基于Simulink的高速跳频通信系统仿真
- 格式:pdf
- 大小:9.34 MB
- 文档页数:4
******水***********实践教学兰州理工大学计算机与通信学院2014年秋季学期通信系统综合训练题目:跳频通信系统的研究与仿真专业班级:_______________姓名:______________________________ 学号:___________________________指导教师:__________________________成绩:___________________________________摘要本次课程设计介绍了跳频通信系统的基本匸作过程,从跳频系统的结构组成、匸作原理、主要技术指标、跳频通信系统的解跳和解调等方面阐述了跳频通信基本原理。
并利用Matlab 中的Simuliiik 仿真系统对跳频通信系统进行了仿真研究和理论分析。
着重研究了其组成部分包括信号生成部分、发送部分、接收部分、判决部分、跳频子系统模块五个部分的工作方式及仿真设计并达到了预期结果。
关键词:跳频系统;扩频通{a; Matlab; Simuliiik仿真前言 (1)1.跳频 (2)1.1跳频通信系统简介及发展状况 (2)1.2跳频通信系统的组成 (3)1.2. 1跳频发送端 (3)1.2. 2跳频接收端 (4)13跳频通信系统关键技术 (5)2.跳频通信理论基础 (6)2.1跳频信号及频率合成器的设计 (6)2.1.1伪随机码-m序列的产生 (6)2.1.2频率合成器设计 (7)2.2桃频调制 (7)2.3跳频信号的解跳与解调 (8)2.3.1跳频信号的解跳 (8)2.3. 2跳频信号的解调 (9)3.跳频通信系统仿真 (11)3.1 Simuliiik 仿真介绍 (11)3.2跳频通信系统仿真设计 (13)3.3仿真流程图设计 (14)3.4跳频系统模块设计仿真 (15)3.5仿真各示波器的仿真结果 (19)3.6系统抗干扰性能分析 (22)总结 (23)参考文献 (24)前言在科技的口益发展中,扩展频谱通信则是一种新型的通信方式。
基于Simulink的高速跳频通信系统抗干扰性能分析魏玮;张海勇;王睿【摘要】随着通信技术的发展,跳频技术特别是高速跳频技术已经成为军事通信抗干扰的重要方式.介绍了跳频通信的基本原理,建立了Simulink环境下的高速跳频通信系统模型,针对不同干扰样式进行了仿真,并分析其抗干扰性能,得到了有效干扰的样式,提出了增强干扰效果的结论,为高速跳频通信系统的应用及其对抗研究提供有力支持.【期刊名称】《现代电子技术》【年(卷),期】2009(000)021【总页数】4页(P25-28)【关键词】跳频;抗干扰性能;Simulink;通信系统【作者】魏玮;张海勇;王睿【作者单位】海军大连舰艇学院,辽宁,大连,116018;海军大连舰艇学院,辽宁,大连,116018;海军大连舰艇学院,辽宁,大连,116018【正文语种】中文【中图分类】TN914.420 引言跳频通信以其强抗干扰能力和高安全性在军事通信领域得到了越来越广泛的应用。
随着C4ISR系统要求的不断提高,跳频通信系统正向着跳速不断提高,跳频带宽越来越大,跳频图案越来越复杂的方向发展[1]。
目前每秒钟万跳以上的高速跳频已成为跳频技术的发展方向。
以美军的JTIDS为例,其跳速能够达到76 923跳/s,跳频带宽也达到了153 MHz。
本文将利用Matlab仿真软件中的Simulink对采用MSK调制的高速跳频通信系统进行仿真,并针对各种干扰样式对其进行分析,并得出结论。
1 跳频通信原理跳频就是用伪码序列构成跳频指令来控制频率合成器,并在多个频率中进行选择的移频键控。
所传递的信息码与伪随机序列模二相加(或波形相乘)构成跳频指令(即跳频图案),并由它随机选择发送频率[2]。
跳频通信系统的简化框图如图1所示[3]。
图1 跳频通信系统模型发送端的信息码序列与伪随机序列经过调制后,按不同的跳频图案控制频率的合成。
在接收端,接收到的信号与干扰经高放滤波后送至混频器。
接收机的本振信号也是一频率跳变信号,跳变规律是相同的,两个合成器产生的频率相对应,但对应的频率有一频差,正好为接收机的中频。
课程设计(II)通信系统仿真题目跳频通信系统仿真专业学号姓名日期通信系统仿真课程设计任务书1、课程设计目的通过对跳频系统的设计,深入了解跳频系统的工作原理,通信系统各部分的原理与关联,掌握利用Matlab/Simulink软件进行完整通信系统的建模和分析。
2、课程设计内容●主要课程设计内容跳频通信系统是一种典型扩展频谱通信系统,它在军事通信、移动通信、计算机无线数据传输和无线局域网等领域有着十分广泛的应用,已成为当前短波保密通信的一个重要发展方向。
此次跳频通信仿真系统从跳频系统的结构组成、工作原理、主要技术指标、跳频通信系统的解跳和解调等方面详细了解了跳频通信基本原理,并对跳频通信系统的抗干扰技术及其性能进行了仿真研究和理论分析。
其组成部分包括信号生成部分、发送部分、接收部分、判决部分、跳频子系统模块五个部分,并以2FSK系统为例,给出了上述通信干扰样式下的误码率理论分析结果,并利用Matlab仿真系统实现跳频系统的仿真和分析,达到了预期的效果。
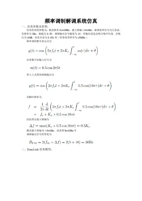
调频系统原理示意图如图所示。
个人任务分工如下图所示:●原理(跳频扩频调制和解跳)1 跳频扩频调制跳频扩频调制通过伪随机地改变发送载波频率,用跳变的频率来调制基带信号,得到载波频率不断变化的射频信号。
通常,跳频系统的频率合成器输出什么频率的载波信号是受跳频指令控制的,跳频器是由频率合成器和跳频指令发生器构成的。
在时钟的作用下,频率合成器不断地改变其输出载波的频率,跳频指令发生器不断地发出控制指令。
因此混频器输出的已调波的载波频率,也将随着指令不断地跳变。
通常,跳频指令是利用伪随机发生器来产生的,或者由软件编程来产生此跳频指令。
2解跳首先,为了完成解跳功能,用同相干解调类似的方法将发送信号已知的伪随机的载波与接收信号进行混频,再经过低通滤波器进行滤波,即可得到到解跳后的信号,以便以后基带调制的进行。
3加性高斯白噪声信道发送信号在信道中传输会受到加性高斯白噪声的影响。
信电学院通信系统仿真二级项目设计说明书(2013/2014学年第二学期)课程名称:通信系统仿真二级项目题目:基于Simulink的数字通信系统仿真—采用2FSK调制技术专业班级:通信工程1201学生姓名:付晓雅120310111靳竹120310113李晓争120310112李一祥120310110指导教师:李志华、任丹萍、张龙设计周数:1周设计成绩:2014年6月26日目录第1章绪论 (1)1.1 课题背景 (1)1.2 课题主要研究工作 (1)1.3 数字调制的意义 (1)第2章设计基础 (2)2.1 Simulink的简介 (2)2.2 数字通信系统数学模型 (2)2.3 项目目的 (3)2.3.1 技术要求及原始数据 (3)2.3.2 主要任务 (3)第3章项目原理 (3)3.1 2FSK调制解调基本理 (3)3.1.1 2FSK调制原理 (3)3.1.2 2FSK解调原理 (4)3.2 FSK信号的表达式和波形图 (5)第4章Simulink模型建立及仿真 (6)4.1 模型建立 (6)4.2 参数设置 (6)4.3 仿真波形 (10)4.3.1 调制波形 (10)4.3.2解调波形 (11)4.3.3 频谱图 (12)4.3.4 加入高斯噪声后的误码率 (12)第5章项目总结及分析 (12)参考文献 (13)第1章绪论1.1 课题背景数字频率调制又称频移键控(FSK—Frequency Shift Keying),二进制频移键控记作2FSK。
数字频移键控是用载波的频率来传送数字消息,即用所传送的数字消息控制载波的频率。
2FSK信号便是符号“1”对应于载频,而符号“0”对应于载频(与不同的另一载频)的已调波形,而且与之间的改变是瞬间完成的。
从原理上讲,数字调频可用模拟调频法来实现,也可用键控法来实现。
模拟调频法是利用一个矩形脉冲序列对一个载波进行调频,是频移键控通信方式早期采用的实现方法。
Simulink仿真通信原理课程设计报告一、设计背景通信原理是电子信息类专业的重要课程,它涵盖了通信系统的组成、信号传输原理、调制解调技术等内容。
为了加深学生对通信原理的理解,本次课程设计采用Simulink仿真工具,设计一个简单的通信系统模型,以实现信号的调制、传输和接收。
二、设计目标1. 实现信号的调制和解调;2. 观察调制和解调前后的信号质量;3. 分析通信系统的性能指标。
三、设计原理1. 调制方式:采用调幅(AM)和调频(FM)两种方式进行调制;2. 解调方式:采用相干解调;3. 传输介质:模拟无线信道。
四、设计步骤1. 搭建调制和解调模块:包括正弦波生成器、低通滤波器、调幅器和解调器等模块;2. 搭建信道模块:包括模拟无线信道和噪声源等模块;3. 连接各模块,设置参数,实现信号的调制和解调过程;4. 观察和分析仿真结果,包括调制和解调前后的信号质量、误码率等指标。
五、设计结果与分析1. 调制和解调前后的信号质量对比:调制后的信号经过信道传输后,解调前后的信号质量有明显差异,表明调制和解调技术在通信系统中的重要性;2. 误码率分析:在信道中加入噪声后,观察误码率的变化,说明信道对通信系统的性能影响;3. 系统性能指标分析:通过对调制方式、信道特性和解调方式等因素的综合考虑,分析通信系统的性能指标,为实际应用提供参考。
六、总结与展望本次课程设计通过Simulink仿真工具,实现了通信原理中的调制和解调过程,加深了学生对通信原理的理解。
同时,通过对仿真结果的分析,进一步了解了通信系统的性能指标。
本次设计虽然取得了一定的成果,但仍存在一些不足之处,如信道模型的复杂性和噪声源的精确度等。
未来可以在此基础上进一步优化模型,提高仿真精度,为实际通信系统的设计和优化提供更有价值的参考。
此外,还可以尝试使用其他调制解调方式,如相位调制(PM)和偏振调制(PM)等,以扩展通信系统的应用范围。
1.项目目的基于Simulink的数字通信系统仿真—采用2PSK调制技术1.1技术要求(1)对数字通信系统主要原理和技术进行研究,包括二进制相移键控(2PSK)及解调技术和高斯噪声信道原理等。
(2)建立数字通信系统数学模型;(3)建立完整的基于2PSK的模拟通信系统仿真模型;(4)对系统进行仿真、分析。
1.2主要任务(1)建立模拟通信系统数学模型;(2)利用Simulink的模块建立模拟通信系统的仿真模型;(3)对通信系统进行时间流上的仿真,得到仿真结果;(4)将仿真结果与理论结果进行比较、分析。
2. 项目正文:2.1二进制相移键控——2PSK设计原理数字信号的传输方式分为基带传输和带通传输,在实际应用中,大多数信道具有带通特性而不能直接传输基带信号。
为了使数字信号在带通信道中传输,必须使用数字基带信号对载波进行调制,以使信号与信道的特性相匹配。
这种用数字基带信号控制载波,把数字基带信号变换为数字带通信号的过程称为数字调制。
数字调制技术的两种方法:①利用模拟调制的方法去实现数字式调制,即把数字调制看成是模拟调制的一个特例,把数字基带信号当作模拟信号的特殊情况处理;②利用数字信号的离散取值特点通过开关键控载波,从而实现数字调制。
这种方法通常称为键控法,比如对载波的相位进行键控,便可获得相移键控(PSK)基本的调制方式。
相应的2psk信号波形的示例见下一页1 0 1图1-1 2psk信号波形▪调制原理数字调相:如果两个频率相同的载波同时开始振荡,这两个频率同时达到正最大值,同时达到零值,同时达到负最大值,它们应处于"同相"状态;如果其中一个开始得迟了一点,就可能不相同了。
如果一个达到正最大值时,另一个达到负最大值,则称为"反相"。
一般把信号振荡一次(一周)作为360度。
如果一个波比另一个波相差半个周期,我们说两个波的相位差180度,也就是反相。
当传输数字信号时,"1"码控制发0度相位,"0"码控制发180度相位。
基于Simulink的跳频通信系统同步过程建模与仿真
赵龙华;王振华
【期刊名称】《舰船电子工程》
【年(卷),期】2012(032)009
【摘要】在Simulink/Matlab环境下建立了含有同步过程的完整跳频通信系统模型。
该模型采用了实际跳频通信中常用的同步头和时间信息(TOD)相结合的方法。
仿真实验结果表明,该模型能较好模拟跳频系统各部分功能,完整再现跳频系统同步过程,为进一步开展对跳频系统的研究提供了一种有效的平台。
【总页数】4页(P87-90)
【作者】赵龙华;王振华
【作者单位】空军预警学院研究生管理大队,武汉430019 95112部队,佛山528000;空军预警学院五系,武汉430019
【正文语种】中文
【中图分类】TN914.41
【相关文献】
1.基于HLA/Simulink的跳频通信对抗仿真系统开发 [J], 李军;张文明;王雪松
2.基于Simulink的跳频通信同步字头法仿真 [J], 焦樑;窦秀娟;邝育军
3.基于 Simulink 的高速跳频通信系统仿真 [J], 丁凯
4.基于Simulink的对偶序列跳频通信链路及门限设计仿真 [J], 孟庆斌;全厚德;朱世磊
5.基于Simulink的对偶序列跳频通信链路设计仿真 [J], 孟庆斌;全厚德;杜雪
因版权原因,仅展示原文概要,查看原文内容请购买。
基于Simulink的OFDM-FH通信系统仿真作者:陈长兴巩林玉牛德智来源:《现代电子技术》2010年第07期摘要:在介绍基于正交频分复用技术的跳频系统(OFDM-FH)原理的基础上,利用Matlab/Simulink工具搭建了基于OFDM-FH系统的仿真链路平台。
通过分析在Rayleigh多径衰落信道和高斯噪声信道下的仿真结果,比较了OFDM-FH系统与常规OFDM系统、传统跳频系统的误码率性能。
关键词:跳频; 正交频分复用; Simulink; Rayleigh多径衰落中图分类号:TN911 文献标识码:A文章编号:1004-373X(2010)07-0050-03Simulation on OFDM-FH Communication System Based on SimulinkCHEN Chang-xing, GONG Lin-yu, NIU De-zhi(Science Institute, Air Force Engineering Univers ity, Xi’an 710051, China)Abstract: The theory of OFDM technique and FH communication system are introduced firstly, then the Matlab/Simulink toolbox is used to set up a simulation model for OFDM-FH system simulation. The model is validity proved by the simulation results in Rayleigh and AWGN channels condition. The preferences among OFDM-FH system, traditional OFDM system,MFSK-FH system are compared.Keywords: hopping frequency; OFDM; Simulink; Rayleigh multi-path fading跳频系统具有优良的抗干扰能力和多址组网能力,在军用和民用无线抗干扰通信领域获得了广泛的研究和应用。
<商务智能>跳频通信系统的仿真目录摘要 1第1章绪论 11.1 概述11.2 跳频通信简介 21.2.1 跳频通信系统概述 21.2.2 跳频技术的应用背景和发展趋势 2 1.3 MATLAB简介 31.4 本文研究内容及章节安排4第2章跳频通信系统的基本原理 52.1 跳频通信系统的结构组成52.1.1 跳频系统的发送部分 52.1.2 跳频系统的接收部分 62.2 跳频通信系统的性能指标72.3 跳频通信系统的调制方式72.4 频率合成器82.5 跳频信号的解跳与解调92.5.1 跳频信号的解跳92.5.2 跳频信号的解调10第3章跳频通信系统仿真及性能分析11 3.1 Simulink 基础知识和设计开发原理简介 11 3.1.1 Simulink 基础知识简介 113.1.2 Simulink的设计和开发113.2 跳频通信系统仿真模型的建立123.3 S-函数的仿真流程 133.4 跳频通信系统的仿真框图143.5 仿真模型中示波器的仿真结果显示17 3.6 基于源代码的跳频通信系统仿真18 3.7 误码率分析21第4章结论 23参考文献23致谢25Abstract 26基于MATLAB的跳频通信系统的仿真研究摘要:跳频通信系统是一种典型扩展频谱通信系统,它在军事通信、移动通信、计算机无线数据传输和无线局域网等领域有着十分广泛的应用,已成为当前短波保密通信的一个重要发展方向。
本文介绍了跳频通信系统的基本工作过程,从跳频系统的结构组成、工作原理、主要技术指标、跳频通信系统的解跳和解调等方面阐述了跳频通信基本原理,并对跳频通信系统的抗干扰技术及其性能进行了仿真研究和理论分析。
本文从理论上分析了跳频通信系统的抗干扰性能,其组成部分包括信号生成部分、发送部分、接收部分、判决部分、跳频子系统模块五个部分,并以2FSK系统为例,给出了上述通信干扰样式下的误码率理论分析结果,并利用Matlab中的Simulink仿真系统实现跳频系统的仿真和分析,达到了预期的效果。
跳频通信系统的Simulink仿真实现(英文)
刘克飞;杨东凯;吴江
【期刊名称】《系统仿真学报》
【年(卷),期】2009()24
【摘要】在介绍跳频通信系统的原理和数学模型的基础上,利用Matlab/Simulink 建立了跳频通信系统的仿真模型。
设计实现了跳频序列发生器、频率合成器、跳频同步器和非相干解调器等跳频系统的核心部分。
仿真结果证明了模型的正确性。
通过仿真得到的误码率曲线,可以分析评估各种条件下跳频系统的抗干扰、抗多径衰落和多址组网等性能。
【总页数】5页(P7969-7973)
【作者】刘克飞;杨东凯;吴江
【作者单位】北京航空航天大学电子信息工程学院;北京航空航天大学系统与控制科学系
【正文语种】中文
【中图分类】TN914.41
【相关文献】
1.基于Simulink的跳频通信系统同步过程建模与仿真
2.基于Simulink的跳频通信系统的抗干扰性能分析
3.基于Simulink HDL Coder的跳频通信系统设计与实现
4.基于 Simulink 的高速跳频通信系统仿真
5.基于MATLAB/simulink的跳频扩频通信系统的仿真
因版权原因,仅展示原文概要,查看原文内容请购买。