数;(4)奇函数.【解析】(1)()f x 的定义域是R , 又223()3()()()33x x f x f x x x --==-=--++,()f x ∴是奇函数. (2)()f x 的定义域是R ,又()|1||1||1||1|()f x x x x x f x -=-++--=-++=,()f x ∴是偶函数.(3)22()()()11f x x x x x -=-+-+=-+()()()()f x f x f x f x ∴-≠--≠且,∴()f x 为非奇非偶函数.(4)任取x>0则-x<0,∴f(-x)=(-x)2+2(-x)-1=x2-2x-1=-(-x2+2x+1)=-f(x)任取x<0,则-x>0 f(-x)=-(-x)2+2(-x)+1=-x2-2x+1=-(x2+2x-1)=-f(x)x=0时,f(0)=-f(0) ∴x∈R时,f(-x)=-f(x) ∴f(x)为奇函数.【变式2】已知f(x),g(x)均为奇函数,且定义域相同,求证:f(x)+g(x)为奇函数,f(x)·g(x)为偶函数.证明:设F(x)=f(x)+g(x),G(x)=f(x)·g(x)则F(-x)=f(-x)+g(-x)=-f(x)-g(x)=-[f(x)+g(x)]=-F(x)G(-x)=f(-x)·g(-x)=-f(x)·[-g(x)]=f(x)·g(x)=G(x)∴f(x)+g(x)为奇函数,f(x)·g(x)为偶函数.【变式3】设函数()f x和g(x)分别是R上的偶函数和奇函数,则下列结论恒成立的是().A.()f x-|g(x)|是奇函数f x+|g(x)|是偶函数 B.()C.|()f x|- g(x)是奇函数f x| +g(x)是偶函数 D.|()【答案】A例2.已知函数(),∈,若对于任意实数,a b都有f x x Rf x的奇偶性.+=+,判断()()()(f a b f a f b【答案】奇函数【解析】因为对于任何实数,a b ,都有()()()f a b f a f b +=+,可以令,a b 为某些特殊值,得出()()f x f x -=-.设0,a =则()(0)()f b f f b =+,∴(0)0f =.又设,a x b x =-=,则(0)()()f f x f x =-+,()()f x f x ∴-=-,()f x ∴是奇函数.【总结升华】判断抽象函数的单调性,可用特殊值赋值法来求解.在这里,由于需要判断()f x -与()f x 之间的关系,因此需要先求出(0)f 的值才行.举一反三:【变式1】 已知函数(),f x x R ∈,若对于任意实数12,x x ,都有121212()()2()()f x x f x x f x f x ++-=⋅,判断函数()f x 的奇偶性. 【答案】偶函数【解析】令120,,x x x ==得()()2(0)()f x f x f f x +-=,令210,,x x x ==得()()2(0)()f x f x f f x +=由上两式得:()()()()f x f x f x f x +-=+,即()()f x f x -= ∴()f x 是偶函数.。
课时分层作业(十一) 奇偶性的概念(建议用时:60分钟)[合格根底练]一、选择题1.设f (x )是定义在R 上的奇函数,且当x ≤0时,f (x )=x 2-12x ,那么f (1)=( )A .-32B .-12C .32D .12A [因为f (x )是定义在R 上的奇函数,所以f (1)=-f (-1)=-32.]2.假设函数f (x )(f (x )≠0)为奇函数,那么必有( ) A .f (x )f (-x )>0 B .f (x )f (-x )<0 C .f (x )<f (-x ) D .f (x )>f (-x )B [∵f (x )为奇函数, ∴f (-x )=-f (x ), 又f (x )≠0,∴f (x )f (-x )=-[f (x )]2<0.] 3.函数f (x )=2x -1x的图象关于( )A .y 轴对称B .直线y =-x 对称C .直线y =x 对称D .坐标原点对称D [函数的定义域为(-∞,0)∪(0,+∞), 那么f (-x )=-2x +1x=-⎝ ⎛⎭⎪⎫2x -1x =-f (x ),那么函数f (x )是奇函数,那么函数f (x )=2x -1x的图象关于坐标原点对称.应选D.]4.以下函数为奇函数的是( ) A .y =-|x | B .y =2-x C .y =1x3D .y =-x 2+8C [A 、D 两项,函数均为偶函数,B 项中函数为非奇非偶,而C 项中函数为奇函数.] 5.以下说法中错误的个数为( ) ①图象关于坐标原点对称的函数是奇函数; ②图象关于y 轴对称的函数是偶函数;③奇函数的图象一定过坐标原点; ④偶函数的图象一定与y 轴相交. A .4 B .3 C .2D .1C [由奇函数、偶函数的性质,知①②说法正确;对于③,如f (x )=1x,x ∈(-∞,0)∪(0,+∞),它是奇函数,但它的图象不过原点,所以③说法错误;对于④,如f (x )=1x2,x ∈(-∞,0)∪(0,+∞),它是偶函数,但它的图象不与y 轴相交,所以④说法错误.应选C.]二、填空题6.f (x )=x 3+2x ,那么f (a )+f (-a )的值为________. 0 [∵f (-x )=-x 3-2x =-f (x ), ∴f (-x )+f (x )=0, ∴f (a )+f (-a )=0.]7.假设函数f (x )=(m -1)x 2+(m -2)x +(m 2-7m +12)为偶函数,那么m 的值是________. 2 [∵f (x )为偶函数,故m -2=0,∴m =2.]8.设f (x )是定义在R 上的奇函数,当x >0时,f (x )=x 2+1,那么f (-2)+f (0)=________. -5 [由题意知f (-2)=-f (2)=-(22+1)=-5,f (0)=0,∴f (-2)+f (0)=-5.] 三、解答题9.定义在[-3,-1]∪[1,3]上的函数f (x )是奇函数,其局部图象如下图.(1)请在坐标系中补全函数f (x )的图象; (2)比拟f (1)与f (3)的大小.[解] (1)由于f (x )是奇函数,那么其图象关于原点对称,其图象如下图.(2)观察图象,知f (3)<f (1). 10.函数f (x )=x +mx,且f (1)=3.(1)求m 的值;(2)判断函数f (x )的奇偶性.[解] (1)由题意知,f (1)=1+m =3, ∴m =2.(2)由(1)知,f (x )=x +2x,x ≠0.∵f (-x )=(-x )+2-x =-⎝ ⎛⎭⎪⎫x +2x =-f (x ), ∴函数f (x )为奇函数.[等级过关练]1.设函数f (x ),g (x )的定义域都为R ,且f (x )是奇函数,g (x )是偶函数,那么以下结论中正确的选项是( )A .f (x )g (x )是偶函数B .|f (x )|g (x )是奇函数C .f (x )|g (x )|是奇函数D .|f (x )g (x )|是奇函数C [∵f (x )是奇函数,g (x )是偶函数,∴|f (x )|为偶函数,|g (x )|为偶函数. 再根据两个奇函数的积是偶函数、两个偶函数的积还是偶函数、一个奇函数与一个偶函数的积是奇函数,可得f (x )|g (x )|为奇函数,应选C.]2.f (x )=x 5+ax 3+bx -8(a ,b 是常数),且f (-3)=5,那么f (3)=( ) A .21 B .-21 C .26D .-26B [设g (x )=x 5+ax 3+bx ,那么g (x )为奇函数,由题设可得f (-3)=g (-3)-8=5,求得gg (x )为奇函数,所以g (3)=-g (-3)=-13,于是f (3)=g (3)-8=-13-8=-21.]3.设函数f (x )=〔x +1〕〔x +a 〕x为奇函数,那么a =________.-1 [∵f (x )为奇函数,∴f (-x )=-f (x ), 即〔-x +1〕〔-x +a 〕-x =-〔x +1〕〔x +a 〕x.显然x ≠0,整理得x 2-(a +1)x +a =x 2+(a +1)x +a ,故a +1=0,得a =-1.] 4.设奇函数f (x )的定义域为[-6,6],当x ∈[0,6]时f (x )的图象如下图,不等式f (x )<0的解集用区间表示为________.[-6,-3)∪(0,3) [由f (x )在[0,6]上的图象知,满足f (x )<0的不等式的解集为(0,3).又f (x )为奇函数,图象关于原点对称,所以在[-6,0)上,不等式f (x )<0的解集为[-6,-3).综上可知,不等式f (x )<0的解集为[-6,-3)∪(0,3).]5.函数f (x )=ax 2+1bx +c 是奇函数,且f (1)=3,f (2)=5,求a ,b ,c 的值.[解] 因为函数f (x )=ax 2+1bx +c是奇函数,所以f (-x )=-f (x ),故a 〔-x 〕2+1b 〔-x 〕+c =-ax 2+1bx +c ,即ax 2+1-bx +c =-ax 2+1bx +c, 所以-bx +c =-(bx +c ),即c =-c ,解得c =0.所以f (x )=ax 2+1bx .而f (1)=a ×12+1b ×1=a +1b=3,所以a +1=3b .①由f (2)=5,即a ×22+1b ×2=4a +12b=5.②解①②组成的方程组,得⎩⎪⎨⎪⎧a =72,b =32.故⎩⎪⎨⎪⎧a =72,b =32,c =0.。
函数的单调性和奇偶性经典例题透析类型一、函数的单调性的证明1.证明函数上的单调性.证明:在(0,+∞)上任取x1、x2(x1≠x2),令△x=x2-x1>0则∵x1>0,x2>0,∴∴上式<0,∴△y=f(x2)-f(x1)<0∴上递减.总结升华:[1]证明函数单调性要求使用定义;[2]如何比较两个量的大小?(作差)[3]如何判断一个式子的符号?(对差适当变形)举一反三:【变式1】用定义证明函数上是减函数.思路点拨:本题考查对单调性定义的理解,在现阶段,定义是证明单调性的唯一途径.证明:设x1,x2是区间上的任意实数,且x1<x2,则∵0<x1<x2≤1 ∴x1-x2<0,0<x1x2<1∵0<x1x2<1故,即f(x1)-f(x2)>0∴x1<x2时有f(x1)>f(x2)上是减函数.总结升华:可以用同样的方法证明此函数在上是增函数;在今后的学习中经常会碰到这个函数,在此可以尝试利用函数的单调性大致给出函数的图象.类型二、求函数的单调区间2. 判断下列函数的单调区间;(1)y=x2-3|x|+2;(2)解:(1)由图象对称性,画出草图∴f(x)在上递减,在上递减,在上递增.(2)∴图象为∴f(x)在上递增.举一反三:【变式1】求下列函数的单调区间:(1)y=|x+1|;(2)(3).解:(1)画出函数图象,∴函数的减区间为,函数的增区间为(-1,+∞);(2)定义域为,其中u=2x-1为增函数,在(-∞,0)与(0,+∞)为减函数,则上为减函数;(3)定义域为(-∞,0)∪(0,+∞),单调增区间为:(-∞,0),单调减区间为(0,+∞).总结升华:[1]数形结合利用图象判断函数单调区间;[2]关于二次函数单调区间问题,单调性变化的点与对称轴相关.[3]复合函数的单调性分析:先求函数的定义域;再将复合函数分解为内、外层函数;利用已知函数的单调性解决.关注:内外层函数同向变化复合函数为增函数;内外层函数反向变化复合函数为减函数.类型三、单调性的应用(比较函数值的大小,求函数值域,求函数的最大值或最小值)3. 已知函数f(x)在(0,+∞)上是减函数,比较f(a2-a+1)与的大小.解:又f(x)在(0,+∞)上是减函数,则.4. 求下列函数值域:(1);1)x∈[5,10];2)x∈(-3,-2)∪(-2,1);(2)y=x2-2x+3;1)x∈[-1,1];2)x∈[-2,2].思路点拨:(1)可应用函数的单调性;(2)数形结合.解:(1)2个单位,再上移2个单位得到,如图1)f(x)在[5,10]上单增,;2);(2)画出草图1)y∈[f(1),f(-1)]即[2,6];2).举一反三:【变式1】已知函数.(1)判断函数f(x)的单调区间;(2)当x∈[1,3]时,求函数f(x)的值域.思路点拨:这个函数直接观察恐怕不容易看出它的单调区间,但对解析式稍作处理,即可得到我们相对熟悉的形式.,第二问即是利用单调性求函数值域.解:(1)上单调递增,在上单调递增;(2)故函数f(x)在[1,3]上单调递增∴x=1时f(x)有最小值,f(1)=-2x=3时f(x)有最大值∴x∈[1,3]时f(x)的值域为.5. 已知二次函数f(x)=x2-(a-1)x+5在区间上是增函数,求:(1)实数a的取值范围;(2)f(2)的取值范围.解:(1)∵对称轴是决定f(x)单调性的关键,联系图象可知只需;(2)∵f(2)=22-2(a-1)+5=-2a+11又∵a≤2,∴-2a≥-4∴f(2)=-2a+11≥-4+11=7.类型四、判断函数的奇偶性6. 判断下列函数的奇偶性:(1)(2)(3)f(x)=x2-4|x|+3 (4)f(x)=|x+3|-|x-3| (5)(6)(7)思路点拨:根据函数的奇偶性的定义进行判断.解:(1)∵f(x)的定义域为,不关于原点对称,因此f(x)为非奇非偶函数;(2)∵x-1≥0,∴f(x)定义域不关于原点对称,∴f(x)为非奇非偶函数;(3)对任意x∈R,都有-x∈R,且f(-x)=x2-4|x|+3=f(x),则f(x)=x2-4|x|+3为偶函数;(4)∵x∈R,f(-x)=|-x+3|-|-x-3|=|x-3|-|x+3|=-f(x),∴f(x)为奇函数;(5),∴f(x)为奇函数;(6)∵x∈R,f(x)=-x|x|+x ∴f(-x)=-(-x)|-x|+(-x)=x|x|-x=-f(x),∴f(x)为奇函数;(7),∴f(x)为奇函数.举一反三:【变式1】判断下列函数的奇偶性:(1);(2)f(x)=|x+1|-|x-1|;(3)f(x)=x2+x+1;(4).思路点拨:利用函数奇偶性的定义进行判断.解:(1);(2)f(-x)=|-x+1|-|-x-1|=-(|x+1|-|x-1|)=-f(x) ∴f(x)为奇函数;(3)f(-x)=(-x)2+(-x)+1=x2-x+1∴f(-x)≠-f(x)且f(-x)≠f(x) ∴f(x)为非奇非偶函数;(4)任取x>0则-x<0,∴f(-x)=(-x)2+2(-x)-1=x2-2x-1=-(-x2+2x+1)=-f(x)任取x<0,则-x>0 f(-x)=-(-x)2+2(-x)+1=-x2-2x+1=-(x2+2x-1)=-f(x)x=0时,f(0)=-f(0) ∴x∈R时,f(-x)=-f(x) ∴f(x)为奇函数.举一反三:【变式2】已知f(x),g(x)均为奇函数,且定义域相同,求证:f(x)+g(x)为奇函数,f(x)·g(x)为偶函数.证明:设F(x)=f(x)+g(x),G(x)=f(x)·g(x)则F(-x)=f(-x)+g(-x)=-f(x)-g(x)=-[f(x)+g(x)]=-F(x)G(-x)=f(-x)·g(-x)=-f(x)·[-g(x)]=f(x)·g(x)=G(x)∴f(x)+g(x)为奇函数,f(x)·g(x)为偶函数.类型五、函数奇偶性的应用(求值,求解析式,与单调性结合)7.已知f(x)=x5+ax3-bx-8,且f(-2)=10,求f(2).解:法一:∵f(-2)=(-2)5+(-2)3a-(-2)b-8=-32-8a+2b-8=-40-8a+2b=10∴8a-2b=-50 ∴f(2)=25+23a-2b-8=8a-2b+24=-50+24=-26法二:令g(x)=f(x)+8易证g(x)为奇函数∴g(-2)=-g(2) ∴f(-2)+8=-f(2)-8∴f(2)=-f(-2)-16=-10-16=-26.8. f(x)是定义在R上的奇函数,且当x<0时,f(x)=x2-x,求当x≥0时,f(x)的解析式,并画出函数图象.解:∵奇函数图象关于原点对称,∴x>0时,-y=(-x)2-(-x)即y=-x2-x又f(0)=0,,如图9. 设定义在[-3,3]上的偶函数f(x)在[0,3]上是单调递增,当f(a-1)<f(a)时,求a 的取值范围.解:∵f(a-1)<f(a) ∴f(|a-1|)<f(|a|)而|a-1|,|a|∈[0,3].类型六、综合问题10.定义在R上的奇函数f(x)为增函数,偶函数g(x)在区间的图象与f(x)的图象重合,设a>b>0,给出下列不等式,其中成立的是_________.①f(b)-f(-a)>g(a)-g(-b);②f(b)-f(-a)<g(a)-g(-b);③f(a)-f(-b)>g(b)-g(-a);④f(a)-f(-b)<g(b)-g(-a).答案:①③.11. 求下列函数的值域:(1)(2)(3)思路点拨:(1)中函数为二次函数开方,可先求出二次函数值域;(2)由单调性求值域,此题也可换元解决;(3)单调性无法确定,经换元后将之转化为熟悉二次函数情形,问题得到解决,需注意此时t范围.解:(1);(2)经观察知,,;(3)令.12. 已知函数f(x)=x2-2ax+a2-1.(1)若函数f(x)在区间[0,2]上是单调的,求实数a的取值范围;(2)当x∈[-1,1]时,求函数f(x)的最小值g(a),并画出最小值函数y=g(a)的图象.解:(1)∵f(x)=(x-a)2-1 ∴a≤0或a≥2(2)1°当a<-1时,如图1,g(a)=f(-1)=a2+2a2°当-1≤a≤1时,如图2,g(a)=f(a)=-13°当a>1时,如图3,g(a)=f(1)=a2-2a,如图13. 已知函数f(x)在定义域(0,+∞)上为增函数,f(2)=1,且定义域上任意x、y都满足f(xy)=f(x)+f(y),解不等式:f(x)+f(x-2)≤3.解:令x=2,y=2,∴f(2×2)=f(2)+f(2)=2 ∴f(4)=2再令x=4,y=2,∴f(4×2)=f(4)+f(2)=2+1=3 ∴f(8)=3∴f(x)+f(x-2)≤3可转化为:f[x(x-2)]≤f(8).14. 判断函数上的单调性,并证明.证明:任取0<x1<x2,∵0<x1<x2,∴x1-x2<0,x1·x2>0(1)当时0<x1·x2<1,∴x1·x2-1<0∴f(x1)-f(x2)>0即f(x1)>f(x2)上是减函数.(2)当x1,x2∈(1,+∞)时,上是增函数.难点:x1·x2-1的符号的确定,如何分段.15. 设a为实数,函数f(x)=x2+|x-a|+1,x∈R,试讨论f(x)的奇偶性,并求f(x)的最小值.解:当a=0时,f(x)=x2+|x|+1,此时函数为偶函数;当a≠0时,f(x)=x2+|x-a|+1,为非奇非偶函数.(1)当x≥a时,[1]且[2]上单调递增,上的最小值为f(a)=a2+1.(2)当x<a时,[1]上单调递减,上的最小值为f(a)=a2+1[2]上的最小值为综上:.学习成果测评基础达标一、选择题1.下面说法正确的选项( )A.函数的单调区间就是函数的定义域B.函数的多个单调增区间的并集也是其单调增区间C.具有奇偶性的函数的定义域定关于原点对称D.关于原点对称的图象一定是奇函数的图象2.在区间上为增函数的是( )A.B.C.D.3.已知函数为偶函数,则的值是( )A. B. C. D.4.若偶函数在上是增函数,则下列关系式中成立的是( )A.B.C.D.5.如果奇函数在区间上是增函数且最大值为,那么在区间上是( )A.增函数且最小值是B.增函数且最大值是C.减函数且最大值是D.减函数且最小值是6.设是定义在上的一个函数,则函数,在上一定是( )A.奇函数B.偶函数C.既是奇函数又是偶函数D.非奇非偶函数.7.下列函数中,在区间上是增函数的是( )A.B.C.D.8.函数f(x)是定义在[-6,6]上的偶函数,且在[-6,0]上是减函数,则( )A. f(3)+f(4)>0B. f(-3)-f(2)<0C. f(-2)+f(-5)<0D. f(4)-f(-1)>0二、填空题1.设奇函数的定义域为,若当时,的图象如右图,则不等式的解是____________.2.函数的值域是____________.3.已知,则函数的值域是____________.4.若函数是偶函数,则的递减区间是____________.5.函数在R上为奇函数,且,则当,____________.三、解答题1.判断一次函数反比例函数,二次函数的单调性.2.已知函数的定义域为,且同时满足下列条件:(1)是奇函数;(2)在定义域上单调递减;(3)求的取值范围.3.利用函数的单调性求函数的值域;4.已知函数.①当时,求函数的最大值和最小值;②求实数的取值范围,使在区间上是单调函数.能力提升一、选择题1.下列判断正确的是( )A.函数是奇函数B.函数是偶函数C.函数是非奇非偶函数D.函数既是奇函数又是偶函数2.若函数在上是单调函数,则的取值范围是( )A.B.C.D.3.函数的值域为( )A.B.C.D.4.已知函数在区间上是减函数,则实数的取值范围是( )A.B.C.D.5.下列四个命题:(1)函数在时是增函数,也是增函数,所以是增函数;(2)若函数与轴没有交点,则且;(3)的递增区间为;(4) 和表示相等函数.其中正确命题的个数是( )A.B.C.D.6.定义在R上的偶函数,满足,且在区间上为递增,则( )A.B.C.D.二、填空题1.函数的单调递减区间是____________________.2.已知定义在上的奇函数,当时,,那么时,______.3.若函数在上是奇函数,则的解析式为________.4.奇函数在区间上是增函数,在区间上的最大值为8,最小值为-1,则__________.5.若函数在上是减函数,则的取值范围为__________.三、解答题1.判断下列函数的奇偶性(1)(2)2.已知函数的定义域为,且对任意,都有,且当时,恒成立,证明:(1)函数是上的减函数;(2)函数是奇函数.3.设函数与的定义域是且,是偶函数,是奇函数,且,求和的解析式.4.设为实数,函数,.(1)讨论的奇偶性;(2)求的最小值.综合探究1.已知函数,,则的奇偶性依次为( )A.偶函数,奇函数B.奇函数,偶函数C.偶函数,偶函数D.奇函数,奇函数2.若是偶函数,其定义域为,且在上是减函数,则的大小关系是( )A.>B.<C.D.3.已知,那么=_____.4.若在区间上是增函数,则的取值范围是________.5.已知函数的定义域是,且满足,,如果对于,都有,(1)求;(2)解不等式.6.当时,求函数的最小值.7.已知在区间内有一最大值,求的值.8.已知函数的最大值不大于,又当,求的值.答案与解析基础达标一、选择题1.C.2.B.3.B. 奇次项系数为4.D.5.A. 奇函数关于原点对称,左右两边有相同的单调性6.A.7.A. 在上递减,在上递减,在上递减8.D.二、填空题1.. 奇函数关于原点对称,补足左边的图象2.. 是的增函数,当时,3.. 该函数为增函数,自变量最小时,函数值最小;自变量最大时,函数值最大4..5..三、解答题1.解:当,在是增函数,当,在是减函数;当,在是减函数,当,在是增函数;当,在是减函数,在是增函数,当,在是增函数,在是减函数.2.解:,则,3.解:,显然是的增函数,,4.解:对称轴∴(2)对称轴当或时,在上单调∴或.能力提升一、选择题1.C. 选项A中的而有意义,非关于原点对称,选项B中的而有意义,非关于原点对称,选项D中的函数仅为偶函数;2.C. 对称轴,则,或,得,或3.B. ,是的减函数,当4.A. 对称轴5.A. (1)反例;(2)不一定,开口向下也可;(3)画出图象可知,递增区间有和;(4)对应法则不同6.A.二、填空题1.. 画出图象2. . 设,则,,∵∴,3. .∵∴即4. . 在区间上也为递增函数,即5. . .三、解答题1.解:(1)定义域为,则,∵∴为奇函数.(2)∵且∴既是奇函数又是偶函数.2.证明:(1)设,则,而∴∴函数是上的减函数;(2)由得即,而∴,即函数是奇函数.3.解:∵是偶函数,是奇函数,∴,且而,得,即,∴,.4.解:(1)当时,为偶函数,当时,为非奇非偶函数;(2)当时,当时,,当时,不存在;当时,当时,,当时,.综合探究1.D. ,画出的图象可观察到它关于原点对称或当时,,则当时,,则2.C. ,3.. ,4.. 设则,而,则5.解:(1)令,则(2),则.6.解:对称轴当,即时,是的递增区间,;当,即时,是的递减区间,;当,即时,.7.解:对称轴,当即时,是的递减区间,则,得或,而,即;当即时,是的递增区间,则,得或,而,即不存在;当即时,则,即;∴或. 8.解:,对称轴,当时,是的递减区间,而,即与矛盾,即不存在;当时,对称轴,而,且即,而,即∴.。
【巩固练习】1.函数2()||f x x x =+的图象( )A .关于原点对称B .关于y 轴对称C .关于x 轴对称D .不具有对称轴2.已知函数)127()2()1()(22+-+-+-=m m x m x m x f 为偶函数,则m 的值是( )A. 1B. 2C. 3D. 43.设函数3()1f x ax bx =+-,且(1)3,f -=则(1)f 等于( )A.-3B.3C.-5D. 54.如果奇函数)(x f 在区间[3,7] 上是增函数且最大值为5,那么)(x f 在区间[]3,7--上是( )A .增函数且最小值是5-B .增函数且最大值是5-C .减函数且最大值是5-D .减函数且最小值是5-5.已知)(x f 是定义在R 上的偶函数,在]0,(-∞上是减函数,且0)3(=f ,则使0)(<x f 的x 的范围是A .)3,(-∞B .),3(+∞C .),3()3,(+∞-∞D .)3,3(-6.(2016 天津静安区二模)若函数2()()x F x f x =+为奇函数,且g (x )=f (x )+2,若f (1)=1,则g (-1)的值为( )A .-1B .-3C .2D .-27.若)(x f 是偶函数,其定义域为()+∞∞-,,且在[)+∞,0上是减函数,则)252()23(2++-a a f f 与的大小关系是( )A .)23(-f >)252(2++a a fB .)23(-f <)252(2++a a fC .)23(-f ≥)252(2++a a fD .)23(-f ≤)252(2++a a f 8.若定义在R 上的函数()f x 满足:对任意12,x x R ∈有1212()()()f x x f x f x +=++1,则下列说法一定正确的是( ).A .()f x 为奇函数B . ()f x 为偶函数C .()1f x +为奇函数D .()1f x +为偶函数9.已知函数)(x f 为奇函数,且当x >0时,xx x f 1)(2+=,则)1(-f 的值为 ( ) A .2 B .﹣2 C .0 D .110.(2016 浙江绍兴一模)已知函数222,0()2,0x x x f x ax x x ⎧-≥⎪=⎨-<⎪⎩是奇函数,则a =____,f (f (1))=____. 11.奇函数()f x 在区间[3,7]上是增函数,在区间[3,6]上的最大值为8,最小值为-1,则2(6)(3)f f -+-= .12.已知函数2()3f x ax bx a b =+++为偶函数,其定义域为[]1,2a a -,则()f x 的值域 . 13.判断下列函数的奇偶性,并加以证明.(1)()f x = (2) 2,1,1(),1122,1x x f x x x x +<-⎧⎪⎪=-≤≤⎨⎪-+>⎪⎩14.已知奇函数()f x 在(-1,1)上是减函数,求满足2(1)(1)0f m f m -+-<的实数m 的取值范围.15.已知()f x 是定义在R 上的不恒为零的函数,且对任意的,a b R ∈都满足()()()f a b af b bf a ⋅=+.(1)求(0),(1)f f 的值;(2)判断()f x 的奇偶性,并证明你的结论.16.(2016 江苏扬州一模)定义在[-1,1]上的函数y =f (x )是增函数且是奇函数,若f (-a +1)+f (4a -5)>0.求实数a 的取值范围.17.函数f (x )对于任意的实数x ,y 都有f (x+y )=f (x )+f (y )成立,且当x >0时f (x )<0恒成立.(1)证明函数f (x )的奇偶性;(2)若f (1)= -2,求函数f (x )在[-2,2]上的最大值;(3)解关于x 的不等式211(2)()(4)(2) 22f x f x f x f -->-- 【答案与解析】1. 【答案】B.【解析】因为22()()||||()f x x x x x f x -=-+-=+=,所以()f x 是偶函数,其图象关于y 轴对称.2. 【答案】B.【解析】 奇次项系数为0,20,2m m -==3. 【答案】C.【解析】因为3()1f x ax bx +=+是奇函数,所以3()1f x ax bx -+=--,所以(1)1((1)1)f f -+=--+(1)1(1)1,31(1)1,(1)5f f f f ∴-+=--∴+=--∴=-.4. 【答案】A.【解析】 奇函数关于原点对称,左右两边有相同的单调性5. 【答案】A.【解析】 ()()()()F x f x f x F x -=--=-6.【答案】A【解析】∵函数2()()x F x f x =+为奇函数,∴F (-X )=-F (x ).由f (1)=1,则F (1)=2,∴F (-1)=-2,即f (-1)+1=-2,∴f (-1)=-3,∴g (-1)=f (-1)+2=-1故选A .7. 【答案】C.【解析】 225332(1)222a a a ++=++≥,2335()()(2)222f f f a a -=≥++ 8. 【答案】C.【解析】解法一:(特殊函数法)由条件1212()()()1f x x f x f x +=++可取()1f x x =-,所以()1f x x +=是奇函数.解法二:令120x x ==,则(0)(0)(0)1f f f =++,∴(0)1f =-令12,x x x x ==-,则(0)()()1f f x f x =+-+,[][]()1()10f x f x ∴++-+=,()1f x ∴+为奇函数,故选C.9. 【答案】21x x --+【解析】 设0x <,则0x ->,2()1f x x x -=+-,∵()()f x f x -=-∴2()1f x x x -=+-,2()1f x x x =--+10.【答案】-1,1【解析】若函数f (x )是奇函数,则f (-1)=-f (1),即a +2=-(1-2)=1,则a =-1,则f (1)=1-2=-1,f (-1)=a +2=-1+2=1,故答案为:-1,111. 【答案】15-【解析】 ()f x 在区间[3,6]上也为递增函数,即(6)8,(3)1f f ==-2(6)(3)2(6)(3)15f f f f -+-=--=-12.【答案】311,27⎡⎤⎢⎥⎣⎦【解析】因为函数2()3f x ax bx a b =+++为[]1,2a a -上的偶函数,所以120,0,a a b -+=⎧⎨=⎩即1,30.a b ⎧=⎪⎨⎪=⎩即21()13f x x =+,所以21()13f x x =+在22,33⎡⎤-⎢⎥⎣⎦上的值域为311,27⎡⎤⎢⎥⎣⎦. 13.【解析】(1)定义域为[]1,1-,()()g x g x -=-=-,所以()g x 是奇函数.(2)函数的定义域为R ,当1x <-时,()2f x x =+,此时1x ->,()()22()f x x x f x -=--+=+=. 当1x >时,()2f x x =-+,此时1x -<-,()2()f x x f x -=-+=.当11x -≤≤时,1()()2f x f x ==-. 综上可知对任意x R ∈都有()()f x f x -=,所以()f x 为偶函数.14.【解析】由已知2(1)(1)f m f m -<--,由()f x 为奇函数,所以2(1)(1)f m f m -<-, 又()f x 在()1,1-上是减函数,22111,111,1 1.m m m m -<-<⎧⎪∴-<-<⎨⎪->-⎩解得02,002 1.m m m m <<⎧⎪<<<⎨⎪-<<⎩或01m ∴<<15.【解析】(1)(0)(00)0(0)0(0)0;f f f f =⋅=+=(1)(11)1(1)1(1)2(1)f f f f f =⋅=⋅+⋅=,(1)0f ∴=.(2)[](1)(1)(1)(1)(1)(1)(1)2(1)0f f f f f =-⋅-=--+--=--=,(1)0f ∴-=.[]()(1)(1)()(1)f x f x f x xf ∴-=-⋅=-⋅+-=()0()f x f x -+=-故()f x 为奇函数.16.【答案】4332a <≤ 【解析】由f (-a +1)+f (4a -5)>0得f (4a -5)>-f (-a +1),∵定义在[-1,1]上的函数y =f (x )是增函数且是奇函数,∴不等式等价为f (4a -5)>f (a -1),则满足1451111451a a a a -≤-≤⎧⎪-≤-≤⎨⎪->-⎩,得2130243a a a ⎧≤≤⎪⎪≤≤⎨⎪⎪>⎩,即4332a <≤,即实数a 的取值范围是4332a <≤.17.【解析】(1)令x=y=0得f(0)=0,再令y=—x 即得f(-x)=-f(x )∴f(x )是奇函数(2)设任意12,x x R ∈,且12x x <,则210x x ->,由已知得21()0f x x -< (1) 又212121()()()()()f x x f x f x f x f x -=+-=- (2)由(1)(2)可知12()()f x f x >,由函数的单调性定义知f (x )在(-∞,+∞)上是减函数∴x ∈[-2,2]时,[]max ()(2)(2)(11)2(1)4f x f f f f =-=-=-+=-=,∴f (x )当x ∈[-2,2]时的最大值为4.(3)由已知得:[]2(2)(4)2()(2)f x f x f x f -->--由(1)知f(x )是奇函数,∴上式又可化为:[]2(24)2(2)(2)(2)(24)f x x f x f x f x f x -->+=+++=+ 由(2)知f(x )是R 上的减函数,∴上式即:22424x x x --<+化简得(2)(1)0x x ++>∴ 原不等式的解集为{|2x x <-或1}x >-。
§4 函数的奇偶性与简单的幂函数4.1 函数的奇偶性A 级必备知识基础练1.(多选题)下列函数是奇函数的有( )A.y=x(x -1)x -1B.y=-3xC.y=x-2xD.y=πx 3-35x 2.(2022安徽合肥高一期末)若奇函数f (x )在区间[-2,-1]上单调递减,则函数f (x )在区间[1,2]上( )A.单调递增,且有最小值f (1)B.单调递增,且有最大值f (1)C.单调递减,且有最小值f (2)D.单调递减,且有最大值f (2)3.若函数f (x )=(k-2)x 2+(k-1)x+3是偶函数,则f (x )的单调递减区间是. 4.定义在R 上的偶函数f (x ),对任意的x 1,x 2∈[0,+∞)(x 1≠x 2),有f(x 1)-f(x 2)x 1-x 2<0,则f (3),f (-2),f (1)的大小关系为 .5.若函数f (x )={2x 2+7x -4,x >0,g(x),x <0为奇函数,则f (g (-1))= . 6.已知函数f (x )=x 5+ax 3+bx-8,且f (-2)=10,则f (2)= .7.已知奇函数f (x )的定义域为[-5,5],且在区间[0,5]上的图象如图所示.(1)画出在区间[-5,0]上的图象;(2)写出使f (x )<0的x 的取值集合.8.已知f(x)为奇函数,且当x<0时,f(x)=x2+3x+2.若当x∈[1,3]时,f(x)的最大值为m,最小值为n,求m-n的值.9.已知函数f(x)的定义域为(-1,1),且满足下列条件:①f(x)为奇函数;②f(x)在定义域上是减函数;③f(1-a)+f(1-a2)<0.求实数a的取值范围.B级关键能力提升练10.(2021陕西西安长安一中高一月考)设函数f(x),g(x)的定义域为R,且f(x)是奇函数,g(x)是偶函数,则下列结论中正确的是()A.f(x)g(x)是偶函数B.|f(x)|g(x)是奇函数C.f(x)|g(x)|是奇函数D.|f(x)g(x)|是奇函数11.若函数f(x)和g(x)都是奇函数,且F(x)=af(x)+bg(x)+2在区间(0,+∞)上有最大值5,则F(x)在区间(-∞,0)上()A.有最小值-5B.有最大值-5C.有最小值-1D.有最大值-312.已知定义在R上的函数f(x)在区间(-∞,-2)上单调递减,若g(x)=f(x-2)是奇函数,且g(2)=0,则不等式xf(x)≤0的解集是()A.(-∞,-4]∪[-2,+∞)B.[-4,-2]∪[0,+∞)C.(-∞,-2]∪[2,+∞)D.(-∞,-4]∪[0,+∞)13.定义在区间(-8,a)上的奇函数f(x)在区间[2,7]上单调递增,在区间[3,6]上的最大值为a,最小值为-1,则2f(-6)+f(-3)= .14.如果f(x)是定义域为R的偶函数,且当x≥0时,f(x)=x2-4x,那么不等式f(x+2)<5的解集是.15.已知y=f(x)是偶函数,y=g(x)是奇函数,它们的定义域均为[-3,3],且它们在x∈[0,3]上的图象<0的解集是.如图所示,则不等式f(x)g(x)16.已知f(x)为定义在R上的偶函数,当x≤-1时,f(x)=x+b,且f(x)的图象经过点(-2,0),在y=f(x)的图象中有一部分是顶点为(0,2),过点(-1,1)的一段抛物线.(1)求出函数f(x)的解析式;(2)求出函数f(x)的值域.C级学科素养创新练17.(2021吉林高一月考)已知f(x)是定义在R上的偶函数,当x≥0时,f(x)=x2-2x.(1)求函数f(x)的单调递增区间;(2)求出函数f(x)在R上的解析式;(3)若函数g(x)=f(x)-2ax+2,x∈[1,2],求函数g(x)的最小值.4.1函数的奇偶性1.BCD先判断函数的定义域是否关于原点对称,再确定f(-x)与f(x)的关系.选项A中函数的定义域为(-∞,1)∪(1,+∞),不关于原点对称,所以排除A;选项B,D中函数定义域均为R,且f(-x)=-f(x),故为奇函数;选项C中函数定义域为(-∞,0)∪(0,+∞),且f(-x)=-f(x),也是奇函数.2.C因为奇函数的图象关于原点对称,所以函数f(x)在y轴两侧单调性相同.因为f(x)在区间[-2,-1]上单调递减,所以f(x)在区间[1,2]上单调递减,所以f(x)在区间[1,2]上有最大值f(1),最小值f(2),故选C.3.[0,+∞)因为函数f(x)是偶函数,所以k-1=0,即k=1,所以f(x)=-x2+3,其单调递减区间为[0,+∞).4.f(3)<f(-2)<f(1)由已知条件可知f(x)在区间[0,+∞)上单调递减,所以f(3)<f(2)<f(1).再由偶函数的性质得f(3)<f(-2)<f(1).5.-81当x<0时,-x>0.因为f(x)是奇函数,所以f(-x)=-f(x)=2(-x)2-7x-4=2x2-7x-4,所以f(x)=-2x2+7x+4.即g(x)=-2x2+7x+4,因此,f(g(-1))=f(-5)=-50-35+4=-81.6.-26令h(x)=x5+ax3+bx,易知h(x)为奇函数.因为f(x)=h(x)-8,h(x)=f(x)+8,所以h(-2)=f(-2)+8=18,所以h(2)=-h(-2)=-18,所以f(2)=h(2)-8=-18-8=-26.7.解(1)因为函数f(x)是奇函数,所以y=f(x)在[-5,5]上的图象关于原点对称.由y=f(x)在[0,5]上的图象,可知它在[-5,0]上的图象,如图所示.(2)由图象知,使函数值f(x)<0的x的取值集合为(-2,0)∪(2,5).8.解∵当x<0时,f(x)=x2+3x+2,且f(x)是奇函数,∴当x>0时,-x<0,则f (-x )=x 2-3x+2,故f (x )=-f (-x )=3x-x 2-2.∴当x ∈[1,32]时,f (x )单调递增;当x ∈(32,3]时,f (x )单调递减.因此当x ∈[1,3]时,f (x )max =f (32)=14,f (x )min =f (3)=-2.∴m=14,n=-2,从而m-n=94.9.解∵f (x )为奇函数,∴f (1-a 2)=-f (a 2-1),∴f (1-a )+f (1-a 2)<0⇒f (1-a )<-f (1-a 2)⇒f (1-a )<f (a 2-1).∵f (x )在定义域(-1,1)上是减函数,∴{1-a >a 2-1,-1<1-a <1,-1<a 2-1<1,解得0<a<1,故实数a 的取值范围为(0,1).10.C ∵f (x )是奇函数,g (x )是偶函数,∴f (-x )=-f (x ),g (-x )=g (x ).对于A,f (-x )g (-x )=-f (x )g (x ),故f (x )g (x )是奇函数,故A 错误;对于B,|f (-x )|g (-x )=|-f (x )|g (x )=|f (x )|g (x ),故|f (x )|g (x )是偶函数,故B 错误;对于C,f (-x )|g (-x )|=-f (x )|g (x )|,故f (x )|g (x )|是奇函数,故C 正确;对于D,|f (-x )g (-x )|=|f (x )g (x )|,故|f (x )g (x )|是偶函数,故D 错误.故选C .11.C ∵函数f (x )和g (x )都是奇函数,∴F (x )-2=af (x )+bg (x )为奇函数.又F (x )在区间(0,+∞)上有最大值5,∴F (x )-2在区间(0,+∞)上有最大值3,F (x )-2在区间(-∞,0)上有最小值-3,∴F (x )在区间(-∞,0)上有最小值-1.12.A g (x )=f (x-2)的图象是将函数f (x )的图象向右平移2个单位长度得到的,又g (x )=f (x-2)的图象关于原点对称,所以函数f (x )的图象关于点(-2,0)对称,大致图象如图所示,且f (0)=g (2)=0,f (-4)=g (-2)=-g (2)=0,f (-2)=g (0)=0,结合函数的图象,由xf (x )≤0可知{x ≥0,f(x)≤0或{x <0,f(x)≥0.结合图象可知x ≥0或-2≤x<0或x ≤-4.故不等式xf (x )≤0的解集是(-∞,-4]∪[-2,+∞),故选A .13.-15 根据题意,f (x )是定义在区间(-8,a )上的奇函数,则a=8.又由f (x )在区间[2,7]上单调递增,且在区间[3,6]上的最大值为a=8,最小值为-1,则f (6)=a=8,f (3)=-1.函数f (x )是奇函数,则f (-6)=-8,f (-3)=1.则2f (-6)+f (-3)=2×(-8)+1=-15.14.(-7,3) 因为f (x )为偶函数,所以f (|x+2|)=f (x+2),则f (x+2)<5可化为f (|x+2|)<5,则|x+2|2-4|x+2|<5,即(|x+2|+1)(|x+2|-5)<0,所以|x+2|<5,解得-7<x<3,所以不等式f (x+2)的解集是(-7,3).15.{x|-2<x<-1,或0<x<1,或2<x<3} 不等式f(x)g(x)<0可化为f (x )g (x )<0,由题图可知,当x>0时,其解集为(0,1)∪(2,3).∵y=f (x )是偶函数,y=g (x )是奇函数,∴f (x )g (x )是奇函数,∴当x<0时,f (x )g (x )<0的解集为(-2,-1).综上,不等式f(x)g(x)<0的解集是{x|-2<x<-1,或0<x<1,或2<x<3}.16.解(1)∵f (x )的图象经过点(-2,0),∴0=-2+b ,即b=2.∴当x ≤-1时,f (x )=x+2.∵f (x )为偶函数,∴当x ≥1时,f (x )=f (-x )=-x+2.当-1≤x ≤1时,依题意设f (x )=ax 2+2(a ≠0),则1=a ·(-1)2+2,∴a=-1.∴当-1≤x ≤1时,f (x )=-x 2+2.综上,f (x )={x +2,x ≤-1,-x 2+2,-1<x <1,-x +2,x ≥1.(2)当x ≤-1时,f (x )=x+2∈(-∞,1];当-1<x<1时,f (x )=-x 2+2∈(1,2];当x ≥1时,f (x )=-x+2∈(-∞,1].综上所述,f (x )的值域为(-∞,2].17.解(1)由题意知当x ≥0时,f (x )=x 2-2x=(x-1)2-1,此时函数f (x )的单调递增区间为(1,+∞),单调递减区间为(0,1).又函数f (x )为偶函数,所以当x<0时,其单调递增区间为(-1,0), 所以函数f (x )的单调递增区间为(-1,0),(1,+∞).(2)设x<0,则-x>0,所以f (-x )=(-x )2-2(-x )=x 2+2x ,由已知f (x )=f (-x ),所以当x<0时,f (x )=x 2+2x ,所以f (x )={x 2-2x(x ≥0),x 2+2x(x <0).(3)由(2)可得g (x )=x 2-(2a+2)x+2,x ∈[1,2],对称轴为直线x=a+1.当a+1<1,即a<0时,函数g (x )在区间[1,2]上单调递增, 故函数g (x )的最小值为g (1)=1-2a ;当1≤a+1≤2,即0≤a ≤1时,函数g (x )在对称轴处取得最小值, 故函数g (x )的最小值为g (1+a )=-a 2-2a+1;当a+1>2,即a>1时,函数g (x )在区间[1,2]上单调递减, 故函数g (x )的最小值为g (2)=2-4a.综上,函数g (x )的最小值为g (x )min ={1-2a,a <0,-a 2-2a +1,0≤a ≤1,2-4a,a >1.。
2.1.4 函数的奇偶性 2.1.5 用计算机作函数的图象(选学)课时过关·能力提升1下列函数是奇函数的是( ) A.y=x (x -1)x -1B.y=-3x 2C.y=-|x|D.y=πx 3-35x,再确定f (-x )与f (x )的关系.选项A 中函数的定义域为(-∞,1)∪(1,+∞),不关于原点对称,所以排除A;选项B,C 中函数的定义域均是R ,且函数均是偶函数;选项D 中函数的定义域是R ,且f (-x )=-f (x ),则此函数是奇函数.2设函数f (x )=√x +1+√1-x +1,则f (x )( ) A.是奇函数B.是偶函数C.是非奇非偶函数D.既是奇函数又是偶函数{x +1≥0,1-x ≥0,得-1≤x ≤1,即函数定义域为[-1,1],关于原点对称. 又因为f (-x )=√-x +1+√1+x +1=f (x ), 所以f (x )是偶函数.3若函数f (x )=6x -xx 4+1是定义域为R 的奇函数,则实数b 的值为( ) A.1 B.-1 C.0D.1或-1f (0)=0,即6×0-x 04+1=0,故b=0,且此时f (x )=6x x 4+1,f (-x )=6·(-x )(-x )4+1=-6xx 4+1=-f (x ),即f(x)是奇函数.4已知偶函数y=f(x)在区间(-∞,0]上是增函数,则下列不等式一定成立的是()A.f(3)>f(-2)B.f(-π)>f(3)C.f(1)>f(a2+2a+3)D.f(a2+2)>f(a2+1)y=f(x)在区间(-∞,0]上是增函数,且f(x)为偶函数,所以y=f(x)在区间[0,+∞)内是减函数.因为a2+2a+3=(a+1)2+2>1,所以f(a2+2a+3)<f(1)肯定成立,故选C.5已知f(x)=ax7-bx5+cx3+2,且f(-5)=m,则f(5)+f(-5)的值为()A.4B.0C.2mD.-m+4,得f(x)+f(-x)=4,故f(-5)+f(5)=4.6若偶函数f(x)满足f(x)=2x-4(x≥0),则不等式f(x-2)>0的解集为()A.{x|x<-2或x>4}B.{x|x<0或x>4}C.{x|x<0或x>6}D.{x|x<-2或x>2}x≥0时,令f(x)=2x-4>0,得x>2.又因为函数f(x)为偶函数,所以函数f(x)>0的解集为{x|x<-2或x>2}.故f(x-2)>0的解集为{x|x<0或x>4}.7若函数f (x )(x ∈R )为奇函数,f (1)=12,f (x+2)=f (x )+f (2),则f (5)等于( ) A.0B.1C.52D.5f (x+2)=f (x )+f (2)中,令x=-1得f (1)=f (-1)+f (2).因为f (1)=12,f (x )是奇函数,所以f (-1)=-12,f (2)=1, 所以f (x+2)=f (x )+1,故f (5)=f (3)+1=f (1)+1+1=12+2=52.8设函数f (x )=(x +1)(x +x )x为奇函数,则实数a= .f (x )是奇函数,所以f (-1)=(-1+1)(-1+x )-1=0=-f (1)=-(1+1)(1+x )1=-2(1+a ).所以a=-1.当a=-1时,f (x )=(x +1)(x -1)x=x-1x (x ≠0),f (x )为奇函数,故a=-1.19已知f (x )是定义在R 上的奇函数,当x ≥0时,f (x )=x 2+4x+m ,则当x<0时,f (x )= .f (x )是定义域为R 的奇函数,所以f (0)=0,即02+4×0+m=0,解得m=0,当x ≥0时,f (x )=x 2+4x.设x<0,则-x>0, 故f (-x )=(-x )2+4·(-x )=x 2-4x. 又因为f (-x )=-f (x ), 所以当x<0时,f (x )=-x 2+4x.2+4x10已知奇函数f (x )(x ∈R )满足f (x+4)=f (x )+f (2),且f (1)=2,则f (1)+f (2)+f (3)+…+f (2 016)等于 .11已知定义在(-1,1)内的奇函数f (x ),在定义域上为减函数,且f (1-a )+f (1-2a )>0,求实数a 的取值范围.f (1-a )+f (1-2a )>0,∴f (1-a )>-f (1-2a ).∵f (x )是奇函数,∴-f (1-2a )=f (2a-1),即f (1-a )>f (2a-1). 又f (x )在(-1,1)内是减函数, ∴{1-x <2x -1,-1<1-x <1,-1<2x -1<1,∴{x >23,0<x <2,0<x <1,∴23<a<1.故a 的取值范围是(23,1). ★12函数f (x )是定义在R 上的偶函数,且当x>0时,函数的解析式为f (x )=2x -1.(1)求f (-1)的值;(2)求当x<0时函数的解析式;(3)用定义证明f (x )在(0,+∞)内是减函数.f (x )是偶函数,所以f (-1)=f (1)=2-1=1.x<0时,-x>0,故f (-x )=2-x -1.因为f (x )为偶函数,所以当x<0时,f (x )=f (-x )=2-x -1=-2x -1.x 1,x 2是(0,+∞)内的任意两个不相等的实数,且0<x 1<x 2,则Δx=x 2-x 1>0,Δy=f (x 2)-f (x 1)=2 x2-1-(2x1-1)=2x2−2x1=2(x1-x2)x1x2.因为x1-x2<0,x1x2>0,所以Δy<0.故f(x)=2x-1在(0,+∞)内是减函数.★13(1)已知函数f(x),x∈R,若对于任意实数a,b,都有f(a+b)=f(a)+f(b),求证:f(x)为奇函数;(2)已知函数f(x),x∈R,若对于任意实数x1,x2,都有f(x1+x2)+f(x1-x2)=2f(x1)f(x2),求证:f(x)是偶函数;(3)设函数f(x)定义在(-l,l)内,求证:f(x)+f(-x)是偶函数,f(x)-f(-x)是奇函数.函数f(x)的定义域为R,关于原点对称.设a=0,则f(b)=f(0)+f(b),故f(0)=0.设a=-x,b=x,则f(0)=f(-x)+f(x),即f(-x)=-f(x).因此,f(x)是奇函数.(2)函数f(x)的定义域为R,关于原点对称.设x1=0,x2=x,得f(x)+f(-x)=2f(0)f(x).①设x1=x,x2=0,得f(x)+f(x)=2f(0)f(x).②由①②,得f(-x)=f(x).故f(x)是偶函数.(3)由于对任意的x∈(-l,l),也必有-x∈(-l,l),可见,f(-x)的定义域也是(-l,l).若设F(x)=f(x)+f(-x),G(x)=f(x)-f(-x),则F(x)与G(x)的定义域也是(-l,l),显然是关于原点对称的区间.∵F(-x)=f(-x)+f[-(-x)]=f(x)+f(-x)=F(x),G(-x)=f(-x)-f[-(-x)]=f(-x)-f(x)=-[f(x)-f(-x)]=-G(x),∴F(x)是偶函数,G(x)是奇函数,即f(x)+f(-x)是偶函数,f(x)-f(-x)是奇函数.。
函数的奇偶性练习题1.下列函数中,在其定义域内既是奇函数又是减函数的是( ) A .y =-x 3,x ∈R B .y =sin2x ,x ∈RC .y =2x ,x ∈RD .y =-⎝⎛⎭⎫13x ,x ∈R2.函数f (x )=a 2x -1ax (a >0,a ≠1)的图象( )A .关于原点对称B .关于直线y =x 对称C .关于x 轴对称D .关于y 轴对称3.设f (x )是定义在R 上的奇函数,当x ≤0时,f (x )=2x 2-x ,则f (1)=( ) A .-3 B .-1 C .1 D .34. 已知y =f (x )是奇函数,若g (x )=f (x )+2且g (1)=1,则g (-1)=________.能力提升5.设f (x )是周期为2的奇函数,当0≤x ≤1时,f (x )=x ,则f ⎝⎛⎭⎫-134=( ) A.32 B .-32 C.12 D .-126. 已知函数f (x )是定义在R 上的奇函数,且f (x +2)=-f (x ),若f (1)=1,则f (3)-f (4)=( )A .-1B .1C .-2D .27. 若函数f (x )=|x -2|+a 4-x 2的图象关于原点对称,则f a2=( )A.33 B .-33C .1D .-1 8.已知定义在R 上的奇函数f (x )是一个减函数,若x 1+x 2<0,x 2+x 3<0,x 3+x 1<0,则f (x 1)+f (x 2)+f (x 3)的值( )A .大于0B .小于0C .等于0D .以上都有可能9. 已知f (x )是定义在R 上的函数,且满足f (x +1)+f (x )=3,当x ∈[0,1]时,f (x )=2-x ,则f (-2 005.5)=________.10. 函数f (x )是定义在R 上的奇函数,下列结论中,正确结论的序号是________.①f (-x )+f (x )=0;②f (-x )-f (x )=-2f (x );③f (x )f (-x )≤0;④f (x )f (-x )=-1.11. 若函数f (x )=⎩⎪⎨⎪⎧x 2-2x ,x ≥0,-x 2+ax ,x <0是奇函数,则满足f (x )>a 的x 的取值范围是________.12.(13分)[2012·衡水中学一调] 已知函数f (x )=x m -2x 且f (4)=72.(1)求m 的值;(2)判定f (x )的奇偶性;(3)判断f (x )在(0,+∞)上的单调性,并给予证明.难点突破13.(12分)已知定义域为R 的函数f (x )=-2x +b2x +1+a是奇函数.(1)求a ,b 的值;(2)若对任意的t ∈R ,不等式f (t 2-2t )+f (2t 2-k )<0恒成立,求k 的取值范围.1. 下列函数中既是奇函数,又在区间(-1,1)上是增函数的为( ) A .y =|x | B .y =sin xC .y =e x +e -x D .y =-x 32.已知f (x )=ax 2+bx 是定义在[a -1,2a ]上的偶函数,那么a +b 的值是( )A .-13 B.13 C.12 D .-123.已知f (x )=⎩⎪⎨⎪⎧x 2-x +1(x >0),-x 2-x -1(x <0),则f (x )为( )A .奇函数B .偶函数C .非奇非偶函数D .不能确定奇偶性4. 设函数f (x )是定义在R 上的周期为2的偶函数,当x ∈[0,1]时,f (x )=x +1,则f ⎝⎛⎭⎫32=________.能力提升5. 设函数f (x )=⎩⎪⎨⎪⎧2x,x <0,0,x =0,g (x ),x >0,且f (x )为奇函数,则g (3)=( )A .8 B.18 C .-8 D .-186.已知y =f (x )是定义在R 上的偶函数,且f (x )在(0,+∞)上是增函数,如果x 1<0,x 2>0,且|x 1|<|x 2|,则有( )A .f (-x 1)+f (-x 2)>0B .f (x 1)+f (x 2)<0C .f (-x 1)-f (-x 2)>0D .f (x 1)-f (x 2)<07.] 已知函数f (x )是(-∞,+∞)上的偶函数,若对于x ≥0,都有f (x +2)=f (x ),且当x ∈[0,2)时,f (x )=log 2(x +1),则f (-2 012)+f (2 011)的值为( )A .1B .2C .-2D .-18.命题p :∀x ∈R ,3x >x ;命题q :若函数y =f (x -1)为奇函数,则函数y =f (x )的图象关于点(1,0)成中心对称.以下说法正确的是( ) A .p ∨q 真 B .p ∧q 真 C .綈p 真 D .綈q 假 9.函数f (x )对于任意实数x 满足条件f (x +2)f (x )=1,若f (1)=-5,则f (-5)=________. 10. 设函数f (x )=x 3cos x +1.若f (a )=11,则f (-a )=________.11.设定义在[-2,2]上的奇函数f (x )在[0,2]上单调递减,若f (3-m )≤f (2m 2),则实数m 的取值范围是________.12.(13分)已知函数f (x )=lg 1+x1-x.(1)求证:对于f (x )的定义域内的任意两个实数a ,b ,都有f (a )+f (b )=f ⎝ ⎛⎭⎪⎫a +b 1+ab ;(2)判断f (x )的奇偶性,并予以证明.难点突破13.(12分)函数f (x )的定义域为D ={x |x ≠0},且满足对于任意x 1,x 2∈D ,有f (x 1·x 2)=f (x 1)+f (x 2).(1)求f(1)的值;(2)判断f(x)的奇偶性并证明你的结论;(3)如果f(4)=1,f(3x+1)+f(2x-6)≤3,且f(x)在(0,+∞)上是增函数,求x的取值范围.1.A [解析] y =sin2x 在R 上不单调,y =-13x 不是奇函数,y =2x 为增函数,所以B ,C ,D 均错.故选A.2.A [解析] 因为f (-x )=a -x -1a-x =-(a x -a -x )=-f (x ),所以f (x )是奇函数,其图象关于原点对称.故选A.3.A [解析] 依题意当x >0时,f (x )=-f (-x )=-(2x 2+x ),所以f (1)=-3.故选A. 4.3 [解析] 考查函数的奇偶性和转化思想,解此题的关键是利用y =f (x )为奇函数. 已知函数y =f (x )为奇函数,由已知得g (1)=f (1)+2=1, ∴f (1)=-1,则f (-1)=-f (1)=1,所以g (-1)=f (-1)+2=1+2=3. 【能力提升】5.A [解析] 依题意f -134=f -54=f 34=32.故选A.6.A [解析] 由f (x +2)=-f (x )得f (x +4)=-f (x +2)=f (x ),根据f (x )为R 上的奇函数,得f (0)=0,所以f (3)=f (-1)=-f (1)=-1,f (4)=f (0)=0,所以f (3)-f (4)=-1.故选A.7.A [解析] 函数f (x )定义域为{x |-2<x <2},依题意函数f (x )为奇函数,所以f (0)=0,得a =-2,所以f a 2=f (-1)=|-1-2|-24-1=33.故选A.8.A [解析] 由x 1+x 2<0,得x 1<-x 2. 又f (x )为减函数,所以f (x 1)>f (-x 2),又f (x )为R 上的奇函数,所以f (x 1)>-f (x 2). 所以f (x 1)+f (x 2)>0.同理f (x 2)+f (x 3)>0,f (x 1)+f (x 3)>0, 所以f (x 1)+f (x 2)+f (x 3)>0.故选A.9.1.5 [解析] 由f (x +1)+f (x )=3得f (x )+f (x -1)=3,两式相减得f (x +1)=f (x -1),所以f (x +2)=f (x ),所以函数f (x )是周期为2的周期函数,所以f (-2 005.5)=f (-1.5)=f (-2+0.5)=f (0.5)=1.5.10.①②③ [解析] 因为函数f (x )是定义在R 上的奇函数,所以①正确,由f (-x )+f (x )=0,可推得选项②,③正确,④中,要求f (-x )≠0,故④错误.11.(-1-3,+∞) [解析] 由函数f (x )是奇函数,所以当x <0时,-x >0,f (-x )=(-x )2-2(-x )=x 2+2x =-f (x )=x 2-ax ,所以a =-2.当x <0时,f (x )>a 即-x 2-2x >-2⇒x 2+2x -2<0,解得-1-3<x <0;当x ≥0时,f (x )>-2恒成立.综上,满足f (x )>a 的x 的取值范围是(-1-3,+∞).12.解:(1)因为f (4)=72,所以4m -24=72,所以m =1.(2)因为f (x )的定义域为{x |x ≠0},又f (-x )=-x -2-x=-x -2x =-f (x ),所以f (x )是奇函数.(3)设x 1>x 2>0,则f (x 1)-f (x 2)=x 1-2x 1-x 2-2x 2=(x 1-x 2)1+2x 1x 2,因为x 1>x 2>0,所以x 1-x 2>0,1+2x 1x 2>0,所以f (x 1)>f (x 2),所以f (x )在(0,+∞)上为单调递增函数.(或用求导数的方法) 【难点突破】13.解:(1)因为f (x )是定义域为R 的奇函数,所以f (0)=0, 即-1+b 2+a =0,所以b =1.所以f (x )=-2x +12x +1+a.又由f (1)=-f (-1)知-2+14+a =--12+11+a ,所以a =2.(2)方法一:由(1)知f (x )=-2x +12x +1+2=-12+12x +1.易知f (x )在(-∞,+∞)上为减函数.又因f (x )是奇函数,从而不等式f (t 2-2t )+f (2t 2-k )<0等价于f (t 2-2t )<f (-2t 2+k ). 因f (x )是减函数,所以t 2-2t >-2t 2+k . 即对一切t ∈R 有3t 2-2t -k >0.从而判别式Δ=4+12k <0,解得k <-13.方法二:由(1)知f (x )=-2x +12x +1+2,又由题设条件得-2t 2-2t +12t 2-2t +1+2+-22t 2-k +122t 2-k +1+2<0,即(22t 2-k +1+2)(-2t 2-2t +1)+(2t 2-2t +1+2)(-22t 2-k +1)<0. 整理得23t 2-2t -k >1,因底数2>1,故3t 2-2t -k >0.上式对一切t ∈R 均成立,从而判别式Δ=4+12k <0,解得k <-13.课时作业(六)B【基础热身】1.B [解析] 由题中选项可知,y =|x |,y =e x +e -x 为偶函数,排除A ,C ;而y =-x 3在R 上递减,故选B.2.B [解析] 因为函数f (x )=ax 2+bx 在[a -1,2a ]上为偶函数,所以b =0,且a -1+2a =0,即b =0,a =13.所以a +b =13.3.A [解析] 若x <0,则-x >0,所以f (-x )=(-x )2-(-x )+1=x 2+x +1=-f (x ).若x >0,则-x <0,所以f (-x )=-(-x )2-(-x )-1=-x 2+x -1=-f (x ).所以f (x )为奇函数.4.32[解析] 函数f (x )是定义在R 上的周期为2的偶函数,且当x ∈[0,1]时,f (x )=x +1,那么f ⎝⎛⎭⎫32=f ⎝⎛⎭⎫-32=f ⎝⎛⎭⎫2-32=f ⎝⎛⎭⎫12=32.【能力提升】5.D [解析] 因为f (x )为奇函数,所以x >0时,f (x )=-f (-x )=-2-x ,即g (x )=-2-x ,所以g (3)=-2-3=-18.故选D.6.D [解析] 因为x 1<0,x 2>0,|x 1|<|x 2|,所以0<-x 1<x 2.又f (x )是(0,+∞)上的增函数,所以f (-x 1)<f (x 2).又f (x )为定义在R 上的偶函数,所以f (x 1)<f (x 2),所以f (x 1)-f (x 2)<0.选D.7.A [解析] 由已知f (x )是偶函数且是周期为2的周期函数,则f (-2 012)=f (2 012)=f (0)=log 21=0,f (2 011)=f (1)=log 22=1,所以f (-2 012)+f (2 011)=0+1=1,故选择A.8.A [解析] 命题p 是真命题.对于命题q ,函数y =f (x -1)为奇函数,将其图象向左平移1个单位,得到函数y =f (x )的图象,该图象的对称中心为(-1,0),而得不到对称中心为(1,0),所以命题q 为假命题,所以p ∨q 是真命题.故选A.9.-15[解析] 因为f (x +2)f (x )=1,所以f (x +4)f (x +2)=1,于是有f (x +4)=f (x ),所以f (x )是以4为周期的周期函数,f (-5)=f (-1)=1f (-1+2)=1f (1)=-15.10.-9 [解析] 由f (a )=a 3cos a +1=11得a 3cos a =10, 所以f (-a )=(-a )3cos(-a )+1=-a 3cos a +1=-10+1=-9.11.{1} [解析] 因为f (x )是定义在[-2,2]上的奇函数,且在[0,2]上单调递减,所以f (x )在[-2,2]上单调递减,所以f (3-m )≤f (2m 2)等价于⎩⎪⎨⎪⎧-2≤3-m ≤2,-2≤2m 2≤2,3-m ≥2m 2⇔⎩⎪⎨⎪⎧1≤m ≤5,-1≤m ≤1,-32≤m ≤1,即m =1,所以m 的取值范围是{1}.12.解:函数的定义域为{x |-1<x <1}=(-1,1).(1)证明:∀a ,b ∈(-1,1),f (a )+f (b )=lg 1+a 1-a +lg 1+b 1-b =lg (1+a )(1+b )(1-a )(1-b ),f a +b 1+ab =lg 1+a +b 1+ab 1-a +b 1+ab=lg 1+ab +a +b 1+ab -a -b =lg (1+a )(1+b )(1-a )(1-b ), 所以f (a )+f (b )=f a +b1+ab.(2)∀x ∈(-1,1),f (-x )+f (x )=lg 1-x 1+x +lg 1+x 1-x =lg (1-x )(1+x )(1+x )(1-x )=lg1=0,即f (-x )=-f (x ),所以f (x )是奇函数. 【难点突破】13.解:(1)因为对于任意x 1,x 2∈D ,有f (x 1·x 2)=f (x 1)+f (x 2), 所以令x 1=x 2=1,得f (1)=2f (1),所以f (1)=0. (2)令x 1=x 2=-1,有f (1)=f (-1)+f (-1),所以f (-1)=12f (1)=0.令x 1=-1,x 2=x ,有f (-x )=f (-1)+f (x ), 所以f (-x )=f (x ),所以f (x )为偶函数.(3)依题设有f (4×4)=f (4)+f (4)=2,f (16×4)=f (16)+f (4)=3, 又f (3x +1)+f (2x -6)≤3, 即f ((3x +1)(2x -6))≤f (64).(*) 方法一:因为f (x )为偶函数, 所以f (|(3x +1)(2x -6)|)≤f (64). 又f (x )在(0,+∞)上是增函数, 所以0<|(3x +1)(2x -6)|≤64.解上式,得3<x ≤5或-73≤x <-13或-13<x <3.所以x 的取值范围为x ⎪⎪-73≤x <-13或-13<x <3或3<x ≤5. 方法二:因为f (x )在(0,+∞)上是增函数, 所以(*)等价于不等式组⎩⎪⎨⎪⎧(3x +1)(2x -6)>0,(3x +1)(2x -6)≤64或⎩⎪⎨⎪⎧(3x +1)(2x -6)<0,-(3x +1)(2x -6)≤64, ⎩⎨⎧x >3或x <-13,-73≤x ≤5或⎩⎪⎨⎪⎧-13<x <3,x ∈R .所以3<x ≤5或-73≤x <-13或-13<x <3.所以x 的取值范围为 x⎪⎪⎪ )-73≤x <-13或-13<x <3或3<x ≤5.。
第二章 函数2.2.1函数的单调性与奇偶性(题型战法)知识梳理一 函数的单调性1. 单调性的定义一般地,设函数()f x 的定义域为I ,如果对于定义域I 内某个区间D 上的任意两个自变量12,x x ,当12x x <时,都有12()()f x f x <,那么就说函数()f x 在区间D 上是增函数;如果对于定义域I 内某个区间D 上的任意两个自变量12,x x ,当12x x <时,都有12()()f x f x >,那么就说函数()f x 在区间D 上是减函数。
2.单调性的注意事项1. 函数的单调性要针对区间而言,因此它是函数的局部性质;对于连续函数,单调区间可闭可开,即“单调区间不在一点处纠结”;单调区间不能搞并集。
2. 若函数()f x 满足1212()[()()]0x x f x f x -->,则函数在该区间单调递增;若满足1212()[()()]0x x f x f x --<,则函数在该区间单调递减。
3. 函数单调性的判断方法主要有:(1) 定义法:在定义域内的某个区间D 上任取12,x x 并使得12x x <,通过作差比较1()f x 与2()f x 的大小来判断单调性。
(2) 性质法:若函数()f x 为增函数,()g x 为增函数,()h x 为减函数,()x ϕ为减函数,则有①()()f x g x +为增函数,②()()f x h x -为增函数, ③()()h x x ϕ+为减函数,④()()h x g x -为减函数。
(3) 图像法:对于含绝对值或者分段函数经常使用数形结合的思想,通过函数的图象来判断函数的单调性。
二 函数的奇偶性一.函数奇偶性的定义:(1)对于函数()f x 的定义域内任意一个x ,都有()()x f x f =- ⇔函数()f x 是偶函数; (2)对于函数()f x 的定义域内任意一个x ,都有()()x f x f -=- ⇔函数()f x 是奇函数。
高中数学复习题库及答案1. 函数的奇偶性若函数f(x)满足f(-x) = f(x),则称f(x)为偶函数;若满足f(-x) = -f(x),则称f(x)为奇函数。
判断下列函数的奇偶性:A. f(x) = x^2B. f(x) = x^3C. f(x) = x^2 - 4x + 4答案:A. 偶函数,因为f(-x) = (-x)^2 = x^2 = f(x)。
B. 奇函数,因为f(-x) = (-x)^3 = -x^3 = -f(x)。
C. 偶函数,因为f(-x) = (-x)^2 - 4(-x) + 4 = x^2 + 4x + 4 = f(x)。
2. 二次函数的图像与性质二次函数y = ax^2 + bx + c的图像是一个抛物线,其开口方向由a的正负决定,顶点坐标为(-b/2a, f(-b/2a))。
计算下列二次函数的顶点坐标:A. y = 2x^2 - 4x + 1B. y = -3x^2 + 6x - 5答案:A. 顶点坐标为(1, -1),因为-b/2a = -(-4)/2*2 = 1,代入得f(1) = 2*1^2 - 4*1 + 1 = -1。
B. 顶点坐标为(1, -2),因为-b/2a = -6/2*(-3) = 1,代入得f(1) = -3*1^2 + 6*1 - 5 = -2。
3. 直线的斜率与截距直线的方程可以表示为y = mx + b,其中m为斜率,b为y轴截距。
求下列直线的斜率和截距:A. 直线过点(1, 2)和(3, 6)B. 直线方程为2x - 3y + 1 = 0答案:A. 斜率m = (6-2)/(3-1) = 2,截距b = 2 - 2*1 = 0。
B. 将方程化为y = (2/3)x - 1/3,斜率m = 2/3,截距b = -1/3。
4. 圆的标准方程圆的标准方程为(x-a)^2 + (y-b)^2 = r^2,其中(a, b)为圆心坐标,r为半径。
写出下列圆的方程:A. 圆心在(2, -3),半径为5B. 圆心在(-1, 4),半径为3答案:A. 圆的方程为(x-2)^2 + (y+3)^2 = 25。
函数的奇偶性与单调性一.选择题1.已知f(x)是定义在R上的偶函数,且在区间(﹣∞,0)上单调递增,若实数a满足f(2|a﹣1|)>f(﹣),则a的取值范围是()A.(﹣∞,)B.(﹣∞,)∪(,+∞)C.(,)D.(,+∞)2.已知f(x)为R上的减函数,则满足f()>f(1)的实数x的取值范围是()A.(﹣∞,2) B.(2,+∞)C.(﹣∞,1)∪(1,2) D.(﹣∞,1)∪(2,+∞)3.若函数y=f(x)+cosx在[﹣]上单调递减,则f(x)可以是()A.1 B.﹣sinx C.cosx D.sinx4.已知奇函数f(x)在[﹣1,0]上为单调递减函数,又α,β为锐角三角形两内角,下列结论正确的是()A.f(cosα)>f(cosβ) B.f(sinα)>f(sinβ)C.f(sinα)>f(cosβ) D.f(sinα)<f(cosβ)5.已知函数f(x)=x在[0,1)上的最大值为m,在(1,2]上的最小值为n,则m+n=()A.﹣2 B.﹣1 C.1 D.22≥﹣1,则函数f(x)=4x﹣2x+1﹣3的最小值为()6.若xlog5A.﹣4 B.﹣3 C.﹣1 D.0二.填空题7.已知y=f(x)是奇函数,当x∈(0,2)时,f(x)=lnx﹣ax(a>),当x ∈(﹣2,0)时,f(x)的最小值为1,则a的值等于.8.设f(x)是R上的奇函数,且在(0,+∞)内是增函数,又f(﹣3)=0,则x•f(x)<0的解集是.9.奇函数f(x)的定义域为(﹣5,5),若x∈[0,5)时,f(x)的图象如图所示,则不等式f(x)<0的解集为.10.设f(x)的定义域为D,f(x)满足下面两个条件,则称f(x)为闭函数.①f(x)在D内是单调函数;②存在[a,b]⊆D,f(x)在[a,b]上的值域为[a,b].如果f(x)=为闭函数,那么k的取值范围是.11.如果对定义在R上的函数f(x),以任意两个不相等的实数x1,x2,都有x1f(x1)+x2f(x2)>x1f(x2)+x2f(x1),则称函数f(x)为“H函数”.给出下列函数:①y=﹣x3+x+1;②y=3x﹣2(sin x﹣cos x);③y=e x+1;④f(x)=以上函数是“H函数”的所有序号为.12.已知函数f(x)=在区间(﹣∞,a]上单调递减,在(a,+∞)上单调递增,则实数a的取值范围是.13.13.若函数f(x)=|e x+|在[0,1]上单调递减,则实数a的取值范围是.14.已知函数为减函数,则a的取值范围是.15.设奇函数f(x)在[﹣1,1]上是增函数,f(﹣1)=﹣1.若函数f(x)≤t2﹣2at+1对所有的x∈[﹣1,1]都成立,则当a∈[﹣1,1]时,t的取值范围是.三.解答题16.对于函数,定义.已知偶函数g(x)的定义域为(﹣∞,0)∪(0,+∞),g(1)=0;当x>0,且x≠1时,g(x)=f2018(x).(1)求f2(x),f3(x),f4(x),并求出函数y=g(x)的解析式;(2)若存在实数a,b(a<b)使得函数g(x)在[a,b]上的值域为[mb,ma],求实数m的取值范围.17.已知f(x)的定义域为{x∈R|x≠0},且f(x)是奇函数,当x>0时f(x)=﹣x2+bx+c,若f(1)=f(3),f(2)=2.(1)求b,c的值;(2)求f(x)在x<0时的表达式.18.已知f(x)是定义在R上的偶函数,且x≤0时,f(x)=log(1﹣x).(1)求f(0),f(1);(2)求函数f(x)的解析式.19.已知函数f(x)=kx+log(9x+1)(k∈R)是偶函数.9(1)求k的值;(a•3x﹣a)的图象与f(x)的图象有且只有一个公(2)若函数g(x)=log9共点,求a的取值范围.20.已知函数f(x)=e x﹣e﹣x(x∈R,e=2.71828…)(Ⅰ)求证:函数f(x)为奇函数;(Ⅱ)t为实数,且f(x﹣t)+f(x2﹣t2)≥0对一切实数x都成立,求t的值.21.已知定义在实数集上的奇函数f(x),当x∈(0,1)时,f(x)=.(1)求函数f(x)在(﹣1,1)上的解析式;(2)判断函数f(x)在(0,1)上的单调性并加以证明;(3)当λ取何值时,方程f(x)=λ在上(﹣1,1)有实数解?22.已知函数是奇函数.(1)求a的值;(2)判断函数f(x)的单调性,并用定义证明;(3)求函数的值域.23.已知定义在R上的函数f(x)=2x﹣a•2﹣x为奇函数.(1)求a的值,并判断f(x)的单调性(不用给证明);(2)t为实数,且f(x﹣t)+f(x2﹣t2)≥0对一切实数x都成立,求t的值.24.如果奇函数f(x)是定义域(﹣1,1)上的减函数,且f(1﹣m)+f(1﹣m2)<0,求实数m的取值范围.25.已知定义在[﹣3,3]上的函数y=f(x)是增函数.(1)若f(m+1)>f(2m﹣1),求m的取值范围;(2)若函数f(x)是奇函数,且f(2)=1,解不等式f(x+1)+1>0.26.设f(x)是定义在R上的奇函数,且对任意a、b∈R,当a+b≠0时,都有.(1)若a>b,试比较f(a)与f(b)的大小关系;(2)若f(9x﹣2•3x)+f(2•9x﹣k)>0对任意x∈[0,+∞)恒成立,求实数k的取值范围.27.已知定义域为R的单调函数f(x)是奇函数,当x>0时,f(x)=﹣2x (Ⅰ)求f(﹣1)的值;(Ⅱ)求f(x)的解析式;(Ⅲ)若对任意的t∈R,不等式f(t2﹣2t)+f(2t2﹣k)<0恒成立,求实数k 的取值范围.28.已知函数.(1)判断函数f(x)的奇偶性,并给出证明;(2)解不等式:f(x2+x+3)+f(﹣2x2+4x﹣7)>0;(3)若函数g(x)=lnx﹣(x﹣1)在(1,+∞)上单调递减,比较f(2)+f (4)+…+f(2n)与2n(n∈N*)的大小关系,并说明理由.29.已知函数f(x)=的定义域上的奇函数,且f(2)=﹣,函数g(x)是R上的增函数,g(1)=1且对任意x,y∈R,总有g(x+y)=g(x)+g(y)(Ⅰ)求函数f(x)的解析式(Ⅱ)判断函数f(x)在(1,+∞)上的单调性,并加以证明(Ⅲ)若g(2a)>g(a﹣1)+2,求实数a的取值范围.(1﹣x).30.己知f(x)为奇函数,g(x)为偶函数,且f(x)+g(x)=21og2(1)求函数f(x)及g(x)的解析式;(2)用函数单调性的定义证明:函数g(x)在(0,1)上是减函数;(3)若关于x的方程f(2x)=m有解,求实数m的取值范围.函数的奇偶性与单调性参考答案与试题解析一.选择题(共6小题)1.已知f(x)是定义在R上的偶函数,且在区间(﹣∞,0)上单调递增,若实数a满足f(2|a﹣1|)>f(﹣),则a的取值范围是()A.(﹣∞,)B.(﹣∞,)∪(,+∞)C.(,)D.(,+∞)【分析】根据函数的对称性可知f(x)在(0,+∞)递减,故只需令2|a﹣1|<即可.【解答】解:∵f(x)是定义在R上的偶函数,且在区间(﹣∞,0)上单调递增,∴f(x)在(0,+∞)上单调递减.∵2|a﹣1|>0,f(﹣)=f(),∴2|a﹣1|<=2.∴|a﹣1|,解得.故选:C.【点评】本题考查了函数的单调性,奇偶性的性质,属于中档题.2.已知f(x)为R上的减函数,则满足f()>f(1)的实数x的取值范围是()A.(﹣∞,2) B.(2,+∞)C.(﹣∞,1)∪(1,2)D.(﹣∞,1)∪(2,+∞)【分析】由f(x)为R上的减函数便可根据条件得出,这样解该不等式即可得出实数x的取值范围.【解答】解:∵f(x)为R上的减函数;∴由得:;解得x<1,或x>2;∴x的取值范围是(﹣∞,1)∪(2,+∞).故选D.【点评】考查减函数的定义,根据减函数定义解不等式的方法,以及分式不等式的解法.3.若函数y=f(x)+cosx在[﹣]上单调递减,则f(x)可以是()A.1 B.﹣sinx C.cosx D.sinx【分析】显然y=cosx在上没有单调性,从而说明y=1+cosx和y=2cosx在[]上没有单调性,即说明选项A,C错误.而f(x)=﹣siinx 时,可以得到y=,可换元令=t,,可以说明在[]上单调递减,从而得出选项B正确,同样的方法说明选项D错误.【解答】解:A.若f(x)=1,则y=1+cosx,显然cosx在[]上没有单调性;∴y=1+cosx在[]上没有单调性,即该选项错误;B.若f(x)=﹣sinx,则y=﹣sinx+cosx=﹣sin();令,,则:sint在上单调递增;∴y=在上单调递减;∴y=﹣sinx+cosx在[]上单调递减,即该选项正确;C同A,可说明C选项错误,D同B可说明D选项错误.故选B.【点评】考查正、余弦函数的单调性,根据图象判断函数单调性的方法,要熟悉正余弦函数的图象,以及换元法判断函数单调性.4.已知奇函数f(x)在[﹣1,0]上为单调递减函数,又α,β为锐角三角形两内角,下列结论正确的是()A.f(cosα)>f(cosβ)B.f(sinα)>f(sinβ)C.f(sinα)>f(cosβ)D.f(sinα)<f(cosβ)【分析】由“奇函数y=f(x)在[﹣1,0]上为单调递减函数”可知f(x)在[0,1]上为单调递减函数,再由“α、β为锐角三角形的两内角”可得到α+β>,转化为>α>﹣β>0,两边再取正弦,可得1>sinα>sin(﹣β)=cosβ>0,由函数的单调性可得结论.【解答】解:∵奇函数y=f(x)在[﹣1,0]上为单调递减函数∴f(x)在[0,1]上为单调递减函数,∴f(x)在[﹣1,1]上为单调递减函数,又α、β为锐角三角形的两内角,∴α+β>,∴>α>﹣β>0,∴1>sinα>sin(﹣β)=cosβ>0,∴f(sinα)<f(cosβ),故选:D.【点评】题主要考查奇偶性和单调性的综合运用,还考查了三角函数的单调性.属中档题.5.已知函数f(x)=x在[0,1)上的最大值为m,在(1,2]上的最小值为n,则m+n=()A.﹣2 B.﹣1 C.1 D.2【分析】通过变形可知f(x)=1++sinπx,进而可知当x∈[0,1)时,函数g(x)=+sinπx满足g(2﹣x)=﹣g(x),由此可知在区间[0,1)∪(1,2]上,函数f(x)关于点(1,1)中心对称,利用对称性即得结论.【解答】解:f(x)=x=1++sinπx,记g(x)=+sinπx,则当x∈[0,1)时,g(2﹣x)=+sinπ(2﹣x)=﹣sinπx,即在区间[0,1)∪(1,2]上,函数f(x)关于点(1,1)中心对称,∴m+n=2,故选:D.【点评】本题考查函数的最值及其几何意义,考查函数的奇偶性,考查运算求解能力,注意解题方法的积累,属于中档题.6.(2017•广西一模)若xlog52≥﹣1,则函数f(x)=4x﹣2x+1﹣3的最小值为()A.﹣4 B.﹣3 C.﹣1 D.0【分析】由条件求得x≥﹣log25,令t=2x(t≥),即有y=t2﹣2t﹣3,由二次函数的最值求法,即可得到最小值.【解答】解:xlog52≥﹣1,即为x≥﹣log25,2x≥,令t=2x(t≥),即有y=t2﹣2t﹣3=(t﹣1)2﹣4,当t=1≥,即x=0时,取得最小值﹣4.故选:A.【点评】本题考查可化为二次函数的最值的求法,注意运用换元法和指数函数的单调性,考查运算能力,属于中档题.二.填空题(共9小题)7.已知y=f(x)是奇函数,当x∈(0,2)时,f(x)=lnx﹣ax(a>),当x ∈(﹣2,0)时,f(x)的最小值为1,则a的值等于 1 .【分析】根据函数的奇偶性,确定f(x)在(0,2)上的最大值为﹣1,求导函数,确定函数的单调性,求出最值,即可求得a的值.【解答】解:∵f(x)是奇函数,x∈(﹣2,0)时,f(x)的最小值为1,∴f(x)在(0,2)上的最大值为﹣1,当x∈(0,2)时,f′(x)=﹣a,令f′(x)=0得x=,又a>,∴0<<2,令f′(x)>0,则x<,∴f(x)在(0,)上递增;令f′(x)<0,则x>,=f()=ln﹣a•=﹣1,∴ln=0,∴f(x)在(,2)上递减,∴f(x)max得a=1.故答案为:1.【点评】本题考查函数单调性与奇偶性的结合,考查导数知识的运用,考查学生的计算能力,属于中档题.8.设f(x)是R上的奇函数,且在(0,+∞)内是增函数,又f(﹣3)=0,则x•f(x)<0的解集是(﹣3,0)∪(0,3).【分析】由x•f(x)<0对x>0或x<0进行讨论,把不等式x•f(x)<0转化为f(x)>0或f(x)<0的问题解决,根据f(x)是奇函数,且在(0,+∞)内是增函数,又f(﹣3)=0,把函数值不等式转化为自变量不等式,求得结果.【解答】解:∵f(x)是R上的奇函数,且在(0,+∞)内是增函数,∴在(﹣∞,0)内f(x)也是增函数,又∵f(﹣3)=0,∴f(3)=0∴当x∈(﹣∞,﹣3)∪(0,3)时,f(x)<0;当x∈(﹣3,0)∪(3,+∞)时,f(x)>0;∴x•f(x)<0的解集是(﹣3,0)∪(0,3)故答案为:(﹣3,0)∪(0,3).【点评】考查函数的奇偶性和单调性解不等式,体现了分类讨论的思想方法,属基础题.9.(2017•陕西校级模拟)奇函数f(x)的定义域为(﹣5,5),若x∈[0,5)时,f(x)的图象如图所示,则不等式f(x)<0的解集为(﹣2,0)∪(2,5).【分析】由奇函数的图象关于原点对称便可得出f(x)在(﹣5,0]上的图象,这样根据f(x)在(﹣5,5)上的图象便可得出f(x)<0的解集.【解答】解:根据奇函数的图象关于原点对称得出f(x)在(﹣5,0]上的图象如下所示:∴f(x)<0的解集为(﹣2,0)∪(2,5).故答案为:(﹣2,0)∪(2,5).【点评】考查奇函数的概念,奇函数图象的对称性,由函数图象解不等式f(x)<0的方法.10.设f(x)的定义域为D,f(x)满足下面两个条件,则称f(x)为闭函数.①f(x)在D内是单调函数;②存在[a,b]⊆D,f(x)在[a,b]上的值域为[a,b].如果f(x)=为闭函数,那么k的取值范围是.【分析】函数f(x)=是[,+∞)上的增函数,因此若函数f(x)=为闭函数,则可得函数y=f(x)的图象与直线y=x相交于点(a,a)和(b,b).因此方程k=x﹣在[,+∞)上有两个不相等的实数根a、b.最后采用换元法,讨论二次函数的单调性,可得f(x)=为闭函数时,实数k的取值范围是:.【解答】解:∵k是常数,函数y=是定义在[,+∞)上的增函数,∴函数f(x)=是[,+∞)上的增函数,因此,若函数f(x)=为闭函数,则存在区间[a,b]⊆D,使f(x)在[a,b]上的值域为[a,b].可得函数y=f(x)的图象与直线y=x相交于点(a,a)和(b,b)(如图所示)∴,可得方程k=x﹣在[,+∞)上有两个不相等的实数根a、b令t=,得x=,设函数F(x)═x﹣=g(t),(t≥0)即g(t)=t2﹣t﹣,在t∈[0,1]时,g(t)为减函数﹣1≤g(t)≤;在t∈[1,+∞)时,g(t)为增函数g(t)≥﹣1;∴当时,有两个不相等的t值使g(t)=k成立,相应地有两个不相等的实数根a、b满足方程k=x﹣,当f(x)=为闭函数时,实数k的取值范围是:.故答案为:【点评】本题以含有根式的函数为例,探求函数为闭函数时参数k的取值范围,着重考查了函数的单调性、换元法讨论二次函数等知识点,属于中档题.11.如果对定义在R上的函数f(x),以任意两个不相等的实数x1,x2,都有x1f(x1)+x2f(x2)>x1f(x2)+x2f(x1),则称函数f(x)为“H函数”.给出下列函数:①y=﹣x3+x+1;②y=3x﹣2(sin x﹣cos x);③y=e x+1;④f(x)=以上函数是“H函数”的所有序号为②③.【分析】不等式x1f(x1)+x2f(x2)>x1f(x2)+x2f(x1)等价为(x1﹣x2)[f(x1)﹣f(x2)]>0,即满足条件的函数为单调递增函数,判断函数的单调性即可得到结论.【解答】解:∵对于任意给定的不等实数x1,x2,不等式x1f(x1)+x2f(x2)>x1f(x2)+x2f(x1)恒成立,∴不等式等价为(x1﹣x2)[f(x1)﹣f(x2)]>0恒成立,即函数f(x)是定义在R上的增函数.对于①y=﹣x3+x+1;y′=﹣3x2+1,则函数在定义域上不单调;对于②y=3x﹣2(sinx﹣cosx);y′=3﹣2(cosx+sinx)=3﹣2sin(x+)>0,函数单调递增,满足条件;对于③y=e x+1为增函数,满足条件;④f(x)=,当x>0时,函数单调递增,当x<0时,函数单调递减,不满足条件.综上满足“H函数”的函数为②③,故答案为:②③.【点评】本题主要考查函数单调性的应用,将条件转化为函数的单调性的形式是解决本题的关键.12.已知函数f(x)=在区间(﹣∞,a]上单调递减,在(a,+∞)上单调递增,则实数a的取值范围是[﹣1,0] .【分析】根据二次函数的性质以及对数函数的性质求出a的范围即可.【解答】解:由y=x2在(﹣∞,0)递减,故a≤0,由x+1>0,解得:x>﹣1,故a≥﹣1,故答案为:[﹣1,0].【点评】本题考查了二次函数以及对数函数的性质,考查函数的单调性问题,是一道基础题.13.若函数f(x)=|e x+|在[0,1]上单调递减,则实数a的取值范围是(﹣∞,﹣e2]∪[e2,+∞).【分析】可看出,为去掉绝对值号,需讨论a:(1)a>0时,得出,求导数,根据题意f′(x)≤0在x∈[0,1]上恒成立,从而得到a≥e2x在x∈[0,1]上恒成立,从而得出a≥e2;(2)a=0时,显然不满足题意;(3)a<0时,可看出函数在R上单调递增,而由可解得,从而得出f(x)在上单调递减,从而便可得出,这又可求出一个a的范围,以上a的范围求并集便是实数a的取值范围.【解答】解:(1)当a>0时,,;∵f(x)在[0,1]上单调递减;∴x∈[0,1]时,f′(x)≤0恒成立;即x∈[0,1]时,a≥e2x恒成立;y=e2x在[0,1]上的最大值为e2;∴a≥e2;(2)当a=0时,f(x)=e x,在[0,1]上单调递增,不满足[0,1]上单调递减;∴a≠0;(3)当a<0时,在R上单调递增;令得,;∴f(x)在上为减函数,在上为增函数;又f(x)在[0,1]上为减函数;∴;∴a≤﹣e2;∴综上得,实数a的取值范围为(﹣∞,﹣e2]∪[e2,+∞).故答案为:(﹣∞,﹣e2]∪[e2,+∞).【点评】本题考查指数函数的值域,函数单调性和函数导数符号的关系,考查增函数和减函数的定义、反比例函数的单调性、以及对数的运算性质.14.已知函数为减函数,则a的取值范围是(0,] .【分析】由题意可知,y=a x递减,y=(a﹣3)x+4a递减,且a0≥(a﹣3)×0+4a,由此可得关于a的不等式组,解出即可.【解答】解:因为函数f(x)为减函数,所以y=a x递减,y=(a﹣3)x+4a递减,且a0≥(a﹣3)×0+4a,所以,解得0<a,故答案为:(0,].【点评】本题考查函数单调性的性质,考查学生分析解决问题的能力,属中档题.15.设奇函数f(x)在[﹣1,1]上是增函数,f(﹣1)=﹣1.若函数f(x)≤t2﹣2at+1对所有的x∈[﹣1,1]都成立,则当a∈[﹣1,1]时,t的取值范围是t≤﹣2或t=0或t≥2 .【分析】有f(﹣1)=﹣1得f(1)=1,f(x)≤t2﹣2at+1对所有的x∈[﹣1,1]都成立,只需要比较f(x)的最大值与t2﹣2at+1即可.【解答】解:若函数f(x)≤t2﹣2at+1对所有的x∈[﹣1,1]都成立,由已知易得f(x)的最大值是1,∴1≤t2﹣2at+1⇔2at﹣t2≤0,设g(a)=2at﹣t2(﹣1≤a≤1),欲使2at﹣t2≤0恒成立,则⇔t≥2或t=0或t≤﹣2.答案:t≤﹣2或t=0或t≥2【点评】本题把函数的奇偶性,单调性与最值放在一起综合考查,是道函数方面的好题.三.解答题(共15小题)16.对于函数,定义.已知偶函数g(x)的定义域为(﹣∞,0)∪(0,+∞),g(1)=0;当x>0,且x≠1时,g(x)=f2018(x).(1)求f2(x),f3(x),f4(x),并求出函数y=g(x)的解析式;(2)若存在实数a,b(a<b)使得函数g(x)在[a,b]上的值域为[mb,ma],求实数m的取值范围.【分析】(1)根据函数关系进行求解即可.(2)根据函数奇偶性的性质,结合函数的值域关系进行求解即可.【解答】解:(1)因为,故对任意的n∈N•,有f3n+i (x)=fi(x)(i=2,3,4),于是;..由g(x)为偶函数,..…(6分)(2)由于y=g(x)的定义域为(﹣∞,0)∪(0,+∞),又a<b,mb<ma,可知a与b同号,且m<0;进而g(x)在[a,b]递减,且a <b<0.…(8分)函数y=g(x)的图象,如图所示.由题意,有…(10分)故a,b是方程的两个不相等的负实数根,即方程mx2﹣x﹣1=0在(﹣∞,0)上有两个不相等的实根,于是…(12分)综合上述,得:实数m的取值范围为.…(14分)注:若采用数形结合,得出直线y=mx与曲线有两个不同交点,并进行求解也可.【点评】本题主要考查函数解析式的求解以及函数奇偶性的应用,考查学生的运算和推理能力.17.已知f(x)的定义域为{x∈R|x≠0},且f(x)是奇函数,当x>0时f(x)=﹣x2+bx+c,若f(1)=f(3),f(2)=2.(1)求b,c的值;(2)求f(x)在x<0时的表达式.【分析】(1)根据f(1)=f(3)得函数图象关于直线x=2对称,结合抛物线对称轴的公式列式得到b的值,再由f(2)=2列式,解出c的值.(2)当x<0时,﹣x是正数,代入题中正数范围内的表达式得到f(﹣x)的式子,再结合f(x)是奇函数,取相反数即可得到f(x)在x<0时的表达式.【解答】解:(1)∵f(1)=f(3),∴函数图象的对称轴x==2,得b=4又∵f(2)=﹣4+4×2+c=2,∴c=﹣2(2)由(1)得当x>0时f(x)=﹣x2+4x+2,当x<0时,f(﹣x)=﹣(﹣x)2+4(﹣x)+2=﹣x2﹣4x+2,∵f(x)是奇函数,∴当x<0时,f(x)=﹣f(﹣x)=x2+4x﹣2.【点评】本题给出二次函数的对应值,求函数表达式,并且在函数为奇函数的情况下求x<0时的表达式.着重考查了函数奇偶性的性质和函数解析式的求解及常用方法,属于基础题.18.已知f(x)是定义在R上的偶函数,且x≤0时,f(x)=log(1﹣x).(1)求f(0),f(1);(2)求函数f(x)的解析式.【分析】(1)利用函数的奇偶性的性质,求解函数值即可.(2)利用函数的奇偶性以及已知条件真假求解函数的解析式即可.【解答】解:(1)f(x)是定义在R上的偶函数,且x≤0时,f(x)=log(1﹣x).f(0)=0,f(1)=f(﹣1)=log(1+1)=﹣1.(2)f(x)是定义在R上的偶函数,且x≤0时,f(x)=log(1﹣x).x>0时,f(x)=f(﹣x)=log(1+x).可得:f(x)=.【点评】本题考查函数的性质,函数值以及函数的解析式的求法,考查计算能力.19.已知函数f(x)=kx+log9(9x+1)(k∈R)是偶函数.(1)求k的值;(2)若函数g(x)=log(a•3x﹣a)的图象与f(x)的图象有且只有一个公9共点,求a的取值范围.【分析】(1)根据函数奇偶性的性质建立方程进行求解.(2)根据函数g(x)和f(x)图象的交点个数进行讨论求解.(9﹣x+1)【解答】解:(1)∵f(x)是偶函数,∴由f(﹣x)=f(x)得﹣kx+log9=kx+log(9x+1),9整理得;(2)由题意知,方程只有一解,即有且只有一个实根,令t=3x,则t∈(0,+∞),从而方程有且只有一个正实根t,当a﹣1=0时,(舍去),当a﹣1≠0时,若判别式△=0,即+4a﹣4=0,即4a2+9a﹣9=0得a=﹣3或a=,当a=时,t<0,不满足条件.舍去,若△>0,则t1t2<0,得,则a>1,从而所求a的范围是{﹣3}∪(1,+∞).【点评】本题主要考查函数奇偶性的应用以及函数图象的应用,利用分类讨论的数学思想是解决本题的关键.考查学生的运算能力.20.已知函数f(x)=e x﹣e﹣x(x∈R,e=2.71828…)(Ⅰ)求证:函数f(x)为奇函数;(Ⅱ)t为实数,且f(x﹣t)+f(x2﹣t2)≥0对一切实数x都成立,求t的值.【分析】(Ⅰ)求得f(x)的定义域,计算f(﹣x)与f(x)的关系,即可得证;(Ⅱ)f(x﹣t)+f(x2﹣t2)≥0,即为f(x2﹣t2)≥﹣f(x﹣t)=f(t﹣x),判断f(x)在R上递增,去掉f,运用参数分离,求得右边二次函数的最小值,计算即可得到所求值.【解答】解:(Ⅰ)证明:f(x)的定义域为R,f(﹣x)=e﹣x﹣e x=﹣(e x﹣e﹣x)=﹣f(x),即有函数f(x)为奇函数;(Ⅱ)f(x﹣t)+f(x2﹣t2)≥0,即为f(x2﹣t2)≥﹣f(x﹣t)=f(t﹣x),由f(x)=e x﹣e﹣x在R上为增函数,可得x2﹣t2≥t﹣x,即有t2+t≤x+x2,由x+x2=(x+)2﹣,可得t2+t≤﹣,即有(t+)2≤0,但(t+)2≥0,则t=﹣.【点评】本题考查函数的奇偶性的判断和运用:解不等式,考查恒成立问题的解法,注意运用函数的性质和参数分离,以及二次函数的最值的求法,考查运算能力,属于中档题.21.已知定义在实数集上的奇函数f(x),当x∈(0,1)时,f(x)=.(1)求函数f(x)在(﹣1,1)上的解析式;(2)判断函数f(x)在(0,1)上的单调性并加以证明;(3)当λ取何值时,方程f(x)=λ在上(﹣1,1)有实数解?【分析】(1)利用函数奇偶性的性质进行转化求解即可.(2)根据函数单调性的定义,利用定义法进行证明.(3)根据函数奇偶性和单调性的关系求出函数在(﹣1,1)上的值域即可得到结论.【解答】解:(1)∵函数f(x)是奇函数,∴f(0)=0,当x∈(﹣1,0)时,﹣x∈(0,1),则f(﹣x)===﹣f(x),则f(x)=﹣.x∈(﹣1,0),故函数f(x)在(﹣1,1)上的解析式为f(x)=;(2)设0<x1<x2<1,则f(x1)﹣f(x2)=﹣=,∵0<x1<x2<1,∴>2,﹣2>0,则f(x1)﹣f(x2)>0,即f(x1)>f(x2),即函数f(x)在(0,1)上的单调递减;(3)∵f(x)在(0,1)上的单调递减,∴当0<x<1时,f(1)<f(x)<f(0),即<f(x)<,∵f(x)是奇函数,∴当﹣1<x<0时,﹣<f(x)<﹣,∵f(0)=0,∴在(﹣1,1)上函数f(x)的取值范围是(,)∪(﹣,﹣)∪{0},则若方程f(x)=λ在上(﹣1,1)有实数解,则λ∈(,)∪(﹣,﹣)∪{0}.【点评】本题主要考查函数奇偶性的应用以及函数单调性和值域的判断和应用,利用定义法以及函数单调性和值域之间的关系是解决本题的关键.22.()已知函数是奇函数.(1)求a的值;(2)判断函数f(x)的单调性,并用定义证明;(3)求函数的值域.【分析】(1)根据函数f(x)为定义域为R的奇函数,则f(0)=0,代入解析式可求出a的值;(2)由(1)知,所以f(x)为增函数,任取x1<x2∈R,然后判定f(x1)﹣f(x2)的符号,根据函数单调性的定义即可判定;(3)令,求出2x,根据2x的范围可求出y的范围,从而求出函数的值域.【解答】解:(1)f(x)的定义域为R,且为奇函数,∴f(0)=0,∴a=1(2)由(1)知,所以f(x)为增函数证明:任取x1<x2∈Rf(x1)﹣f(x2)=1﹣﹣1+=∵x1<x2∈R∴∴f(x1)﹣f(x2)<0即f(x1)<f(x2)∴f(x)为R上的增函数.(3)令则而2x>0∴∴﹣1<y<1所以函数f(x)的值域为(﹣1,1)【点评】本题主要考查了函数的奇偶性,以及函数的单调性和函数的值域,属于中档题.23.已知定义在R上的函数f(x)=2x﹣a•2﹣x为奇函数.(1)求a的值,并判断f(x)的单调性(不用给证明);(2)t为实数,且f(x﹣t)+f(x2﹣t2)≥0对一切实数x都成立,求t的值.【分析】(1)根据奇函数的性质:f(0)=0,列出方程求出a,利用指数函数的单调性判断f(x)的单调性;(2)由奇函数f(x)的单调性转化不等式,由二次函数的恒成立列出不等式求出t的值.【解答】解:(1)∵f(x)=2x﹣a•2﹣x为奇函数,∴f(0)=0,则1﹣a=0,解得a=1,即f(x)=2x﹣2﹣x=2x﹣,∵函数y=2x、y=﹣在定义域上是增函数,∴f(x)=2x﹣在R上单调递增;(2))∵f(x)是奇函数,且在R上是增函数,∴f(x﹣t)+f(x2﹣t2)≥0化为:f(x2﹣t2)≥﹣f(x﹣t)=f(﹣x+t),∴x2﹣t2≥﹣x+t,则x2+x﹣t2﹣t≥0对一切实数x恒成立,∴△=12﹣4×1×(﹣t2﹣t)≤0,则(2t+1)2≤0,解得t=,∴t的值是.【点评】本题考查函数单调性与奇偶性综合应用,以及二次函数的性质,考查转化思想,属于中档题.24.如果奇函数f(x)是定义域(﹣1,1)上的减函数,且f(1﹣m)+f(1﹣m2)<0,求实数m的取值范围.【分析】根据定义域先建立两个不等关系式,再结合函数的单调性和奇偶性建立关系式,解之即可.【解答】解:因为函数f(x)的定义域是(﹣1,1)所以有﹣1<1﹣m<1 ①﹣1<1﹣m2<1 ②又f(x)是奇函数,所以f(1﹣m)+f(1﹣m2)<0可变为f(1﹣m)>f(m2﹣1)又f(x)在(﹣1,1)内是减函数,所以1﹣m<m2﹣1 ③由①、②、③得.【点评】本题主要考查了函数单调性与奇偶性的应用,以及不等式的求解,属于中档题.25.已知定义在[﹣3,3]上的函数y=f(x)是增函数.(1)若f(m+1)>f(2m﹣1),求m的取值范围;(2)若函数f(x)是奇函数,且f(2)=1,解不等式f(x+1)+1>0.【分析】(1)由题意可得,,由此解不等式组求得m的范围.(2)由题意可得f(x+1)>f(﹣2),所以,即可得出结论.【解答】解:由题意可得,,求得﹣1≤m<2,即m的范围是[﹣1,2).(2)∵函数f(x)是奇函数,且f(2)=1,∴f(﹣2)=﹣f(2)=﹣1,∵f(x+1)+1>0,∴f(x+1)>﹣1,∴f(x+1)>f(﹣2),∴,∴﹣3<x≤2.∴不等式的解集为{x|﹣3<x≤2}.【点评】本题主要考查函数的单调性的应用,考查学生分析解决问题的能力,正确转化是关键,属于中档题.26.设f(x)是定义在R上的奇函数,且对任意a、b∈R,当a+b≠0时,都有.(1)若a>b,试比较f(a)与f(b)的大小关系;(2)若f(9x﹣2•3x)+f(2•9x﹣k)>0对任意x∈[0,+∞)恒成立,求实数k的取值范围.【分析】(1)由a>b,得,所以f(a)+f(﹣b)>0,由f(x)是定义在R上的奇函数,能得到f(a)>f(b).(2)由f(x)在R上是单调递增函数,利用奇偶性、单调性可把f(9x﹣2•3x)+f(2•9x﹣k)>0中的符号“f”去掉,分离出参数k后转化为函数最值即可解决.【解答】解:(1)∵对任意a,b,当a+b≠0,都有.∴,∵a>b,∴a﹣b>0,∴f(a)+f(﹣b)>0,∵f(x)是定义在R上的奇函数,∴f(﹣b)=﹣f(b),∴f(a)﹣f(b)>0,∴f(a)>f(b);(2)由(1)知f(x)在R上是单调递增函数,又f(9x﹣2•3x)+f(2•9x﹣k)>0,得f(9x﹣2•3x)>﹣f(2•9x﹣k)=f (k﹣2•9x),故9x﹣2•3x>k﹣2•9x,即k<3•9x﹣2•3x,令t=3x,则t≥1,所以k<3t2﹣2t,而3t2﹣2t=3﹣在[1,+∞)上递增,所以3t2﹣2t≥3﹣2=1,所以k<1,即所求实数k的范围为k<1.【点评】本题考查解函数恒成立问题的应用,考查运算求解能力,推理论证能力;考查函数与方程思想,化归与转化思想.综合性强,是高考的重点,易出错.解题时要认真审题,注意转化思想的灵活运用.27.已知定义域为R的单调函数f(x)是奇函数,当x>0时,f(x)=﹣2x (Ⅰ)求f(﹣1)的值;(Ⅱ)求f(x)的解析式;(Ⅲ)若对任意的t∈R,不等式f(t2﹣2t)+f(2t2﹣k)<0恒成立,求实数k 的取值范围.【分析】(I)根据题意得,f(﹣1)=﹣f(1),结合当x>0时,f(x)=﹣2x 即可求出f(﹣1);(II)由定义域为R的函数f(x)是奇函数,知f(0)=0.当x<0时,f(﹣x)=﹣2﹣x,由函数f(x)是奇函数,知f(x)=+2﹣x,由此能求出f(x)的解析式.(III)由f(1)=﹣<f(0)=0且f(x)在R上单调,知f(x)在R上单调递减,由f(t2﹣2t)+f(2t2﹣k)<0,得f(t2﹣2t)<﹣f(2t2﹣k),再由根的差别式能求出实数k的取值范围.【解答】解:(I)f(﹣1)=﹣f(1)=﹣(﹣2)=;(II)∵定义域为R的函数f(x)是奇函数,∴f(0)=0,当x<0时,﹣x>0,f(﹣x)=﹣﹣2﹣x,又∵函数f(x)是奇函数,∴f(﹣x)=﹣f(x),∴f(x)=+2﹣x,综上所述f(x)=.(III)∵f(1)=﹣<f(0)=0,且f(x)在R上单调,∴f(x)在R上单调递减,由f(t2﹣2t)+f(2t2﹣k)<0,得f(t2﹣2t)<﹣f(2t2﹣k),∵f(x)是奇函数,∴f(t2﹣2t)<f(k﹣2t2),又∵f(x)是减函数,∴t2﹣2t>k﹣2t2即3t2﹣2t﹣k>0对任意t∈R恒成立,∴△=4+12k<0得k<﹣,即为所求.【点评】本题考查函数的恒成立问题,解题时要认真审题,仔细解答,注意合理地进行等价转化,同时注意函数性质的灵活运用.28.已知函数.(1)判断函数f(x)的奇偶性,并给出证明;(2)解不等式:f(x2+x+3)+f(﹣2x2+4x﹣7)>0;(3)若函数g(x)=lnx﹣(x﹣1)在(1,+∞)上单调递减,比较f(2)+f (4)+…+f(2n)与2n(n∈N*)的大小关系,并说明理由.【分析】(1)根据函数奇偶性的定义进行判断即可.(2)根据函数奇偶性和单调性的关系将不等式进行转化即可.(3)根据函数单调性的性质结合对数函数的运算法则进行求解即可.【解答】解:(1)函数f(x)为奇函数.…1分证明如下:由,解得x<﹣1或x>1,所以函数的定义域为(﹣∞,﹣1)∪(1,+∞)…2分对任意的x∈(﹣∞,﹣1)∪(1,+∞),有,所以函数f(x)为奇函数.…4分(2)任取x1,x2∈(1,+∞),且x1<x2,则==,…5分因为 x2>x1>1,所以 x1•x2+x2﹣x1﹣1>x1•x2﹣(x2﹣x1)﹣1>0,所以,所以 f(x1)﹣f(x2)>0,所以f(x1)>f(x2),所以函数y=f(x)在(1,+∞)单调递减;…7分由f(x2+x+3)+f(﹣2x2+4x﹣7)>0得:f(x2+x+3)>﹣f(﹣2x2+4x﹣7),即f(x2+x+3)>f(2x2﹣4x+7),又,2x2﹣4x+7=2(x﹣1)2+5>1,所以 x2+x+3<2x2﹣4x+7,…9分解得:x<1或x>4,所以原不等式的解集为:(﹣∞,1)∪(4,+∞).…10分(3)f(2)+f(4)+…+f(2n)<2n(n∈N*).理由如下:…11分因为,所以 f(2)+f(4)+…+f(2n)﹣2n=ln(2n+1)﹣2n=ln(2n+1)﹣[(2n+1)﹣1],…13分又 g(x)=lnx﹣(x﹣1)在(1,+∞)上单调递减,所以当x>1时,g(x)<g(1)=0,所以 g(2n+1)<0,…15分即 ln(2n+1)﹣[(2n+1)﹣1]<0,故 f(2)+f(4)+…+f(2n)<2n(n∈N*).…16分【点评】本题主要考查函数奇偶性的判断,以及不等式的求解,结合对数的运算法则是解决本题的关键.29.已知函数f(x)=的定义域上的奇函数,且f(2)=﹣,函数g(x)是R上的增函数,g(1)=1且对任意x,y∈R,总有g(x+y)=g(x)+g(y)(Ⅰ)求函数f(x)的解析式(Ⅱ)判断函数f(x)在(1,+∞)上的单调性,并加以证明(Ⅲ)若g(2a)>g(a﹣1)+2,求实数a的取值范围.【分析】(Ⅰ)由题意可得f(﹣x)=﹣f(x),可得n,利用f(2)=﹣,求出m,即可求函数f(x)的解析式(Ⅱ)利用导数判断证明判断函数f(x)在(1,+∞)上的单调性;(Ⅲ)确定g(x)为奇函数,g(2)=g(1)+g(1)=2,g(2a)>g(a﹣1)+2,化为g(2a)>g(a+1),利用函数g(x)是R上的增函数,可得不等式,解不等式即可得到a的范围.【解答】解:(Ⅰ)由定义域为R的函数f(x)=是奇函数,可得=﹣,即n+3x=﹣n+3x,解得n=0,∵f(2)=﹣,∴=﹣,∴m=2,∴f(x)=;(Ⅱ)函数f(x)在(1,+∞)上单调递减.∵f(x)==﹣(x+),∴f′(x)=﹣,∵x>1,∴f′(x)<0,∴函数f(x)在(1,+∞)上单调递减;(Ⅲ)令x=y=0,得g(0)=0,令y=﹣x,可得g(0)=g(x)+g(﹣x),∴g(﹣x)=﹣g(x),∴g(x)为奇函数,∵g(1)=1,∴g(2)=g(1)+g(1)=2,∵g(2a)>g(a﹣1)+2,∴g(2a)>g(a+1),∵函数g(x)是R上的增函数,∴2a>a+1,∴a>1.【点评】本题考查函数的奇偶性和单调性的判断及应用:解不等式,考查二次不等式恒成立问题的解法,考查运算能力,属于中档题和易错题.30.己知f(x)为奇函数,g(x)为偶函数,且f(x)+g(x)=21og(1﹣x).2(1)求函数f(x)及g(x)的解析式;(2)用函数单调性的定义证明:函数g(x)在(0,1)上是减函数;(3)若关于x的方程f(2x)=m有解,求实数m的取值范围.(1+x),【分析】(1)根据f(x),g(x)的奇偶性便有﹣f(x)+g(x)=2log2联立f(x)+g(x)=2log(1﹣x)便可解出f(x)=,g(x)=;2(2)根据减函数的定义,设任意的x1,x2∈(0,1),且x1<x2,然后作差,可以得出,根据对数函数的单调性便可得出g(x1)>g(x2),从而得出g(x)在(0,1)上单调递减;(3)求出,根据1﹣2x>0便可得出1+2x的范围,从而得出﹣1+的范围,根据对数函数的单调性便可得出f(2x)的范围,从而便可得出m的取值范围.【解答】解:(1)根据题意:f(﹣x)+g(﹣x)=2log2(1+x);∴﹣f(x)+g(x)=2log2(1+x),联立f(x)+g(x)=2log2(1﹣x)得:f(x)=log2(1﹣x)﹣log2(1+x)=,g(x)=log2(1+x)+log2(1﹣x)=;即;(2)设x1,x2∈(0,1),且x1<x2,则:;∵0<x1<x2<1;∴;∴;∴;∴g(x1)>g(x2);∴g(x)在(0,1)上是减函数;(3);∵1﹣2x>0;∴0<2x<1;∴;∴;∴f(2x)<0;∴m<0;∴m的取值范围为(﹣∞,0).【点评】考查奇函数、偶函数的定义,对数的运算,以及减函数的定义,根据减函数的定义证明一个函数为减函数的方法和过程,作差的方法比较g(x1),g(x2),对数函数的单调性,分离常数法的运用.。
课时作业(二十) 函数的奇偶性[练基础]1.下列函数中是偶函数,且在区间(0,1)上为增函数是( )A .y =|x |B .y =3-xC .y =1xD .y =-x 2+4 2.若f (x )=ax 2+bx +c (a ≠0)是偶函数,则g (x )=ax 3+bx 2+cx 是( )A .奇函数B .偶函数C .非奇非偶函数D .既是奇函数又是偶函数3.f (x )是定义在[-6,6]上的偶函数,且f (1)<f (3),则下列各式一定成立的是( )A .f (0)<f (6)B .f (-3)>f (1)C .f (2)<f (3)D .f (-1)>f (0)4.已知f (x )=ax 3+bx +1(ab ≠0).若f (2 020)=k ,则f (-2 020)=( )A .kB .-kC .1-kD .2-k5.已知f (x )为R 上的奇函数,x >0时,f (x )=x 2+2x ,则f (-1)=________. 6.定义在R 上的奇函数y =f (x )在(0,+∞)上递增,且f ⎝ ⎛⎭⎪⎫12=0,则满足f (x )>0的x 的集合为_____________.[提能力]7.函数f (x )的定义域为R ,对∀x 1,x 2∈[1,+∞)(x 1≠x 2),有f x 2-f x 1x 2-x 1<0,且函数f (x +1)为偶函数,则( )A .f (1)<f (-2)<f (3)B .f (-2)<f (3)<f (1)C .f (-2)<f (1)<f (3)D .f (3)<f (1)<f (-2) 8.[多选题]若y =f (x ),x ∈R 是奇函数,则下列点一定在函数y =f (x )图象上的是( )A .(0,0)B .(-a ,-f (a ))C .(-a ,-f (-a ))D .(a ,f (-a ))9.已知函数f (x )=px +q x 2+1(p ,q 为常数)是定义在[-1,1]上的奇函数,且f (1)=12. (1)求函数f (x )的解析式;(2)判断f (x )在[-1,1]上的单调性,并用定义证明;(3)解关于x 的不等式f (x -1)+f (x )<0.[战疑难]10.已知函数y =f (x )(x ∈R 且x ≠0)对任意实数x 1,x 2满足f (x 1)+f (x 2)=f (x 1x 2).(1)求f (1)和f (-1)的值;(2)求证:y =f (x )为偶函数;(3)若y =f (x )在(0,+∞)上为减函数,试求满足不等式f (2x -1)>f (1)的x 的取值范围..课时作业(二十) 函数的奇偶性1.解析:选项A 中,函数y =|x|为偶函数,且在区间(0,1)上为增函数,故A 符合题意;选项B 中,函数y =3-x 为非奇非偶函数,且在区间(0,1)上为减函数,故B 不符合题意;选项C 中,函数y =1x为奇函数,且在区间(0,1)上为减函数,故C 不符合题意;选项D, 函数y =-x2+4为偶函数,且在区间(0,1)上为减函数,故D 不符合题意.答案:A2.解析:∵f(x)=ax2+bx +c(a ≠0)是偶函数,∴f(-x)=f(x),即a(-x)2-bx +c =ax2+bx +c ,∴b =0,∴g(x)=ax3+cx ,∴g(-x)=a(-x)3+c(-x)=-g(x),∴g(x)是奇函数.故选A.答案:A3.解析:由于函数y =f(x)是定义在[-6,6]上的偶函数,且f(1)<f(3).对于A 选项,f(0)与f(6)的大小无法判断;对于B 选项,f(-3)=f(3)>f(1),该不等式成立;对于C 选项,f(2)与f(3)的大小无法判断;对于D 选项,f(-1)=f(1),f(0)与f(1)的大小无法判断.故选B.答案:B4.解析:令g(x)=ax3+bx ,则g(x)为奇函数,∵f(2 020)=g(2 020)+1=k ,∴g(2 020)=k -1,∴f(-2 020)=g(-2 020)+1=-g(2 020)+1=-(k -1)+1=2-k. 答案:D5.解析:∵f(x)为奇函数,∴f(-1)=-f(1)=-(1+2)=-3.答案:-36.解析:由奇函数y =f(x)在(0,+∞)上递增,且f ⎝ ⎛⎭⎪⎫12=0,得函数y =f(x)在(-∞,0)上递增,且f ⎝ ⎛⎭⎪⎫-12=0,∴x>12或-12<x<0. 答案:⎩⎨⎧⎭⎬⎫x | -12<x<0或x>12 7.解析:对任意的x1,x2∈[1,+∞)(x1≠x2),有f x2-f x1x2-x1<0,即对任意的x1,x2∈[1,+∞)(x1≠x2),设x1<x2,都有f(x1)>f(x2),所以f(x)在[1,+∞)上单调递减.又函数f(x +1)为偶函数,即f(x +1)=f(1-x).则f(x)的图象关于直线x =1对称.所以f(-2)=f(4),则f(-2)=f(4)<f(3)<f(1).故选B.答案:B8.解析:因为y =f(x),x ∈R 是奇函数,所以f(-x)=-f(x),又x ∈R ,所以令x =0,则f(-0)=-f(0),得f(0)=0,所以点(0,0),(-a ,-f(a))一定在y =f(x)的图象上.故选AB.答案:AB9.解析:(1)依题意,函数f(x)=px +q x2+1(p ,q 为常数)是定义在[-1,1]上的奇函数,则有f(0)=q =0,则f(x)=pxx2+1.又由f(1)=12,得p 2=12,解得p =1.所以f(x)=xx2+1.(2)函数f(x)在[-1,1]上单调递增.证明如下:任取-1≤x1<x2≤1,则x1-x2<0,-1≤x1x2<1,从而f(x1)-f(x2)=x1x21+1-x2x22+1=x1-x21-x1x2x21+1x22+1<0,所以f(x1)<f(x2),所以函数f(x)在[-1,1]上单调递增.(3)原不等式可化为f(x -1)<-f(x),即f(x -1)<f(-x).由(2)可得,函数f(x)在[-1,1]上单调递增,所以有⎩⎪⎨⎪⎧ -1≤x -1≤1,-1≤-x ≤1,x -1<-x ,解得0≤x<12,即原不等式的解集为⎩⎪⎨⎪⎧⎭⎪⎬⎪⎫x ⎪⎪⎪ 0≤x<12.10.解析:(1)当x1=x2=1时,f(1)+f(1)=f(1),得f(1)=0;当x1=x2=-1时,f(-1)+f(-1)=f[(-1)×(-1)]=f(1)=0,∴2f(-1)=0,∴f(-1)=0.(2)证明:当x2=-1时,f(x1)+f(-1)=f(-x1),又f(-1)=0,∴f(x1)=f(-x1).∵x ∈R 且x ≠0,∴f(x)的定义域关于原点对称,∴f(x)是偶函数.(3)∵f(x)在(0,+∞)上为减函数,且f(x)是偶函数,∴f(x)在(-∞,0)上为增函数,又f(2x -1)>f(1),∴f(|2x -1|)>f(1),∴|2x -1|<1,即0<x<1.又2x -1≠0,∴x ≠12,∴0<x<12或12<x<1, ∴x 的取值范围是⎝ ⎛⎭⎪⎫0,12∪⎝ ⎛⎭⎪⎫12,1.。
高中数学高考总复习函数的奇偶性习题及详解一、选择题1.(文)下列函数,在其定义域内既是奇函数又是增函数的是( ) A .y =x +x 3(x ∈R) B .y =3x (x ∈R)C .y =-log 2x (x >0,x ∈R)D .y =-1x (x ∈R ,x ≠0)A .-12B.12 C .1D.32[答案] B[解析] 由条件知,⎩⎪⎨⎪⎧f ?1?+g ?1?=2f ?-1?+g ?-1?=1,∵f (x )为奇函数,g (x )为偶函数.∴⎩⎪⎨⎪⎧f ?1?+g ?1?=2g ?1?-f ?1?=1,∴f (1)=12.4.(文)(2010·北京崇文区)已知f (x )是定义在R 上的偶函数,并满足f (x +2)=-1f ?x ?,当1≤x ≤2时,f (x )=x -2,则f (6.5)=( )A .4.5B .-4.5C .0.5D .-0.5[答案] D6.定义两种运算:a ?b =a 2-b 2,a ⊕b =|a -b |,则函数f (x )=2?x?x ⊕2?-2( )A .是偶函数B .是奇函数C .既是奇函数又是偶函数D .既不是奇函数又不是偶函数 [答案] B[解析] f (x )=4-x 2|x -2|-2,∵x 2≤4,∴-2≤x ≤2, 又∵x ≠0,∴x ∈[-2,0)∪(0,2]. 则f (x )=4-x 2-x ,f (x )+f (-x )=0,故选B.7.已知f (x )是定义在(-∞,+∞)上的偶函数,且在(-∞,0]上是增函数,设a =f (log 47),∈N *).∴f (x )的周期为4, 故f (2011)=f (3)=-12.[点评] 严格推证如下: f (x +2)=1+f ?x +1?1-f ?x +1?=-1f ?x ?,∴f (x +4)=f [(x +2)+2]=f (x ).即f (x )周期为4. 故f (4k +x )=f (x ),(x ∈N *,k ∈N *),9.设f (x )=lg ⎝⎛⎭⎫21-x +a 是奇函数,则使f (x )<0的x 的取值范围是( )A .(-1,0)B .(0,1)C .(-∞,0)D .(-∞,0)∪(1,+∞)[答案] A[解析] ∵f (x )为奇函数,∴f (0)=0,∴a =-1. ∴f (x )=lg x +11-x ,由f (x )<0得0<x +1<1=π6时,=6sin π6=π3>1二、填空题11.(文)已知f (x )=⎩⎪⎨⎪⎧sinπx ?x <0?f ?x -1?-1 ?x >0?,则f ⎝⎛⎭⎫-116+f ⎝⎛⎭⎫116的值为________. [答案] -2[解析] f ⎝⎛⎭⎫116=f ⎝⎛⎭⎫56-1=f ⎝⎛⎭⎫-16-2=sin ⎝⎛⎭⎫-π6-2=-52, f ⎝⎛⎭⎫-116=sin ⎝⎛⎭⎫-11π6=sin π6=12,∴原式=-2. (理)设f (x )是定义在R 上的奇函数,且y =f (x )的图象关于直线x =12对称,则f (1)+f (2)+f (3)+f (4)+f (5)=________.[答案] 0[解析] ∵f (x )的图象关于直线x =12对称,13.(文)若f (x )是定义在R 上的偶函数,其图象关于直线x =2对称,且当x ∈(-2,2)时,f (x )=-x 2+1.则f (-5)=________.[答案] 0[解析] 由题意知f (-5)=f (5)=f (2+3)=f (2-3)=f (-1)=-(-1)2+1=0.(理)已知函数f (x )是定义域为R 的奇函数,当-1≤x ≤1时,f (x )=a ,当x ≥1时,f (x )=(x +b )2,则f (-3)+f (5)=________.[答案] 12[解析] ∵f (x )是R 上的奇函数,∴f (0)=0,∵-1≤x ≤1时,f (x )=a ,∴a =0. ∴f (1)=(1+b )2=0,∴b =-1.∴当x ≤-1时,-x ≥1,f (-x )=(-x -1)2=(x +1)2, ∵f (x )为奇函数,∴f (x )=-(x +1)2, ∴f (x )=⎩⎪⎨⎪⎧-?x +1?2x ≤-10 -1≤x ≤1?x -1?2 x ≥1∴f (-3)+f (5)=-(-3+1)2+(5-1)2=12.数,显然x =-1不在f (x )的定义域内,故x =1也不在f (x )的定义域内,令x =-aa +2=1,得a =-1.故平时解题中要多思少算,培养观察、分析、捕捉信息的能力.(理)(2010·吉林长春质检)已知函数f (x )=lg ⎝⎛⎭⎫-1+a2+x 为奇函数,则使不等式f (x )<-1成立的x 的取值范围是________.[答案]1811<x <2[解析] ∵f (x )为奇函数,∴f (-x )+f (x )=0恒成立,∴lg ⎝⎛⎭⎫-1+a 2-x +lg ⎝⎛⎭⎫-1+a2+x=lg ⎝⎛⎭⎫-1+a 2-x ⎝⎛⎭⎫-1+a2+x =0,∴⎝⎛⎭⎫-1+a 2-x ⎝⎛⎭⎫-1+a2+x =1,∵a ≠0,∴4-ax 2-4=0,∴a =4,∴f (x )=lg ⎝⎛⎭⎫-1+42+x =lg 2-xx +2,∴g (x )=x 3+2x 2+x +2,g ′(x )=3x 2+4x +1=(3x +1)(x +1). 令g ′(x )=0,得x 1=-1,x 2=-13.∵当x ∈(-∞,-1)时,g ′(x )>0,当x ∈(-1,-13)时,g ′(x )<0,当x ∈(-13,+∞)时,g ′(x )>0,∴g (x )在x =-1处取得极大值,在x =-13处取得极小值.又∵g (-1)=2,g (-13)=5027,且方程g (x )+b =0即g (x )=-b 有三个不同的实数解,∴5027<-b <2,解得-2<b <-5027.16.(2010·揭阳模拟)设f (x )是定义在R 上的奇函数,且对任意实数x ,恒有f (x +2)=-f (x ).当x ∈[0,2]时,f (x )=2x -x 2.(1)求证:f (x )是周期函数; (2)当x ∈[2,4]时,求f (x )的解析式;又f (x )是周期为4的周期函数,∴f (0)+f (1)+f (2)+f (3)=f (4)+f (5)+f (6)+f (7)=…=f (2008)+f (2009)+f (2010)+f (2011)=0.∴f (0)+f (1)+f (2)+…+f (2011)=0. 17.(文)已知函数f (x )=1-42a x+a(a >0且a ≠1)是定义在(-∞,+∞)上的奇函数. (1)求a 的值; (2)求函数f (x )的值域;(3)当x ∈(0,1]时,tf (x )≥2x -2恒成立,求实数t 的取值范围.[解析] (1)∵f (x )是定义在(-∞,+∞)上的奇函数,即f (-x )=-f (x )恒成立,∴f (0)=0.即1-42×a 0+a=0,解得a =2.(2)∵y =2x -12x +1,∴2x =1+y1-y ,x 知1+y>0又因为曲线y =f (x )通过点(0,2a +3), 所以c =2a +3.③解由①,②,③组成的方程组得,a =-3,b =-6,c =-3. 从而f (x )=-3x 2-6x -3.所以F (x )=⎩⎪⎨⎪⎧-3?x +1?2x >03?x +1?2x <0. (2)由(1)知f (x )=-3x 2-6x -3,所以g(x)=kx-f(x)=3x2+(k+6)x+3. 由g(x)在[-1,1]上是单调函数知:-k+66≤-1或-k+66≥1,得k≤-12或k≥0.(3)因为f(x)是偶函数,可知b=0. 因此f(x)=ax2+c.又因为mn<0,m+n>0,可知m,n异号.。
函数的奇偶性知识讲解一、函数奇偶性的定义1.奇函数:设函数()y f x =的定义域为D ,如果对于D 内的任意一个x ,都有x D -∈,且()()f x f x -=-,则这个函数叫做奇函数.2.偶函数:设函数()y f x =的定义域为D ,如果对于D 内的任意一个x ,都有x D -∈,且()()f x f x -=,则这个函数叫做偶函数.二、奇偶函数的图象特征1.函数()y f x =是偶函数⇔()y f x =的图象关于y 轴对称;2.函数()y f x =是奇函数⇔()y f x =的图象关于原点对称.三、判断函数奇偶性的方法1.定义法:首先判断其定义域是否关于原点中心对称.若不对称,则为非奇非偶函数;若对称,则再判断()()f x f x -=-或()()f x f x -=是否为恒等式.定义的等价形式:()()0f x f x ±-=,()1()f x f x =±-.2.图象法3.性质法:设()f x ,()g x 的定义域分别是12,D D ,那么在它们的公共定义域12D D D = 上:奇±奇=奇,偶±偶=偶,奇⨯奇=偶,偶⨯偶=偶,奇⨯偶=奇;四、奇偶函数的性质1.函数具有奇偶性⇒其定义域关于原点对称;2.函数()y f x =是偶函数⇔()y f x =的图象关于y 轴对称;3.函数()y f x =是奇函数⇔()y f x =的图象关于原点对称.4.奇函数在对称区间上的单调性相同;偶函数在对称区间上的单调性相反.5.若奇函数()y f x =的定义域包含0,则(0)0f =.五、常见函数的奇偶性1.正比例函数(0)y kx k =≠是奇函数;2.反比例函数(0)k y k x=≠是奇函数;3.函数(00)y kx b k b =+≠≠,是非奇非偶函数;4.函数2(0)y ax c a =+≠是偶函数;5.常函数y c =是偶函数;6.对勾函数(0)k y x k x=+≠是奇函数;经典例题一.填空题(共12小题)1.给定四个函数:①y=x3+3;②y=1(x>0);③y=x3+1;④y=2+1.其中是奇函数的有①④(填序号).【解答】解::①函数的定义域为R,则f(﹣x)=﹣(x3+3)=﹣f(x),则函数f(x)是奇函数;②函数的定义域关于原点不对称,则函数f(x)为非奇非偶函数;③函数的定义域为R,f(0)=0+1=1≠0,则函数f(x)为非奇非偶函数;④函数的定义域为(﹣∞,0)∪(0,+∞),f(﹣x)=2+1−=﹣2+1=﹣f (x),则函数f(x)是奇函数,故答案为:①④2.f(x)是定义在R上的奇函数,当x<0时,f(x)=x2﹣3x,则当x>0时,f(x)=﹣x2﹣3x.【解答】解:∵f(x)是定义在R上的奇函数,∴f(﹣x)=﹣f(x),若x>0,则﹣x<0,∵x<0时,f(x)=x2﹣3x,∴当﹣x<0时,f(﹣x)=x2+3x=﹣f(x),∴f(x)=﹣x2﹣3x,故答案为:x2﹣3x,3.已知f(x)是R上偶函数,且在[0,+∞)上递减,比较o−34)与f(1+a+a2)的大小关系为f(1+a+a2)≤f(﹣34).【解答】解:根据题意,1+a+a2=(14+a+a2)+34=(a+12)2+34≥34,则又由f (x )在[0,+∞)上递减,则有f (1+a +a 2)≤f (34),又由f (x )是R 上偶函数,则有f (1+a +a 2)≤f (﹣34),故答案为:f (1+a +a 2)≤f (﹣34).4.已知f (x )是定义在(﹣1,1)上的奇函数,且在定义域上为增函数,若f (a ﹣2)<f (4﹣a 2),求a 2).【解答】解:因为f (x )是定义在(﹣1,1)上的奇函数,且在定义域上为增函数.所以f (a ﹣2)<f (4﹣a 2)等价于−1<−2<1−1<4−2<1−2<4−2,化简可得1<<33<2<5−3<<2解可得3<a <2.故答案为(3,2).5.设函数f (x )在R 上是偶函数,在区间(﹣∞,0)上递增,且f (2a 2+a +1)<f (2a 2﹣2a +3),则a 的取值范围=(23,+∞).【解答】解:根据题意,2a 2+a +1=2(a 2+12a +116)+78=2(a +12)2+78≥78,而2a 2﹣2a +3=2(a 2﹣a +14)+52=2(a ﹣12)2+52≥52;由f (x )在R 上是偶函数,在区间(﹣∞,0)上递增,可知f (x )在(0,+∞)上递减.若f (2a 2+a +1)<f (2a 2﹣2a +3),则2a 2+a +1>2a 2﹣2a +3,即3a ﹣2>0,解可得a >23,则a 的取值范围(23,+∞);故答案为:23,+∞).6.已知定义在R上的奇函数f(x)满足f(x)=x2+2x(x≥0),若f(3﹣a2)>f(2a﹣a2),则实数a的取值范围是a<32.【解答】解:∵函数f(x)=x2+2x(x≥0)是增函数,且f(0)=0,f(x)是奇函数∴f(x)是R上的增函数.由f(3﹣a2)>f(2a﹣a2),于是3﹣a2>2a﹣a2,因此,解得a<32.故答案为:a<32.7.若f(x)=ax3+bx+1﹣b是定义在区间[﹣4+a,a]的奇函数,则a+b= 3.【解答】解:∵f(x)=ax3+bx+1﹣b是定义在区间[﹣4+a,a]的奇函数,∴﹣4+a+a=0,f(0)=0.解得a=2,b=1.∴a+b=3.故答案为:3.8.若f(a+b)=f(a)•f(b)且f(1)=2.则o2)o1)+o3)o2)+…+o2012)o2011)=4022.【解答】解:令b=1.∴f(a+1)=f(a)f(1)or1)op=f(1)=2o2)o1)=2.o3)o2)=2. (2012)o2011)=2o2)o1)+o3)o2)+…+o2012)o2011)=2011×2=4022.答案:4022.9.已知函数f(x)满足f(ab)=f(a)+f(b),且f(2)=p,f(3)=q,那么f(72)=3p+2q.【解答】解:由题意可知:f(6)=f(2)+f(3)=p+q∴f(18)=f(6)+f(3)=p+q+q=p+2q∴f(36)=f(18)+f(2)=p+2q+p=2p+2q∴f(72)=f(36)+f(2)=2p+2q+p=3p+2q故答案为:3p+2q.10.已知函数f(x)的定义域D=(0,+∞),且对于任意x1,x2∈D,均有f(x1•x2)=f(x1)+f(x2)﹣1,且当x>1时,f(x)>1(1)求f(1)的值;(2)求证:f(x)在(0,+∞)上是增函数;(3)若f(16)=3,解不等式f(3x+1)≤2.【解答】解:(1)令x1=x2=1,∴f(1)=f(1)+f(1)﹣1∴f(1)=1,(2):设令0<x1<x2,21>1,当x>1时,f(x)>1∴f(21)>1,∴f(21•x1)=f(x2)=f(21)+f(x1)﹣1>f(x1),∴f(x)在(0,+∞)上是增函数;(3)令x1=x2=4,∴f(16)=f(4)+f(4)﹣1=3∴f(4)=2,∴f(3x+1)≤2=f(4),∵f(x)在(0,+∞)上是增函数;∴3+1>03+1≤4,解得−13<x≤1,故不等式f(3x+1)≤2的解集为(−13,1].11.已知f(x)是定义域在(0,+∞)上的单调递增函数.且满足f(6)=1.f(x)﹣f(y)=f()(x>0,y>0).则不等式f(x+3)<f(12的解集是(0,−3+3172).【解答】解:∵f(x)﹣f(y)=f()(x>0,y>0),令x=36,y=6,得f(36)﹣f(6)=f(6)∴f(36)=2f(6)=2,∵f(x+3)<f(1)+2,∴f(x+3)﹣f(1)=f(x(x+3))<2=f(36),∵f(x)是定义域在(0,+∞)上的单调递增函数,+3>0>0o+3)<36∴0<x−3+3172故不等式f(x+3)<f(1)+2的解集是(0,−3+3172),故答案为:(0−3+3172),12.已知函数f(x),对任意实数x1,x2都有f(x1+x2)=f(x1)+f(x2),且当x>0时f(x)>0,f(2)=1.解不等式f(2x2﹣1)<2的解集为[﹣102,102].【解答】解:∵f(x1+x2)=f(x1)+f(x2),设x1=x2=0,可得f(0)=2f(0),解得f(0)=0,令x1+x2=0,可得f(0)=f(x1)+f(x2),即有f(﹣x)=﹣f(x),即f(x)为奇函数;令x1<x2,即有x2﹣x1>0,f(x2﹣x1)>0,即为f(x2)=f(x1+x2﹣x1)=f(x1)+f(x2﹣x1)>f(x1),即有f(x)在R上为增函数;令x1=x2=2,可得f(4)=2f(2),解得f(4)=2,∵不等式f(2x2﹣1)<2=f(4)∴2x2﹣1<4,102<x<102102,102].102,102].二.解答题(共6小题)13.设函数y=f(x)(x∈R)对任意实数均满足f(x+y)=f(x)+f(y),求证f(x)是奇函数.【解答】证明:定义域关于原点对称,令x=y=0,代入f(x+y)=f(x)+f(y)得f(0)=0,令y=﹣x得:f(0)=f(x)+f(﹣x)=0,∴f(﹣x)=﹣f(x),∴f(x)是奇函数.14.判断并证明下列函数的奇偶性.(Ⅰ)f(x)=|x|+12;(Ⅱ)f(x)=x2+2x;(Ⅲ)f(x)=x+1.【解答】解:(Ⅰ)可得x≠0f(﹣x)=|﹣x|+1(−p2=f(x),故函数为偶函数;(Ⅱ)函数的定义域为R,且f (x )=x 2+2x 的图象为抛物线,对称轴为x=﹣1,不关于y 轴对称,也不关于原点对称,故函数非奇非偶;(Ⅲ)可得x ≠0,f (﹣x )=﹣x ﹣1=﹣f (x ),故函数为奇函数.15.判断下列函数的奇偶性:(1)f (x )=3,x ∈R ;(2)f (x )=5x 4﹣4x 2+7,x ∈[﹣3,3];(3)f (x )=|2x ﹣1|﹣|2x +1|;(4)f (x )=1−2,>00,=02−1,<0.【解答】解:(1)由f (﹣x )=3=f (x ),x ∈R ,可得函数f (x )为偶函数;(2)f (﹣x )=5(﹣x )4﹣4(﹣x )2+7=5x 4﹣4x 2+7=f (x ),x ∈[﹣3,3],可得函数f (x )为偶函数;(3)定义域为R ,f (﹣x )=|﹣2x ﹣1|﹣|﹣2x +1|=|2x +1|﹣|2x ﹣1|=﹣f (x ),可得f (x )为奇函数;(4)f (x )=1−2,>00,=02−1,<0,定义域为R ,当x >0时,﹣x <0,可得f (﹣x )=(﹣x )2﹣1=x 2﹣1=﹣f (x ),当x=0可得f (0)=0;当x <0时,﹣x >0,可得f (﹣x )=1﹣(﹣x )2=1﹣x 2=﹣f (x ),即有f(﹣x)=﹣f(x),可得f(x)为奇函数.16.判断下列函数的奇偶性(1)f(x)=a(a∈R)(2)f(x)=(1+x)3﹣3(1+x2)+2(3)f(x)=o1−p,<0o1+p,>0.【解答】解:(1)由奇偶性定义当a=0时,f(x)=0既是奇函数又是偶函数,当a≠0时,f(x)=f(﹣x)=a,故是偶函数;(2)f(x)=(1+x)3﹣3(1+x2)+2=x3+3x,由于f(x)+f(﹣x)=x3+3x+(﹣x)3+3(﹣x)=0,故f(x)=(1+x)3﹣3(1+x2)+2是奇函数.(3)当x<0时,﹣x>0,f(﹣x)=﹣x(1﹣x)=﹣f(x);当x>0时,﹣x<0,f(﹣x)=﹣x(1+x)=﹣f(x);由上证知,在定义域上总有f(﹣x)=﹣f(x);故函数f(x)=o1−p,<0o1+p,>0是奇函数.17.已知函数op=B2+23r是奇函数,且o2)=53.(1)求实数a,b的值;(2)判断函数f(x)在(﹣∞,﹣1]上的单调性,并加以证明.【解答】解:(1)函数op=B2+23r是奇函数,且o2)=53,可得f(﹣x)=﹣f(x),B2+2−3r=﹣B2+23r,可得﹣3x+b=﹣3x﹣b,解得b=0;4r26=53,解得a=2;(2)函数f(x)=22+23在(﹣∞,﹣1]上单调递增;理由:设x1<x2≤﹣1,则f(x1)﹣f(x2)=23(x1+11)﹣23(x2+12)=23(x1﹣x2)(1﹣112),由x1<x2≤﹣1,可得x1﹣x2<0,x1x2>1,即有1﹣112>0,则f(x1)﹣f(x2)<0,即f(x1)<f(x2),则f(x)在(﹣∞,﹣1]上单调递增.18.已知f(x)=1+.(1)求f(x)+f(1)的值;(2)求f(1)+f(2)+…+f(7)+f(1)+f(12)+…+f(17)的值.【解答】解:(1)∵f(x)=1+.∴f(x)+f(1)=1++11+1=1++11+=1,(2)由(1)得:f(1)+f(2)+…+f(7)+f(1)+f(12)+…+f(17)=7.。
人教版高中数学必修一《函数的奇偶性》精选习题(含答案)一、选择题1.设偶函数f(x)的定义域为R,当x∈[0,+∞)时f(x)是增函数,则f(-2),f(π),f(-3)的大小关系是()A.f(π)>f(-3)>f(-2)B.f(π)>f(-2)>f(-3)C.f(π)<f(-3)<f(-2)D.f(π)<f(-2)<f(-3)2.已知函数f(x)在[-5,5]上是偶函数,f(x)在[0,5]上是单调函数,且f(-3)<f(1),则下列不等式中一定成立的是()A.f(-1)<f(-3) B.f(2)<f(3)C.f(-3)<f(5) D.f(0)>f(1)3.设f(x)是R上的偶函数,且在(0,+∞)上是减函数,若x1<0且x1+x2>0,则() A.f(-x1)>f(-x2)B.f(-x1)=f(-x2)C.f(-x1)<f(-x2)D.f(-x1)与f(-x2)大小不确定4.设奇函数f(x)在(0,+∞)上为减函数,且f(1)=0,则不等式f(x)-f(-x)x<0的解集为()A.(-1,0)∪(1,+∞) B.(-∞,-1)∪(0,1)C.(-∞,-1)∪(1,+∞) D.(-1,0)∪(0,1)5.设f(x)是(-∞,+∞)上的奇函数,且f(x+2)=-f(x),当0≤x≤1时,f(x)=x,则f(7.5)等于()A.0.5B.-0.5C.1.5D.-1.56.若奇函数f(x)在(0,+∞)上是增函数,又f(-3)=0,则{x|x·f(x)<0}等于() A.{x|x>3,或-3<x<0}B.{x|0<x<3,或x<-3}C.{x|x>3,或x<-3}D.{x|0<x<3,或-3<x<0}二、填空题7.已知定义在R上的奇函数f(x),当x>0时,f(x)=x2+|x|-1,那么x<0时,f(x)=____________.8.若函数f(x)=(k-2)x2+(k-1)x+3是偶函数,则f(x)的递增区间是____________.9.已知f(x)=ax7-bx+2且f(-5)=17,则f(5)=____________.三、解答题10.设定义在[-2,2]上的奇函数f(x)在区间[0,2]上单调递减,若f(m)+f(m-1)>0,求实数m的取值范围.11.设函数f(x)在R上是偶函数,在区间(-∞,0)上递增,且f(2a2+a+1)<f(2a2-2a+3),求a的取值范围.能力提升12.若定义在R上的函数f(x)满足:对任意x1,x2∈R有f(x1+x2)=f(x1)+f(x2)+1,则下列说法一定正确的是()A.f(x)为奇函数B.f(x)为偶函数C.f(x)+1为奇函数D.f(x)+1为偶函数13.若函数y=f(x)对任意x,y∈R,恒有f(x+y)=f(x)+f(y).(1)指出y=f(x)的奇偶性,并给予证明;(2)如果x>0时,f(x)<0,判断f(x)的单调性;(3)在(2)的条件下,若对任意实数x,恒有f(kx2)+f(-x2+x-2)>0成立,求k的取值范围.参考答案与解析1.A [∵f (x )是偶函数,∴f (-2)=f (2),f (-3)=f (3),又∵f (x )在[0,+∞)上是增函数,∴f (2)<f (3)<f (π),即f (π)>f (-3)>f (-2).]2.D [∵f (-3)=f (3),∴f (3)<f (1).∴函数f (x )在x ∈[0,5]上是减函数.∴f (0)>f (1),故选D.]3.A [f (x )是R 上的偶函数,∴f (-x 1)=f (x 1).又f (x )在(0,+∞)上是减函数,x 2>-x 1>0,∴f (-x 2)=f (x 2)<f (-x 1).]4.C [∵f (x )为奇函数,∴f x -f -x x <0,即f x x <0,当x ∈(0,+∞),∵f (x )在(0,+∞)上为减函数且f (1)=0,∴当x >1时,f (x )<0.由奇函数图象关于原点对称,所以在(-∞,0)上f (x )为减函数且f (-1)=0,即x <-1时,f (x )>0.综上使f x x <0的解集为(-∞,-1)∪(1,+∞).]5.B [由f (x +2)=-f (x ),则f (7.5)=f (5.5+2)=-f (5.5)=-f (3.5+2)=f (3.5)=f (1.5+2)=-f (1.5)=-f (-0.5+2)=f (-0.5)=-f (0.5)=-0.5.]6.D [依题意,得x ∈(-∞,-3)∪(0,3)时,f (x )<0;x ∈(-3,0)∪(3,+∞)时,f (x )>0.由x ·f (x )<0,知x 与f (x )异号,从而找到满足条件的不等式的解集.]7.-x 2+x +1解析 由题意,当x >0时,f (x )=x 2+|x |-1=x 2+x -1,当x <0时,-x >0,∴f (-x )=(-x )2+(-x )-1=x 2-x -1,又∵f (-x )=-f (x ),∴-f (x )=x 2-x -1,即f (x )=-x 2+x +1.8.(-∞,0]解析 因为f (x )是偶函数,所以k -1=0,即k =1.∴f (x )=-x 2+3,即f (x )的图象是开口向下的抛物线.∴f (x )的递增区间为(-∞,0].9.-13解析 (整体思想)f (-5)=a (-5)7-b (-5)+2=17⇒(a ·57-5b )=-15, ∴f (5)=a ·57-b ·5+2=-15+2=-13.10.解 由f (m )+f (m -1)>0,得f (m )>-f (m -1),即f (1-m )<f (m ).又∵f (x )在[0,2]上为减函数且f (x )在[-2,2]上为奇函数,∴f (x )在[-2,2]上为减函数.∴⎩⎨⎧ -2≤1-m ≤2-2≤m ≤21-m >m ,即⎩⎪⎨⎪⎧ -1≤m ≤3-2≤m ≤2m <12,解得-1≤m <12.11.解 由f (x )在R 上是偶函数,在区间(-∞,0)上递增, 可知f (x )在(0,+∞)上递减.∵2a 2+a +1=2(a +14)2+78>0, 2a 2-2a +3=2(a -12)2+52>0,且f (2a 2+a +1)<f (2a 2-2a +3),∴2a 2+a +1>2a 2-2a +3,即3a -2>0,解得a >23. 12.C [令x 1=x 2=0,得f (0+0)=f (0)+f (0)+1,解得f (0)=-1.令x 2=-x 1=x ,得f (0)=f (-x )+f (x )+1,即f (-x )+1=-f (x )-1,令g (x )=f (x )+1,g (-x )=f (-x )+1,-g (x )=-f (x )-1,即g (-x )=-g (x ).所以函数f (x )+1为奇函数.]13.解 (1)令x =y =0,得f (0)=f (0)+f (0),∴f (0)=0.令y =-x ,得f (0)=f (x )+f (-x ),∴f (x )+f (-x )=0,即f (x )=-f (-x ),所以y =f (x )是奇函数.(2)令x +y =x 1,x =x 2,则y =x 1-x 2, 得f (x 1)=f (x 2)+f (x 1-x 2).设x 1>x 2,∵x >0时f (x )<0,∴f (x 1-x 2)<0, 则f (x 1)-f (x 2)=f (x 1-x 2)<0,即f (x 1)<f (x 2). 所以y =f (x )为R 上的减函数.(3)由f (kx 2)+f (-x 2+x -2)>0, 得f (kx 2)>-f (-x 2+x -2),∵f (x )是奇函数,有f (kx 2)>f (x 2-x +2), 又∵f (x )是R 上的减函数,∴kx 2<x 2-x +2,即(k -1)x 2+x -2<0对于x ∈R 恒成立, 即⎩⎨⎧ k -1<0Δ=1+8k -1<0,故k <78.。
高中数学练习题及讲解及答案### 高中数学练习题及讲解及答案#### 练习题1:函数的奇偶性题目:判断函数 \( f(x) = x^3 - 3x \) 的奇偶性,并说明理由。
解答:首先,我们需要确定函数的定义域,该函数的定义域为全体实数\( \mathbb{R} \)。
接下来,我们计算 \( f(-x) \):\[ f(-x) = (-x)^3 - 3(-x) = -x^3 + 3x \]由于 \( f(-x) = -f(x) \),我们可以得出结论,函数 \( f(x) = x^3 - 3x \) 是奇函数。
#### 练习题2:不等式的解法题目:解不等式 \( |2x - 1| < 4 \)。
解答:首先,我们考虑绝对值不等式的性质,将其分为两个不等式:\[ -4 < 2x - 1 < 4 \]接着,我们分别解这两个不等式:\[ -3 < 2x < 5 \]然后,我们将不等式两边同时除以2,得到:\[ -1.5 < x < 2.5 \]所以,不等式 \( |2x - 1| < 4 \) 的解集为 \( (-1.5, 2.5) \)。
#### 练习题3:三角函数的图像与性质题目:已知 \( \sin A = \frac{1}{2} \),求 \( \cos 2A \) 的值。
解答:根据二倍角公式,我们有:\[ \cos 2A = 1 - 2\sin^2 A \]将已知的 \( \sin A = \frac{1}{2} \) 代入公式中,计算得:\[ \cos 2A = 1 - 2\left(\frac{1}{2}\right)^2 = 1 -2\left(\frac{1}{4}\right) = 1 - \frac{1}{2} = \frac{1}{2} \]因此,\( \cos 2A = \frac{1}{2} \)。
#### 练习题4:数列的通项与求和题目:数列 \( \{a_n\} \) 的首项 \( a_1 = 2 \),公差 \( d = 3 \)。
函数的奇偶性与周期性 一、填空题
1.已知函数f(x)=1+m
ex -1是奇函数,则m 的值为________.
解析:∵f(-x)=-f(x),即f(-x)+f(x)=0,∴1+m e -x -1+1+m
ex -1=0,
∴2-
mex ex -1+m ex -1=0,∴2+m
ex -1
(1-ex)=0,∴2-m =0,∴m =2. 答案:2
2.设f(x)是定义在R 上的奇函数,且当x >0时,f(x)=2x -3,则f(-2)=________. 解析:设x <0,则-x >0,f(-x)=2-x -3=-f(x),故f(x)=3-2-x ,所以f(-2)=3 -22=-1. 答案:-1 3.已知函数f(x)=a -12x +1,若f(x)为奇函数,则a =________.
解析:解法一:∵f(x)为奇函数,定义域为R ,∴f(0)=0⇔a -120+1=0⇔a =1
2.
经检验,当a =1
2
时,f(x)为奇函数.
解法二:∵f(x)为奇函数,∴f(-x)=-f(x),即a -1
2-x +1=-⎝⎛⎭⎫a -12x +1.
∴2a =
12x +1+2x 1+2x
=1,∴a =1
2.
答案:1
2
4.若f(x)=ax2+bx +3a +b 是定义在[a -1,2a]上的偶函数,则a =________,b = ________. 解析:由a -1=-2a 及f(-x)=f(x),可得a =1
3,b =0.
答案:13
5.设奇函数f(x)的定义域为[-5,5].若当x ∈[0,5]时,f(x)的图象如图所示,则不等式 f(x)<0的解集是________.
解析:由奇函数的定义画出函数y=f(x),x ∈[-5,5]的图象.由图象可知f(x)<0的解集 为:{x|-2<x <0或2<x <5}.
答案:{x|-2<x <0或2<x <5}
6.
(2010·全国大联考三江苏卷)定义在[-2,2]上的偶函数f(x),它在[0,2]上的图象是一 条如图所示的线段,则不等式f(x)+f(-x)>x 的解集为________. 解析:f(x)+f(-x)>x 即f(x)>x
2,如图,由数形结合法可知不等式的解集为
[-2,1).
答案:[-2,1) 二、解答题
7.已知f(x)是R 上的奇函数,且当x >0时,f(x)=x3+x +1,求f(x)的解析式. 解:设x <0,则-x >0,∴f(-x)=(-x)3-x +1=-x3-x +1. 由f(x)为奇函数,∴f(-x)=-f(x).∴-x3-x +1=-f(x),即f(x)=x3+x -1.
∴x <0时,f(x)=x3+x -1,又f(x)是奇函数.∴f(0)=0,∴f(x)=⎩⎪⎨⎪
⎧
x3+x +1 (x >0)0 (x =0)
x3+x -1 (x <0).
8.f(x)是定义在R 上的奇函数,且满足f(x +2)=f(x),又当x ∈(0,1)时,f(x)=2x -1, 求f(log 1
2
6)的值.
解:∵x ∈(0,1)时,f(x)=2x -1.∴x ∈(-1,0)时,f(x)=-f(-x)=-2-x +1, ∵4<6<8,∴-3<log 1
26<-2.又f(x +2)=f(x),知f(x)是周期为2的函数.
∵-1<log 126+2<0,∴f(log 126)=f(log 1
2
6+2)=
=-2-log 1232+1=-32+1=-1
2
.
2.设函数f(x)在(-∞,+∞)上满足f(2-x)=f(2+x),f(7-x)=f(7+x),且在闭区间
[0,7]上只有f(1)=f(3)=0. (1)试判断函数y =f(x)的奇偶性; (2)试求方程f(x)=0在闭区间[-2 005,2 005]上的根的个数,并证明你的结论. 解:(1)∵f(1)=0,且f(x)在[0,7]上只有f(1)=f(3)=0,且f(2-x)=f(2+x), 令x =-3,f(-1)=f(5)≠0,∴f(-1)≠f(1),且f(-1)≠-f(1). ∴f(x)既不是奇函数,也不是偶函数. (2)f(10+x)=f[2+(8+x)]=f[2-(8+x)]=f(-6-x)=f[7-(13+x)]=f[7+(13+x)] =f(20+x),∴f(x)以10为周期.又f(x)的图象关于x =7对称知,f(x)=0在(0,10)上有 两个根,则f(x)=0在(0,2 005]上有201×2=402个根;在[-2 005,0]上有200×2=400 个根;因此f(x)=0在闭区间上共有802个根. 同步练习g3.1012函数的奇偶性和周期性
1—13、DAA BD B DD D C AAC. 14、2()2(0)f x x x x =--< 15、0;0
16(1)偶函数 (2)奇函数 17(1)偶函数
18、⎡⎢⎣⎭
19(1)11()()24f f ==函数的奇偶性与周期性
1、若)(x f )(R x ∈是奇函数,则下列各点中,在曲线)(x f y =上的点是
(A )))(,(a f a - (B )))sin (,sin (α--α-f (C )))1
(lg ,lg (a
f a -- (D )))(,(a f a --
3.已知函数)(x f 是定义在实数集R 上的不恒为零的偶函数,且对任意实数x 都有)()1()1(x f x x xf +=+, 则)25(f 的值是( ) A. 0 B.
21 C. 1 D. 2
5 4、)(x f 是定义在R 上的以3为周期的偶函数,且0)2(=f ,则方程)(x f =0在区间(0,6)内解的个数的最小值是
A .5
B .4
C .3
D .2 6、已知函数=-=+-=)(.)(.11lg )(a f b a f x
x
x f 则若
A .b
B .-b
C .b 1
D .-b
1
8.函数()f x 的定义域为R ,若(1)f x +与(1)f x -都是奇函数,则( )
(A) ()f x 是偶函数 (B) ()f x 是奇函数 (C) ()(2)f x f x =+ (D) (3)f x +是奇函数 9.已知定义在R 上的奇函数)(x f ,满足(4)()f x f x -=-,且在区间[0,2]上是增函数,则( ).
A.(25)(11)(80)f f f -<<
B. (80)(11)(25)f f f <<-
C. (11)(80)(25)f f f <<-
D. (25)(80)(11)f f f -<<
10.已知函数()f x 是(,)-∞+∞上的偶函数,若对于0x ≥,都有(2()f x f x +=),且当[0,2)x ∈时,
2()log (1f x x =+),则(2008)(2009)f f -+的值为 ( )
A .2-
B .1-
C .1
D .2
11.已知函数()f x 满足:x ≥4,则()f x =1
()2
x ;当x <4时()f x =(1)f x +,则2(2log 3)f +=( )
(A )124 (B )112 (C )18 (D )38
12已知偶函数()f x 在区间[0,)+∞单调增加,则满足(21)f x -<1
()3
f 的x 取值范围是( )
(A )(
13,23) (B) [13,23) (C)(12,23) (D) [12,23
) 14、已知函数)(x f y =在R 是奇函数,且当0≥x 时,x x x f 2)(2-=,则0<x 时,)(x f 的解析式为_______________
15、定义在)1,1(-上的奇函数1
)(2+++=
nx x m
x x f ,则常数=m ____,=n _____
18、定义在]11[,-上的函数)(x f y =是减函数,且是奇函数,若0)54()1(2>-+--a f a a f ,求实数a 的范围.。