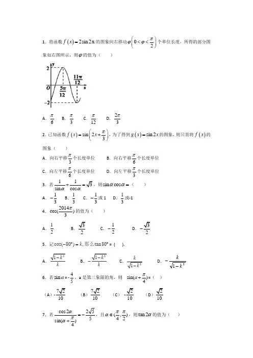
高三高考数学基础练习题
- 格式:docx
- 大小:36.84 KB
- 文档页数:3
高考模拟复习试卷试题模拟卷A 基础巩固训练1.2.一个口袋内装有2个白球和3个黑球,则先摸出1个白球后放回,再摸出1个白球的概率是( )A .23B .14C .25D .15【答案】C【解析】先摸出1个白球后放回,再摸出1个白球的概率实质上就是第二次摸到白球的概率,因为袋内装有2个白球和3个黑球,因此概率为25.2. 一个质地均匀的正方体骰子,其六个面上的点数分别为1、2、3、4、5、6,将这颗骰子连续投掷三次,观察向上的点数,则三次点数依次成等比数列的概率为( )A .1108B .1216C .136D .127 [答案] D3. 投掷两颗骰子,得到其向上的点数分别为m 和n ,则复数(m +ni)(n -mi)为实数的概率为( ) A .13 B .14 C .16 D .112【答案】C【解析】复数(m +ni)(n -mi)=2mn +(n2-m2)i 为实数,则n2-m2=0⇒m =n ,而投掷两颗骰子得到点数相同的情况只有6种,所以所求概率为66×6=16. 4. (·浙江金华十校模拟)从5名医生(3男2女)中随机等可能地选派两名医生,则恰选1名男医生和1名女医生的概率为( ) A.110 B.25C.12 D.35【答案】 D5. 有一个奇数列1,3,5,7,9,…,现在进行如下分组,第一组有1个数为1,第二组有2个数为3、5,第三组有3个数为7、9、11,…,依次类推,则从第十组中随机抽取一个数恰为3的倍数的概率为. 【答案】103 【解析】由题可知前9组数据共有45921=+++ ,第10组共有10数,且第一个为46,其中为3的倍数的数为:48,51,54,故概率为103=P . B 能力提升训练1..(·湖北武汉市调研测试)已知等比数列{an}满足:a1=2,an +1=-2an(n ∈N*).若从数列{an}的前10项中随机抽取一项,则该项不小于8的概率是( )A .310B .25C .35D .710【答案】B【解析】依题意可知an =2·(-2)n -1,由计算可知,前10项中,不小于8的只有8,32,128,512,4个数,故所求概率是410=25.2. 一张方桌的图案如图所示,将一颗豆子随机地扔到桌面上,假设豆子不落在线上,下列事件的概率:(1)豆子落在红色区域概率为49;(2)豆子落在黄色区域概率为13; (3)豆子落在绿色区域概率为29;(4)豆子落在红色或绿色区域概率为13;(5)豆子落在黄色或绿色区域概率为49.其中正确的结论有( )A.2个B.3个C.4个D.5个 【答案】B3. (·浙江金华十校4月模拟)从5名医生(3男2女)中随机等可能地选派两名医生,则恰选1名男医生和1名女医生的概率为( )A .110B .25C .12D .35【答案】D4. 连掷两次骰子得到的点数分别为m 和n ,记向量a =(m ,n)与向量b =(1,-1)的夹角为θ,则θ∈⎝⎛⎦⎤0,π2的概率是( ) A.512 B.12 C.712 D.56 【答案】 C 【解析】 ∵cos θ=m -n m2+n2·2,θ∈⎝⎛⎦⎤0,π2, ∴m≥n 满足条件,m =n 的概率为636=16,m >n 的概率为12×56=512,∴θ∈⎝⎛⎦⎤0,π2的概率为16+512=712.5. .甲、乙两名运动员各自等可能地从红、白、蓝3种颜色的运动服种选择1种,则他们选择相同颜色运动服的概率为. 【答案】31.C 思维扩展训练1. (·江苏高考)从1,2,3,6这4个数中一次随机地取2个数,则所取2个数的乘积为6的概率是________. 【答案】 132.(·浙江高考)在3张奖券中有一、二等奖各1张,另1张无奖.甲、乙两人各抽取1张,两人都中奖的概率是________. 【答案】 13【解析】 记“两人都中奖”为事件A ,设中一、二等奖及不中奖分别记为1,2,0,那么甲、乙抽奖结果有(1,2),(1,0),(2,1),(2,0),(0,1),(0,2),共6种.其中甲、乙都中奖有(1,2),(2,1),2种,所以P(A)=26=13.3. 在平面直角坐标系xOy 中,不等式组⎩⎪⎨⎪⎧-1≤x≤2,0≤y≤2表示的平面区域为W ,从W 中随机取点M(x ,y).若x ∈Z ,y ∈Z ,则点M 位于第二象限的概率为( )A .16 B .13 C .1-π12D .1-π6【答案】A【解析】画出平面区域,列出平面区域内的整数点如下:(-1,0),(-1,1),(-1,2),(0,0),(0,1),(0,2),(1,0),(1,1),(1,2),(2,0),(2,1),(2,2),共12个,其中位于第二象限的有(-1,1),(-1,2),共2个,所以所求概率P =16.4.(·江苏扬州模拟)将一枚骰子抛掷两次,若先后出现的点数分别为b ,c ,则方程x2+bx +c =0有实根的概率为________. 【答案】19365. 掷甲、乙两颗骰子,甲出现的点数为x ,乙出现的点数为y ,若令()p A 为||1x y ->的概率,()P B 为21xy x ≤+的概率,试求()()P A P B +的值.高考模拟复习试卷试题模拟卷第八章 直线与圆一.基础题组1.(重庆市巴蜀中学高三月考数学、文、1)若直线210ax y ++=与直线20x y +-=互相垂直,那么a 的值等于( )A .1B .13-C .23-D .2- 2.(文昌中学高三模拟考试、文、15)圆心在直线x -2y =0上的圆C 与y 轴的正半轴相切,圆C 截x 轴所得弦的长为23,则圆C 的标准方程为________________.3.(重庆市巴蜀中学高三月考数学、文、15)在平面直角坐标系xOy 中,以点)0,1(为圆心且与直线)(012R m m y mx ∈=---相切的所有圆中,半径最大的圆的标准方程为.4.(重庆市部分区县高三上学期入学考试、文、16)若实数c b a ,,成等差数列,点)0,1(-P 在动直线0:==+c by ax l 上的射影为M ,点)3,0(N ,则线段MN 长度的最小值是.二.能力题组1.(五校协作体高三上学期期初考试数学、文、9)曲线21y x =+在点(1,2)处的切线为l ,则直线l 上的任意点P 与圆22430x y x +++=上的任意点Q 之间的最近距离是( )A.4515- B.2515- C.51- D.2 2.(示范高中高三第一次联考、文、14)已知圆的方程为()2214x y +-=。
专题9.5 抛物线1.(2020·全国高考真题(理))已知A 为抛物线C :y 2=2px (p >0)上一点,点A 到C 的焦点的距离为12,到y 轴的距离为9,则p =( ) A .2 B .3 C .6 D .9【答案】C 【解析】设抛物线的焦点为F ,由抛物线的定义知||122A p AF x =+=,即1292p=+,解得6p.故选:C.2.(2020·北京高三二模)焦点在x 轴的正半轴上,且焦点到准线的距离为4的抛物线的标准方程是( ) A .x 2=4y B .y 2=4x C .x 2=8y D .y 2=8x【答案】D 【解析】根据题意,要求抛物线的焦点在x 轴的正半轴上, 设其标准方程为22(0)y px p =>, 又由焦点到准线的距离为4,即p =4, 故要求抛物线的标准方程为y 2=8x , 故选:D.3.(全国高考真题)设F 为抛物线2:4C y x =的焦点,曲线()0ky k x=>与C 交于点P ,PF x ⊥轴,则k =( )A .12B .1C .32D .2【答案】D 【解析】由抛物线的性质可得(1,2)221kP y k ⇒==⇒=,故选D. 4.(2020·全国高考真题(文))设O 为坐标原点,直线2x =与抛物线C :22(0)y px p =>交于D ,E 两点,若OD OE ⊥,则C 的焦点坐标为( ) A .1,04⎛⎫⎪⎝⎭B .1,02⎛⎫ ⎪⎝⎭C .(1,0)D .(2,0)练基础【答案】B 【解析】因为直线2x =与抛物线22(0)y px p =>交于,E D 两点,且OD OE ⊥, 根据抛物线的对称性可以确定4DOx EOx π∠=∠=,所以()2,2D ,代入抛物线方程44p =,求得1p =,所以其焦点坐标为1(,0)2, 故选:B.5.(2019·四川高三月考(文))若抛物线22y px =的准线为圆2240x y x ++=的一条切线,则抛物线的方程为( ) A.216y x =- B.28y x =-C.216y x =D.24y x =【答案】C 【解析】∵抛物线22y px =的准线方程为x=2p-,垂直于x 轴. 而圆2240x y x ++=垂直于x 轴的一条切线为4x =-, 则42p=,即8p =. 故抛物线的方程为216y x =. 故选:C .6.(2019·北京高考真题(文))设抛物线y 2=4x 的焦点为F ,准线为l .则以F 为圆心,且与l 相切的圆的方程为__________. 【答案】(x -1)2+y 2=4. 【解析】抛物线y 2=4x 中,2p =4,p =2, 焦点F (1,0),准线l 的方程为x =-1, 以F 为圆心,且与l 相切的圆的方程为 (x -1)2+y 2=22,即为(x -1)2+y 2=4.7.(2019·山东高三月考(文))直线l 与抛物线22x y =相交于A ,B 两点,当AB 4=时,则弦AB 中点M 到x 轴距离的最小值为______. 【答案】32【解析】由题意,抛物线22x y =的焦点坐标为(0,12),根据抛物线的定义如图,所求d=111A B AF BF 113M 2222A B AB M ++--==≥= 故答案为:32. 8.(2021·沙湾县第一中学(文))设过抛物线y 2=4x 的焦点F 的直线交抛物线于A ,B 两点,且直线AB 的倾斜角为4π,则线段AB 的长是____,焦点F 到A ,B 两点的距离之积为_________.【答案】8 8 【分析】由题意可得直线AB 的方程为1y x =-,然后将直线方程与抛物线方程联立方程组,消去y 后,利用根与系数的关系,结合抛物线的定义可求得答案 【详解】解:由题意得(1,0)F ,则直线AB 的方程为1y x =-,设1122(,),(,)A x y B x y ,由241y x y x ⎧=⎨=-⎩,得2610x x -+=, 所以12126,1x x x x +==, 所以12628AB x x p =++=+=,因为11221,122=+=+=+=+p pAF x x BF x x , 所以()()1212121116118AF BF x x x x x x ⋅=+⋅+=+++=++=, 故答案为:8,89.(2021·全国高三专题练习)已知抛物线顶点在原点,焦点在坐标轴上,又知此抛物线上的一点(),3A m -到焦点F 的距离为5,则m 的值为__________;抛物线方程为__________. 【答案】答案见解析 答案见解析 【分析】由于抛物线的开口方向未定,根据点(),3A m -在抛物线上这一条件,抛物线开口向下,向左、向右均有可能,以此分类讨论,利用焦半径公式列方程可得p 的值,根据点(),3A m -在抛物线上可得m 的值. 【详解】根据点(),3A m -在抛物线上,可知抛物线开口向下,向左、向右均有可能, 当抛物线开口向下时,设抛物线方程为22x py =-(0p >), 此时准线方程为2py =,由抛物线定义知(3)52p --=,解得4p =.所以抛物线方程为28x y ,这时将(),3A m -代入方程得m =±当抛物线开口向左或向右时,可设抛物线方程为22y ax (0a ≠),从p a =知准线方程为2ax =-,由题意知()25232am am⎧+=⎪⎨⎪-=⎩,解此方程组得11192a m =⎧⎪⎨=⎪⎩,22192a m =-⎧⎪⎨=-⎪⎩,33912a m =⎧⎪⎨=⎪⎩,44912a m =-⎧⎪⎨=-⎪⎩,综合(1)、(2)得92m =,22y x =; 92m =-,22y x =-;12m =,218y x =; 12m =-,218y x =-;m =±28xy .故答案为:92,92-,12,12-,±22y x =,22y x =-,218y x =,218y x =-,28x y .10.(2019·广东高三月考(理))已知F 为抛物线2:4T x y =的焦点,直线:2l y kx =+与T 相交于,A B 两点.()1若1k =,求FA FB +的值;()2点(3,2)C --,若CFA CFB ∠=∠,求直线l 的方程.【答案】(1)10(2)3240x y +-= 【解析】(1)由题意,可得()0,1F ,设221212,,,44x x A x B x ⎛⎫⎛⎫ ⎪ ⎪⎝⎭⎝⎭,联立方程组224y kx x y=+⎧⎨=⎩,整理得2480x kx --=,则124x x k +=,128x x =-,又由22121144x x FA FB +++=+()2121222104x x x x +-=+=.(2)由题意,知211,14x FA x ⎛⎫=- ⎪⎝⎭,222,14x FB x ⎛⎫=- ⎪⎝⎭,()3.3FC =--, 由CFA CFB ∠=∠,可得cos ,cos ,FA FC FB FC =又2114x FA =+,2214x FB =+,则FA FC FB FC FA FC FB FC =, 整理得()1212420x x x x ++-=,解得32k =-, 所以直线l 的方程为3240x y +-=.1.(2021·吉林长春市·高三(理))已知M 是抛物线24y x =上的一点,F 是抛物线的焦点,若以Fx 为始边,FM 为终边的角60xFM ∠=,则FM 等于( ) A .2 B C .D .4【答案】D 【分析】设点200,4y M y ⎛⎫ ⎪⎝⎭,取()1,0a =,可得1cos ,2FM a <>=,求出20y 的值,利用抛物线的定义可求练提升得FM 的值. 【详解】设点()00,M x y ,其中2004y x =,则()1,0F ,2001,4y FM y ⎛⎫=- ⎪⎝⎭,取()1,0a =,则211cos ,2y FM a FM a FM a-⋅<>===⋅⎛,可得4200340480y y -+=,因为20104y ->,可得204y >,解得2012y =,则20034y x ==,因此,014MF x=+=. 故选:D.2.(2017·全国高考真题(文))过抛物线2:4C y x =的焦点F 的直线交C 于点M (在x 轴上方),l 为C 的准线,点N 在l 上且MNl ⊥,则点M 到直线NF 的距离为()A. B. D.【答案】A 【解析】设直线l 与x 轴相交于点P ,与直线MN 相交于点Q ,(1,0)F ,设||||MN MF m ==,因为||2,30PF NQM =∠=,所以||4,||2QF QM m ==, 所以42m m +=,解得:4m =,设00(,)M x y ,由焦半径公式得:014x +=, 所以03x=,0y =,所以sin sin 42NP MNF NFP NF ∠=∠===,所以点M 到直线NF 的距离为||sin 4NM MNF ⋅∠=⋅=3.(2020·广西南宁三中其他(理))已知抛物线28C y x =:的焦点为F ,P 是抛物线C 的准线上的一点,且P 的纵坐标为正数,Q 是直线PF 与抛物线C 的一个交点,若PQ =,则直线PF 的方程为( )A .20x y --=B .20x y +-=C .20x y -+=D .20x y ++=【答案】B 【解析】过Q 点作QH PM ⊥于H ,因为PQ =,由抛物线的定义得PQ =,所以在Rt PQH ∆中,4PQH π∠=,所以4PFM π∠=,所以直线PF 的斜率为1k =-,所以直线PF 的方程为()()012y x -=--, 即20x y +-=, 故选B.4.(2020·浙江高三月考)如图,已知抛物线21:4C y x =和圆222:(1)1C x y -+=,直线l 经过1C 的焦点F ,自上而下依次交1C 和2C 于A ,B ,C ,D 四点,则AB CD ⋅的值为( )A .14B .12C .1D .2【答案】C 【解析】因为抛物线21:4C y x =的焦点为(1,0)F ,又直线l 经过1C 的焦点F ,设直线:(1)l y k x =-,由24(1)y x y k x ⎧=⎨=-⎩得2222(24)0k x k x k -++=, 设1122(,),(,)A x y B x y ,则121=x x由题意可得:1111=-=+-=AB AF BF x x , 同理2=CD x ,所以12cos01︒⋅=⋅⋅==AB CD AB CD x x . 故选C5.【多选题】(2022·全国高三专题练习)已知抛物线21:C y mx =与双曲线222:13y C x -=有相同的焦点,点()02,P y 在抛物线1C 上,则下列结论正确的有( )A .双曲线2C 的离心率为2B .双曲线2C 的渐近线为y x = C .8m =D .点P 到抛物线1C 的焦点的距离为4【答案】ACD 【分析】由双曲线方程写出离心率、渐近线及焦点,即可知A 、B 、C 的正误,根据所得抛物线方程求0y ,即知D 的正误. 【详解】双曲线2C 的离心率为2e ==,故A 正确;双曲线2C 的渐近线为y =,故B 错误; 由12,C C 有相同焦点,即24m=,即8m =,故C 正确; 抛物线28y x =焦点为()2,0,点()02,P y 在1C 上,则04y =±,故()2,4P 或()2,4P -,所以P 到1C 的焦点的距离为4,故D 正确. 故选:ACD .6.【多选题】(2021·海南鑫源高级中学)在下列四个命题中,真命题为( )A .当a 为任意实数时,直线(a -1)x -y +2a +1=0恒过定点P ,则过点P 且焦点在y 轴上的抛物线的标准方程是243x y =B .已知双曲线的右焦点为(5,0),一条渐近线方程为2x -y =0,则双曲线的标准方程为221205x y -= C .抛物线y =ax 2(a ≠0)的准线方程14y a=-D .已知双曲线2214x y m +=,其离心率()1,2e ∈,则m 的取值范围(-12,0)【答案】ACD 【分析】求出直线定点设出抛物方程即可判断A ;根据渐近线方程与焦点坐标求出,a b 即可判断B ;根据抛物线方程的准线方程公式即可判断C ;利用双曲线离心率公式即可判断D . 【详解】对A 选项,直线(a -1)x -y +2a +1=0恒过定点为()2,3P -,则过点P 且焦点在y 轴上的抛物线的标准方程设为22x py =,将点()2,3P -代入可得23p =,所以243x y =,故A 正确;对B 选项,知5,2bc a==,又22225a b c +==,解得225,20a b ==,所以双曲线的标准方程为221520x y -=,故B 错; 对C 选项,得21x y a =,所以准线方程14y a=-,正确;对D 选项,化双曲线方程为2214x y m-=-,所以()1,2e =,解得()12,0m ∈-,故正确.故选:ACD7.(2021·全国高二课时练习)已知点M 为抛物线2:2(0)C y px p =>上一点,若点M 到两定点(,)A p p ,,02p F ⎛⎫⎪⎝⎭的距离之和最小,则点M 的坐标为______.【答案】,2p p ⎛⎫⎪⎝⎭【分析】过点M 作抛物线准线的垂线,垂足为B ,根据抛物线的定义可得||||MF MB =, 易知当A ,B ,M 三点共线时||MB MA +取得最小值且为||AB ,进而可得结果. 【详解】过点M 作抛物线准线的垂线,垂足为B ,由抛物线的定义,知点M 到焦点,02p F ⎛⎫⎪⎝⎭的距离与点M 到准线的距离相等,即||||MF MB =,所以||||||||MF MA MB MA +=+, 易知当A ,B ,M 三点共线时,||MB MA +取得最小值, 所以min 3(||||)||2p MF MA AB +==,此时点M 的坐标为,2p p ⎛⎫⎪⎝⎭. 故答案为:2p p ⎛⎫⎪⎝⎭,8.(2021·全国高二课时练习)抛物线()220y px p =>的焦点为F ,已知点A ,B 为抛物线上的两个动点,且满足120AFB ∠=︒,过弦AB 的中点M 作抛物线准线的垂线MN ,垂足为N ,则MN AB的最大值为______.【分析】设=AF a ,=BF b ,根据中位线定理以及抛物线定义可得()12MN a b =+,在AFB △中,由余弦定理以及基本不等式可得)AB a b ≥+,即可求得MN AB 的最大值.【详解】设=AF a ,=BF b ,作AQ 垂直抛物线的准线于点Q ,BP 垂直抛物线的准线于点P .由抛物线的定义,知AF AQ =,BF BP =.由余弦定理得()2222222cos120AB a b ab a b ab a b ab =+=︒=++=+-.又22a b ab +⎛⎫≤ ⎪⎝⎭,∴()()()()22221344a b ab a b a b a b +-≥+-+=+,当且仅当a b =时,等号成立,∴)AB a b ≥+,∴()1a b MN AB +≤=MN AB9.(2020·山东济南外国语学校高三月考)抛物线C :22y x =的焦点坐标是________;经过点()4,1P 的直线l 与抛物线C 相交于A ,B 两点,且点P 恰为AB 的中点,F 为抛物线的焦点,则AF BF +=________.【答案】1,02⎛⎫⎪⎝⎭9【解析】抛物线C :22y x =的焦点1,02F ⎛⎫⎪⎝⎭. 过A 作AM ⊥准线交准线于M ,过B 作BN ⊥准线交准线于N ,过P 作PK ⊥准线交准线 于K ,则由抛物线的定义可得AM BN AF BF +=+. 再根据P 为线段AB 的中点,119(||||)||4222AM BN PK +==+=, ∴9AF BF +=,故答案为:焦点坐标是1,02⎛⎫ ⎪⎝⎭,9AF BF +=.10.(2019·四川高考模拟(文))抛物线C :()220x py p =>的焦点为F ,抛物线过点(),1P p .(Ⅰ)求抛物线C 的标准方程与其准线l 的方程;(Ⅱ)过F 点作直线与抛物线C 交于A ,B 两点,过A ,B 分别作抛物线的切线,证明两条切线的交点在抛物线C 的准线l 上.【答案】(Ⅰ)抛物线的标准方程为24x y =,准线l 的方程为1y =-;(Ⅱ)详见解析. 【解析】(Ⅰ)由221p p =⨯,得2p =,所以抛物线的标准方程为24x y =,准线l 的方程为1y =-.(Ⅱ)根据题意直线AB 的斜率一定存在,又焦点()0,1F ,设过F 点的直线方程为1y kx =+,联立241x yy kx ⎧=⎨=+⎩,得,2440x kx --=. 设()11,A x y ,()22,B x y ,则124x x k +=,124x x =-.∴()22221212122168x x x x x x k +=+-=+.由214y x =得,1'2y x =,过A ,B 的抛物线的切线方程分别为 ()()1112221212y y x x x y y x x x ⎧-=-⎪⎪⎨⎪-=-⎪⎩, 即21122211241124y x x x y x x x ⎧=-⎪⎪⎨⎪=-⎪⎩,两式相加,得()()2212121148y x x x x x =+-+,化简,得()221y kx k =-+,即()21y k x k =--, 所以,两条切线交于点()2,1k -,该点显然在抛物线C 的准线l :1y =-上.1.(2021·全国高考真题)抛物线22(0)y px p =>的焦点到直线1y x =+,则p =( ) A .1 B .2 C .D .4【答案】B 【分析】首先确定抛物线的焦点坐标,然后结合点到直线距离公式可得p 的值. 【详解】抛物线的焦点坐标为,02p ⎛⎫ ⎪⎝⎭,其到直线10x y -+=的距离:d == 解得:2p =(6p =-舍去). 故选:B.2.(2021·天津高考真题)已知双曲线22221(0,0)x y a b a b-=>>的右焦点与抛物线22(0)y px p =>的焦点重合,抛物线的准线交双曲线于A ,B 两点,交双曲线的渐近线于C 、D 两点,若|CD AB .则双曲线的离心率为( ) A B C .2D .3练真题【答案】A 【分析】设公共焦点为(),0c ,进而可得准线为x c =-,代入双曲线及渐近线方程,结合线段长度比值可得2212a c =,再由双曲线离心率公式即可得解. 【详解】设双曲线22221(0,0)x y a b a b-=>>与抛物线22(0)y px p =>的公共焦点为(),0c ,则抛物线22(0)y px p =>的准线为x c =-,令x c =-,则22221c ya b-=,解得2b y a =±,所以22b AB a =, 又因为双曲线的渐近线方程为b y x a =±,所以2bcCD a=,所以2bc a c ,所以222212a cbc =-=,所以双曲线的离心率ce a== 故选:A.3.(2020·北京高考真题)设抛物线的顶点为O ,焦点为F ,准线为l .P 是抛物线上异于O 的一点,过P 作PQ l ⊥于Q ,则线段FQ 的垂直平分线( ). A .经过点O B .经过点P C .平行于直线OP D .垂直于直线OP【答案】B 【解析】如图所示:.因为线段FQ 的垂直平分线上的点到,F Q 的距离相等,又点P 在抛物线上,根据定义可知,PQ PF =,所以线段FQ 的垂直平分线经过点P .故选:B.4.(2021·全国高考真题)已知O 为坐标原点,抛物线C :22y px =(0p >)的焦点为F ,P 为C 上一点,PF 与x 轴垂直,Q 为x 轴上一点,且PQ OP ⊥,若6FQ =,则C 的准线方程为______. 【答案】32x =-【分析】先用坐标表示P Q ,,再根据向量垂直坐标表示列方程,解得p ,即得结果. 【详解】抛物线C :22y px = (0p >)的焦点,02p F ⎛⎫⎪⎝⎭,∵P 为C 上一点,PF 与x 轴垂直, 所以P 的横坐标为2p,代入抛物线方程求得P 的纵坐标为p ±, 不妨设(,)2pP p ,因为Q 为x 轴上一点,且PQ OP ⊥,所以Q 在F 的右侧, 又||6FQ =, (6,0),(6,)2pQ PQ p ∴+∴=- 因为PQ OP ⊥,所以PQ OP ⋅=2602pp ⨯-=, 0,3p p >∴=,所以C 的准线方程为32x =-故答案为:32x =-.5.的直线过抛物线C :y 2=4x 的焦点,且与C 交于A ,B 两点,则AB =________.【答案】163【解析】∵抛物线的方程为24y x =,∴抛物线的焦点F 坐标为(1,0)F ,又∵直线AB 过焦点F AB 的方程为:1)y x =- 代入抛物线方程消去y 并化简得231030x x -+=, 解法一:解得121,33x x ==所以12116||||3|33AB x x =-=-= 解法二:10036640∆=-=> 设1122(,),(,)A x y B x y ,则12103x x +=, 过,A B 分别作准线1x =-的垂线,设垂足分别为,C D 如图所示.12||||||||||11AB AF BF AC BD x x =+=+=+++1216+2=3x x =+故答案为:1636.(2020·浙江省高考真题)如图,已知椭圆221:12x C y +=,抛物线22:2(0)C y px p =>,点A 是椭圆1C 与抛物线2C 的交点,过点A 的直线l 交椭圆1C 于点B ,交抛物线2C 于M (B ,M 不同于A ).(Ⅰ)若116=p ,求抛物线2C 的焦点坐标; (Ⅱ)若存在不过原点的直线l 使M 为线段AB 的中点,求p 的最大值.【答案】(Ⅰ)1(,0)32;【解析】 (Ⅰ)当116=p 时,2C 的方程为218y x =,故抛物线2C 的焦点坐标为1(,0)32;(Ⅱ)设()()()112200,,,,,,:A x y B x y M x y I x y m λ=+,由()22222222220x y y my m x y mλλλ⎧+=⇒+++-=⎨=+⎩, 1200022222,,222m m my y y x y m λλλλλλ--∴+===+=+++, 由M 在抛物线上,所以()222222244222m pm mp λλλλλ=⇒=+++, 又22222()220y pxy p y m y p y pm x y mλλλ⎧=⇒=+⇒--=⎨=+⎩, 012y y p λ∴+=,2101022x x y m y m p m λλλ∴+=+++=+,2122222mx p m λλ∴=+-+.由2222142,?22x y x px y px ⎧+=⎪⇒+=⎨⎪=⎩即2420x px +-=12x p ⇒==-222221822228162p p p m p p p λλλλλ+⇒-=+⋅=++≥+,18p ≥,21160p ≤,p ≤ 所以,p,此时A . 法2:设直线:(0,0)l x my t m t =+≠≠,()00,A x y .将直线l 的方程代入椭圆221:12x C y +=得:()2222220m y mty t +++-=,所以点M 的纵坐标为22M mty m =-+.将直线l 的方程代入抛物线22:2C y px =得:2220y pmy pt --=,所以02M y y pt =-,解得()2022p m y m+=,因此()220222p m xm+=,由220012x y +=解得22212242160m m p m m ⎛⎫⎛⎫=+++ ⎪ ⎪⎝⎭⎝⎭,所以当m t ==p .。
高考数学复习----圆锥曲线压轴解答题常考套路归类专项练习题(含答案解析)1.(2023春·福建泉州·高三阶段练习)如图,在平面直角坐标系中,已知点,直线:,为平面上的动点,过点作直线的垂线,垂足为点,分别以PQ ,PF 为直径作圆和圆,且圆和圆交于P ,R 两点,且.(1)求动点的轨迹E 的方程;(2)若直线:交轨迹E 于A ,B 两点,直线:与轨迹E 交于M ,D 两点,其中点M 在第一象限,点A ,B 在直线两侧,直线与交于点且,求面积的最大值.【解析】(1)设点,因为, 由正弦定理知,,解得, 所以曲线的方程为.(2)直线与曲线在第一象限交于点, 因为,所以, 由正弦定理得:,xOy ()1,0F l =1x −P P l Q 1C 2C 1C 2C PQR PFR ∠=∠P 1l x my a =+2l 1x =2l 1l 2l N MA BN AN MB ⋅=⋅MAB △(,)P x y PQR PFR ∠=∠||||PQ PF =|1|x =+24y x =E 24y x =1x =E (1,2)M ||||||||MA BN AN MB ⋅=⋅||||||||MA MB AN BN =sin sin sin sin ANM BNMAMN BMN∠∠=∠∠所以. 设, 所以, 得,所以, 所以直线方程为:,联立,得 由韦达定理得,又因为点在直线的上方,所以,所以, 所以又因为点到直线的距离为所以方法一:令,则,所以当时,单调递增,当时,单调递减,所以, 所以当时,面积最大,此时最大值为.方法二:最大值也可以用三元均值不等式,过程如下:, 当且仅当,即时,等号成立.AMN BMN ∠=∠()()1122,,,A x y B x y 12122212121222224411221144AM BM y y y y k k y y x x y y−−−−+=+=+=+=−−++−−124y y +=−2121222121124144AB y y y y k y y x x y y −−====−−+−1l x y a =−+24y xx y a ⎧=⎨=−+⎩2440,16(1)0,1y y a a a +−=∆=+>>−12124,4y y y y a +=−=−M 1l 21a >−+13a −<<12||AB y =−=M 1l d =11||22ABMSAB d ==⨯=2()(1)(3),13f a a a a =+−−<<()(31)(3)f a a a '=−−113a −<<()0,()f a f a '>133a <<()0,()f a f a '<max 1256()327f a f ⎛⎫== ⎪⎝⎭13a =ABM S ∆=ABM S △ABMS==223a a +=−13a =2.(2023·北京·高三专题练习)已知椭圆中心在原点,焦点在坐标轴上,,一个焦点为. (1)求椭圆的标准方程;(2)过点且不与坐标轴垂直的直线与椭圆相交于两点,直线分别与直线相交于两点,若为锐角,求直线斜率的取值范围. 【解析】(1)由题意知:椭圆的离心率因为一个焦点为,所以,则由可得:,所以椭圆的标准方程为. (2)设直线的方程为,, 联立方程组,整理可得:,则有, 由条件可知:直线所在直线方程为:, 因为直线与直线相交于 所以,同理可得:, 则, 若为锐角,则有, 所以 C O ()0,1F C F l ,A B ,OA OB 2y =,M N MON ∠l k C c e a ==()0,1F 1c =a 222a b c =+1b =C 2212y x +=l 1y kx =+1122(,),(,)A x y B x y 22112y kx y x =+⎧⎪⎨+=⎪⎩22(2)210k x kx ++−=12122221,22k x x x x k k −−+==++OA 11y y x x =OA 2y =M 112(,2)x M y 222(,2)xN y 112(,2)x OM y =222(,2)xON y =MON ∠0OM ON >121212212121212444444(1)(1)()1x x x x x x OM ON y y kx kx k x x k x x =+=+=++++++,则,解得:或, 所以或或, 故直线斜率的取值范围为. 3.(2023·青海海东·统考一模)已知函数.(1)求曲线在处的切线方程;(2)若在点处的切线为,函数的图象在点处的切线为,,求直线的方程.【解析】(1),,则,所以曲线在处的切线方程为,即.(2)设,令,则. 当时,; 当时,.所以在上单调递增,在上单调递减,所以在时取得最大值2,即.,当且仅当时,等号成立,取得最小值2. 因为,所以,得.2222142=412122k k k k k k −⨯++−−⨯+⨯+++22=41k +−22421k k −=−224201k k −>−212k <21k>k −<<1k >1k <−l k 22(,1)(,)(1,)22−∞−−+∞()32ln 13x f x x x x =−+−()y f x =1x =()y f x =A 1l ()e e x xg x −=−B 2l 12l l ∥AB ()11101133f =−+−=−()222ln 212ln 3f x x x x x =+−+=−+'()12f '=()y f x =1x =()1213y x +=−723y x =−()()1122,,,A x y B x y ()22ln 3h x x x =−+()()()21122x x h x x x x+−=−='01x <<()0h x '>1x >()0h x '<()h x ()0,1()1,+∞()22ln 3h x x x =−+1x =()2f x '…()e e 2x x g x −=+'…0x =()g x '12l l ∥()()122f x g x ''==121,0x x ==即,所以直线的方程为,即. 4.(2023春·重庆·高三统考阶段练习)已知椭圆的左右焦点分别为,右顶点为A ,上顶点为B ,O 为坐标原点,.(1)若的面积为的标准方程;(2)如图,过点作斜率的直线l 交椭圆于不同两点M ,N ,点M 关于x 轴对称的点为S ,直线交x 轴于点T ,点P 在椭圆的内部,在椭圆上存在点Q ,使,记四边形的面积为,求的最大值.【解析】(1),∴,,解得的标准方程为:. (2),∴,椭圆,令,直线l 的方程为:, 联立方程组: ,消去y 得,由韦达定理得,,()11,,0,03A B ⎛⎫− ⎪⎝⎭AB ()130010y x −−−=−−13y x =−22122:1(0)x y C a b a b+=>>12,F F ||2||OA OB =12BF F △1C (1,0)P (0)k k >1C SN OM ON OQ +=OMQN 1S 21OT OQ S k⋅−||2||OA OB =2a b =12122BF F S b c =⋅=△bc =222a b c =+4,2,a b c ===1C 221164x y +=||2||OA OB =2a b =22122:14x yC b b+=()()()()201012,,,,,,,0T M x y N x y Q x y T x (1)y k x =−222214(1)x y b b y k x ⎧+=⎪⎨⎪=−⎩22222(14)8440k x k x k b +−+−=2122814k x x k +=+221224414k b x x k −=+有 ,因为:,所以, , 将点Q 坐标代入椭圆方程化简得: , 而此时: . 令,所以直线 , 令得 , 由韦达定理化简得,,而, O 点到直线l 的距离, 所以:,,因为点P 在椭圆内部,所以 ,得,即令 ,求导得 ,当,单调递增; 当 ,即,单调递减.所以:,即5.(2023·全国·高三专题练习)已知椭圆C :的右顶点为,过左焦点F 的直线交椭圆于M ,N 两点,交轴于P 点,,,记,,(为C 的右焦点)的面积分别为.121222(2)14kyy k x x k −+=+−=+OM ON OQ +=202814k x k =+02214k y k −=+222414k b k=+()22222284(14)(44)480k k k b k ∆=−+−=>()11,S x y −122221:()y y SN y y x x x x +−=−−0y =()1212211212212112122(1)(1)(2)2T x x x x x y x y k x x k x x x y y k x x x x −+−+−===+++−+−24T x b =12OMN S S =△12MN x =−=d =1122S MN d =⨯⋅=2222243212814(14)k b k OQ OT k k ⋅==++2312280(14)OT OQ S k k k ⋅−=+214b <2112k >k >322()(14)k f k k =+222222423(41)(43)(43)()(14)(14)k k k k k f k k k −+−−−'==++213124k <<k <<()0f k '>()f k 234k >k >()0f k '<()f k max()f k f ==⎝⎭21maxOT OQ S k ⎛⎫⋅−=⎪⎝⎭22221(0)x y a b a b+=>>A 1(0)x ty t =−≠y PM MF λ=PN NF μ=OMN 2OMF △2ONF △2F 123,,S S S(1)证明:为定值;(2)若,,求的取值范围.【解析】(1)由题意得F ,,所以椭圆C 的标准方程为:.设,显然,令,,则,则,,由得,解得,同理. 联立,得. ,从而(定值) (2)结合图象,不妨设,,,, λμ+123S mS S μ=+42λ−≤≤−m a (1,0)1c −⇒=2221b a c =−=2212x y +=1122(,),(,)M x y N x y 0t ≠0x =1y t =10,P t ⎛⎫⎪⎝⎭111,PM x y t ⎛⎫=− ⎪⎝⎭()111,MF x y =−−−PM MF λ=11111(,)(1,)x y x y t λ−=−−−111ty λ+=211ty μ+=22121x y x ty ⎧+=⎪⎨⎪=−⎩22(2)210t y ty +−−=12122221,11t y y y y t t −+==++121212*********y y tty ty t y y t λμ++++=+=⋅=⋅=−−4λμ+=−120y y >>1121211122S y y y y =⋅⋅−=−()21111122S y y =⋅⋅=32211122S y y =⋅⋅=−由得 代入,有,则, 解得 ,,设,则,设,则,令,解得,解得,故在上单调递减,在上单调递增,则且,则,则. 6.(2023·四川成都·统考二模)已知椭圆的左、右焦点分别为,离心率,.(1)求椭圆的标准方程;(2)过点的直线与该椭圆交于两点,且的方程. 【解析】(1)由已知得,解得,,所求椭圆的方程为;(2)由(1)得.①若直线的斜率不存在,则直线的方程为,由得. 111ty λ+=21211111,,13y y y tt y λμμμλμ++++====+−−123S mS S μ=+()1212111222y y my y μ−=−1212y y my y μ−=−2222111811(1)17(3)133y y y m y y y μμμμμμ⎡⎤=−+=−−=−=−++−+⎢⎥+⎣⎦42λ−≤≤−31[1,3]μλ∴+=−−∈3u μ=+[]1,3u ∈()87h u u u ⎛⎫=−+ ⎪⎝⎭()228uh u u −'=()0h u '>1u <<()0h u '<3u <<()h u ()(()max 7h u =−()()412,33h h =−=()2,7h u ⎡∈−−⎣2,7m ⎡−−⎣∈22221(0)x y a b a b+=>>12,F F e =22a c =1F l M N 、2223F M F N +=l 22c a a c⎧=⎪⎪⎨⎪=⎪⎩1a c ==1b ∴∴2212x y +=()()121,01,0F F −、l l =1x −22112x x y =−⎧⎪⎨+=⎪⎩2y =设, ,这与已知相矛盾. ②若直线的斜率存在,设直线直线的斜率为,则直线的方程为,设,联立, 消元得,,,又,, 化简得,解得或(舍去)所求直线的方程为或.7.(2023·全国·高三专题练习)设分别是椭圆的左、右焦点,过作倾斜角为的直线交椭圆于两点,到直线的距离为3,连接椭圆的四个顶点得到的菱形面积为4. (1)求椭圆的方程;(2)已知点,设是椭圆上的一点,过两点的直线交轴于点,若,1,M N ⎛⎛−− ⎝⎭⎝⎭、()222,4,04F M F N ⎛⎛⎫∴+=−+−=−= ⎪ ⎪⎝⎭⎝⎭l l k l ()1y k x =+()()1122,,M x y N x y 、()22112y k x x y ⎧=+⎪⎨+=⎪⎩()2222124220k x k x k +++−=22121222422,1212k k x x x x k k −−∴+==++()121222212ky y k x x k ∴+=++=+()()2112221,,1,F M x y F N x y =−=−()2212122,F M F N xx y y ∴+=+−+(22F M F N x ∴+=424023170k k −−=21k =21740k =−1k ∴=±∴l 1y x =+=1y x −−12,F F 2222:1(0)x y D a b a b+=>>2F π3D ,A B 1F AB D D ()1,0M −E D ,E M l y C CE EM λ=求的取值范围;(3)作直线与椭圆交于不同的两点,其中点的坐标为,若点是线段垂直平分线上一点,且满足,求实数的值.【解析】(1)设的坐标分别为,其中; 由题意得的方程为. 因为到直线的距离为3,解得①因为连接椭圆的四个顶点得到的菱形面积为4,所以,即 ②联立①②解得: ,所求椭圆D 的方程为.(2)由(1)知椭圆的方程为,设,因为,所以所以,代入椭圆的方程, 所以,解得或.(3)由,设根据题意可知直线的斜率存在,可设直线斜率为,则直线的方程为,把它代入椭圆的方程,消去整理得: 由韦达定理得则,; 所以线段的中点坐标为. (i )当时,则,线段垂直平分线为轴,λ1l D ,P Q P ()2,0−()0,N t PQ 4NP NQ ⋅=t 12,F F ()(),0,,0c c −0c >AB )y x c −1F AB 3,=c =2223a b c −==D 12242a b ⨯⨯=2ab =2,1a b ==2214x y +=2214x y +=11(,),(0,)E x y C m CE EM λ=1111(,)(1,),x y m x y λ−=−−−11,11m x y λλλ=−=++22()1()141m λλλ−++=+2(32)(2)04m λλ++=≥23λ≥−2λ≤−()2,0P −11(,)Q x y 1l k 1l ()2y k x =+D y 2222(14)16(164)0k x k x k +++−=212162,14k x k −+=−+2122814k x k −=+112()4214k y k x k =+=+PQ 22282(,)1414k kk k −++0k =()2,0Q PQ y于是,由解得(ii )当时,则线段垂直平分线的方程为. 由点是线段垂直平分线的一点,令,得;于是由, 解得综上可得实数的值为8.(2023·全国·高三专题练习)如图所示,为椭圆的左、右顶点,焦距长为在椭圆上,直线的斜率之积为.(1)求椭圆的方程;(2)已知为坐标原点,点,直线交椭圆于点不重合),直线交于点.求证:直线的斜率之积为定值,并求出该定值. 【解析】(1)由题意,,设,,由题意可得,即,可得 (2,),(2,)NP t NQ t =−−=−244,NP NQ t ⋅=−+=t =±0k ≠PQ 222218()1414k ky x k k k −=−+++()0,N t PQ 0x =2614kt k =−+11(2,),(,)NP t NQ x y t =−−=−24211222224166104(16151)2()4141414(14)k k k k k NP NQ x t y t k k k k −++−⎛⎫⋅=−−−=+== ⎪++++⎝⎭k =2614k t k =−=+t ±,A B 2222:1(0)x yE a b a b+=>>P E ,PA PB 14−E O ()2,2C −PC E (,M M P ,BM OC G ,AP AG ()(),0,,0A a B a −()00,P x y 0000,PA PB y y k k x a x a==+−000014y y x a x a ⋅=−+−222014y x a =−−2202222222201111444x b a b a c x a a a ⎛⎫− ⎪−⎝⎭=−⇒=⇒=−又所以,椭圆的方程为;(2)由题意知,直线的斜率存在,设直线,且联立,得 由,得,所以, 设,由三点共线可得所以,直线的斜率之积为定值.9.(2023·全国·高三专题练习)已知,分别是椭圆的上、下焦点,直线过点且垂直于椭圆长轴,动直线垂直于点,线段的垂直平分线交于点,点的轨迹为.2c =c =2a =E 2214x y +=MP :MP y kx m =+()()112222,,,,k m P x y M x y =−+2214y kx m x y =+⎧⎪⎨+=⎪⎩()222148440k x kmx m +++−=Δ0>22410k m +−>2121222844,1414km m x x x x k k −−+==++(),G t t −,,G M B 222222222y y tt t x x y −=⇒=−−−+−11,22AG AP y tk k t x ==−++()()()()112121221212222221222AG AP y y y y y tk k t x x y x k x m x ⋅=⋅=−=−−+++−+⎡⎤++−+⎣⎦()()()()()())()()22212122212112121221222124y k x x km x x m y m x x m x m x m x x x x +++=−=−=−−++⎡⎤⎡⎤−+−+−+++⎣⎦⎣⎦()()()2222222222222222244844841414448144164161241414m kmk km m k m k m m k m k k m km m m km k m k k −−+⋅+−−++++=−=−⎡⎤⎡⎤−−−−−++⎣⎦−+⋅+⎢⎥++⎣⎦()()()()()()()2222222422141(2)818144144m k m k m k m k m m m m k m m m m km k −+−++−=−=−=−=−=−−−−−−−+,AP AG 14−F F '221:171617C x y +=1l F '2l 1l G GF 2l H H 2C(1)求轨迹的方程;(2)若动点在直线上运动,且过点作轨迹的两条切线、,切点为A 、B ,试猜想与的大小关系,并证明你的结论的正确性.【解析】(1),,椭圆半焦距长为,,,,动点到定直线与定点的距离相等,动点的轨迹是以定直线为准线,定点为焦点的抛物线,轨迹的方程是;(2)猜想证明如下:由(1)可设,,,则,切线的方程为:同理,切线的方程为: 联立方程组可解得的坐标为, 在抛物线外,,,2C P :20l x y −−=P 2C PA PB PFA ∠PFB ∠22171617x y +=∴2211716y x +=∴1410,4F ⎛⎫'− ⎪⎝⎭10,4F ⎛⎫ ⎪⎝⎭HG HF =∴H 11:4l y =−10,4F ⎛⎫⎪⎝⎭∴H 11:4l y =−10,4F ⎛⎫⎪⎝⎭∴2C 2x y =PFA PFB ∠=∠()211,A x x ()()22212,B x x x x ≠2y x =2y x '∴=112AP x x k y x =='=∴AP ()1221111220y x x x x y x x x −⇒−=−−=BP 22220x x y x −−=P 122P x x x +=12P y x x =P ∴||0FP ≠2111,4FA x x ⎛⎫=− ⎪⎝⎭12121,24x x FP x x +⎛⎫=− ⎪⎝⎭2221,4FB x x ⎛⎫=− ⎪⎝⎭22121121112122221112211111244444cos ||||||11||||4x x x x x x x x x x x FP FA AFP FP FA FP FP x x FP x +⋅−−+++⋅∴⎛⎫⎛⎫⎛⎫⎛⎫+⋅∠====+− ⎪⎪ ⎪⎪⎝⎭⎝⎭⎝⎭⎝⎭⎛⎫⎛⎫ ⎪ ⎝⎭⎝⋅+同理10.(2023春·江西·高三校联考阶段练习)已知椭圆+=1(a >b >0),右焦点F (1,0),,过F作两条互相垂直的弦AB ,CD .(1)求椭圆的标准方程;(2)求以A ,B ,C ,D 为顶点的四边形的面积的取值范围.【解析】(1)由题意知,,又,所以,所以,所以椭圆的标准方程为;(2)①当直线与中有一条直线的斜率为0时,另一条直线的斜率不存在,不妨设直线的斜率为0,的斜率不存在,则直线方程为,直线的方程为,联立可得所以联立可得所以所以四边形ADBC 的面积. ②当两条直线的斜率均存在且不为0时,设直线的方程为,1214cos ||||||x x FP FB BFP FP FB FP +⋅∠==cos cos AFP BFP ∴∠=∠PFA PFB ∴∠=∠22x a 22y b2c e a ==a 1c =a =222abc =+21b =2212x y +=AB CD AB CD AB 0y =CD 1x =22120x y y ⎧+=⎪⎨⎪=⎩0x y ⎧=⎪⎨=⎪⎩AB =22121x y x ⎧+=⎪⎨⎪=⎩1x y =⎧⎪⎨=⎪⎩CD =11||||222S AB CD =⋅=⨯AB (1)y k x =−则直线的方程为. 将直线的方程代入椭圆方程,整理得,方程的判别式,设, 所以, ∴, 同理可得, ∴四边形ADBC 的面积 , ∵,当且仅当时取等号,∴四边形ADBC 的面积,综上①②可知,四边形ADBC 的面积的取值范围为.11.(2023·全国·高三专题练习)如图,椭圆,经过点,且斜率为的直线与椭圆交于不同的两点P ,Q (均异于点,证明:直线AP 与AQ 的斜率之和为2.CD 1(1)y x k=−−AB ()2222124220k xk x k +−+−=()2222124220k x k x k +−+−=()()42221642122880k k k k ∆=−+−=+>()()1122,,,A x y B x y 22121222422,1212k k x x x x k k −+=⋅=++12||AB x −)22112kAB k +==+)2222111||1212k k CD k k⎫+⎪+⎝⎭==++⨯))22221111||||22122k k S AB CD k k ++=⋅=⨯⨯++()2222242144122252112121k k k k k k k k k ⎛⎫+ ⎪+⎝⎭===−++⎛⎫⎛⎫++++ ⎪ ⎪⎝⎭⎝⎭22121219k k ⎛⎛⎫++≥+= ⎪⎝⎭⎝1k =±16,29S ⎡⎫∈⎪⎢⎣⎭S 16,29⎡⎤⎢⎥⎣⎦22:12+=x E y (1,1)M k E (0,1)A −【解析】设,直线的方程为,两交点异于点,则 ,联立直线与椭圆方程,消去变量 并整理得,由已知,由韦达定理得,则所以可知直线与的斜率之和为2.12.(2023·全国·高三专题练习)已知椭圆的左右焦点分别为,,,,是椭圆上的三个动点,且,,若,求的值.【解析】由题可知,设,,,由,得, 满足,可得,()()1122,,,P x y Q x y PQ (1)1y k x =−+A 2k ≠y ()222221124(1)2402(1)1x y k x k k x k k y k x ⎧+=⎪⇒++−+−=⎨⎪=−+⎩0∆>21212224(1)24,1212k k k kx x x x k k −−+==++()()12121212121211AP AQ k x k x y y k k x x x x −+−++++=+=+()()12121212122(2)(2)2kx x k x x k x x k x x x x +−+−+==+222244122(2)1224k k k k k k k k−+=+−⋅⋅+−()2212k k =−−=AP AQ 22162x y +=1F 2F A B P 11PF F A λ=22PF F B μ=2λ=μ2226,2,4a b c ===()00,P x y 11(,)A x y 22(,)B x y 11PF F A λ=22PF F B μ=()1,0F c −0101101x x c y y λλλλ+⎧−=⎪⎪+⎨+⎪=⎪+⎩()010110x x c y y λλλ⎧+=−+⎨+=⎩满足,可得,由,可得, 所以,∴,, 又,∴, 同理可得, ∴, 所以,又,所以.13.(2023·全国·高三专题练习)已知椭圆的离心率为,且直线被椭圆. (1)求椭圆的方程;(2)以椭圆的长轴为直径作圆,过直线上的动点作圆的两条切线,设切点为,若直线与椭圆交于不同的两点,,求的取值范围.【解析】(1)直线,经过点,,被椭圆,可得.又,,解得:,,, ()2,0F c 0202101x x c y y μμμμ+⎧=⎪+⎪⎨+⎪=⎪+⎩()020210x x c y y μμμ⎧+=−+⎨+=⎩22002222112211x y a b x y a b ⎧+=⎪⎪⎨⎪+=⎪⎩2200222222211221x y a b x y a b λλλ⎧+=⎪⎪⎨⎪+=⎪⎩()()()()010*******21x x x x y y y y abλλλλλ−+−++=−()()()()0101211x x x x a λλλλ−+=−+()()2011a x x cλλ−=−−()()011x x c λλ+=−+222202a c a c x c cλ−+=−222202a c a c x c c μ−+=−+()22222a c a c c cλμ−++=⋅2222210a c a cλμ++=⋅=−2λ=8μ=22122:1(0)x y C a b a b+=>>121:1x yl a b+=1C 1C 1C 2C 2:4l y =M 2C ,A B AB 1C C D ||||CD AB ⋅1:1x yl a b+=(,0)a (0,)b 1C 227a b +=12c a =222a b c =+24a =23b =1c =椭圆的方程为.(2)由(1)可得:圆的方程为:.设,则以为直径的圆的方程为:,与相减可得:直线的方程为:,设,,,,联立,化为:,,则,,故又圆心到直线的距离,令,则,可得,可得:14.(2023·全国·高三专题练习)已知椭圆的两个焦点,,动点在椭圆上,且使得的点恰有两个,动点到焦点的距离的最大值为∴1C22143x y+=2C224x y+=(2,4)M t OM222()(2)4x t y t−+−=+224x y+=AB2440tx y+−=1(C x1)y2(D x2)y222440143tx yx y+−=⎧⎪⎨+=⎪⎩22(3)480t x tx+−−=248(2)0t∆=+>12243tx xt+=+12283x xt=⋅−+||CDO AB d=||AB∴=||||AB CD∴⋅==23(3)t m m+=≥||||AB CD⋅==3m≥3233m≤−<||||AB CD⋅<22122:1(0)x yC a ba b+=>>1F2F P 1290F PF∠=︒P P1F2(1)求椭圆的方程;(2)如图,以椭圆的长轴为直径作圆,过直线作圆的两条切线,设切点分别为,,若直线与椭圆交于不同的两点,,求弦长的取值范围. 【解析】(1)设半焦距为,由使得的点恰有两个可得, 动点到焦点的距离的最大值为,可得所以椭圆的方程是. (2)圆的方程为,设直线的坐标为.设,连接OA ,因为直线为切线,故,否则直线垂直于轴,则与直线若,则,故, 故直线的方程为:, 整理得到:;当时,若,直线的方程为:;若,则直线的方程为:, 满足.故直线的方程为,同理直线的方程为, 又在直线和上,即,故直线的方程为.1C 1C 2C x =−T 2C A B AB 1C C D ||CD c 1290F PF ∠=︒P ,b c a =P 1F 22a c +=2,a c =1C 22142x y +=2C 224x y +=x =−T ()t −1122(,),(,)A x y B x y AT 10y ≠AT x AT x =−10x ≠11OA y k x =11AT x k y =−AT ()1111x y y x x y −=−−2211114x x y y x y +=+=10x =(0,2)A AT 2y =(0,2)A −AT =2y −114x x y y +=AT 114x x y y +=BT 224x x y y +=()t −AT BT 112244ty ty ⎧−+=⎪⎨−+=⎪⎩AB 4ty −+=联立,消去得,设,. 则, 从而, 又,从而,所以. 15.(2023·全国·高三专题练习)已知、分别为椭圆的左、右焦点,且右焦点的坐标为,点在椭圆上,为坐标原点.(1)求椭圆的标准方程(2)若过点的直线与椭圆交于两点,且的方程; (3)过椭圆上异于其顶点的任一点,作圆的两条切线,切点分别为,(,224142ty x y ⎧−+=⎪⎨+=⎪⎩x 22(16)8160t y ty +−−=33(,)C x y 44(,)D x y 343422816,1616t y y y y t t −+==++||CD 224(8)16t t +=+232416t −=++21616t +≥2322016t −−≤<+||[2,4)CD ∈1F 2F 2222:1(0)x yC a b a b+=>>2F (1,0)(P C O C 2F l C ,A B ||AB =l C Q 22:1O x y +=M N M不在坐标轴上),若直线在轴、轴上的截距分别为、,那么是否为定值?若是,求出此定值;若不是,请说明理由. 【解析】(1)椭圆的右焦点的坐标为,椭圆的左焦点的坐标为,由椭圆的定义得, 所以,由题意可得,即,即椭圆的方程为;(2)直线与椭圆的两个交点坐标为,, ①当直线垂直轴时,方程为:,代入椭圆可得,舍去;②当直线不垂直轴时,设直线联立,消得,,则,,恒成立., 又, N MN x y m n 2212m n+C 2F (1,0)∴C 1F (1,0)−12||||2PF PF a +=2a =a ∴=22a =1c =2221b ac =−=C 2212x y +=l C ()11,A x y ()22,B x y l x l 1x =y =||AB =l x :(1)l y k x =−2212(1)x y y k x ⎧+=⎪⎨⎪=−⎩y ()2222124220k x k x k +−+−=2122421k x x k +=+21222221k x x k −=+()()()()22222442122810k k k k ∆=−+−=+>22AB =()()22121214k x x x x ⎡⎤=++−⎣⎦()()22228121k k +=+||AB =()()222228132921k k +==+⎝⎭化简得,,即,解得或(舍去),所以,直线方程的方程为或. (3)是定值,定值为2.设点,,,连接,,,,则有,. ,不在坐标轴上,则,, 则,, 直线的方程为,即,① 同理直线的方程为,②,将点代入①②,得,显然,满足方程,直线的方程为,分别令,,得到,,,,又满足,,即.16.(2023·全国·高三专题练习)某同学在探究直线与椭圆的位置关系时发现椭圆的一个重要性427250k k −−=()()227510k k +−=21k =257k =−1k =±∴l 10x y −−=10x y +−=()00,Q x y ()33,M x y ()44,N x y OM ON 0M MQ ⊥ON NQ ⊥22331x y +=22441x y +=M N 33MO y k x =44NO y k x =331MQ MOx k k y =−=−441NQ NO x k k y =−=−∴MQ ()3333x y y x x y −=−−2233331xx yy x y +=+=⋯NQ 441xx yy +=⋯Q 0303040411x x y y x x y y +=⎧⎨+=⎩()33,M x y ()44,N x y 001xx yy +=∴MN 001xx yy +=0x =0y =01n x =01=m y 01y m ∴=01x n =()00,Q x y 2212x y +=∴221112m n +=22122m n +=质:椭圆在任意一点,处的切线方程为.现给定椭圆,过的右焦点的直线交椭圆于,两点,过,分别作的两条切线,两切线相交于点. (1)求点的轨迹方程;(2)若过点且与直线垂直的直线(斜率存在且不为零)交椭圆于,两点,证明:为定值. 【解析】(1)由题意F 为,设直线为,,,,, 易得在点处切线为,在点处切线为, 由得,又,,可得,故点的轨迹方程.(2)证明:联立的方程与的方程消去,得.由韦达定理,得,,所以,因为,直线MN 可设为,同理得, 所以.2222:1(0)x y C a b a b+=>>0(M x 0)y 00221xx yy a b +=22:143x y C +=C F l C P Q P Q C G G F l C M N 11||||PQ MN +()1,0PQ 1x ty =+1(P x 1)y 2(Q x 2)y P 11143x x y y +=Q 22143x x y y+=11221,431,43x xy yx x y y⎧+=⎪⎪⎨⎪+=⎪⎩1122124()y y x x y x y −=−111x ty =+221x ty =+4x =G 4x =l C 221143x ty x y =+⎧⎪⎨+=⎪⎩x 22(34)690t y ty ++−=122634t y y t +=−+122934y y t =−+2212(1)||34t PQ t +=+PQ MN ⊥11x y t =−+2222112(1)12(1)||13434t t MN t t++==+⋅+22221134347||||12(1)12(1)12t t PQ MN t t +++=+=++。
高考数学运用数形结合的思想方法解题专项练习(含答案解析)一、单选题1.(2023春·江苏盐城·高三盐城中学校考)若直线():40l x m y +−=与曲线x =有两个交点,则实数m 的取值范围是( )A .0m <<B .0m ≤<C .0m <≤D .0m ≤【答案】B【解析】x =()0,0,半径为2的圆在y 轴以及右侧的部分,如图所示:直线():40l x m y +−=必过定点()0,4, 当直线l 与圆相切时,直线和圆恰有一个交点,2=,结合直线与半圆的相切可得m =当直l 的斜率不存在时,即0m =时,直线和曲线恰有两个交点, 所以要使直线和曲线有两个交点,则0m ≤故选:B.2.(2023春·湖北随州·高三随州市曾都区第一中学校考阶段练习)已知x ,y 是实数,且22410x y x +−+=,则21y x ++的最大值是( )A B .116C .336D 【答案】D【解析】方程可化为()223x y −+=,表示以()2,021y x ++的几何意义是圆上一点与点A ()1,2−−连线的斜率,设21k y x =++,即()21y k x +=+,当此直线与圆相切时,斜率最大或最小,当切线位于切线AB 时斜率最大.=k =,所以21y x ++故选:D .3.(2023春·陕西渭南·高一统考)已知函数()f x 是定义在R 上的偶函数,当[)0,x ∈+∞时,()24f x x x =−.若函数()()()R g x f x m m =+∈,则函数()g x 的零点个数不可能是( )A .1B .2C .3D .4【答案】A【解析】函数()f x 是定义在R 上的偶函数,当[)0,x ∈+∞时,()224(2)4f x x x x =−=−−,作出()f x 的图像如图:,故当0m =时,()()g x f x =有3个零点;当0m <或4m =时,()()g x f x m =+的图像与x 轴有两个交点,则函数有2个零点; 当04m <<时,()()g x f x m =+的图像与x 轴有4个交点,则函数有4个零点;由于()()g x f x m =+也为偶函数,结合()f x 图像可知,()()g x f x m =+不可能有1个零点, 故选:A4.(2023春·陕西西安·高三统考期末)已知函数()e ,03,0x x f x x x ⎧≥=⎨−<⎩, 若函数()()()g x f x f x =−−,则函数()g x 的零点个数为( ) A .1 B .3 C .4 D .5【答案】D【解析】当0x >时,0x −<,()3f x x −=当0x <时,0x −>,()e xf x −−=()()()3e ,00,0e 3,0x x x x g x f x f x x x x −⎧−>⎪∴=−−==⎨⎪+<⎩,()()()()g x f x f x g x −=−−=−,且定义域为R ,关于原点对称,故()g x 为奇函数,所以我们求出0x >时零点个数即可,(0,)3e x g x x x =−>,()3e 0x g x '=−>,令()3e 0x g x '=−>,解得0ln3x <<,故()g x 在()0,ln 3上单调递增,在(ln3,)+∞单调递减,且(ln3)3ln330g =−>,而()226e 0g =−<,故()g x 在(ln 3,2)有1零点,1311e 03g ⎛⎫=−< ⎪⎝⎭,故()g x 在1(,ln 3)3上有1零点,图像大致如图所示:故()g x 在()0,∞+上有2个零点,又因为其为奇函数,则其在(),0∞−上也有2个零点,且()00g =,故()g x 共5个零点, 故选:D.5.(2023春·黑龙江哈尔滨·高一哈尔滨三中校考阶段练习)若函数()f x 的定义域为(),1f x −R 为偶函数,当1x ≥−时,()31xf x −=−,则函数()()12g x f x =−的零点个数为( )A .0B .1C .2D .4【答案】D【解析】令310x −−≥解得0x ≤,令310x −−<解得0x >, 所以当1x ≥−时,()11,1033111,03xxxx f x x −⎧⎛⎫−−≤≤⎪ ⎪⎪⎝⎭=−=⎨⎛⎫⎪−+> ⎪⎪⎝⎭⎩, ()1f x −为偶函数,所以()1f x −的图像关于y 轴对称,所以()f x 的图像关于直线=1x −轴对称, 故作出()f x 的图像如下,令()()102g x f x =−=,即()12f x =, 由图像可知,()f x 的图像与12y =的图像共有四个交点, 所以函数()()12g x f x =−的零点个数为4个.故选:D.6.(2023·山东潍坊·统考模拟预测)已知函数()f x 是定义域为R 的偶函数,且(1)f x −是奇函数,当01x 剟时,有()f x =()(2021)y f x k x =−−的零点个数为5,则实数k 取值范围是( ) A .15<2<1kB .16<3<1kC k k =D .k <k 【答案】C【解析】∵偶函数()f x ,()()f x f x ∴−=,(1)f x −是奇函数,得(1)(1)f x f x −=−−−,即 ()(2)f x f x =−−−,(2)()f x f x −−−=−,得4T =,()(2021)0f x k x −−=,即()y f x =与(2021)y k x =−的图像交点的个数,因为4T =,即为()y f x =与(1)y k x =−的图像交点的个数,因为()f x =k 应该在1k 与2k 之间或为3k ,213k k k ==k k =故选:C.7.(2023·全国·高三专题练习)已知函数()()ln2,01ln 2ln 2,12xx f x x x ⎧<<⎪=⎨−+≤<⎪⎩,若存在02a b c <<<<使得()()()f a f b f c ==,则111ab bc ca++的取值范围是( ) A .20,93⎛⎫⎪⎝⎭B .20,3⎛⎫+∞ ⎪⎝⎭C .∞⎫+⎪⎪⎣⎭ D .⎫⎪⎪⎣⎭【答案】A【解析】∵()()ln 2ln2ln 22x x ⎡⎤−+=−⎣⎦,∴ln 2y x =与()ln 2ln2y x =−+的图像关于直线1x =对称,作出()f x 的大致图像如图所示,易知2b c +=,由ln2ln2a b =,即ln 2ln 2a b −=,ln 40ab =,得14ab =, ∵112b <<,∴11124a<<,得1142a <<,∴()()421621112181244a a a a b c a c ab bc ca abc a a+++++++====−−. 设81t a =−, 则()1,3t ∈,111117184t ab bc ca t ⎛⎫++=++ ⎪⎝⎭. 17t t+≥=t 故当()1,3t ∈时,令()1718h t t t +=+,()h t 单减,()()80136,33h h ==, 故1172018,943t t ⎛⎫⎛⎫++∈ ⎪ ⎪⎝⎭⎝⎭. 故选:A 二、多选题8.(2023·全国·高三专题练习)已知1F ,2F 是双曲线()2222:10,0x yE a b a b−=>>的左、右焦点,过1F 作倾斜角为30的直线分别交y 轴与双曲线右支于点,M P ,1PM MF =,下列判断正确的是( )A .2160PF F ∠=,B .2112MF PF =C .ED .E的渐近线方程为y =【答案】BCD【解析】如下图所示,因为1PM MF =,即M 为1PF 中点,O 为12F F 中点,所以2//OM PF ,因为12OM F F ⊥,所以212PF F F ⊥,所以212PF F π∠=,2112MF PF =,A 错误,B 正确; 由212PF F F ⊥知:22b PF a=,又122F F c =,1230PF F ∠=,2c =)222c a ac −=220e −,解得:e =C 正确;所以==c e a 223c a =,所以22222b c a a =−=,所以ba= 所以E 的渐近线方程为y =,D 正确.故选:BCD .9.(2023·全国·高三专题练习)已知直线l 过抛物线2:8C y x =的焦点F l 与抛物线交于,P Q 两点(P 在第一象限),以,PF QF 为直径的圆分别与y 轴相切于,A B 两点,则下列结论正确的是( ) A .32||3PQ =B .AB =C .若M 为抛物线C 上的动点,(2,1)N ,则min (||||)4MF MN +=D .若0(,M x 为抛物线C 上的点,则9MF = 【答案】ABC【解析】设直线PQ 的方程为:y x ﹣2),与28y x =联立整理可得:3x 2﹣20x +12=0,解得:x 23=或6,则P (6,,Q (23,;所以|PQ |=623++4323=,选项A 正确;因为F (2,0),所以PF ,QF 的中点分别为:(4,,(43,,所以A (0,,B (0,,所以|AB =, 选项B 正确;如图M 在抛物线上,ME 垂直于准线交于E ,可得|MF |=|ME |, 所以|MF |+|MN |=|ME |+|MN |≥NE =2+2=4,当N ,M ,E 三点共线时, |MF |+|MN |最小,且最小值为4,选项C 正确;对于选项D ,若0(M x 为抛物线C 上的点,则05x =,又4p =, 所以072pMF x =+=,选项D 错误. 故选:ABC.10.(2023春·河南·高三校联考)在三棱锥A BCD −中,平面ABD ⊥平面BCD ,BD CD ⊥,2BD CD ==,ABD △为等边三角形,E 是棱AC 的中点,F 是棱AD 上一点,若异面直线DE与BF AF 的值可能为( ) A .23B .1C .43D .53【答案】AC【解析】由ABD △为等边三角形,取BD 的中点O ,连接AO ,则AO BD ⊥ 又平面ABD ⊥平面BCD ,且平面ABD ⋂平面BCD BD = 所以AO ⊥平面BCD ,由BD CD ⊥过O 作与CD 平行的直线为y 轴,分别以,OB OA 为,x z 轴建立如图所示的空间直角坐标系,因为2BD CD ==,则()1,0,0B ,()()(1,0,0,1,2,0,D C A −−,所以12E ⎛− ⎝⎭.设()F a ,则12DE ⎛= ⎝⎭,()BF a =−,则28=13a =−或23a =−, 故1233AF AD ==或2433AF AD ==.故选:AC11.(2023秋·福建三明·高一福建省宁化第一中学校考阶段练习)已知G 为ABC 的重心,60BAC ∠=︒,2AB AC ⋅=,则||AG uuu r的可能取值为( )A .23B .1CD .32【答案】CD【解析】如图,G 是ABC 的重心,记,,AB c AC b AB a ===, 则2211()()3323AG AD AB AC AB AC ==⨯+=+, 222222111()(2)(4)999AG AB AC AB AB AC AC b c =+=+⋅+=++,又1cos6022AB AC bc bc ⋅=︒==,即4bc =,所以2228b c bc +≥=,当且仅当2b c ==时等号成立,所以214(84)93AG ≥⨯+=.即233AG ≥CD 满足. 故选:CD .12.(2023春·湖北黄冈·高三校考开学考试)已知ABC 的重心为G ,过G 点的直线与边AB ,AC 的交点分别为M ,N ,若AM MB λ=,且AMN 与ABC 的面积之比为920,则λ的可能取值为( )A .43B .32C .53D .3【答案】BD【解析】如图,()AM MB AB AM λλ==−,1AM AB λλ∴=+,即1AB AM λλ+=,设AC t AN =,则11()333tAG AB AC AM AN λλ+=+=+, M G N 、、三点共线,1=133t λλ+∴+,12t λ∴=−, 所以12AC AN λ⎛⎫=− ⎪⎝⎭,AMN ∴与ABC 的面积之比为920,191sin sin 2202AM AN A AB AC A ∴=⨯⨯, 即112029λλλ+⎛⎫⎛⎫−=⎪⎪⎝⎭⎝⎭,化简得22990λλ−+=,解得32λ=或3. 故选:BD13.(2023春·湖南长沙·高三长沙一中校联考)在三维空间中,定义向量的外积:a b ⨯叫做向量a 与b 的外积,它是一个向量,满足下列两个条件:①()a a b ⊥⨯,()b a b ⊥⨯,且a ,b 和a b ⨯构成右手系(即三个向量的方向依次与右手的拇指、食指、中指的指向一致,如图所示);②a b ⨯的模sin ,a b a b a b ⨯=,(,a b 表示向量a ,b 的夹角). 在正方体1111ABCD A B C D −中,有以下四个结论,正确的有( )A .11AB AC AD DB ⨯=⨯ B .111AC A D ⨯与1BD 共线C .AB AD AD AB ⨯=⨯ D .6BC AC ⨯与正方体表面积的数值相等【答案】ABD【解析】对于A ,设正方体的棱长为1,在正方体中1,60AB AC =︒,则111sin ,2AB AC AB AC AB AC ⨯===, 因为11//BD B D ,且1160AD B ∠=︒,所以1,120AD DB =︒,所以111sin ,2AD DB AD DB AD DB ⨯=== 所以11AB AC AD DB ⨯=⨯,所以A 正确;对于B ,1111AC B D ⊥,111AC BB ⊥,1111B B B D B ⋂=,111,B B B D ⊂平面11BB D D ,11AC ⊥平面11BB D D ,因为1BD ⊂平面11BB D D ,所以111BD AC ⊥,同理可证11BD A D ⊥, 再由右手系知,111AC A D ⨯与1BD 同向,所以B 正确;对于C ,由a ,b 和a b ⨯构成右手系知,a b ⨯与b a ⨯方向相反, 又由a b ⨯模的定义知,sin ,sin ,a b a b a b b a a b b a ⨯===⨯, 所以a b ba ⨯=−⨯,则AB AD AD AB ⨯=−⨯,所以C 错误; 对于D ,正方体棱长为a ,266sin 456BC AC BC AC a a ⨯=⋅︒=⨯, 正方体表面积为26a ,所以D 对. 故选:ABD .三、填空题14.(2023·全国·高三专题练习)已知函数243,0()41,01x x x f x x x ⎧++≤⎪=⎨−>⎪+⎩.若关于x 的方程()()()2[]2110f x m f x m +−−+=有6个不同的实数根,则m 的取值范围___________.【答案】7,5⎛− ⎝⎭【解析】因为243,0()41,01x x x f x x x ⎧++≤⎪=⎨−>⎪+⎩,所以当0x ≤时,()243f x x x =++开口向上,对称轴为2x =−,()()min 21f x f =−=−,两零点为1,3x x =−=−;当0x >时,()411f x x =−+,则()f x 在()0,∞+上单调递减,零点为3x =,且()1f x >−; 由此作出()f x 的图像如图,.令()t f x =,则当13t −<<时,()t f x =有三个实数根,因为()()()2[]2110f x m f x m +−−+=有6个不同的实数根,所以()22110t m t m +−−+=必须有两个不等实根12,t t ,且()21,1,3t t ∈−,令()()2211g t t m t m =+−−+,则()()103021132Δ0g g m ⎧−>⎪>⎪⎪⎨−−<−<⎪⎪>⎪⎩,即()()()()212110932110621221410m m m m m m m ⎧−−−+>⎪+−−+>⎪⎨−<−<⎪⎪−−−+>⎩,解得75m −<<7,5m ⎛∈− ⎝⎭.故答案为:7,5⎛− ⎝⎭. 15.(2023春·全国·高一期末)已知函数241,1()log 3,1xx f x x x ⎧−⎪=⎨+>⎪⎩…集合21()2()02M x f x t f x t ⎧⎫⎛⎫=−++=⎨⎬ ⎪⎝⎭⎩⎭∣,若集合M 中有3个元素,则实数t 的取值范围为________.【答案】{|0t t =或1}2t ≥【解析】令()f x m =,记21()(2)2g m m t m t =−++的零点为12,m m ,因为集合M 中有3个元素,所以()f x 的图像与直线12,y m y m ==共有三个交点,则,12001m m =⎧⎨<<⎩或12101m m =⎧⎨<<⎩或12001m m >⎧⎨<<⎩当10m =时,得0=t ,212m =,满足题意; 当11m =时,得12t =,212m =,满足题意;当12001m m >⎧⎨<<⎩时,(0)01(1)1202g t g t t =>⎧⎪⎨=−−+<⎪⎩,解得12t >. 综上,t 的取值范围为{|0t t =或1}2t ≥.故答案为:{|0t t =或1}2t ≥16.(2023秋·黑龙江绥化·高一校考期末)ABC 的内角A ,B ,C 的对边分别为a ,b ,c ,已知30,12=︒=A b ,若ABC 有两解,写出a 的一个可能的值为__________.【答案】7(满足(612)a ∈,均可,答案不唯一) 【解析】由于满足条件的ABC 有两个,则sin b A a b <<,即612a <<.故答案为:7(满足(612)a ∈,均可,答案不唯一).17.(2023·海南·统考模拟预测)已知函数()314f x x m π⎛⎫=++− ⎪⎝⎭在3,04π⎡⎤−⎢⎥⎣⎦上有3个零点1x ,2x ,3x ,其中123x x x <<,则1232x x x ++=______. 【答案】53π−【解析】令()0f x =314x m π⎛⎫++= ⎪⎝⎭,故()314f x x m π⎛⎫++− ⎪⎝⎭的零点为函数()314g x x π⎛⎫++ ⎪⎝⎭与函数y =m 交点的横坐标,作出函数g (x )在3,04π⎡⎤−⎢⎥⎣⎦上的大致图像:令3()42x k k πππ+=+∈Z ,解得()123k x k ππ=+∈Z , 令1k =−,得4x π=−,则由图知2322=4x x ππ⎛⎫+=⨯−− ⎪⎝⎭,令2k =−,得712x π=−,则由图知12772=126x x ππ⎛⎫+=⨯−− ⎪⎝⎭, 故123752263x x x πππ++=−−=−. 故答案为:53π−﹒18.(2023春·辽宁沈阳·高三沈阳市第一二〇中学校考阶段练习)已知双曲线22:14x y C m −=与直线2y x =无交点,则m 的取值范围是_____. 【答案】(]0,16【解析】依题意,由22:14x y C m −=可得0m >,双曲线C 的渐近线方程为y =,因为双曲线C 与直线2y x =无交点,所以直线2y x =应在两条渐近线上下两部分之间,2≤,解得016m <≤,即(]0,16m ∈. 故答案为:(]0,16..。
专题十四计数原理考点45:排列与组合(1-6题,13,14题,17-19题)考点46:二项式定理(7-12题,15,16题,20-22题)考试时间:120分钟满分:150分说明:请将选择题正确答案填写在答题卡上,主观题写在答题纸上第I卷(选择题)一、选择题(本题共12小题,每小题5分,共60分。
在每小题给出的四个选项中,只有一项是符合题目要求的。
)1、考点45 中难某校高三年级共有6个班,现在安排6名教师担任某次模拟考试的监考工作,每名教师监考一个班级.在6名教师中,甲为其中2个班的任课教师,乙为剩下4个班中2个班的任课教师,其余4名教师均不是这6个班的任课教师,那么监考教师都不担任自己所教班的监考工作的概率为( )A.715B.815C.115D.4152、考点45 中难某单位周一至周六要安排甲、乙、丙、丁四人值班,每人至少值一天班,则甲至少值两天班的概率为( )A. 11 26B. 9 26C. 11 52D. 9 523、考点45 中难某同学有7本不同的书,其中语文书2本、英语书2本、数学书3本,现在该同学把这7本书放到书架上排成一排,要求2本语文书相邻、2本英语书相邻、3本数学书中任意2本不相邻,则不同的排法种数为( )A.12B.24C.48D.7204、考点45 中难一个停车场有5个排成一排的空车位,现有2辆不同的车停进这个停车场,若停好后恰有2个相邻的停车位空着,则不同的停车方法共有( )种 A.6B.12C.36D.725、考点45 中难某种植基地将编号分别为1,2,3,4,5,6的六个不同品种的马铃薯种在如图所示的这六块实验田上进行对比试验,要求这六块实验田分别种植不同品种的马铃薯,若种植时要求编号1,3,5的三个品种的马铃薯中至少有两个相邻,且2号品种的马铃薯不能种植在A 、F 这两块实验田上,则不同的种植方法有 ( )A.360种B.432种C.456种D.480种 6、考点45 难2017年11月30日至12月2日,来自北京、上海、西安、郑州、青岛及凯里等七所联盟学校(“全国理工联盟”)及凯里当地高中学校教师代表齐聚凯里某校举行联盟教研活动,在数学同课异构活动中,7名数学教师各上一节公开课,教师甲不能上第三节课,教师乙不能上第六节课,则7名教师上课的不同排法有 种( )A.5040B.4800C.3720D.4920 7、考点46 易24)(121()x x ++的展开式中3x 的系数为( )A .12B .16C .20D .248、考点46 易 已知1021001210(1)(1)(1)(1)x a a x a x a x +=+-+-++-L ,则=8a ( )A.-180B.180C.45D.-45 9、考点46 易9(23)x y -的展开式中各项的二项式系数之和为( )A .-1B .1C .-512D .51210、考点46 中难已知5(1)(1)ax x ++的展开式中2x 的系数为5,则a =( ) A.-4B.-3C.-2D.-111、考点46 中难在二项式1121x x ⎛⎫- ⎪⎝⎭的展开式中,系数最大的项为( )A.第五项B.第六项C.第七项D.第六项或第七项 12、考点46 中难332除以9的余数是( )A.1B.2C.4D.8第II 卷(非选择题)二、填空题(本题共4小题,每小题5分,共20分。
高三数学专项训练:排列与组合练习题一、选择题1.将3个不同的小球放入4个盒子中,则不同放法种数有()A.81 B.64 C.14 D.122.用0到9这10个数字,可以组成没有重复数字的三位偶数的个数为( )A.324B.328C. 360D.6483.A,B,C,D,E五人并排站成一排,如果A,B必须相邻且B在A的左边,那么不同的排法共有()A.60种 B.48种 C.36种 D.24种4.3位男生和3位女生共6位同学站成一排,若男生甲不站两端,3位女生中有且只有两位女生相邻,则不同的排法的种数是()A.360 B.288 C.216 D.965.将2名教师,4名学生分成2个小组,分别安排到甲、乙两地参加社会实践活动,每个小组由1名教师和2名学生组成,不同的安排方案共有( )A.12种 B.10种 C.9种 D.8种6.现有高一年级的学生3名,高二年级的学生5名,高三年级的学生4名,从中任选1人参加某项活动,则不同选法种数为()(A)60 (B)12 (C)5 (D)57.从10名大学生中选3个人担任乡村干部,则甲、丙至少有1人入选,而乙没有入选的不同选法的种数为()A. 85 B. 56 C. 49 D. 288.某公司新招聘8名员工,平均分配给下属的甲、乙两个部门,其中两名英语翻译人员不能分在同一部门,另外三名电脑编程人员也不能全分在同一部门,则不同的分配方案共有()A. 24种B. 36种C. 38种D. 108种9.某台小型晚会由6个节目组成,演出顺序有如下要求:节目甲必须排在第四位、节目乙不能排在第一位,节目丙不能排在最后一位,该台晚会节目演出顺序的编排方案共有(A)36种(B)42种(C)48种(D)54种10.有6人被邀请参加一项活动,必然有人去,去几人自行决定,共有()种不同去法A. 36种B. 35种C. 63种D. 64种11.甲、乙两人从4门课程中各选修2门,则甲、乙所选的课程中至少有1门不相同的选法共有()A. 6种B. 12种C. 30种D. 36种12.从6名同学中选派4人分别参加数学、物理、化学、生物四科知识竞赛,若其中甲、乙两名同学不能参加生物竞赛,则选派方案共有()A.240种 B.280种 C. 96种 D.180种13.2位教师与5位学生排成一排,要求2位教师相邻但不排在两端,不同的排法共有()A. 480种B.720种C. 960种D.1440种14.4名运动员报名参加3个项目的比赛,每人限报一项,不同的报名方法有(A)43种(B)34种(C)34A种(D)34C种15.从9名学生中选出4人参加辩论赛,其中甲、乙、丙三人至少有两人入选的不同选法的种数为()A.36 B.51 C.63 D.9616.今有甲乙丙三项任务,甲需2人承担,乙丙各需1人承担,现从10人中选派4人承担这三项任务,不同的选派方法有A.1260种B.2025种C.2520种D.5054种17.某外商计划在4个候选城市中投资3个不同的项目,且在同一个城市投资的项目不超过2个,则该外商不同的投资方案有 ( )A.16种 B.36种 C.42种 D.60种18.从4名男生和3名女生中选出4人参加某个座谈会,若这4人中必须既有男生又有女生,则不同的选法共有 ( )A.140种 B. 120种 C. 35种 D. 34种19.有5个不同的小球,装入4个不同的盒内,每盒至少装一个球,共有()不同的装法.A.240 B.120 C.600 D.36020.有11名学生,其中女生3名,男生8名,从中选出5名学生组成代表队,要求至少有1名女生参加,则不同的选派方法种数是 ( )A.406B.560C.462D.15421.有编号分别为1,2,3,4,5的5个红球和5个黑球,从中取出4个,则取出的编号互不相同的种数为()A.5 B.80 C.105 D.21022.从10名大学毕业生中选3人担任村长助理,则甲、乙至少有1人入选,而丙没有入选的不同选法的种数为A.85B.56 C.49 D.2823.某班乒乓球队9名队员中有2名是校队选手,现在挑5名队员参赛,校队必须选,那么不同的选法共有()种.A)126;B)84;C)35;D)21;24.三名教师教六个班的课,每人教两个班,分配方案共有()A.18种B.24种C.45种D.90种25.某班级有一个8人小组,现任选其中3人相互调整座位,其余5人座位不变,则不同的调整方案的种数有()A.56B.112C.336D.16826.甲、乙、丙3位同学选修课程,从4门课程中,甲选修2门,乙、丙各选修3门,则不同的选修方案共有()A.36种B.48种C.96种D.192种27.平面上有5个点,其中任何3个点都不共线,那么可以连成的三角形的个数是( ) A.3 B.5 C.10 D.2028.6本不同的书分给甲、乙、丙三人,每人两本,不同的分法种数是()A.2264C C B C.336A D.36C29.某班级要从4名男士、2名女生中选派4人参加某次社区服务,如果要求至少有1名女生,那么不同的选派方案种数为( )A.14B.24C.28D.4830.有5盆互不相同的玫瑰花,其中黄玫瑰2盆、白玫瑰2盆、红玫瑰1盆,现把它们摆放成一排,要求2盆白玫瑰不能相邻,则这5盆玫瑰花的不同摆放种数是()A、120 B、72 C、12 D、3631.从6人中选4人分别到北京、哈尔滨、广州、成都四个城市游览,要求每个城市有一人游览,每人只游览一个城市,且在这6人中甲、乙不去哈尔滨游览,则不同的选择方案共有A.300种B.240种C.144种D.96种32.将4个不同的球放入3个不同的盒中,每个盒内至少有1个球,则不同的放法种数为()(A)24 (B)36 (C)48 (D)9633.现安排5名同学去参加3个运动项目,要求甲、乙两同学不能参加同一个项目,每个项目都有人参加,每人只参加一个项目,则满足上述要求的不同安排方案个数为()(A)72 (B)114 (C)144(D)150 34.某人有3个不同的电子邮箱,他要发5个电子邮件,发送的方法的种数()A . 8 B. 15 C. 243 D. 12535.7名志愿者安排6人在周六,周日两天参加社区公益活动若每天安排3人,则不同的安排方案共有()A.280种B.140种C.360种D.300种36.某班级要从4名男生、2名女生中选4人接受心理调查,如果要求至少有1名女生,那么不同的选法种数为()A.14 B.24 C.28 D.4837.某节目表有6个节目,若保持其相对顺序不变,在它们之间再插入2个小品节目,且这2个小品在表中既不排头也不排尾,那么不同插入方法有()A. 20种B. 30种C. 42种D. 56种38.现从甲、乙、丙等6名学生中安排4人参加4×100m接力赛跑。
2023年高考数学复习---离心率问题专项练习题(含答案解析)一、单选题1.(2022·重庆沙坪坝·重庆八中校考模拟预测)已知双曲线C :2221x y a −=()0a >的右焦点为F ,点()0,A a −,若双曲线的左支上存在一点P ,使得7PA PF +=,则双曲线C 的离心率的取值范围是( )A .⎛ ⎝⎦B .(C .2⎫+∞⎪⎢⎣⎭D .)+∞【答案】C 【解析】设双曲线左焦点为1F ,因为点P 在双曲线左支上,所以有12PF PF a −=, 即12PF PF a =+.由已知得,存在点P ,使得7PA PF +=,即172PA PF a +=−,显然720a −>,所以72a <.又11PA PF AF +≥=P 位于图中1P 位置时,等号成立,72a −,又221c a =+,72a −,整理可得,214240a a −+≥,解得2a ≤或12a ≥(舍去), 所以02a <≤,则204a <≤,则2114a ≥,所以2222211514c a a a a +==+≥,所以c e a ===. 故选:C.2.(2022春·河南·高三校联考阶段练习)已知双曲线2222:1(0,0)y x C a b a b −=>>,F 为C 的下焦点.O 为坐标原点,1l 是C 的斜率大于0的渐近线,过Fl 交1l 于点A ,交x 轴的正半轴于点B ,若||||OA OB =,则C 的离心率为( ) A .2 BCD【答案】C【解析】因为F 为双曲线2222:1(0,0)y x C a b a b −=>>的下焦点,不妨设()0,F c −,所以过Fy x c =−,所以),0B . 因为1l 是C 的斜率大于0的渐近线,所以可设1:al y x b=.由y ca y x b⎧=−⎪⎪⎨⎪=⎪⎩联立解得:A .因为||||OA OB =,所以2223c +=,解得:a .所以离心率c e a ====.故选:C3.(2022春·福建福州·高三福州四中校考阶段练习)设椭圆()2222:10x y C a b a b +=>>的左、右焦点分别为1F ,2F ,点M ,N 在C 上(M 位于第一象限),且点M ,N 关于原点O 对称,若12MN F F =,22NF =,则椭圆C 的离心率为( ) AB .12CD【答案】C【解析】依题意作图,由于12MN F F =,并且线段MN ,12F F 互相平分,∴四边形12MF NF 是矩形,其中12π2F MF ∠=,12NF MF =, 设2MF x =,则12MF a x =−,根据勾股定理,2221212MF MF F F +=,()22224a x x c −+=,整理得22220x ax b −+=,由于点M 在第一象限,x a =由22NF =,得23MN MF =,即(32a c =,整理得227690c ac a +−=,即27690e e +−=,解得37e =. 故选:C .4.(2022春·江苏南通·高三期末)如图,内外两个椭圆的离心率相同,从外层椭圆顶点向内层椭圆引切线AC ,BD ,若直线AC 与BD 的斜率之积为14−,则椭圆的离心率为( )A .12 B C D .34【答案】C【解析】设内层椭圆的方程为22221(0)x y a b a b+=>>,由离心率相同可知,外层椭圆的方程为22221()()x y ma mb +=,如图,设切线AC 的方程为1()y k x ma =−, 则1222()()()()y k x ma bx ay ab =−⎧⎨+=⎩, 消去y 得22223224222111()20b a k x ma k x m a k a b +−+−=由Δ0=,得2212211b k a m =⋅−,设切线BD 的方程为2y k x mb =+, 联立2222()()()y k x mb bx ay ab =+⎧⎨+=⎩,消去y 得222222222222()20b b a k x ma k x m a b a b +++−=,由Δ0=得22222(1)b k m a=⋅−,422124,b k k a∴⋅=又直线AC 与BD 的斜率之积为14−,2214b a ∴=2,,a b c ∴=e ∴故选:C5.(2022春·山东聊城·高三山东聊城一中校考阶段练习)已知椭圆2222:1(0)x y C a b a b+=>>的左焦点为F ,A ,B 分别为C 的左右顶点,222:()(0)G x y m m m +−=>e 与y 轴的一个交点为D ,直线AD ,BG 的交点为M ,且MF x ⊥轴,则C 的离心率为( ) A .13B .12C .23D .34【答案】A【解析】解法一:由题意可知(,0),(,0),(0,2),(0,),(,0)A a B a D m G m F c −−, 故直线AD 的方程为2020()m y m x a −−=−−,即22my x m a=+, 直线BG 的方程为00m y m x a −−=−,即my x m a=+−, 联立直线AD ,BG 的方程,解得3M ax =−.又MF x ⊥轴,所以,33ac a c −=−=,所以C 的离心13c e a ==, 故选:A.解法二:设O 为坐标原点,由题意知(,0),(,0),(0,),(,0),(0,2),//A a B a G m F c D m MF OD −−, 故OAD FAM ,所以||||||||MF AF OD OA =,即2MF a c m a−=,解得2()m a c MF a −=. 又OGB FMB ,所以||||||||MF BF OG OB =,即MF a cm a+= , 解得()||m a c MF a +=,则()()2m a c m a c a a+−=,得3a c =,所以C 的离心率13c e a == 故选:A.6.(2022春·陕西·高三陕西省榆林中学校联考阶段练习)已知如图,椭圆C :()222210x y a b a b+=>>,斜率为12的直线l 与椭圆C 交于A ,B 两点,与x 轴,y 轴分别交于M ,N 两点,若AN NM MB ==,则椭圆C 的离心率e 为( )A .12 BCD【答案】C【解析】设()11,A x y ,()22,B x y , ∵AN NM MB ==,∴()1,0M x −,10,2y N ⎛⎫ ⎪⎝⎭.则112,2y B x ⎛⎫−− ⎪⎝⎭,得211222x x y y =−⎧⎪⎨=−⎪⎩,由22112222222211x y a b x y a b ⎧+=⎪⎪⎨⎪+=⎪⎩,两式相减得:()()()()1212121222x x x x y y y y a b +−+−+=, 即2121221212y y y y b x x x x a−+⋅=−−+, 其中121212y y x x −=−,且11112121113122232y yy y y x x x x x +−===−+,解得:111y x =, 故111121121111122222y y y y y y x x x x x x −+===−=−+−−, 故221122b a ⎛⎫⋅−=− ⎪⎝⎭,解得2214b a =, 故22214a c a −=,∴e =故选:C7.(2022春·广东·高三校联考阶段练习)已知椭圆2222:1(0)x y C a b a b +=>>,直线l 过坐标原点并交椭圆于,P Q 两点(P 在第一象限),点A 是x 轴正半轴上一点,其横坐标是点P 横坐标的2倍,直线QA 交椭圆于点B ,若直线BP 恰好是以PQ为直径的圆的切线,则椭圆的离心率为( ) A .12 BCD【答案】D【解析】依题意,设()()()()1111221,,,,,,2,0P x y Q x y B x y A x −−,直线,(),PQ QB QA BP 的斜率一定存在,分别为123,,k k k , 直线BP 恰好是以PQ 为直径的圆的切线,则PQ PB ⊥,则131k k =−, 则()()112111101233y y k k x x x −−===−−,∴3213k k =−,∵2222112222221,1x y x y a b a b +=+=,两式相减得22221212220x x y y a b −−+=, ∴2121221212y y y y b x x x x a +−⋅=−+−,即2232b k k a=−, ∴2213b a −=−,∴2213b a =,∴22222213c b e a a ==−=,∴椭圆的离心率e =, 故选:D .8.(2022春·浙江金华·高三期末)设O 为坐标原点,12,F F 为双曲线22221(0,0)x y a b a b −=>>的两个焦点,12,l l 为双曲线的两条渐近线,1F A 垂直1l 于1,A F A 的延长线交2l 于B ,若2OA OB AB +=,则双曲线的离心率为( )ABCD【答案】B【解析】双曲线22221(0,0)x y a b a b−=>>的渐近线方程为:0bx ay ±=,不妨令12:0,:0l bx ay l bx ay +=−=,因为直线1F A 垂直1l ,则111F A l k k ⋅=−,故1F A ak b=,又1(,0)F c −,1OF c = 则点1(,0)F c −到直线1:0l bx ay +=的距离为1AFb =,所以OA a ===,1F A a k b=,又1(,0)F c −,可知直线1F A 的方程为:()ay x c b =+,与2l 联立方程组可得:()ay x c bb y x a⎧=+⎪⎪⎨⎪=⎪⎩,则()b a x x c a b =+ ,解得22222a cx b a abc y b a ⎧=⎪⎪−⎨⎪=⎪−⎩,故22222,a c abc B b a b a ⎛⎫ ⎪−−⎝⎭, 由||||2||OA OB AB +=,则222||ac OB b a ==−, Rt OAB 中,由勾股定理可得:()()()()224222244222222222222224a c a b a a ca b AB OB OA a bababa −−=−=−==−−−,故2222||ba AB b a =−;又||||2||OA OB AB +=,则2222224ac ba a b a b a +=−−,即2222241c ab b a b a +=−−,因为1F A 的延长线交2l 于B ,此时B 点的纵坐标大于0,即220abcb a>−,故220b a −>,所以2222b a b a −=− ,所以2222241c ab b a b a +=−−化简得2224b a c ab −+=.则224b ab =,故2b a =,则c e a ===故选:B.9.(2022春·广东广州·高三校考期中)已知1F 、2F 为双曲线()222210,0x ya b a b−=>>的左、右焦点,P 为双曲线的渐近线上一点,满足1260F PF ∠=︒,12OP F (O 为坐标原点),则该双曲线的离心率是( )A B C D 【答案】A【解析】由题可知,()1,0F c −,()2,0F c , 根据对称性,不妨设P 为渐近线b y x a =上一点,坐标为,b m m a ⎛⎫⎪⎝⎭,0m >,因为12OP F =2c ,则222212b m c a ⎛⎫+= ⎪⎝⎭,故m ,故)P,在12PF F △中,1260F PF ∠=︒,由余弦定理得222121212122cos F F PF PF PF PF F PF =+−⋅⋅∠, 即222224))))c c c =+++−+122−,即22224424c a c b =++则22c =4422498c c a c =−, 即22485a c c =,即2285a c =,即2285c a =,所以c e a ==故选:A.10.(2022春·江苏·高三校联考阶段练习)设椭圆2222:1(0)x y C a b a b +=>>的左、右焦点分别为12,F F ,过1F 的直线与C 交于,A B 两点.若23,2AB a AF AB =⊥,则C 的离心率为( )A B C .23D .13【答案】A【解析】令1213,2,,2aAF m AF a m BF m ==−=−则 则212BF a m =+, 又22,Rt AF AB ABF ⊥中,222196(2),245a a m a a m m ⎛⎫+=+−∴=⎪⎝⎭, 1264,55a aAF AF ∴==, 12Rt AF F 中,22223616524252525a a a c =+=,所以,离心率e =故选:A. 二、多选题11.(2022春·黑龙江绥化·高三校考阶段练习)已知双曲线2221(0)4x y b b −=>右焦点为1F ,过1F 且垂直于x 轴的直线与双曲线交于A ,B 两点,点()4,0F −,若ABF △为锐角三角形,则下列说法正确的是( ) A .双曲线过点()2,0−B .直线30x y −=与双曲线有两个公共点C .双曲线的一条渐近线2b y x =D.双曲线的离心率取值范围为⎛ ⎝⎭【答案】ACD【解析】A 选项:将点()2,0−代入双曲线,得到2222014b−=,符合,所以双曲线过()2,0−点,故A 选项正确;D 选项:因为ABF △是锐角三角形,所以14AFF π∠<,则212tan tan 144b AFFc π∠=<=+,即282b c <+.因为双曲线22214x y b−=中2a =,所以22224b c a c =−=−,所以2482c c −<+,解得11c <c a <.因为1c e a =>,则1e <<,所以双曲线的离心率的取值范围是⎛ ⎝⎭,D 选项正确;C 选项:双曲线的一条渐近线为2b y x =,则斜率为2b ,22241444b c c −==−,又2c c a =<则221144b c =−−=4,所以2942b <<,即2b <故C 选项正确,B 选项:联立2221(0)430x y b b x y ⎧−=>⎪⎨⎪−=⎩,得()222314x x b −=,即()2224360b x b −−=,则()2260316b b ∆−=+,由C 选项得,6b <,此时Δ0<,故B 选项错误. 故选:ACD.12.(2022春·江苏常州·高三统考阶段练习)如图,椭圆1C 与椭圆2C 有公共的左顶点和左焦点,且椭圆2C 的右顶点为椭圆1C 的中心,设椭圆1C 与椭圆2C 的长半轴长分别为1a 和2a ,半焦距分别为1c 和2c ,离心率分别为1e 和2e ,则以下结论中正确的是( )A .2121e e =−B .1221a c a c >C .1221a c a c +=+D .122122a c a c −>−【答案】ACD【解析】由题知1222112,,a a a c a c =⎧⎨−=−⎩①②,由②两边同时加21c c +得1221a c a c +=+,故C 正确; 将①代入②得21222a c a c −=−, 两边同时除以2a 得:112212211222222c c ca a c a a −=−=−=−,即2121e e =−,故A 正确; 由②得11222222c a a c a c c =−+=+>,③③式两边同乘以2a 得1222122c a a c a c >=,故B 错误;由③式得122c c −<−,故两边同加1a 得21111222a c a c c a =−<−−,故D 正确. 故选:ACD13.(2022·浙江·模拟预测)如图,椭圆()2222:10x y C a b a b +=>>的左顶点为A ,上顶点为B ,右焦点为F ,且AB ⊥BF ,则C 的离心率为( )A .BF AFB .22||||AB AFC .2||AF BF AB ⋅ D【答案】ABD 【解析】由题意知,(,0)A a −,(0,)B b ,(c,0)F ,则(,)AB a b =,(,)BF c b =−, ∵ AB BF ⊥,∴0AB BF ⋅=,即:20ac b −=, ① 又∵ 222b a c =−,②∴由①②得:220c ac a +−=,即:210e e +−=, 又∵ 01e <<,∴e =,故D 项正确;∴c =,∴222222)b a c a =−=−=,∴||||BF aeAF a c=====+,故A 项正确;∴2222222||||()a AB a b e AF a c +====+,故B 项正确;∴222()||||()1||a aAF BF a c a e AB a b ⋅+==≠+,故C 项错误; 故选:ABD.14.(2022春·吉林通化·高三梅河口市第五中学校考期末)如图,P是椭圆22122:1(0)x y C a b a b +=>>与双曲线22222:1(0,0)x y C m n m n −=>>在第一象限的交点,且12,C C 共焦点121212,,,,F F F PF C C ∠θ=的离心率分别为12,e e ,则下列结论不正确的是( )A .12,PF m a PF m a =+=−B .若60θ=︒,则2221314e e += C .若90θ=︒,则2212e e +的最小值为2D .tan2b nθ=【答案】ACD【解析】依题意,121222PF PF aPF PF m ⎧+=⎪⎨−=⎪⎩,解得12,PF a m PF a m =+=-,A 不正确;令12||2F F c =,由余弦定理得:22222222212122212||||||()()42cos 2||||2()()PF PF F F a m a m c a m c PF PF a m a m a m θ+−++−−+−===+−−,当60θ=︒时,22234a m c +=,即22()3()4a m c c+=,因此2221314e e +=,B 正确;当90θ=︒时,2222a m c +=,即22()()2a m c c+=,有2212112e e +=,而221201e e <<<,则有22222222121122()22e e e e e e +<+=,解得22122e e >+,C 不正确; 22222222222222222221()2()()cos ()()1()n a m c a c c m b n b n a m a c c m b n bθ−+−−−−−====−−+−++, 22222222cos sin 1tan 222cos cos sin 22cos sin 1tan 222θθθθθθθθθ−−=−==++,于是得22221()1tan 21tan 1()2n b n bθθ−−=++,解得22tan()2n b θ=,而tan 0,02n b θ>>,因此tan 2nbθ=,D 不正确. 故选:ACD15.(2022春·山西运城·高三校考阶段练习)已知12F F 、分别为双曲线22221(0,0)x y a b a b −=>>的左、右焦点,过点2F 的直线与双曲线的右支交于AB 、两点,记12AF F △的内切圆1I 的半径为112,r BF F 的内切圆2I 的半径为2r ,若212r r a =,则( )A .1I 、2I 在直线x a =上B .双曲线的离心率2e =C .1ABF 内切圆半径最小值是32aD .12r r +的取值范围是2a ⎡⎤⎢⎥⎣⎦【答案】ABC 【解析】对A :过1I 分别作1AF 、2AF 、12F F 的垂线,垂足分别为D 、E 、F ,则1122,,AD AE F D F F F E F F ===,∵122AF AF a −=,则()()112122AD DF AE EF F F F F a +−+=−=, 又∵12122F F F F F F c =+=,则11FF OF OF a c =+=+, ∴OF a =,即1I 在直线x a =上, 同理可得:2I 在直线x a =上, A 正确; 对B :∵2212121221,A B I F I F F I F I F F ∠∠∠∠==,则1221212121222I F I F I F F I F F F I A B I ∠∠∠∠∠++==, ∴122π2I F I ∠=, 又∵1222I F F F F FI F=,则2122I F I F F F =,即2212()r r c a a =−=,∴2c a =,故离心率为2ce a==,B 正确; 对C :∵2e =,则2,c a b =,∴()22,0F a,双曲线的渐近线方程为y =,则直线AB 的倾斜角π2π,33θ⎛⎫∈ ⎪⎝⎭,设AB 直线方程为2x my a =+,()()1122,,,,m A x y B x y ⎛∈ ⎝⎭,联立方程2222213x my ax y a a=+⎧⎪⎨−=⎪⎩,消去x 得:()222311290m y may a −++=,∴2121222129,3131ma a y y y y m m +=−=−−,则()2121226113a m y y AB y m +−==−=−, 设1ABF 内切圆半径为r ,其周长()()()1112122242L AF BF AB AF AF BF BF AF BF AB a AB =++=−+−+++=+()2221211641313a m a a m m +=+=−−,根据1ABF 的面积可得:1212112222Lr c y y a y y =⨯⨯−=−,则122431316213a y y m r a a L m −−==≥−,C 正确; 对D :由题意不妨设12I F F ∠α=,ππ,32θ⎛⎤∈ ⎥⎝⎦,∵2παθ+=,则πππ,243θα−⎡⎫=∈⎪⎢⎣⎭,令tan t α⎡=∈⎣,∴12tan r FF at α==,22πtan 2a r FF t α⎛⎫=−= ⎪⎝⎭,121r r a t t ⎛⎫+=+ ⎪⎝⎭,又∵1y t t=+在⎡⎣上单调递增,∴1212r r a t a t ⎡⎫⎛⎫+=+∈⎪⎢ ⎪⎪⎝⎭⎣⎭,D 错误; 故选:ABC.16.(2022春·福建厦门·高三厦门双十中学校考期中)已知1F ,2F 是双曲线E :()222210,0x y a b a b−=>>的左、右焦点,过1F 作倾斜角为30°的直线分别交y 轴与双曲线右支于点M ,P ,1PM MF =,下列判断正确的是( ) A .21π3PF F B .2112MF PF =C .ED .E 的渐近线方程为y =【答案】BD【解析】如下图所示,因为1PM MF =,即M 为1PF 中点,O 为12F F 中点,所以2//OM PF ,因为12OM F F ⊥,所以212PF F F ⊥,所以21π2PF F ∠=,2112MF PF =,A 错误,B 正确; 由212PF F F ⊥知222221PF ca b−=,所以22b PF a=,又122F F c =,1230PF F ∠=,2c =)222c a ac −=220e −,解得:e =C 错误;所以==c e a 223c a =,所以22222b c a a =−=,所以ba= 所以E 的渐近线方程为y =,D 正确.故选:BD .三、填空题17.(2022·全国·高三专题练习)已知双曲线()2222:10,0x y C a b a b−=>>的左、右焦点分别为1F 、2F ,点P 在双曲线2222:1x yC a b−=上,点H 在直线x a =上,且满足122340HP HF HF ++=.若存在实数λ使得122112sin sin PF PF OH OP PF F PF F λ⎛⎫=++ ⎪∠∠⎝⎭,则双曲线C 的离心率为_____________ 【答案】2【解析】设直线PH 交x 轴于点Q ,如图,设12PF F △的外接圆半径为R ,由122112sin sin PF PF OH OP PF F PF F λ⎛⎫=++ ⎪∠∠⎝⎭,有12211222sin 2sin PF PF OH OP R R PF F R PF F λ⎛⎫=+⋅+ ⎪∠∠⎝⎭,故12122PF PF PH R PF PF λ⎛⎫⎪=⋅+ ⎪⎝⎭,所以直线PH 过12PF F △的内心, 设12PF F △的内切圆圆心为I ,内切圆圆I 分别切1PF 、2PF 、12F F 于点M 、N 、T ,由切线长定理可得11F M FT =,22F N F T =,PM PN =, 所以,()()1212122PF PF PM F M PN F N FT F T a −=+−+=−=, 结合图形可得()()22T T T x c c x x a +−−==,所以,T x a =, 故12PF F △的内心的横坐标为a ,因为点H 在直线x a =上,所以点H 为12PF F △的内心.由122340HP HF HF ++=可得()()122340PH PF PH PF PH −+−+−=, 所以,12934PH PF PF =+,记12934777PH PF PF =+,设123477PG PF PF =+,则()()214377PG PF PF PG −=−,所以,2134F G GF =, 所以,点G 在直线12F F 上,又因为12PH F F Q =,故点G 与点Q 重合,且有12934777PH PF PF PQ =+=,由角平分线的性质可知点Q 到直线1PF 、2PF 的距离相等, 故12112243PF Q PF QS PF FQ S PF F Q===△△,同理可得1212PH PF PF HQ FQ F Q ==,令23PF m =,则14PF m =,且1212121272PH PF PF PF PF HQFQ F QFQ F Q +====+, 故12122FQ F Q F F m +==. 则双曲线C 的离心率12122243F F c me a PF PF m m====−−.故答案为:2.18.(2022·河南·模拟预测)已知椭圆1C 和双曲线2C 有共同的左、右焦点12,F F ,M 是它们的一个交点,且12π4F MF ∠=,记1C 和2C 的离心率分别为12,e e ,则12e e 的最小值是___________.【解析】不妨设M 为第一象限的点.如图,设椭圆的长半轴长为1a ,双曲线的实半轴长为2a ,则根据椭圆及双曲线的定义知1212MF MF a +=,1222MF MF a −=, 所以112MF a a =+,212MF a a =−, 设122=F F c 在12MF F △中,12π4∠=F MF , 由余弦定理得,()()()()22212121212π42cos4=++−−+−c a a a a a a a a ,化简得((22212224a a c +=,124=()1201,1e e <<>,所以124=≥所以12e e12=2212==e e 等号成立, 所以12e e.19.(2022·四川绵阳·四川省绵阳南山中学校考二模)第24届冬奥会,是中国历史上第一次举办的冬季奥运会,国家体育场(鸟巢)成为北京冬奥会开、闭幕式的场馆.国家体育场“鸟巢”的钢结构鸟瞰图如图,内外两圈的钢骨架是离心率相同的椭圆,若由外层椭圆长轴一端点A 和短轴一端点B 分别向内层椭圆引切线AC ,BD ,且两切线斜率之积等于916−,则椭圆的离心率为______.【解析】设内层椭圆方程为22221x y a b +=()0a b >>,由于内外椭圆离心率相同,由题意可设外层椭圆方程为()()22221x y ma mb +=()1m >.所以A 点坐标为(),0ma −,B 点坐标为()0,mb ,设切线AC 的方程为()1y k x ma =+,切线BD 的方程为2y k x mb =+,联立直线AC 的方程与内层椭圆方程()222211x y a b y k x ma ⎧+=⎪⎨⎪=+⎩得,()2222322242211120k ab x ma k x m k a a b +++−=,因为直线AC 与椭圆相切,所以()()()23222222422111Δ240ma k k a b m k a a b =−+−=,整理可得,2212211b k a m =⋅−.同理,联立直线BD 的方程与内层椭圆方程222221x y a b y k x mb⎧+=⎪⎨⎪=+⎩,可推出()222221b k m a =−,所以()224222122224111b b b k k m a m a a=⋅⨯−=−.因为12916k k =−,所以22916b a =,则222222c a b e a a −==227116b a =−=,所以e =.20.(2022·四川遂宁·四川省遂宁市第二中学校校考一模)双曲线 22221(00)x y a b a b−=>>,的左顶点为A , 右焦点()0F c ,, 若直线x c =与该双曲线交于B C 、两点,ABC 为等腰直角三角形, 则该双曲线离心率为__________ 【答案】2【解析】联立 22222221x cx y a b c a b =⎧⎪⎪−=⎨⎪=+⎪⎩, 可得2b y a =±, 则22b BC a =,因为点 B C 、关于x 轴对称, 且F 为线段BC 的中点, 则AB AC =.又因为 ABC 为等腰直角三角形, 所以,2BC AF =, 即()222b c a a=+, 即 ()222a c abc a +==−, 所以,a c a =−, 可得2c a =,因此, 该双曲线的离心率为 2ce a==. 故答案为:221.(2022·上海崇明·统考一模)已知椭圆1Γ与双曲线2Γ的离心率互为倒数,且它们有共同的焦点1F 、2F ,P 是1Γ与2Γ在第一象限的交点,当12π6F PF ∠=时,双曲线2Γ的离心率等于______.【答案】2【解析】设椭圆1Γ标准方程为()2211221110x y a b a b +=>>,椭圆离心率为1e ,设双曲线2Γ标准方程为()2222222210,0x y a b a b −=>>,双曲线离心率为2e ,由题可知:121e e ⋅=.设1PF m =,2PF n =,则122222,2,π42cos ,6m n a m n a c m n mn ⎧⎪+=⎪−=⎨⎪⎪=+−⋅⎩①②③, 由①②得,12m a a =+,12n a a =−,代入③整理得,((22212422c a a =+,两边同时除以2c得,124=即(22242e =即(42222420e e −+=,解得222(2e =,即2e=2故答案为:222.(2022·广东广州·统考一模)如图是数学家Germinal Dandelin 用来证明一个平面截圆锥得到的截口曲线是椭圆的模型.在圆锥内放两个大小不同的小球,使得它们分别与圆锥的侧面与截面都相切,设图中球1O ,球2O 的半径分别为4和2,球心距离12O O =面分别与球1O ,球2O 相切于点,E F (,E F 是截口椭圆的焦点),则此椭圆的离心率等于__________.【答案】13【解析】设12O O EF D ⋂=,由22112112O D O F O D O E O D O D ⎧==⎪⎨⎪+=⎩,解得21O D O D =所以42,33DE DF ====, 所以4222,133c c =+==, 设直线EF 与圆锥的母线相交于点A , 圆锥的母线与球相切于,B C 两点,如图所示, 则,AB AE AC AF ==,两式相加得2AB AC AE AF a c a c a +=+=−++=,即2BC a =, 过2O 作21O G O B ⊥,垂直为G , 则四边形2BGO C 为矩形,所以26a BC ===,3a =,所以椭圆的离心率为13c a=. 故答案为:13。
一、多选题1.(23-24高一下·山东济宁·阶段练习)已知正实数,x y 满足2x y xy +=,则()A .16xy ≥B .29x y +≥C .6x y +>D .1831x y+≥-2.(21-22高一下·全国·开学考试)下列不等式一定成立的是()A .()21lg lg 04x x x ⎛⎫+≥> ⎝⎭B .()lgeln 21lg x x x+>>C .()21012x x x ≥>D .()1121x x <∈R3.(23-24高一上·安徽芜湖·阶段练习)已知,a b 均为实数,则()222a b a b ab+++的可能值为()A .43B .34C .1D .24.(22-23高一下·陕西西安·阶段练习)若62,63a b ==,则下列不等关系正确的有()A2B .114a b+>C .2212a b +>D .14ab <5.(23-24高三下·河南·阶段练习)已知位于第一象限的点(),a b 在曲线1x y+=上,则()A .()()111a b --=-B .4ab ≥C .49a b +≤D .221223a b +≥6.(23-24高一下·云南·阶段练习)已知p q 、为函数()lg f x x t =-的两个不相同的零点,则下列式子一定正确的是()A .222p q +<B .228p q +>C .33log log 0p q ⋅<D .1pq =由图可知,当0t >时,直线设p q <,则01p q <<<,由由()lg 0f q q t =-=,可得lg 对于A 选项,222p q pq +>=对于B 选项,2222p q p ++>对于C 选项,33log log 1p <=对于D 选项,由上可知1pq =故选:CD.7.(2024高三·全国·专题练习)已知x ≥1,则下列函数的最小值为2的有()A .22x y x =+B .2y =C .13y x x=-D .411y x x =-+【答案】ACD号取不到;因为函数-在上单调递增,所以3-≥2;因为x ≥1+=+-2≥4).故选8.(2024高三·全国·专题练习)(多选)已知△ABC 的三个内角A ,B ,C 所对的边分别为a ,b ,c .若b =1,且a 2-c 2=2,则下列结论正确的是()A .a <32B .tan A +3tanC =0C .角B 的最大值为3πD .△ABC 的外接圆面积的最小值为π9.(23-24高一下·重庆·阶段练习)如图所示,在ABC 中,4BC =,且M 点为BC 边的中点,则下列结论正确的有()A .设G 是AM 的中点,则0GA GB GC ++=C .若π3BAC ∠=,则AM 的最小值为D .若π6BAM ∠=,则AC 边的最小值为2【详解】对于B ,分别在ABM 和ACM △中由正弦定理可得sin sin sin sin AMB BAMAC CM AMC CAM ⎧=⎪⎪∠∠⎨⎪=⎪∠∠⎩,因为2πBM CM AMB AMC ==⎧⎨∠+∠=⎩,则sin sin AB CAMAC BAM ∠=∠,正确;对于C ,在ABC 中,由余弦定理可得2216b c bc +-=,所以22162b c bc bc +=+≥,则16bc ≤,当且仅当4b c ==时取等,又2AB AC AM +=,所以AM AM ===,当且仅当4b c ==时取等,故AM 最大值为对于D ,在ABM 中,由正弦定理可得242πsin 6R==,故ABM 的外接圆圆O 的半径为2R =,则点A 在优弧 BM上运动,则AC 的最小值为2OC R R -=-=-,正确.故选:BD10.(2024·贵州毕节·二模)已知252100a b ==,则下列式子中正确的有()A .211a b+=B .121a b+=C .8ab >D .29a b +>【答案】BCD 【分析】由指对互化得到25log 100a =,2log 100b =,进而结合对数运算性质和基本不等式的应用即可求解.【详解】11.(2024·江苏·一模)已知,x y ∈R ,且123x =,124y =,则()A .y x >B .1x y +>C .14xy <D <【答案】ACD 【分析】用对数表示x ,y ,利用对数函数的性质、对数的计算、基本不等式等即可逐项计算得到答案.【详解】12.(23-24高一下·安徽宿州·开学考试)若正实数,a b 满足1a b +=,则下列选项中正确的是()A .ab 有最大值14B .122a b->C .14a b+的最小值是10D【答案】AB 【分析】利用均值不等式和“1”的妙用判断ACD ,由12a b b -=-讨论b 的范围判断B 即可.【详解】选项A :因为,a b 为正实数,所以2124a b ab +⎛⎫≤= ⎪⎝⎭,当且仅当12a b ==时等号成立,所以ab 有最大值14,A 说法正确;选项B :由1a b +=可得12a b b -=-,因为,a b 为正实数,所以01b <<,1121b -<-<,所以1212222a b b --<=<,B 说法正确;选项C :由题意可得()14144559a b a b a b a b b a ⎛⎫+=++=++≥+= ⎪⎝⎭,当且仅当4a bb a =,即13a =,23b =时等号成立,所以14a b +的最小值是9,C 说法错误;选项D :由A 得212a b =++=+≤,误;故选:AB13.(23-24高一上·江苏连云港·期末)下列各函数中,最小值为2的是()A .2610y x x =-+B .3y x =-+C .1y xx=+D .2y =14.(23-24高三下·广东·阶段练习)若0a >,0b >,8a b +=,则下列不等式恒成立的是()A 4≤B 4+≥C .2232a b +≥D .1498a b +≥【详解】15.(23-24高一下·河南信阳·阶段练习)已知0x >,0y >,且24x y +=,则()A .ln ln ln2x y +≤B .248x y +<C .1294x y +≥D .324e e x x y-≥16.(23-24高一下·内蒙古鄂尔多斯·开学考试)下列函数中,最小值是4的有()A .()134x f x x=++B .()f x =C .()()31011f x x x x=+<<D .()f x =则()A .413x y +≥B .9xy ≤C .2218x y +≤D .1123x y +≥18.(2024·贵州贵阳·一模)已知0,0a b >>,且2a b +=,则()A .22a b+≥B .112a b+≥C .22log log 1a b +≤D .222a b +≥19.(2024·河南信阳·一模)已知正数,m n满足322m n+=,则()A.12mn≥B.222m n+≥C.32m n+≥D.2,(0,),()2m nm n mnmn-∃∈+∞≥20.(23-24高一上·广东茂名·期中)下面命题正确的是()A .“1a >”是“11a<”的充分不必要条件B .命题“x ∃∈R ,使20x ax a ++<”是假命题,则实数a 的取值范围为04a ≤≤C .不等式21x>的解集是(),2-∞D .设a +∈R ,则24a a+的最小值为4.21.(23-24高三上·湖南常德·期末)已知0a b >>,则下列不等式一定成立的是()A .11a ba b >++B .2ab a b +22.(23-24高一上·江苏无锡·阶段练习)已知0a b >>,则下列不等式可能成立,也可能不成立的是()A .22()(1)a b b +>+B .11b b a a ->-2223.(23-24高一上·浙江·期末)设正实数,a b满足2a b+=,则()A.11a b+的最小值为2B.1122a b a b+++的最大值为23C2D.3ab b-的最大值为1424.(23-24高三下·河北·阶段练习)已知正数,a b 满足()()111a b --=,则下列选项正确的是()A .111a b+=B .25ab b+³C .4a b +≥D .228a b +≥25.(22-23高一上·江苏宿迁·期中)已知3824a b ==,则a ,b 满足的关系是()A .111a b+=B .112a b+=C .()()22112a b -+-<D .()()22112a b -+->26.(23-24高一上·河北石家庄·期末)下列说法正确的是()A .若a b >,则22a b >B .44ππcos sin 882-=27.(23-24高一上·安徽马鞍山·期末)若,m n 均为正数,且满足22m n +=,则()A .mn的最大值为12B .11m n+的最小值为3+C .24m n +的最小值为4D .2mm n+的最小值为1+28.(23-24高三下·云南昆明·阶段练习)已知0a b >>,下列说法正确的是()A .11a b b a+>+B .2b a a b+>C .若0c >,则b b ca a c+<D .若c d >,则a c b d->-29.(23-24高三上·海南·期末)已知0,0a b >>,且4a b ab +-=,则()A .3a b +≥B .104ab <≤或94ab ≥C .221(1)(1)2a b -+-≤D .11413a b <+≤或114a b+≥30.(23-24高一上·浙江杭州·期中)已知0,0a b>>,且1a b+=,则()A.41ab>B.2728a b+≥C.41912a b+≥D2≤。
2023届新高考数学复习:专项(等高线问题)经典题提分练习一、单选题1.(2023ꞏ全国ꞏ高三专题练习)设函数()22,0ln ,0x x x f x x x ⎧--≤⎪=⎨>⎪⎩①若方程()f x a =有四个不同的实根1x ,2x ,3x ,4x ,则1234x x x x ⋅⋅⋅的取值范围是()0,1②若方程()f x a =有四个不同的实根1x ,2x ,3x ,4x ,则1234x x x x +++的取值范围是()0,∞+③若方程()f x ax =有四个不同的实根,则a 的取值范围是10,e ⎛⎫⎪⎝⎭④方程()()2110f x a f x a ⎛⎫-++= ⎪⎝⎭的不同实根的个数只能是1,2,3,6四个结论中,正确的结论个数为( )A .1B .2C .3D .42.(2023ꞏ全国ꞏ高三专题练习)已知函数()()221,0log ,0x x f x x x ⎧+≤⎪=⎨>⎪⎩,若方程()f x a =有四个不同的解1234,,,,x x x x 且1234x x x x <<<,则()3122341x x x x x ⋅++⋅的取值范围是( )A .(]1,1-B .[]1,1-C .[)1,1-D .()1,1-3.(2023秋ꞏ四川泸州ꞏ高一四川省泸县第四中学校考阶段练习)已知函数()32log ,031108,333x x f x x x x ⎧<≤⎪=⎨-+>⎪⎩,若方程()f x m =有四个不同的实根1x ,2x ,3x ,4x ,满足1234x x x x <<<,则()()341233x x x x --的取值范围是( )A .()0,3B .(]0,4C .(]3,4D .()1,34.(2023ꞏ全国ꞏ高三专题练习)已知函数f (x )=11,1211,12xx x x ⎧⎛⎫-⎪ ⎪⎪⎝⎭⎨⎪-+>⎪⎩…,若互不相等的实数x 1,x 2,x 3满足f (x 1)=f (x 2)=f (x 3),则123111222x x x⎛⎫⎛⎫⎛⎫+ ⎪ ⎪ ⎪⎝⎭⎝⎭+⎭⎝的取值范围是( )A .(95,42)B .(1,4)C .4)D .(4,6)5.(2023ꞏ全国ꞏ高三专题练习)已知定义域为()0,6的函数()y f x =的图象关于3x =对称,当(]0,3x ∈时,()ln f x x =,若方程()f x t =有四个不等实根1x ,2x ,3x ,()41234x x x x x <<<时,都有()223412190k x x x x -++-≥成立,则实数k 的最小值为( )A .724 B .13C .12D .1136.(2023ꞏ全国ꞏ高三专题练习)已知函数()22,0,()2,0xx x f x g x x x e x >⎧==-+⎨≤⎩(其中e 是自然对数的底数),若关于x 的方程(())0g f x m -=恰有三个不等实根123,,x x x ,且123x x x <<,则21322x x x --的最小值为( ) A .ln 33-B .3ln 22-C .ln 23-D .1-7.(2023ꞏ吉林长春ꞏ东北师大附中校考模拟预测)已知函数3e ,0()3,0x x f x x x ⎧≤=⎨>⎩,()22g x x x=-+(其中e 是自然对数的底数),若关于x 的方程()(())F x g f x m =-恰有三个不同的零点123,,x x x ,且123x x x <<,则12333x x x -+的最大值为( )A .31ln 4+B .41ln 3+C .3ln 3-D .3ln 3+8.(2023ꞏ全国ꞏ高三专题练习)已知函数()22322,,log ,,x mx m x m f x x x m ⎧-++≤⎪=⎨>⎪⎩,其中01m <<,若存在实数a ,使得关于x 的方程()f x a =恰有三个互异的实数解,则实数m 的取值范围是( ) A .1,14⎛⎫⎪⎝⎭B .1,19⎛⎫ ⎪⎝⎭C .10,4⎛⎫ ⎪⎝⎭D .10,9⎛⎫ ⎪⎝⎭9.(2023ꞏ全国ꞏ高三专题练习)已知函数lg ,0()lg(),0x x g x x x ⎧>⎪=⎨--<⎪⎩,若关于x 的方程()()5222g x g x -+=有四个不等根1234,,,x x x x ,则()()()()12341234x x x x g x g x g x g x +++++++的值是( )A .0B .2C .4D .810.(2023秋ꞏ宁夏ꞏ高三宁夏大学附属中学校考阶段练习)已知函数22,0(){|log |,0x x f x x x +≤=>,若关于x 的方程()()f x a a R =∈有四个不同实数解1234,,,x x x x ,且1234x x x x <<<,则1234x x x x +++的取值范围为 ( ) A .1(2,4-B .1[2,]4-C .[2,)-+∞D .(2,)-+∞11.(2023秋ꞏ湖北武汉ꞏ高一期末)已知函数()()2242,1,log 1,1,x x x f x x x ⎧++≤⎪=⎨->⎪⎩,若关于x 的方程()f x t =有四个不同的实数解1x ,2x ,3x ,4x ,且1234x x x x <<<,则)1234122x x x x ++的最小值为( ) A .72B .8C .92D .1212.(2023秋ꞏ河南郑州ꞏ高一新密市第一高级中学校考阶段练习)已知函数()()22log 1,131255,322x x f x x x x ⎧+-<≤⎪=⎨-+>⎪⎩,若关于x 的方程()f x m =有四个不同的实数解1234,,,x x x x ,且满足1234x x x x <<<,则下列结论正确的是( )A .121x x =-B .[]3421,25x x ∈C .3422x x +=D .12111x x +=- 13.(2023秋ꞏ江西上饶ꞏ高一统考期末)已知函数()()221,0log ,0x x f x x x ⎧+≤⎪=⎨>⎪⎩,若方程()f x a =有四个不同的实数解1x ,2x ,3x ,4x 且1234x x x x <<<,则()3122342x x x x x -+的取值范围是( ) A .()4,5 B .(]4,5C .()4,+∞D .[)4,+∞14.(2023春ꞏ全国ꞏ高三校联考专题练习)已知函数11()||||f x x a x b xa x=++-+--有五个不同的零点,且所有零点之和为52,则实数b 的值为( )A .1B .3C .5D .7二、多选题15.(2023秋ꞏ云南昆明ꞏ高一统考期末)已知函数ln(2),(2,0]()(2),(0,2]x x f x f x x ⎧+∈-=⎨-∈⎩,函数()y f x m =-有四个不同的零点,且从小到大依次为1x ,2x ,3x ,4x ,则下列结论正确的是( )A .121=x xB .1201≤<x xC .341x x =D .2410-<≤x x16.(2023ꞏ全国ꞏ高三专题练习)已知函数()e ,0,lg ,010,11,10,x x x f x x x x x ⎧⋅≤⎪=<<⎨⎪-+≥⎩,若22()3()()2g x f x mf x m =--有6个不同的零点分别为123456,,,,,x x x x x x ,且()()()123456345,x x x x x x f x f x f x <<<<<==,则下列说法正确的是( )A .当0x ≤时,()10ef x -≤≤B .34x x +的取值范围为1012,10⎛⎫⎪⎝⎭C .当0m <时,()()()()1234563f x f x f x x x f x +++的取值范围为1,0e ⎛⎫- ⎪⎝⎭D .当0m >时,()()()()1234563f x f x f x x x f x +++的取值范围为20,3e ⎛⎫⎪⎝⎭17.(2023ꞏ全国ꞏ高三专题练习)设函数22,0()ln ,0x x x f x x x ⎧--⎪=⎨>⎪⎩…,则下列命题中正确的是( )A .若方程()f x a =有四个不同的实根1x ,2x ,3x ,4x ,则1234x x x x ⋅⋅⋅的取值范围是(0,1)B .若方程()f x a =有四个不同的实根1x ,2x ,3x ,4x ,则1234x x x x +++的取值范围是(0,)+∞C .若方程()f x ax =有四个不同的实根,则a 的取值范围是10,e ⎛⎫⎪⎝⎭D .方程21()()()10f x a f x a-++=的不同实根的个数只能是1,2,3,618.(2023秋ꞏ辽宁大连ꞏ高一育明高中校考期末)已知函数()()22log 2,241617,42x x f x x x x ⎧-<≤⎪=⎨-+>⎪⎩,若方程()f x m =有四个不同的实根1234,,,x x x x ,满足1234x x x x <<<,则下列说法正确的是( )A .()121242x x x x +=+B .3412x x +=C .()3432,34x x ∈D .函数()()()()21g x f x m f x m =+--的零点为12346,,,,x x x x19.(2023秋ꞏ山西太原ꞏ高一古交市第一中学校校考阶段练习)已知函数22log ,02()813,2x x f x x x x ⎧<<=⎨-+≥⎩,若f (x )=a 有四个不同的实数解x 1,x 2,x 3,x 4,且满足x 1<x 2<x 3<x 4,则下列命题正确的是( ) A .0<a <1B.12922x x ⎡⎫+∈⎪⎢⎣⎭C .12342110,2x x x x ⎛⎫+++∈ ⎪⎝⎭D.)122x x ⎡+∈⎣20.(2023秋ꞏ重庆铜梁ꞏ高一校考期中)已知奇函数()f x 的定义域为R ,()3f x +为偶函数,且()f x 在[]0,3上单调递减.若关于x 的方程()f x a =在区间[]12,12-上有4个不同的根1234,,,x x x x ,则( ) A .()()6f x f x =+B .()f x 的图象关于直线3x =对称C .1234x x x x +++的值可能为12-D .1234x x x x +++的值可能为1221.(2023ꞏ全国ꞏ高三专题练习)设函数()2101,0lg ,0x x x f x x x ⎧++≤⎪=⎨>⎪⎩,若关于x 的方程()()f x a a R =∈有四个实数解1234,,,x x x x ,且1234x x x x <<<,则()()1234x x x x +-的值可能是( ) A .0B .1C .99D .100三、填空题22.(2023秋ꞏ石河子一中校考阶段练习)已知函数()2e ,0ln ,>0x x x f x x x ⎧-≤⎪=⎨⎪⎩,若函数()y f x b=-有四个不同的零点1x 、2x 、3x 、4x ,且1234x x x x <<<,则以下结论正确的是_____.①22342x x +>;②20eb <<; ③122x x +=-; ④()13422x x x x +<-.23.(2023ꞏ贵州贵阳ꞏ校联考模拟预测)已知函数()()22log 1,13,1910,3,22x x f x x x x ⎧-<≤⎪=⎨-+>⎪⎩若方程()f x m =有四个不同的实根1234,,,x x x x ,满足1234x x x x <<<,则()()()()34121111x x x x ----的取值范围是______.24.(2023秋ꞏ河南郑州ꞏ高一郑州市第七中学校考期末)已知函数()()2121xx f x f x x ⎧≤⎪=⎨->⎪⎩,,,若方程()f x a =有四个不相等的实数根1x ,2x ,3x ,4x ,则22222341x x x x +++的取值范围为__________.25.(2023春ꞏ广东揭阳ꞏ高一校考阶段练习)已知函数()()ln ,036,36x x f x f x x ⎧<≤⎪=⎨-<<⎪⎩,若当方程()f x m =有四个不等实根()12341234,,,x x x x x x x x <<<时,不等式22341230kx x x x k ++≤+恒成立,则实数k 的最大值为____________.26.(2023秋ꞏ江西宜春ꞏ高一江西省丰城中学校考阶段练习)设()()ln ,024,24x x f x f x x ⎧<≤⎪=⎨-<<⎪⎩若方程()f x m =有四个不相等的实根()1,2,3,4i x i =,且1234x x x x <<<,则()2221234x x x x +++的取值范围为___________.27.(2023秋ꞏ湖北ꞏ高一赤壁一中校联考阶段练习)()22log ,0269,2x x f x x x x ⎧<<=⎨-+≥⎩,若关于x 的方程()()()()222100f x t f x t t t -+++=≤有且仅有四个不相等的实数根1x 、2x 、3x 、()41234x x x x x <<<,则1234x x x x t +++的取值范围为__________.28.(2023ꞏ江苏ꞏ高一期末)已知函数22122,0()2log ,0x x x f x x x ⎧++≤⎪=⎨⎪>⎩,若关于x 的方程 f (x ) =a 有四个不同的解1234,,,x x x x ,且1234x x x x <<<,则212344x x x x x ++的取值范围是 _________ 29.(2023秋ꞏ河南濮阳ꞏ高三濮阳南乐一高校考阶段练习)已知函数()()()333322f x x a x b x a x =++-+--有五个不同的零点,且所有零点之和为52,则实数b 的值为______.30.(2023秋ꞏ福建福州ꞏ高一福州四中校考期末)已知函数22sin (10)()44(01)log (1)x x f x x x x x x π-<⎧⎪=-<⎨⎪-⎩………,若()()h x f x a =-有5个零点,则这五个零点之和的取值范围是____________. 四、双空题31.(2023秋ꞏ江西抚州ꞏ高二校联考阶段练习)已知函数ln ,02()(4),24x x f x f x x ⎧<≤=⎨-<<⎩,若当方程()f x m =有四个不等实根1x 、2x 、3x 、4x ,(1x <2x <3x <4x ) 时,不等式22341211kx x x x k ⋅++≥+恒成立,则x 1ꞏx 2=________,实数k 的最小值为___________.32.(2023秋ꞏ天津和平ꞏ高三耀华中学校考阶段练习)设()()ln ,024,24x x f x f x x ⎧<≤⎪=⎨-<<⎪⎩,若方程() f x m =恰有三个不相等的实根,则这三个根之和为________;若方程() f x m =有四个不相等的实根()1,2,3,4i x i =,则()2221234x x x x +++的取值范围为______. 33.(2023ꞏ全国ꞏ高三专题练习)已知函数()12,011,04x e x f x x x x -⎧>⎪=⎨--+≤⎪⎩ ,若函数3()()2g x f x =-有4个零点1x ,2x ,3x ,4x ,则1234x x x x +++=____________;若关于x 的方程25()()02f x f x a -+= ()a R ∈有8个不相等的实数根,则a 的取值范围是____________. 34.(2023秋ꞏ广东汕头ꞏ高一统考期末)设函数()22122,02log ,0x x x f x x x ⎧++≤⎪=⎨⎪>⎩,若关于x 的方程()f x m =有四个不同的解,1x ,2x ,3x ,4x ,且1234x x x x <<<,则m 的取值范围是_____,1234244x x x x x ++的取值范围是__________.参考答案一、单选题1.(2023·全国·高三专题练习)设函数()22,0ln ,0x x x f x x x ⎧--≤⎪=⎨>⎪⎩①若方程()f x a =有四个不同的实根1x ,2x ,3x ,4x ,则1234x x x x ⋅⋅⋅的取值范围是()0,1②若方程()f x a =有四个不同的实根1x ,2x ,3x ,4x ,则1234x x x x +++的取值范围是()0,∞+ ③若方程()f x ax =有四个不同的实根,则a 的取值范围是10,e ⎛⎫⎪⎝⎭④方程()()2110f x a f x a ⎛⎫-++= ⎪⎝⎭的不同实根的个数只能是1,2,3,6四个结论中,正确的结论个数为( ) A .1 B .2C .3D .4【答案】B【过程解析】对于①:作出()f x 的图像如下:若方程()f x a =有四个不同的实根1x ,2x ,3x ,4x ,则01a <<,不妨设1234x x x x <<<, 则1x ,2x 是方程220x x a ---=的两个不等的实数根,3x ,4x 是方程|ln |x a =的两个不等的实数根,所以12x x a =,34ln ln x x -=,所以43ln ln 0x x +=,所以341x x =, 所以1234(0,1)x x x x a =∈,故①正确;对于②:由上可知,122x x +=-,34ln ln x x a -==,且01a <<, 所以341x x =,所以31,1ex ⎛⎫∈ ⎪⎝⎭,4e (1,)x ∈,所以344411(2,e ex x x x +=+∈+, 所以12341(0,e e2)x x x x +++∈+-,故②错误;对于③:方程()f x ax =的实数根的个数,即为函数()y f x =与y ax =的交点个数,因为y ax =恒过坐标原点,当0a =时,有3个交点,当a<0时最多2个交点,所以0a >, 当y ax =与ln (1)y x x =>相切时,设切点为()00,ln x x , 即1y x '=,所以0000ln 1|x x x y x x ='==,解得0e x =,所以0e 1|x x y ='=,所以1ea =,所以当y ax =与ln (1)y x x =>相切时, 即1ea =时,此时有4个交点,若()f x ax =有4个实数根,即有4个交点,当1e>a 时由图可知只有3个交点,当10e a <<时,令()ln g x x ax =-,()1,x ∈+∞,则()11ax g x a x x-'=-=,则当11x a <<时()0g x '>,即()g x 单调递增,当1x a>时()0g x '<,即()g x 单调递减, 所以当1x a =时,函数取得极大值即最大值,()max 1ln 10g x g a a ⎛⎫==--> ⎪⎝⎭, 又()10g a =-<及对数函数与一次函数的增长趋势可知,当x 无限大时()0g x <,即()g x 在11,a ⎛⎫ ⎪⎝⎭和1,a ⎛⎫+∞ ⎪⎝⎭内各有一个零点,即()f x ax =有5个实数根,故③错误; 对于④:21()(()10f x a f x a -++=,所以1[()][()]0f x a f x a--=, 所以()f x a =或1()f x a =, 由图可知,当1m >时,()f x m =的交点个数为2, 当1m =,0时,()f x m =的交点个数为3, 当01m <<时,()f x m =的交点个数为4, 当0m <时,()f x m =的交点个数为1,所以若1a >时,则1(0,1)a∈,交点的个数为246+=个, 若1a =时,则11a=,交点的个数为3个,若01a <<,则11a>,交点有426+=个, 若a<0且1a ≠-时,则10a<且1a a ≠,交点有112+=个,若11a a=-=,交点有1个,综上所述,交点可能有1,2,3,6个,即方程不同实数根1,2,3,6,故④正确; 故选:B .2.(2023·全国·高三专题练习)已知函数()()221,0log ,0x x f x x x ⎧+≤⎪=⎨>⎪⎩,若方程()f x a =有四个不同的解1234,,,,x x x x 且1234x x x x <<<,则()3122341x x x x x ⋅++⋅的取值范围是( ) A .(]1,1- B .[]1,1-C .[)1,1-D .()1,1-【答案】A【过程解析】21log 12x x =-⇒=. 先作()f x 图象,由图象可得12343121,1.2x x x x x ⎡⎫+=-=∈⎪⎢⎣⎭,,因此()31232343112x x x x x x x ⋅++=-+⋅为1,12⎡⎫⎪⎢⎣⎭单调递减函数, 11121,2111212-⨯+=-⨯+=-, 从而()(]31223411,1x x x x x ⋅++∈-⋅. 故选:A3.(2023秋·四川泸州·高一四川省泸县第四中学校考阶段练习)已知函数()32log ,031108,333x x f x x x x ⎧<≤⎪=⎨-+>⎪⎩,若方程()f x m =有四个不同的实根1x ,2x ,3x ,4x ,满足1234x x x x <<<,则()()341233x x x x --的取值范围是( )A .()0,3B .(]0,4C .(]3,4D .()1,3【答案】A【过程解析】作出函数()32log ,031108,333x x f x x x x ⎧<≤⎪=⎨-+>⎪⎩的图象,如图所示:方程()f x m =有四个不同的实根1x ,2x ,3x ,4x ,满足1234x x x x <<<, 则01m <<,()33,4x ∈3log x m =即:3231log ,log x m x m ==-,所以3231log log 0x x +=, 321log 0x x =,所以211x x =,根据二次函数的对称性可得:3410x x +=,()()()()341212343423333391*********x x x x x x xx x x x x x x --==-+--=-+-+,()33,4x ∈考虑函数()21021,3,4y x x x =-+-∈单调递增,3,0x y ==,4,3x y ==所以()33,4x ∈时2331021x x -+-的取值范围为()0,3.故选:A4.(2023·全国·高三专题练习)已知函数f (x )=11,1211,12xx x x ⎧⎛⎫-⎪ ⎪⎪⎝⎭⎨⎪-+>⎪⎩…,若互不相等的实数x 1,x 2,x 3满足f (x 1)=f (x 2)=f (x 3),则123111222x x x⎛⎫⎛⎫⎛⎫+ ⎪ ⎪ ⎪⎝⎭⎝⎭+⎭⎝的取值范围是( )A .(95,42)B .(1,4)C .4)D .(4,6)【答案】A【过程解析】画出分段函数f (x )=11,1211,12xx x x ⎧⎛⎫-⎪ ⎪⎪⎝⎭⎨⎪-+>⎪⎩…的图像如图:令互不相等的实数x 1,x 2,x 3满足f (x 1)=f (x 2)=f (x 3)=t ,t ∈(0,12), 则x 1∈22(log ,0)3,x 2∈(0,1),x 3∈(1,2), 则123111222xxx⎛⎫⎛⎫⎛⎫+ ⎪ ⎪ ⎪⎝⎭⎝⎭+⎭⎝=1+t +1﹣t +22t ﹣2=2+22t ﹣2, 又t ∈(0,12),∴123111222x x x⎛⎫⎛⎫⎛⎫+ ⎪ ⎪ ⎪⎝⎭⎝⎭+⎭⎝∈(95,42).故选:A .5.(2023·全国·高三专题练习)已知定义域为()0,6的函数()y f x =的图象关于3x =对称,当(]0,3x ∈时,()ln f x x =,若方程()f x t =有四个不等实根1x ,2x ,3x ,()41234x x x x x <<<时,都有()223412190k x x x x -++-≥成立,则实数k 的最小值为( )A .724 B .13C .12D .113【答案】A【过程解析】作出函数()f x 的图象,如图,作直线y t =,它与()f x 图象的四个交点的横坐标依次为1x ,2x ,3x ,()41234x x x x x <<<,因为函数()y f x =的图象关于3x =对称,所以32416,6x x x x =-=-,12ln ln x x -=,即121=x x ,且213x <<,显然341x x >,不等式()223412190k x x x x -++-≥变形为2212349()1x x k x x -+≥-,3421121212(6)(6)366()376()x x x x x x x x x x =--=-++=-+,222212121212()2()2x x x x x x x x +=+-=+-,所以222121234129()11()1366()x x x x x x x x -+-+=--+,由勾形函数性质知12221x x x x +=+在2(1,3)x ∈时是增函数,所以12221102,3x x x x ⎛⎫+=+∈ ⎪⎝⎭, 令12t x x =+,则102,3t ⎛⎫∈ ⎪⎝⎭,211()6(6)t g t t -=-2116(6)t t -=-,22(6)25()6(6)t g t t --'=-,当102,3t ⎛⎫∈ ⎪⎝⎭时,()0g t '<,()g t 单调递减,所以7()(2)24g t g <=,所以724k ≥,即k 的最小值是724. 故选:A .6.(2023·全国·高三专题练习)已知函数()22,0,()2,0xx x f x g x x x e x >⎧==-+⎨≤⎩(其中e 是自然对数的底数),若关于x 的方程(())0g f x m -=恰有三个不等实根123,,x x x ,且123x x x <<,则21322x x x --的最小值为( )A .ln 33-B .3ln 22-C .ln 23-D .1-【答案】A【过程解析】由题意设()f x t =,根据方程(())0g f x m -=恰有三个不等实根, 即2()20g t t t m =-+-=必有两个不相等的实根12,t t ,不妨设12t t <122t t ∴+=,则212t t =-,作出()f x 的图象,函数y t =与()f x 三个不等实根123,,x x x ,且123x x x <<,那么1221xx e t ==,可得312x t =-,101t <≤,所以21311223ln 4x x x t t --=--,构造新函数1()3ln 4(01),()3h t t t t h t t'=--<≤=-当()0h t '<时,10,,()3t h t ⎛⎫∈∴ ⎪⎝⎭在10,3⎛⎫⎪⎝⎭单调递减;当()0h t '>时,1,1,()3t h t ⎛⎫∈∴ ⎪⎝⎭在1,13⎛⎫ ⎪⎝⎭单调递增;∴当13t =时,(t)h 取得最小值为ln 33-,即21322x x x --的最小值为ln 33-; 故选:A7.(2023·吉林长春·东北师大附中校考模拟预测)已知函数3e ,0()3,0x x f x x x ⎧≤=⎨>⎩,()22g x x x =-+(其中e 是自然对数的底数),若关于x 的方程()(())F x g f x m =-恰有三个不同的零点123,,x x x ,且123x x x <<,则12333x x x -+的最大值为( )A .31ln 4+B .41ln 3+C .3ln 3-D .3ln 3+【答案】A【过程解析】由()f x 过程解析式,在(,0]-∞上()f x 单调递增且值域为(0,1],在(0,)+∞上()f x 单调递增且值域为(0,)+∞, 函数()f x 图象如下:所以,()f x 的值域在(0,1]上任意函数值都有两个x 值与之对应,值域在(1,)+∞上任意函数值都有一个x 值与之对应,要使()(())F x g f x m =-恰有三个不同的零点123,,x x x ,则()g x 与y m =的交点横坐标一个在(0,1]上,另一个在(1,)+∞上,由2()2g x x x =-+开口向下且对称轴为1x =,由上图知:01m <<,此时12()()g t g t m ==且12012t t <<<<,122t t +=,结合()f x 图象及123x x x <<有1321e 3xx t ==,323x t =,则112123ln ,,333t t tx x x ===, 所以11123121433ln ln 233t tx x x t t t -+=-+=-+,且101t <<, 令4()ln 23h x x x =-+且01x <<,则1434()33xh x x x -=='-,当3(0,4x ∈时()0h x '>,()h x 递增;当3(,1)4x ∈时()0h x '<,()h x 递减;所以max 33()()ln 144h x h ==+,故12333x x x -+最大值为3ln 14+.故选:A8.(2023·全国·高三专题练习)已知函数()22322,,log ,,x mx m x m f x x x m ⎧-++≤⎪=⎨>⎪⎩,其中01m <<,若存在实数a ,使得关于x 的方程()f x a =恰有三个互异的实数解,则实数m 的取值范围是( ) A .1,14⎛⎫⎪⎝⎭B .1,19⎛⎫ ⎪⎝⎭C .10,4⎛⎫ ⎪⎝⎭D .10,9⎛⎫ ⎪⎝⎭【答案】D【过程解析】因为01m <<, 所以()f x 的大致图象,如图所示:当x m ≤时,()()222f x x m =-+≥,因为存在实数a ,使得关于x 的方程()f x a =恰有三个互异的实数解, 所以3log 2m >,又01m <<, 解得109m <<, 故选:D9.(2023·全国·高三专题练习)已知函数lg ,0()lg(),0x x g x x x ⎧>⎪=⎨--<⎪⎩,若关于x 的方程()()5222g x g x -+=有四个不等根1234,,,x x x x ,则()()()()12341234x x x x g x g x g x g x +++++++的值是( )A .0B .2C .4D .8【答案】A【过程解析】由方程()()5222g x g x -+=可得()1g x =±, 因为函数lg ,0()lg(),0x x g x x x ⎧>⎪=⎨--<⎪⎩, 设0x >,则0x -<,则()()|lg |(|lg ()|)|lg ||lg |0g x g x x x x x +-=+---=-=, 所以()g x 为奇函数且1x ,2x ,3x ,4x 是()1g x =±的根, 所以12340x x x x +++=,不妨有12()()1g x g x ==-,34()()1g x g x ==, 所以1234()()()()0g x g x g x g x +++=.故12341234()()()()x x x x g x g x g x g x +++++++的值是0. 故选:A .10.(2023秋·宁夏·高三宁夏大学附属中学校考阶段练习)已知函数22,0(){|log |,0x x f x x x +≤=>,若关于x 的方程()()f x a a R =∈有四个不同实数解1234,,,x x x x ,且1234x x x x <<<,则1234x x x x +++的取值范围为 ( ) A .1(2,4-B .1[2,]4-C .[2,)-+∞D .(2,)-+∞【答案】A【过程解析】作出函数()f x 的图象,如图,作直线y a =,当02a <≤时,直线y a =与函数()f x 图象有四个交点,由图象知124x x +=-,2324log log x x -=,即341x x =,(0)2f =, 2log 2x -=,14x =,所以3114x ≤<, 所以12343314x x x x x x +++=-++,由对勾函数性质知函数3314y x x =-++在31,14x ⎡⎫∈⎪⎢⎣⎭上是减函数,所以31,14x ⎡⎫∈⎪⎢⎣⎭时,331142,4y x x ⎛⎤=-++∈- ⎥⎝⎦.故选:A .11.(2023秋·湖北武汉·高一期末)已知函数()()2242,1,log 1,1,x x x f x x x ⎧++≤⎪=⎨->⎪⎩,若关于x 的方程()f x t =有四个不同的实数解1x ,2x ,3x ,4x ,且1234x x x x <<<,则)1234122x x x x ++的最小值为( ) A .72B .8C .92D .12【答案】D【过程解析】函数图像如图所示,()17f =,(]0,7t ∈,1234212x x x x <-<≤<<<,124x x +=-,由()()()()()()333433434log 1log 1log 110111x x x x x x --=-⇒--=⇒--=,∴()()34342112122251x x x x =-+++-5922≥=, 当且仅当343,32x x ==时,等号成立,此时1t =;)()2212121212422x x x x x x x x ⎛⎫+⎛⎫-=-≥-=-=- ⎪ ⎪ ⎪⎝⎭⎝⎭,当且仅当1222x x =-=-+1t =.所以)1234122x x x x ++的最小值为91422-=. 故选:D12.(2023秋·河南郑州·高一新密市第一高级中学校考阶段练习)已知函数()()22log 1,131255,322x x f x x x x ⎧+-<≤⎪=⎨-+>⎪⎩,若关于x 的方程()f x m =有四个不同的实数解1234,,,x x x x ,且满足1234x x x x <<<,则下列结论正确的是( )A .121x x =-B .[]3421,25x x ∈C .3422x x +=D .12111x x +=- 【答案】D【过程解析】作函数()y f x =和y m =的图象,如图所示:当1m =时,()()2122log 1log 1x x +=+,即()()2122log 11,log 11x x +=-+=,解得121,12x x =-=,此时1212x x =-,故A 错误;结合图象知,02m <<,当3x >时,可知34,x x 是方程()2125522f x x x m =-+=,即2102520x x m -+-=的二根,故3410x x +=,()3425221,25x x m =-∈,端点取不到,故BC错误;当13x -<≤时,()()2122log 1log 1x x +=+,即()()2122log 1log 1x x -+=+, 故()2221log log 111x x =++,即21111x x =++,所以()()21111x x ++=, 故1212x x x x +=-,即12121x x x x +=-,所以12111x x +=-,故D 正确. 故选:D.13.(2023秋·江西上饶·高一统考期末)已知函数()()221,0log ,0x x f x x x ⎧+≤⎪=⎨>⎪⎩,若方程()f x a=有四个不同的实数解1x ,2x ,3x ,4x 且1234x x x x <<<,则()3122342x x x x x -+的取值范围是( )A .()4,5B .(]4,5C .()4,+∞D .[)4,+∞【答案】B【过程解析】作出函数()221,0()log ,0x x f x x x ⎧+≤⎪=⎨>⎪⎩的图象如下:因为方程()f x a =有四个不同的解1x ,2x ,3x ,4x ,且1234x x x x <<<, 所以有122x x +=-,341x x =, 故3123234322()2x x x x x x x -+=+, 再由2log 1x =可得2x =或12x =,即3112x <≤, 令2()2g x x x =+,(112x ≤<), 任取12112x x ≤<<,则120x x -<,12110x x ->, 所以()12121212122211()()2222g x g x x x x x x x x x ⎛⎫⎛⎫⎛⎫-=+-+=-+- ⎪ ⎪ ⎪⎝⎭⎝⎭⎝⎭()12121210x x x x ⎛⎫=--< ⎪⎝⎭,即12()()<g x g x , 所以函数2()2g x x x =+在1,12⎡⎫⎪⎢⎣⎭上单调递减, 又152g ⎛⎫= ⎪⎝⎭,4(1)g =,所以()(4,5]g x ∈.即3122342()x x x x x -+的取值范围是(4,5]. 故选:B.14.(2023春·全国·高三校联考专题练习)已知函数11()||||f x x a x b x a x=++-+--有五个不同的零点,且所有零点之和为52,则实数b 的值为( ) A .1 B .3 C .5 D .7【答案】C【过程解析】因为11()||||f x x a x b x a x =++-+--,11()||||()f a x a x x b f x a x x-=-+++-=-,所以函数()f x 的图象关于直线2ax =对称, 设五个零点分别为12345,,,,x x x x x ,且12345x x x x x <<<<, 则15243,,2a x x a x x a x +=+==, 所以1234555222a a x x x x x a a ++++=++==,所以1a =, 则312x =,由3333311()|||1|01f x x x b x x =++-+-=-,可得11|2||12|22b ++-+=,则5b =.故选:C. 二、多选题15.(2023秋·云南昆明·高一统考期末)已知函数ln(2),(2,0]()(2),(0,2]x x f x f x x ⎧+∈-=⎨-∈⎩,函数()y f x m =-有四个不同的零点,且从小到大依次为1x ,2x ,3x ,4x ,则下列结论正确的是( )A .121=x xB .1201≤<x xC .341x x =D .2410-<≤x x【答案】BCD【过程解析】因为ln(2),(2,0]()(2),(0,2]x x f x f x x ⎧+∈-=⎨-∈⎩,所以当(2,0]x ∈-时,()ln(2)f x x =+, 当2(]0,x ∈时,()(2)f x f x =-,所以2(2,0]x -∈-时,(2)ln(22)ln f x x x -=-+=, 所以ln(2),(2,0]()ln ,(0,2]x x f x x x ⎧+∈-⎪=⎨∈⎪⎩, 作出()f x 的图象如图所示,若()f x m =有4个解,则()y f x =与y m =的图象有4个交点,如图(0,ln 2]m ∈,所以1113,1,()ln(2)2x f x x ⎡⎫∈--=-+⎪⎢⎣⎭,(]2221,0,()ln(2)x f x x ∈-=+,由12()()f x f x =,得12ln(2)ln(2)x x -+=+, 即12ln(2)ln(2)0x x +++=,所以12ln[(2)(2)]0x x ++=,所以12(2)(2)1x x ++=, 所以12122()30x x x x +++=,当20x =时,120x x =; 当20x <时,由基本不等式可得12x x +<-所以1230x x ->,解得01<<3>(舍); 所以12[0,1)x x ∈, 所以A 错误,B 正确,对于C ,3331,1,()ln 2x f x x ⎡⎫∈=-⎪⎢⎣⎭,(]4441,2,()ln x f x x ∈=,因为34()()f x f x =,所以34ln ln x x -=,所以34ln ln 0x x +=,即()34ln 0x x =, 所以341x x =,所以C 正确,对于D ,因为2424(1,0],(1,2],2x x x x ∈-∈+=,所以()()224222211(1,0]x x x x x =+=+-∈-,所以D 正确. 故选:BCD16.(2023·全国·高三专题练习)已知函数()e ,0,lg ,010,11,10,x x x f x x x x x ⎧⋅≤⎪=<<⎨⎪-+≥⎩,若22()3()()2g x f x mf x m =--有6个不同的零点分别为123456,,,,,x x x x x x ,且()()()123456345,x x x x x x f x f x f x <<<<<==,则下列说法正确的是( )A .当0x ≤时,()10ef x -≤≤B .34x x +的取值范围为1012,10⎛⎫⎪⎝⎭C .当0m <时,()()()()1234563f x f x f x x x f x +++的取值范围为1,0e ⎛⎫- ⎪⎝⎭D .当0m >时,()()()()1234563f x f x f x x x f x +++的取值范围为20,3e ⎛⎫⎪⎝⎭【答案】AC【过程解析】当0x ≤时,()e x f x x =⋅,此时()(1)e x f x x '=+⋅,令()0f x '>,解得10-<≤x ,令()0f x '<,解得1x <-,可得()f x 在(,1)-∞-上单调递减,在(1,0)-上单调递增,且1(1),(0)0ef f -=-=,∴当0x ≤时,1()0ef x -≤≤,故A 正确; 作出如图所示图像:由22()3()()2g x f x mf x m =--有6个不同的零点, 等价于223()()20f x mf x m --=有6个不同的实数根, 解得()f x m =或2()3m f x =-, ∵341x x ⋅=,∴若343311012,10x x x x ⎛⎫+=+∈ ⎪⎝⎭,可得31110x <<,而当0m >时,120e 3m -<-<,可得302e m <<,而3112e 10f ⎛⎫<= ⎪⎝⎭;当0m <时,10e m -<<,可得22033e m <-<而2113e 10f ⎛⎫<= ⎪⎝⎭, 故3x 的范围为1,110⎛⎫ ⎪⎝⎭的子集,34x x +的取值范围不可能为1012,10⎛⎫⎪⎝⎭,故B 选项错误;该方程有6个根,且()()()345f x f x f x ==,知341x x ⋅=且()()()126f x f x f x ==,当0m <时,()()()1261,0e f x f x f x m ⎛⎫===∈- ⎪⎝⎭,()()()3452(0,1)3m f x f x f x ===-∈,联立解得1,0e m ⎛⎫∈- ⎪⎝⎭, ()()()()()()12345615133332,0e f x f x f x x x f x f x f x m m m ⎛⎫+++=+=-=∈- ⎪⎝⎭,故C 正确;当0m >时,()()()12621,03e m f x f x f x ⎛⎫===-∈- ⎪⎝⎭, ()()()345(0,1)f x f x f x m ===∈,联立解得30,2e m ⎛⎫∈ ⎪⎝⎭,()()()()()()123456153333230,2e f x f x f x x x f x f x f x m m m ⎛⎫+++=+=-+=∈ ⎪⎝⎭.故D 错误.故选:AC.17.(2023·全国·高三专题练习)设函数22,0()ln ,0x x x f x x x ⎧--⎪=⎨>⎪⎩…,则下列命题中正确的是( )A .若方程()f x a =有四个不同的实根1x ,2x ,3x ,4x ,则1234x x x x ⋅⋅⋅的取值范围是(0,1)B .若方程()f x a =有四个不同的实根1x ,2x ,3x ,4x ,则1234x x x x +++的取值范围是(0,)+∞C .若方程()f x ax =有四个不同的实根,则a 的取值范围是10,e ⎛⎫⎪⎝⎭D .方程21()()()10f x a f x a -++=的不同实根的个数只能是1,2,3,6【答案】AD【过程解析】对于A :作出()f x 的图像如下:若方程()f x a =有四个不同的实根1x ,2x ,3x ,4x ,则01a <<,不妨设1234x x x x <<<, 则1x ,2x 是方程220x x a ---=的两个不等的实数根,3x ,4x 是方程|ln |x a =的两个不等的实数根,所以12x x a =,34ln ln x x -=,所以43ln ln 0x x +=,所以341x x =, 所以1234(0,1)x x x x a =∈,故A 正确;对于B :由上可知,122x x +=-,34ln ln x x a -==,且01a <<, 所以341x x =,所以31,1ex ⎛⎫∈ ⎪⎝⎭,4e (1,)x ∈,所以344411(2,1)e x x x x +=+∈+,所以12341(0,1)ex x x x +++∈+,故B 错误;对于C :方程()f x ax =的实数根的个数,即可函数()y f x =与y ax =的交点个数,因为y ax =恒过坐标原点,当0a =时,有3个交点,当a<0时最多2个交点,所以0a >, 当y ax =与ln (1)y x x =>相切时,设切点为()00,ln x x , 即1y x '=,所以0000ln 1|x x x y x x ='==,解得0e x =,所以0e 1|x x y ='=,所以1ea =,所以当y ax =与ln (1)y x x =>相切时, 即1ea =时,此时有4个交点,若()f x ax =有4个实数根,即有4个交点,当1e>a 时由图可知只有3个交点,当10e a <<时,令()ln g x x ax =-,()1,x ∈+∞,则()11ax g x a x x-'=-=,则当11x a <<时()0g x '>,即()g x 单调递增,当1x a >时()0g x '<,即()g x 单调递减,所以当1x a =时,函数取得极大值即最大值,()max 1ln 10g x g a a ⎛⎫==--> ⎪⎝⎭,又()10g a =-<及对数函数与一次函数的增长趋势可知,当x 无限大时()0g x <,即()g x 在11,a ⎛⎫ ⎪⎝⎭和1,a ⎛⎫+∞ ⎪⎝⎭内各有一个零点,即()f x ax =有5个实数根,故C 错误; 对于D :21()()()10f x a f x a -++=,所以1[()][()]0f x a f x a--=,所以()f x a =或1()f x a=, 由图可知,当1m >时,()f x m =的交点个数为2, 当1m =,0时,()f x m =的交点个数为3, 当01m <<时,()f x m =的交点个数为4, 当0m <时,()f x m =的交点个数为1,所以若1a >时,则1(0,1)a∈,交点的个数为246+=个, 若1a =时,则11a=,交点的个数为3个, 若01a <<,则11a>,交点有426+=个, 若a<0且1a ≠-时,则10a<且1a a ≠,交点有112+=个,若11a a=-=,交点有1个,综上所述,交点可能由1,2,3,6个,即方程不同实数根1,2,3,6,故D 正确; 故选:AD .18.(2023秋·辽宁大连·高一育明高中校考期末)已知函数()()22log 2,241617,42x x f x x x x ⎧-<≤⎪=⎨-+>⎪⎩,若方程()f x m =有四个不同的实根1234,,,x x x x ,满足1234x x x x <<<,则下列说法正确的是( )A .()121242x x x x +=+B .3412x x +=C .()3432,34x x ∈D .函数()()()()21g x f x m f x m =+--的零点为12346,,,,x x x x【答案】BCD【过程解析】由过程解析式可得()f x 图象如下图所示:若()f x m =有四个不同的实数根,则()f x 与y m =有四个不同的交点, 由图象可知:123423468x x x x <<<<<<<<,01m <<; 对于A ,()()12f x f x = ,即()()2122log 2log 2x x -=-,()()2122log 2log 2x x ∴--=-,()22211log log 22x x ∴=--,()()12221x x ∴--=, 整理可得:()1212412x x x x +=++,A 错误;对于B ,()()34f x f x = ,3x ∴与4x 关于直线6x =对称,3412x x ∴+=,B 正确; 对于C ,3x 与4x 是方程()2161702x m f m x x -+-==-的两根, ()34217342x x m m ∴=-=-,又01m <<,()3432,34x x ∴∈,C 正确;对于D ,()()()()()()211g x f x m f x m f x m f x =+--=-+⎡⎤⎡⎤⎣⎦⎣⎦,由()0g x =得:()f x m =或()1f x =-,()f x m =的根为1234,,,x x x x ;()1f x =-的根为6,()g x ∴的零点为12346,,,,x x x x ,D 正确.故选:BCD.19.(2023秋·山西太原·高一古交市第一中学校校考阶段练习)已知函数22log ,02()813,2x x f x x x x ⎧<<=⎨-+≥⎩,若f (x )=a 有四个不同的实数解x 1,x 2,x 3,x 4,且满足x 1<x 2<x 3<x 4,则下列命题正确的是( )A .0<a <1B.12922x x ⎡⎫+∈⎪⎢⎣⎭C .12342110,2x x x x ⎛⎫+++∈ ⎪⎝⎭D.)122x x ⎡+∈⎣【答案】ACD 【过程解析】函数()f x 的图象如上所示,方程()f x a =的解可以转化为函数()f x 与y a =图象交点的横坐标,由图可知01a <<,故A 正确;由题意可知2122log log x x -=,即212log 0x x =,解得121=x x ,由图可知212x <<,所以1222122x x x x +=+,令2212=+y x x ,则函数2212=+y x x 在()1,2上单调递增,当21x =时,3y =,22x =时,92y =,所以122xx +的范围为93,2⎛⎫⎪⎝⎭,故B 错;函数2813y x x =-+的对称轴为4x =,所以348x x +=,又121=x x ,所以12342218x x x x x x +++=++,函数()22218g x x x =++在()1,2上单调递增,()110g =,()2122g =,所以12342110,2x x x x ⎛⎫+++∈ ⎪⎝⎭,故C 正确;122222x x x x +=+,函数()2222h x x x =+在(上单调递减,)2上单调递增,h=,()13h =,()23h =,所以)122x x ⎡+∈⎣,故D 正确.故选:ACD.20.(2023秋·重庆铜梁·高一校考期中)已知奇函数()f x 的定义域为R ,()3f x +为偶函数,且()f x 在[]0,3上单调递减.若关于x 的方程()f x a =在区间[]12,12-上有4个不同的根1234,,,x x x x ,则( )A .()()6f x f x =+B .()f x 的图象关于直线3x =对称C .1234x x x x +++的值可能为12-D .1234x x x x +++的值可能为12【答案】BCD【过程解析】()()()()()12939366f x f x f x f x f x +=++=--+=--=-+()()()()3333f x f x f x f x =-++=---+=--=.所以()()12f x f x =+,A 错误.因为()()33f x f x +=-+,所以()f x 的图象关于直线3x =对称,B 正确. 画出()f x 的一种可能图象,如图所示,不妨假设1234x x x x <<<.根据对称性有: 当()03a f <<-时,126x x +=-,3418x x +=,123412x x x x +++=,C 正确. 当()30f a <<时,1218x x +=-,346x x +=,123412x x x x +++=-,D 正确. 故选:BCD21.(2023·全国·高三专题练习)设函数()2101,0lg ,0x x x f x x x ⎧++≤⎪=⎨>⎪⎩,若关于x 的方程()()f x a a R =∈有四个实数解1234,,,x x x x ,且1234x x x x <<<,则()()1234x x x x +-的值可能是( )A .0B .1C .99D .100【答案】BC【过程解析】如图所示:因为关于x 的方程()()f x a a R =∈有四个实数解1234,,,x x x x ,且1234x x x x <<<,所以01a <≤.2101y x x =++的对称轴为5x =-,所以1210x x +=-. 因为34lg lg x x =,所以34lg lg 0x x +=,即341x x =,431x x =. 因为3lg 1x ≤,所以31110x ≤<. 所以()()123433110x x x x x x ⎛⎫+-=-- ⎪⎝⎭, 因为110y x x ⎛⎫=-- ⎪⎝⎭,1110x ≤<为减函数,所以()()(]1234330110,99x x x x x x ⎛⎫∈ ⎪⎭-⎝+-=-.故选:BC 三、填空题22.(2023秋·石河子一中校考阶段练习)已知函数()2e ,0ln ,>0xx x f x x x ⎧-≤⎪=⎨⎪⎩,若函数()y f x b=-有四个不同的零点1x 、2x 、3x 、4x ,且1234x x x x <<<,则以下结论正确的是_____.①22342x x +>;②20eb <<; ③122x x +=-; ④()13422x x x x +<-. 【答案】①②④【过程解析】设()2e xg x x =-,其中x ∈R ,则()()21e xg x x '=-+,当1x <-时,()0g x ¢>,此时函数()g x 单调递增, 当1x >-时,()0g x ¢<,此时函数()g x 单调递减, 所以,函数()g x 的极大值为()21eg -=,且当0x <时,()0g x >, 作出函数()f x 、y b =的图象如下图所示:。
1.将函数()2sin 2x f x =的图象向右移动02πϕϕ⎛⎫<<⎪⎝⎭个单位长度,所得的部分图象如右图所示,则ϕ的值为( )A .6πB .3πC .12πD .23π 2.已知函数()sin 23f x x π⎛⎫=+⎪⎝⎭,为了得到()sin 2g x x =的图象,则只需将()f x 的图象( ) A .向右平移3π个长度单位 B .向右平移6π个长度单位 C .向左平移6π个长度单位 D .向左平移3π个长度单位 3.若113sin cos αα+=sin cos αα=( ) A .13- B .13 C .13-或1 D .13或-1 4.2014cos()3π的值为( )A .12B 3C .12-D .3 5.记cos(80),tan 80k -︒=︒那么= ( ).A 21k -B .21k -C 21k -D .21kk -- 6.若sin a = -45,a 是第三象限的角,则sin()4a π+=( ) (A )-7210 (B )210 (C )2 -10 (D )2107.若552)4sin(2cos -=+παα,且)2,4(ππα∈,则α2tan 的值为( )A .34-B .43- C .43 D .34 8.已知函数)sin(cos )cos(sin )(x x x f +=,则下列结论正确的是( )A .)(x f 的周期为πB .)(x f 在)0,2(π-上单调递减C .)(x f 的最大值为2D .)(x f 的图象关于直线π=x 对称9.如图是函数y=2sin (ωx+φ),φ<2π的图象,那么A.ω=1110,φ=6π B.ω=1011,φ=-6π C.ω=2,φ=6π D.ω=2,φ=-6π 10.要得到函数sin(4)3y x π=-的图象,只需要将函数sin 4y x =的图象( ) A .向左平移3π个单位 B .向右平移3π个单位 C .向左平移12π个单位 D .向右平移12π个单位 11.要得到12cos -=x y 的图象,只需将函数x y 2sin =的图象( )A .向右平移4π个单位,再向上平移1个单位 B .向左平移4π个单位,再向下平移1个单位 C .向右平移2π个单位,再向上平移1个单位 D .向左平移2π个单位,再向下平移1个单位 12.将函数()cos f x x =向右平移6π个单位,得到函数()y g x =的图象,则()2g π等于( )A .32B .32-C .12D .12- 13.同时具有性质①最小正周期是π;②图象关于直线3x π=对称;③在[,]63ππ-上是增函数的一个函数为( )A .sin()26x y π=+ B .cos(2)3y x π=+C .sin(2)6y x π=- D .cos()26x y π=- 14.若[]5sin cos ,0,5θθθπ+=∈,则tan θ=( )A .12- B.12 C .-2 D .215.已知1cos(=-cos 2A π+),那么sin 2A π⎛⎫+ ⎪⎝⎭的值是( )A .12- B.12 C .32- D.3216.已知tan (α﹣)=,则的值为( )A .B .2C .2D .﹣217.200sin 501sin10+的值等于( )A .12 B .14 C .1 D .218.已知角α的终边上一点的坐标为(sin 23π,cos 23π),则角α值为A.56πB.23πC.53πD.116π19.已知1cos 62πα⎛⎫-= ⎪⎝⎭,则cos cos 3παα⎛⎫+-= ⎪⎝⎭( )A .12 B .12± C 3D .3±20.已知3sin 1cos =+αα,则1sin cos -αα的值为( )A . 33B . 33- C .3 D .3-21.已知锐角,αβ满足()3cos 5ααβ=-=-,则sin β的值为( )A .B . CD 22.已知α为锐角,若1sin 2cos 25αα+=-,则tan α=( ) A .3 B .2 C .12 D .1323.已知2tan()5αβ+=,1tan()44πβ-=,那么tan()4πα+等于( ) A .1318 B .1322 C .322 D .1624.若[,]42ππθ∈,sin 28θ=,则sin θ等于( )A .35B .45C .4D .3425.钝角三角形ABC 的面积是1,1,2AB BC ==,则AC =( )A .5B .C .2D .126.在∆ABC 中,记角A ,B ,C 的对边为a ,b ,c ,角A 为锐角,设向量(cos ,sin )m A A =u r(cos ,sin )n A A r ,且12m n ⋅=u r r . (1)求角A 的大小及向量m u r 与n r 的夹角;(2)若a =,求∆ABC 面积的最大值.27.已知函数()2sin cos()32f x x x π=++. (Ⅰ)求函数()f x 的单调递减区间;(Ⅱ)求函数()f x 在区间[0,]2π上的最大值及最小值.28.已知向量2,1,cos ,cos 444x x x m n ⎫⎛⎫==⎪ ⎪⎭⎝⎭r r ,记()f x m n =r r g . (1)若()1f x =,求cos 3x π⎛⎫+ ⎪⎝⎭的值; (2)在锐角ABC ∆中,角,,A B C 的对边分别是,,a b c ,且满足()2cos cos a c B b C -=,求()2f A 的取值范围.29.在ABC ∆中,角,,A B C 对边分别为,,a b c ,若cos cos 2cos b A a B a C +=-.(1)求角C 的大小;(2)若6a b +=,且ABC ∆的面积为c 的长.30.在锐角△ABC 中,2sin sin sin()sin()44A B B B ππ=++-. (1)求角A 的值; (2)若12AB AC ⋅=u u u r u u u r ,求△ABC 的面积.31.在ABC ∆中,角C B A ,,的对边分别为c b a ,,,向量)sin sin ,(C A b a -+=,向量)sin sin ,(B A c n -=,且//.(1)求角B 的大小;(2)设BC 的中点为D ,且3=AD ,求c a 2+的最大值.32(1(2成立的x 的取值集合.33.已知函数2())2sin ()()612f x x x x R ππ=-+-∈.(1)求函数()f x 的最小正周期;(2)求函数()f x 取得最大值的所有x 组成的集合.参考答案1.A【解析】试题分析:由题意得552sin 2()22()2()()121226k k Z k k Z ππππϕϕπϕπ-=⇒-=+∈⇒=-∈,因为02πϕ<<,所以0,6k πϕ==,选A.考点:三角函数求角【思路点睛】在求角的某个三角函数值时,应注意根据条件选择恰当的函数,尽量做到所选函数在确定角的范围内为一对一函数。
专题3.4 幂函数1.(2021·全国高一课时练习)下列命题中,不正确的是( )A .幂函数y =x -1是奇函数B .幂函数y =x 2是偶函数C .幂函数y =x 既是奇函数又是偶函数D .y =12x 既不是奇函数,又不是偶函数【答案】C 【解析】根据奇偶函数的定义依次判断即可.【详解】因为11xx -=,11=--xx ,所以A 正确;因为22()x x -=,所以B 正确;因为x x -=不恒成立,所以C 不正确;因为12y x =定义域为[0,+∞),不关于原点对称,所以D 正确.故选:C.2.(2020·上海高一课时练习)下列函数中,既是偶函数,又在(,0)-∞上单调递增的函数是( )A .2y x -=-B .23y x=-C .13y x=-D .3y x -=【答案】B 【解析】A: 2y x -=-为偶函数,且在()0,∞+上递增,即2y x -=-在(,0)-∞上单调递减,排除;B: 23y x =-为偶函数,在(,0)-∞上单调递增;C: 13y x=-为奇函数,故排除;D: 3y x -=为奇函数,故排除.故选:B.练基础3.(2020·石嘴山市第三中学高二月考(文))幂函数()221()21m f x m m x -=-+在()0,∞上为增函数,则实数m 的值为( )A .0B .1C .1或2D .2【答案】D 【解析】由题意()f x 为幂函数,所以2211m m -+=,解得0m =或2m =.因为()f x 在()0,∞上为增函数,所以210m ->,即12m >,所以2m =.故选D.4.(2020·上海高一课时练习)下面是有关幂函数3()-=f x x 的四种说法,其中错误的叙述是( )A .()f x 的定义域和值域相等B .()f x 的图象关于原点中心对称C .()f x 在定义域上是减函数D .()f x 是奇函数【答案】C 【解析】3()-=f x x ,函数的定义域和值域均为()(),00,-∞⋃+∞,A 正确;3()-=f x x ,()()33()f x x x f x ---=-=-=-,函数为奇函数,故BD 正确;()f x 在(),0-∞和()0,∞+是减函数,但在()(),00,-∞⋃+∞不是减函数,C 错误.故选:C.5.(2020·上海高一课时练习)若幕函数()f x 的图像经过点1,42⎛⎫⎪⎝⎭,则该函数的图像( )A .关于x 轴对称B .关于y 轴对称C .关于原点对称D .关于直线y x =对称【答案】B 【解析】设()f x x α=,依题意可得1(42α=,解得2α=-,所以2()f x x -=,因为22()()()f x x x f x ---=-==,所以()f x 为偶函数,其图象关于y 轴对称.故选:B.6.(2019·延安市第一中学高三月考(文))已知幂函数()f x x α=的图像过点1(2,则方程()2f x =的解是( )A .4BC .2D .12【答案】A 【解析】依题意得1(2α=,解得12α=,所以12()f x x =,由()2f x =得122x =,解得4x =.故选:A.7.(2021·浙江高一期末)幂函数()()22222m f x m m x-=--在()0,∞+为增函数,则m 的值是()A .1-B .3C .1-或3D .1或3-【答案】B 【解析】由幂函数解析式的形式可构造方程求得1m =-或3m =,分别验证两种情况下()f x 在()0,∞+上的单调性即可得到结果.【详解】()f x 为幂函数,2221m m ∴--=,解得:1m =-或3m =;当1m =-时,()1f x x -=,则()f x 在()0,∞+上为减函数,不合题意;当3m =时,()7=f x x ,则()f x 在()0,∞+上为增函数,符合题意;综上所述:3m =.故选:B.8.(2021·全国高一课时练习)下列结论正确的是( )A .幂函数图象一定过原点B .当0α<时,幂函数y x α=是减函数C .当1α>时,幂函数y x α=是增函数D .函数2y x =既是二次函数,也是幂函数【答案】D 【解析】由函数1y x -=的性质,可判定A 、B 不正确;根据函数2y x =可判定C 不正确;根据二次函数和幂函数的定义,可判定D 正确.【详解】由题意,函数1y x -=的图象不过原点,故A 不正确;函数1y x -=在(,0)-∞及(0,)+∞上是减函数,故B 不正确;函数2y x =在(,0)-∞上是减函数,在(0,)+∞上是增函数,故C 不正确;根据幂函数的定义,可得函数2y x =是二次函数,也是幂函数,所以D 正确.故选:D.9.(2021·全国高一课时练习)幂函数的图象过点(3, ),则它的单调递增区间是( )A .[-1,+∞)B .[0,+∞)C .(-∞,+∞)D .(-∞,0)【答案】B 【解析】根据利用待定系数法求出幂函数的解析式,再根据幂函数求出单调增区间即可.【详解】设幂函数为f (x )=x α,因为幂函数的图象过点(3, ),所以f (3)=3α=123,解得α=12,所以f (x )=12x ,所以幂函数的单调递增区间为[0,+∞).故选:B10.(2021·全国高三专题练习)下列关于幂函数图象和性质的描述中,正确的是()A .幂函数的图象都过(1,1)点B .幂函数的图象都不经过第四象限C .幂函数必定是奇函数或偶函数中的一种D .幂函数必定是增函数或减函数中的一种【答案】AB 【解析】举反例结合幂函数的性质判断即可.【详解】因为11α=,所以的幂函数都经过(1,1),故A 正确;当0x >时,0x α>,幂函数的图象都不经过第四象限,故B 正确;12y x =的定义域为[)0,+∞,为非奇非偶函数,故C 错误;1y x=在(),0-∞和()0,∞+上为减函数,但在定义域内不是减函数,故D 错误.故选:AB1.(2020·内蒙古自治区集宁一中高二月考(文))若a =12⎛⎫ ⎪⎝⎭23,b =15⎛⎫ ⎪⎝⎭23,c =12⎛⎫ ⎪⎝⎭13,则a ,b ,c 的大小关系是( )A .a <b <c B .c <a <b C .b <c <a D .b <a <c【答案】D 【解析】∵y =x 23 (x >0)是增函数,∴a =12⎛⎫⎪⎝⎭23>b =15⎛⎫ ⎪⎝⎭23.∵y =12⎛⎫⎪⎝⎭x 是减函数,∴a =12⎛⎫ ⎪⎝⎭23<c =12⎛⎫ ⎪⎝⎭13,∴b <a <c .故本题答案为D.2.(2019·湖北高三高考模拟(理))幂函数f (x )=x m的图象过点(2,4),且a =m 12,b =(13)m,c =―log m 3,则a 、b 、c 的大小关系是( )A .a >c >bB .b >c >aC .a >b >cD .c >a >b 【答案】C练提升【解析】幂函数f (x )=x m 的图象过点(2,4),∴2m =4,m =2;∴a =m 12=2>1,b =(13)m =19∈(0,1),c =―log m 3=﹣log 23<0,∴2>19>―log 23,∴a >b >c .故选:C .3.(2021·全国高三专题练习)已知幂函数()f x x α=满足()()2216f f =,若()4log 2a f =,()ln 2b f =,()125c f -=,则a ,b ,c 的大小关系是()A .a c b >>B .a b c >>C .b a c >>D .b c a>>【答案】C 【解析】由()()2216f f =可求得13α=,得出()f x 单调递增,根据单调性即可得出大小.【详解】由()()2216f f =可得4222αα⋅=,∴14αα+=,∴13α=,即()13f x x =.由此可知函数()f x 在R 上单调递增.而由换底公式可得242log 21log 2log 42==,22log 2ln 2log e =,125-=,∵21log 2e <<,∴2222log 2log 2log 4log e<,于是4log 2ln 2<,12<,∴1245log 2-<,故a ,b ,c 的大小关系是b a c >>.故选:C.4.(2021·安徽高三二模(理))函数()nxf x x a =,其中1a >,1n >,n 为奇数,其图象大致为()A .B .C .D .【答案】B 【解析】分析()f x 在()0,∞+、(),0-∞上的函数值符号,及该函数在()0,∞+上的单调性,结合排除法可得出合适的选项.【详解】对任意x ∈R ,0x a >,由于1n >,n 为奇数,当0x <时,0n x <,此时()0f x <,当0x >时,0n x >,此时()0f x >,排除AC 选项;当0x >时,任取1x 、()20,x ∈+∞且12x x >,则120x x a a >>,120n nx x >>,所以()()12f x f x >,所以,函数()f x 在()0,∞+上为增函数,排除D 选项.故选:B.5.(2021·新疆高三其他模拟(理))若实数m ,n 满足m n >,且0mn ≠,则下列选项正确的是( )A .330m n ->B .1122m n⎛⎫⎛⎫> ⎪ ⎪⎝⎭⎝⎭C .()lg 0m n ->D .11m n<【答案】A 【解析】利用幂函数、指数函数单调性和对数的运算可求解.【详解】解:∵函数3y x =,在R x ∈时单调递增,且m n >,∴330m n ->,故A 正确;∵函数1(2x y =,在R x ∈时单调递减,且m n >,∴11()()22mn<,故B 错误;当11,2m n ==时,()1lg lg 02m n -=<,故C 错误;当,11m n ==-时,1111m n=>=-,故D 错误;故选:A.6.【多选题】(2020·新泰市第二中学高二月考)已知函数图像经过点(4,2),则下列命题正确的有( )A .函数为增函数B .函数为偶函数C .若,则D .若,则.【答案】ACD 【解析】将点(4,2)代入函数得:,则.所以,显然在定义域上为增函数,所以A 正确.的定义域为,所以不具有奇偶性,所以B 不正确.当,即,所以C 正确.当若时,=..=.即成立,所以D 正确.()f x x α=1x >()1f x >120x x <<()()121222f x f x x x f ++⎛⎫< ⎪⎝⎭()f x x α=2=4α1=2α12()f x x =()f x [0,)+∞()f x [0,)+∞()f x 1x >1>()1f x >120x x <<()()122212(()22f x f x x x f ++-22-122x x +-0<()()121222f x f x x x f ++⎛⎫< ⎪⎝⎭故选:ACD.7.【多选题】(2021·湖南高三月考)已知函数1,0(),0x x e x f x xe x -⎧>⎪=⎨≤⎪⎩,若关于x 的方程()f x a =有且仅有一个实数解,且幂函数()a g x x =在()0,∞+上单调递增,则实数a 的取值可能是( )A .1B .1eC .2D .e【答案】AD 【解析】作出()f x 的图象,根据方程根的个数判断参数a 的取值,再结合函数()a g x x =在()0,∞+上单调递增,即可求解出结果.【详解】当0x ≤时,()x f x xe =,()()1xf x e x '=+,当1x <-时()0f x '<,当10x -<<时()0f x '>所以()x f x xe =在(),1-∞-上单调递减,在()1,0-上单调递增,最小值为1(1)f e --=-;所以()f x 的图象如图所示,因为()f x a =有且仅有一个实数解,即()y f x =的图象与y a =有且只有一个交点,所以[)1,1,0,a e e ⎧⎫∈+∞-⎨⎬⎩⎭,又因为()a g x x =在()0,∞+上单调递增,所以0a >,所以[){},1a e ∈+∞ .故选:AD8.(2019·上海高考模拟)设α∈12,―1,―2,3,若f (x )=x α为偶函数,则α=______.【答案】―2【解析】由题可知,α=―2时,f (x )=x ―2,满足f(-x)=f(x),所以是偶函数;α=13,12,―1,3时,不满足f(-x)=f(x), ∴α=―2.故答案为:―2.9.(2021·全国高三专题练习(理))已知幂函数()39*N m y x m -=∈的图像关于y 轴对称,且在()0,∞+上函数值随着x 的增大而减小.(1)求m 值.(2)若满足()()22132mma a +<-,求a 的取值范围.【答案】(1)1m =;(2)()2,4,3⎛⎫-∞⋃+∞ ⎪⎝⎭.【解析】(1)由题意可知39m -为负偶数,且*N m ∈,即可求得m 值;(2)将所求不等式化为()()22132a a +<-,求解,即可得出结果.【详解】(1)因为函数39*()m y x m N -=∈在()0,∞+上单调递减,所以390m -<,解得3m <.又因为*m N ∈,所以1m =,2;因为函数的图象关于y 轴对称,所以39m -为偶数,故1m =.(2)由(1)可知,1m =,所以得()()22132a a +<-,解得4a >或23<a ,即a 的取值范围为()2,4,3⎛⎫-∞⋃+∞ ⎪⎝⎭.10.(2021·浙江高一期末)已知幂函数2242()(1)mm f x m x -+=-在(0,)+∞上单调递增,函数()2g x x k =-.(1)求m 的值;(2)当[1,2)x ∈时,记(),()f x g x 的值域分别为集合A ,B ,设:,:p x A q x B ∈∈,若p 是q 成立的必要条件,求实数k 的取值范围.(3)设2()()1F x f x kx k =-+-,且|()|F x 在[0,1]上单调递增,求实数k 的取值范围.【答案】(1)0m =;(2)01k ≤≤;(3)[][)1,02,-+∞ 【解析】(1)由幂函数的定义2(1)1m -=,再结合单调性即得解.(2)求解()f x ,()g x 的值域,得到集合A ,B ,转化命题p 是q 成立的必要条件为B A ⊆,列出不等关系,即得解.(3)由(1)可得22()1F x x kx k =-+-,根据二次函数的性质,分类讨论02k ≤和12k ≥两种情况,取并集即可得解.【详解】(1)由幂函数的定义得:2(1)1m -=,0m ⇒=或2m =,当2m =时,2()f x x -=在(0,)+∞上单调递减,与题设矛盾,舍去;当0m =时,2()f x x =在(0,)+∞上单调递增,符合题意;综上可知:0m =.(2)由(1)得:2()f x x =,当[1,2)x ∈时,[)()1,4f x ∈,即[)1,4A =,当[1,2)x ∈时,[)()2,4g x k k ∈--,即[)2,4B k k =--,由命题p 是q 成立的必要条件,则B A ⊆,显然B ≠∅,则2144k k -≥⎧⎨-≤⎩,即10k k ≤⎧⎨≥⎩,所以实数k 的取值范围为:01k ≤≤.(3)由(1)可得22()1F x x kx k =-+-,二次函数的开口向上,对称轴为2k x =,要使|()|F x 在[0,1]上单调递增,如图所示:或即02(0)0k F ⎧≤⎪⎨⎪≥⎩或12(0)0k F ⎧≥⎪⎨⎪≤⎩,解得:10k -≤≤或2k ≥.所以实数k 的取值范围为:[][)1,02,-+∞ 1.(2019·全国高考真题(理))若a >b ,则( )A .ln(a −b )>0B .3a <3bC .a 3−b 3>0D .│a │>│b │【答案】C【解析】取,满足,,知A 错,排除A ;因为,知B 错,排除B ;取,满足,,知D 错,排除D ,因为幂函数是增函数,,所以,故选C .2.(2020·天津高考真题)已知函数3,0,(),0.x x f x x x ⎧=⎨-<⎩…若函数2()()2()g x f x kx x k =--∈R 恰有4个零点,则k 的取值范围是()A.1,)2⎛⎫-∞-+∞ ⎪⎝⎭ B.1,(0,2⎛⎫-∞- ⎪⎝⎭C.(,0)(0,-∞ D.(,0))-∞+∞ 【答案】D 【解析】2,1a b ==a b >ln()0a b -=9333a b =>=1,2a b ==-a b >12a b =<=3y x =a b >33a b >练真题注意到(0)0g =,所以要使()g x 恰有4个零点,只需方程()|2|||f x kx x -=恰有3个实根即可,令()h x =()||f x x ,即|2|y kx =-与()()||f x h x x =的图象有3个不同交点.因为2,0()()1,0x x f x h x x x ⎧>==⎨<⎩,当0k =时,此时2y =,如图1,2y =与()()||f x h x x =有2个不同交点,不满足题意;当k 0<时,如图2,此时|2|y kx =-与()()||f x h x x =恒有3个不同交点,满足题意;当0k >时,如图3,当2y kx =-与2y x =相切时,联立方程得220x kx -+=,令0∆=得280k -=,解得k =,所以k >综上,k 的取值范围为(,0))-∞+∞ .故选:D.3.(2020·江苏高考真题)已知y =f (x )是奇函数,当x ≥0时,()23f x x = ,则f (-8)的值是____.【答案】4-【解析】先求(8)f ,再根据奇函数求(8)f -【详解】23(8)84f ==,因为()f x 为奇函数,所以(8)(8)4f f -=-=-故答案为:4-4. (2018·上海卷)已知α∈{-2,-1,-12,12,1,2,3}.若幂函数f (x )=x α为奇函数,且在(0,+∞)上递减,则α= .【答案】-1【解析】∵幂函数f (x )=x α为奇函数,∴α可取-1,1,3,又f (x )=x α在(0,+∞)上递减,∴α<0,故α=-1.5.(浙江省高考真题(文))已知函数()2,1{ 66,1x x f x x x x≤=+->,则()2f f ⎡⎤-=⎣⎦ , ()f x 的最小值是 .【答案】162-【解析】如图根据所给函数解析式结合其单调性作出其图像如图所示,易知()()min 12,62f f f x f ⎡⎤-=-==⎣⎦.6.(江苏省高考真题)在平面直角坐标系xOy 中,设定点A (a ,a ),P 是函数y =1x(x >0)图象上一动点.若点P ,A 之间的最短距离为,则满足条件的实数a 的所有值为________.【答案】-1【解析】试题分析:设点1,P x x ⎛⎫ ⎪⎝⎭()0x >,则PA ===令1,0,2t x x t x=+>∴≥ 令()()22222222g t t at a t a a =-+-=-+-(1)当2a ≥时,t a =时()g t 取得最小值()22g a a =-,=,解得a =(2)当2a <时,()g t 在区间[)2,+∞上单调递增,所以当2t =时,()g t 取得最小值()22242g a a =-+=1a =-综上可知:1a =-或a =所以答案应填:-1.。
⾼三数学⾼考⼤题专项训练全套(15个专项)(典型例题)(含答案)1、函数与导数(1)2、三⾓函数与解三⾓形3、函数与导数(2)4、⽴体⼏何5、数列(1)6、应⽤题7、解析⼏何8、数列(2)9、矩阵与变换10、坐标系与参数⽅程11、空间向量与⽴体⼏何12、曲线与⽅程、抛物线13、计数原理与⼆项式分布14、随机变量及其概率分布15、数学归纳法⾼考压轴⼤题突破练 (⼀)函数与导数(1)1.已知函数f (x )=a e xx+x .(1)若函数f (x )的图象在(1,f (1))处的切线经过点(0,-1),求a 的值;(2)是否存在负整数a ,使函数f (x )的极⼤值为正值?若存在,求出所有负整数a 的值;若不存在,请说明理由.解 (1)∵f ′(x )=a e x (x -1)+x 2x 2,∴f ′(1)=1,f (1)=a e +1.∴函数f (x )在(1,f (1))处的切线⽅程为 y -(a e +1)=x -1,⼜直线过点(0,-1),∴-1-(a e +1)=-1,解得a =-1e.(2)若a <0,f ′(x )=a e x (x -1)+x 2x 2,当x ∈(-∞,0)时,f ′(x )>0恒成⽴,函数在(-∞,0)上⽆极值;当x ∈(0,1)时,f ′(x )>0恒成⽴,函数在(0,1)上⽆极值.⽅法⼀当x ∈(1,+∞)时,若f (x )在x 0处取得符合条件的极⼤值f (x 0),则x 0>1,f (x 0)>0,f ′(x 0)=0,则00000200201,e 0,e (1)0,x x x a x x a x x x ?> +> -+ = ?①②③由③得0e x a =-x 20x 0-1,代⼊②得-x 0x 0-1+x 0>0,结合①可解得x 0>2,再由f (x 0)=0e x a x +x 0>0,得a >-020e x x ,设h (x )=-x 2e x ,则h ′(x )=x (x -2)e x ,当x >2时,h ′(x )>0,即h (x )是增函数,∴a >h (x 0)>h (2)=-4e2.⼜a <0,故当极⼤值为正数时,a ∈-4e 2,0,从⽽不存在负整数a 满⾜条件.⽅法⼆当x ∈(1,+∞)时,令H (x )=a e x (x -1)+x 2,则H ′(x )=(a e x +2)x ,∵x ∈(1,+∞),∴e x ∈(e ,+∞),∵a 为负整数,∴a ≤-1,∴a e x ≤a e ≤-e ,∴a e x +2<0,∴H ′(x )<0,∴H (x )在(1,+∞)上单调递减.⼜H (1)=1>0,H (2)=a e 2+4≤-e 2+4<0,∴?x 0∈(1,2),使得H (x 0)=0,且当10,即f ′(x )>0;当x >x 0时,H (x )<0,即f ′(x )<0.∴f (x )在x 0处取得极⼤值f (x 0)=0e x a x +x 0.(*)⼜H (x 0)=0e x a (x 0-1)+x 20=0,∴00e x a x =-x 0x 0-1,代⼊(*)得f (x 0)=-x 0x 0-1+x 0=x 0(x 0-2)x 0-1<0,∴不存在负整数a 满⾜条件.2.已知f (x )=ax 3-3x 2+1(a >0),定义h (x )=max{f (x ),g (x )}=f (x ),f (x )≥g (x ),g (x ),f (x )(1)求函数f (x )的极值;(2)若g (x )=xf ′(x ),且?x ∈[1,2]使h (x )=f (x ),求实数a 的取值范围.解 (1)∵函数f (x )=ax 3-3x 2+1,∴f ′(x )=3ax 2-6x =3x (ax -2),令f ′(x )=0,得x 1=0或x 2=2a ,∵a >0,∴x 1当x 变化时,f ′(x ),f (x )的变化情况如下表:∴f (x )的极⼤值为f (0)=1,极⼩值为f 2a =8a 2-12a 2+1=1-4a 2. (2)g (x )=xf ′(x )=3ax 3-6x 2,∵?x ∈[1,2],使h (x )=f (x ),∴f (x )≥g (x )在[1,2]上有解,即ax 3-3x 2+1≥3ax 3-6x 2在[1,2]上有解,即不等式2a ≤1x 3+3x在[1,2]上有解,设y =1x 3+3x =3x 2+1x3(x ∈[1,2]),∵y ′=-3x 2-3x 4<0对x ∈[1,2]恒成⽴,∴y =1x 3+3x 在[1,2]上单调递减,∴当x =1时,y =1x 3+3x 的最⼤值为4,∴2a ≤4,即a ≤2.⾼考中档⼤题规范练 (⼀)三⾓函数与解三⾓形1.(2017·江苏宿迁中学质检)已知函数f (x )=sin 2x +23sin x cos x +sin x +π4sin x -π4,x ∈R . (1)求f (x )的最⼩正周期和值域;(2)若x =x 00≤x 0≤π2为f (x )的⼀个零点,求sin 2x 0的值.解 (1)易得f (x )=sin 2x +3sin 2x +12(sin 2x -cos 2x )=1-cos 2x 2+3sin 2x -12cos 2x =3sin 2x -cos 2x +12=2sin 2x -π6+12,所以f (x )的最⼩正周期为π,值域为-32,52. (2)由f (x 0)=2sin 2x 0-π6+12=0,得 sin 2x 0-π6=-14<0,⼜由0≤x 0≤π2,得-π6≤2x 0-π6≤5π6,所以-π6≤2x 0-π6<0,故cos 2x 0-π6=154,此时sin 2x 0=sin 2x 0-π6+π6 =sin 2x 0-π6cos π6+cos 2x 0-π6sin π6 =-14×32+154×12=15-38.2.(2017·江苏南通四模)已知向量m =sin x 2,1,n =1,3cos x2,函数f (x )=m ·n . (1)求函数f (x )的最⼩正周期;(2)若f α-2π3=23,求f 2α+π3的值.解 (1)f (x )=m ·n =sin x 2+3cos x2=212sin x 2+32cos x2=2sin x 2cos π3+cos x 2sin π3 =2sin x 2+π3,所以函数f (x )的最⼩正周期为T =2π12=4π.(2)由f α-2π3=23,得2sin α2=23,即sin α2=13. 所以f 2α+π3=2sin α+π2=2cos α=2?1-2sin 2α2=149. 3.(2017·江苏南师⼤考前模拟)已知△ABC 为锐⾓三⾓形,向量m =cos A +π3,sin A +π3,n =(cos B ,sin B ),并且m ⊥n . (1)求A -B ;(2)若cos B =35,AC =8,求BC 的长.解 (1)因为m ⊥n ,所以m ·n =cos A +π3cos B +sinA +π3sin B=cosA +π3-B =0. 因为0所以A +π3-B =π2,即A -B =π6.(2)因为cos B =35,B ∈0,π2,所以sin B =45,所以sin A =sin B +π6=sin B cos π6+cos B sin π6 =45×32+35×12=43+310,由正弦定理可得BC =sin A sin B×AC =43+3.4.(2017·江苏镇江三模)在△ABC 中,⾓A ,B ,C 的对边分别为a ,b ,c ,且(a -c )(sin A +sin C )=(b -3c )sin B . (1)求⾓A ;(2)若f (x )=cos 2(x +A )-sin 2(x -A ),求f (x )的单调递增区间.解 (1)由(a -c )(sin A +sin C )=(b -3c )sin B 及正弦定理,得(a -c )(a +c )=(b -3c )b ,即a 2=b 2+c 2-3bc . 由余弦定理,得cos A =32,因为06.(2)f (x )=cos 2(x +A )-sin 2(x -A ) =cos 2x +π6-sin 2x -π6 =1+cos 2x +π32-1-cos ?2x -π32=12cos 2x ,令π+2k π≤2x ≤2π+2k π,k ∈Z ,得π2+k π≤x ≤π+k π,k ∈Z . 则f (x )的单调增区间为π2+k π,π+k π,k ∈Z .(⼆)函数与导数(2)1.设函数f (x )=2(a +1)x (a ∈R ),g (x )=ln x +bx (b ∈R ),直线y =x +1是曲线y =f (x )的⼀条切线. (1)求a 的值;(2)若函数y =f (x )-g (x )有两个极值点x 1,x 2. ①试求b 的取值范围;②证明:g (x 1)+g (x 2)f (x 1)+f (x 2)≤1e 2+12.解 (1)设直线y =x +1与函数y =f (x )的图象相切于点(x 0,y 0),则y 0=x 0+1,y 0=2(a +1)x 0,a +1x 0=1,解得a =0. (2)记h (x )=f (x )-g (x ),则h (x )=2x -ln x -bx .①函数y =f (x )-g (x )有两个极值点的必要条件是h ′(x )有两个正零点. h ′(x )=1x -1x-b =-bx +x -1x ,令h ′(x )=0,得bx -x +1=0(x >0).令x =t ,则t >0.问题转化为bt 2-t +1=0有两个不等的正实根t 1,t 2,等价于Δ=1-4b >0,t 1t 2=1b >0,t 1+t 2=1b>0,解得04.当04时,设h ′(x )=0的两正根为x 1,x 2,且x 1则h ′(x )=-bx +x -1x =-b (x -x 1)(x -x 2)x =-b (x -x 1)(x -x 2)x (x +x 1)(x +x 2).当x ∈(0,x 1)时,h ′(x )<0;当x ∈(x 1,x 2)时,h ′(x )>0;当x ∈(x 2,+∞)时,h ′(x )<0.所以x 1,x 2是h (x )=f (x )-g (x )的极值点,∴b 的取值范围是0,14. ②由①知x 1x 2=x 1+x 2=1 b.可得g (x 1)+g (x 2)=-2ln b +1b -2,f (x 1)+f (x 2)=2b ,所以g (x 1)+g (x 2)f (x 1)+f (x 2)=12-b ln b -b .记k (b )=12-b ln b -b 0令k ′(b )=0,得b =1e 2∈0,14,且当b ∈0,1e 2时,k ′(b )>0,k (b )单调递增;当b ∈1e 2,14时,k ′(b )<0,k (b )单调递减,且当b =1e 2时,k (b )取最⼤值1e 2+12,所以g (x 1)+g (x 2)f (x 1)+f (x 2)≤1e 2+12.2.设函数f (x )=2ax +bx+c ln x .(1)当b =0,c =1时,讨论函数f (x )的单调区间;(2)若函数f (x )在x =1处的切线为y =3x +3a -6且函数f (x )有两个极值点x 1,x 2,x 1解 (1)f (x )=2ax +bx+c ln x ,x >0,f ′(x )=2a -b x 2+c x =2ax 2+cx -bx 2.当b =0,c =1时,f ′(x )=2ax +1x. 当a ≥0时,由x >0,得f ′(x )=2ax +1x >0恒成⽴,所以函数f (x )在(0,+∞)上单调递增.当a <0时,令f ′(x )=2ax +1x >0,解得x <-12a ;令f ′(x )=2ax +1x <0,解得x >-12a,所以,函数f (x )在0,-12a 上单调递增,在-12a ,+∞上单调递减.综上所述,①当a ≥0时,函数f (x )在(0,+∞)上单调递增;②当a <0时,函数f (x )在? 0,-12a上单调递增,在-12a ,+∞上单调递减. (2)①函数f (x )在x =1处的切线为y =3x +3a -6,所以f (1)=2a +b =3a -3,f ′(1)=2a +c -b =3,所以b =a -3,c =-a ,f ′(x )=2a -b x 2+c x =2ax 2-ax +3-ax 2,函数f (x )有两个极值点x 1,x 2,x 1则⽅程2ax 2-ax +3-a =0有两个⼤于0的解,Δ=(-a )2-8a (3-a )>0,a 2a >0,3-a2a >0,解得83所以a 的取值范围是83,3. ②2ax 22-ax 2+3-a =0, x 2=a +9a 2-24a 4a =141+9-24a ,由832x 22-x 2-1.f (x 2)=2ax 2+a -3x 2-a ln x 2=a 2x 2+1x 2-ln x 2-3x 2 =-32x 2+1x 2-ln x 22x 22-x 2-1-3x 2. 设φ(t )=-32t +1t -ln t2t 2-t -1-3t,t ∈14,12,φ′(t )=-32-1t 2-1t (2t 2-t -1)-2t +1t -ln t (4t -1)(2t 2-t -1)2+3t2 =-31t 2(2t 2-t -1)2+32t +1t -ln t (4t -1)(2t 2-t -1)2+3t 2=32t +1t -ln t (4t -1)(2t 2-t -1)2. 当t ∈14,12时,2t +1t-ln t >0,4t -1>0,φ′(t )>0,所以φ(t )在14,12上单调递增,φ(t )∈163ln 2,3+3ln 2,所以f (x 2)的取值范围是163ln 2,3+3ln 2. (⼆)⽴体⼏何1.(2017·江苏扬州调研)如图,在四棱锥P -ABCD 中,底⾯ABCD 为梯形,CD ∥AB ,AB =2CD ,AC 交BD 于O ,锐⾓△P AD 所在平⾯⊥底⾯ABCD ,P A ⊥BD ,点Q 在侧棱PC 上,且PQ =2QC .求证:(1)P A ∥平⾯QBD ; (2)BD ⊥AD .证明 (1)如图,连结OQ ,因为AB ∥CD ,AB =2CD ,所以AO =2OC . ⼜PQ =2QC ,所以P A ∥OQ . ⼜OQ ?平⾯QBD ,P A ?平⾯QBD ,所以P A ∥平⾯QBD .(2)在平⾯P AD 内过P 作PH ⊥AD 于点H ,因为侧⾯P AD ⊥底⾯ABCD ,平⾯P AD ∩平⾯ABCD =AD ,PH ?平⾯P AD ,所以PH ⊥平⾯ABCD .⼜BD ?平⾯ABCD ,所以PH ⊥BD .⼜P A ⊥BD ,P A ∩PH =P ,所以BD ⊥平⾯P AD . ⼜AD ?平⾯P AD ,所以BD ⊥AD .2.如图,在四棱锥P -ABCD 中,底⾯ABCD 是正⽅形,AC 与BD 交于点O ,PC ⊥底⾯ABCD ,E 为PB 上⼀点,G 为PO 的中点.(1)若PD∥平⾯ACE,求证:E为PB的中点;(2)若AB=2PC,求证:CG⊥平⾯PBD.证明(1)连结OE,由四边形ABCD是正⽅形知,O为BD的中点,因为PD∥平⾯ACE,PD?平⾯PBD,平⾯PBD∩平⾯ACE=OE,所以PD∥OE. 因为O为BD的中点,所以E为PB的中点.(2)在四棱锥P-ABCD中,AB=2PC,因为四边形ABCD是正⽅形,所以OC=22AB,所以PC=OC.因为G为PO的中点,所以CG⊥PO.⼜因为PC⊥底⾯ABCD,BD?底⾯ABCD,所以PC⊥BD.⽽四边形ABCD是正⽅形,所以AC⊥BD,因为AC,PC?平⾯P AC,AC∩PC=C,所以BD⊥平⾯P AC,因为CG?平⾯P AC,所以BD⊥CG.因为PO,BD?平⾯PBD,PO∩BD=O,所以CG⊥平⾯PBD.3.(2017·江苏怀仁中学模拟)如图,在四棱锥E-ABCD中,△ABD为正三⾓形,EB=ED,CB=CD.(1)求证:EC⊥BD;(2)若AB⊥BC,M,N分别为线段AE,AB的中点,求证:平⾯DMN∥平⾯BCE.证明(1)取BD的中点O,连结EO,CO.∵CD=CB,EB=ED,∴CO⊥BD,EO⊥BD.⼜CO∩EO=O,CO,EO?平⾯EOC,∴BD⊥平⾯EOC.⼜EC?平⾯EOC,∴BD⊥EC.(2)∵N是AB的中点,△ABD为正三⾓形,∴DN⊥AB,∵BC⊥AB,∴DN∥BC.⼜BC?平⾯BCE,DN?平⾯BCE,∴DN∥平⾯BCE.∵M为AE的中点,N为AB的中点,∴MN∥BE,⼜MN?平⾯BCE,BE?平⾯BCE,∴MN∥平⾯BCE.∵MN∩DN=N,∴平⾯DMN∥平⾯BCE.4.(2017·江苏楚⽔中学质检)如图,在三棱锥P-ABC中,点E,F分别是棱PC,AC的中点.(1)求证:P A∥平⾯BEF;(2)若平⾯P AB⊥平⾯ABC,PB⊥BC,求证:BC⊥P A.证明(1)在△P AC中,E,F分别是棱PC,AC的中点,所以P A∥EF.⼜P A?平⾯BEF,EF?平⾯BEF,所以P A∥平⾯BEF.(2)在平⾯P AB内过点P作PD⊥AB,垂⾜为D.因为平⾯P AB ⊥平⾯ABC ,平⾯P AB ∩平⾯ABC =AB ,PD ?平⾯P AB ,所以PD ⊥平⾯ABC ,因为BC ?平⾯ABC ,所以PD ⊥BC ,⼜PB ⊥BC ,PD ∩PB =P ,PD ?平⾯P AB ,PB ?平⾯P AB ,所以BC ⊥平⾯P AB ,⼜P A ?平⾯P AB ,所以BC ⊥P A .(三)数列(1)1.已知数列{a n }的前n 项和为S n ,且S n +a n =4,n ∈N *. (1)求数列{a n }的通项公式;(2)已知c n =2n +3(n ∈N *),记d n =c n +log C a n (C >0且C ≠1),是否存在这样的常数C ,使得数列{d n }是常数列,若存在,求出C 的值;若不存在,请说明理由.(3)若数列{b n },对于任意的正整数n ,均有b 1a n +b 2a n -1+b 3a n -2+…+b n a 1=12n -n +22成⽴,求证:数列{b n }是等差数列. (1)解 a 1=4-a 1,所以a 1=2,由S n +a n =4,得当n ≥2时,S n -1+a n -1=4,两式相减,得2a n =a n -1,所以a n a n -1=12,数列{a n }是以2为⾸项,公⽐为12的等⽐数列,所以a n =22-n (n ∈N *).(2)解由于数列{d n }是常数列, d n =c n +log C a n =2n +3+(2-n )log C 2 =2n +3+2log C 2-n log C 2=(2-log C 2)n +3+2log C 2为常数,则2-log C 2=0,解得C =2,此时d n =7.(3)证明 b 1a n +b 2a n -1+b 3a n -2+…+b n a 1 =12n -n +22,①当n =1时,b 1a 1=12-32=-1,其中a 1=2,所以b 1=-12.当n ≥2时,b 1a n -1+b 2a n -2+b 3a n -3+…+b n -1a 1=12n -1-n +12,②②式两边同时乘以12,得b 1a n +b 2a n -1+b 3a n -2+…+b n -1a 2=12n -n +14,③由①-③,得b n a 1=-n -34,所以b n =-n 8-38(n ∈N *,n ≥2),且b n +1-b n =-18,⼜b 1=-12=-18-38,所以数列{b n }是以-12为⾸项,公差为-18的等差数列.2.在数列{a n }中,已知a 1=13,a n +1=13a n -23n +1,n ∈N *,设S n 为{a n }的前n 项和.(1)求证:数列{3n a n }是等差数列; (2)求S n ;(3)是否存在正整数p ,q ,r (p ""(1)证明因为a n +1=13a n -23n +1,所以3n +1a n +1-3n a n =-2.⼜因为a 1=13,所以31·a 1=1,所以{3n a n }是⾸项为1,公差为-2的等差数列. (2)解由(1)知3n a n =1+(n -1)·(-2)=3-2n ,所以a n =(3-2n )13n ,所以S n =1·131+(-1)·132+(-3)·133+…+(3-2n )·13n ,所以13S n =1·132+(-1)·133+…+(5-2n )·13n +(3-2n )·13n +1,两式相减,得23S n =13-2132+133+…+13n -(3-2n )·13n +1=13-219×1-13n -11-13+(2n -3)·13n +1=2n ·13n +1,所以S n =n3n .(3)解假设存在正整数p ,q ,r (p ""3q =p 3p +r 3r. 当n ≥2时,a n =(3-2n )13n<0,所以数列{S n }单调递减.⼜p ""①当q ≥3时,p 3p ≥q -13q -1≥2q 3q ,⼜r 3r >0,所以p 3p +r 3r >2q3q ,等式不成⽴.②当q =2时,p =1,所以49=13+r 3r ,所以r 3r =19,所以r =3({S n }单调递减,解惟⼀确定).综上可知,p ,q ,r 的值为1,2,3.(三)应⽤题1.已知某⾷品⼚需要定期购买⾷品配料,该⼚每天需要⾷品配料200千克,配料的价格为1.8元/千克,每次购买配料需⽀付运费236元.每次购买来的配料还需⽀付保管费⽤,其标准如下:7天以内(含7天),⽆论重量多少,均按10元/天⽀付;超出7天以外的天数,根据实际剩余配料的重量,以每天0.03元/千克⽀付.(1)当9天购买⼀次配料时,求该⼚⽤于配料的保管费⽤P 是多少元?(2)设该⼚x 天购买⼀次配料,求该⼚在这x 天中⽤于配料的总费⽤y (元)关于x 的函数关系式,并求该⼚多少天购买⼀次配料才能使平均每天⽀付的费⽤最少?解 (1)当9天购买⼀次时,该⼚⽤于配料的保管费⽤ P =70+0.03×200×(1+2)=88(元).。
2023届高考数学复习:精选好题专项(圆锥曲线)练习题组一、 圆锥曲线中的直线问题1‐1、(山东省“学情空间”区域教研共同体2023届高三入学检测)椭圆的左右焦点分别为,焦距为,点M 为椭圆上位于x 轴上方的一点,,且的面积为2.(1)求椭圆C 的方程;(2)过点的直线l 与椭圆交于A ,B 两点,且,求直线l 的方程.1‐2、(湖北省重点高中2023届高三上学期10月联考) 已知直线1l:22y x =+与椭圆E :22142x y +=相切于点M ,与直线2l:2y x t =+相交于点 N (异于点M ).(1)求点M 的坐标;(2)直线2l 交E 于点()11,A x y ,()22,B x y 两点,证明:ANM MNB ∽△△.2222:1(0)x y C a b a b+=>>12,FF 120MF MF ⋅=12MF F △2F 2AMB π∠=1-3、(南京六校联合体2023届高三8月联合调研)(本小题满分12分)已知椭圆C :22154x y +=的上下顶点分别为A,B ,过点P 0,3 且斜率为k (k <0)的直线与椭圆C 自上而下交于M,N 两点,直线BM 与AN 交于点G . (1)设AN,BN 的斜率分别为k ,k ,求k ∙k 的值; (2)求证:点G 在定直线上.1-4、(江苏如皋中学2022~2023学年度高三年级第一学期教学质量调研)已知双曲线22:12x C y -=上,直线l 交C 于P ,Q 两点,直线AP ,AQ 的斜率之和为0.(1)求l 的斜率;(2)若tan PAQ ∠=PAQ 的面积.题组二、 圆锥曲线中的最值问题2‐1、(湖南省三湘名校教育联盟2023届高三上学期第一次大联考)(12分)在直角坐标系xOy 中,已知抛物线,P 为直线y =-1上的动点,过点P 作抛物线C 的两条切线,切点分别为A ,B .当P 在y 轴上时,OA ⊥OB . (1)求抛物线C 的方程;(2)求点O 到直线AB 距离的最大值.()2:20C x py p ->AB OP 22‐4、(湖南省三湘名校教育联盟2023届高三上学期第一次大联考)(12分)在直角坐标系xOy 中,已知抛物线,P 为直线y =-1上的动点,过点P 作抛物线C 的两条切线,切点分别为A ,B .当P 在y 轴上时,OA ⊥OB . (1)求抛物线C 的方程;(2)求点O 到直线AB 距离的最大值.题组三、圆锥曲线中的定点、定值问题3‐1、(南京师大附中2022—2023学年度高三第一学期10月检测)(本小题满分12分)已知双曲线2222:1(0,0)x y C a b a b-=>>的离心率为2,C 的右焦点F 与点M (0,2)的连线与C 的一条渐近线垂直.(1)求双曲线C 的标准方程:(2)经过点M 且斜率不为零的直线l 与C 的两支分别交于点A ,B ,①若O 为坐标原点,求OA OB ⋅的取值范围:②若点D 是点B 关于y 轴的对称点,证明:直线AD 过定点 【3‐2、(江苏省海安高级中学2023届高三期初学业质量监测)已知椭圆:的离心率为,短轴长为2.(1)求的方程;(2)过点且斜率不为0的直线与自左向右依次交于点,,点在线段上,且,为线段的中点,记直线,的斜率分别为,,求证:为定值.()2:20C x py p ->E ()222210x y a b a b +=>>2E ()4,0M -l E B C N BC MB NBMC NC=P BC OP ON 1k 2k 12k k3‐3、(江苏连云港2023届高三上学期期中考试) 已知椭圆C :()222210x y a b a b +=>>经过点2P ⎛⎫ ⎪ ⎪⎝⎭,31,2Q ⎛⎫⎪⎝⎭.(1)求椭圆C 的方程;(2)过椭圆C 右焦点的直线l 交椭圆于A ,B 两点,交直线x =4于点D .设直线QA ,QD ,QB 的斜率分别为1k ,2k ,3k ,若20k ≠,证明:132k k k +为定值.题组四、 圆锥曲线中的探索性问题4-1、(湖南师大附中2023届高三年级开学初试卷)(本小题满分12分)设21,F F 分别是椭圆)0(1:2222>>=+b a by a x C 的左、右焦点,M 是C 上一点,2MF与x 轴垂直,直线1MF 与C 的另一个交点为N ,且直线MN 的斜率为42. (1)求椭圆C 的离心率.(2)设)1,0(D 是椭圆C 的上顶点,过D 任作两条互相垂直的直线分别交椭圆C 于B A .两点,过点D 作线段AB 的垂线,垂足为Q ,判断在y 轴上是否存在定点R ,使得||RQ 的长度为定值?并证明你的结论.4‐2、(南京市2023届高三年级学情调研) 已知抛物线C :()220y px p =>的焦点为F ,过点P (0,2)的动直线l 与抛物线相交于A ,B 两点.当l 经过点F 时,点A 恰好为线段PF 中点. (1)求p 的值;(2)是否存在定点T , 使得TA TB ⋅为常数? 若存在,求出点T 的坐标及该常数; 若不存在,说明理由.4‐3、(湖北省鄂东南省级示范高中教改联盟学校2023届高三上学期期中联考)(本题满分12分)设点P 为圆上的动点,过点P 作x 轴垂线,垂足为点Q ,动点M 满足(点P 、Q 不重合)(1)求动点M 的轨迹方程E ;(2)若过点的动直线与轨迹E 交于A 、B 两点,定点N 为,直线NA 的斜率为,直线NB 的斜率为,试判断是否为定值.若是,求出该定值;若不是,请说明理由.22:4C x y +=2MQ =(4,0)T 31,2⎛⎫⎪⎝⎭1k 2k 12k k +参考答案题组一、 圆锥曲线中的直线问题1‐1、(山东省“学情空间”区域教研共同体2023届高三入学检测)椭圆的左右焦点分别为,焦距为,点M 为椭圆上位于x 轴上方的一点,,且的面积为2.(1)求椭圆C 的方程;(2)过点的直线l 与椭圆交于A ,B 两点,且,求直线l 的方程.【答案解析】【要点分析】(1)依题意可得,根据椭圆的定义、三角形面积公式及勾股定理求出,即可求出,从而得解;(2)首先求出的坐标,分直线的斜率为与不为两种情况讨论,当直线的斜率不为时,设直线的方程为,,,,联立直线与椭圆的方程,结合韦达定理可得,,由,推出,解得,进而可得答案.【小问1详解】解:因为,所以,即,所以,所以又,,,所以,即,所以,所以,所以椭圆方程为.【小问2详解】解:由(1)知,,所以,即, 当直线的斜率为时,此时,不合题意,2222:1(0)x y C a b a b+=>>12,FF 120MF MF ⋅=12MF F △2F 2AMB π∠=122F MF π∠=2a 2b M l 00l 0l x my =+11(,)A x y 22(,)B x y l 12y y +12y y MA MB⊥1212(0x x y y +-=m 120MF MF ⋅= 12MF MF ⊥ 122F MF π∠=1212122MF F MF MF S ⋅==△124MF MF ⋅=122MF MF a +=122F F c ==2221212MF MF F F +=()2121228MF MF MF MF +-=⋅24248a -⨯=24a =2222b a c =-=22142x y +=124MF MF ⋅=124MF MF +=122MF MF ==(M l 090AMB ∠≠︒当直线的斜率不为时,设直线的方程为,,,联立,得,所以,, 因为, 所以,所以,所以,所以, 所以, 解得或,当时,直线过点,不符合题意, 所以直线的方程为.1‐2、(湖北省重点高中2023届高三上学期10月联考) 已知直线1l:22y x =+与椭圆E :22142x y +=相切于点M ,与直线2l:2y x t =+相交于点 N (异于点M ).(1)求点M 的坐标;(2)直线2l 交E 于点()11,A x y ,()22,B x y 两点,证明:ANM MNB ∽△△. 【答案解析】【要点分析】(1)通过解方程组进行求解即可;(2)将直线2l 方程与椭圆方程联立,结合椭圆弦长公式、相似三角形判定定理进行运算证明即可. 【小问1详解】l 0l x my =+11(,)A x y 22(,)B xy 22142x my x y ⎧=⎪⎨+=⎪⎩22(2)20m y ++-=1222y y m+=-+12222y y m -=+90AMB ∠=︒MA MB⊥1212(0x x y y +-=21212(1)1)()40m y y m y y ++-++=2222(1)4(1)4022m m m m m -+--+=++2230m m --=1m =-3m =1m =-l Ml 30x y --=解:222224y x x y ⎧=-+⎪⎨⎪+=⎩,消y得:220x -+=,解得:x =,故)M ;【小问2详解】联立222y x y x t⎧=-+⎪⎪⎨⎪=+⎪⎩,解之得:,122t N t ⎫-+⎪⎪⎝⎭联立22224y x t x y ⎧=+⎪⎨⎪+=⎩,消y得:2220x t +-=, 由题可得:2Δ820t =->,∴12x x +=,2122x x t =-.12NA t ⎫=-⎪⎪⎭,22NB t ⎫=--⎪⎪⎭,()()212122223222332,2224NA NB x x t x x t t t t t ⎫⎫=--++⎪⎪⎪⎪⎭⎭⎫⎫=--+=⎪⎪⎪⎪⎭⎭2NM t ⎫=--=⎪⎪⎭, 2NM NA NB =,∴AN MNNM NB =,又ANB MNB ∠=∠,∴ANM MNB ∽△△ 1-3、(南京六校联合体2023届高三8月联合调研)(本小题满分12分)已知椭圆C :22154x y +=的上下顶点分别为A,B ,过点P 0,3 且斜率为k (k <0)的直线与椭圆C 自上而下交于M,N 两点,直线BM 与AN 交于点G . (1)设AN,BN 的斜率分别为k ,k ,求k ∙k 的值; (2)求证:点G 在定直线上. .(本小题满分12分) 解:设),(),,(2211y x N y x M2222222221422x y x y x y k k -=-⋅+=⋅....................2分 2222154x y +=又22224(15x y =⋅-所以所以54451(4222221-=--=⋅x x k k .....................4分(2)设3:+=kx y PM 224520x y +=联立 得到02530)54(22=+++kx x k1223045kx x k -+=+所以2215425k x x +=⋅ 0)1(400)54(100900222>-=+-=∆k k k .....................6分直线:MB 2211-+=x x y y 直线:NA 2222+-=x x y y联立得:1212)2()2(22x y y x y y -+=-+.....................8分2121(2)(2)2524y y y y x x +++=-⋅-法一:525)(5452121212-=+++⋅-=x x x x k x x k..............10分解得34=y所以点G 在定直线34=y 上 .....................12分法二:由韦达定理得k x x x x 562121-=+2112221121(5)5221x kx kx x x y y kx x kx x x +++==-++所以5)(655)(65121221-=++-++-x x x x x x .........10分解得34=y所以点G 在定直线34=y 上 .....................12分1-4、(江苏如皋中学2022~2023学年度高三年级第一学期教学质量调研)已知双曲线22:12x C y -=上,直线l 交C 于P ,Q 两点,直线AP ,AQ 的斜率之和为0.(1)求l 的斜率;(2)若tan PAQ ∠=PAQ 的面积.解:(1)由题显然直线l 的斜率存在,设:l y kx m =+,设11(,)P x y ,22(,)Q x y ,则联立直线与双曲线得:222(21)4220k x kmx m -+++=,0> ,故122421km x x k +=--,21222221m x x k +=-,12121212111102222AP AQ y y kx m kx m k k x x x x --+-+-+=+=+=----, 化简得:12122(12)()4(1)0kx x m k x x m +--+--=,故2222(22)4(12)()4(1)02121k m kmm k m k k ++-----=--, 即(1)(21)0k m k ++-=,而直线l 不过A 点, 故l 的斜率 1.k =-(2)设直线AP 的倾斜角为α,由tan PAQ ∠=tan 22PAQ ∠=,由2PAQ απ+∠=,得tan AP k α==,即1112y x -=-联立1112y x -=-221112x y -=得1103x -=,153y =,同理,2103x +=,253y --=, 故12203x x +=,12689x x =而1|||2|AP x =-,2|||2|AQ x =-,由tan PAQ ∠=sin 3PAQ ∠=,故12121||||sin |2()4|29PAQ S AP AQ PAQ x x x x =∠=-++= 题组二、 圆锥曲线中的最值问题2‐1、(湖南省三湘名校教育联盟2023届高三上学期第一次大联考)(12分)在直角坐标系xOy 中,已知抛物线,P 为直线y =-1上的动点,过点P 作抛物线C 的两条切线,切点分别为A ,B .当P 在y 轴上时,OA ⊥OB . (1)求抛物线C 的方程;(2)求点O 到直线AB 距离的最大值..答案解析:(1)当在轴上时,即,设过点的切线方程为,与联立得,由直线和抛物线相切可得,,,∴,,(3分)由,解得, ∴抛物线的方程为.(5分) (2),∴,设,,则, 即,同理可得,(8分) 又为直线上的动点,设, 则,,由两点确定一条直线可得的方程为,()2:20C x py p ->P y ()0,1P -P 1y kx =-22x py =2220x pkx p -+=22Δ480p k p =-=2A B x x p =A B y y =)A()B OA OB ⊥(110+⨯=12p =C 2x y =2x y =2y x '=()11,A x y ()22,B x y ()1112y y x x x -=-112x x y y =+222x x y y =+P 1y x =-(),1P t t -1121x t t y =-+2221x t t y =-+AB 21xt t y =-+2AB =OP1c =1EF 2212x y +=1OP =y kx m=+2212x y y kx m ⎧+=⎪⎨⎪=+⎩()222214220kx kmx m +++-=2216880k m ∆=-+>122421kmx x k -+=+21222221m x x k -=+∵,化简得.又设M 是弦AB 的中点,∴,, ∴,令, 则,∴(仅当时取等),又∵(仅当时取等号). 综上,.2‐3、(江苏如皋中学2022~2023学年度高三年级第一学期教学质量调研)已知椭圆2222:1(0)x y E a b a b +=>>的左,右焦点分别为1(1,0)F -,2(1,0)F ,点P 在椭圆E 上,212PF F F ⊥,且12||3||.PF PF =(1)求椭圆E 的标准方程;(2)设直线:1()l x my m R =+∈与椭圆E 相交于A ,B 两点,与圆222x y a +=相交于C ,D 两点,求2||||AB CD ⋅的取值范围.解:(1)因为P 在椭圆上,所以12||||2PF PF a +=, 又因为12||3||PF PF =,所以2||2a PF =,13||2aPF =, 因为212PF F F ⊥,所以2222121||||||PF F F PF +=,又12||2F F =,所以22a =,2221b a c =-=,所以椭圆的标准方程为:22 1.2x y +=(2)设11(,)A x y ,22(,)B x y ,2221AB k ==+2222122k m k +=+222,2121kmm M k k -⎛⎫ ⎪++⎝⎭()222224121k OM m k +=⋅+()()()22222222241214122212221k k k OM k k k k +++=⋅=++++2411k t +=≥()()24443134t OMt t t t==≤=-++++1OM ≤=-t=1OP OM MP OM ≤+=+≤214k -=max OP =联立直线l 与椭圆E 的方程:221220x my x y =+⎧⎨+-=⎩,整理可得22(2)210m y my ++-=, 12222m y y m -+=+,12212y y m-=+,所以弦长2122)||||2m AB y y m+=-=+, 设圆222x y +=的圆心O 到直线l的距离为d =,所以||CD ==,所以2222222212)2)3||||41222m m m AB CD m m m m+++⋅=⋅⋅==-++++ 因为233022m <+…,2132222m ∴-<+…,2||||AB CD ∴⋅<,所以2||||AB CD ⋅的取值范围2‐4、(湖南省三湘名校教育联盟2023届高三上学期第一次大联考)(12分)在直角坐标系xOy 中,已知抛物线,P 为直线y =-1上的动点,过点P 作抛物线C 的两条切线,切点分别为A ,B .当P 在y 轴上时,OA ⊥OB . (1)求抛物线C 的方程;(2)求点O 到直线AB 距离的最大值.答案解析:(1)当在轴上时,即,设过点的切线方程为,与联立得,由直线和抛物线相切可得,,,∴,,(3分)由,解得, ∴抛物线的方程为.(5分)(2),∴,()2:20C x py p ->P y ()0,1P -P 1y kx =-22x py =2220x pkx p -+=22Δ480p k p =-=2A B x x p =A B y y =)A()B OA OB ⊥(110+⨯=12p =C 2x y =2x y =2y x '=设,,则, 即,同理可得,(8分) 又为直线上的动点,设, 则,,由两点确定一条直线可得的方程为, 即,(10分) ∴直线恒过定点, ∴点到直线距离的最大值为.(12分)题组三、圆锥曲线中的定点、定值问题3‐1、(南京师大附中2022—2023学年度高三第一学期10月检测)(本小题满分12分)已知双曲线2222:1(0,0)x y C a b a b-=>>的离心率为2,C 的右焦点F 与点M (0,2)的连线与C 的一条渐近线垂直.(1)求双曲线C 的标准方程:(2)经过点M 且斜率不为零的直线l 与C 的两支分别交于点A ,B ,①若O 为坐标原点,求OA OB ⋅的取值范围:②若点D 是点B 关于y 轴的对称点,证明:直线AD 过定点【答案解析】(1)由已知得22222()1c e a ba c c a b⎧==⎪⎪⎪⋅-=-⎨⎪=+⎪⎪⎩,解得3a b c ⎧=⎪=⎨⎪=⎩,即22:139x y C -=;(2)由题意设()()1122:2,,,,AB l y kx A x y B x y =+()11,A x y ()22,B x y ()1112y y x x x -=-112x x y y =+222x x y y =+P 1y x =-(),1P t t -1121x t t y =-+2221x t t y =-+AB 21xt t y =-+()()2110t x y ---=AB 1,12M ⎛⎫⎪⎝⎭OAB 2OM ==则()12122222222121222124233341301312913933k y kx y y x x k k k x kx x y kx x y y k k ⎧⎧⎧=++=+=⎪⎪⎪⎪⎪⎪--⇒---=⇒⇒⎨⎨⎨---=⎪⎪⎪==⎪⎪⎪--⎩⎩⎩由题意得2120030k x x ∆>⎧⇒<<⎨<⎩①221212222131299128193333k k OA OB x x y y k k k -+-+⋅=+===+<---- ; ②由对称性得直线AD 过定点在y 轴上,设定点(0,)T t ,则有A ,T ,D 三点共线, 即1221122121211212AT DT y t y t x y x yk k x y x t x y x t t x x x x ---+=⇒=⇒+=+⇒=+()()21121212122222x kx x kx kx x t x x x x +++⇒==+++代入韦达定理得92t =-,即直线AD 过定点90,2⎛⎫- ⎪⎝⎭.3‐2、(江苏省海安高级中学2023届高三期初学业质量监测)已知椭圆:的离心率为,短轴长为2.(1)求的方程;(2)过点且斜率不为0的直线与自左向右依次交于点,,点在线段上,且,为线段的中点,记直线,的斜率分别为,,求证:为定值. 【答案解析】【要点分析】(1)根据条件列出关于a,b 的方程,求得a,b 的值,即得答案; (2)设直线方程,,联立椭圆方程,可得根与系数的关系式,表示P点坐标,结合,可得N 点坐标,从而可证明结论. 【小问1详解】E ()222210x y a b a b +=>>2E ()4,0M -l E B C N BC MB NBMC NC=P BC OP ON 1k 2k 12k k (4)y k x =+11223300(,),(,),(,),(,)B x y C x y N x y P x y MB NBMC NC=由椭圆:的离心率为,短轴长为2,可知 ,则 ,故的方程为;【小问2详解】证明:由题意可知直线的斜率一定存在,故设直线的方程为,设,联立,可得,, 则, 所以,又,所以, 解得, 从而 , 故,即为定值.3‐3、(江苏连云港2023届高三上学期期中考试) 已知椭圆C :()222210x y a b a b +=>>经过点2P ⎛⎫ ⎪ ⎪⎝⎭,E ()222210x y a b a b +=>>2,222c b a==22231,44b a a -=∴=E 2214x y +=l l (4)y k x =+11223300(,),(,),(,),(,)B x y C x y N x y P x y 2214(4)x y y k x ⎧+=⎪⎨⎪=+⎩2222(41)326440k x k x k +++-=22116(112)0,012k k ∆=->∴<<2212122232644,4141k k x x x x k k --+==++220002222164164,,(,414114)4(41k k k kx y x P k k k k k --==∴++++=+MB NB MC NC=31122344x x x x x x -+=+-2222121233212264432424()41411,3328841k k x x x x k k x y k k x x k --⨯+⨯++++===-=-++++(1,3)N k -03120313(3)44y y k k k x x k ⋅=⋅=-⨯-=12k k31,2Q ⎛⎫ ⎪⎝⎭.(1)求椭圆C 的方程;(2)过椭圆C 右焦点的直线l 交椭圆于A ,B 两点,交直线x =4于点D .设直线QA ,QD ,QB 的斜率分别为1k ,2k ,3k ,若20k ≠,证明:132k k k +为定值. 【答案解析】【要点分析】(1)将椭圆上两点代入方程,得到方程组,求解,可得到a 、b ;(2)设出直线AB 方程y =k (x -1),得到D 点坐标()4,3k ,联立直线AB 与椭圆方程,得到A ,B 两点坐标之间的关系,根据坐标,分别表示出1k ,2k ,3k ,化简代入即可得到定值. 【小问1详解】将点2P ⎛⎫ ⎪ ⎪⎝⎭,点31,2Q ⎛⎫ ⎪⎝⎭代入椭圆方程()222210x y a b a b +=>>, 得222233141914a b ab ⎧+=⎪⎪⎨⎪+=⎪⎩,解得2243a b ⎧=⎨=⎩,所以椭圆方程为22143x y +=.【小问2详解】由题意直线AB 的斜率一定存在,由(1)知,c =1,则椭圆的右焦点坐标为()1,0, 设直线AB 方程为:y =k (x -1),D 坐标为()4,3k .所以23312412k k k -==--, 设()11,A x y ,()22,B x y ,将直线AB 方程与椭圆方程联立得()22223484120kxk x k +-+-=.()()()()22222844341214410k k k k ∆=--+-=+>恒成立,由韦达定理知2122212283441234k x x k k x x k ⎧+=⎪⎪+⎨-⎪=⎪+⎩,且()111y k x =-,()221y k x =-, 则()()121213121233331122221111y y k x k x k k x x x x ------+=+=+----()12121223221x x k x x x x +-=-⋅-++2222228233424128213434k k k k k k k-+=-⋅--+++21k =-.故13221212k k k k k +-==-(定值). 题组四、 圆锥曲线中的探索性问题4-1、(湖南师大附中2023届高三年级开学初试卷)(本小题满分12分)设21,F F 分别是椭圆)0(1:2222>>=+b a by a x C 的左、右焦点,M 是C 上一点,2MF与x 轴垂直,直线1MF 与C 的另一个交点为N ,且直线MN 的斜率为42. (1)求椭圆C 的离心率.(2)设)1,0(D 是椭圆C 的上顶点,过D 任作两条互相垂直的直线分别交椭圆C 于B A .两点,过点D 作线段AB 的垂线,垂足为Q ,判断在y 轴上是否存在定点R ,使得||RQ 的长度为定值?并证明你的结论.【答案解析】(1)由题意知,点M 在第一象限.M 是C 上一点且2MF 与x 轴垂直,M ∴的横坐标为c ,当c x =时,a b y 2=,即.,2⎪⎪⎭⎫ ⎝⎛a b c M …………………(2分) 又直线MN 的斜率为42,所以4222tan 2221===∠acb c a b F MF , 即22222c a ac b -==,即02222=-+a ac c ,………………………………(4分)则01222=-+e e ,解得22=e 或2-=e (舍去), 即.22=e …………………………………(5分)(2)已知)1,0(D 是椭圆的上顶点,则1=b ,椭圆的方程为1222=+y x ,………(6分)设直线AB 的方程为m kx y +=,),(),,(2211y x B y x A ,由⎩⎨⎧=++=2222y x m kx y 可得)*(0)1(24)21(222=-+++m kmx x k , 所以221214kkm x x +-=+,222121)1(2k m x x +-=, 又)1,(11-=y x DA )1,(.22-=y x DB , ………………………………(8分))1)(1()1)(1(21212121-+-++=--+=⋅m kx m kx x x y y x x DB DA221212)1())(1()1(-++-++=m x x m k x x k021)1)(21()(4)1)(1(2)1(214).1(21)1(2).1(222222222222=+-++--+-=-++--++-+=k m k m m k k m m k km m k k m k , 化简整理有01232=--m m ,得31-=m 或.1=m 当1=m 时,直线AB 经过点D ,不满足题意; ………………………………(10分) 当31-=m 时满足方程(*)中0>∆,故直线AB 经过y 轴上定点.31,0⎪⎭⎫ ⎝⎛-G 又Q 为过点D 作线段AB 的垂线的垂足,故Q 在以DG 为直径的圆上,取DG 的中点为⎪⎭⎫ ⎝⎛31,0R ,则||RQ 为定值,且=||RQ .32||21=DG …………………………(12分)4‐2、(南京市2023届高三年级学情调研) 已知抛物线C :()220y px p =>的焦点为F ,过点P (0,2)的动直线l 与抛物线相交于A ,B 两点.当l 经过点F 时,点A 恰好为线段PF 中点. (1)求p 的值;(2)是否存在定点T , 使得TA TB ⋅为常数? 若存在,求出点T 的坐标及该常数; 若不存在,说明理由.【答案解析】【要点分析】(1)结合中点坐标公式表示出点A 的坐标带入抛物线的方程即可求出结果; (2)设出直线的方程与抛物线联立,进而结合根与系数的关系得到TA TB ⋅的表达式,从而可得4040m ⎧+-=⎪⎨-=⎪⎩,因此解方程组即可求出结果.【小问1详解】 因为(),0,0,22p F P ⎛⎫⎪⎝⎭,且点A 恰好为线段PF 中点,所以,14p A ⎛⎫ ⎪⎝⎭,又因为A 在抛物线上,所以2124p p =⋅,即22p =,解得P =【小问2详解】设(),T m n ,可知直线l 斜率存在;设l :2y kx =+,()()1122,,,A x y B x y联立方程得:22y y kx ⎧=⎪⎨=+⎪⎩,所以220y k -+=,所以1212,y y y y k k+==, 又:()()()1212)(TA TB x m x m y n y n ⋅=--+--()()22121244y m y m y n y n ⎛⎫⎛⎫--+-- ⎪⎪ ⎪⎪⎭⎝⎭= ⎝()()222222*********y y m y y m n y y n -++-++=2222484m m n k k k k k ⎛⎫=--++-+ ⎪ ⎪⎝⎭22244m m n k k+-+++=-,令4040m ⎧+=⎪⎨-=⎪⎩,解之得:4m n ⎧=⎪⎨=⎪⎩,即)4T ,此时2218TA TB m n ⋅=+=4‐3、(湖北省鄂东南省级示范高中教改联盟学校2023届高三上学期期中联考)(本题满分12分)设点P 为圆上的动点,过点P 作x 轴垂线,垂足为点Q ,动点M 满足(点P 、Q 不重合)(1)求动点M 的轨迹方程E ;(2)若过点的动直线与轨迹E 交于A 、B 两点,定点N 为,直线NA 的斜率为,直线NB 的斜率为,试判断是否为定值.若是,求出该定值;若不是,请说明理由.22:4C x y +=2MQ =(4,0)T 31,2⎛⎫⎪⎝⎭1k 2k 12k k +答案解析:(1)设点P 为,动点M 为,则Q 点为求得:又即点M 的轨迹方程为:4分(2)设直线AB 方程为:则消x 得 或设A 点,B 点则求得: 8分()00,x y (,)x y ()0,0x ()()00,,0,MQ x x y PQ y =--=-())0022,0,MQ x x y y =∴--=-002x x y =⎧⎪⎨-=⎪⎩2222004443x y x y +=∴+= 221(0)43x y y +=≠4x my =+224143x my x y=+⎧⎪⎨+=⎪⎩()223424360m y my +++=()22(24)436340m m =-⨯+> △2m ∴>2m <-()11,x y ()22,x y 1212222436,3434m y y y y m m +=-⋅=++()121232my y y y =-+()()1212121221212123332392223339my y m y y y y k k my my m y y m y y ⎛⎫+-+--- ⎪⎝⎭∴+=+=+++++()()()1212123923392m y y m y y m y y -+-=-++++()()1212392392m y y m y y -+-=++1=-。
专题3.2 函数的单调性与最值1.(2021·全国高一课时练习)函数f(x)=1,01,0x xx x+≥⎧⎨-<⎩在R上()A.是减函数B.是增函数C.先减后增D.先增后减【答案】B【解析】画出函数图像即可得解.【详解】选B.画出该分段函数的图象,由图象知,该函数在R上是增函数.故选:B.2.(2021·全国高一课时练习)若定义在R上的函数f(x)对任意两个不相等的实数a,b,总有()-()-f a f ba b>0成立,则必有()A.f(x)在R上是增函数B.f(x)在R上是减函数C.函数f(x)先增后减D.函数f(x)先减后增【答案】A【解析】根据条件可得当a<b时,f(a)<f(b),或当a>b时,f(a)>f(b),从而可判断.【详解】练基础由()-()-f a f b a b>0知f (a )-f (b )与a -b 同号,即当a <b 时,f (a )<f (b ),或当a >b 时,f (a )>f (b ),所以f (x )在R 上是增函数. 故选:A.3.(2021·全国高一课时练习)设函数f (x )是(-∞,+∞)上的减函数,则 ( ) A .f (a )>f (2a ) B .f (a 2)<f (a ) C .f (a 2+a )<f (a ) D .f (a 2+1)<f (a )【答案】D 【解析】利用0a =排除ABC ,作差可知21a a +>,根据单调性可知D 正确. 【详解】当0a =时,选项A 、B 、C 都不正确; 因为22131()024a a a +-=-+>,所以21a a +>, 因为()f x 在(,)-∞+∞上为减函数,所以2(1)()f a f a +<,故D 正确.故选:D4.(2021·西藏高三二模(理))已知函数()332f x x x =--,若()()320f m f m -+-<,则实数m 的取值范围为( ) A .(),3-∞ B .()3,+∞C .(),3-∞-D .()3,-+∞【答案】C 【解析】根据函数为奇函数且在R 上单调递减可得()()32f m f m -<求解. 【详解】易知()f x 为R 上的奇函数,且在R 上单调递减, 由()()320f m f m -+-<, 得()()()322f m f m f m -<--=, 于是得32m m ->,解得3m <-. 故选:C .5.(2021·广西来宾市·高三其他模拟(理))已知定义在R 上的偶函数()f x 满足在[0,)+∞上单调递增,(3)0f =,则关于x 的不等式(2)(2)0f x f x x++-->的解集为( )A .(5,2)(0,)--+∞ B .(,5)(0,1)-∞- C .(3,0)(3,)-⋃+∞ D .(5,0)(1,)-+∞【答案】D 【解析】根据题意作出函数()f x 的草图,将(2)(2)0f x f x x++-->,转化为2(2)0f x x +>,利用数形结合法求解. 【详解】因为定义在R 上的偶函数()f x 满足在(0,)+∞内单调递增, 所以()f x 满足在(,0)-∞内单调递减,又(3)0f =, 所以(3)(3)0f f -==. 作出函数()f x 的草图如下:由(2)(2)0f x f x x ++-->,得(2)[(2)]0f x f x x++-+>,得2(2)0f x x+>, 所以0,(2)0,x f x >⎧⎨+>⎩或0,(2)0,x f x <⎧⎨+<⎩所以0,23,x x >⎧⎨+>⎩或0,323,x x <⎧⎨-<+<⎩ 解得1x >或5x 0-<<, 即不等式(2)(2)0f x f x x++-->的解集为(5,0)(1,)-+∞.故选:D6.(2021·黑龙江哈尔滨市·哈师大附中高三三模(文))已知函数()22f x x x -=-( )A .是奇函数,0,单调递增B .是奇函数,0,单调递减C .是偶函数,0,单调递减D .是偶函数,0,单调递增【答案】D 【解析】利用奇偶性和单调性的定义判断即可 【详解】解:定义域为{}0x x ≠, 因为2222()()()()f x x x x x f x ---=---=-=,所以()f x 为偶函数,任取12,(0,)x x ∈+∞,且12x x <,则2222212211()()f x f x x x x x ---=--+212122121()()(1)x x x x x x =-++, 因为12x x <,12,(0,)x x ∈+∞,所以212122121()()(1)0x x x x x x -++>,所以21()()f x f x >,所以()f x 在0,单调递增,故选:D7.(2021·全国高三月考(理))若()f x 是奇函数,且在(,0)-∞上是减函数,又(4)0f -=,则(2)(2)0f x f x x+--->的解集是( )A .(4,0)(4,)-⋃+∞B .(6,2)(0,2)--⋃C .(6,2)(2,)--⋃+∞D .(,4)(0,4)-∞-⋃【答案】B 【解析】根据函数()f x 为奇函数,(4)0f -=得到(4)0f =,再由函数在(,0)-∞上是减函数,作出函数()f x 的图象,再由(2)(2)0f x f x x +--->,等价于2(2)0f x x+>,利用数形结合法求解.【详解】因为函数()f x 为奇函数, 所以(4)(4)0f f -=-=, 所以(4)0f =,因为函数()f x 在(,0)-∞上是减函数, 所以函数()f x 在(0,) +∞上是减函数. 作出函数()f x 的大致图象如图所示,而(2)(2)0f x f x x +--->,等价于(2)[(2)]0f x f x x +--+>,即2(2)0f x x+>,则0(2)0x f x <⎧⎨+<⎩或0(2)0x f x >⎧⎨+>⎩,所以0420x x <⎧⎨-<+<⎩或0024x x >⎧⎨<+<⎩,解得62x -<<-或02x <<. 综上,(2)(2)0f x f x x+--->的解集是(6,2)(0,2)--⋃.故选:B8.(2021·全国高三专题练习(文))已知函数()||2f x x x x =⋅-,则下列结论正确的是( )A .()f x 是偶函数,递增区间是()0-∞,B .()f x 是偶函数,递减区间是()1-∞,C .()f x 是奇函数,递减区间是(11)-, D .()f x 是奇函数,递增区间是(0)+∞,【答案】C 【解析】将函数解析式化为分段函数型,画出函数图象,数形结合即可判断; 【详解】解:将函数()||2f x x x x =⋅-去掉绝对值得2220()20x x x f x x x x ⎧-≥=⎨--<⎩,,,画出函数()f x 的图象,如图,观察图象可知,函数()f x 的图象关于原点对称,故函数()f x 为奇函数,且在(11)-,上单调递减, 故选:C9.(2021·宁夏银川市·高三二模(文))设函数()21f x x x=-,则()f x ( )A .是偶函数,且在(),0-∞单调递增B .是偶函数,且在(),0-∞单调递减C .是奇函数,且在(),0-∞单调递增D .是奇函数,且在(),0-∞单调递减【答案】B 【解析】利用定义可判断函数()f x 的奇偶性,化简函数()f x 在(),0-∞上的解析式,利用函数单调性的性质可判断函数()f x 在(),0-∞上的单调性. 【详解】函数()21f x x x =-的定义域为{}0x x ≠,()()()2211f x x x f x x x-=--=-=-, 所以,函数()f x 为偶函数, 当0x <时,()21f x x x=+,由于函数2y x 、1y x=在(),0-∞上均为减函数,所以,函数()f x 在(),0-∞上单调递减, 故选:B.10.(2021·全国高一课时练习)已知y =f (x )是定义在区间(-2,2)上单调递减的函数,若f (m -1)>f (1-2m ),则m 的取值范围是_______. 【答案】1223⎛⎫- ⎪⎝⎭, 【解析】结合函数定义域和函数的单调性列不等式求解即可. 【详解】由题意得:-2-12-21-22-11-2m m m m <<⎧⎪<<⎨⎪<⎩,,,解得12-<m <23.故答案为:1223⎛⎫- ⎪⎝⎭,1.(2021·黑龙江大庆市·大庆实验中学高二月考(文))定义在*N 上的函数()22,3,3x ax a x f x ax x ⎧-+<=⎨≥⎩为递增函数,则头数a 的取值范围是( ) A .()1,2 B .33,42⎛⎫⎪⎝⎭C .3,14⎡⎫⎪⎢⎣⎭D .()1,3【答案】D 【解析】练提升根据定义域和单调性可知()()12f f <,再根据3x ≥时()f x 的单调性判断出()()32f f >,由此求解出a 的取值范围..【详解】因为*x ∈N ,所以3x <时,即{}1,2x ∈,由单调性可知()()21f f >,所以22142a a a a -+<-+,解得3a <;当3x ≥时,y ax =为增函数,若()f x 单调递增,则只需()()32f f >,所以2342a a a >-+,解得14a <<,综上可知a 的取值范围是:()1,3, 故选:D.2.(2021·上海高三二模)已知函数()(),y f x y g x ==满足:对任意12,x x R ∈,都有()()()()1212f x f x g x g x -≥-.命题p :若()y f x =是增函数,则()()y f x g x =-不是减函数;命题q :若()y f x =有最大值和最小值,则()y g x =也有最大值和最小值. 则下列判断正确的是( ) A .p 和q 都是真命题 B .p 和q 都是假命题 C .p 是真命题,q 是假命题 D .p 是假命题,q 是真命题【答案】A 【解析】利用函数单调性定义结合已知判断命题p 的真假,再利用函数最大、最小值的意义借助不等式性质判断命题q 的真假而得解. 【详解】对于命题p :设12x x <,因为()y f x =是R 上的增函数,所以()()12f x f x <, 所以()()()()1221f x f x f x f x -=-, 因为()()()()1212f x f x g x g x -≥-,所以()()()()211221()()f x f x g x g x f x f x -+≤-≤-所以()()1122()()f x g x f x g x -≤- 故函数()()y f x g x =-不是减函数, 故命题p 为真命题;对于命题():q y f x =在R 上有最大值M ,此时x a =,有最小值m ,此时x b =, 因为()()()()()()()()f x f a g x g a f x M g x g a M f x -≥-⇔-≤-≤-,()()()()()()()()f x f b g x g b m f x g x g b f x m -≥-⇔-≤-≤-所以()()()()2()()()()22m M g a g b M m g a g b m M g x g a g b M m g x -++-++-≤--≤-⇔≤≤,所以()y g x =也有最大值和最小值,故命题q 为真命题. 故选:A3.(2021·全国高三二模(理))已知实数a ,b ,c ,d 满足a b c >>,且0a b c ++=,220ad bd b +-=,则d 的取值范围是( ) A .(][),10,-∞-+∞B .()1,1-C .(D .(11--+【答案】D 【解析】先求解出方程的解1,2d ,然后利用换元法(bt a=)将d 表示为关于t 的函数,根据条件分析t 的取值范围,然后分析出d 关于t 的函数的单调性,由此求解出d 的取值范围. 【详解】因为220ad bd b +-=,所以1,2b b d a a -==-±2440b ab ∆=+≥,令bt a=,则1,2d t =-±20t t +≥,所以(][),10,t ∈-∞-+∞,又因为0a b c ++=且a b c >>,所以0a >且c a b b a =--<<, 所以2,a b b a -<<,所以112bt a-<=<,所以[)0,1t ∈,当[)0,1t ∈时,())10,1d t t =-==∈, 因为1y t=在()0,1上单调递减,所以y t =-()0,1上单调递增, 当0t =时,10d =,当1t =时,11d =,所以)11d ⎡∈⎣; 当[)0,1t ∈时,2d t =-,因为y t =、2y t t =+在[)0,1上单调递增,所以y t =-[)0,1上单调递减, 当0t =时,20d =,当1t =时,21d =-(21d ⎤∈-⎦,综上可知:(11d ∈---, 故选:D.4.【多选题】(2021·湖南高三三模)关于函数()111f x x x =++的结论正确的是( ) A .()f x 在定义域内单调递减 B .()f x 的值域为R C .()f x 在定义城内有两个零点 D .12y f x ⎛⎫=-⎪⎝⎭是奇函数 【答案】BD 【解析】根据所给函数结合函数性质,对各项逐个分析判断, 即可得解. 【详解】()111f x x x =++的定义域为(,1)(1,0)(0,)-∞--+∞, 而1x和11x +在各段定义域内均为减函数, 故()f x 在各段上为减函数,但不能说在定义域内单调递减,故A 错误; 当(1,0)x ∈- ,1x →-时,有()111f x x x =+→+∞+, 当0x →时,有()111f x x x =+→-∞+,所以()f x 的值域为R ,故B 正确; 令()2112101x f x x x x x+=+==++,可得12x =-,所以()f x 在定义城内有一个零点,故C 错误;2211128111241224x x y f x x x x x ⎛⎫=-=+== ⎪-⎝⎭-+-, 令28()41x g x x =-,易知12x ≠±,此时定义域关于原点对称,且28()()41xg x g x x --==--,故()g x 为奇函数, 所以12y f x ⎛⎫=- ⎪⎝⎭是奇函数,故D 正确, 故选:BD.5.【多选题】(2021·全国高三专题练习)(多选题)已知函数f (x )的定义域为R ,对任意实数x ,y 满足f (x +y )=f (x )+f (y )+12,且f 1()2=0,当x >12时,f (x )>0,则以下结论正确的是( ) A .f (0)=-12,f (-1)=-32B .f (x )为R 上的减函数C .f (x )+12为奇函数 D .f (x )+1为偶函数 【答案】AC 【解析】取0x y ==,11,22x y ==-,12x y ==-得出(0)f ,12f ⎛⎫- ⎪⎝⎭,(1)f -的值进而判断A ;由(1)(0)f f -<判断B ;令y x =-结合奇偶性的定义判断C ;令1()()2=+g x f x ,结合g (x )为奇函数,得出()1()f x f x -+=-,从而判断D.【详解】由已知,令0x y ==,得1(0)(0)(0)2f f f =++,1(0)2f ∴=-,令11,22x y ==-,得1111122222f f f ⎛⎫⎛⎫⎛⎫-=+-+ ⎪ ⎪ ⎪⎝⎭⎝⎭⎝⎭,112f ⎛⎫∴-=- ⎪⎝⎭,再令12x y ==-,得1111122222f f f ⎛⎫⎛⎫⎛⎫--=-+-+ ⎪ ⎪ ⎪⎝⎭⎝⎭⎝⎭,3(1)2f ∴-=-,A 正确;(1)(0)f f -<,()f x ∴不是R 上的减函数,B 错误;令y x =-,得1()()()2f x x f x f x -=+-+,11()()022f x f x ⎡⎤⎡⎤∴++-+=⎢⎥⎢⎥⎣⎦⎣⎦,故C正确;令1()()2=+g x f x ,由C 可知g (x )为奇函数,11()()22g x g x ∴-+=-+,即1111()()2222f x f x ⎡⎤⎡⎤-++=-++⎢⎥⎢⎥⎣⎦⎣⎦,()1()f x f x ∴-+=-,故D 错误. 故选:AC6.【多选题】(2021·全国高一单元测试)如果函数()f x 在[,]a b 上是增函数,对于任意的1212,[,]()x x a b x x ∈≠,则下列结论中正确的是( )A .1212()()0f x f x x x ->-B .1212()[()()]0x x f x f x -->C .12()()()()f a f x f x f b ≤<≤D .12()()f x f x >E.1212()()0f x f x x x -<-【答案】AB 【解析】利用函数单调性的定义:12x x -与12()()f x f x -同号,判断A 、B 、E 的正误;而对于C 、D 选项,由于12,x x 的大小不定,1()f x 与2()f x 的大小关系不能确定. 【详解】由函数单调性的定义知,若函数()y f x =在给定的区间上是增函数,则12x x -与12()()f x f x -同号,由此可知,选项A ,B 正确,E 错误;对于选项C 、D ,因为12,x x 的大小关系无法判断,则1()f x 与2()f x 的大小关系确定也无法判断,故C ,D 不正确.故选:AB.7.【多选题】(2021·全国高一课时练习)(多选题)已知函数()f x 的定义域为D ,若存在区间[,]m n D ⊆使得()f x :(1)()f x 在[,]m n 上是单调函数; (2)()f x 在[,]m n 上的值域是[2,2]m n , 则称区间[,]m n 为函数()f x 的“倍值区间”. 下列函数中存在“倍值区间”的有( ) A .2()f x x =; B .1()f x x=; C .1()f x x x=+; D .23()1x f x x =+.【答案】ABD 【解析】函数中存在“倍值区间”,则()f x 在[],m n 内是单调函数,()()22f m m f n n ⎧=⎪⎨=⎪⎩或()()22f m nf n m ⎧=⎪⎨=⎪⎩,对四个函数的单调性分别研究,从而确定是否存在“倍值区间”. 【详解】函数中存在“倍值区间”,则(1)()f x 在[,]m n 内是单调函数,(2)()2()2f m m f n n =⎧⎨=⎩或()2()2f m nf n m=⎧⎨=⎩,对于A ,2()f x x =,若存在“倍值区间”[,]m n ,则()2()2f m m f n n =⎧⎨=⎩⇒2222m m n n⎧=⎨=⎩⇒02m n =⎧⎨=⎩,2()f x x ∴=,存在“倍值区间”[0,2];对于B ,1()()f x x R x =∈,若存在“倍值区间”[,]m n ,当0x >时,1212n m mn⎧=⎪⎪⎨⎪=⎪⎩⇒12mn =,故只需12mn =即可,故存在; 对于C ,1()f x x x=+;当0x >时,在区间[0,1]上单调递减,在区间[1,)+∞上单调递增, 若存在“倍值区间”1[],1][0,2n m n m m ⊆⇒+=,212210n m m mn n+=⇒-+=,222210n mn m n -+=⇒=不符题意;若存在“倍值区间”1[,][1,)2m n m m m ⊆+∞⇒+=,22121n n m n n+=⇒==不符题意,故此函数不存在“倍值区间“; 对于D ,233()11x f x x x x==++,所以()f x 在区间[0,1]上单调递增,在区间[1,)+∞上单调递减,若存在“倍值区间”[,][0,1]m n ⊆,2321m m m =+,2321n n n =+,0m ∴=,2n =, 即存在“倍值区间”[0,2; 故选:ABD .8.(2021·全国高三专题练习(理))已知1a >,b R ∈,当0x >时,[]24(1)102x a x b x ⎛⎫---⋅-≥ ⎪⎝⎭恒成立,则3b a +的最小值是_____.3 【解析】根据题中条件,先讨论10,1x a ⎛⎤∈ ⎥-⎝⎦,根据不等式恒成立求出114(1)21b a a ⎡⎤≥--⎢⎥-⎣⎦;再讨论1,1x a ⎡⎫∈+∞⎪⎢-⎣⎭,求出114(1)21b a a ⎡⎤≤--⎢⎥-⎣⎦得到b ,再由基本不等式即可求出结果.【详解】当10,1x a ⎛⎤∈ ⎥-⎝⎦时,(1)10a x --<,即2402x b x--≤恒成立, 24222x x y x x-==-是10,1x a ⎛⎤∈ ⎥-⎝⎦上的增函数, ∴114(1)21b a a ⎡⎤≥--⎢⎥-⎣⎦, 当1,1x a ⎡⎫∈+∞⎪⎢-⎣⎭时,(1)10a x -->,即2402x b x--≥恒成立,24222x x y x x-==-是1,1x a ⎡⎫∈+∞⎪⎢-⎣⎭上的增函数, ∴114(1)21b a a ⎡⎤≤--⎢⎥-⎣⎦, ∴114(1)21b a a ⎡⎤=--⎢⎥-⎣⎦,∴13(1)332(1)b a a a +=+-+≥-,当12a =+时等号成立.3.9.(2021·全国高三专题练习)对于满足2p ≤的所有实数p ,则使不等式212x px p x ++>+恒成立的x的取值范围为______.【答案】()()13+-∞-⋃∞,,. 【解析】将不等式转化为在[-2,2]内关于p 的一次函数函数值大于0恒成立求参变量x 的范围的问题. 【详解】解:原不等式可化为2(1)210x p x x -+-+>,令2()(1)21f p x p x x =-+-+,则原问题等价于()0f p >在[2,2]p ∈-上恒成立,则(2)0(2)0f f ->⎧⎨>⎩,即2243010x x x ⎧-+>⎨->⎩解得:1311x x x x ⎧⎪⎨-⎪⎩或或∴1x <-或3x >. 即x 的取值范围为()()13+-∞-⋃∞,,. 故答案为:()()13+-∞-⋃∞,,. 10.(2021·上海高三二模)已知a R ∈,函数()22,011,02x a x x f x x ax a x ⎧++-≥⎪=⎨-++<⎪⎩的最小值为2a ,则由满足条件的a 的值组成的集合是_______________.【答案】{3- 【解析】讨论a -与0、2的大小关系,判断函数()f x 在[)0,+∞、(),0-∞上的单调性与最小值,根据函数()f x 的最小值列方程解出实数a 的值.【详解】分以下三种情况讨论:①若0a -≤时,即当0a ≥时,()222,22,0211,02x a x f x a x x ax a x ⎧⎪+->⎪=+≤≤⎨⎪⎪-++<⎩,所以,函数()f x 在(),0-∞上单调递减,且()112f x a >+, 当0x ≥时,()min 1212f x a a =+>+, 此时,函数()f x 无最小值;②若02a <-≤时,即当20a -≤<时,()222,22,222,011,02x a x a a x f x x a x a x ax a x +->⎧⎪+-≤≤⎪⎪=⎨--+≤<-⎪⎪-++<⎪⎩,当0x <时,()211242a a f x f a ⎛⎫≥=-++ ⎪⎝⎭, 当0x ≥时,()2f x a ≥+.22a a +>,所以,21242a aa -++=,整理可得2640a a +-=,20a -≤<,解得3a =-±; ③当2a ->时,即当2a <-时,()222,2,222,0211,02x a x a a x a f x x a x x ax a x +->-⎧⎪--≤≤-⎪⎪=⎨--+≤<⎪⎪-++<⎪⎩,当0x <时,()211242a a f x f a ⎛⎫≥=-++ ⎪⎝⎭, 当0x ≥时,()2f x a ≥--.因为202a a -->>,所以,21242a aa -++=,整理可得2640a a +-=,2a <-,解得3a =-3a =-+.综上所述,实数a的取值集合为{3-.故答案为:{3-.1.(2020·全国高考真题(文))设函数331()f x x x =-,则()f x ( ) A .是奇函数,且在(0,+∞)单调递增 B .是奇函数,且在(0,+∞)单调递减 C .是偶函数,且在(0,+∞)单调递增 D .是偶函数,且在(0,+∞)单调递减【答案】A 【解析】根据函数的解析式可知函数的定义域为{}0x x ≠,利用定义可得出函数()f x 为奇函数, 再根据函数的单调性法则,即可解出. 【详解】因为函数()331f x x x =-定义域为{}0x x ≠,其关于原点对称,而()()f x f x -=-, 所以函数()f x 为奇函数.又因为函数3y x =在0,上单调递增,在,0上单调递增, 而331y x x-==在0,上单调递减,在,0上单调递减,所以函数()331f x x x=-在0,上单调递增,在,0上单调递增.故选:A .2.(2019·北京高考真题(文))下列函数中,在区间(0,+∞)上单调递增的是( ) A .12y x = B .y =2x -C .12log y x =D .1y x=【答案】A 【解析】函数122,log xy y x -==, 练真题1y x=在区间(0,)+∞ 上单调递减, 函数12y x = 在区间(0,)+∞上单调递增,故选A .3.(2018·全国高考真题(文))设函数()2010x x f x x -⎧≤=⎨>⎩,,,则满足()()12f x f x +<的x 的取值范围是( )A .(]1-∞-,B .()0+∞,C .()10-,D .()0-∞,【答案】D 【解析】分析:首先根据题中所给的函数解析式,将函数图像画出来,从图中可以发现若有()()12f x f x +<成立,一定会有2021x x x <⎧⎨<+⎩,从而求得结果.详解:将函数()f x 的图像画出来,观察图像可知会有2021x x x <⎧⎨<+⎩,解得0x <,所以满足()()12f x f x +<的x 的取值范围是()0-∞,,故选D .4.(2017课标II)函数2()ln(28)f x x x =-- 的单调递增区间是( ) A.(,2)-∞- B. (,1)-∞- C. (1,)+∞ D. (4,)+∞ 【答案】D【解析】函数有意义,则:2280x x --> ,解得:2x <- 或4x > ,结合二次函数的单调性、对数函数的单调性和复合函数同增异减的原则可得函数的单调增区间为()4,+∞ . 故选D.5.(2017天津)已知奇函数()f x 在R 上是增函数.若0.8221(log ),(log 4.1),(2)5a fb fc f =-==,则,,a b c 的大小关系为( )(A )a b c <<(B )b a c <<(C )c b a <<(D )c a b << 【答案】C【解析】由题意:()221log log 55a f f ⎛⎫=-= ⎪⎝⎭,且:0.822log 5log 4.12,122>><<, 据此:0.822log 5log 4.12>>,结合函数的单调性有:()()()0.822log 5log 4.12f f f >>, 即,a b c c b a >><<,本题选择C 选项.6.(2020·北京高考真题)为满足人民对美好生活的向往,环保部门要求相关企业加强污水治理,排放未达标的企业要限期整改,设企业的污水排放量W 与时间t 的关系为()W f t =,用()()f b f a b a---的大小评价在[,]a b 这段时间内企业污水治理能力的强弱,已知整改期内,甲、乙两企业的污水排放量与时间的关系如下图所示.给出下列四个结论: ①在[]12,t t 这段时间内,甲企业的污水治理能力比乙企业强;②在2t 时刻,甲企业的污水治理能力比乙企业强; ③在3t 时刻,甲、乙两企业的污水排放都已达标;④甲企业在[][][]112230,,,,,t t t t t 这三段时间中,在[]10,t 的污水治理能力最强. 其中所有正确结论的序号是____________________. 【答案】①②③ 【解析】根据定义逐一判断,即可得到结果 【详解】()()f b f a b a---表示区间端点连线斜率的负数,在[]12,t t 这段时间内,甲的斜率比乙的小,所以甲的斜率的相反数比乙的大,因此甲企业的污水治理能力比乙企业强;①正确;甲企业在[][][]112230,,,,,t t t t t 这三段时间中,甲企业在[]12,t t 这段时间内,甲的斜率最小,其相反数最大,即在[]12,t t 的污水治理能力最强.④错误;在2t 时刻,甲切线的斜率比乙的小,所以甲切线的斜率的相反数比乙的大,甲企业的污水治理能力比乙企业强;②正确;在3t 时刻,甲、乙两企业的污水排放量都在污水打标排放量以下,所以都已达标;③正确; 故答案为:①②③。
高三数学高考模拟试题及答案第一部分选择题1. 已知函数 $f(x) = \dfrac{x^2 - 4}{x - 2}$,则 $f(x)$ 的极限为()A. $\dfrac{1}{2}$B. $-2$C. $+\infty$D. $-\infty$2. 如图,对数函数 $y=\log_{\frac{1}{2}}(x-1)$ 的图像经过两点 $P(4,3)$,$Q(8,y)$。
则 $y=$()A. 3B. 5C. 6D. 73. 在 $\triangle ABC$ 中,$AB=3$,$BC=\dfrac{5}{2}$,$\angle C=90^\circ$,$D$ 为 $BC$ 的中点,$E$ 为 $AC$ 上一点,$BE$ 延长线交 $AD$ 于点 $F$。
则 $EF=$()A. $\dfrac{5}{3}$B. $\dfrac{25}{24}$C. $\dfrac{7}{4}$D. $\dfrac{17}{8}$4. 已知函数 $f(x)=\dfrac{2\sin x+\cos x}{\sin x-2\cos x}$,则$f\left(\dfrac{\pi}{2}+x\right)=$()A. $1+f(x)$B. $1-f(x)$C. $f(x)-1$D. $-1-f(x)$5. 已知 $x>2$,$\log_2{(2x-3)}+\log_2{(x+1)}=4$,则 $x=$()A. 3B. 5C. 7D. 9答案:1. D2. B3. B4. A5. C第二部分简答题1. 证明 $x+y\geqslant 2\sqrt{xy}$ 为二次函数 $y=\left(x-\dfrac{y}{2}\right)^2-\dfrac{y^2}{4}$ 的非负性。
2. 已知 $a^2+b^2=1$,求 $\dfrac{5a+12b}{13}$ 的最大值。
3. 在动态规划中,解决问题的一般步骤是什么?4. 概率统计中,什么是贝叶斯公式?其应用场景有哪些?5. 对于某个事件的先验概率为 $p(A)$,我们观测到了该事件发生,且得到了一个新的条件概率,那么它的后验概率为什么?答案:1. 将二次函数化为顶点式 $y=\left(x-\dfrac{y}{2}\right)^2-\dfrac{y^2}{4}$,则$y\geqslant 0$。
高三高考数学基础练习题
题一:
解方程:3x + 5 = 17
解析:
将方程式中的5移到等号右侧,得到3x = 17 - 5。
计算出右侧的结果为12。
最后,将方程式两边同时除以3,得到x = 4。
题二:
计算:(4a^2b^3)^2
解析:
根据乘方法则,当一个乘方数被平方时,指数会被乘以2。
所以,根据公式,我们可以将题目转为乘方计算,即(4^2) * (a^2)^2 * (b^3)^2。
计算得到的结果是16 * a^4 * b^6。
题三:
计算下列算式的值:log4(16) + log5(125)
解析:
首先,我们计算指数的值。
log4(16) = 2,表示4的多少次幂等于16。
log5(125) = 3,表示5的多少次幂等于125。
将这两个结果相加,得到2 + 3 = 5。
题四:
已知函数f(x) = 2x^2 - 3x + 1,计算f(3)的值。
解析:
将x替换为3,得到f(3) = 2(3)^2 - 3(3) + 1。
计算方程右侧的数值,我们得到f(3) = 18 - 9 + 1 = 10。
题五:
已知三角形ABC,AB = 5cm,BC = 8cm,AC = 10cm。
计算三角形ABC的面积。
解析:
根据海伦公式,我们可以计算三角形的面积。
首先,计算半周长:p = (AB + BC + AC) / 2 = (5 + 8 + 10) / 2 = 11.5cm。
然后,将半周长代入公式,计算面积:S = √(p * (p - AB) * (p - BC) * (p - AC)) = √(11.5 * (11.5 - 5) * (11.5 - 8) * (11.5 - 10))。
最后,计算得到S ≈ √(11.5 * 6.5 * 3.5 * 1.5) ≈ √432.6875 ≈ 20.8cm²。
总结:
本文根据“高三高考数学基础练习题”题目,按照练习题的格式,给出了五道数学基础练习题及解析。
希望这些练习题能够帮助您复习和巩固高考数学基础知识,为高考备考提供帮助。