2019西华师范大学管理学院硕士研究生拟录取名单
- 格式:doc
- 大小:83.00 KB
- 文档页数:7
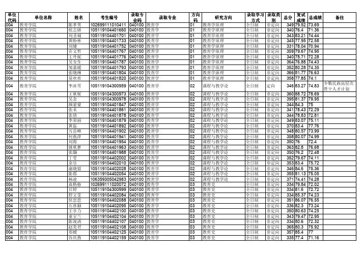
2019西华师范大学教育学院硕士研究生拟录取名单教育学院078401 教育技术学全日制106389078400014 曹昌源33171.6 68.9教育学院045118 学前教育全日制106389045101116 曾月341 68 68.1教育学院040101 教育学原理全日制106389040100027 陈碧珍37772.67 74.04教育学院078401 教育技术学全日制106389078400010 陈丹335 76.2 71.6西华师范大学2019年拟录取硕士研究生名单教育学院0401Z2 心理健康教育全日制106359305039875 陈丽琼377 72.4 73.9教育学院040102 课程与教学论全日制106389040100057 陈亮354 76.93 73.87教育学院045116 心理健康教育全日制106389045101452 陈师师333 82.92 74.76教育学院045118 学前教育全日制106359305065574 陈晓玲386 78 77.6教育学院045115 小学教育全日制106389045101319 邓园383 77 76.8教育学院040101 教育学原理全日制106389040100051 丁艺363 74.2 73.4教育学院045114 现代教育技术全日制105119134416452 冯是乐339 85 76.4教育学院047101 教育经济与管理全日制106389047100002 冯小桔336 74.5 70.85教育学院045118 学前教育全日制106389045101139 高雪360 78.68 75.34教育学院045116 心理健康教育全日制106389045101454 龚杰349 78.8 74.3教育学院040105 学前教育学全日制106389040100143 韩莹344 74.77 71.79教育学院045119 特殊教育全日制106389045101442 何沁352 77.63 74.02教育学院040106 高等教育学全日制106389040100193 江萍340 76.37 72.19教育学院078401 教育技术学全日制106389078400011 蒋学强359 76.8 74.3教育学院078401 教育技术学全日制106389078400017 雷倩308 77.9 69.75教育学院078401 教育技术学全日制106389078400021 黎祥琼385 70.673.8教育学院078401 教育技术学全日制106389078400016 李成正343 79.3 73.95教育学院045116 心理健康教育全日制106389045101467 李丽娟347 84.37 76.89西华师范大学2019年拟录取硕士研究生名单教育学院0401Z2 心理健康教育全日制102849210723065 李睿329 83.4 74.6教育学院040106 高等教育学全日制106389040100190 李婷333 70.3 68.45教育学院047101 教育经济与管理全日制106389047100004 李雪355 71.4 71.2教育学院040101 教育学原理全日制106389040100040 廖琳琅384 70.97 73.89教育学院0401Z2 心理健康教育全日制106389040100224 刘可心346 85.05 77.13教育学院040105 学前教育学全日制106389040100141 刘莉357 74.48 72.94教育学院040101 教育学原理全日制106389040100012 刘勤370 71.87 72.94教育学院045118 学前教育全日制106389045100146 刘芸374 77.276教育学院045116 心理健康教育全日制106389045101455 罗兴琪383 87.4 82教育学院040101 教育学原理全日制106389040100034 罗雪356 73.27 72.24教育学院0401Z2 心理健康教育全日制103359000922745 马德鑫351 80.5 75.35教育学院047101 教育经济与管理全日制106389047100014 马嘉丽344 64.33 66.57教育学院045115 小学教育全日制106389045101342 牟毅364 79.5 76.15教育学院040105 学前教育学全日制106389040100161 牛湘364 71.58 72.19教育学院040101 教育学原理全日制106389040100035 庞晓晓346 76.22 72.71教育学院045115 小学教育全日制106389045101264 彭斯琪386 79.63 78.42教育学院047101 教育经济与管理全日制106389047100005 邱慧367 78.73 76.07教育学院040101 教育学原理全日制106389040100017 邱宇345 72.47 70.74西华师范大学2019年拟录取硕士研究生名单教育学院0401Z2 心理健康教育全日制106359305047087 屈国梁364 70.6 71.7教育学院040105 学前教育学全日制106389040100168 饶章雪342 74.73 71.57教育学院045119 特殊教育全日制106359305054665 舒兮360 84.2 78.1教育学院045114 现代教育技术全日制106389045100010 宋文逸327 72.8 69.1教育学院078401 教育技术学全日制106389078400020 宋燕299 72.1 65.95教育学院045116 心理健康教育全日制106389045101460 孙梦琪328 77.7 71.65教育学院045115 小学教育全日制106389045101260 唐瑜386 75.13 76.17教育学院045116 心理健康教育全日制106389045101475 涂远丹367 78.63 76.02教育学院045118 学前教育全日制106389045101127 王翠莲326 69.8 67.5教育学院078401 教育技术学全日制105119120414240 王丹妮337 78.4 72.9教育学院078401 教育技术学全日制106389078400025 王鹤瑾338 69.5 68.55教育学院040106 高等教育学全日制106389040100195 王曼暇346 68.8 69教育学院045115 小学教育全日制106389045101253 王美373 73.7 74.15教育学院045118 学前教育全日制106389045101123 王楠352 70.62 70.51教育学院045114 现代教育技术全日制106389045100494 王婷君361 72.8 72.5教育学院045119 特殊教育全日制101659000001351 王晓彤369 80 76.9教育学院040101 教育学原理全日制106389040100032 吴娇354 73.8 72.3教育学院040105 学前教育学全日制106389040100145 吴淼327 89.07 77.24西华师范大学2019年拟录取硕士研究生名单教育学院040101 教育学原理全日制106389040100024 肖胜男385 75.97 76.49教育学院045118 学前教育全日制106389045101106 肖越355 74.73 72.87教育学院040102 课程与教学论全日制106389040100058 谢佳佳358 71.83 71.72教育学院047101 教育经济与管理全日制106389047100010 徐露乙383 75.97 76.29教育学院040102 课程与教学论全日制106389040100056 羊海军342 72.4 70.4教育学院045118 学前教育全日制106639000002256 杨红敏360 74.2 73.1教育学院045118 学前教育全日制106389045101122 杨军月333 67.85 67.23教育学院040106 高等教育学全日制106389040100189 杨倩341 69.93 69.07教育学院0401Z2 心理健康教育全日制106359305040293 杨婉乙376 72 73.6教育学院078401 教育技术学全日制106389078400022 杨馨宇348 77.8 73.7教育学院0401Z2 心理健康教育全日制102709000012037 杨娅351 75.2 72.7教育学院0401Z2 心理健康教育全日制106389040100213 杨洋335 82.03 74.52教育学院045114 现代教育技术全日制106379050343330 叶梨萍326 87.6 76.4教育学院045116 心理健康教育全日制106389045101478 余晓惠344 77.27 73.04教育学院045115 小学教育全日制106389045101329 袁莉365 77.2 75.1教育学院078401 教育技术学全日制106389078400002 翟鹏323 73.469教育学院040106 高等教育学全日制106389040100188 张玲351 74.9 72.55教育学院0401Z2 心理健康教育全日制106389040100226 张婷婷366 83.77 78.49西华师范大学2019年拟录取硕士研究生名单教育学院078401 教育技术学全日制102009211810118 张雪335 71.4 69.2教育学院040102 课程与教学论全日制106389040100054 张玉344 67.9 68.35教育学院045116 心理健康教育全日制106389045101457 赵金艳344 79.83 74.32教育学院040101 教育学原理全日制106389040100007 郑丹344 74.33 71.57教育学院045114 现代教育技术全日制105119120414243 郑玲336 79 73.1教育学院045115 小学教育全日制106389045101212 周弘蕾364 75.07 73.94教育学院045114 现代教育技术全日制106359321180604 周桥345 72.2 70.6教育学院0401Z2 心理健康教育全日制106389040100217 周诗思326 65.9 65.55教育学院045119 特殊教育全日制106389045101443 周世玲338 84.1 75.85教育学院045115 小学教育全日制106389045101242 周伟377 82.3 78.85教育学院045114 现代教育技术全日制102709000012145 周一诺314 78.6 70.7教育学院045115 小学教育非全日制106389045101376 蔡素明331 61.3 63.75教育学院045116 心理健康教育非全日制106389045101514 柴婷325 82.7 73.85教育学院045115 小学教育非全日制106389045101321 陈婵340 7270教育学院045115 小学教育非全日制106389045101304 陈晨368 69.1 71.35教育学院045116 心理健康教育非全日制106389045101461 陈俊雄371 78.3 76.25教育学院045118 学前教育非全日制103459210005928 方清倩375 72.2 73.6教育学院045116 心理健康教育非全日制106389045101493 冯凌云344 73.83 71.32 定向西华师范大学2019年拟录取硕士研究生名单教育学院045115 小学教育非全日制106389045101372 何佳伟334 71.4 69.1教育学院045116 心理健康教育非全日制106359306083674 胡艳红338 76.2 71.9教育学院045116 心理健康教育非全日制106359306086092 黄丹351 69.5 69.85教育学院045118 学前教育非全日制106369045115015 黄梦玥336 63.9 65.55教育学院045118 学前教育非全日制106369040100258 黎旎335 73.8 70.4教育学院045118 学前教育非全日制106359305062626 李柯颖330 70.5 68.25教育学院045116 心理健康教育非全日制106359305058356 李茹梦375 82.8 78.9教育学院045115 小学教育非全日制106389045101397 李瑶329 72.13 68.97教育学院045118 学前教育非全日制106369040100075 李云335 61.8 64.4教育学院045118 学前教育非全日制100289130400157 刘璐331 66.6 66.4教育学院045115 小学教育非全日制106389045101368 刘倩338 69.97 68.79教育学院045115 小学教育非全日制106389045101220 刘锐339 72 69.9教育学院045116 心理健康教育非全日制100019000161014 刘思路331 71.2 68.7教育学院045118 学前教育非全日制107189142308776 刘雅慧358 71.5 71.55教育学院045114 现代教育技术非全日制104219078401031 柳剑310 72.4 67.2教育学院045118 学前教育非全日制106389045101289 罗兴玲353 72.2 71.4教育学院045115 小学教育非全日制106389045101336 罗夜晨354 71.6 71.2教育学院045115 小学教育非全日制106389045101362 梅兰丹351 69.17 69.69西华师范大学2019年拟录取硕士研究生名单教育学院045116 心理健康教育非全日制106359306084058 莫畏难32972.6 69.2教育学院045115 小学教育非全日制106389045101367 潘美玲342 64.7 66.55教育学院045118 学前教育非全日制106389040100201 任双326 72.8 69教育学院045115 小学教育非全日制106389045101265 任雪迎367 79.6 76.5教育学院045114 现代教育技术非全日制106389078400018 孙通泽32387.2 75.9教育学院045116 心理健康教育非全日制106389045101500 田丽丹33580.5 73.75教育学院045114 现代教育技术非全日制106359308103096 汪颖356 78.4 74.8教育学院045118 学前教育非全日制106389040100029 王倩342 68.5 68.45教育学院045116 心理健康教育非全日制106389045101497 吴平340 80.4 74.2教育学院045115 小学教育非全日制106389045101338 肖育翠345 70.8 69.9教育学院045116 心理健康教育非全日制106379040292394 徐丽媛32869.7 67.65教育学院045118 学前教育非全日制110799045100098 徐玥331 71.4 68.8教育学院045116 心理健康教育非全日制106389045101496 严春梅36383.37 77.99 农村学校教师特设岗教育学院045114 现代教育技术非全日制106369045115073 张敏霞34968.8 69.3教育学院045115 小学教育非全日制106389045101374 赵秘秘330 62.33 64.17教育学院045118 学前教育非全日制103199512224659 周璇327 70 67.7教师教育学院040102 课程与教学论全日制106389040100136 曾玲32773.4 69.4教师教育学院040102 课程与教学论全日制106389040100139 陈琦33669 68.1西华师范大学2019年拟录取硕士研究生名单教师教育学院040102 课程与教学论全日制106359305047097 尹盈欢373 81.9 78.25教师教育学院040102 课程与教学论全日制106369040100339 张育菡351 80.8 75.5教师教育学院040102 课程与教学论全日制104149040101045 周涵359 72.2 72。
2019西华师范大学物理与空间科学学院硕士研究生拟录取名单物理与空间科学学070400 天文学全日制106359315152613 白乐娅332 77.33 71.87院物理与空间科学学045105 学科教学(物理)全日制107189511114856 陈晨364 83.06 77.93院物理与空间科学学070201 理论物理全日制106389070200014 陈冬梅338 69.03 68.32院物理与空间科学学045105 学科教学(物理)全日制106389045101557 陈红梅356 89.47 80.34院物理与空间科学学070400 天文学全日制106109070220079 陈易容307 73.2 67.3院物理与空间科学学070400 天文学全日制106389070400008 代敏308 63.8 62.7院物理与空间科学学070400 天文学全日制106389070400005 丁群涛293 60.8 59.7院物理与空间科学学045105 学科教学(物理)全日制106389045101533 杜堇晨368 62.23 67.92院物理与空间科学学070400 天文学全日制106389070400006 古慧376 63.87 69.54院物理与空间科学学070205 凝聚态物理全日制106389070200023 何光强298 67.3 63.45院物理与空间科学学045105 学科教学(物理)全日制106389045101534 胡雪莲358 88.2 79.9院物理与空间科学学070205 凝聚态物理全日制106389070200026 蒋梅329 60.53 63.17院物理与空间科学学045105 学科教学(物理)全日制103199511124545 蒋亚欣371 87.6 80.9西华师范大学2019年拟录取硕士研究生名单物理与空间科学学070203 原子与分子物理全日制106389070200018 李朝洋369 68.47 71.14院物理与空间科学学070201 理论物理全日制106389070200010 李春艳372 68.83 71.62院物理与空间科学学045105 学科教学(物理)全日制106389045101535 李和婷373 65.73 70.17院物理与空间科学学070400 天文学全日制105909876509956 李启达298 73.87 66.74院物理与空间科学学070400 天文学全日制106389070400007 李清381 67.47 71.84院物理与空间科学学070205 凝聚态物理全日制106389070200025 李志西316 64.83 64.02院物理与空间科学学070400 天文学全日制105119114412048 梁欢欢342 73 70.7院物理与空间科学学070205 凝聚态物理全日制106389070200028 刘城334 64.6 65.7院物理与空间科学学045105 学科教学(物理)全日制106389045101564 刘瑶337 69.43 68.42院物理与空间科学学070201 理论物理全日制106639000003647 聂维福315 75.33 69.17院物理与空间科学学070400 天文学全日制106389070400009 任平321 61.86 63.03院物理与空间科学学045105 学科教学(物理)全日制105749000016109 任薇薇340 65.44 66.72院物理与空间科学学070400 天文学全日制106739000014592 沈梦婷344 74.87 71.84院物理与空间科学学045105 学科教学(物理)全日制106389045101556 石冬梅342 69.47 68.94物理与空间科学学070201 理论物理全日制106139070100081 苏鹏308 74.27 67.94院物理与空间科学学070201 理论物理全日制106389070200019 谭川311 69 65.6院物理与空间科学学070400 天文学全日制103589210002282 王辉323 72.73 68.67院物理与空间科学学070203 原子与分子物理全日制106389070200016 王晓南406 68.54 74.87院西华师范大学2019年拟录取硕士研究生名单物理与空间科学学070203 原子与分子物理全日制106389070200017 王学浩380 68.2 72.1院物理与空间科学学070400 天文学全日制106379080844627 杨顺霞320 70.93 67.47院物理与空间科学学070203 原子与分子物理全日制106389070200021 杨绪奎320 64.36 64.18院物理与空间科学学045105 学科教学(物理)全日制106389045101562 赵丽雪326 78.97 72.09院物理与空间科学学040102 课程与教学论全日制106359305042755 赵琦338 75.98 71.79院物理与空间科学学045105 学科教学(物理)全日制106389045101549 郑贤松328 80.22 72.91院物理与空间科学学045105 学科教学(物理)全日制106389045101530 周波327 60.57 62.99院物理与空间科学学045105 学科教学(物理)非全日制105119112410660 高佳瑞384 65.5 71.15院物理与空间科学学045105 学科教学(物理)非全日制106389045101578 钱腊梅343 63.68 66.14院物理与空间科学学045105 学科教学(物理)非全日制106389045101571 袁松327 66.47 65.94。
2019西华师范大学政治与行政学院硕士研究生拟录取名单西华师范大学2019年拟录取硕士研究生名单初试成复试成绩总成绩学院拟录取专业代码及名称学习方式考生编号姓名备注绩(百分制)(百分制)政治与行政学院030204 中共党史全日制106739000011823 毕雅婷348 74.8 72.2政治与行政学院030202 中外政治制度全日制105599210013561 曾超336 78.4 72.8政治与行政学院0302Z2 政治社会学全日制105119101400377 曾维其326 88 76.6政治与行政学院045102 学科教学(思政)全日制106389045100105 陈沁羽362 79.03 75.72政治与行政学院030201 政治学理论全日制102869410615759 崔慧慧358 73.8 72.7政治与行政学院0302Z2 政治社会学全日制103359000927035 戴维娜363 76 74.3政治与行政学院045102 学科教学(思政)全日制106389045100062 付婕393 80.47 79.54政治与行政学院030201 政治学理论全日制106519120401345 郭思琪366 77.2 75.2政治与行政学院040102 课程与教学论全日制106109030520195 何俊330 86.8 76.4政治与行政学院030202 中外政治制度全日制105899007002070 黄泽旭332 69 67.7政治与行政学院045102 学科教学(思政)全日制106389045100085 江虹兰404 80.1 80.45政治与行政学院030201 政治学理论全日制106109030220268 蒋怡闻332 80.9 73.65政治与行政学院030204 中共党史全日制105899026004536 劳姗姗35662 66.6政治与行政学院045102 学科教学(思政)全日制106389045100106 李江亚363 77.1 74.85政治与行政学院030201 政治学理论全日制106389030200010 李沙386 76.4 76.8政治与行政学院030202 中外政治制度全日制106359301002469 李祎杨329 78.8 72.3西华师范大学2019年拟录取硕士研究生名单政治与行政学院045102 学科教学(思政)全日制106389045100113 李月夏371 76.8 75.5政治与行政学院040102 课程与教学论全日制106359305042657 刘露359 87.4 79.6政治与行政学院045102 学科教学(思政)全日制106389045100115 刘巧407 73 77.2政治与行政学院030201 政治学理论全日制106109030220263 刘召燕355 84 77.5政治与行政学院040102 课程与教学论全日制106359305042805 龙思达361 87.6 79.9政治与行政学院030201 政治学理论全日制106109030220259 隆超357 80.2 75.8政治与行政学院030206 国际政治全日制106359301002641 罗元源347 80.6 75政治与行政学院030201 政治学理论全日制106519120401387 潘侠安363 79.2 75.9政治与行政学院045102 学科教学(思政)全日制106389045100101 钱梅366 77 75.1政治与行政学院045102 学科教学(思政)全日制106389045100104 孙祥榕368 77.47 75.54政治与行政学院045102 学科教学(思政)全日制106389045100092 谭小青358 76 73.8政治与行政学院030204 中共党史全日制100559333315706 唐仁焕341 80.2 74.2政治与行政学院030206 国际政治全日制100369999915018 唐探奇340 79.4 73.7政治与行政学院030201 政治学理论全日制106389030200003 唐微357 66.86 69.13政治与行政学院045102 学科教学(思政)全日制106389045100102 汪叶391 74 76.1政治与行政学院030201 政治学理论全日制100559333322936 王朝成336 75.8 71.5政治与行政学院030206 国际政治全日制106389030200013 王圣陶362 80.63 76.52政治与行政学院0302Z1 政府经济学全日制100029112213128 王姝蒙327 83 74.2西华师范大学2019年拟录取硕士研究生名单政治与行政学院045102 学科教学(思政)全日制106389045100084 王霜392 71.2 74.8政治与行政学院030201 政治学理论全日制106389030200009 王思文403 69.63 75.12政治与行政学院030202 中外政治制度全日制102889500008808 王小青34776 72.7政治与行政学院030202 中外政治制度全日制100369999914983 魏贵全331 78.6 72.4政治与行政学院045102 学科教学(思政)全日制106389045100082 鲜静341 82.2 75.2政治与行政学院0302Z2 政治社会学全日制103199320805129 徐犇357 67.8 69.6政治与行政学院040102 课程与教学论全日制106359305040933 阎亮澄360 79 75.5政治与行政学院030202 中外政治制度全日制106359301003333 杨杰345 77.6 73.3政治与行政学院030204 中共党史全日制104979400345468 杨梅35469 69.9政治与行政学院030203 科学社会主义与国全日制100059511110898 杨涛335 75 71际共产主义运动政治与行政学院030201 政治学理论全日制106139030500085 杨星355 79.8 75.4政治与行政学院030203 科学社会主义与国全日制105599210018130 杨燕洪358 70.2 70.9际共产主义运动政治与行政学院030201 政治学理论全日制102859210100098 苑春香353 78.7 74.65政治与行政学院030201 政治学理论全日制106109120420552 张东珠381 79.8 78政治与行政学院030201 政治学理论全日制106149030510476 张江平353 81.6 76.1政治与行政学院030202 中外政治制度全日制102769212205323 张琦369 81 77.4政治与行政学院030203 科学社会主义与国全日制106519030505036 张莎363 79 75.8际共产主义运动政治与行政学院0302Z2 政治社会学全日制104879000141164 张潇月330 75.2 70.6西华师范大学2019年拟录取硕士研究生名单政治与行政学院0302Z1 政府经济学全日制106389030200017 张梓涵371 78.09 76.15政治与行政学院030204 中共党史全日制105209666611982 赵敏34679 74.1政治与行政学院030201 政治学理论全日制106109120420547 郑燕356 81.2 76.2政治与行政学院030202 中外政治制度全日制106109030220006 钟玲381 83.2 79.7政治与行政学院030201 政治学理论全日制106109030220218 周国清344 74.1 71.45政治与行政学院045102 学科教学(思政)全日制106389045100070 朱梦395 82.8 80.9政治与行政学院045102 学科教学(思政)全日制106389045100110 邹川平372 74.47 74.44政治与行政学院045102 学科教学(思政)非全日制106389045100138 陈秋橘346 70.73 69.97政治与行政学院045102 学科教学(思政)非全日制106389045100116 冯丽327 70.63 68.02政治与行政学院045102 学科教学(思政)非全日制106389045100135 李奉英374 80.07 77.44政治与行政学院045102 学科教学(思政)非全日制106389045100096 李兰君352 85.6 78 定向政治与行政学院045102 学科教学(思政)非全日制106359332208154 罗琳392 72 75.2政治与行政学院045102 学科教学(思政)非全日制106389045100134 彭馨怡378 72.8 74.2政治与行政学院045102 学科教学(思政)非全日制106389045100122 文雪玲338 77.43 72.52政治与行政学院045102 学科教学(思政)非全日制106389045100112 余丽385 88.2 82.6政治与行政学院045102 学科教学(思政)非全日制106389045100119 张丹丹346 76.37 72.79政治与行政学院045102 学科教学(思政)非全日制106389045100136 张娅萍364 74.7 73.75政治与行政学院045102 学科教学(思政)非全日制106389045100137 张云奎388 75.03 76.32。
2019西华师范大学电子信息工程学院硕士研究生拟录取名单电子信息工程学院085208 电子与通信工程全日制106109085224370 陈俊丞307 87 74.2电子信息工程学院070208 无线电物理全日制106179030114443 陈韵文294 75.8 67.3电子信息工程学院085208 电子与通信工程全日制106109085224326 董帅312 91.2 76.8电子信息工程学院070208 无线电物理全日制106389070200004 樊琴294 69.4 64.1电子信息工程学院085208 电子与通信工程全日制106119512080412 冯文超318 77.8 70.7电子信息工程学院085208 电子与通信工程全日制116649061070862 姬贺331 72 69.1西华师范大学2019年拟录取硕士研究生名单电子信息工程学院085208 电子与通信工程全日制106979501312375 蒋勇329 72.6 69.2电子信息工程学院085208 电子与通信工程全日制106109085224334 李廷婉311 89 75.6电子信息工程学院085208 电子与通信工程全日制106139085206871 李易昶283 83.2 69.9电子信息工程学院085208 电子与通信工程全日制101459000010477 林振善387 76.8 77.1电子信息工程学院085208 电子与通信工程全日制106179010130753 罗章海315 82.2 72.6电子信息工程学院085208 电子与通信工程全日制106139085206793 唐权352 78.6 74.5电子信息工程学院085208 电子与通信工程全日制106139085203563 王井帅316 80.8 72电子信息工程学院085208 电子与通信工程全日制106139085206218 肖平安311 88.8 75.5电子信息工程学院070208 无线电物理全日制106389070200005 谢国庆296 70.8 65电子信息工程学院085208 电子与通信工程全日制104879000104323 颜强299 81.2 70.5电子信息工程学院085208 电子与通信工程全日制103539210003457 张冲380 79 77.5电子信息工程学院085208 电子与通信工程全日制116649********* 张琳美337 87 77.2电子信息工程学院085208 电子与通信工程全日制106139085205629 张群林292 80.8 69.6电子信息工程学院085208 电子与通信工程全日制106149085213797 张卫东293 78.6 68.6电子信息工程学院085208 电子与通信工程全日制106109085224376 赵坤319 76 69.9电子信息工程学院070208 无线电物理全日制106389070200003 郑瑞336 80.8 74电子信息工程学院085208 电子与通信工程全日制104599411390038 种传印332 73.4 69.9电子信息工程学院085208 电子与通信工程全日制103869211108796 朱子昂336 73.6 70.4。
2019西华师范大学外国语学院硕士研究生拟录取名单外国语学院045108 学科教学(英语)全日制106389045100728 艾美琳385 76.4 76.7外国语学院045108 学科教学(英语)全日制106389045100668 蔡登丽345 81.52 75.26外国语学院045108 学科教学(英语)全日制106389045100869 曾孜326 83.46 74.33外国语学院045108 学科教学(英语)全日制106389045100711 陈沫335 82.04 74.52外国语学院045108 学科教学(英语)全日制106389045100837 陈慕蓉342 78.02 73.21外国语学院045108 学科教学(英语)全日制106389045100747 陈丝丝337 80.72 74.06外国语学院045108 学科教学(英语)全日制106389045100913 陈小利372 78.28 76.34外国语学院045108 学科教学(英语)全日制106389045100812 陈颖336 81.5 74.35外国语学院040102 课程与教学论全日制106389040100099 陈玉雪347 64.98 67.19外国语学院045108 学科教学(英语)全日制106389045100768 陈昱淇366 74.9 74.05外国语学院045108 学科教学(英语)全日制106389045100801 成卓334 76.44 71.62外国语学院045108 学科教学(英语)全日制106389045100870 邓碧莲347 76.78 73.09外国语学院045108 学科教学(英语)全日制106389045100761 冯丽357 78.22 74.81西华师范大学2019年拟录取硕士研究生名单外国语学院0501Z2 文学与翻译全日制106139050200054 冯梅364 70.94 71.87外国语学院045108 学科教学(英语)全日制106389045100727 耿学婷347 74.08 71.74外国语学院045108 学科教学(英语)全日制106389045100846 龚敏365 79.46 76.23外国语学院0501Z2 文学与翻译全日制106509010140292 郭佳颖38071.04 73.52外国语学院040102 课程与教学论全日制106389040100086 郭芮铭35564.24 67.62外国语学院040102 课程与教学论全日制106389040100093 何瑛365 86.479.7外国语学院040102 课程与教学论全日制106389040100110 胡燕37568.34 71.67外国语学院045108 学科教学(英语)全日制106389045100910 姜晓琪383 76.84 76.72外国语学院0501Z2 文学与翻译全日制106389050100004 蒋秋萍38584.92 80.96外国语学院045108 学科教学(英语)全日制106389045100930 李顶翔364 75.84 74.32外国语学院045108 学科教学(英语)全日制106389045100687 李静355 77.68 74.34外国语学院040102 课程与教学论全日制106389040100102 李淼36879.32 76.46外国语学院040102 课程与教学论全日制106389040100085 李莎361 80.7 76.45外国语学院045108 学科教学(英语)全日制106389045100916 李莎莎356 80.18 75.69外国语学院045108 学科教学(英语)全日制106389045100770 李婷380 75.98 75.99外国语学院045108 学科教学(英语)全日制106389045100707 李兴媛348 77.62 73.61外国语学院045108 学科教学(英语)全日制106389045100863 李怡燃342 81.68 75.04外国语学院040102 课程与教学论全日制106389040100088 廖珈瑞40378.68 79.64西华师范大学2019年拟录取硕士研究生名单外国语学院045108 学科教学(英语)全日制106389045100937 廖丽366 78.96 76.08外国语学院045108 学科教学(英语)全日制106389045100820 刘清青368 77.8 75.7外国语学院045108 学科教学(英语)全日制106389045100932 刘瑞佳340 75.7 71.85外国语学院045108 学科教学(英语)全日制106389045100714 刘小倩326 79.28 72.24外国语学院045108 学科教学(英语)全日制106389045100776 刘艳蓉397 77.76 78.58外国语学院040102 课程与教学论全日制106389040100089 明娜37179.44 76.82外国语学院045108 学科教学(英语)全日制106389045100729 彭清358 76.78 74.19外国语学院045108 学科教学(英语)全日制106389045100898 蒲娟343 74.72 71.66外国语学院045108 学科教学(英语)全日制106389045100926 卿柳338外国语学院040102 课程与教学论全日制106389040100108 史佳豪33274 70.2外国语学院040102 课程与教学论全日制106389040100077 宋瑶37576.48 75.74外国语学院045108 学科教学(英语)全日制106389045100732 宋禹静334 79.78 73.29外国语学院045108 学科教学(英语)全日制106389045100722 孙家黎350 79.26 74.63外国语学院045108 学科教学(英语)全日制106389045100821 汤敏敏349 77.82 73.81外国语学院045108 学科教学(英语)全日制106389045100927 汤旭秋346 82.92 76.06外国语学院045108 学科教学(英语)全日制106389045100725 唐春燕326 85.1 75.15外国语学院045108 学科教学(英语)全日制106389045100945 唐蜜330 84.26 75.13外国语学院045108 学科教学(英语)全日制106389045100794 王娟347 86.32 77.86西华师范大学2019年拟录取硕士研究生名单外国语学院040102 课程与教学论全日制106389040100107 王苏英36976.58 75.19外国语学院045108 学科教学(英语)全日制106389045100726 王婷婷378 74.76 75.18外国语学院045108 学科教学(英语)全日制106389045100841 王肖婷355 79.34 75.17外国语学院045108 学科教学(英语)全日制106389045100784 吴玉梅346 75.24 72.22外国语学院045108 学科教学(英语)全日制106389045100787 肖兰347 74.96 72.18外国语学院045108 学科教学(英语)全日制106389045100757 肖珊珊37980 77.9外国语学院040102 课程与教学论全日制106389040100104 肖雪35868.62 70.11外国语学院045108 学科教学(英语)全日制106389045100918 肖羽萱364 78.5 75.65外国语学院045108 学科教学(英语)全日制106389045100733 谢敏352 81.5 75.95外国语学院045108 学科教学(英语)全日制106389045100743 徐慧370 86.94 80.47外国语学院045108 学科教学(英语)全日制106389045100908 杨桃357 81.6 76.5外国语学院045108 学科教学(英语)全日制106389045100925 杨婷338外国语学院045108 学科教学(英语)全日制106389045100667 杨燕羽347 74.12 71.76外国语学院045108 学科教学(英语)全日制106389045100919 张爱萍370 75.16 74.58外国语学院045108 学科教学(英语)全日制106389045100815 张丹367 78.46 75.93外国语学院045108 学科教学(英语)全日制106389045100857 张俊350 77.06 73.53外国语学院045108 学科教学(英语)全日制106389045100912 张美玲357 73.54 72.47外国语学院045108 学科教学(英语)全日制106389045100852 张倩362 78.1 75.25西华师范大学2019年拟录取硕士研究生名单外国语学院040102 课程与教学论全日制106389040100109 张羽33070.7 68.35外国语学院045108 学科教学(英语)全日制106389045100899 周欣欣380 81.74 78.87外国语学院045108 学科教学(英语)全日制106389045100759 周璇356 73.68 72.44外国语学院045108 学科教学(英语)全日制106389045100902 朱珍37280 77.2外国语学院045108 学科教学(英语)非全日制103459210004464 葛芳367 67.6 70.5外国语学院045108 学科教学(英语)非全日制106389045100915 韩肃343 63 65.8外国语学院045108 学科教学(英语)非全日制106389045100845 韩月343 70.98 69.79外国语学院045108 学科教学(英语)非全日制106389045100734 黄杨杰333 67.58 67.09外国语学院045108 学科教学(英语)非全日制106389045100778 刘俊335 72.36 69.68外国语学院045108 学科教学(英语)非全日制106389045100682 刘小芳343 65.42 67.01外国语学院045108 学科教学(英语)非全日制106389045100664 罗沙340 77.98 72.99外国语学院045108 学科教学(英语)非全日制107189612202822 彭宝群358 68.64 70.12外国语学院045108 学科教学(英语)非全日制106389045100739 彭静萍340 68.28 68.14外国语学院045108 学科教学(英语)非全日制106389045100991 蒲小双336 78.2 72.7外国语学院045108 学科教学(英语)非全日制106389045100816 谭华346外国语学院045108 学科教学(英语)非全日制106389045100875 唐晓琼345 66.88 67.94外国语学院045108 学科教学(英语)非全日制106389045100948 王露354 74.38 72.59外国语学院045108 学科教学(英语)非全日制106389045100683 王怡363 76.2 74.4西华师范大学2019年拟录取硕士研究生名单外国语学院045108 学科教学(英语)非全日制106389045100895 吴雨泓346 69.56 69.38外国语学院045108 学科教学(英语)非全日制106389045100982 杨琼327 79.58 72.49外国语学院045108 学科教学(英语)非全日制106389045100995 杨艳328 73.1 69.35外国语学院045108 学科教学(英语)非全日制106389045100755 张梦忆345 71.74 70.37外国语学院045108 学科教学(英语)非全日制106389045100929 张馨月385 75.6 76.3。
2019西华师范大学管理学院硕士研究生拟录取名单管理学院125200 公共管理全日制106389125200381 曹颖177 85 72管理学院120405 土地资源管理全日制104919303106213 曾俞森358 82.6 77.1管理学院120401 行政管理全日制106389120400028 陈茜霖398 76.9 78.25管理学院125200 公共管理全日制106389125200337 陈诗晴210 71.9 70.95管理学院125200 公共管理全日制106389125200244 陈小清209 79.1 74.38管理学院125200 公共管理全日制106389125200203 陈燕228 79 77.5管理学院120401 行政管理全日制106389120400010 杜宇410 79.3 80.65管理学院125200 公共管理全日制106389125200142 付江英216 72.8 72.4管理学院125200 公共管理全日制106389125200099 甘露189 80.1 71.55西华师范大学2019年拟录取硕士研究生名单管理学院120401 行政管理全日制102909210910185 郭亚梅346 85.1 77.15管理学院125200 公共管理全日制106389125200176 何博182 85.4 73.03管理学院125200 公共管理全日制106389125200295 何雷199 81.4 73.87管理学院125200 公共管理全日制106389125200182 何婷婷189 85.9 74.45管理学院125200 公共管理全日制106389125200253 黄婷202 7370.17管理学院120404 社会保障全日制106389120400041 黄婷352 74.5 72.45管理学院120404 社会保障全日制106389120400040 蒋滨臣370 80.7 77.35管理学院125200 公共管理全日制106389125200309 蒋懿208 71.9 70.62管理学院120403 教育经济与管理全日制104919501104528 金梦迪366 76.2 74.7管理学院125200 公共管理全日制106389125200360 李明霞181 83.6 71.97管理学院125200 公共管理全日制106389125200173 李南君215 75.4管理学院125200 公共管理全日制106389125200017 李彤190 81.9 72.62管理学院120404 社会保障全日制106389120400037 李旺400 78.3 79.15管理学院125200 公共管理全日制106389125200051 李怡萱193 76.5 70.42管理学院125200 公共管理全日制106389125200043 李玉海192 80.8 72.4管理学院125200 公共管理全日制106389125200357 李玉欢208 74.4 71.87管理学院125200 公共管理全日制106389125200330 林芳197 84.5 75.08管理学院120404 社会保障全日制100349228100180 凌镘金357 83 77.2西华师范大学2019年拟录取硕士研究生名单管理学院125200 公共管理全日制106389125200194 刘成188 75.5 69.08管理学院125200 公共管理全日制106389125200039 刘春晓198 73.5 69.75管理学院125200 公共管理全日制106389125200010 刘威204 73.8 70.9管理学院125200 公共管理全日制106389125200361 刘翔兰214 80.2 75.77管理学院1204Z1 旅游公共管理全日制106359320179223 罗娜346 82.5 75.85管理学院120401 行政管理全日制106389120400008 罗永强352 74.8 72.6管理学院125200 公共管理全日制106389125200263 马铭183 86.1 73.55管理学院125200 公共管理全日制106389125200088 母正国201 74 70.5管理学院125200 公共管理全日制106389125200310 彭芳艳192 77.6 70.8管理学院125200 公共管理全日制106389125200292 蒲治强203 74 70.83管理学院125200 公共管理全日制106389125200035 齐慧敏189 80.3 71.65管理学院125200 公共管理全日制106389125200250 卿天218 68.8 70.73管理学院120405 土地资源管理全日制106519120401351 邱晓艳348 85.1 77.35管理学院125200 公共管理全日制106389125200331 瞿林艳173 85.6管理学院125200 公共管理全日制106389125200242 任小华196 78.7 72.02管理学院125200 公共管理全日制106389125200093 宋姗珊190 79.2 71.27管理学院125200 公共管理全日制106389125200286 苏艳玲192 81.8 72.9管理学院125200 公共管理全日制106389125200162 唐静199 73 69.67西华师范大学2019年拟录取硕士研究生名单管理学院125200 公共管理全日制106389125200364 田晓菊223 70.6 72.47管理学院125200 公共管理全日制106389125200260 王凤188 78.7 70.68管理学院120401 行政管理全日制106519120401356 王欢361 83 77.6管理学院125200 公共管理全日制106389125200187 王林201 73.4 70.2管理学院125200 公共管理全日制106389125200169 王茂梅192 79.5 71.75管理学院125200 公共管理全日制106389125200291 王茜汶176 80.2 69.43管理学院125200 公共管理全日制106389125200143 谢双峻218 78.2 75.43管理学院125200 公共管理全日制106389125200030 许史青196 75.2 70.27管理学院125200 公共管理全日制106389125200132 杨彬206 78.7 73.68管理学院125200 公共管理全日制106389125200095 杨兴娜186 82 72管理学院125200 公共管理全日制106389125200328 易华琼222 64.7 69.35管理学院125200 公共管理全日制106389125200155 殷维203 72.2 69.93管理学院125200 公共管理全日制106389125200207 雍莉莎213 73.8 72.4管理学院120403 教育经济与管理全日制105429131809089 张晋388 75.8 76.7管理学院125200 公共管理全日制106389125200089 张倩182 80.5 70.58管理学院120401 行政管理全日制104599410250235 张瑞欣366 78.4 75.8管理学院125200 公共管理全日制106389125200189 张诗怡241 81.4管理学院125200 公共管理全日制106389125200054 张晓敏202 80.7 74.02西华师范大学2019年拟录取硕士研究生名单管理学院125200 公共管理全日制106389125200267 赵忆玥205 79.2 73.77管理学院125200 公共管理全日制106389125200020 郑允浩204 81.2 74.6管理学院125200 公共管理非全日制106389125200388 曹琛唯182 79.7 70.18管理学院125200 公共管理非全日制106389125200235 曹玉梅194 77.9 71.28管理学院125200 公共管理非全日制106389125200656 曾涵妤210 76.2 73.1管理学院125200 公共管理非全日制106389125200571 陈莉204 71 69.5管理学院125200 公共管理非全日制106389125200521 陈然179 67.5 63.58管理学院125200 公共管理非全日制106389125200568 陈汪江197 66.3 65.98管理学院125200 公共管理非全日制106389125200608 成潇218 69.6 71.13管理学院125200 公共管理非全日制106389125200470 邓鹏182 75 67.83管理学院125200 公共管理非全日制106389125200659 杜丽娟195 70 67.5管理学院125200 公共管理非全日制106389125200567 杜书香199 67 66.67管理学院125200 公共管理非全日制106389125200613 方琦177 66.1 62.55管理学院125200 公共管理非全日制106389125200510 冯文人212 66.9 68.78管理学院125200 公共管理非全日制106389125200430 黄丹凤218 77 74.83管理学院125200 公共管理非全日制106389125200335 蒋楠萱173 82.1 69.88管理学院125200 公共管理非全日制106389125200658 柯魏巍191 68.7 66.18管理学院125200 公共管理非全日制106389125200605 李杰211 71.9 71.12西华师范大学2019年拟录取硕士研究生名单管理学院125200 公共管理非全日制106389125200483 李龙强182 73.9 67.2864.3管理学院125200 公共管理非全日制106389125200537 李尚併205 71.2 69.77管理学院125200 公共管理非全日制106389125200647 李天俊189 63.5 63.25管理学院125200 公共管理非全日制106389125200333 李挽澜213 75.5 73.25管理学院125200 公共管理非全日制106389125200676 李熊涛186 66.6 64.3管理学院125200 公共管理非全日制106389125200570 李杨192 71 67.5管理学院125200 公共管理非全日制106389125200451 李亦琦195 64 64.5管理学院125200 公共管理非全日制106389125200513 梁文君181 67.1 63.72管理学院125200 公共管理非全日制106389125200425 廖厚春187 74.2 68.27管理学院125200 公共管理非全日制106389125200418 林娟183 68.2 64.6管理学院125200 公共管理非全日制106389125200669 刘锦毓174 70.5 64.25管理学院125200 公共管理非全日制106389125200498 刘婉178 72.4 65.87管理学院125200 公共管理非全日制106389125200322 刘月玲208 70.6 69.97管理学院125200 公共管理非全日制106389125200576 罗诗韵210 72.6 71.3管理学院125200 公共管理非全日制106389125200566 罗尧208 69 69.17管理学院125200 公共管理非全日制106389125200582 潘虹频171 73 65管理学院125200 公共管理非全日制106389125200638 沈添188 64.3 63.48西华师范大学2019年拟录取硕士研究生名单管理学院125200 公共管理非全日制106389125200486 石轲178 70.6 64.97管理学院125200 公共管理非全日制106389125200223 谭琳珲193 75.9 70.12管理学院125200 公共管理非全日制106389125200621 谭玉佳202 71.7 69.52管理学院125200 公共管理非全日制106389125200690 汪婕172 72.2 64.7765.22管理学院125200 公共管理非全日制106389125200635 王倩189 71.967.45管理学院125200 公共管理非全日制106389125200501 王珍174 67.362.65管理学院125200 公共管理非全日制106389125200226 文丹179 80.870.23管理学院125200 公共管理非全日制106389125200560 谢婷195 71.568.25管理学院125200 公共管理非全日制106389125200534 谢雨彤243 76.2 78.6管理学院125200 公共管理非全日制106389125200540 杨春梅189 66.9 64.95管理学院125200 公共管理非全日制106389125200195 杨静176 81.169.88管理学院125200 公共管理非全日制106389125200649 杨婷192 84.774.35管理学院125200 公共管理非全日制106389125200192 杨惜惜180 79.8 69.9管理学院125200 公共管理非全日制106389125200415 叶根源239 68.7 74.18管理学院125200 公共管理非全日制106389125200589 余谦173 69.963.78管理学院125200 公共管理非全日制106389125200518 余姗姗174 70.8 64.4管理学院125200 公共管理非全日制106389125200407 张聪192 67.365.65西华师范大学2019年拟录取硕士研究生名单管理学院125200 公共管理非全日制106389125200512 张奎196 66.7 66.02管理学院125200 公共管理非全日制106389125200090 张懋山19375.8 70.07管理学院125200 公共管理非全日制106389125200378 张亚杨18081.2 70.6管理学院125200 公共管理非全日制106389125200590 张娱188 68.5 65.58管理学院125200 公共管理非全日制106389125200679 赵浴希17467.7 62.85管理学院125200 公共管理非全日制106389125200522 周楚鸿17266.8 62.07管理学院125200 公共管理非全日制106389125200538 周靖云22165.1 69.3866.6 63.13管理学院125200 公共管理非全日制106389125200485 朱慧刚20676 72.33管理学院125200 公共管理非全日制106389125200700 朱洁170 70.7 63.68管理学院125200 公共管理非全日制106389125200600 左佳麟18465.1 63.22。
2019西华师范大学化学与化工学院硕士研究生拟录取名单化学化工学院045106 学科教学(化学)全日制106389045100576 曾珍360 75.9 73.95化学化工学院070303 有机化学全日制100109100004786 陈航332 83.6 75化学化工学院070302 分析化学全日制106389070300019 陈磊357 77.8 74.6化学化工学院070302 分析化学全日制106389070300018 陈梅382 75.5 75.95化学化工学院070301 无机化学全日制106389070300008 陈思322 85.9 75.15化学化工学院070301 无机化学全日制106389070300001 邓彪293 76.3 67.45化学化工学院070301 无机化学全日制106359316158217 邓大双304 81.5 71.15化学化工学院070303 有机化学全日制106389070300042 邓雪华380 76.9 76.45化学化工学院045106 学科教学(化学)全日制106389045100550 杜欣343 74.1 71.35化学化工学院070302 分析化学全日制106389070300027 范玉聪389 79.7 78.75化学化工学院070304 物理化学全日制101839213318072 房蕊292 65.7 62.05化学化工学院070302 分析化学全日制106389070300021 冯敏364 82.3 77.55化学化工学院070304 物理化学全日制106109070320371 苟浇浇344 86.4 77.6化学化工学院070304 物理化学全日制106389070300013 何倩369 77.2 75.5化学化工学院045106 学科教学(化学)全日制106389045100542 何清354 61.2 66化学化工学院070301 无机化学全日制107309021002631 何勋309 87.6 74.7西华师范大学2019年拟录取硕士研究生名单化学化工学院045106 学科教学(化学)全日制106389045100578 胡杰英353 85.6 78.1化学化工学院070301 无机化学全日制106389070300010 蒋慧玲438 87.9 87.75化学化工学院045106 学科教学(化学)全日制106389045100577 李玲丽339化学化工学院070301 无机化学全日制106389070300007 李绍雄36067.3 69.65化学化工学院070304 物理化学全日制106119018070097 李艳秋37186.1 80.15化学化工学院070303 有机化学全日制106109070320079 梁恬田34685.3 77.25化学化工学院045106 学科教学(化学)全日制106389045100579 刘双雪339 78.3 73.05化学化工学院070302 分析化学全日制106389070300015 刘宇航41183.6 82.9 定向化学化工学院070303 有机化学全日制106389070300053 刘玉婷39170.8 74.5化学化工学院070303 有机化学全日制106389070300044 罗聪378 79.7 77.65化学化工学院070302 分析化学全日制106389070300026 罗珍363 83.7 78.15化学化工学院070303 有机化学全日制106389070300046 庞亦达39778.3 78.85化学化工学院070302 分析化学全日制106119018070186 彭晓惠32778.1 71.75化学化工学院045106 学科教学(化学)全日制106389045100555 强义伟337 78.2 72.8化学化工学院045106 学科教学(化学)全日制106389045100580 任馨355 80.3 75.65化学化工学院070301 无机化学全日制106389070300005 宋宇368 87.2 80.4化学化工学院070301 无机化学全日制106389070300006 田雪梅37687.3 81.25化学化工学院045106 学科教学(化学)全日制106389045100553 王兰370 78.2 76.1西华师范大学2019年拟录取硕士研究生名单化学化工学院070303 有机化学全日制106389070300052 王清辉34877 73.3化学化工学院070301 无机化学全日制104459690010152 王霞314 86.8 74.8化学化工学院070303 有机化学全日制106389070300047 王雅婷32870.6 68.1化学化工学院070303 有机化学全日制106389070300051 王竹翰36578.7 75.85化学化工学院070304 物理化学全日制106389070300012 魏金凤40286.1 83.25化学化工学院070304 物理化学全日制106389070300014 文贵来380化学化工学院045106 学科教学(化学)全日制106389045100575 文克英347 83.1 76.25化学化工学院040102 课程与教学论全日制106389040100131 吴丽华328 73.3 69.45化学化工学院040102 课程与教学论全日制106359316154069 谢可心374 68.8 71.8化学化工学院070303 有机化学全日制106389070300040 胥杰361 79.8 76化学化工学院070304 物理化学全日制106359316158505 颜芬295 78 68.5化学化工学院070302 分析化学全日制106389070300028 杨静360 81.6 76.8化学化工学院040102 课程与教学论全日制106359305042819 杨宇368 78.9 76.25化学化工学院070303 有机化学全日制106389070300034 喻强339 74.7 71.25化学化工学院045106 学科教学(化学)全日制106389045100581 赵凤369 75.8 74.8化学化工学院045117 科学与技术教育全日制106389045101100 赵文华344 85.3 77.05化学化工学院070304 物理化学全日制105429511410411 钟霞326 65.4 65.3化学化工学院070303 有机化学全日制106389070300029 周迪368 87.6 80.6西华师范大学2019年拟录取硕士研究生名单化学化工学院070303 有机化学全日制106389070300035 周洋31374.4 68.5 大学生士兵计划化学化工学院070302 分析化学全日制106389070300024 朱琼37280 77.2化学化工学院070304 物理化学全日制102869511118109 朱昭昭372 85.2 79.8化学化工学院045106 学科教学(化学)全日制106389045100574 邹霞353 83.9 77.25化学化工学院070303 有机化学全日制106389070300041 邹毅36079.6 75.8化学化工学院045106 学科教学(化学)非全日制105429511116181 蔡梦月363 84.3 78.45化学化工学院045106 学科教学(化学)非全日制102319045106109 李晨335 71.2 69.1化学化工学院045106 学科教学(化学)非全日制106359310126744 罗晶丹370 72.3 73.15化学化工学院045117 科学与技术教育非全日制106389045101101 王鑫兰336 71.1 69.15。
2019西华师范大学文学院硕士研究生拟录取名单文学院045103 学科教学(语文)全日制106389045100164 白绕396 88.78 83.99文学院050102 语言学及应用语言全日制106389050100027 曾琪382 82.8 79.6学文学院045103 学科教学(语文)全日制106389045100275 陈睿373 86.9 80.75文学院045103 学科教学(语文)全日制106389045100311 陈应花387 75.6 76.5文学院050102 语言学及应用语言全日制106359405213833 陈卓375 78 76.5学文学院050102 语言学及应用语言全日制106819000002606 代轲帆374 73.8 74.3学文学院050104 中国古典文献学全日制105119107406565 代雪莲372 80.6 77.5文学院050106 中国现当代文学全日制106389050100015 邓婷婷360 77.3 74.65西华师范大学2019年拟录取硕士研究生名单文学院050101 文艺学全日制105329430306884 邓云依363 84.4 78.5文学院045103 学科教学(语文)全日制106389045100152 杜灿373 79.9 77.25文学院045103 学科教学(语文)全日制106389045100295 段春明411 79.4 80.8文学院050105 中国古代文学全日制106389050100109 冯英363 78.6 75.6文学院045103 学科教学(语文)全日制106389045100182 付李莉384 82.9 79.85文学院045103 学科教学(语文)全日制106389045100341 付曦363 83.2 77.9文学院050104 中国古典文献学全日制100559333320340 高琰359 82.6 77.2文学院050101 文艺学全日制105429511107670 龚凤娟379 88.4 82.1文学院045103 学科教学(语文)全日制106389045100287 何焕406 79.2 80.2文学院045103 学科教学(语文)全日制106389045100251 何来霜397 75.2 77.3文学院045103 学科教学(语文)全日制106389045100252 何琼367 80.8 77.1文学院045103 学科教学(语文)全日制106389045100308 何汝梅400 75.5 77.75文学院045103 学科教学(语文)全日制106389045100307 胡家莉397 80 79.7文学院040102 课程与教学论全日制106359305043251 胡翔357 91 81.2文学院050106 中国现当代文学全日制106389050100022 胡燕云384 79.6 78.2文学院050104 中国古典文献学全日制106359405213589 胡圆圆360 84.8 78.4文学院050102 语言学及应用语言全日制106389050100034 江裕婷378 84 79.8学文学院045103 学科教学(语文)全日制106389045100349 蒋春梅359 81.8 76.8西华师范大学2019年拟录取硕士研究生名单文学院050104 中国古典文献学全日制106359308109453 蒋婷婷377 82.8 79.1文学院050103 汉语言文字学全日制106389050100056 蒋晓珊377 67 71.2文学院045103 学科教学(语文)全日制106389045100267 蒋鑫玭339 85.2 76.5文学院045103 学科教学(语文)全日制106389045100315 孔德钰378 77.7 76.65文学院050105 中国古代文学全日制106389050100076 寇阳357 83.7 77.55文学院050104 中国古典文献学全日制106389050100068 赖美君380 85.7 80.85文学院050104 中国古典文献学全日制106359308107705 李玲371 81.8 78文学院050101 文艺学全日制106369050106041 李天锦355 8578文学院045103 学科教学(语文)全日制106389045100299 李雪柔424 76.1 80.45文学院040102 课程与教学论全日制107189530115379 李玉兰333 85.4 76文学院050104 中国古典文献学全日制103949210072743 梁圣峰361 87.2 79.7文学院045103 学科教学(语文)全日制106389045100359 梁婷386 90.38 83.79文学院050108 比较文学与世界文全日制106359308114015 林佳惠373 87.4学文学院045103 学科教学(语文)全日制106389045100197 刘科利393 82.5 80.55文学院045103 学科教学(语文)全日制106389045100286 刘蔓395 77.1 78.05文学院050102 语言学及应用语言全日制106359308105329 刘全琴375 76.6 75.8学文学院050102 语言学及应用语言全日制105329511007001 陆潇377 74.2 74.8学文学院050105 中国古代文学全日制106389050100071 罗露露360 83.5 77.75西华师范大学2019年拟录取硕士研究生名单文学院050108 比较文学与世界文全日制106139050100189 罗学娇359 86.4 79.1学文学院050104 中国古典文献学全日制106639000000700 罗娱婷362 82 77.2文学院045103 学科教学(语文)全日制106389045100151 吕春梅416 76.3 79.75文学院050105 中国古代文学全日制106389050100089 吕佳鑫406 83 82.1文学院045103 学科教学(语文)全日制106389045100335 马尚权370 88.6 81.3文学院050104 中国古典文献学全日制106359308109253 明靖371 83.879文学院050103 汉语言文字学全日制106389050100053 倪荣强383 80.4 78.5文学院045103 学科教学(语文)全日制106389045100206 欧阳昕361 84.2 78.2文学院045103 学科教学(语文)全日制106389045100329 彭凤婷398 79.94 79.77文学院045103 学科教学(语文)全日制106389045100300 彭佳411 77.6 79.9文学院040102 课程与教学论全日制106359401211695 卿浪355 88.6 79.8文学院050104 中国古典文献学全日制106359308113461 阮凌潇367 84.6 79文学院040102 课程与教学论全日制106359305045225 帅雨含346 85.6 77.4文学院050106 中国现当代文学全日制106359308113099 税路林362 83.75文学院050105 中国古代文学全日制106389050100072 唐佳慧374 80.3 77.55文学院050108 比较文学与世界文全日制104459690008395 王栋381 82.4 79.3学文学院050106 中国现当代文学全日制106359308111307 王芋平368 81.6 77.6文学院050105 中国古代文学全日制106389050100097 吴静怡387 85.9 81.65西华师范大学2019年拟录取硕士研究生名单文学院050103 汉语言文字学全日制106389050100042 吴思雨373 67.4 71文学院050103 汉语言文字学全日制106389050100060 伍思宇365 73.1 73.05文学院045103 学科教学(语文)全日制106389045100288 向巧411 85.7 83.95文学院045103 学科教学(语文)全日制106389045100319 肖文涵367 85.9 79.65文学院040102 课程与教学论全日制100529111105408 熊江芳336 77.4 72.3文学院045103 学科教学(语文)全日制106389045100331 熊娜娜383 78.4 77.5文学院050106 中国现当代文学全日制103709210002346 徐婷378 86.1 80.85文学院050106 中国现当代文学全日制106389050100023 杨佳辰363 76.7 74.65文学院050103 汉语言文字学全日制106389050100054 杨磊358 73.6 72.6文学院045103 学科教学(语文)全日制106389045100334 杨林381 80.74 78.47文学院045103 学科教学(语文)全日制106389045100323 杨玲384 80.4 78.6文学院045103 学科教学(语文)全日制106389045100244 杨茂370 79.56 76.78文学院050106 中国现当代文学全日制106389050100009 杨娜娜385 79.9 78.45文学院050105 中国古代文学全日制106389050100075 杨倩379 82.279文学院050101 文艺学全日制106359308107723 杨晓雪356 91.2 81.2文学院045103 学科教学(语文)全日制106389045100175 杨雨欣390 75.9 76.95文学院050101 文艺学全日制106359308110957 尹蕾363 8880.3文学院045103 学科教学(语文)全日制106389045100285 余江姗385 88 82.5西华师范大学2019年拟录取硕士研究生名单文学院045103 学科教学(语文)全日制106389045100314 余姝宛366 84 78.6文学院050108 比较文学与世界文全日制104039050106077 喻敏366 87.8 80.5学文学院050101 文艺学全日制106359308104981 袁嘉敏373 88.4 81.5文学院050105 中国古代文学全日制106389050100080 张焕忠390 79.2 78.6文学院050103 汉语言文字学全日制106389050100039 张锦雨369 71.5 72.65文学院050108 比较文学与世界文全日制106359308113961 张璐370 85.2 79.6学文学院050106 中国现当代文学全日制106359308110795 张梦361 87.8 80文学院045103 学科教学(语文)全日制106389045100289 张薇413 76.8 79.7文学院050101 文艺学全日制105429511307798 张雯雯368 89 81.3文学院050106 中国现当代文学全日制106389050100013 张香香382 80.7 78.55文学院050105 中国古代文学全日制106389050100104 张雪365 84.3 78.65文学院045103 学科教学(语文)全日制106389045100339 张瑶瑶408 81.5 81.55文学院050103 汉语言文字学全日制106389050100062 张宇轩360 71.5 71.75文学院045103 学科教学(语文)全日制106389045100332 赵莎389 76.88 77.34文学院045103 学科教学(语文)全日制106389045100269 赵鑫398 80.6 80.1文学院040102 课程与教学论全日制106359305040321 郑红梅408 87.4 84.5文学院045103 学科教学(语文)全日制106389045100193 郑巍400 81.3 80.65文学院050108 比较文学与世界文全日制106139050100001 朱琳389 86.6 82.2学西华师范大学2019年拟录取硕士研究生名单文学院045103 学科教学(语文)全日制106389045100293 邹磊412 77 79.7文学院045103 学科教学(语文)非全日制106389045100371 陈冠宇354 78.4 74.6文学院045103 学科教学(语文)非全日制106389045100155 邓思兰363 69.8 71.2文学院045103 学科教学(语文)非全日制106389045100362 何佳莲356 75.6 73.4文学院045103 学科教学(语文)非全日制106389045100191 李想363 87.94 80.27文学院045103 学科教学(语文)非全日制106389045100258 李瑶369 71.32 72.56文学院045103 学科教学(语文)非全日制106389045100405 刘晓易341 76 72.1文学院045103 学科教学(语文)非全日制106389045100205 罗婷389 68.64 73.22文学院045103 学科教学(语文)非全日制106359305058934 罗小翠389 86.5 82.15文学院045103 学科教学(语文)非全日制106389045100279 吕东莉372 87.24 80.82文学院045103 学科教学(语文)非全日制106389045100298 任倩387 80.4 78.9文学院045103 学科教学(语文)非全日制106389045100404 孙立群343 72.2 70.4文学院045103 学科教学(语文)非全日制106389045100360 汤亚诗360 87.82 79.91文学院045103 学科教学(语文)非全日制106389045100266 唐朝英370 72.76 73.38文学院045103 学科教学(语文)非全日制106389045100403 文艳萍330 69.2 67.6文学院045103 学科教学(语文)非全日制106389045100333 吴东耘359 87.5 79.65文学院045103 学科教学(语文)非全日制106389045100386 向玉清352 69 69.7文学院045103 学科教学(语文)非全日制106389045100392 杨磊362 77.6 75西华师范大学2019年拟录取硕士研究生名单文学院045103 学科教学(语文)非全日制106389045100284 杨倩366 87 80.1文学院045103 学科教学(语文)非全日制106389045100154 喻兴芮364 83.84 78.32文学院045103 学科教学(语文)非全日制106389045100384 张双316 73.6 69.4 农村学校教师特设岗文学院045103 学科教学(语文)非全日制106389045100376 张燕386 77.4 77.3文学院045103 学科教学(语文)非全日制106389045100184 钟梦梅362 83.88 78.14。
2019西华师范大学数学与信息学院硕士研究生拟录取名单数学与信息学院070102 计算数学全日制106519070100039 蔡前舟298 67.82 63.71西华师范大学2019年拟录取硕士研究生名单数学与信息学院070103 概率论与数理统计全日制106389070100020 曾春409 86.23 84.02数学与信息学院070103 概率论与数理统计全日制103579210005613 曾如明350 79.01 74.51数学与信息学院070105 运筹学与控制论全日制102909210805570 常浩329 62.79 64.3数学与信息学院070104 应用数学全日制106389070100027 陈国林353 69.68 70.14数学与信息学院070104 应用数学全日制106389070100033 陈清方346 74.13 71.67数学与信息学院045104 学科教学(数学)全日制106389045100418 陈香君382 88.03 82.22数学与信息学院070105 运筹学与控制论全日制106389070100047 陈艺325 71.85 68.43数学与信息学院070104 应用数学全日制106139071400050 陈云凤316 75.01 69.11数学与信息学院045104 学科教学(数学)全日制106389045100419 凡小凤385 79.27 78.14数学与信息学院045104 学科教学(数学)全日制106389045100430 樊琴345 82.23 75.62数学与信息学院045104 学科教学(数学)全日制106389045100416 费雨晶345 86.96 77.98数学与信息学院070101 基础数学全日制106139070100070 冯成302 70.4 65.4数学与信息学院045104 学科教学(数学)全日制106389045100442 付敏367 81.03 77.22数学与信息学院070101 基础数学全日制104229510910122 韩鹏305 66.25 63.63数学与信息学院070105 运筹学与控制论全日制106139070100074 贺娇291 74.14 66.17数学与信息学院045104 学科教学(数学)全日制106389045100437 黄丹335 81.56 74.28数学与信息学院070105 运筹学与控制论全日制106379070724413 蒋铃钰315 81.48 72.24数学与信息学院040102 课程与教学论全日制106389040100119 蒋秋月35382.14 76.37西华师范大学2019年拟录取硕士研究生名单数学与信息学院070104 应用数学全日制106149070110436 李丹319 79.48 71.64数学与信息学院045104 学科教学(数学)全日制106389045100444 李青云355 84.4 77.7数学与信息学院070103 概率论与数理统计全日制106389070100018 梁米369 70.53 72.17数学与信息学院070104 应用数学全日制106389070100050 林金霞340 75.45 71.73数学与信息学院070104 应用数学全日制106389070100073 刘娇364 79.27 76.04数学与信息学院070103 概率论与数理统计全日制106389070100013 刘璐325 64.17 64.59数学与信息学院070101 基础数学全日制106389070100067 刘琪318 70.51 67.06数学与信息学院070102 计算数学全日制106389070100011 罗浩嘉336 70.04 68.62数学与信息学院070104 应用数学全日制106389070100068 罗长盛341 66.73 67.47数学与信息学院070104 应用数学全日制106389070100054 彭瑶瑶304 71.19 66数学与信息学院070101 基础数学全日制106389070100005 蒲晶321 72.8 68.5数学与信息学院0701Z1 数学教育全日制106389070100072 乔利370 77.27 75.64数学与信息学院045104 学科教学(数学)全日制106389045100409 宋修莹328 80.66 73.13数学与信息学院070104 应用数学全日制106389070100032 谭俊键346 78.27 73.74数学与信息学院070104 应用数学全日制106389070100060 田倍昕318 63.68 63.64数学与信息学院045104 学科教学(数学)全日制106389045100449 童丹377 88.82 82.11数学与信息学院045104 学科教学(数学)全日制106389045100450 万堰橦351 79.32 74.76数学与信息学院070103 概率论与数理统计全日制106379070724408 万宇324 82.43 73.62西华师范大学2019年拟录取硕士研究生名单数学与信息学院070102 计算数学全日制106379070724410 王小妹300 68.66 64.33数学与信息学院040102 课程与教学论全日制106389040100127 王雅倩356 81.1 76.15数学与信息学院045104 学科教学(数学)全日制106389045100433 文钰林364 84.93 78.87数学与信息学院040102 课程与教学论全日制106389040100114 徐瑞336 83.24 75.22数学与信息学院070105 运筹学与控制论全日制106389040100124 杨文忆327 70.14 67.77数学与信息学院070104 应用数学全日制106389070100049 杨雨竹328 82.9 74.25数学与信息学院070104 应用数学全日制106389070100029 虞馥泽324 65.55 65.18数学与信息学院070102 计算数学全日制106389070100051 张嘉杰335 72.65 69.83数学与信息学院070104 应用数学全日制106389070100022 张琦329 64.73 65.27数学与信息学院070104 应用数学全日制106389070100057 张琴340 70.27 69.14数学与信息学院070102 计算数学全日制106389070100071 张雄350 70.55 70.28数学与信息学院070104 应用数学全日制106389070100061 赵丹394 66.96 72.88数学与信息学院070105 运筹学与控制论全日制117999101472203 赵家儒300 67.82 63.91数学与信息学院070104 应用数学全日制106389070100056 赵旭382 69.78 73.09数学与信息学院070104 应用数学全日制106389070100046 郑捷347 71.47 70.44数学与信息学院070104 应用数学全日制106379070724423 周欢欢300 72.78 66.39数学与信息学院070104 应用数学全日制106389070100044 周新露293 75.04 66.82数学与信息学院070104 应用数学全日制106389070100041 周韵红389 81.17 79.49西华师范大学2019年拟录取硕士研究生名单数学与信息学院070104 应用数学全日制106389070100062 朱春容382 78.2 77.3数学与信息学院070104 应用数学全日制106359314147509 朱丽君328 91.38 78.49数学与信息学院045104 学科教学(数学)非全日制106389045100445 勾青方359 70.55 71.18数学与信息学院045104 学科教学(数学)非全日制106389045100462 林冉379 89.28 82.54数学与信息学院045104 学科教学(数学)非全日制106379070304224 刘莹327 76.95 71.18数学与信息学院045104 学科教学(数学)非全日制106389045100436 龙兴月337 77.75 72.58数学与信息学院045104 学科教学(数学)非全日制106439050030089 王丽352 71.59 71数学与信息学院045104 学科教学(数学)非全日制106389040100128 张译方346 79.45 74.33数学与信息学院045104 学科教学(数学)非全日制106389045100434 朱润秀330 82.02 74.01数学与信息学院045104 学科教学(数学)非全日制106389070100070 朱婷338 71.62 69.61。
2019西华师范大学管理学院硕士研究生拟录取名单管理学院125200 公共管理全日制106389125200381 曹颖177 85 72管理学院120405 土地资源管理全日制104919303106213 曾俞森358 82.6 77.1管理学院120401 行政管理全日制106389120400028 陈茜霖398 76.9 78.25管理学院125200 公共管理全日制106389125200337 陈诗晴210 71.9 70.95管理学院125200 公共管理全日制106389125200244 陈小清209 79.1 74.38管理学院125200 公共管理全日制106389125200203 陈燕228 79 77.5管理学院120401 行政管理全日制106389120400010 杜宇410 79.3 80.65管理学院125200 公共管理全日制106389125200142 付江英216 72.8 72.4管理学院125200 公共管理全日制106389125200099 甘露189 80.1 71.55西华师范大学2019年拟录取硕士研究生名单管理学院120401 行政管理全日制102909210910185 郭亚梅346 85.1 77.15管理学院125200 公共管理全日制106389125200176 何博182 85.4 73.03管理学院125200 公共管理全日制106389125200295 何雷199 81.4 73.87管理学院125200 公共管理全日制106389125200182 何婷婷189 85.9 74.45管理学院125200 公共管理全日制106389125200253 黄婷202 7370.17管理学院120404 社会保障全日制106389120400041 黄婷352 74.5 72.45管理学院120404 社会保障全日制106389120400040 蒋滨臣370 80.7 77.35管理学院125200 公共管理全日制106389125200309 蒋懿208 71.9 70.62管理学院120403 教育经济与管理全日制104919501104528 金梦迪366 76.2 74.7管理学院125200 公共管理全日制106389125200360 李明霞181 83.6 71.97管理学院125200 公共管理全日制106389125200173 李南君215 75.4管理学院125200 公共管理全日制106389125200017 李彤190 81.9 72.62管理学院120404 社会保障全日制106389120400037 李旺400 78.3 79.15管理学院125200 公共管理全日制106389125200051 李怡萱193 76.5 70.42管理学院125200 公共管理全日制106389125200043 李玉海192 80.8 72.4管理学院125200 公共管理全日制106389125200357 李玉欢208 74.4 71.87管理学院125200 公共管理全日制106389125200330 林芳197 84.5 75.08管理学院120404 社会保障全日制100349228100180 凌镘金357 83 77.2西华师范大学2019年拟录取硕士研究生名单管理学院125200 公共管理全日制106389125200194 刘成188 75.5 69.08管理学院125200 公共管理全日制106389125200039 刘春晓198 73.5 69.75管理学院125200 公共管理全日制106389125200010 刘威204 73.8 70.9管理学院125200 公共管理全日制106389125200361 刘翔兰214 80.2 75.77管理学院1204Z1 旅游公共管理全日制106359320179223 罗娜346 82.5 75.85管理学院120401 行政管理全日制106389120400008 罗永强352 74.8 72.6管理学院125200 公共管理全日制106389125200263 马铭183 86.1 73.55管理学院125200 公共管理全日制106389125200088 母正国201 74 70.5管理学院125200 公共管理全日制106389125200310 彭芳艳192 77.6 70.8管理学院125200 公共管理全日制106389125200292 蒲治强203 74 70.83管理学院125200 公共管理全日制106389125200035 齐慧敏189 80.3 71.65管理学院125200 公共管理全日制106389125200250 卿天218 68.8 70.73管理学院120405 土地资源管理全日制106519120401351 邱晓艳348 85.1 77.35管理学院125200 公共管理全日制106389125200331 瞿林艳173 85.6管理学院125200 公共管理全日制106389125200242 任小华196 78.7 72.02管理学院125200 公共管理全日制106389125200093 宋姗珊190 79.2 71.27管理学院125200 公共管理全日制106389125200286 苏艳玲192 81.8 72.9管理学院125200 公共管理全日制106389125200162 唐静199 73 69.67西华师范大学2019年拟录取硕士研究生名单管理学院125200 公共管理全日制106389125200364 田晓菊223 70.6 72.47管理学院125200 公共管理全日制106389125200260 王凤188 78.7 70.68管理学院120401 行政管理全日制106519120401356 王欢361 83 77.6管理学院125200 公共管理全日制106389125200187 王林201 73.4 70.2管理学院125200 公共管理全日制106389125200169 王茂梅192 79.5 71.75管理学院125200 公共管理全日制106389125200291 王茜汶176 80.2 69.43管理学院125200 公共管理全日制106389125200143 谢双峻218 78.2 75.43管理学院125200 公共管理全日制106389125200030 许史青196 75.2 70.27管理学院125200 公共管理全日制106389125200132 杨彬206 78.7 73.68管理学院125200 公共管理全日制106389125200095 杨兴娜186 82 72管理学院125200 公共管理全日制106389125200328 易华琼222 64.7 69.35管理学院125200 公共管理全日制106389125200155 殷维203 72.2 69.93管理学院125200 公共管理全日制106389125200207 雍莉莎213 73.8 72.4管理学院120403 教育经济与管理全日制105429131809089 张晋388 75.8 76.7管理学院125200 公共管理全日制106389125200089 张倩182 80.5 70.58管理学院120401 行政管理全日制104599410250235 张瑞欣366 78.4 75.8管理学院125200 公共管理全日制106389125200189 张诗怡241 81.4管理学院125200 公共管理全日制106389125200054 张晓敏202 80.7 74.02西华师范大学2019年拟录取硕士研究生名单管理学院125200 公共管理全日制106389125200267 赵忆玥205 79.2 73.77管理学院125200 公共管理全日制106389125200020 郑允浩204 81.2 74.6管理学院125200 公共管理非全日制106389125200388 曹琛唯182 79.7 70.18管理学院125200 公共管理非全日制106389125200235 曹玉梅194 77.9 71.28管理学院125200 公共管理非全日制106389125200656 曾涵妤210 76.2 73.1管理学院125200 公共管理非全日制106389125200571 陈莉204 71 69.5管理学院125200 公共管理非全日制106389125200521 陈然179 67.5 63.58管理学院125200 公共管理非全日制106389125200568 陈汪江197 66.3 65.98管理学院125200 公共管理非全日制106389125200608 成潇218 69.6 71.13管理学院125200 公共管理非全日制106389125200470 邓鹏182 75 67.83管理学院125200 公共管理非全日制106389125200659 杜丽娟195 70 67.5管理学院125200 公共管理非全日制106389125200567 杜书香199 67 66.67管理学院125200 公共管理非全日制106389125200613 方琦177 66.1 62.55管理学院125200 公共管理非全日制106389125200510 冯文人212 66.9 68.78管理学院125200 公共管理非全日制106389125200430 黄丹凤218 77 74.83管理学院125200 公共管理非全日制106389125200335 蒋楠萱173 82.1 69.88管理学院125200 公共管理非全日制106389125200658 柯魏巍191 68.7 66.18管理学院125200 公共管理非全日制106389125200605 李杰211 71.9 71.12西华师范大学2019年拟录取硕士研究生名单管理学院125200 公共管理非全日制106389125200483 李龙强182 73.9 67.2864.3管理学院125200 公共管理非全日制106389125200537 李尚併205 71.2 69.77管理学院125200 公共管理非全日制106389125200647 李天俊189 63.5 63.25管理学院125200 公共管理非全日制106389125200333 李挽澜213 75.5 73.25管理学院125200 公共管理非全日制106389125200676 李熊涛186 66.6 64.3管理学院125200 公共管理非全日制106389125200570 李杨192 71 67.5管理学院125200 公共管理非全日制106389125200451 李亦琦195 64 64.5管理学院125200 公共管理非全日制106389125200513 梁文君181 67.1 63.72管理学院125200 公共管理非全日制106389125200425 廖厚春187 74.2 68.27管理学院125200 公共管理非全日制106389125200418 林娟183 68.2 64.6管理学院125200 公共管理非全日制106389125200669 刘锦毓174 70.5 64.25管理学院125200 公共管理非全日制106389125200498 刘婉178 72.4 65.87管理学院125200 公共管理非全日制106389125200322 刘月玲208 70.6 69.97管理学院125200 公共管理非全日制106389125200576 罗诗韵210 72.6 71.3管理学院125200 公共管理非全日制106389125200566 罗尧208 69 69.17管理学院125200 公共管理非全日制106389125200582 潘虹频171 73 65管理学院125200 公共管理非全日制106389125200638 沈添188 64.3 63.48西华师范大学2019年拟录取硕士研究生名单管理学院125200 公共管理非全日制106389125200486 石轲178 70.6 64.97管理学院125200 公共管理非全日制106389125200223 谭琳珲193 75.9 70.12管理学院125200 公共管理非全日制106389125200621 谭玉佳202 71.7 69.52管理学院125200 公共管理非全日制106389125200690 汪婕172 72.2 64.7765.22管理学院125200 公共管理非全日制106389125200635 王倩189 71.967.45管理学院125200 公共管理非全日制106389125200501 王珍174 67.362.65管理学院125200 公共管理非全日制106389125200226 文丹179 80.870.23管理学院125200 公共管理非全日制106389125200560 谢婷195 71.568.25管理学院125200 公共管理非全日制106389125200534 谢雨彤243 76.2 78.6管理学院125200 公共管理非全日制106389125200540 杨春梅189 66.9 64.95管理学院125200 公共管理非全日制106389125200195 杨静176 81.169.88管理学院125200 公共管理非全日制106389125200649 杨婷192 84.774.35管理学院125200 公共管理非全日制106389125200192 杨惜惜180 79.8 69.9管理学院125200 公共管理非全日制106389125200415 叶根源239 68.7 74.18管理学院125200 公共管理非全日制106389125200589 余谦173 69.963.78管理学院125200 公共管理非全日制106389125200518 余姗姗174 70.8 64.4管理学院125200 公共管理非全日制106389125200407 张聪192 67.365.65西华师范大学2019年拟录取硕士研究生名单管理学院125200 公共管理非全日制106389125200512 张奎196 66.7 66.02管理学院125200 公共管理非全日制106389125200090 张懋山19375.8 70.07管理学院125200 公共管理非全日制106389125200378 张亚杨18081.2 70.6管理学院125200 公共管理非全日制106389125200590 张娱188 68.5 65.58管理学院125200 公共管理非全日制106389125200679 赵浴希17467.7 62.85管理学院125200 公共管理非全日制106389125200522 周楚鸿17266.8 62.07管理学院125200 公共管理非全日制106389125200538 周靖云22165.1 69.3866.6 63.13管理学院125200 公共管理非全日制106389125200485 朱慧刚20676 72.33管理学院125200 公共管理非全日制106389125200700 朱洁170 70.7 63.68管理学院125200 公共管理非全日制106389125200600 左佳麟18465.1 63.22。