随机波浪的模拟1
- 格式:docx
- 大小:544.15 KB
- 文档页数:16
海浪是属于统计范畴内的一种不确定的数量关系。
当速度和方向一定的风在开阔的海面上吹拂是,海浪便从风中吸收能量同时随着波动而传递走能量,当这两方面的能量达到平衡时,此时海浪成为成熟期海浪,根据随机过程理论,此时海浪可以看作是一种平稳随机过程。
于是可以用平稳随机过程理论来分析海浪。
实际海面上的海浪是极为复杂的,它是不规则的随机波。
为了研究方便,可以把海浪简化为长峰波海浪,即海浪只沿一个固定的方向前进,每个垂直于波浪前进方向的波线是无限长的且波峰彼此保持平行。
根据水波理论,不规则的长峰波海浪可以看成由无数个不同波幅和波长的余弦波叠加而成。
考虑海面上的固定点波浪,则定点长峰波海浪的方程可表示为:1()cos()i n i i i t k r t ζζωε∞==⋅-+∑其中()t ζ表示t 时刻海浪的波幅,i ζ、i ω、i ε分别表示第i 个谐波的振幅、角频率、初相位。
初相位i ε是一个在0~2π之间均匀分布的随机变量。
在实际应用中,通常用海浪“谱密度”的概念来描述海浪。
这里把海浪谱密度记作()S ω,它表示单位频率上海浪的能量。
谐波的波幅与谱密度有关,即谐波的波幅可由波谱密度求得。
它们的关系如下:i ζ=对于一定的海面情况,其对应的波谱密度具有一定形式。
能谱公式可以从海上实测得到,亦可根据理论和经验的关系导出。
国际上描述海浪的谱密度公式有多种,如BTTP 波普、史考特波普、劳曼波普、PM 波普、ISSC 波普等。
这里采用ITTC 双参数谱,它是PM 波普的派生形式,适用于成熟期海浪,以有义波高和海浪特征周期为谱参量,以成熟期海浪观测资料为依据,谱结构简单,第十一届国际船模水池会议将该谱定为标准海浪谱,其形式如下:54()exp()ABS ωωω=-其中:21/341173A T ζ=,41691B T =,1/3ζ为有义波高,1T 为海浪特征周期,ω为海浪角频率。
无人机在高速掠海飞行时,其所感知的海浪谱与静止坐标系中的不同。
二维随机波浪中畸形波的数值模拟畸形波是一种在没有预警的情况下突然发生,并迅速消失的灾害性事件。
由r畸形波会给海洋建筑物和船只带來巨大威胁,畸形波受到人们越來越多的重视。
以往的研丸主要集中在畸形波的生成机制,而在工程中我们更加关心的是畸形波的发生概率和如何预报。
本文采用四阶非线性薛定渭方程模拟了二维JONSWAP谱情况下畸形波的生成。
为了探讨波浪参数对畸形波的影响,模拟实验分成了多组初始波浪参数不同的工况。
首先分析了深水不稳定波列的演化过程。
畸形波从形成到消失的演化过程即调制一反调制的过程:调制过程中,畸形波位置处能最发生汇聚,波高升高,其附近的波高减小:反调制过程中,畸形波位置处波幅减小,直至畸形波的特征消失,其他位置处波高增大。
然后本文探讨了峰度、有效波高、偏度值和波浪谱的演化过程以及JONSWAP谱参数对它们的影响。
结果表明:Benjamin-Feir指数(BFI)是判断波列不稳定调制是否发生的重要参数:峰度值的空间演化曲线和畸形波生成概率曲线趋势一致,峰度值可以预测畸形波生成概率的大小。
在随机波浪场中,谱宽较窄和有效波高较小吋,畸形波较容易发生。
有效波高和偏度值在波浪传播过程中基本无变化,偏度的大小与初始波陡有关。
波浪之间的非线性作用导致主频处的能最向高频和低频部分传递,因此在波浪传播过程中谱峰高度下降,频谱变宽。
在讨论了前面一系列问题的基础上,我们分析了Benjamin-Feir不稳定性与深水畸形波的内在联系和畸形波的发生机制。
畸形波的生成与波浪二阶非线性和束缚波关系很小,畸形波的生成主要是四波共振造成的,也就是Benjamin-Feir 不稳定性。
最后对模拟实验波高进行了统计分析。
结果表明:对于BFI<1.0的情况, 模拟波高分布与瑞利分布基本一致:而对于BFI>il.O的情况,由于发生了不稳定调制,瑞利分布只在演化初期与模拟波高分布相吻合,在其他位置处瑞利分布会低估大波发生的概率,畸形波发生概率比瑞利分布预测的大一个数童级以上。
使用波浪模拟制作水面效果Blender软件是一款强大的3D建模和渲染工具,可以用于制作各种逼真的效果。
其中之一是水面效果,通过使用波浪模拟能够轻松地实现生动的水面效果。
本教程将介绍如何使用波浪模拟来制作逼真的水面效果。
第一步:创建水面平面首先,在Blender中新建一个平面对象,该平面将作为水面的基础。
可以通过按Shift+A并选择"Mesh - Plane"来创建平面对象。
调整平面的大小和位置,确保其适合您的场景。
第二步:设置物理属性选中平面对象并切换到“物理”选项卡。
在“物理”选项卡中,点击“刚体”模块并启用物理模拟。
在“类型”下拉菜单中选择“活动”以确保水面可以与其他物体进行交互。
第三步:添加波浪模拟器在“物理”选项卡中,点击“+”按钮来添加波浪模拟器。
默认情况下,波浪模拟器的参数是适应大小的。
您可以通过调整“尺寸”参数来改变波浪的尺寸。
第四步:调整波浪参数在波浪模拟器的设置中,有许多参数可供调整。
以下是一些重要的参数和其功能:- 初始位置(Location):控制波浪的起始位置。
- 波长(Wavelength):控制波浪的长度。
- 振幅(Amplitude):控制波浪的高度。
- 方向(Direction):控制波浪的传播方向。
- 频率(Frequency):控制波浪的频率。
通过调整这些参数,您可以创建出适合您场景需求的水面效果。
第五步:调整渲染设置完成波浪模拟的调整后,还需要调整渲染设置以呈现出真实的水面效果。
选择渲染选项卡并在“材质”中选择适当的颜色和纹理。
您可以使用图像纹理或渐变颜色来增强水面的真实感。
此外,您还可以调整光照和阴影设置来进一步增强水面效果。
适当的光源和投射阴影将使水面看起来更加逼真。
您可以通过在场景中添加光源来实现这一点。
第六步:渲染和预览水面效果完成水面效果的调整和设置后,您可以通过点击“渲染”按钮来渲染出最终效果。
可以使用实时渲染功能进行实时预览,并根据需要对参数进行微调。
随机海浪下的波浪发电装置浮体横摇运动仿真
王小东;周宇英;刘丽
【期刊名称】《系统仿真学报》
【年(卷),期】2014(26)10
【摘要】在海波发电工程领域,波浪作用到海上浮体,使浮体产生摇摆运动从而吸收波浪的机械能。
对海上浮体的摇摆运动进行准确建模,对于分析波浪发电装置的工作情况及评估波浪发电装置的能量转化效率具有重要意义。
选取P-M波浪谱,根据实时海浪模型,采用线性叠加法仿真出长峰波随机海浪的波倾角,作为浮体横摇运动仿真的输入;建立浮体平台横摇运动模型并在长峰波随机海浪下对其横摇运动进行了仿真。
仿真结果为海上波浪发电装置的后续分析研究提供了基础数据支持。
【总页数】5页(P2326-2329)
【作者】王小东;周宇英;刘丽
【作者单位】北京航空航天大学;中国船舶工业系统工程研究院
【正文语种】中文
【中图分类】TP391.9
【相关文献】
1.随机海浪作用下的船舶横摇减摇预报方法
2.随机海浪中船舶非线性横摇的首次穿越概率
3.减摇水舱台架试验中海浪横摇力矩及横荡力的实时仿真
4.基于MATLAB 的海浪及船舶横摇仿真模型研究
5.某新型船舶在海浪作用下的横摇运动分析
因版权原因,仅展示原文概要,查看原文内容请购买。
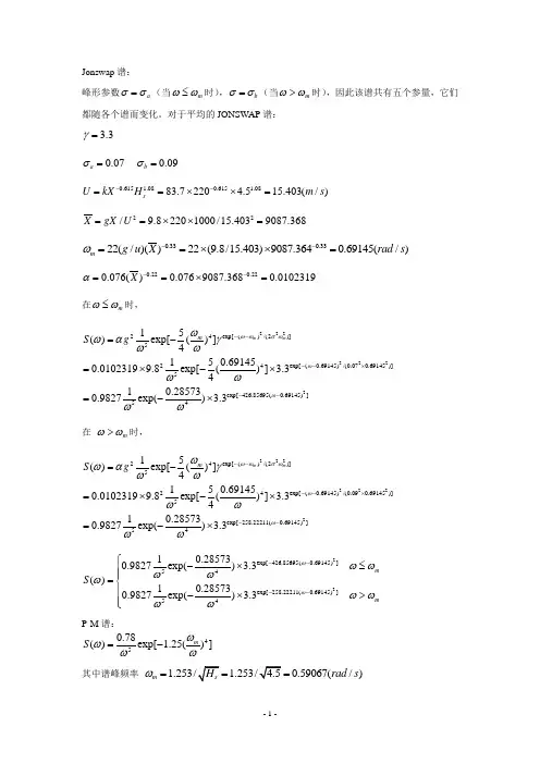
Jonswap 谱:峰形参数a σσ=(当m ωω≤时),b σσ=(当m ωω>时),因此该谱共有五个参量,它们都随各个谱而变化。
对于平均的JONSWAP 谱:3.3γ=0.07a σ= 0.09b σ= 0.615 1.080.615 1.0883.7220 4.515.403(/)s U kX H m s --==⨯⨯=22/9.82201000/15.4039087.368X gX U ==⨯⨯=0.330.3322(/)()22(9.8/15.403)9087.3640.69145(/)m g u X rad s ω--==⨯⨯= 0.220.220.076()0.0769087.3680.0102319X α--==⨯=在m ωω≤时,2222222exp[()/(2)]24524exp[(0.69145)/(0.070.69145)]5exp[426.85695(0.69145)]5415()exp[()]4150.691450.01023199.8exp[()] 3.3410.285730.9827exp() 3.3m m m S g ωωσωωωωωαγωωωωωω----⨯--=-=⨯-⨯=-⨯在m ωω>时,2222222exp[()/(2)]24524exp[(0.69145)/(0.090.69145)]5exp[258.22211(0.69145)]5415()exp[()]4150.691450.01023199.8exp[()] 3.3410.285730.9827exp() 3.3m m m S g ωωσωωωωωαγωωωωωω----⨯--=-=⨯-⨯=-⨯ 22exp[426.85695(0.69145)]54exp[258.22211(0.69145)]5410.285730.9827exp() 3.3()10.285730.9827exp() 3.3mm S ωωωωωωωωωωω----⎧-⨯≤⎪⎪=⎨⎪-⨯>⎪⎩P-M 谱:450.78()exp[ 1.25()]m S ωωωω=- 其中谱峰频率1.253/0.59067(/)m rad s ω===45540.780.590670.780.15216()exp[ 1.25()]exp()S ωωωωω=-=-TMA 谱:()()()J S f S f kh =Φ322tanh tanh ()tanh tanh 12/sinh 2kh kh kh kh kh kh kh kh khΦ==+-+ 波数k 由色散关系2tanh gk kh ω=确定, 由()()S f df S d ωω=可知,()()/()/2()()/2J S S f df d S f S f kh ωωππ===Φ则()()/2()J J J S f S d df S ωωπω==()()/()/2()()/2()()J J S S f df d S f S f kh S kh ωωππω===Φ=Φ22exp[426.85695(0.69145)]54exp[258.22211(0.69145)]5410.285730.9827exp() 3.3()()10.285730.9827exp() 3.3()mmkh S kh ωωωωωωωωωωω----⎧-⨯⨯Φ≤⎪⎪=⎨⎪-⨯⨯Φ>⎪⎩取上述JONSWAP 波浪谱为靶谱22exp[426.85695(0.69145)]54exp[258.22211(0.69145)]5410.285730.9827exp() 3.3()10.285730.9827exp() 3.3mm S ωωωωωωωωωωω----⎧-⨯≤⎪⎪=⎨⎪-⨯>⎪⎩海浪的波面:~1())Mi i i t t ηωε==+i ε为第i 个组成波的初相位 ,此处取在(0,2π)范围内取均布的随机数;取^1()/2i i i ωωω-=+,0.5t s ∆=,采用M=200,取频率上限H ω为4倍谱峰频率;(i ω为区间端点频率)440.69145 2.7658(/)H m rad s ωω==⨯=/ 2.7658/2000.013829(/)H M rad s ωω∆===采用^1()/2i i i ωωω-=+计算时,模拟的所得的波浪将以周期为2/πω∆重复出现,除非ω∆足够小,否则与实际的波浪情况不符。
基于波浪谱的三维随机波浪数值模拟及仿真
赵珂;李茂华;郑建丽;田冠楠
【期刊名称】《舰船科学技术》
【年(卷),期】2014(036)002
【摘要】为了进行三维随机波浪的模拟,本文将随机波浪看成多个不同余弦波的叠加,建立基于Pierson-Moscowitz谱和简单方向分布函数的三维随机波浪谱数学模型.通过等分能量法、线性同余法等方法划分频率、方向角和相位角,完成波面方程的离散,最后运用Matlab软件实现三维随机波浪的仿真和波面的显示.通过仿真波高与参考波高的对比,证明本方法能够有效模拟三维随机波浪.
【总页数】3页(P37-39)
【作者】赵珂;李茂华;郑建丽;田冠楠
【作者单位】哈尔滨工程大学船舶工程学院,黑龙江哈尔滨150001;中国水产科学研究院渔业机械仪器研究所,上海200092;中国水产科学研究院渔业机械仪器研究所,上海200092;哈尔滨工程大学船舶工程学院,黑龙江哈尔滨150001
【正文语种】中文
【中图分类】U661.44
【相关文献】
1.基于随机波浪谱对深水区自升式平台动力响应分析 [J], 窦培林;杜训柏;胡礼明
2.基于测波雷达现实方向谱的三维波浪数值模拟研究 [J], 王作超;石爱国;吴明;刘猛
3.三维随机波浪的数值仿真研究 [J], 潘玉田;马新谋;杨栋
4.基于Boussinesq波浪模型的港池波浪数值模拟与泊稳分析 [J], 吴亚楠;武贺;周庆伟;马勇
5.基于高阶边界元的三维数值波浪港池——波浪破碎的模拟 [J], 谢其军;刘桦;闫磊因版权原因,仅展示原文概要,查看原文内容请购买。
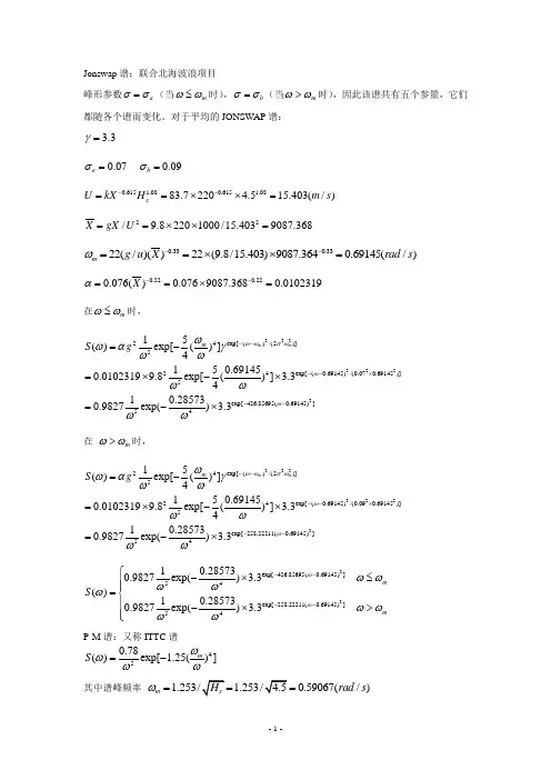
Jonswap 谱:联合北海波浪项目峰形参数a σσ=(当m ωω≤时),b σσ=(当m ωω>时),因此该谱共有五个参量,它们都随各个谱而变化。
对于平均的JONSWAP 谱:3.3γ=0.07a σ= 0.09b σ=0.615 1.080.615 1.0883.7220 4.515.403(/)s U kX H m s --==⨯⨯=22/9.82201000/15.4039087.368X gX U ==⨯⨯=0.330.3322(/)()22(9.8/15.403)9087.3640.69145(/)m g u X rad s ω--==⨯⨯=0.220.220.076()0.0769087.3680.0102319X α--==⨯=在m ωω≤时,2222222exp[()/(2)]24524exp[(0.69145)/(0.070.69145)]5exp[426.85695(0.69145)]5415()exp[()]4150.691450.01023199.8exp[()] 3.3410.285730.9827exp() 3.3m m m S g ωωσωωωωωαγωωωωωω----⨯--=-=⨯-⨯=-⨯在 m ωω>时,2222222exp[()/(2)]24524exp[(0.69145)/(0.090.69145)]5exp[258.22211(0.69145)]5415()exp[()]4150.691450.01023199.8exp[()] 3.3410.285730.9827exp() 3.3m m m S g ωωσωωωωωαγωωωωωω----⨯--=-=⨯-⨯=-⨯22exp[426.85695(0.69145)]54exp[258.22211(0.69145)]5410.285730.9827exp() 3.3()10.285730.9827exp() 3.3mm S ωωωωωωωωωωω----⎧-⨯≤⎪⎪=⎨⎪-⨯>⎪⎩P-M 谱:又称ITTC 谱450.78()exp[ 1.25()]m S ωωωω=- 其中谱峰频率0.59067(/)m rad s ω===45540.780.590670.780.15216()exp[ 1.25()]exp()S ωωωωω=-=-TMA 谱:()()()J S f S f kh =Φg322tanh tanh ()tanh tanh 12/sinh 2kh khkh kh kh kh kh kh khΦ==+-+ 波数k 由色散关系2tanh gk kh ω=确定, 由()()S f df S d ωω=可知,()()/()/2()()/2J S S f df d S f S f kh ωωππ===Φg则()()/2()J J J S f S d df S ωωπω==()()/()/2()()/2()()J J S S f df d S f S f kh S kh ωωππω===Φ=Φg g22exp[426.85695(0.69145)]54exp[258.22211(0.69145)]5410.285730.9827exp() 3.3()()10.285730.9827exp() 3.3()mmkh S kh ωωωωωωωωωωω----⎧-⨯⨯Φ≤⎪⎪=⎨⎪-⨯⨯Φ>⎪⎩取上述JONSWAP 波浪谱为靶谱22exp[426.85695(0.69145)]54exp[258.22211(0.69145)]5410.285730.9827exp() 3.3()10.285730.9827exp() 3.3mm S ωωωωωωωωωωω----⎧-⨯≤⎪⎪=⎨⎪-⨯>⎪⎩海浪的波面:~1())Mi i i t t ηωε==+i ε为第i 个组成波的初相位 ,此处取在(0,2π)范围内取均布的随机数;取^1()/2i i i ωωω-=+,0.5t s ∆=,采用M=200,取频率上限H ω为4倍谱峰频率;(i ω为区间端点频率)440.69145 2.7658(/)H m rad s ωω==⨯=/ 2.7658/2000.013829(/)H M rad s ωω∆===采用^1()/2i i i ωωω-=+计算时,模拟的所得的波浪将以周期为2/πω∆重复出现,除非ω∆足够小,否则与实际的波浪情况不符。
随机海浪生成算法
随机海浪生成算法是一种用于模拟海洋中波浪形态和运动的算法。
这种算法可以通过生成随机数来模拟不同尺度、频率和振幅的海浪。
以下是一种简单的随机海浪生成算法的示例。
1. 初始化一个二维网格,表示海洋表面。
2. 对于每个网格点,计算其高度值。
可以使用噪声函数(如Perlin噪声)来生成高度值。
3. 根据海浪的特征参数(如尺度、频率和振幅),对每个网格点的高度值进行修正。
可以使用正弦函数或其他合适的函数来模拟海浪的形态。
4. 可以考虑添加风向和风速等参数来进一步模拟海浪的运动。
5. 根据生成的海浪高度值,可以渲染出真实的海浪效果,例如使用渲染引擎将海浪高度映射到水面,结合光照和反射效果来呈现逼真的海洋场景。
需要注意的是,随机海浪生成算法只是对海洋波浪的简化模拟,并不能完全准确地模拟真实的海浪。
实际应用中,可以根据需求和实际情况对算法进行优化和改进。
3.16波浪波浪模拟实验海洋、湖泊、水库等宽广的水面下可能发生较大的波浪,波浪将影响船舶进航和停泊的安全;对堤防闸坝以及其他岸边建筑物具有强大的冲击作用;也会引起近岸浅水地带水底泥沙运动;淘刷岸坡和护岸建筑的基础,使航道和港口受淤、岸坡崩溃。
因此波浪成为水力学的重要课题之一。
一、实验目的:1、掌握波浪水槽和造波机的基本结构和原理2、掌握描述波浪基本要素的定义和测量3、了解波浪水槽模型实验的基本方法二、实验装置:1、水槽:1、电脑2、液压系统和造波板3、浪高仪4、消波器2、造波机:造波机安装在波浪水槽一端,造波机后侧直立式消能网,水槽的另一端设有消能坡消除波浪反射影响。
整个造波系统由造波板、液压伺服作动器、液压泵站、伺服放大器、AD/DA接口及计算机与外设等部分组成。
实验中要模拟一个波谱时,首先根据目标谱利用傅利叶变换将其展开成一个电压时间序列值控制信号,经D/A接口转换成不规则的电压信号,送给伺服控制放大器,驱动造波机推板作相应的推挽运动,推动水体而产生波列,位移传感器实时测出推板的运动轨迹,实时反馈到控制放大器,修正机械惯性带来的误差,以确保推波板能准确地跟踪计算机给定的信号运行。
造波的同时,浪高仪将波浪物理量转换成电量信号送A/D转换器进行数据采集,并暂存于内存中,供谱分析。
一般情况下,每次谱模拟不得少于120个波。
由于传递函数拟合时产生的误差及机械系统的影响,很难一次模拟成功,必须按以下公式修正。
[])(ϖα−=ωϖ+S*ϖ(DS(S))(S)式中:---------------修正后的控制谱S*ϖ()-----------------实测模拟谱)(S ϖ α -------------------修正系数)(DS ϖ --------------目标谱按重新计算出电压时间序列值,再一次控制造波机造波,分析比较,直至得到理想的模拟谱为止。
一般情况下经过二到五次修正就可基本成功。
)(S *ϖ三、实验原理:1、波浪要素的定义:波浪现象的特征是水的自由界面出现有规律的起伏形态,水的质点则作有规律的振荡运动,同时波形以一定速度向前传播。
随机波浪及工程应用随机波浪描述的是海洋中的波浪,在不断地发生变化和运动,不像规律波浪那样具有固定的周期和波长。
随机波浪在海洋工程中具有重要的应用,因为它们能够影响海岸、船只和深海结构物的安全和稳定性。
在这篇文章中,我们将探讨随机波浪的特性和它们在海洋工程中的应用。
随机波浪的特性随机波浪具有以下几个特性:1. 随机性:随机波浪没有明显的规律,它们的周期和波长是变化的,并且难以预测。
这使得它们更难进行分析和建模,与规律波浪相比,需要更复杂的数学模型和实验验证。
2. 能量分布:随机波浪的能量分布不是均匀的,浪高和波长的分布不是等概率的。
在海洋中不同的方向和深度下,随机波浪的能量分布也是不同的。
3. 波峰和波谷:随机波浪中波峰和波谷的高度和位置是不固定的。
在短时间内,波峰和波谷可以在不同的位置出现。
4. 相干性:相干性反映了波浪中相邻波峰和波谷之间的关系,如果相邻波峰和波谷之间有良好的关系,那么波浪的相干性就会越强。
在随机波浪中,波峰和波谷之间的相干性很低,这也是它们更难进行控制和预测的原因之一。
海洋工程中的应用随机波浪在海洋工程中具有重要的应用,这包括以下领域:1. 海岸和堤防设计:随机波浪对海岸和堤防的冲击力非常大,能够引起严重的侵蚀和损坏,因此需要将随机波浪的特性考虑在内,对海岸和堤防进行适当的设计和管理。
2. 船舶和海洋平台设计:随机波浪对船舶和海洋平台的造成冲击力也非常大,因此需要进行适当的设计和模拟。
在设计时必须考虑随机波浪的特性,以便能够提供适当的安全和稳定性。
3. 海洋能源:随机波浪可以被用作海洋能源的一种形式。
通过利用波浪运动产生的机械能,可以将其转换成电能。
这是一种非常有前途的绿色能源形式。
4. 海洋科学和环境研究:随机波浪可以用来研究海洋环境和气候变化。
通过对随机波浪的研究,能够更好地了解海洋中的物理和化学过程,推动环境保护和可持续发展。
总结随机波浪是大自然中的一种自然现象,难以预测和控制,但是在海洋工程中具有非常重要的应用。
随机波数值模拟方法1概述研究海浪及其对工程的作用有三种途径:一是现场观测研究;二是在实验室内进行模拟研究;三是理论分析研究。
由于海浪的复杂多变性,加上现场环境恶劣,进行现场观测需花费大量的人力物力;理论研究目前也有较大的局限性,特别是对于不规则波浪,很多问题有赖于室内的模拟研究。
模拟研究的方法可分为两大类。
开始是在水槽或水池内利用风或造波机进行物理模拟,亦即进行波浪模型试验。
在人们的精心设计下,可以把负责的现象分解为多个简单的模型,然后再把成果综合起来。
过去已取得了大量的研究成果,目前仍是主要的研究方法之一。
随着电子计算机的发展和普及,海浪的数值模拟得到迅速的发展,它具有经济方便等优点,日益受到人们的重视和广泛的应用。
天然海浪是很复杂的,人们对它的认识和研究过程是由简到繁,由浅入深,及即由单向规则波—斜向规则波—单向不规则波—多向不规则波。
2 不规则波浪的数值模拟—模拟频谱单向不规则波浪的数值模拟方法,大多建立在线性波浪理论的基础上。
本文主要介绍利用线性叠加法和线性过滤法进行二维不规则波的模拟。
2.1 线性波浪叠加法在工程中,如果已经得到了特征波的波参数如有效波高H s 、周期T 等参数,如何得到一列不规则波面时间历程呢?一般通过模拟靶谱法来完成。
将有效波高H s 、周期T 等参数代入某波浪频谱形式中,得到的海浪谱即为靶谱。
现在要模拟某波面不规则波面时间历程,使得模拟的波谱同靶谱一致。
平稳海况下的海浪可视为平稳的具有各态历经性的随机过程,波动可以看作无限多个振幅不等、频率不等、初相位随机的简谐余弦波叠加而成,即()()1cos Mi i i i i t a k x t ηωε==-+∑(1)式中,()t η为波动水面相对于静水面的瞬时高度; i a 为第i 个组成波的振幅;i i k ω,为第i 个组成波的波数和圆频率;i i i i T L k πωπ2,2==L ,T 分别为波长、周期;x ,t 分别表示位置和时间,通常固定位置,可取x =0;i ε为第i 个组成波的初位相,此处取在(0,2π)范围内均布的随机数。
随机波数值模拟方法1 概述研究海浪及其对工程的作用有三种途径:一是现场观测研究;二是在实验室内进行模拟研究;三是理论分析研究。
由于海浪的复杂多变性,加上现场环境恶劣,进行现场观测需花费大量的人力物力;理论研究目前也有较大的局限性,特别是对于不规则波浪,很多问题有赖于室内的模拟研究。
模拟研究的方法可分为两大类。
开始是在水槽或水池内利用风或造波机进行物理模拟,亦即进行波浪模型试验。
在人们的精心设计下,可以把负责的现象分解为多个简单的模型,然后再把成果综合起来。
过去已取得了大量的研究成果,目前仍是主要的研究方法之一。
随着电子计算机的发展和普及,海浪的数值模拟得到迅速的发展,它具有经济方便等优点,日益受到人们的重视和广泛的应用。
天然海浪是很复杂的,人们对它的认识和研究过程是由简到繁,由浅入深,及即由单向规则波—斜向规则波—单向不规则波—多向不规则波。
2 不规则波浪的数值模拟—模拟频谱单向不规则波浪的数值模拟方法,大多建立在线性波浪理论的基础上。
本文主要介绍利用线性叠加法和线性过滤法进行二维不规则波的模拟。
2.1 线性波浪叠加法在工程中,如果已经得到了特征波的波参数如有效波高H s、周期T 等参数,如何得到一列不规则波面时间历程呢?一般通过模拟靶谱法来完成。
将有效波高H s、周期T 等参数代入某波浪频谱形式中,得到的海浪谱即为靶谱。
现在要模拟某波面不规则波面时间历程,使得模拟的波谱同靶谱一致。
平稳海况下的海浪可视为平稳的具有各态历经性的随机过程,波动可以看作无限多个振幅不等、频率不等、初相位随机的简谐余弦波叠加而成,即Mt a i cos k i x i t i (1i 1式中,t 为波动水面相对于静水面的瞬时高度;a i 为第i 个组成波的振幅;k i, i为第i个组成波的波数和圆频率;k i 2 L i , i 2 T iL ,T 分别为波长、周期;x,t 分别表示位置和时间,通常固定位置,可取x=0;i 为第i 个组成波的初位相,此处取在(0,2 π)范围内均布的随机数。
通过频谱来模拟海浪,设欲模拟的对象谱(靶谱)S 的能量绝大部分分布在L ~ H 范围内其余部分可忽略不计。
把频率范围划分为M 个区间,其间距为i i i1,取?i i1 i 2,则第i个组成波的振幅为(2)则将代表M 个区间内波能的M 个余弦波动叠加起来,即得海浪的波面:Mt 2S ?i i cos %i t ii1式中,~i 为第i 个组成波的代表频率。
用波浪叠加法模拟海浪时应注意以下几点:2.1.1 频谱范围L ~ H 的选取频谱范围L ~ H 的选取,取决于所要求的精度。
设在频谱高低侧各允许略去总能量的部分(例如取0.2%),对于可积分的谱,易于确定L 和H(3)若采用公式SL 0.785 exp3.114H s2表示的P-M 谱,可以得到3.11H s2 ln1/4,H1/43.11H s2 ln 1 (4)a i对不可积分的谱,可以采用数值计算的方法来确定H 。
首先采用数值积分的方法计算波浪频谱的总能量E,然后计算对应每个频率i 的累积能量E i ,则E i/E 对应的频率即为下限L,E i/ E 1 对应的频率即为上限H 应该看到,在M 一定的情况下,不恰当地增大谱频范围,反而会使精度下降。
一般取谱峰频率的3~4倍作为H 已足够。
图1 划分波谱的频率区间示意图2.1.2 频率区间的划分划分频率区间的方法,有等分频率和等分能量法。
2.1.2.1 等分频率法下面简要介绍下等分频率法。
取H L M (一般取M=50~100)。
但若采用式?i i1 i 2中的?i作为i 区间的代表频率,则由式(3)模拟所得的波浪将以周期 2 重复出现,除非值足够小;否则与实际的海浪情况不符。
应在各区间内部随机选取频率作为该区间的代表频率~i。
~i的选取方法对模拟结果有相当的影响。
由于波能集中在谱峰部,如M 值较小;只有少数位于谱峰处的组成波起主要作用,可能产生较大的误差。
2.1.2.2 等分能量法定义累积谱为ES 0d(5)如果按照等分能量法分成N 份,则分界频率i可以用下式来确定。
E iiE im 0 (6)NN对 P-M 等分可积分的谱, 则B1/4(7)iln N / i各组成波的振幅 a 相等2m 0 Na i 2S ?ii(8)此时式 ta n cosi1ntn变为t2m 0 NcosN i 1 ?i ti(9)?i 1 i2(10)2.1.3 随机相位的选取随机初位相 i 应在0~ 2 区间内均布。
如组成波数 M 不很大,则由计算机 产生的随机数往往不够均布,影响模拟结果。
我们采用人造的比较均匀的随机数,模拟结果较好。
合田采用M=200,由计算机产生随机数(每次不同)进行多次重复计算,对结果进行统计分析,取其 特征值。
2.2 线性过滤法应用线性滤波法模拟海浪的基本思路是: 以白噪声为一线性系统的输入, 通 过选择适当的系统函数使该系统输出的谱恰恰等于靶谱海浪等随机过程由多种不同频率的成分组成, 他们可以通过不同的滤波器分 离开来。
如图 2 所示,只有高频信号能通过高通滤波器, 通过低通滤波器的是低(15)频信号,允许一定频率范围内的信号通过的滤波器称做带通滤波器具有如图 3 中所示传递函数的滤波器称做成型滤波器。
这些滤波器可以是数 字式的,也可以由硬件组成。
线性系统的输入谱S * f 和输出谱 S *yy f 之间存在 下列关系:2S *yy fT f 2S *xxf (11)白噪声的谱密度为常数,且可等于 1,如将它作为输入,通过按靶谱设计的 成型滤波器后, 即可得到谱形符合靶谱的随机波浪。
因此线性过滤法的关键在于 靶谱设计过滤器。
过滤器的选择。
输入白噪声的谱 S *xx f 1 ,要模拟的波浪靶谱为 S * f (双 xx侧谱),由上式得过滤器的传递函数为T fS * f S f 2 (12)在时域,线性系统的输入。
输出函数间有关系即t x t h d(13)h 是脉冲响应函数,也是过滤器的权函数,其傅里叶变换即为传递函数T(f),即T f e i2 f df写成离散形式:La j x t j t t 0, t,2 t ,..., N t jL(14)图2 滤波原理示意图模拟不规则波浪。
将上式代入可得到所要的波面。
为便于计算,把它改写成Lt A0 x L t A j x L i j x L i j (1图 3 用过滤法模拟波浪示意图式中,x L t相当于x t L t ,可取L=20~30白噪声x(t) 可用一系列独立的正态分布的变量x1,x2,... 来接近,这些变量的均值为零,方差为1。
可按下式得到:nx k 2RAN i 1 3 n ,k 1, 2,3,... N 2Li1RAN i 为在( 0,1)区间内均布的伪随机数,一般计算机可直接产生。
可取n=30~50。
3 程序实现3.1 程序一:线性波浪叠加法模拟频谱%% 不规则波浪的数值模拟—模拟频谱%% 线性波浪叠加法t=0:0.01:1000; % 时间间隔x=0; % 初始尾椎a=abs(randn(1,3));% 幅值T=abs(randn(1,3)); % 周期L=abs(randn(1,3)); % 波长c=abs(rand(1,3))*2*pi; % 初相位A=0;for i=1:3A=A+a(i)*cos(2*pi*x/L(i) -2*pi*t/T(i)+c(i));end plot(A);set(gca,'xlim' ,[0 100000]);set(gca,'ylim' ,[ -5 5]); xlabel('\itTime');ylabel('\itAltitude' ); title( '\bf 线性叠加法模拟频谱');grid on %% end图4 线性波浪叠加法模拟频谱图(N=3)图7 线性波浪叠加法模拟频谱图(N=200 )图 5 线性波浪叠加法模拟频谱图(N=10)图 6 线性波浪叠加法模拟频谱图(N=50)3.2 程序二:线性过滤法%% 随机脉冲函响应数num=[0,0,25]; den=[1,4,25];[y,~]=impulse(num,den); plot(randn(1)*y,'r:','linewidth' ,1.5); set(gca',xlim' ,[0 127]);ylabel('\itAmplitude' );title( '\bfRandom Impulse Responcse)' grid on图8 线性波浪叠加法模拟频谱图(N=1000 )T=fft(y,127); plot(real(T),':','linewidth',1.5);set(gca',xlim' ,[0 127]); ylabel('\itAmplitude(Real/Imag)' ); hold onplot(imag(T),'r:','linewidth',1.5); title( '\bfTransfer Function'); grid on图 9 生成随机脉冲响应函数图 %% 生成传递函数M=127;dt=1/(127*2);t=0:dt:1000;F=1/(2*dt);df=F/M;L=20;A=0;for j=1:Lfor i=1:MA=A+1/M*real(T(i*df))*cos(1*pi*i/M); B(j)=A;A=0endend stem(B,'filled' ); ylabel('\itAmplitude' ); xlabel('\itj' );title( '\bfA(j)' );grid on图 10 生成传递函数实部、虚部图 %% A(j)%% 白噪声的模拟x=normrnd(0,1,1,167);plot(x, 'linewidth' ,1.5);ylabel('\itAmplitude' );title( '\bfWhite Gaussian Noise)' ;set(gca,'xlim' ,[0 167]); grid on图11 生成A(j) 数值图图12 模拟高斯白噪声图%% 不规则波浪的模拟A0=randn(1);N1=0;N2=0;for i=1:Mfor j=1:L if (i-j<=0) N1=N1+A(1)*(x(i+j)); elseN2=N2+A(1)*(x((i+j))+x((i -j)));endendendN=N1+N2;t1=t+20*0.039;z=round(t1);H=A0*x(z)+N; for i=1:25400;if (H(i+1)==H(i))H(i+1)=H(i); H(i)=0;end end H=H(H~=0);plot(H, 'linewidth',1.5); ylabel('\itAmplitude' );xlabel( '\itTime' ); title( '\bf 线性过滤法模拟频谱');set(gca,'xlim',[0 100]); grid on %% end图13 线性滤波法模拟频谱图3 线性海浪数值模拟的其他方法除上述的海浪模拟的主要方法外,还有一些其他方法。