初等数学基本概念与公式总结
- 格式:pdf
- 大小:3.11 MB
- 文档页数:11
初数数学中的三角恒等式公式详解三角函数是数学中重要的一部分,它们在解决几何问题和物理问题中有着广泛的应用。
而在初等数学中,我们经常会遇到三角恒等式公式,它们是解决三角函数之间关系的基础。
本文将详细解析一些常见的三角恒等式公式,帮助读者更好地理解和应用它们。
一、正弦恒等式正弦恒等式是三角函数中最基本的一组恒等式。
根据定义,正弦函数的定义域为整个实数集,值域为[-1, 1]。
1. 互余恒等式正弦函数的互余恒等式表达了两个角的正弦函数值之间的关系。
给定一个角θ,它的补角为90°-θ,它们的正弦函数值满足以下关系:sinθ = cos(90°-θ)2. 倍角恒等式正弦函数的倍角恒等式表达了角的两倍角的正弦函数值与原角正弦函数值之间的关系。
对于任意角θ,其正弦函数的倍角正弦函数值满足以下关系:sin(2θ) = 2sinθcosθ二、余弦恒等式余弦恒等式是三角函数中另一个基本的一组恒等式。
根据定义,余弦函数的定义域为整个实数集,值域也为[-1, 1]。
1. 互余恒等式余弦函数的互余恒等式表达了两个角的余弦函数值之间的关系。
给定一个角θ,它的补角为90°-θ,它们的余弦函数值满足以下关系:cosθ = sin(90°-θ)2. 倍角恒等式余弦函数的倍角恒等式表达了角的两倍角的余弦函数值与原角余弦函数值之间的关系。
对于任意角θ,其余弦函数的倍角余弦函数值满足以下关系:cos(2θ) = cos²θ - sin²θ三、正切恒等式正切恒等式是三角函数中最复杂的一组恒等式。
根据定义,正切函数的定义域为实数集中除去所有使得余弦函数为零的实数值,值域为整个实数集。
1. 倍角恒等式正切函数的倍角恒等式表达了角的两倍角的正切函数值与原角正切函数值之间的关系。
对于任意角θ,其正切函数的倍角正切函数值满足以下关系:tan(2θ) = (2tanθ) / (1 - tan²θ)四、其他常见恒等式除了上述基本的三角恒等式公式外,还有一些其他常见的恒等式公式。
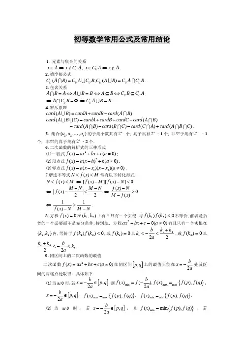
附录:初等数学常用公式一、初等代数 1.乘法公式1) (a ±b )2 = a 2±2ab + b 2 2) (a ±b )3 = a 3±3a 2b + 3a b 2±b 3 3) ( a+ b+c ) 2 = a 2+ b 2+ c 2+2ab +2bc +2ca 4) (a -b ) (a+b ) = a 2- b 2 5) (a ±b ) ( a 2 ab + b 2) = a 3±b 3 2.绝对值1) | a |=2a2) -| a | ≤ a ≤ | a | 3) | a | ≤ k⇔-k≤ a ≤ k , | a | < k ⇔-k < a < k4) | a |-| b | ≤ | a ± b | ≤ | a | + | b | 3.一元二次方程 a x 2 + b x + c = 01) 判别式 Δ= b 2 -4 a c2) 根:a b 2Δ±-;两根和为ab 2-;两根积为ac ;Δ> 0时,为两不等实根;Δ = 0 时,为两等实根;Δ < 0时,为一对共轭虚根。
4. 级数1) 设等差级数首项为 a 1,公差为 d ,则:通项公式 a n= a 1+(n -1)d ;前n 项和公式 S n =d n n na a a n n )1(21)(211-+=+2) 设等比级数首项为 a 1,公比为 q ,则:通项公式 a n = a 1 q n -1;前n 项和公式 S n = q q a q q a a n n --=--1)1(1115.指数律 (a > 0, b > 0)1) a m • a n = a m+n 2) a m ÷ a n = a m -n 3) (a m ) n = a m n 4) (a b ) m = a m b m 5) (ab ) m =mma b6)m n nma a )(=6.对数律 (a > 0, a ≠1)1)若 a x = M ,则 log a M = x ; l g x = x 10log2)x ax a=log 3) 01log a =4)1log =aa 5)y x xy a a a log log )(log +=6)y x yxa a alog log log -= 7))0(log log >=x x a x a a a8) ax x b b a log log log =9)1log log =⋅a b b a7.排列、组合与二项式公式1)设n m A 为m 个元素中取n 个的排列数,则nm A = m (m -1) (m-2)…(m -n +1)2)设n m C 为m 个元素中取n 个的组合数,则!n m !n !m C n m)(-=3)k n k n k n C C C 11+-=+4)(a + b ) n = a n +1n C a n -1 b +… +k n C a n -k b k +…+ b n二、平面三角 1 弧度=π180≈57°17′45″,1°=180π弧度≈0.0174533弧度1.基本关系 1) sin x ²csc x=1 2) cos x ²sec x=1 3) tan x ²cot x=1 4) sin 2 x+cos 2 x=1 5) 1+tan 2 x=sec 2 x6) 1+cot 2 x=csc 2 x7) tan x =cosx sinx8) cot x=sinxcosx2.两角和的三角函数1) sin (α±β) = sin αcos β± cos αsin β 2) cos (α±β) = cos αcos βsinαsin β3) tan (α±β) = βαβ±α tan tan 1tan tan3.倍角公式1)sin 2 x= 2sin xcos x2)cos 2 x= cos 2 x -sin 2 x=1-2sin 2 x=2 cos 2 x -13)tan 2 x=xx2tan 12tan -4)sin 3 x= 3sin x -4sin 3 x 5) cos 3 x= 4 cos 3 x -3 cos x4.半角公式1)s i n 2cosx 12-±=x 或 sin 2 2cosx 12-=x 2)c o s 2x cos 12+±=x 或 cos 22cosx 12+=x3)t a n cosx1sinxsinx cosx 12+=-=x5.和差化积公式1)sin α+ sin β= 2sin 2βα+cos 2βα-2)sin α-sin β= 2 cos 2βα+ sin 2βα-3)cos α+ cos β= 2cos 2βα+cos 2βα-4)cos α-cos β= -2sin 2βα+sin 2βα-6.积化和差公式 1)sin αcos β= 21[sin(α+β)+sin(α-β)] 2)cos αcos β=21[cos (α+β)+ cos (α-β)]3)s i n αs i n β= -21[cos (α+β)- cos (α-β)]7.设三角形三边a, b, c 所对的三个角分别为A ,B ,C ,外接圆半径为R ,则有1)正弦定理R 2sinC c sinB b sinA a === 2)余弦定理 c 2 = a 2+ b 2-2 a b cosC 8.反三角函数恒等式1)arc s i n x + a r c cos x = 2π 2)arc t a n x + a r c co t x =2π3)arc t a n x = a r c s i n 21xx +4)arc s i n x = a r c t a n 21xx -三、平面解析几何下述公式中出现的点P ,Q ,M 的坐标分别为(x 1 , y 1),(x 2 , y 2),(x 0 , y 0)1.P ,Q 两点的距离:|PQ| =212212)()(y y x x -+-2.定比分点公式:λλλλ++=++=1 1210210y y y ,x x x ,这里M 点是线段PQ 的分点,且λ=MB AM。
常用初等数学公式1.乘法公式:-(a+b)×c=a×c+b×c-(a-b)×c=a×c-b×c-(a+b)×(c+d)=a×c+a×d+b×c+b×d-(a-b)×(c-d)=a×c-a×d-b×c+b×d2.平方公式:- (a + b)² = a² + 2ab + b²- (a - b)² = a² - 2ab + b²3.立方公式:- (a + b)³ = a³ + 3a²b + 3ab² + b³- (a - b)³ = a³ - 3a²b + 3ab² - b³4.四则运算:-a+b=b+a-a-b=-(b-a)-a×b=b×a-a÷b=a/b5.分式运算:- 分式相加:a/b + c/d = (ad + bc) / bd- 分式相减:a/b - c/d = (ad - bc) / bd- 分式相乘:(a/b) × (c/d) = ac / bd- 分式相除:(a/b) ÷ (c/d) = (ad) / (bc)6.指数公式:-a⁰=1-a¹=a-a²=a×a-aᵐ×aⁿ=a^(m+n)(同底数的指数相乘,等于底数不变,指数相加)-(aⁿ)ᵐ=a^(n×m)(指数的幂,等于底数不变,指数相乘)-a⁻ⁿ=1/aⁿ(负指数的运算)7.开方公式:-平方根:√a×√a=a- a × √b × √b = ab- √(ab) = √a × √b-aⁿ/ⁿ√a=√a8.百分数运算:-百分数变小数:移动两位小数点向左-小数变百分数:移动两位小数点向右-分数变百分数:分子变化,分母变100-百分数变分数:分子不变,分母变1009.比例运算:-比例:a:b=c:d,即a/b=c/d-相等比例:a:b=c:b-倒数比例:a:b=1/b:1/a-反比例:a×b=k(k为常数)10.连续整数运算:-连续整数的和:n个连续整数之和=(第一个整数+最后一个整数)×n/2-连续整数的平均数:n个连续整数的平均数=(第一个整数+最后一个整数)/2-连续偶数的和:n个连续偶数之和=(第一个偶数+最后一个偶数)×n/2-连续奇数的和:n个连续奇数之和=n²或n²+n11.平行线运算:-共线角性质:对内(内错角):互补角之和为180°;对内(内析角):互余角之和为180°;对外角与内错角互补;对外角与内析角互余-切线性质:切线与半径垂直;相交弧(两条)所对圈角相等;切线之间平行12.角度运算:-直角的两个补角相等-锐角的两个角平分线的和等于180°-相邻补角:两个角的和等于180°-对顶角:两个补角叫做一个对顶角13.园及圆周运算:-圆的面积:A=πr²-圆的周长:C=2πr-弧长公式:L=2πr(α/360°)(α为圆心角)-扇形面积公式:A=1/2r²α/360°(α为圆心角)- 弓形面积公式:A = 1/2r²(α - sinα)14.角正弦、余弦、正切公式:- 正弦公式:sinA = 对边/斜边- 余弦公式:cosA = 邻边/斜边- 正切公式:tanA = 对边/邻边15.直角三角形中的特殊比值:- 正弦:sin45° = cos45° = √2/2- 余弦:cos45° = sin45° = √2/2- 正切:tan45° = 1, tan30° = 1/√3- 三角函数的反函数:sin(-A) = -sinA,cos(-A) = cosA,tan(-A) = -tanA16.四边形运算:-平行四边形的性质:对角线互相平分;对角线互相垂直-矩形的性质:所有内角为90°;对角线相等-正方形的性质:所有边相等;所有内角为90°;对角线相等且互相垂直-菱形的性质:所有边相等;对角线互相垂直;对角线互相平分-梯形的性质:上底+下底×高/2=面积以上为常用的初等数学公式,涵盖了乘法公式、平方公式、四则运算、分式运算、指数公式、开方公式、百分数运算、比例运算等多个方面。
初数数学中的根式公式详解根式是初等数学中的重要概念之一,它在数学表达中广泛应用。
本文将详细介绍根式的定义、性质和常见的根式公式,帮助读者更好地理解和应用根式。
一、根式的定义在初数数学中,根式是指形如√a的数学表达式,其中a为被开方数,√为开方号。
其中,√a表示a的平方根。
二、根式的性质1. 非负性质:对于任意实数a,当a≥0时,根式√a定义有意义且非负;当a<0时,根式√a无意义。
2. 加减性质:对于非负实数a和b,有以下运算规则:(1)√a ± √b = √(a ± b)(2)√a ∓ √b ≠ √(a ∓ b)3. 乘法性质:对于非负实数a和b,有以下运算规则:(1)√a × √b = √(ab)4. 除法性质:对于非负实数a和b,有以下运算规则:(1)√(a/b) = √a / √b,其中b不等于0。
5. 乘方性质:对于非负实数a和整数n,有以下运算规则:(1)(√a)^n = a^(n/2),其中n为偶数时,右边的等式成立。
三、根式的化简对于给定的根式,可以通过化简的方法使其更加简洁。
下面举例说明:例1:化简根式√48解:首先,我们观察48的因数,可以发现48=16×3=4×4×3。
因此,√48=√(16×3)=√(4×4×3)=4√3例2:化简根式√75解:同样地,我们观察75的因数,可以发现75=25×3=5×5×3。
因此,√75=√(25×3)=√(5×5×3)=5√3通过以上例子,我们可以看出,在化简根式时,我们需要找出被开方数的完全平方数因子,从而将根号内的数化为多个因子相乘的形式。
四、常见的根式公式1. 平方差公式:(a + b) × (a - b) = a^2 - b^22. 奇数幂的根式:a^(2n+1) = (a^n) × √a3. 偶数幂的根式:a^(2n) = (a^n)^2五、根式的应用根式在实际应用中有着广泛的运用,例如在几何学中,根式可以描述图形的边长和面积关系;在物理学中,根式可以用于计算速度和加速度等物理量。
初数数学中的平均数公式详解平均数是初等数学中一个基础的概念,用于描述一组数据的集中趋势。
在统计学和概率论等领域中,平均数常常作为数据分析的重要工具。
本文将详细介绍初数数学中常见的三种平均数公式:算术平均数、几何平均数和调和平均数,并探讨它们的性质和应用。
算术平均数算术平均数是最常见的平均数公式,一般用于描述一组数据的集中位置。
它的计算方法是将所有数据相加,然后除以数据的个数。
设有n 个数a1, a2, ..., an,则它们的算术平均数记作x,公式表示如下:x = (a1 + a2 + ... + an) / n算术平均数是一组数据的中心位置,它具有以下性质:1. 平均数在数据中具有唯一性,即只有一个数是平均数。
2. 当数据分布比较均匀时,平均数能够较好地代表整组数据。
3. 对于任意一个数据,若增加或减少一个相同的常数,平均数也会相应地增加或减少这个常数。
几何平均数几何平均数常用于计算一组数据的比例关系或增长率。
它的计算方法是将所有数据相乘,然后开n次方根,其中n为数据的个数。
设有n个正数a1, a2, ..., an,则它们的几何平均数记作g,公式表示如下:g = (a1 * a2 * ... * an)^(1/n)几何平均数具有以下性质:1. 几何平均数一般小于等于算术平均数,当且仅当数据全部相等时,二者相等。
2. 几何平均数可以用于计算复利的平均增长率,以及一组数据的百分比变化。
调和平均数调和平均数常用于计算一组数据的平均速度或平均耗时。
它的计算方法是将数据个数除以每个数据的倒数之和。
设有n个正数a1, a2, ..., an,则它们的调和平均数记作h,公式表示如下:h = n / (1/a1 + 1/a2 + ... + 1/an)调和平均数具有以下性质:1. 调和平均数一般小于等于几何平均数,当且仅当数据全部相等时,二者相等。
2. 调和平均数能够有效地表示一组速度或耗时的整体平均水平,它对个别较小数值的数据较为敏感。
初数数学公式认识三角恒等式公式数学是一门基础学科,而数学中的公式则是解决问题、推导论证的重要工具。
在初等数学中,三角学是一个重要的分支,而三角恒等式的认识和运用更是其中的关键。
本文将介绍一些常见的三角恒等式公式,并对其进行详细说明。
一、基础概念回顾在介绍具体的三角恒等式公式前,首先回顾一下基础的三角概念。
在直角三角形中,我们定义了三个基本比值:正弦、余弦和正切。
对于一个给定的角度,我们可以通过三角函数来表示这些比值。
例如,对于一个角度θ,正弦记为sinθ,余弦记为cosθ,正切记为tanθ。
这些函数可以用来计算角度的各种属性,如边长比值、角度之间的关系等。
二、三角恒等式公式1. 余弦平方加正弦平方等于1cos²θ + sin²θ = 1这是三角学中最基本的三角恒等式之一。
它表明对于任意一个角度θ,余弦的平方加上正弦的平方等于1。
这个恒等式相当于用三角函数表示了直角三角形中两个不同方向的边长比值之和。
2. 一角的余切等于该角的正弦除以余弦tanθ = sinθ / cosθ这个恒等式描述了正切函数与正弦、余弦函数之间的关系。
它说明了在一个给定角度θ下,正切的值可以通过该角度的正弦值除以余弦值来计算。
3. 一角的正切等于该角的正弦除以余弦的倒数tanθ = sinθ / (1 / cosθ) = sinθ · cosθ这个恒等式是由上一个恒等式推导而来。
它将余切的分母用余弦的倒数表示,并进行相乘简化。
这个恒等式在实际计算中经常被使用,能够在简化求解过程中发挥重要作用。
4. 正弦加余弦等于1sinθ + cosθ = 1这个恒等式是三角恒等式中的另一个基本公式,它表明对于一个给定的角度θ,正弦值加上余弦值等于1。
这个恒等式在某些情况下可以简化计算过程,提高计算效率。
5. 三角函数的互相倒数关系tanθ = 1 / cotθcotθ = 1 / tanθ这些恒等式描述了正切函数和余切函数之间的倒数关系。
基本初等函数及图形(1) 常值函数(也称常数函数) y =c (其中c 为常数)(2) 幂函数 μx y =,μ是常数;(3) 指数函数 xa y = (a 是常数且01a a >≠,),),(+∞-∞∈x ;(4) 对数函数x y a log =(a是常数且01a a >≠,),(0,)x ∈+∞;1. 当u 为正整数时,函数的定义域为区间),(+∞-∞∈x ,他们的图形都经过原点,并当u>1时在原点处与X 轴相切。
且u 为奇数时,图形关于原点对称;u 为偶数时图形关于Y 轴对称;2. 当u 为负整数时。
函数的定义域为除去x=0的所有实数。
3. 当u 为正有理数m/n 时,n 为偶数时函数的定义域为(0, +∞),n 为奇数时函数的定义域为(-∞+∞)。
函数的图形均经过原点和(1 ,1).如果m>n 图形于x 轴相切,如果m<n,图形于y 轴相切,且m 为偶数时,还跟y 轴对称;m,n 均为奇数时,跟原点对称4. 当u 为负有理数时,n 为偶数时,函数的定义域为大于零的一切实数;n 为奇数时,定义域为去除x=0以外的一切实数.1. 当a>1时函数为单调增,当a<1时函数为单调减.2. 不论x 为何值,y 总是正的,图形在x 轴上方.3. 当x=0时,y=1,所以他的图形通过(0,1)点.(5) 三角函数正弦函数xy sin=,),(+∞-∞∈x,]1,1[-∈y,余弦函数xy cos=,),(+∞-∞∈x,]1,1[-∈y,正切函数xy tan=,2ππ+≠kx,k Z∈,),(+∞-∞∈y,余切函数xy cot=,πkx≠,k Z∈,),(+∞-∞∈y;1.他的图形为于y轴的右方.并通过点(1,0)2.当a>1时在区间(0,1),y的值为负.图形位于x的下方,在区间(1, +∞),y值为正,图形位于x轴上方.在定义域是单调增函数.a<1在实用中很少用到/(6)反三角函数反正弦函数 x y arcsin =, ]1,1[-∈x ,]2,2[ππ-∈y ,反余弦函数 x y arccos =,]1,1[-∈x ,],0[π∈y ,反正切函数 x y arctan =,),(+∞-∞∈x ,)2,2(ππ-∈y ,反余切函数xy cotarc=,),(+∞-∞∈x,),0(π∈y.小结:函数名称函数的记号函数的图形函数的性质指数函数a):不论x为何值,y总为正数;b):当x=0时,y=1.对数函数a):其图形总位于y轴右侧,并过(1,0)点b):当a>1时,在区间(0,1)的值为负;在区间(1,+∞)的值为正;在定义域单调增.幂函数(a为任意实数)这里只画出部分函数图形的一部分。
基本初等函数一、知识梳理1.指数与对数的概念b a =N N b a log =⇔(a >0,a ≠1)2.指数与对数的性质 指数运算性质①r a a a a sr sr,0(>=⋅+、∈s Q ),②r a aa sr s r ,0()(>=⋅、∈s Q ),③∈>>⋅=⋅r b a b a b a rrr ,0,0()( Q ) (注)上述性质对r 、∈s R 均适用. 对数运算性质①log MN a =log N M a a log + ②log N M NMa a alog log -= ③M n M a na log log =(M 、N >0, a >0, a ≠1)推广:M mnMa na m log log =④换底公式:aNN b b a log log log =(a ,b >0,a ≠1,b ≠1)3.指数函数、对数函数的概念形如y =x a (a >0且a ≠1,x >0)叫做指数函数(exponential function ),其中x 是自变量,函数的定义域为R .形如y =x a log (a >0且a ≠1,x >0)的函数,叫做对数函数(logarithmic function ).(1) 指数函数、对数函数的定义是一个形式定义,注意指数函数与幂函数的区别; (2) 注意底数的取值范围.4.指数函数、对数函数的图像和性质(略).5.幂函数(1)幂函数定义:一般地,形如αx y =()R α∈的函数称为幂函数,其中α为常数.(2)幂函数性质:① 所有的幂函数在(0,+∞)都有定义并且图象都过点(1,1);②0>α时,幂函数的图象通过原点,并且在区间),0[+∞上是增函数.特别地,当1>α时,幂函数的图象下凸;当10<<α时,幂函数的图象上凸;③0<α时,幂函数的图象在区间),0(+∞上是减函数.在第一象限内,当x 从右边趋向原点时,图象在y 轴右方无限地逼近y 轴正半轴,当x 趋于∞+时,图象在x 轴上方无限地逼近x 轴正半轴.二、方法归纳1.解决与对数函数有关的问题,要特别重视定义域;2.指数函数、对数函数的单调性决定于底数大于1还是小于1,要注意对底数的讨论;3.比较几个数(幂或对数值)的大小的常用方法有:①以0和1为桥梁;②利用函数的单调性;③作差.4.指数函数与对数函数中的绝大部分问题是指数函数与对数函数与其他函数的复合问题,讨论复合函数的单调性是解决问题的重要途径.三、典型例题精讲【例1】比较下列各数的大小:3312122,15lg ,53,25lg ,53,35.0log ⎪⎭⎫ ⎝⎛⎪⎭⎫ ⎝⎛ 解析:∵35.0log 2<0 ,其他各数都大于零,故35.0log 2最小;又∵10lg =1,100lg =2, ∴ 1<15lg <25lg <2<32=8,对于2153⎪⎭⎫⎝⎛与3153⎪⎭⎫ ⎝⎛ ,首先,它们都属于区间(0,1),且是同底的幂,考虑函数y =x⎪⎭⎫ ⎝⎛53 为减函数,∴2153⎪⎭⎫ ⎝⎛<3153⎪⎭⎫ ⎝⎛.于是有331212225lg 15lg 535335.0log <<<⎪⎭⎫ ⎝⎛<⎪⎭⎫⎝⎛<.又例:比较下列各组数的大小:(1)7.06,67.0,6log 7.0;(2)7.0log 1.1,7.0log 2.1 解析:(1)∵7.06>1, 0<67.0<1,6log 7.0<0 ,∴6log 7.0<67.0<7.06.(2)∵1.1log 17.0log 7.01.1=,2.1log 17.0log 7.02.1=.又函数y =x 7.0log 为减函数,∴ 0>1.1log 7.0>2.1log 7.0.∴7.0log 1.1<7.0log 2.1.再例:当0<a <b <1,下列不等式正确的有( ) A.()()bba a ->-111 B.()()bab a +>+11C.()()211bba a ->- D.()()bab a ->-11解析:∵0<()b -1<()a -1<1,又函数y =xb )1(- 为减函数,y =a x 在(0,1)上为增函数, ∴()bb -1<()ab -1<()aa -1,故选D.技巧提示:利用指数函数、对数函数、幂函数的单调性,同时充分利用0和1为桥梁,能使比较大小的问题得到解决.【例2】已知函数y =122-+x x a a (a >0,a ≠1)在区间[-1,1]上的最大值为14,求a 的值.解析:∵y =2)1(2-+x a =2)1(2-+u ,又11≤≤-x ,当a >1时,],1[a au ∈,1-≥u ,2)1(2-+u 为u 的增函数. ∴函数的最大值为)(5312142舍或-==⇒-+=a a a a 当0<a <1时,]1,[aa u ∈,1-≥u ,2)1(2-+u 为u 的增函数.∴函数的最大值为舍)或(51311121142-==⇒-⎪⎭⎫⎝⎛+⎪⎭⎫ ⎝⎛=a a a a综上得,331==a a 或. 技巧提示:指数函数与二次函数的复合函数,讨论复合函数的单调性是解决问题的重要途径 又例:已知)(x f =)32(log 24x x -+.求 (1))(x f 的单调区间;(2)求函数)(x f 的最大值及对应的x 的值.解析:(1)由0322>-+x x ,得)(x f 的定义域为)3,1(-,记u =232x x -+=-(x -1)2+4,对称轴为x =1.∴)(x f 的增区间为(-1,1】,减为区间【1,3). (2)∵u =-(x -1)2+4≤4,∴当x =1 时有最大值y =1.【例3】函数12311-⎪⎭⎫⎝⎛-=x y 的定义域是( )A.),21[+∞B.]21,(-∞ C.),(+∞-∞ D.]1,(-∞解析:由 031112≥⎪⎭⎫⎝⎛--x ,得13112≤⎪⎭⎫⎝⎛-x ,即012)31(31≤⎪⎭⎫⎝⎛-x , 由x)31( 为减函数,∴012≥-x .故所求定义域为21≥x .选A. 技巧提示:这里充分利用指数函数的单调性,通过解简单的指数不等式得到所求定义域.同样,可以充分利用对数函数的单调性,通过解简单的对数不等式得到某些问题的解.又例:若132log <a,则a 的取值范围是 . 解析:由 132log <a,即 a a a log 32log <, 当a >1时,x a log 是增函数,于是 32>a ,∴a >1. 当0<a <1时,x a log 是减函数,于是 32<a ,∴0<a <32. 综上可知a 的取值范围是a >1或0<a <32. 再例:解不等式 0)1)(2(log 2221<+--x x xb ab a(a >0,b >0).解析:由0)1)(2(log 2221<+--x x xb ab a,得xxxb ab a22)(2-->0,即0122>-⎪⎭⎫⎝⎛-⎪⎭⎫⎝⎛xxb a b a . ∴21+>⎪⎭⎫ ⎝⎛xb a 或21-<⎪⎭⎫⎝⎛xb a (舍去).当a >b 时, )21(log +>ba x ; 当a <b 时,)21(log +<ba x ;当a =b 时,不等式无解.【例4】函数)2(log 221x x y +-=的单调递增区间是 .解析:由022>+-x x ,得20<<x ,而函数22)1(12--=+-=x x x u , 即u 在)1,0(上是增函数,在)2,1(上是减函数.又u y 21log =是减函数,∴)2(log 221x x y +-=单调递增区间是)2,1(.技巧提示:对于复合函数的单调性,一要注意在定义域内研究问题;二是对组成复合函数的每一个函数的单调性作出判断;最后根据复合函数的单调性原则做出结论.又例:求函数93221-+-⎪⎭⎫ ⎝⎛=x x y 的单调递减区间.解析:显然93221-+-⎪⎭⎫ ⎝⎛=x x y 的定义域是R .设932-+-=x x u ,则427)23(2---=x u . ∴932-+-=x x u 的单调递增区间为)23,(-∞有93221-+-⎪⎭⎫ ⎝⎛=x x y =u⎪⎭⎫⎝⎛21是u 的减函数, ∴93221-+-⎪⎭⎫ ⎝⎛=x x y 的单调递减区间为)23,(-∞.再例:已知a >0且a ≠1,函数x x f a log )(=在定义域[2,3]上的最大值比最小值大1 ,则a 的值为 .解析:由题意,有12log 3log =-a a ,即 123log ±=a,∴a =32,23.【例5】当a >1时,证明函数)(x f =11-+x x a a 是奇函数.解析:由x a -1≠0得x ≠0.故函数定义域{x |x ≠0}是关于原点对称的点集.又)(x f -=1111)1()1(11-+-=-+=-+=-+----xx xx x x x x x x a a a a a a a a a a ,=-)(x f -11-+x x a a , ∴)(x f -=-)(x f .所以函数)(x f =11-+x x a a 是奇函数.技巧提示:对于指数形式的复合函数的奇偶性的证明,在判定)(x f -与)(x f 关系时,也可采用如下等价证法.1)()()()(=-⇔=-x f x f x f x f ()(x f ≠0),1)()()()(-=-⇔-=-x f x f x f x f ()(x f ≠0). 如本题可另证如下:∵=-)()(x f x f 11111x x x x x x x x a a a a a a a a ----+--⋅==--+-,即)(x f -=-)(x f , ∴所以函数)(x f =11-+x x a a 是奇函数.又例:设a 是实数,)(x f =a -122+x(x ∈R ) (1)试证明对于任意a ,)(x f 为增函数; (2)试确定a 值,使)(x f 为奇函数. 解析:(1)设1x ,2x ∈R ,且1x <2x ,则)()(21x f x f -=()122()12221+--+-x x a a )12)(12()22(2122122212112++-=+-+=x x x x x x 由于指数函数x y 2=在R 上是增函数,且1x <2x ,所以12x <22x ,即12x -22x<0, 又由2x >0得12x+1>0,22x+1>0,所以)()(21x f x f -<0.即)()(21x f x f <. 因为此结论与a 取值无关,所以对于a 取任意实数,)(x f 为增函数. (2)若)(x f 为奇函数,则)(x f -=-)(x f ,即22()2121x x a a --=--++,变形得:12)12(21222)12(222++=++⋅+⋅=-xx x x x x a ,解得a =1.所以当a =1时,)(x f 为奇函数.【例6】已知0<x <1,a >0,a ≠1,比较)1(log x a -和)1(log x a +的大小.解析:方法一:当a >1时,)1(log x a --)1(log x a +=-)1(log x a --)1(log x a +=-)1(log 2x a ->0,∴)1(log x a ->)1(log x a +.当0<a <1时,)1(log x a --)1(log x a +=)1(log x a -+)1(log x a +=)1(log 2x a ->0,∴)1(log x a ->)1(log x a +.综上所述,在题设条件下,总有)1(log x a ->)1(log x a +.方法二:∵)1(log )1(log x x a a +-=)1(log )1(x x -+=)1(log )1(x x --+=xx -+11log )1( =2)1(11log xxx -++>)1(log )1(x x ++=1. ∴)1(log x a ->)1(log x a +.技巧提示:比较大小通常采取作差-变形-判定符号.如果比较两个正数的大小时,亦可采取作商-变形-与“1”比较的办法.又例:解不等式)1(log )3(log 238+>++x x x解析:原不等式可化为⎪⎩⎪⎨⎧+>++>+>++333)1(30103x x x x x x , 即等价于⎩⎨⎧<-+>+0223012x x x ,即⎪⎩⎪⎨⎧+-<<--->3713711x x ,解得:3711+-<<-x , 所以原不等式的解集为{x ︱3711+-<<-x }. 【例7】(1)已知a =3log 2,b =7log 3,用a ,b 表示56log 42;(2)已知,6log ,3log ,2log ===c b a x x x 求x abc log 的值.解析:(1)56log 42=42lg 56lg =,3lg 2lg 7lg 2lg 37lg +++ 又 ∵,3lg 2lg ,3lg 7lg 3lg 7lg ,2lg 3lg ab b a ==⇒== ∴56log 42=131133lg 3lg 3lg 3lg 33lg +++=+++=+++a ab ab ab a b a b a b . (2)∵a =2x ,b =63,x c x =,∴111log log 11==x x x abc . 技巧提示:掌握对数与指数的运算性质,是本部分的基本要求.尽管近几年高考中很少直接考查对数与指数的运算,但由于指数函数与对数函数几乎是必考内容,不能熟练的进行对数与指数的运算,会影响解题技巧的把握,至少会影响解题速度.又例:判断下列函数的奇偶性(1))(x f =1212+-x x ;(2))(x g =x1-)1ln(2++x x . 解析:(1))(121221212)12(2)12(1212)(x f x f x x x x x x x x x x -=+--=+-=+-=++=-----,∴)(x f 为奇函数.(2)--=+-x x g x g 1)()()1ln(2++-x x +x1-)1ln(2++x x =-)]1)(1ln[(22++++-x x x x =-1ln =0.∴)(x g 为奇函数.四、课后训练1.已知732log [log (log )]0x =,那么12x -等于( )A.132.函数2lg 11y x ⎛⎫=-⎪+⎝⎭的图像关于( ) A.x 轴对称 B.y 轴对称 C.原点对称 D.直线y x =对称3.函数(21)log x y -= )A.()2,11,3⎛⎫+∞⎪⎝⎭B.()1,11,2⎛⎫+∞⎪⎝⎭C.2,3⎛⎫+∞⎪⎝⎭ D.1,2⎛⎫+∞ ⎪⎝⎭4.函数212log (617)y x x =-+的值域是( ) A.R B.[)8,+∞ C.(],3-∞- D.[)3,+∞5.下列函数中,在()0,2上为增函数的是( )A.12log (1)y x =+ B.2log y =C.21log y x = D.2log (45)y x x =-+ 6.已知|1|log )(+=x x g a )1,0(≠>a a 在()10-,上有()0g x >,则1()x f x a +=是( )A.在(),0-∞上是增加的B.在(),0-∞上是减少的C.在(),1-∞-上是增加的D.在(),1-∞-上是减少的 7.函数xa x f )1()(2-=是减函数,则实数a 的取值范围是 . 8.计算=+⋅+3log 22450lg 2lg 5lg .9.已知11log )(--=x mxx f a 是奇函数 (其中)1,0≠>a a , (1)求m 的值;(2)讨论)(x f 的单调性; (3)求)(x f 的反函数)(1x f-;(4)当)(x f 定义域区间为)2,1(-a 时,)(x f 的值域为),1(+∞,求a 的值. 10.对于函数)32(log )(221+-=ax x x f ,解答下述问题:(1)若函数的定义域为R ,求实数a 的取值范围; (2)若函数的值域为R ,求实数a 的取值范围; (3)若函数在),1[+∞-内有意义,求实数a 的取值范围;(4)若函数的定义域为),3()1,(+∞-∞ ,求实数a 的值; (5)若函数的值域为]1,(--∞,求实数a 的值; (6)若函数在]1,(-∞内为增函数,求实数a 的取值范围.五、参考答案1.C.2.C.3.A.4.C.5.D.6.C.7.)2,1()1,2( --8.109.解析:(1)011log 11log 11log )()(222=--=--+--+=+-x x m x mx x mx x f x f a a a对定义域内的任意x 恒成立,∴10)1(11122222±=⇒=-⇒=--m x m xx m , 当1m =,()f x 无意义,舍去, 1-=∴m ,(2)∵11log )(-+=x x x f a, ∴ 定义域为),1()1,(+∞--∞ , 而)121(log 11log )(-+=-+=x x x x f a a, ①当1>a 时,)(x f 在),1()1,(+∞--∞与上都是减函数; ②当10<<a 时,)(x f 在),1()1,(+∞--∞与上都是增函数;(3)111)1(1111log -+=⇒+=-⇒-+=⇒-+=y y y y y a a a x a x a x x a x x y , ∵ 001≠≠-y a y,,∴ )10,0(11)(1≠>≠-+=-a a x a a x f xx 且. (4))2,1()(,3,21->∴-<<a x f a a x 在 上为减函数,∴命题等价于1)2(=-a f ,即014131log 2=+-⇒=--a a a a a , 解得32+=a .10.解析:记2223)(32)(a a x ax x x g u -+-=+-==,(1)R x u ∈>对0 恒成立,33032min <<-⇒>-=∴a a u ,∴a 的取值范围是)3,3(-;(2)这是一个较难理解的问题。
基本初等函数一、指数函数 1、根式的概念(1)如果,,,1n x a a R x R n =∈∈>,且n N +∈,那么x 叫做a 的n 次方根.当n 是奇数时,a 的n n 是偶数时,正数a 的正的n 次方根用负的n 次方根用符号0的n 次方根是0;负数a 没有n 次方根.(2)这里n 叫做根指数,a 叫做被开方数.当n 为奇数时,a 为任意实数;当n 为偶数时,0a ≥.(3)根式的性质:n a =;当n 为奇数时,a =;当n 为偶数时,(0)|| (0)a a a a a ≥⎧==⎨-<⎩. 2、分数指数幂(1)正数的正分数指数幂的意义是:0,,,m na a m n N +=>∈且1)n >.0的正分数指数幂等于0.(2)正数的负分数指数幂的意义是: 1()0,,,m m nn aa m n N a -+==>∈且1)n >.0的负分数指数幂没有意义. 注意口诀:底数取倒数,指数取相反数. (3)分数指数幂的运算性质①(0,,)r s r s a a a a r s R +⋅=>∈ ②()(0,,)r s rs a a a r s R =>∈ ③()(0,0,)r r r ab a b a b r R =>>∈实战演练1. 下列计算中正确的是( )A .633x x x =+B .942329)3(b a b a = C . lg(a+b)=lga·lgb D .lne=1 2. 已知71=+a a ,则=+-2121a a ( )A. 3B. 9C. –3D. 3±3、等于( ) A 、B 、C 、D 、4、若,且,则的值等于( )A 、B 、C 、D 、25、已知,则函数的图像必定不经过( )A 、第一象限 B 、第二象限 C 、第三象限 D 、第四象限6、若,则 。
7、函数的单调递减区间是 。
44366399a a ⎛⎫⎛⎫ ⎪ ⎪⎝⎭⎝⎭16a8a4a2a 1,0ab ><22b b a a -+=b ba a --62±2-01,1a b <<<-xy a b =+103,104x y ==10x y -=2233x y -=二、对数函数 1、对数的定义(1)若(0,1)x a N a a =>≠且,则x 叫做以a 为底N 的对数,记作log a x N =,其中a 叫做底数,N 叫做真数. (2)负数和零没有对数.(3)对数式与指数式的互化:log (0,1,0)x a x N a N a a N =⇔=>≠>. 2、几个重要的对数恒等式log 10a =,log 1a a =,log b a a b =. 3、常用对数与自然对数常用对数:lg N ,即10log N ;自然对数:ln N ,即lo g eN(其中 2.71828e =…). 4、对数的运算性质 如果0,1,0,0a a M N >≠>>,那么①加法:log log log ()a a a M N MN += ②减法:log log log a a a MM N N-= ③数乘:log log ()n a a n M M n R =∈ ④log a N a N = ⑤log log (0,)b n a a nM M b n R b=≠∈ ⑥换底公式:log log (0,1)log b a b NN b b a=>≠且 实战演练1、下列函数中,在其定义域内既是奇函数又是减函数的是( ) A. 3x y -= B.xy 21log = C. x y = D.xy )21(= 2、把函数y=a x (0<a<1)的反函数的图象向右平移一个单位得到的函数图象大致是 ( )(A ) (B ) (C ) (D )3、若a 、b 是任意实数,且b a >,则( )A .22b a >B .02<-ba C .0)lg(>-b a D .ba ⎪⎭⎫⎝⎛<⎪⎭⎫ ⎝⎛21215、对数函数的其性质4、设1a >,函数()log a f x x =在区间[]2a a ,上的最大值与最小值之差为12,则a =( )A B .2 C . D .45、 已知f(x)=|lgx|,则f(41)、f(31)、f(2) 大小关系为( )A. f(2)> f(31)>f(41)B. f(41)>f(31)>f(2)C. f(2)> f(41)>f(31)D. f(31)>f(41)>f(2)6、函数2441()431x x f x x x x -⎧=⎨-+>⎩, ≤,,的图象和函数2()log g x x =的图象的交点个数是 A .4 B .3 C .2 D .17、 当x ∈[-1, 1]时,函数f(x)=3x -2的值域为 .8、若0a >,2349a =,则23log a = .9、(1)指数函数y=f(x)的图象过点(2,4),求f(4)的值;(2)已知log a 2=m ,log a 3=n ,求a 2m+n .三、反函数1、反函数的概念设函数()y f x =的定义域为A ,值域为C ,从式子()y f x =中解出x ,得式子()x y ϕ=.如果对于y 在C 中的任何一个值,通过式子()x y ϕ=,x 在A 中都有唯一确定的值和它对应,那么式子()x y ϕ=表示x 是y 的函数,函数()x y ϕ=叫做函数()y f x =的反函数,记作1()x f y -=,习惯上改写成1()y f x -=. 2、反函数的求法①确定反函数的定义域,即原函数的值域; ②从原函数式()y f x =中反解出1()x f y -=;③将1()x f y -=改写成1()y f x -=,并注明反函数的定义域. 3、反函数的性质①原函数()y f x =与反函数1()y f x -=的图象关于直线y x =对称.②函数()y f x =的定义域、值域分别是其反函数1()y f x -=的值域、定义域. ③若(,)P a b 在原函数()y f x =的图象上,则'(,)P b a 在反函数1()y f x -=的图象上. ④一般地,函数()y f x =要有反函数则它必须为单调函数.实战演练1、函数y =-x 2+1(x ≤0)的反函数是( ) A.y =-1+x (x ≥-1) B.y =-x -1 (x ≤1) C.y =)1(+-x (x ≤-1) D.y =±1+x (x ≥-1)2、如图2—7,各图象表示的函数中,存在反函数的只能是()3、函数f (x )=c x b ax ++ (a 、b 、c 是常数)的反函数是f -1 (x )=213+-x x ,则a 、b 、c 的值依次是( )A.2,1,3B.-2,-1,-3C.-2,1,3D.-1,3,-24、函数f (x )=31+x (x ≠-3)的反函数是 .5、函数f (x )=-x 5+2x -4(x ≤1)的反函数是 .6、已知2)(3-=x x f 则f -1 (6)= .强化训练7、函数y =x 2+2x (x <-1)的反函数是( )A.)1(11--+= x x yB. )1(11--+= x x yC. )1(11--+-= x x yD. )1(11--+-= x x y 8、函数f (x )=2x 3(x ∈R )的反函数是 . 9、函数f (x )=2--x (x ≤-2)的反函数是 .10、函数f (x )的定义域在(-∞,0)上,且f (x +1)=x 2+2x ,则f -1(1)= . 11、已知函数y =f (x )有反函数y =f -1(x ),则f -1[f (m )]= .图2—7四、幂函数 1、幂函数的定义一般地,函数y x α=叫做幂函数,其中x 为自变量,α是常数. 2、必须掌握:y x =,2y x =,3y x =,1/2y x =,1y x -=这五个常 用幂函数的图象.3①图象分布:幂函数图象分布在第一、二、三象限,第四象限无图象.幂函数是偶函数时,图象分布在第一、二象限(图象关于y 轴对称);是奇函数时,图象分布在第一、三象限(图象关于原点对称);是非奇非偶函数时,图象只分布在第一象限.②过定点:所有的幂函数在(0,)+∞都有定义,并且图象都通过点(1,1). ③单调性:如果0α>,则幂函数的图象过原点,并且在[0,)+∞上为增函数.如果0α<,则幂函数的图象在(0,)+∞上为减函数,在第一象限内,图象无限接近x 轴与y 轴.④奇偶性:当α为奇数时,幂函数为奇函数,当α为偶数时,幂函数为偶函数.当qpα=(其中,p q 互质,p 和q Z ∈),若p 为奇数q 为奇数时,则qp y x =是奇函数,若p 为奇数q 为偶数时,则qp y x =是偶函数,若p 为偶数q 为奇数时,则q py x =是非奇非偶函数.⑤图象特征:幂函数,(0,)y x x α=∈+∞,当1α>时,若01x <<,其图象在直线y x =下方,若1x >,其图象在直线y x =上方,当1α<时,若01x <<,其图象在直线y x =上方,若1x >,其图象在直线y x =下方.实战演练1、幂函数()y f x =的图象过点1(4,)2,则(8)f 的值为 .2、幂函数的图象过点(2,14), 则它的单调递增区间是 .3、设x ∈(0, 1),幂函数y =a x 的图象在y =x 的上方,则a 的取值范围是 .4、函数y =34x -在区间上 是减函数.5、用“<”或”>”连结下列各式:0.60.32 0.50.32 0.50.34, 0.40.8- 0.40.6-.6、函数1322(1)(4)y x x --=-+-的定义域是7、942--=a a x y 是偶函数,且在),0(+∞是减函数,则整数a 的值是 . 8、已知3532x x >,x 的取值范围为9、若幂函数a y x =的图象在0<x<1时位于直线y=x 的下方,则实数a 的取值范围是10、函数2()3x f x x +=+的对称中心是 ,在区间 是 函数(填“增、减”) 11、设⎭⎬⎫⎩⎨⎧-∈3,21,1,1α,则使函数αx y =的定义域为R 且为奇函数的所有α值为( ) A .1,3 B .1-,1 C .1-,3 D .1-,1,312、一个幂函数y =f (x )的图象过点(3, 427),另一个幂函数y =g (x )的图象过点(-8, -2),(1)求这两个幂函数的解析式; (2)判断这两个函数的奇偶性;(3)作出这两个函数的图象,观察得f (x )< g (x )的解集.。
必修1第二章基本初等函数(Ⅰ)知识点整理〖2.1〗指数函数2.1.1指数与指数幂的运算(1)根式的概念 ①如果,,,1nxa a R x R n =∈∈>,且n N +∈,那么x 叫做a 的n 次方根.当n 是奇数时,a 的n当n 是偶数时,正数a 的正的nn次方根用符号表示;0的n 次方根是0;负数a 没有n 次方根.(2(3(4〖2.2〗对数函数【2.2.1】对数与对数运算(1)对数的定义①若(0,1)xaN a a =>≠且,则x 叫做以a 为底N 的对数,记作log a xN =,其中a 叫做底数,N叫做真数.②负数和零没有对数.③对数式与指数式的互化:log (0,1,0)x a x N a N a a N =⇔=>≠>.(2)几个重要的对数恒等式:l o g 10a =,log 1a a =,log b a a b =.(3)常用对数与自然对数:常用对数:lg N ,即10log N ;自然对数:ln N ,即log e N (其中 2.71828e =…).(4【(5(6)反函数的概念设函数()y f x =的定义域为A ,值域为C ,从式子()y f x =中解出x ,得式子()x y ϕ=.如果对于y 在C 中的任何一个值,通过式子()xy ϕ=,x 在A 中都有唯一确定的值和它对应,那么式子()x y ϕ=表示x 是y 的函数,函数()x y ϕ=叫做函数y =(7③将x=(8①原函数y ②函数y =③若(,P a (1一般地,函数(2(3①三象限,时,图象分布在第一、二象限(图象关于y轴对称);是奇函数时,图象分布在第一、三象限(图象关于原点对称);是非奇非偶函数时,图象只分布在第一象限. 幂函数在(0,)+∞都有②过定点:所有的通过点(1,1).定义,并且图象都0α>,则幂函数的图③单调性:如果象过原点,并且在[0,)+∞上为增函数.如果0α<,则幂函数的图象在(0,)+∞上为减函数,在第一象限内,图象无限接近x 轴与y 轴.④奇偶性:当α为奇数时,幂函数为奇函数,当α为偶数时,幂函数为偶函数.当q pα=(其中,p q 互质,p 和q Z ∈),若p 为奇数q 为奇数时,则q py x =是奇函数,若p 为奇数q 为偶数时,则q py x =是偶函数,若p 为偶数q 为奇数时,则qpy x =是非奇非偶函数. ⑤图象特征:幂函数,(0,)y x x α=∈+∞,当1α>时,若01x <<,其图象在直线y x =下方,若1x >,其图象在直线y x=上方,当α(1①一般式:f ③两根式:f (2(3①二次函数f ②当0a >当0a <.③二次函数11221212(,0),(,0),||||||M x M x M M x x a =-=. (4)一元二次方程20(0)axbx c a ++=≠根的分布一元二次方程根的分布是二次函数中的重要内容,这部分知识在初中代数中虽有所涉及,但尚不够系统和完整,且解决的方法偏重于二次方程根的判别式和根与系数关系定理(韦达定理)的运用,下面结合二次函数图象的性质,系统地来分析一元二次方程实根的分布.设一元二次方程20(0)axbx c a ++=≠的两实根为12,x x ,且12x x ≤.令2()f x ax bx c =++,从以下四个方面来分析此类问题:①开口方向:a ②对称轴位置:2bx a=-③判别式:∆④端点函数值符号. ①k <x 1≤x 2⇔ ②x 1≤x 2<k ⇔ ③x 1<k <x 2⇔af (k )<0 ④k 1<x 1≤x 2<k 2⇔⑤有且仅有一个根x 1(或x 2)满足k 1<x 1(或x 2)<k 2⇔f (k 1)f (k 2)<0,并同时考虑f (k 1)=0或f (k 2)=0这两种情况是否也符合⑥k 1<x 1<k 2≤p 1<x 2<p 2⇔ 此结论可直接由⑤推出. (5)二次函数2设f (p) )2b a -f x0x (q) 0x x ??0x xx。
初等数学常用公式:(一)代数乘法及因式分解公式1.(1)(x+a) (x+b) =x2 + (a+b)x +ab(2)(a±b)2=a2 ±2ab+b2(3) (a±b)3=a3±3a2b+3ab2±b3(4)(a+b+c)2=a2+b2+c2+2ab+2bc+2ca(5)(a+b+c)3=a3+b3+c3+3a2b+3ab2+3b2c+3bc2+ 3a2c+ 3ac2+ 6abc(6) a2-b2=(a -b)(a+b)(7)a3±b3= (a±b) (a2ab +b2).(8) a n-b n= (a-b)(a n-1 +a n-2b+a n-3b2+…+ab n-2+b n-1) (n为正整数)(9) a n-b n= (a+b)(a n-1-a n-2b+a n-3b2-…+ab n-2-b n-1) (n为偶数)(10) a n+b n=(a+b)(a n-1-a n-2b+a n-3b2-…-ab n-2+b n-1) (n为奇数) 2。
指数运算(设a,b,是正实数,m,n是任意实数)1.指数定义下面(1)--(3)式中,m、n均为正整数.= (n个a的乘积);(1)a n(2)(3)(4)无理指数幂可用有理指数幂近似表示.例如2.指数运算法则(1)(2)(3)(4)(5)式中a.>0 ,b>0;x1,x2,x为任意实数.3.对数定义若a x=b (a>0 , a≠1) ,则x称为b的以a 为底的对数,记作当a=10时,,称为常用对数.当a=e 时,,称为自然对数.4.对数的性质(1)(2)(3)(4)(5)换底公式由此可推出:(a)(在换底公式中取c=b)(b) (在换底公式中取c=10)5.对数运算法则(1)(2)(3)(x 为任意实数)1.基本不等式在下面1)~5)各式中,设a >b, 则1) a ±c > b ± c2) ac > bc (c>0);ac<bc(c<0)3),4) a n>b n ( n>0, a>0, b>0) ; a n<b n ( n<0, a>0, b>0)5) (n为正整数,a>0,b>0)6)设且b, d同号,则2. 有关绝对值的不等式(1)绝对值的定义•实数a的绝对值实数的绝对值是数轴上点到原点的距离.(2) 有关绝对值的不等式(a) 若a , b,…, k为任意复数(包含实数),则(b)若a ,b为任意复数(包含实数),则(c)若则-b≤a≤b特别有(d)若则a>b或a<-b(e)(f)若a , b,…,k为任意复数(包含实数),则(g)若a , b,…,k为任意复数(包含实数),则有关三角函数、指数函数、对数函数的不等式1) sin x<x<tg x (0<x<)2) cos x<<1 (0<x<π )3)()4)(-∞<x<∞, x≠0 )5)( x>0 )6) ( 0<x<)7)( 0<x<1, x≠)8)( x≠0 )9)( x<1, x≠0 )10)(n为自然数,x>0)11) ( x ≠0 )12) ( x >-1, x ≠0 )13) ( x >-1, x ≠0 )14) ( x > -1, x ≠0 )特别取(n 为自然数 ), 有15)ln x ≤ x-1 ( x >0 )阶乘、排列、组合、二项与多项式1.阶乘注:表中n 为自然数 2.排列(a) 从n 个不同的元素中每次取出k 个(k ≤n )不同的元素,按一定的顺序排成一列,称为排列.其排列种数为:(b) 特别当k =n 时,此排列称为全排列.其排列种数为:定义说明 0!=1 规定n 的阶乘 (-1)!!=0规定(21)!(21)!!135(21)2!nn n n n ++=⋅⋅⋅⋅⋅+= 奇数的阶乘 0!!=0 规定偶数的阶乘3.组合(a) 从n个不同的元素中每次取出k个(k≤n)不同的元素,不管其顺序合并成一组,称为组合.其组合种数为:(b) 组合公式4.二项与多项式(a) 二项式公式(b) 二项式系数,杨辉三角形我国南宋时期数学家杨辉在他所著的《详解九章算法》(1261年)中记载着有关二项式系数的研究.在二项式公式中分别取n=0, 1, 2 ,…, 6 时,其二项式系数可表示成三角形,称为杨辉三角形.(a+b)01(a+b)111(a+b)2121(a+b)31331(a+b)414641(a+b)515101051(a+b)61615201561代数方程1.一元n次代数方程其中n为正整数;a0 , a1,…, a n是属于数域S(实数域或复数域)的常数;x为未知数.f(x)称为一元n次多项式;方程f(x)=0称为一元n次代数方程;最高次项系数a0称为首项系数.设c是一常数,使f(c)=0 , 则称c为多项式f(x) 或方程f(x)=0 的根.代数基本定理每个复数域上n次代数方程在复数域中至少有一个根.代数基本定理的推论每个n次代数方程在复数域中有且只有n个根.2.一元二次方程方程根的表达式根与系数关系判别式有两个不等的实根有两个相等的实根有两个复根有两个不等的实根有两个相等的实根有两个复根二. 三角函数公式表同角三角函数的基本关系式倒数关系:商的关系:平方关系:tanα ·cotα=1 sinα ·cscα=1 cosα ·secα=1sinα/cosα=tanα=secα/cscαcosα/sinα=cotα=cscα/secαsin2α+cos2α=11+tan2α=sec2α1+cot2α=csc2α(六边形记忆法:图形结构“上弦中切下割,左正右余中间1”;记忆方法“对角线上两个函数的积为1;阴影三角形上两顶点的三角函数值的平方和等于下顶点的三角函数值的平方;任意一顶点的三角函数值等于相邻两个顶点的三角函数值的乘积。
青年人网考研数学初等数学公式一些初等函数: 两个重要极限:三角函数公式: ·诱导公式:函数 角A sincos tg ctg -α -sinα cosα -tgα -ctgα 90°-α cosα sinαctgαtgα 90°+α cosα -sinα -ctgα -tgα 180°-α sinα-cosα -tgα-ctgα 180°+α -sinα -cosα tgα ctgα 270°-α -cosα -si nα ctgα tgα 270°+α -cosα sinα -ctgα -tgα360°-α -sinα cosα -tgα -ctgα 360°+αsinαcosαtgαctgα·和差角公式: ·和差化积公式:2sin2sin 2cos cos 2cos2cos 2cos cos 2sin2cos 2sin sin 2cos2sin2sin sin βαβαβαβαβαβαβαβαβαβαβαβα-+=--+=+-+=--+=+αββαβαβαβαβαβαβαβαβαβαβαctg ctg ctg ctg ctg tg tg tg tg tg ±⋅=±⋅±=±=±±=±1)(1)(sin sin cos cos )cos(sin cos cos sin )sin( xxarthx x x archx x x arshx e e e e chx shx thx e e chx e e shx x x xx xx xx -+=-+±=++=+-==+=-=----11ln21)1ln(1ln(:2:2:22)双曲正切双曲余弦双曲正弦...590457182818284.2)11(lim 1sin lim0==+=∞→→e xxxx x x·倍角公式:·半角公式:ααααααααααααααααααcos 1sin sin cos 1cos 1cos 12cos 1sin sin cos 1cos 1cos 122cos 12cos 2cos 12sin -=+=-+±=+=-=+-±=+±=-±=ctg tg·正弦定理:R CcB b A a 2sin sin sin === ·余弦定理:C ab b a c cos 2222-+=·反三角函数性质:arcctgx arctgx x x -=-=2arccos 2arcsin ππ·一元二次方程:02=++c bx ax ,两根为21,x x =aac b b 242-±-,其中:042>-ac ba c x x abx x =-=+2121,2·等差数列:·等比数列:αααααααααα23333133cos 3cos 43cos sin 4sin 33sin tg tg tg tg --=-=-=αααααααααααααα222222122212sin cos sin 211cos 22cos cos sin 22sin tg tg tg ctg ctg ctg -=-=-=-=-==2/)1()1(11d n n na S d n a a n n -+=-+=)1(),1/()1.()1(,.11)1(1≠--====-q q q a S q na S q a a n n n n n。