数值分析第四版习题及答案
- 格式:doc
- 大小:1.36 MB
- 文档页数:53
数值分析习题答案数值分析习题答案数值分析是一门研究利用数值方法解决数学问题的学科。
在实际应用中,我们经常会遇到各种各样的数学问题,而数值分析提供了一种有效的方法来解决这些问题。
在学习数值分析的过程中,我们经常会遇到一些习题,下面我将为大家提供一些数值分析习题的解答。
习题一:给定一个函数f(x) = x^2 - 3x + 2,求解f(x) = 0的根。
解答:要求解方程f(x) = 0的根,可以使用二分法。
首先,我们需要确定一个区间[a, b],使得f(a)和f(b)异号。
根据f(x) = x^2 - 3x + 2的图像,我们可以选择区间[0, 3]。
然后,我们可以使用二分法来逐步缩小区间,直到找到根的近似值。
具体的步骤如下:1. 计算区间中点c = (a + b) / 2。
2. 计算f(c)的值。
3. 如果f(c)接近于0,那么c就是方程的一个根。
4. 如果f(c)和f(a)异号,那么根位于[a, c]之间,令b = c。
5. 如果f(c)和f(b)异号,那么根位于[c, b]之间,令a = c。
6. 重复步骤1-5,直到找到根的近似值。
通过多次迭代,可以得到方程f(x) = 0的一个近似根为x ≈ 1。
这个方法可以用来解决更复杂的方程,并且在实际应用中有广泛的应用。
习题二:给定一个函数f(x) = sin(x),求解f(x) = 0的根。
解答:对于这个问题,我们可以使用牛顿迭代法来求解方程f(x) = 0的根。
牛顿迭代法是一种通过不断逼近函数的根的方法,具体步骤如下:1. 选择一个初始近似值x0。
2. 计算函数f(x)在x0处的导数f'(x0)。
3. 计算下一个近似值x1 = x0 - f(x0) / f'(x0)。
4. 重复步骤2和步骤3,直到找到根的近似值。
对于函数f(x) = sin(x),我们可以选择初始近似值x0 = 1。
然后,我们可以计算f'(x0) = cos(x0) = cos(1) ≈ 0.5403。
习 题 一 解 答1.取3.14,3.15,227,355113作为π的近似值,求各自的绝对误差,相对误差和有效数字的位数。
分析:求绝对误差的方法是按定义直接计算。
求相对误差的一般方法是先求出绝对误差再按定义式计算。
注意,不应先求相对误差再求绝对误差。
有效数字位数可以根据定义来求,即先由绝对误差确定近似数的绝对误差不超过那一位的半个单位,再确定有效数的末位是哪一位,进一步确定有效数字和有效数位。
有了定理2后,可以根据定理2更规范地解答。
根据定理2,首先要将数值转化为科学记数形式,然后解答。
解:(1)绝对误差:e(x)=π-3.14=3.14159265…-3.14=0.00159…≈0.0016。
相对误差:3()0.0016()0.51103.14r e x e x x -==≈⨯有效数字:因为π=3.14159265…=0.314159265…×10,3.14=0.314×10,m=1。
而π-3.14=3.14159265…-3.14=0.00159…所以│π-3.14│=0.00159…≤0.005=0.5×10-2=21311101022--⨯=⨯所以,3.14作为π的近似值有3个有效数字。
(2)绝对误差:e(x)=π-3.15=3.14159265…-3.14=-0.008407…≈-0.0085。
相对误差:2()0.0085()0.27103.15r e x e x x --==≈-⨯有效数字:因为π=3.14159265…=0.314159265…×10,3.15=0.315×10,m=1。
而π-3.15=3.14159265…-3.15=-0.008407…所以│π-3.15│=0.008407……≤0.05=0.5×10-1=11211101022--⨯=⨯所以,3.15作为π的近似值有2个有效数字。
(3)绝对误差:22() 3.141592653.1428571430.0012644930.00137e x π=-=-=-≈-相对误差:3()0.0013()0.4110227r e x e x x--==≈-⨯有效数字: 因为π=3.14159265…=0.314159265…×10, 223.1428571430.3142857143107==⨯,m=1。
第四章 数值积分与数值微分1.确定下列求积公式中的特定参数,使其代数精度尽量高,并指明所构造出的求积公式所具有的代数精度:10121012112120(1)()()(0)();(2)()()(0)();(3)()[(1)2()3()]/3;(4)()[(0)()]/2[(0)()];hhhh hf x dx A f h A f A f h f x dx A f h A f A f h f x dx f f x f x f x dx h f f h ah f f h -----≈-++≈-++≈-++''≈++-⎰⎰⎰⎰解:求解求积公式的代数精度时,应根据代数精度的定义,即求积公式对于次数不超过m 的多项式均能准确地成立,但对于m+1次多项式就不准确成立,进行验证性求解。
(1)若101(1)()()(0)()hhf x dx A f h A f A f h --≈-++⎰令()1f x =,则1012h A A A -=++令()f x x =,则110A h A h -=-+令2()f x x =,则3221123h h A h A -=+ 从而解得011431313A h A h A h -⎧=⎪⎪⎪=⎨⎪⎪=⎪⎩令3()f x x =,则3()0hhhhf x dx x dx --==⎰⎰101()(0)()0A f h A f A f h --++=令4()f x x =,则4551012()52()(0)()3hhhhf x dx x dx h A f h A f A f h h ---==-++=⎰⎰故此时,101()()(0)()hhf x dx A f h A f A f h --≠-++⎰故101()()(0)()h hf x dx A f h A f A f h --≈-++⎰具有3次代数精度。
(2)若21012()()(0)()hhf x dx A f h A f A f h --≈-++⎰令()1f x =,则1014h A A A -=++令()f x x =,则110A h A h -=-+令2()f x x =,则32211163h h A h A -=+ 从而解得11438383A h A h A h -⎧=-⎪⎪⎪=⎨⎪⎪=⎪⎩令3()f x x =,则22322()0hhhhf x dx x dx --==⎰⎰101()(0)()0A f h A f A f h --++=令4()f x x =,则22452264()5hhhhf x dx x dx h --==⎰⎰510116()(0)()3A f h A f A f h h --++=故此时,21012()()(0)()hhf x dx A f h A f A f h --≠-++⎰因此,21012()()(0)()h hf x dx A f h A f A f h --≈-++⎰具有3次代数精度。
]第一章 绪论姓名 学号 班级习题主要考察点:有效数字的计算、计算方法的比较选择、误差和误差限的计算。
1若误差限为5105.0-⨯,那么近似数有几位有效数字(有效数字的计算) 解:2*103400.0-⨯=x ,325*10211021---⨯=⨯≤-x x 故具有3位有效数字。
2 14159.3=π具有4位有效数字的近似值是多少(有效数字的计算) 解:10314159.0⨯= π,欲使其近似值*π具有4位有效数字,必需!41*1021-⨯≤-ππ,3*310211021--⨯+≤≤⨯-πππ,即14209.314109.3*≤≤π即取( , )之间的任意数,都具有4位有效数字。
3已知2031.1=a ,978.0=b 是经过四舍五入后得到的近似值,问b a +,b a ⨯有几位有效数字(有效数字的计算)解:3*1021-⨯≤-aa ,2*1021-⨯≤-b b ,而1811.2=+b a ,1766.1=⨯b a 2123****102110211021)()(---⨯≤⨯+⨯≤-+-≤+-+b b a a b a b a故b a +至少具有2位有效数字。
2123*****10210065.01022031.1102978.0)()(---⨯≤=⨯+⨯≤-+-≤-b b a a a b b a ab 故b a ⨯至少具有2位有效数字。
4设0>x ,x 的相对误差为δ,求x ln 的误差和相对误差(误差的计算)~解:已知δ=-**xx x ,则误差为 δ=-=-***ln ln xx x x x则相对误差为******ln ln 1ln ln ln xxx x xxx x δ=-=-5测得某圆柱体高度h 的值为cm h 20*=,底面半径r 的值为cm r 5*=,已知cm h h 2.0||*≤-,cm r r 1.0||*≤-,求圆柱体体积h r v2π=的绝对误差限与相对误差限。
(误差限的计算)解:*2******2),(),(h h r r r h r r h v r h v -+-≤-ππ绝对误差限为πππ252.051.02052)5,20(),(2=⨯⋅+⨯⋅⋅⋅≤-v r h v相对误差限为%420120525)5,20()5,20(),(2==⋅⋅≤-ππv v r h v 6设x 的相对误差为%a ,求nx y =的相对误差。
第一章 绪论(12) 第二章 插值法(40-42)2、当2,1,1-=x 时,4,3,0)(-=x f ,求)(x f 的二次插值多项式。
[解]372365)1(34)23(21)12)(12()1)(1(4)21)(11()2)(1()3()21)(11()2)(1(0))(())(())(())(())(())(()(2221202102210120120102102-+=-++--=+-+-⨯+------⨯-+-+-+⨯=----+----+----=x x x x x x x x x x x x x x x x x x x y x x x x x x x x y x x x x x x x x y x L 。
3、给出x x f ln )(=的数值表用线性插值及二次插值计算54.0ln 的近似值。
X 0.4 0.5 0.6 0.7 0.8 x ln -0.916291 -0.693147 -0.510826 -0.357765 -0.223144[解]若取5.00=x ,6.01=x ,则693147.0)5.0()(00-===f x f y ,510826.0)6.0()(11-===f x f y ,则604752.182321.1)5.0(10826.5)6.0(93147.65.06.05.0510826.06.05.06.0693147.0)(010110101-=---=--⨯---⨯-=--+--=x x x x x x x x x y x x x x y x L ,从而6202186.0604752.19845334.0604752.154.082321.1)54.0(1-=-=-⨯=L 。
若取4.00=x ,5.01=x ,6.02=x ,则916291.0)4.0()(00-===f x f y ,693147.0)5.0()(11-===f x f y ,510826.0)6.0()(22-===f x f y ,则 217097.2068475.404115.2)2.09.0(5413.25)24.0(3147.69)3.01.1(81455.45)5.06.0)(4.06.0()5.0)(4.0()510826.0()6.05.0)(4.05.0()6.0)(4.0()693147.0()6.04.0)(5.04.0()6.0)(5.0(916291.0))(())(())(())(())(())(()(22221202102210120120102102-+-=+--+-⨯++-⨯-=----⨯-+----⨯-+----⨯-=----+----+----=x x x x x x x x x x x x x x x x x x x x x x y x x x x x x x x y x x x x x x x x y x L ,从而61531984.0217097.21969765.259519934.0217097.254.0068475.454.004115.2)54.0(22-=-+-=-⨯+⨯-=L补充题:1、令00=x ,11=x ,写出x e x y -=)(的一次插值多项式)(1x L ,并估计插值余项。
习题41. 给定x x f =)(在144,121,100=x 3点处的值,试以这3点建立)(x f 的2次(抛物)插值公式,利用插值公式115求的近似值并估计误差。
再给13169=建立3次插值公式,给出相应的结果。
解:x x f =)( 2121)(-='x x f ,2341)(--=''x x f ,2583)(-='''x x f ,27)4(1615)(--=x x f,72380529.10)115(=f1000=x , 1211=x , 1442=x , 1693=x 100=y , 111=y , 122=y , 133=y))(())(())(())(())(())(()(1202102210120*********x x x x x x x x y x x x x x x x x y x x x x x x x x y x L ----+----+----= )121144)(100144()121115)(100115(12)144121)(100121()144115)(100115(11)144100)(121100()144115)(121115(10)115(2----⨯+----⨯+----⨯=L=2344)6(1512)23(21)29(1511)44)(21()29)(6(10⨯-⨯⨯+-⨯-⨯⨯+----⨯72276.1006719.190683.988312.1=-+=))()((!3)()()(2102x x x x x x f x L x f ---'''=-ξ ,144100<<ξ )44115()121115()100115()(max 61)115()115(1441002-⨯-⨯-⋅'''≤-≤≤x f L f x 296151083615⨯⨯⨯⨯⨯≤-001631.0101631.02=⨯=- 实际误差 22101045.0)115()115(-⨯=-L f))()(())()(())()(())()(()(312101320130201032103x x x x x x x x x x x x y x x x x x x x x x x x x y x L ------+------= ))()(())()(())()(())()((23130321033212023102x x x x x x x x x x x x y x x x x x x x x x x x x y ------+------+ )169100()144100()121100()169115()144115()121115(10)115(3-⨯-⨯--⨯-⨯-⨯=L )169121()144121()100121()169115()144115()100115(11-⨯-⨯--⨯-⨯-⨯+)169144()121144()100144()169115()121115()100115(12-⨯-⨯--⨯-⨯-⨯+)144169()121169()100169()144115()121115()100115(13-⨯-⨯--⨯-⨯-⨯+)48()23(21)54()29(1511)69()44()21()54()29()6(10-⨯-⨯-⨯-⨯⨯+-⨯-⨯--⨯-⨯-⨯= 254869)29()6(1513)25(2344)54()6(1512⨯⨯-⨯-⨯⨯+-⨯⨯-⨯-⨯⨯+ 723571.10409783.0305138.2145186.11473744.1=+-+= ))()()((!4)()()(3210)4(3x x x x x x x x f x L x f ----=-ξ,169100<<ξ)169115)(144115)(121115)(10115(101615241)115()115(73----⨯⨯⨯≤--L f )54()29()6(151016152417-⨯-⨯-⨯⨯⨯⨯=- 0005505.0105505.03=⨯=-实际误差 321023429.0)115()115(-⨯=-L f 2. 设j x 为互异节点),,1,0(n j =求证: (1)k nj j k j x x l x =∑=)(0),,1,0(n k =;(2)0)()(0=-∑=x l x x j knj j ),,1(n k =。
第四章 数值积分与数值微分1.确定下列求积公式中的特定参数,使其代数精度尽量高,并指明所构造出的求积公式所具有的代数精度: 解:求解求积公式的代数精度时,应根据代数精度的定义,即求积公式对于次数不超过m 的多项式均能准确地成立,但对于m+1次多项式就不准确成立,进行验证性求解。
(1)若101(1)()()(0)()hhf x dx A f h A f A f h --≈-++⎰令()1f x =,则 令()f x x =,则 令2()f x x =,则 从而解得 令3()f x x =,则 故101()()(0)()hhf x dx A f h A f A f h --=-++⎰成立。
令4()f x x =,则 故此时, 故101()()(0)()hhf x dx A f h A f A f h --≈-++⎰具有3次代数精度。
(2)若21012()()(0)()hhf x dx A f h A f A f h --≈-++⎰令()1f x =,则 令()f x x =,则 令2()f x x =,则 从而解得 令3()f x x =,则 故21012()()(0)()hhf x dx A f h A f A f h --=-++⎰成立。
令4()f x x =,则 故此时, 因此,具有3次代数精度。
(3)若1121()[(1)2()3()]/3f x dx f f x f x -≈-++⎰令()1f x =,则 令()f x x =,则 令2()f x x =,则 从而解得120.28990.5266x x =-⎧⎨=⎩或120.68990.1266x x =⎧⎨=⎩ 令3()f x x =,则 故1121()[(1)2()3()]/3f x dx f f x f x -=-++⎰不成立。
因此,原求积公式具有2次代数精度。
(4)若20()[(0)()]/2[(0)()]hf x dx h f f h ah f f h ''≈++-⎰令()1f x =,则 令()f x x =,则 令2()f x x =,则 故有令3()f x x =,则 令4()f x x =,则 故此时, 因此,21()[(0)()]/2[(0)()]12hf x dx h f f h h f f h ''≈++-⎰具有3次代数精度。
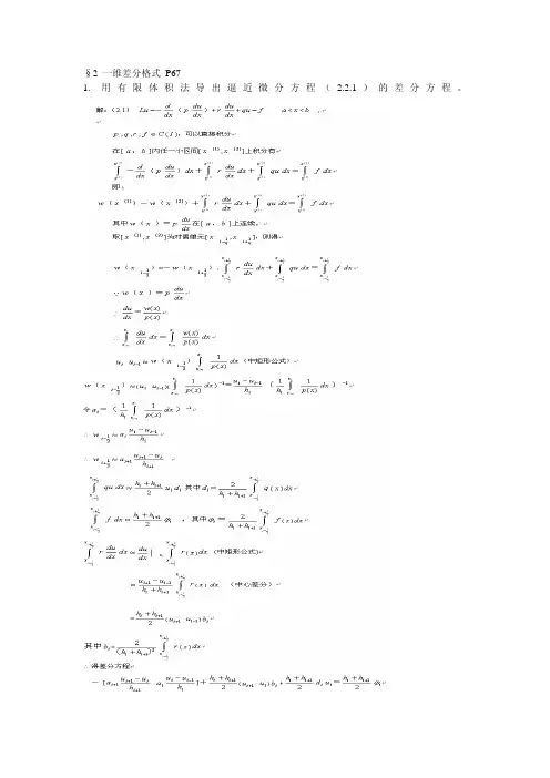
§2 一维差分格式 P671. 用有限体积法导出逼近微分方程(2.2.1)的差分方程。
2. 构造逼近(")"(')',()'()0,()'()0pu qu ru fu a u a u a u a++=====的中心差分格式。
§3 矩形网的差分格式P751. 用有限体积法构造逼近方程()[((,(2.3.21)u u k u k k f x x y y∂∂∂∂-∇∇=-+=∂∂∂∂ 的第一边值问题的五点差分格式,这里min (,)0.k k x y k =≥>2. 用有限体积法构造逼近方程(2.3.21)的第二边值问题的五点差分格式。
§4 三角形网的差分格式 P802. 构造逼近方程()[()()],(2.3.21)u u k u k k f x x y y∂∂∂∂-∇∇=-+=∂∂∂∂的三角网差分格式。
第三章 抛物型方程的有限差分法§1 最简差分格式P112 2题§2 稳定性与收敛性P121 1题P121 2题§3 Fourier方法 P127 1题§4 判别差分格式稳定性的代数准则P132 3题第四章 双曲型方程的有限差分法§1 波动方程的差分逼近 P158 1题P158 2题§3 初值问题的差分逼近P174 3 (4.3.32)第五章 边值问题的变分形式与Ritz-Galerkin法§1 二次函数的极值 P185 1题§3 两点边值问题 P198 1题P198 3题§4 二阶椭圆边值问题 P205 3题P205 4题。
1、要使11的近似值的相对误差限小于0.10.1%%,要取几位有效数字?要取几位有效数字?( c ) (a) 2 (b) 3 (c) 4 (d) 5 2、若*12.30x =是经过四舍五入得到的近似数,则它有几位有效数字?( c ) (a) 2 (b) 3 (c) 4 (d) 5 3、已知n +1个互异节点(x 0,y 0), (x 1,y 1),),……, (x n ,y n )和过这些点的拉格朗日插值基函数l k (x )(k =0,1,2,=0,1,2,……,n ),且w (x )=(x -x 0) (x -x 1)… (x -x n ).则n 阶差商f (x 0,x 1,…, x n )= ( ) (a) å=nk k k y x l 0)( (b) å=¢nk k k k x l y 0)( (c) å=n k k k x y 0)(w (d) å=¢nk k kx y 0)(w4、已知由数据(0,0),(0.5,y ),(1,3),(2,2)构造出的三次插值多项式33()6 P x x y 的 的系数是,则,则 等于( )(a) -1.5 (b) 1 (c) 5.5 (d) 4.25 5、设(0,1,2,3,4)ix i =为互异结点,()i l x 为拉格朗日插值基函数,则420()()ii i x x l x =-å等于等于( a ) (a) 0 (b) 1 (c) 2 (d) 4 4()[,],()()(),()(),()(), ' () ' (),22()()_________________________f x C a b H x a b a bH a f a H b f b H f H a f a f x H x Î++====-=设是满足下列插值条件的三次多项式:则插值余项 1、 是以0,1,2为节点的三次样条函数,则b=-2,c=3 2、 已知(1)0,(1)3,(2)4,f f f =-=-=写出()f x 的牛顿插值多项式的牛顿插值多项式 2()P x =___2537623x x +-__,其余项表达式R(x)=__()(1)(1)(4) [1,4]6f x x x x x ¢¢¢-+-Î-_______________________3、 确定求积公式10121()(1)(0)'(1)f x dx A f A f A f -»-++ò中的待定参数,使其代数精度尽量高,则A 0=_29__________, A 1=__169________, A 2=_29_______,代数精度=__2_________。
第一章 绪论3.下列各数都是经过四舍五入得到的近似数,即误差限不超过最后一位的半个单位,试指出它们是几位有效数字:**1 1.1021x =,**20.031x =, **3385.6x =, **456.430x =,**57 1.0.x =´解:*1 1.1021x =是五位有效数字;是五位有效数字;*20.031x =是二位有效数字;是二位有效数字; *3385.6x =是四位有效数字;是四位有效数字;*456.430x =是五位有效数字;是五位有效数字; *57 1.0.x =´是二位有效数字。
是二位有效数字。
4.利用公式(2.3)求下列各近似值的误差限:(1) ***124x x x ++,(2) ***123x x x ,(3) **24/x x . 其中****1234,,,x x x x 均为第3题所给的数。
题所给的数。
解:解:*41*32*13*34*151()1021()1021()1021()1021()102x x x x x e e e e e -----=´=´=´=´=´ ***124***1244333(1)()()()()1111010102221.0510x x x x x x e e e e ----++=++=´+´+´=´***123*********123231132143(2)()()()()1111.10210.031100.031385.610 1.1021385.6102220.215x x x x x x x x x x x x e e e e ---=++=´´´+´´´+´´´»**24****24422*4335(3)(/)()()110.0311056.430102256.43056.43010x x x x x x x e e e ---+»´´+´´=´= 6.设028Y =,按递推公式11783100n n Y Y -=- (n=1,2,n=1,2,……)计算到100Y 。
数值分析课后习题及答案第一章绪论(12)第二章插值法(40-42)2、当时,,求的二次插值多项式。
[解]。
3、给出的数值表用线性插值及二次插值计算的近似值。
X 0.4 0.5 0.6 0.7 0.8 -0.916291 -0.693147 -0.510826 -0.357765 -0.223144 [解]若取,,则,,则,从而。
若取,,,则,,,则,从而补充题:1、令,,写出的一次插值多项式,并估计插值余项。
[解]由,可知,,余项为,故。
2、设,试利用拉格朗日插值余项定理写出以为插值节点的三次插值多项式。
[解]由插值余项定理,有,从而。
5、给定数据表:,1 2 4 6 7 4 1 0 1 1 求4次牛顿插值多项式,并写出插值余项。
[解]一阶差商二阶差商三阶差商四阶差商 1 42 1 -34 0 6 17 1 0 由差商表可得4次牛顿插值多项式为:,插值余项为。
第三章函数逼近与计算(80-82)26、用最小二乘法求一个形如的经验公式,使它与下列数据相拟合,并求均方误差。
19 25 31 38 44 19.0 32.3 49.0 73.3 97.8[解]由。
又,,,故法方程为,解得。
均方误差为。
27、观测物体的直线运动,得出以下数据:时间t(秒)0 0.9 1.9 3.0 3.9 5.0 距离s(米)0 10 30 5080 110 [解]设直线运动为二次多项式,则由。
,。
又,,,故法方程为,解得。
故直线运动为。
补充题:1、现测得通过某电阻R的电流I及其两端的电压U如下表:I ……U ……试用最小二乘原理确定电阻R的大小。
[解]电流、电阻与电压之间满足如下关系:。
应用最小二乘原理,求R使得达到最小。
对求导得到:。
令,得到电阻R为。
2、对于某个长度测量了n次,得到n个近似值,通常取平均值作为所求长度,请说明理由。
[解]令,求x使得达到最小。
对求导得到:,令,得到,这说明取平均值在最小二乘意义下误差达到最小。
第四版 数值分析习题
第一章 绪 论 1. 设x>0,x的相对误差为δ,求lnx的误差. 2. 设x的相对误差为2%,求nx的相对误差. 3. 下列各数都是经过四舍五入得到的近似数,即误差限不超过最后一位的半个单位,试指出它们是几位有效数字: *****123451.1021,0.031,385.6,56.430,71.0.xxxxx
4. 利用公式(3.3)求下列各近似值的误差限: ********12412324(),(),()/,ixxxiixxxiiixx其中****1234,,,xxxx
均为第3题所给的数.
5. 计算球体积要使相对误差限为1%,问度量半径R时允许的相对误差限是多少?
6. 设028,Y按递推公式
11783100nnYY ( n=1,2,…)
计算到100Y.若取783≈27.982(五位有效数字),试问计算100Y将有多大误差? 7. 求方程25610xx的两个根,使它至少具有四位有效数字(783≈27.982).
8. 当N充分大时,怎样求211Ndxx 9. 正方形的边长大约为100㎝,应怎样测量才能使其面积误差不超过1㎝2
10. 设212Sgt假定g是准确的,而对t的测量有±0.1秒的误差,证明当t增加时S的绝对误差增加,而相对误差却减小.
11. 序列{}ny满足递推关系1101nnyy(n=1,2,…),若021.41y(三位有效数字),计算到10y时误差有多大?这个计算过程稳定吗? 12. 计算6(21)f,取21.4,利用下列等式计算,哪一个得到的结果最好? 363
11,(322),,99702.(21)(322)
13. 2()ln(1)fxxx,求f(30)的值.若开平方用六位函数表,问求对数时误差有多大?若改用另一等价公式
22ln(1)ln(1)xxxx
计算,求对数时误差有多大? 14. 试用消元法解方程组101012121010;2.xxxx假定只用三位数计算,问结果是否可靠? 15. 已知三角形面积1sin,2sabc其中c为弧度,02c,且测量a ,b ,c 的误差分别为,,.abc证明面积的误差s满足
.sabcsabc
第二章 插值法 1. 根据(2.2)定义的范德蒙行列式,令 2000011211121()(,,,,)11n
nnnnnnnnxxxVxVxxxxxxxxxx
证明()nVx是n次多项式,它的根是01,,nxx,且 101101()(,,,)()()nnnnVxVxxxxxxx.
2. 当x= 1 , -1 , 2 时, f(x)= 0 , -3 , 4 ,求f(x)的二次插值多项式. 3. 给出f(x)=ln x 的数值表用线性插值及二次插值计算ln 0.54 的近似值. x 0.4 0.5 0.6 0.7 0.8 lnx -0.916291 -0.693147 -0.510826 -0.357765 -0.223144
4. 给出cos x,0°≤x ≤90°的函数表,步长h =1′=(1/60)°,若函数表具有5位有效数字,研究用线性插值求cos x 近似值时的总误差界.
5. 设0kxxkh,k=0,1,2,3,求032max()xxxlx. 6. 设jx为互异节点(j=0,1,…,n),求证:
i) 0()(0,1,,);nkkjjjxlxxkn ii) 0()()1,2,,).nkjjjxxlxkn 7. 设2(),fxCab且()()0fafb,求证21()()().8maxmaxaxbaxbfxbafx 8. 在44x上给出()xfxe的等距节点函数表,若用二次插值求xe的近似值,要使截断误差不超过610,问使用函数表的步长h应取多少? 9. 若2nny,求4ny及4ny. 10. 如果()fx是m次多项式,记()()()fxfxhfx,证明()fx的k阶差分()(0)kfxkm是mk次多项式,并且()0(mlfxl为正整数).
11. 证明1()kkkkkkfgfggf. 12. 证明1100100.nnkknnkkkkfgfgfggf 13. 证明1200.njnjyyy 14. 若1011()nnnnfxaaxaxax有n个不同实根12,,,nxxx,证明 10,02;,1.1()nknjknaknjjxfx
15. 证明n阶均差有下列性质: i) 若()()Fxcfx,则0101,,,,,,nnFxxxcfxxx; ii) 若()()()Fxfxgx,则010101,,,,,,,,,nnnFxxxfxxxgxxx. 16. 74()31fxxxx,求0172,2,,2f及0182,2,,2f. 17. 证明两点三次埃尔米特插值余项是 (4)22311()()()()/4!,(,)kkkkRxfxxxxxx
并由此求出分段三次埃尔米特插值的误差限. 18. 求一个次数不高于4次的多项式()Px,使它满足(0)(1)PPk并由此求出分段三次埃尔米特插值的误差限.
19. 试求出一个最高次数不高于4次的函数多项式()Px,以便使它能够满足以下边界条件(0)(0)0PP,(1)(1)1PP,(2)1P.
20. 设(),fxCab,把,ab分为n等分,试构造一个台阶形的零次分段插值函数()nx
并证明当n时,()nx在,ab上一致收敛到()fx. 21. 设2()1/(1)fxx,在55x上取10n,按等距节点求分段线性插值函数()hIx,计算各节点间中点处的()hIx与()fx的值,并估计误差. 22. 求2()fxx在,ab上的分段线性插值函数()hIx,并估计误差. 23. 求4()fxx在,ab上的分段埃尔米特插值,并估计误差. 24. 给定数据表如下:
jx 0.25 0.30 0.39 0.45 0.53
jy 0.5000 0.5477 0.6245 0.6708 0.7280 试求三次样条插值()Sx并满足条件 i) (0.25)1.0000,(0.53)0.6868;SS ii) (0.25)(0.53)0.SS
25. 若2(),fxCab,()Sx是三次样条函数,证明
i) 222()()()()2()()()bbbbaaaafxdxSxdxfxSxdxSxfxSxdx; ii) 若()()(0,1,,)iifxSxin,式中ix为插值节点,且01naxxxb,则()()()()()()()()()baSxfxSxdxSbfbSbSafaSa
.
26. 编出计算三次样条函数()Sx系数及其在插值节点中点的值的程序框图(()Sx可用(8.7)式的表达式).
第三章 函数逼近与计算
1. (a)利用区间变换推出区间为,ab的伯恩斯坦多项式. (b)对()sinfxx在0,/2上求1次和三次伯恩斯坦多项式并画出图形,并与相应的马克劳林级数部分和误差做比较. 2. 求证:
(a)当()mfxM时,(,)nmBfxM. (b)当()fxx时,(,)nBfxx. 3. 在次数不超过6的多项式中,求()sin4fxx在0,2的最佳一致逼近多项式. 4. 假设()fx在,ab上连续,求()fx的零次最佳一致逼近多项式. 5. 选取常数a,使301maxxxax达到极小,又问这个解是否唯一? 6. 求()sinfxx在0,/2上的最佳一次逼近多项式,并估计误差. 7. 求()xfxe在0,1上的最佳一次逼近多项式. 8. 如何选取r,使2()pxxr在1,1上与零偏差最小?r是否唯一? 9. 设43()31fxxx,在0,1上求三次最佳逼近多项式. 10. 令()(21),0,1nnTxTxx,求***0123(),(),(),()TxTxTxTx.
11. 试证*()nTx是在0,1上带权21xx的正交多项式. 12. 在1,1上利用插值极小化求11()fxtgx的三次近似最佳逼近多项式. 13. 设()xfxe在1,1上的插值极小化近似最佳逼近多项式为()nLx,若nfL有界,证明对任何1n,存在常数n、n,使 11()()()()(11).nnnnnTxfxLxTxx
14. 设在1,1上234511315165()128243843840xxxxxx,试将()x降低到3次多项式并估计误差.
15. 在1,1上利用幂级数项数求()sinfxx的3次逼近多项式,使误差不超过0.005. 16. ()fx是,aa上的连续奇(偶)函数,证明不管n是奇数或偶数,()fx的最佳逼近多项式*()nnFxH
也是奇(偶)函数.
17. 求a、b使220sinaxbxdx为最小.并与1题及6题的一次逼近多项式误差作比较. 18. ()fx、1(),gxCab,定义