中科院研究生院信息工程学院课件数值分析数值分析第三次作业及答案
- 格式:doc
- 大小:160.50 KB
- 文档页数:4
数值分析习题答案数值分析习题答案数值分析是一门研究利用数值方法解决数学问题的学科。
在实际应用中,我们经常会遇到各种各样的数学问题,而数值分析提供了一种有效的方法来解决这些问题。
在学习数值分析的过程中,我们经常会遇到一些习题,下面我将为大家提供一些数值分析习题的解答。
习题一:给定一个函数f(x) = x^2 - 3x + 2,求解f(x) = 0的根。
解答:要求解方程f(x) = 0的根,可以使用二分法。
首先,我们需要确定一个区间[a, b],使得f(a)和f(b)异号。
根据f(x) = x^2 - 3x + 2的图像,我们可以选择区间[0, 3]。
然后,我们可以使用二分法来逐步缩小区间,直到找到根的近似值。
具体的步骤如下:1. 计算区间中点c = (a + b) / 2。
2. 计算f(c)的值。
3. 如果f(c)接近于0,那么c就是方程的一个根。
4. 如果f(c)和f(a)异号,那么根位于[a, c]之间,令b = c。
5. 如果f(c)和f(b)异号,那么根位于[c, b]之间,令a = c。
6. 重复步骤1-5,直到找到根的近似值。
通过多次迭代,可以得到方程f(x) = 0的一个近似根为x ≈ 1。
这个方法可以用来解决更复杂的方程,并且在实际应用中有广泛的应用。
习题二:给定一个函数f(x) = sin(x),求解f(x) = 0的根。
解答:对于这个问题,我们可以使用牛顿迭代法来求解方程f(x) = 0的根。
牛顿迭代法是一种通过不断逼近函数的根的方法,具体步骤如下:1. 选择一个初始近似值x0。
2. 计算函数f(x)在x0处的导数f'(x0)。
3. 计算下一个近似值x1 = x0 - f(x0) / f'(x0)。
4. 重复步骤2和步骤3,直到找到根的近似值。
对于函数f(x) = sin(x),我们可以选择初始近似值x0 = 1。
然后,我们可以计算f'(x0) = cos(x0) = cos(1) ≈ 0.5403。
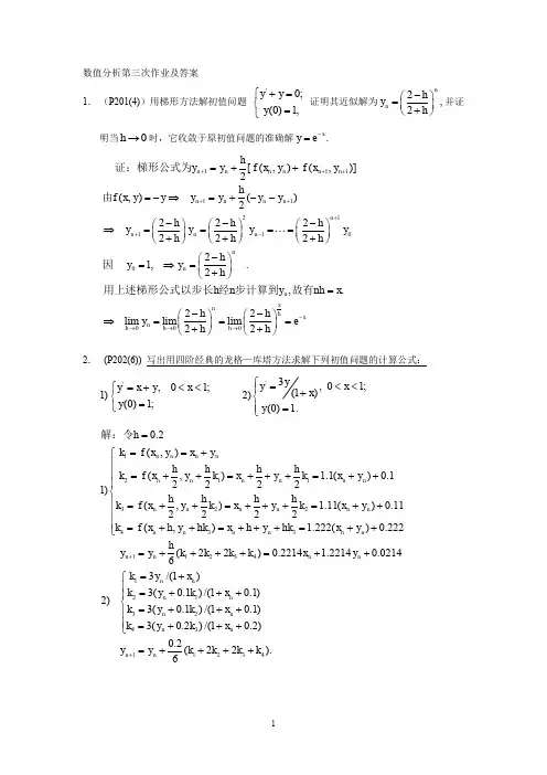
26.解:(1).J 法:J ∴法收敛.GS 法:()11102210221101110122100210G B D L U ----⎡⎤⎡⎤⎡⎤⎡⎤⎢⎥⎢⎥⎢⎥⎢⎥=-=-=--⎢⎥⎢⎥⎢⎥⎢⎥⎢⎥⎢⎥⎢⎥⎢⎥-⎣⎦⎣⎦⎣⎦⎣⎦022023002-⎡⎤⎢⎥=-⎢⎥⎢⎥⎣⎦()()()212322det 0232020,2,21G G I B B λλλλλλλλλρ--=-=--∴===∴=GS ∴法不收敛.()2.J 法:()()131231*********()12202101121101212012125det 412125550,,,1222J J J B D L U I B i i B λλλλλλλλλρ---⎡⎤⎡⎤⎡⎤⎢⎥⎢⎥⎢⎥=+=--=--⎢⎥⎢⎥⎢⎥⎢⎥⎢⎥⎢⎥⎣⎦⎣⎦⎣⎦--==+--∴===-∴=J ∴法不收敛.GS 法:()()()1312310220221101101122022022det 11002201J J J B D L U I B B λλλλλλλλρ---⎡⎤⎡⎤⎡⎤⎢⎥⎢⎥⎢⎥=+=--=--⎢⎥⎢⎥⎢⎥⎢⎥⎢⎥⎢⎥----⎣⎦⎣⎦⎣⎦--===⇒===∴=()1120111200011220212120021120014120G B D L U ----⎡⎤⎡⎤⎡⎤⎡⎤⎢⎥⎢⎥⎢⎥⎢⎥=-=-=--⎢⎥⎢⎥⎢⎥⎢⎥⎢⎥⎢⎥⎢⎥⎢⎥--⎣⎦⎣⎦⎣⎦⎣⎦01212012120012-⎡⎤⎢⎥=--⎢⎥⎢⎥-⎣⎦()()()21231212det 01212120120,12,121G G I B B λλλλλλλλλρ--=+=+=+∴===-=GS ∴法收敛27.解:()1010911102,702106A b -⎛⎫⎛⎫ ⎪ ⎪=--= ⎪ ⎪⎪ ⎪-⎝⎭⎝⎭A 为严格对角占优阵,J ∴法和GS 法均收敛.J 法的分量形式为:()()()11111,1,2,,i nk k k ii ij j ij j j j i ii x b a x a x i n a -+==+⎛⎫=--= ⎪⎝⎭∑∑J ∴法的迭代格式为:(1)()12(1)()()213(1)()321(9)101(72)101(62)10k k k k k k k x x x x x x x +++⎧=+⎪⎪⎪=++⎨⎪⎪=+⎪⎩取初值(0)0x =,J 法的数值结果是:迭代次数k()1k x ()2k x ()3kx 1 0.900000 0.700000 0.600000 2 0.970000 0.910000 0.740000 3 0.991000 0.945000 0.782000 4 0.994000 0.955500 0.789000 50.9955500.9572500.791100GS 法的分量形式为:()()()111111,1,2,,i nk k k ii ij j ij j j j i ii x b a x a x i n a -++==+⎛⎫=--= ⎪⎝⎭∑∑GS ∴法的迭代格式为:(1)()12(1)(1)()213(1)(1)321(9)101(72)101(62)10k k k k k k k x x x x x x x +++++⎧=+⎪⎪⎪=++⎨⎪⎪=+⎪⎩取初值(0)0x =,GS 法的数值结果是: 迭代次数k ()1k x()2k x()3kx10.900000 0.790000 0.758000 2 0.979000 0.949500 0.789900 3 0.994950 0.957475 0.791495 4 0.9957475 0.9578738 0.7915748 50.9957874 0.95789370.7915787()123210,99,950A∆=∆=∆=∴对称正定,()1110000101001011100102010105020110000105J B D L U -⎛⎫⎛⎫ ⎪ ⎪⎛⎫ ⎪⎪ ⎪⎪ ⎪=+=-= ⎪ ⎪ ⎪ ⎪ ⎪ ⎪⎝⎭ ⎪ ⎪ ⎪⎪⎝⎭⎝⎭212,310101111det()()00,10520201051()20J J I B B λλλλλλλλρ-∴-=--=-=⇒==±-∴=∴SOR 法的最优松弛因子为:[]2221.01282111/2011()opt J B ωρ==≈+-+-()10.01282opt opt L ρωω=-=对应的渐近收敛率为:R=-ln ()() 4.35654opt opt R L L ωρω=SOR 法的分量形式为:()()()()()111111,1,2,,i nk k k k iii ij j ijjj j i ii x x b a x a xi n a ωω-++==+⎛⎫=-+--= ⎪⎝⎭∑∑∴SOR 法(ω取最佳松弛因子)的迭代格式为:(1)()()112(1)()(1)()2213(1)()(1)3321.012820.01282(9)101.012820.01282(72)101.012820.01282(62)10k k k k k k k k k k x x x x x x x x x x +++++⎧=-++⎪⎪⎪=-+++⎨⎪⎪=-++⎪⎩取初值(0)0x =,SOR 法的数值结果是: 迭代次数k ()1k x()2k x()3kx10.911538 0.801296 0.770006 2 0.981009 0.954035 0.791074 3 0.995588 0.957822 0.791571 4 0.995785 0.957894 0.791579 50.9957890.9578950.79157928.一定收敛.证明:对于11122122a a A a a ⎛⎫=⎪⎝⎭,A 对称正定,()212211122122111221201,2,,det()0,iia i a a A a a a a a a a ∴===-对于J 法:121111121121222221000()01000J a aa a B D L U a a a a -⎛⎫⎛⎫-⎪ ⎪-⎛⎫⎪ ⎪=+== ⎪ ⎪ ⎪-⎝⎭- ⎪ ⎪⎝⎭⎝⎭122211212121,2121122112222det()0J a a a a I B a a a a a a λλλλλ-==-=⇒=22121122121122()1J a a a a B a a ρ∴=∴J 法收敛. GS 法:12221112121221122112212112222121122121122det()00,0()1G G a a a a I B a a a a a a a a a a a B a a λλλλλλλρ⎛⎫-==-=⇒==⎪⎝⎭-∴=∴GS 法收敛.∴对于系数矩阵对称正定的2阶线性方程组,J 法和GS 法一定收敛. 30.证明:由线性代数知识知:∃可逆矩阵使121s J J p B P J J -⎡⎤⎢⎥⎢⎥==⎢⎥⎢⎥⎣⎦其中,i in n iJ R ⨯∈对应于特征值()121,2,,i s i s n n n nλ=++=()0B ρ=∴B 的所有特征值为0,120101,1,2,,10i i r r i s J R i s r r r n⨯⎛⎫⎪⎪⎪∴=∈=++= ⎪ ⎪ ⎪⎝⎭1i r =时,11i J R ⨯∈1i r 时, 0,i i r r i i J J R ⨯=∈12kkkk s J J J J ⎡⎤⎢⎥⎢⎥∴=⎢⎥⎢⎥⎢⎥⎣⎦最多迭代到第n 次,即k=n 时,10,0k k k J B PJ P -=== 设x *是Ax b =的精确解,误差向量()()k k e x x *=-()()()()()()110k k k k ke x x B x x B e B e--**=-=-===所以最多迭代到第n 次时,()()()00,k k k e B e x x *===所以结论成立31.解:(1)根据迭代公式(1)()()()k k k x x Ax b α+=--,有: (1)()()k k xI A x b αα+=-+ ∴迭代矩阵13212B I A ααααα--⎛⎫=-= ⎪--⎝⎭ 12132det()(1)(14)0121,14I B λααλλαλααλαλαλα-+∴-==-+-+=-+∴=-=-当{}()max 1,141B ραα=--时,迭代收敛111110121411141ααααα⎧---⎧⎪⇒⇒⎨⎨---⎪⎩⎩012α∴时,此迭代方法收敛{}()()m a x 1,141,00.441,0.40.5B B ρααααραα=---⎧∴=⎨-≤⎩ 0.4α∴=时,()Bρ最小,迭代收敛最快()12,n λλ为A 的特征值,11,1n αλαλ∴--为I A α-的特征值{}1()m a x 1,1n I A ρααλαλ∴-=--必要性:迭代收敛()1I A ρα⇒-111110211nαλαλαλ-⎧-⎪∴⇒⎨-⎪⎩所以必要性成立 充分性:()1111102022,1,2,11,1,2,()max 11i i ini i i ni nI A αλαλλλαλρααλ--=∴≤=∴-=∴-=-所以此迭代法收敛,充分性成立 (3) 1102αλ-时,111121,0()21,2n n in I A αλαλλρααλαλλλ-⎧-≤⎪+⎪-=⎨⎪-⎪+⎩根据图像,12nαλλ=+时,()I A ρα-最小33.解:()()()()()()()()()()()()()()()1()1121()111211111(1)()11111,k k k k k k x D L Ux D L b x L D U x L b x D U L D L Ux D U L D L b D U bC D U L D L U g D U L D L b D U b+--++-------+-----⎧=-+-⎪⎨⎪=--⎩⇒=--+--+-∴=--=--+-分析收敛性:()()()()()1111L D L D L DD LI D D L----=--+-=-+-⎡⎤⎣⎦()()()1111D D L I D L D D D L LD ----⎡⎤=---=-⎣⎦()()111C D U D D L LD U---∴=--()()()()()11112D L D D U L D U D L I DL D U L D U D L U-------=----=--=()()111I C I D L D D U LD U ---⎡⎤∴-=---⎣⎦()()()()111I D L D D U D L D D U A ---⎡⎤⎡⎤=------⎣⎦⎣⎦()()()()1111I I D L D D U A D L D D U A ----⎡⎤⎡⎤=-+--=--⎣⎦⎣⎦ 令()()1M D L D DU -⎡⎤=--⎣⎦1C I M A -∴=-因为A 对称正定,所以D 也正定 令 1111222,()D D D W D D U ----==-TM W W ∴=()()11111112222TWCW D D L LD D D L LD -----⎡⎤⎡⎤=--⎢⎥⎢⎥⎣⎦⎣⎦ 令()11122P DD L LD--=-1T W C W P P -∴=所以C 与T PP 相似,其特征值均为非负实数1111()T I WCW W I C W WM AW W AW -------=-==所以 1I WCW --为对称正定矩阵,其特征值()110WCW λ--C ⇒的特征值()C λ满足()01C λ≤,故该迭代法收敛35.解:1112112111122212Ax Bx b x A Bx A b Bx Ax b x A Bx A b ----⎧+==-+⎧⎪⇒⎨⎨+==-+⎪⎩⎩∴J 法的迭代公式为:(1)()111111(1)()1222110000k k k k J x x A b A B A Bx x A b A B C A B +---+---⎛⎫⎛⎫⎛⎫⎛⎫-∴=+ ⎪ ⎪ ⎪ ⎪ ⎪ ⎪ ⎪-⎝⎭⎝⎭⎝⎭⎝⎭⎛⎫-∴= ⎪-⎝⎭若λ为矩阵1A B --的特征值,对应的特征向量为11111,0n x R x A Bx x λ-∈≠∴-= 11111111111111111111J J x x x A B x C x x x A B x x x x A B x C x x x A B x λλλλλλ----⎡⎤-⎡⎤⎡⎤⎡⎤===⎢⎥⎢⎥⎢⎥⎢⎥-⎣⎦⎣⎦⎣⎦⎣⎦-⎡⎤⎡⎤⎡⎤⎡⎤===-⎢⎥⎢⎥⎢⎥⎢⎥---⎣⎦⎣⎦⎣⎦⎣⎦∴若n 阶矩阵1A B --有特征值12,,,n λλλ,则2n 阶矩阵J C 有特征值12,,,nλλλ±±±38.(1)解:因为系数矩阵A 对称正定,所以可以运用共轭梯度法(CG )解此方程组 取()()00,0Tx =,()()()()000r p b Ax 0,1T∴==-=-,()()()()()()00r ,r 12p ,Ap α==()()()0,-T10001x xp2α⎛⎫∴=+= ⎪⎝⎭,()()(),0T10003r rAp2α⎛⎫=-=- ⎪⎝⎭,()()()()()(),11r ,r 94r r β==()()(),-T110039p r p 24β⎛⎫=+= ⎪⎝⎭()()()()()()11111r ,r 12p ,Ap α==,()()()()1,-2T2111x x p α=+=()2x 即为所求方程的精确解。
北京航空航天大学2020届研究生《数值分析》实验作业第九题院系:xx学院学号:姓名:2020年11月Q9:方程组A.4一、 算法设计方案(一)总体思路1.题目要求∑∑===k i kj s r rsy x cy x p 00),(对f(x, y) 进行拟合,可选用乘积型最小二乘拟合。
),(i i y x 与),(i i y x f 的数表由方程组与表A-1得到。
2.),(**j i y x f 与1使用相同方法求得,),(**j i y x p 由计算得出的p(x,y)直接带入),(**j i y x 求得。
1. ),(i i y x 与),(i i y x f 的数表的获得对区域D ={ (x,y)|1≤x ≤1.24,1.0≤y ≤1.16}上的f (x , y )值可通过xi=1+0.008i ,yj=1+0.008j ,得到),(i i y x 共31×21组。
将每组带入A4方程组,即可获得五个二元函数组,通过简单牛顿迭代法求解这五个二元数组可获得z1~z5有关x,y 的表达式。
再将),(i i y x 分别带入z1~z5表达式即可获得f(x,y)值。
2.乘积型最小二乘曲面拟合2.1使用乘积型最小二乘拟合,根据k 值不用,有基函数矩阵如下:⎪⎪⎪⎭⎫ ⎝⎛=k i i k x x x x B 0000 , ⎪⎪⎪⎭⎫ ⎝⎛=k j jk y y y y G 0000数表矩阵如下:⎪⎪⎪⎭⎫⎝⎛=),(),(),(),(0000j i i j y x f y x f y x f y x f U记C=[rs c ],则系数rs c 的表达式矩阵为:11-)(-=G G UG B B B C T TT )(通过求解如下线性方程,即可得到系数矩阵C 。
UG B G G C B B T T T =)()(2.2计算),(),,(****j i j i y x p y x f (i =1,2,…,31 ; j =1,2,…,21) 的值),(**j i y x f 的计算与),(j i y x f 相同。
数值分析习题(含答案)第一章绪论姓名学号班级习题主要考察点:有效数字的计算、计算方法的比较选择、误差和误差限的计算。
1 若误差限为5105.0-?,那么近似数0.003400有几位有效数字?(有效数字的计算)解:2*103400.0-?=x ,325*10211021---?=?≤-x x 故具有3位有效数字。
2 14159.3=π具有4位有效数字的近似值是多少?(有效数字的计算)解:10314159.0?= π,欲使其近似值*π具有4位有效数字,必需41*1021-?≤-ππ,3*310211021--?+≤≤?-πππ,即14209.314109.3*≤≤π即取(3.14109 , 3.14209)之间的任意数,都具有4位有效数字。
3 已知2031.1=a ,978.0=b 是经过四舍五入后得到的近似值,问b a +,b a ?有几位有效数字?(有效数字的计算)解:3*1021-?≤-aa ,2*1021-?≤-b b ,而1811.2=+b a ,1766.1=?b a 2123****102110211021)()(---?≤?+?≤-+-≤+-+b b a a b a b a故b a +至少具有2位有效数字。
2123*****10210065.01022031.1102978.0)()(---?≤=?+?≤-+-≤-b b a a a b ba ab 故b a ?至少具有2位有效数字。
4 设0>x ,x 的相对误差为δ,求x ln 的误差和相对误差?(误差的计算)解:已知δ=-**xx x ,则误差为δ=-=-***ln ln xx x x x则相对误差为******ln ln 1ln ln ln xxx x xxx x δ=-=-5测得某圆柱体高度h 的值为cm h 20*=,底面半径r 的值为cm r 5*=,已知cm h h 2.0||*≤-,cm r r 1.0||*≤-,求圆柱体体积h r v2π=的绝对误差限与相对误差限。
数值分析第三次作业解答思考题:1:(a )对给定的连续函数,构造等距节点上的Lagrange 插值多项式,节点数目越多,得到的插值多项式越接近被逼近的函数。
×;(b) 对给定的连续函数,构造其三次样条函数插值,则节点数目越多,得到的样条函数越接近被逼近的函数。
√(c) 高次的Lagrange 插值多项式很常用。
×(d) 样条函数插值具有比较好的数值稳定性。
√3. 以0.1,0.15,0.2为插值节点,计算()f x = Lagrange 插值多项式 2()P x , 比较2(0)P 和(0)f ,问定理4.1的结果是否适用本问题? 解: 构造插值多项式:0122022(0.15)(0.2)()0.050.1(0.1)(0.2)()0.050.05(0.1)(0.15)()0.10.05()()()()(0)0;(0)0.1403x x l x x x l x x x l x P x x x x f P --=⨯--=⨯--=⨯=++==在(0,2)区间,5''''''23()(0.2)118.585458f x x f -=≤=从而,对任意的 '''3()(0,0.2),(0)0.05933!f ξξω∈≤ 不存在'''32()(0,0.2),(0)(0)(0)0.14033!f f P ξξω∈=-=。
演示程序:x=0:0.01:0.2; y=x.^(1/2);plot(x,y,'r')pause,hold onx0=[0.1,0.15 ,0.2]; y0=x0.^(1/2); x=0:0.01:0.2; y1=lagrangen(x0,y0,x); plot(x,y1,'b')5:(a )求()f x x =在节点123452,0.5,0, 1.5,2x x x x x =-=-=== 的三次样条插值(150M M ==)。
数值分析第三次作业及答案1. (P201(4))用梯形方法解初值问题 '0;(0)1,y y y ⎧+=⎨=⎩ 证明其近似解为2,2nn h y h -⎛⎫= ⎪+⎝⎭并证明当0h →时,它收敛于原初值问题的准确解.xy e -=111112111000 [(,)(,)]2(,)()22222222 1,.2,.lim l n n n n n n n n n n n n n n nn n n h hy y f x y f x y hf x y y y y y y h h h y y y y h h h h y y h h n y nh x y +++++++-→=++=-⇒=+-----⎛⎫⎛⎫⎛⎫⇒==== ⎪ ⎪ ⎪+++⎝⎭⎝⎭⎝⎭-⎛⎫=⇒= ⎪+⎝⎭=⇒=证:梯形公式为由因用上述梯形公式以步长经步计算到故有0022im lim 22x nhx h h h h e h h -→→--⎛⎫⎛⎫== ⎪ ⎪++⎝⎭⎝⎭2. (P202(6)) 写出用四阶经典的龙格—库塔方法求解下列初值问题的计算公式:''3,01;,01;(1)1)2)(0)1;(0) 1.y y x y x y x x y y ⎧=<<⎧=+<<⎪+⎨⎨=⎩⎪=⎩ 12113224330.2(,)(,) 1.1()0.1 22221)(,) 1.11()0.112222(,) 1.n n n n n n n n n n n n n n n nn n n n h k f x y x y h h h h k f x y k x y k x y h h h h k f x y k x y k x y k f x h y hk x h y hk ===+=++=+++=++=++=+++=++=++=+++=解:令1123412132431222()0.222(22)0.2214 1.22140.021463/(1)3(0.1)/(10.1)2)3(0.1)/(10.1)3(0.2)/(10.2)0.2(6n n n n n n n n n nn n n n n n x y hy y k k k k x y k y x k y k x k y k x k y k x y y k ++⎧⎪⎪⎪⎨⎪⎪⎪++⎩=++++=++=+⎧⎪=+++⎪⎨=+++⎪⎪=+++⎩=+123422).k k k +++3. (P202(7)) 证明对任意参数t ,下列龙格库塔-公式是二阶的:12312131();2(,);(,);((1),(1)).n n n nn n n n h y y K K K f x y K f x th y thK K f x t h y t hK +⎧=++⎪⎪⎪=⎨⎪=++⎪=+-+-⎪⎩'''2'''31'123'2'()()()()[(,())(,())(,())]23!()[((,)(,)22(,)(,)())((,)(,n n n n x n n y n n n n n n n n n x n n y n n n n n n x n n y h y x y x hy x f x y x f x y x f x y x hh hy y K K y f x y f x y th f x y thf x y O h f x y f x y ζ++=++++=++=++++++证:由一元函数的泰勒展开有又由二元函数的泰勒展开有'22''32''311)(1)(,)(1)(,)())](,)[(,)(,)(,)]()2(),(,())[(,())(,())(,())]()2()y n n n n n n n x n n y n n n n n n n n n n x n n y n n n n n n t h f x y t hf x y O h h y hf x y f x y f x y f x y O h y y x h y y hf x y x f x y x f x y x f x y x O h y x y +++-+-+=++++==++++为考虑局部截断误差,设上式有比较与31111 ()()n n n R y x y O h t +++=-=两式,知其局部误差为故对任意参数,公式是二阶的。
数值分析课后答案(4)习题四1.已知ln(2.0)=0.6931;ln(2.2)=0.7885,ln(2.3)=0.8329, 试用线性插值和抛物插值计算.ln2.1的值并估计误差解:线形插值:取02.0x = 00.6931y = 12.2x = 10.7885y = 22.3x = 20.8329y = 110 2.1 2.3 2.1 2.0(0)(1)0.69310.832901102.0 2.32.3 2.0x x x x L f x f x x x x x ----=+=+----=0.7410抛物线插值:12200102()()()()x x x x l x x x x --=-- 02211012()()()()x x x x l x x x x --=-- 01222021()()()()x x x x l x x x x --=--2200211222L l y l y l y =++=0.7422.已知x=0,2,3,5对应的函数值分别为y=1,3,2,5.试求三次多项式的插值解:解:取00x = 12x = 23x = 35x = 12330010203()()()()()()x x x x x x l x x x x x x ---=--- 023********()()()()()()x x x x x x l x x x x x x ---=---01332202123()()()()()()x x x x x x l x x x x x x ---=--- 01233303132()()()()()()x x x x x x l x x x x x x ---=---3300311322333L l y l y l y l y =+++=1156261310323++-x x x3.设函数f(x)在[a,b]上具有直到二阶的连续导数,且f(a)=f(b)=0, 求证:2"1m ax |()|()m ax |()|8a x ba x bf x b a f x ≤≤≤≤≤-解:取01;x a x b ==,1()()0x a x b L f a f b a bb a--=+=--''''211()()()|()()||()()|||||224f f b a R f x L x x a x b εε-=-≤--≤∴''21()()|()||()|||||24f b a f x L x ε-≤+''1()|()||||()|8f L x b a ε=+-|||8)("|a b f -=ε4.证明n 次Lagrange 插值多项式基函数满足∑==ni ki n ki x x l x 0,)(, n k ≤≤0解:取()kf x x = 则n 0()nki i Ln lx x ==∑(1)()()()!n nii fx f x Ln Rn x x n +=-==-∑(1)0()()!k n nii x x x n +==-∑=0所以()()f x Ln x = 即证 5.证明 )(')()()(,xi x x x x l n i n i n ωω-=证明:、01110111()()()()()ln ()()()()()i i n i i i i i i i n x x x x x x x x x x i x x x x x x x x x x -+-+-----= -----01110111()()()()()()()()()()i i ni i ii i i i i nix x x x x x x x x x x x x x x x x x x x x x x x -+-+------=------取 0111()()()()()()n i ii n x x xx xxxx x x x x ω-+=------则 '1020111011()()()())()()()()()()()()()n nn i in n x x x x x x x x x x x x x xx xx x x x x x x x x xxω-+-=--+---+-----++--- ('0111()()()()()()n i i i i i i i i n x x x x x x x x x x x ω-+=-----所以,'()ln ()()n i n i x i x x x ωω=-6.设nn x a x a a x f ++=10)(有n 个不同的实根.,,21n x x x证明:=-=∑11,0)('n ni i kia x f x证明:取()kx x ?= 1()()n n x x xx ω=-- 而,0()nn f x a a x =++ 有n 个不同的实根。
中科院研究⽣院信息⼯程学院课件数值分析数值分析第三次作业及答案6数值分析第三次作业及答案明当h T 0时,它收敛于原初值问题的准确解 y证:梯形公式为 y n ⼗ yn+—[f(X n ,y n )+f(X n^1,y n 』] h由 f (X,y) = —y= y n+ =y n +2( — y n — yn G=L n = 3 Y y n」訓 /乂⼚%l 2+h <12 +h ⼃丫2. (P202(6))写出⽤四阶经典的龙格⼀库塔⽅法求解下列初值问题的计算公式:y n + =y n + — (k 1 +2k 2 +2k 3 +k 4)=0.2214x n +1.2214y n +0.0214 6飞=3y n ⼼+x n )2)” k 2 =3(y n +0.1k 1〃(1+Xn +0.1) )L s =3(yn +0.1k2”(1+Xn +0.1)k 4 =3(yn +0.2k 3”(1+Xn +0.2) 0 2yn + =y n +〒(k 1 +2k 2 +2k 3 +k 4).1. ( P201 (4))⽤梯形⽅法解初值问题〔爲证明其近似解为y n 偌〕:并证⽤ . f 2-h 1 因 yoT " yn F ⼃.⽤上述梯形公式以步长h 经n 步计算到y n ,故有nh :=x.X◎ T 茹Jf 2—h \n7 l 2+h ⼃1) ]y =x + y, 0 e x £1; ly(0) =1;2)l y \3%+x),O *1; [y(0)=1.解:令h =0.2k 1 = f (X n , y n )= h k2=f (Xn+;;,yn+-k1)=Xn+- + 2 2 2 h k s = f (X n +;, y n +-k 2)=X n +- +y n +-k 2 =1.11(X n + y n )+0.11 2 2 2 2X n +y nh 1)4h h ??yn +;;k i =1.1(Xn +y n )+0.1 2 2 h . . h .................................. .2 ⼋ 2 J 'k 4 = f(X n +h,y n +hk 3)=X n + h + y n +hk 3 =1.222(X n +y n )+0.2223. (P202(7))证明对任意参数t,下列龙格库塔—公式是⼆阶的:r hy n 卄yn+^g+G);* K i = f (X n, yj;K2 = f (X n +th, y n +thK i);[K3 =f(Xn+(1—t)h,yn+(1—t)hK i).证:由⼀元函数的泰勒展开有2 '''"y(X nG =y(X n) +hy'(X n)⼸[f x(X n,y(X n)) +f y(X n,y(X n))f(X n,y(X n))]中严h'2 3!⼜由⼆元函数的泰勒展开有y n41 =y n +;2(⼼+K3)=y n +;2[(f(X n,y n) + £%区『)也+f y(X n, y n)thf (X n, Y n)⼗。
第一章 绪 论1. 设x >0,x 的相对误差为δ,求ln x 的误差.2. 设x 的相对误差为2%,求nx 的相对误差.3. 以下各数都是经过四舍五入得到的近似数,即误差限不超过最后一位的半个单位,试指出它们是几位有效数字:*****123451.1021,0.031,385.6,56.430,7 1.0.x x x x x =====⨯4. 利用公式(3.3)求以下各近似值的误差限:********12412324(),(),()/,i x x x ii x x x iii x x ++其中****1234,,,x x x x 均为第3题所给的数.5. 计算球体积要使相对误差限为1%,问度量半径R 时允许的相对误差限是多少?6. 设028,Y =按递推公式1n n Y Y -=( n=1,2,…)计算到100Y .27.982(五位有效数字),试问计算100Y 将有多大误差?7. 求方程25610x x -+=的两个根,使它至少具有四位有效数字27.982).8. 当N 充分大时,怎样求211Ndx x +∞+⎰?9. 正方形的边长大约为100㎝,应怎样测量才能使其面积误差不超过1㎝2?10. 设212S gt =假定g 是准确的,而对t 的测量有±0.1秒的误差,证明当t 增加时S 的绝对误差增加,而相对误差却减小. 11. 序列{}n y 满足递推关系1101n n y y -=-(n=1,2,…),假设0 1.41y ≈(三位有效数字),计算到10y 时误差有多大?这个计算过程稳定吗?12.计算61)f =,1.4≈,利用以下等式计算,哪一个得到的结果最好?3--13.()ln(f x x =,求f (30)的值.假设开平方用六位函数表,问求对数时误差有多大?假设改用另一等价公式ln(ln(x x =-计算,求对数时误差有多大?14. 试用消元法解方程组{101012121010;2.x x x x +=+=假定只用三位数计算,问结果是否可靠?15. 已知三角形面积1sin ,2s ab c =其中c 为弧度,02c π<<,且测量a ,b ,c 的误差分别为,,.a b c ∆∆∆证明面积的误差s ∆满足.s a b cs a b c ∆∆∆∆≤++第二章 插值法1. 根据(2.2)定义的范德蒙行列式,令2000011211121()(,,,,)11n n n n n n n n n x x x V x V x x x x x x x xx x ----==证明()n V x 是n 次多项式,它的根是01,,n x x -,且101101()(,,,)()()n n n n V x V x x x x x x x ---=--.2. 当x = 1 , -1 , 2 时, f (x)= 0 , -3 , 4 ,求f (x )的二次插值多项式.3. 给出f (x )=ln x 的数值表用线性插值及二次插值计算ln 0.54 的近似值.4. 给出cos x ,0°≤x ≤90°的函数表,步长h =1′=(1/60)°,假设函数表具有5位有效数字,研究用线性插值求cos x 近似值时的总误差界.5. 设0k x x kh =+,k =0,1,2,3,求032max ()x x x l x ≤≤.6. 设jx 为互异节点(j =0,1,…,n ),求证:i)0()(0,1,,);nkkj jj x l x x k n =≡=∑ii)()()1,2,,).nk jj j xx l x k n =-≡0(=∑7. 设[]2(),f x C a b ∈且()()0f a f b ==,求证21()()().8max max a x ba xb f x b a f x ≤≤≤≤≤-"8. 在44x -≤≤上给出()xf x e =的等距节点函数表,假设用二次插值求xe 的近似值,要使截断误差不超过610-,问使用函数表的步长h 应取多少? 9. 假设2n n y =,求4n y ∆及4n y δ.10. 如果()f x 是m 次多项式,记()()()f x f x h f x ∆=+-,证明()f x 的k 阶差分()(0)k f x k m ∆≤≤是m k -次多项式,并且()0(m lf x l +∆=为正整数).11. 证明1()k k k k k k f g f g g f +∆=∆+∆.12. 证明110010.n n kkn n k k k k f gf g f g g f --+==∆=--∆∑∑13. 证明1200.n j n j y y y -=∆=∆-∆∑14. 假设1011()n n n n f x a a x a x a x --=++++有n 个不同实根12,,,n x x x ,证明{10,02;, 1.1()n k njk n a k n j jx f x -≤≤-=-=='∑15. 证明n 阶均差有以下性质: i)假设()()F x cf x =,则[][]0101,,,,,,n n F x x x cf x x x =;ii) 假设()()()F x f x g x =+,则[][][]010101,,,,,,,,,n n n F x x x f x x x g x x x =+.16. 74()31f x x x x =+++,求0172,2,,2f ⎡⎤⎣⎦及0182,2,,2f ⎡⎤⎣⎦.17. 证明两点三次埃尔米特插值余项是(4)22311()()()()/4!,(,)k k k k R x f x x x x x x ++=ξ--ξ∈并由此求出分段三次埃尔米特插值的误差限.18. 求一个次数不高于4次的多项式()P x ,使它满足(0)(1)P P k =-+并由此求出分段三次埃尔米特插值的误差限.19. 试求出一个最高次数不高于4次的函数多项式()P x ,以便使它能够满足以下边界条件(0)(0)0P P ='=,(1)(1)1P P ='=,(2)1P =.20. 设[](),f x C a b ∈,把[],a b 分为n 等分,试构造一个台阶形的零次分段插值函数()n x ϕ并证明当n →∞时,()n x ϕ在[],a b 上一致收敛到()f x .21. 设2()1/(1)f x x =+,在55x -≤≤上取10n =,按等距节点求分段线性插值函数()h I x ,计算各节点间中点处的()h I x 与()f x 的值,并估计误差.22. 求2()f x x =在[],a b 上的分段线性插值函数()h I x ,并估计误差.23. 求4()f x x =在[],a b 上的分段埃尔米特插值,并估计误差. 24. 给定数据表如下:试求三次样条插值并满足条件i) (0.25) 1.0000,(0.53)0.6868;S S '='=ii)(0.25)(0.53)0.S S "="=25. 假设[]2(),f x C a b ∈,()S x 是三次样条函数,证明 i)[][][][]222()()()()2()()()bbbba a a a f x dx S x dx f x S x dx S x f x S x dx "-"="-"+""-"⎰⎰⎰⎰;ii) 假设()()(0,1,,)i i f x S x i n ==,式中i x 为插值节点,且01n a x x x b =<<<=,则[][][]()()()()()()()()()baS x f x S x dx S b f b S b S a f a S a ""-"="'-'-"'-'⎰.26. 编出计算三次样条函数()S x 系数及其在插值节点中点的值的程序框图(()S x 可用(8.7)式的表达式).第三章 函数逼近与计算1. (a)利用区间变换推出区间为[],a b 的伯恩斯坦多项式.(b)对()sin f x x =在[]0,/2π上求1次和三次伯恩斯坦多项式并画出图形,并与相应的马克劳林级数部分和误差做比较. 2. 求证:(a)当()m f x M ≤≤时,(,)n m B f x M ≤≤. (b)当()f x x =时,(,)n B f x x =.3. 在次数不超过6的多项式中,求()sin 4f x x =在[]0,2π的最正确一致逼近多项式.4. 假设()f x 在[],a b 上连续,求()f x 的零次最正确一致逼近多项式.5. 选取常数a ,使301max x x ax≤≤-到达极小,又问这个解是否唯一?6. 求()sin f x x =在[]0,/2π上的最正确一次逼近多项式,并估计误差.7. 求()xf x e =在[]0,1上的最正确一次逼近多项式.8. 如何选取r ,使2()p x x r =+在[]1,1-上与零偏差最小?r 是否唯一? 9. 设43()31f x x x =+-,在[]0,1上求三次最正确逼近多项式. 10. 令[]()(21),0,1n n T x T x x =-∈,求***0123(),(),(),()T x T x T x T x .11. 试证{}*()nT x 是在[]0,1上带权ρ=的正交多项式.12. 在[]1,1-上利用插值极小化求11()f x tg x -=的三次近似最正确逼近多项式. 13. 设()xf x e =在[]1,1-上的插值极小化近似最正确逼近多项式为()n L x ,假设nf L ∞-有界,证明对任何1n ≥,存在常数n α、n β,使11()()()()(11).n n n n n T x f x L x T x x ++α≤-≤β-≤≤14. 设在[]1,1-上234511315165()128243843840x x x x x x ϕ=-----,试将()x ϕ降低到3次多项式并估计误差. 15. 在[]1,1-上利用幂级数项数求()sin f x x =的3次逼近多项式,使误差不超过0.005.16. ()f x 是[],a a -上的连续奇(偶)函数,证明不管n 是奇数或偶数,()f x 的最正确逼近多项式*()n n F x H ∈也是奇(偶)函数.17. 求a 、b 使[]220sin ax b x dxπ+-⎰为最小.并与1题及6题的一次逼近多项式误差作比较.18. ()f x 、[]1(),g x C a b ∈,定义 ()(,)()();()(,)()()()();b baaa f g f x g x dxb f g f x g x dx f a g a =''=''+⎰⎰问它们是否构成内积?19. 用许瓦兹不等式(4.5)估计6101x dx x +⎰的上界,并用积分中值定理估计同一积分的上下界,并比较其结果.20. 选择a ,使以下积分取得最小值:1122211(),x ax dx x ax dx----⎰⎰.21. 设空间{}{}10010121,,,span x span x x 1ϕ=ϕ=,分别在1ϕ、2ϕ上求出一个元素,使得其为[]20,1x C ∈的最正确平方逼近,并比较其结果.22. ()f x x =在[]1,1-上,求在{}2411,,span x x ϕ=上的最正确平方逼近.23.sin (1)arccos ()n n x u x +=是第二类切比雪夫多项式,证明它有递推关系()()()112n n n u x xu x u x +-=-.24. 将1()sin 2f x x=在[]1,1-上按勒让德多项式及切比雪夫多项式展开,求三次最正确平方逼近多项式并画出误差图形,再计算均方误差.25. 把()arccos f x x =在[]1,1-上展成切比雪夫级数.26. 用最小二乘法求一个形如2y a bx =+的经验公式,使它与以下数据拟合,并求均方误差.27.28. 在某化学反应里,根据实验所得分解物的浓度与时间关系如下:用最小二乘拟合求.29. 编出用正交多项式做最小二乘拟合的程序框图. 30. 编出改良FFT 算法的程序框图. 31. 现给出一张记录{}{}4,3,2,1,0,1,2,3k x =,试用改良FFT 算法求出序列{}k x 的离散频谱{}k C (0,1,,7).k =第四章 数值积分与数值微分1. 确定以下求积公式中的待定参数,使其代数精度尽量高,并指明所构造出的求积公式所具有的代数精度: (1)101()()(0)()hh f x dx A f h A f A f h --≈-++⎰; (2)21012()()(0)()hh f x dx A f h A f A f h--≈-++⎰;(3)[]1121()(1)2()3()/3f x dx f f xf x -≈-++⎰;(4)[][]20()(0)()/1(0)()hf x dx h f f h ah f f h ≈++'-'⎰.2. 分别用梯形公式和辛普森公式计算以下积分:(1)120,84xdx n x =+⎰; (2)1210(1),10x e dx n x --=⎰;(3)1,4n =⎰; (4),6n =.3. 直接验证柯特斯公式(2.4)具有5次代数精度.4. 用辛普森公式求积分1x e dx-⎰并计算误差.5. 推导以下三种矩形求积公式:(1)2()()()()()2ba f f x dxb a f a b a 'η=-+-⎰; (2)2()()()()()2baf f x dx b a f b b a 'η=---⎰;(3)3()()()()()224baa b f f x dx b a f b a +"η=-+-⎰.6. 证明梯形公式(2.9)和辛普森公式(2.11)当n →∞时收敛到积分()baf x dx⎰.7.用复化梯形公式求积分()baf x dx⎰,问要将积分区间[],a b 分成多少等分,才能保证误差不超过ε(设不计舍入误差)?8.1x e dx-,要求误差不超过510-.9. 卫星轨道是一个椭圆,椭圆周长的计算公式是S a =θ,这里a 是椭圆的半长轴,c是地球中心与轨道中心(椭圆中心)的距离,记h 为近地点距离,H 为远地点距离,6371R =公里为地球半径,则(2)/2,()/2a R H h c H h =++=-.我国第一颗人造卫星近地点距离439h =公里,远地点距离2384H =公里,试求卫星轨道的周长.10. 证明等式3524sin3!5!n nn n ππππ=-+-试依据sin(/)(3,6,12)n n n π=的值,用外推算法求π的近似值.11. 用以下方法计算积分31dyy ⎰并比较结果.(1) 龙贝格方法;(2) 三点及五点高斯公式;(3) 将积分区间分为四等分,用复化两点高斯公式.12. 用三点公式和五点公式分别求21()(1)f x x =+在x =1.0,1.1和1.2处的导数值,并估计误差.()f x 的值由下表给出:第五章 常微分方程数值解法1. 就初值问题0)0(,=+='y b ax y 分别导出尤拉方法和改良的尤拉方法的近似解的表达式,并与准确解bx ax y +=221相比较。
数值分析课后习题答案数值分析课后习题答案数值分析是一门应用数学的学科,主要研究用数值方法解决数学问题的理论和方法。
在学习数值分析课程时,习题是非常重要的一部分,通过解答习题可以加深对数值方法的理解和掌握。
下面将为大家提供一些数值分析课后习题的答案,希望能对大家的学习有所帮助。
1. 插值法是数值分析中常用的一种数值逼近方法。
给定一组已知数据点,我们希望通过插值方法找到一个函数,使得该函数在已知数据点上的取值与给定数据点的值尽可能接近。
常见的插值方法有拉格朗日插值法和牛顿插值法。
下面是一个使用拉格朗日插值法求解的习题:已知函数f(x)=sin(x),求在区间[0, π/2]上的插值多项式P(x),使得P(0)=0,P(π/2)=1。
解答:根据拉格朗日插值法的原理,我们需要构造一个满足条件的插值多项式。
首先,我们需要确定插值节点。
根据题目要求,我们取两个插值节点:x0=0,x1=π/2。
然后,我们需要确定插值多项式的系数。
设插值多项式为P(x)=a0+a1x,代入已知条件可得到两个方程:P(0)=a0=0P(π/2)=a0+a1(π/2)=1解方程组可得,a0=0,a1=2/π。
因此,插值多项式为P(x)=2x/π。
2. 数值积分是数值分析中的另一个重要内容。
它主要研究如何用数值方法计算函数的定积分。
常见的数值积分方法有梯形法则、辛普森法则等。
下面是一个使用梯形法则求解的习题:计算定积分∫[0, 1] e^(-x^2) dx。
解答:根据梯形法则的原理,我们可以将定积分转化为离散的求和问题。
首先,我们将积分区间[0, 1]等分为n个小区间,每个小区间的宽度为h=1/n。
然后,我们在每个小区间的两个端点上计算函数值,并将其加权求和。
根据梯形法则的公式,我们可以得到近似解为:∫[0, 1] e^(-x^2) dx ≈ h/2 * (f(0) + 2f(x1) + 2f(x2) + ... + 2f(x(n-1)) + f(1))其中,f(x)表示函数e^(-x^2)在点x处的取值。
中科院数值分析课件一、概述数值分析简单来说,就是研究数字世界的学问。
大家可能觉得数学都是高深莫测的,但数值分析其实与我们日常生活息息相关。
当我们用手机计算距离、用计算器解方程时,背后都有数值分析的影子。
那么今天我们就来聊聊《中科院数值分析课件》这个话题带大家走进数字的世界。
这个课件到底讲了些啥?其实它主要介绍了数值分析的基本概念、方法和应用。
别看它内容高大上,但其实都是实用又接地气的东西。
我们学习数值分析,就是为了解决实际问题,更好地服务于生活和工作。
所以大家在学习的时候,不要觉得它遥不可及,其实它就在我们身边。
让我们一起探索这个神奇的世界吧!1. 介绍数值分析的重要性和应用领域数值分析是现代科学研究的基础工具之一,在现实生活中,我们常常遇到各种问题,比如天气预报、工程建设、经济预测等。
这些问题的解决往往离不开数值分析技术,它可以模拟复杂现象的变化趋势,帮助我们更准确地预测未来可能出现的情况。
可以说没有数值分析,很多现代科技领域的发展都会受到极大的限制。
2. 简述中科院数值分析课件的背景和目的随着科技的飞速发展,数值分析在各个领域的应用越来越广泛。
为了更好地满足教学和科研的需求,中科院制作了一系列的数值分析课件。
这些课件不仅为我们提供了丰富的理论知识和实践方法,还帮助我们更深入地理解数值分析的重要性和应用场景。
通过学习和使用这些课件,我们可以更高效地掌握数值分析的方法和技巧,为未来的工作和学习打下坚实的基础。
同时这些课件也有助于我们更好地理解和应用各种数学模型,从而更好地解决实际问题。
因此中科院数值分析课件的出现,无疑为我们提供了一个宝贵的学习资源和工具。
二、数值分析的基本概念数值分析听起来好像很高大上,但其实它是数学的一个分支,专门研究如何解决问题的一种实用方法。
它就像是一把钥匙,能打开解决各种实际问题的大门。
今天我们就来聊聊数值分析的基本概念,先让大家有个简单的认识。
数值分析的核心思想是把复杂的问题转化为简单的数学问题,然后利用计算机进行计算。
第一章绪论习题一1.设x>0,x*的相对误差为δ,求f(x)=ln x的误差限。
解:求lnx的误差极限就是求f(x)=lnx的误差限,由公式(1.2.4)有已知x*的相对误差满足,而,故即2.下列各数都是经过四舍五入得到的近似值,试指出它们有几位有效数字,并给出其误差限与相对误差限。
解:直接根据定义和式(1.2.2)(1.2.3)则得有5位有效数字,其误差限,相对误差限有2位有效数字,有5位有效数字,3.下列公式如何才比较准确?(1)(2)解:要使计算较准确,主要是避免两相近数相减,故应变换所给公式。
(1)(2)4.近似数x*=0.0310,是 3 位有数数字。
5.计算取,利用:式计算误差最小。
四个选项:第二、三章插值与函数逼近习题二、三1. 给定的数值表用线性插值与二次插值计算ln0.54的近似值并估计误差限. 解:仍可使用n=1及n=2的Lagrange插值或Newton插值,并应用误差估计(5.8)。
线性插值时,用0.5及0.6两点,用Newton插值误差限,因,故二次插值时,用0.5,0.6,0.7三点,作二次Newton插值误差限,故2. 在-4≤x≤4上给出的等距节点函数表,若用二次插值法求的近似值,要使误差不超过,函数表的步长h 应取多少?解:用误差估计式(5.8),令因得3. 若,求和.解:由均差与导数关系于是4. 若互异,求的值,这里p≤n+1.解:,由均差对称性可知当有而当P=n+1时于是得5. 求证.解:解:只要按差分定义直接展开得6. 已知的函数表求出三次Newton均差插值多项式,计算f(0.23)的近似值并用均差的余项表达式估计误差.解:根据给定函数表构造均差表由式(5.14)当n=3时得Newton均差插值多项式N3(x)=1.0067x+0.08367x(x-0.2)+0.17400x(x-0.2)(x-0.3) 由此可得f(0.23) N3(0.23)=0.23203由余项表达式(5.15)可得由于7. 给定f(x)=cosx的函数表用Newton等距插值公式计算cos 0.048及cos 0.566的近似值并估计误差解:先构造差分表计算,用n=4得Newton前插公式误差估计由公式(5.17)得其中计算时用Newton后插公式(5.18)误差估计由公式(5.19)得这里仍为0.5658.求一个次数不高于四次的多项式p(x),使它满足解:这种题目可以有很多方法去做,但应以简单为宜。
数值分析试题及答案一、选择题(每题3分,共30分)1. 下列关于数值分析的说法,错误的是()。
A. 数值分析是研究数值方法的科学B. 数值分析是研究数值方法的数学理论C. 数值分析是研究数值方法的误差分析D. 数值分析是研究数值方法的数学理论、误差分析及数值方法的实现答案:B2. 在数值分析中,插值法主要用于()。
A. 求解微分方程B. 求解积分方程C. 求解线性方程组D. 通过已知数据点构造一个多项式答案:D3. 线性方程组的解法中,高斯消元法属于()。
A. 直接方法B. 迭代方法C. 矩阵分解方法D. 特征值方法答案:A4. 牛顿法(Newton's method)是一种()。
A. 插值方法B. 拟合方法C. 迭代方法D. 优化方法答案:C5. 在数值分析中,下列哪种方法用于求解非线性方程的根?A. 高斯消元法B. 牛顿法C. 雅可比方法D. 斯托尔-温格尔方法答案:B6. 下列关于误差的说法,正确的是()。
A. 绝对误差总是大于相对误差B. 相对误差总是小于绝对误差C. 误差是不可避免的D. 误差总是可以消除的答案:C7. 在数值分析中,下列哪个概念与数值稳定性无关?A. 条件数B. 截断误差C. 舍入误差D. 插值多项式的阶数答案:D8. 用泰勒级数展开函数f(x)=e^x,下列哪一项是正确的?A. f(x) = 1 + x + x^2/2! + x^3/3! + ...B. f(x) = 1 - x + x^2/2! - x^3/3! + ...C. f(x) = x + x^2/2 + x^3/6 + ...D. f(x) = x - x^2/2 + x^3/6 - ...答案:A9. 插值多项式的次数最多为()。
A. n-1B. nC. n+1D. 2n答案:B10. 下列关于数值积分的说法,错误的是()。
A. 梯形法则是一种数值积分方法B. 辛普森法则是一种数值积分方法C. 龙格法则是数值积分方法中的一种D. 数值积分方法总是精确的答案:D二、填空题(每题3分,共15分)1. 在数值分析中,条件数是衡量问题的______。
一.(6分) 已知描述某实际问题的数学模型为xy y x y x u 223),(+=,其中,y x ,由统计方法得到,分别为4,2==y x ,统计方法的误差限为0.01,试求出u 的误差限)(u ε和相对误差限)(u r ε.解:)(23)(6)(),()(),()(222y x y x x x y xy y y y x u x x y x u u εεεεε⎪⎭⎫ ⎝⎛++⎪⎭⎫ ⎝⎛-=∂∂+∂∂≈6.016.044.001.0)412(01.0)448(=+=⨯++⨯-=0.010714566.03)()(22=≈+=xy y x u u r εε 二.(6分) 已知函数13)(3+=x x f 计算函数)(x f 的2阶均差]2,1,0[f ,和4阶均差]4,3,2,1,0[f .解:21142512)1()2(]2,1[,311401)0()1(]1,0[=-=--==-=--=f f f f f f9232102]1,0[]2,1[]2,1,0[=-=--=f f f0!4)(]4,3,2,1,0[)4(==ξf f三.(6分)试确定求积公式: )]1(')0('[121)]1()0([21)(10f f f f dx x f -++≈⎰的代数精度. 解:记⎰=10)(dx x f I )]1(')0('[121)]1()0([21f f f f I n -++=1)(=x f 时:1110==⎰dx I 1]00[121]2[21=-+=n Ix x f =)(时:2110==⎰xdx I 21]11[121]1[21=-+=n I2)(x x f =时:31102==⎰dx x I 31]20[121]1[21=-+=n I3)(x x f =时:41103==⎰dx x I 41]30[121]1[21=-+=n I4)(x x f =时:51104==⎰dx x I 61]40[121]1[21=-+=n I求积公式)]1(')0('[121)]1()0([21)(1f f f f dx x f -++≈⎰具有3次代数精度. 四.(12分) 已知函数122)(23-++=x x x x f 定义在区间[-1,1]上,在空间},,1{)(2x x Span x =Φ上求函数)(x f 的最佳平方逼近多项式.其中,权函数1)(=x ρ,154))(),((,1532))(),((,34))(),((210-==-=x x f x x f x x f ϕϕϕ. 解:0))(),(())(),((21))(),((1101101100=====⎰⎰--dx x x x x x dx x x ϕϕϕϕϕϕ32))(),(())(),(())(),((112110220====⎰-dx x x x x x x x ϕϕϕϕϕϕ0))(),(())(),((1131221===⎰-dx x x x x x ϕϕϕϕ52))(),((11422==⎰-dx x x x ϕϕ解方程组⎪⎪⎪⎪⎪⎪⎭⎫ ⎝⎛--=⎪⎪⎪⎭⎫ ⎝⎛⎪⎪⎪⎪⎪⎪⎭⎫ ⎝⎛1541532345203203203202210a a a 得⎪⎪⎪⎪⎭⎫ ⎝⎛-=⎪⎪⎪⎭⎫ ⎝⎛15161210a a a 则)(x f 的最佳平方逼近多项式为:1516)(2-+=x x x p 五.(16分) 设函数)(x f 满足表中条件:(1) 填写均差计算表((2) 分别求出满足条件22k k k k 的 2次 Lagrange 和 Newton 差值多项式.(3) 求出一个四次插值多项式)(4x H ,使其满足表中所有条件.并用多项式降幂形式表示.解:12)12)(02()1)(0()20)(10()2)(1()(22+-=----+----=x x x x x x x L12)1)(0(1)0)(1(1)(22+-=--+--+=x x x x x x N 令)2)(1()(12)(24--+++-=x x x b ax x x x H则)2()()2)(1)(()2)(1(22)('4-++--++--+-=x x b ax x x b ax x x ax x x H)1()(-++x x b ax由 ⎩⎨⎧-=+=+⇒⎩⎨⎧=-++-=-=-++-=1220)12(2)2(24)2('2)21)((22)1('44b a b a b a H b a H 解得 5,3=-=b a因此1820143)2)(1()53(12)(23424++-+-=--+-++-=x x x x x x x x x x x H 六.(16分)(1). 用Romberg 方法计算⎰31dx x ,将计算结果填入下表(*号处不填).(2). 试确定三点 Gauss-Legender 求积公式⎰∑-=≈11)()(k k k x f A dx x f 的Gauss 点k x 与系数k A ,并用三点 Gauss-Legender 求积公式计算积分: ⎰31dx x .解:过点(1,-1)和点(3,1)作直线得 y t x +=所以积分⎰⎰-+=11312dt t dx x由三次Legendre 多项式 )35(21)(33x x x p -= 得得Gauss 点:,515,0,515210==-=x x x再由代数精度得 ⎪⎪⎪⎩⎪⎪⎪⎨⎧==+==+-==++⎰⎰⎰---32535305155152111220112011210dt x A A dt x A A dt A A A即 ⎪⎩⎪⎨⎧=+=-=++9/10022020210A A A A A A A解得 ,95,98,95210===A A A所以三点Gauss-Legendre 求积公式为:()⎪⎪⎭⎫ ⎝⎛++⎪⎪⎭⎫ ⎝⎛-≈⎰-5159509851595)(11f f f dx x f 因此 79746.2515295298515295211=+++-≈+=⎰-dx t I 七.(14分)(1) 证明方程02ln =--x x 在区间(1,∞)有一个单根.并大致估计单根的取值范围. (2) 写出Newton 迭代公式,并计算此单根的近似值.(要求精度满足: 5110||-+<-k k x x ). 解:令 2ln )(--=x x x f),1(,011)('∞∈>-=x xx f > 即)(x f 在区间 ),1(∞ 单调增 又 04)(,02ln )2(22>-=<-=e e f f 所以 02ln =--x x 在区间 ),1(∞有一单根 ),1(20e x ∈Newton 迭代公式为1ln 112ln 1-+=----=+k kk k kk k k k x x x x x x x x x 令 20=x 计算得八. (12分) 用追赶法求解方程组:⎪⎪⎪⎪⎪⎭⎫ ⎝⎛=⎪⎪⎪⎪⎪⎭⎫ ⎝⎛⎪⎪⎪⎪⎪⎭⎫ ⎝⎛022112111131124321x x x x 的解.解: 由计算公式 ⎪⎩⎪⎨⎧-===+====-1,,2,,,2,,111111n i c n i b a c b i i ii i i i i i βααβγγβαα得 ,2,1,1,21,1,24321111======γγγββαα25211322212=⨯-=⇒=+ααβγb 52222222==⇒=αββαc c 53521133323=⨯-=⇒=+ααβγb 35333333==⇒=αββαc c 37352144434-=⨯-=⇒=+ααβγb因此 ⎪⎪⎪⎪⎪⎪⎪⎭⎫⎝⎛⎪⎪⎪⎪⎪⎪⎪⎭⎫⎝⎛-=⎪⎪⎪⎪⎪⎭⎫ ⎝⎛135152121137253125121211113112 即 LU A = 令 b Ly = 解 ⎪⎪⎪⎪⎪⎭⎫ ⎝⎛=⎪⎪⎪⎪⎪⎭⎫ ⎝⎛⎪⎪⎪⎪⎪⎪⎪⎭⎫⎝⎛-022137253125124321y y y y 得⎪⎪⎪⎪⎪⎭⎫ ⎝⎛=⎪⎪⎪⎪⎪⎭⎫ ⎝⎛23753214321y y y y令 y Ux =解 ⎪⎪⎪⎪⎪⎭⎫ ⎝⎛=⎪⎪⎪⎪⎪⎭⎫ ⎝⎛⎪⎪⎪⎪⎪⎪⎪⎭⎫⎝⎛237532113515212114321x x x x 得⎪⎪⎪⎪⎪⎭⎫ ⎝⎛-=⎪⎪⎪⎪⎪⎭⎫⎝⎛21104321x x x x九. (12分) 设求解初值问题⎩⎨⎧==00)(),('y x y y x f y 的计算格式为:)],(),([111--+++=n n n n n n y x bf y x af h y y ,假设11)(,)(--==n n n n y x y y x y ,试确定参数b a ,的值,使该计算格式的局部截断误差为二阶,即截断部分为: )(3h o .(注:原题中)(2h o 错误)解:)],(),([111--+++=n n n n n n y x bf y x af h y y )](')('[)(1-++=n n n x by x ay h x y])('''21)('')('[)(')(2++-++=n n n n n x y h x hy x y hb x hay x y ++-++=)('''21)('')(')()(32n n n n x by h x by h x y b a h x y 对比 ++++=+)('''61)(''21)(')()(321n n n n n x y h x y h x hy x y x y 得 ⎩⎨⎧==+2/11b b a , 即 2/1==b a 时该计算格式具有二阶精度.。
数值分析参考答案1.4 习题解答或提示1、解:(1)>> a=[1 2 3 ;4 5 6 ]'a =1 42 53 6(2)>> b=[9;7;5;3;1]b =97531(3)>> c=b(2:4)c =753(4)>> d=b(4:-1:1)d =3579(5)>> e=sort(b)e =13579(6)>> f=[3:b']f =3 4 5 6 7 8 92、解:>> x=[7 4 3 ];y=[-1 -2 -3];(1)>> u=[y,x]u =-1 -2 -3 7 4 3 (2)>> u=[x,y]u =7 4 3 -1 -2 -33、解:sum=0;a=[4 -1 2 -8 4 5 -3 -1 6 -7]; for i=1 : length(a)if a(i)>0, sum=sum+a(i); endendsumsum =214、解:m=input('input an array:')input an array:[1 2 5;3 1 2;4 1 3]m =1 2 53 1 24 1 35、解:sum(m)ans =8 4 10>> max(m)ans =4 2 5>> min(m)ans =1 1 26、解:function y=fun_es(x)y=0.5.*exp(x./3)-x.^2.*sin(x);>> fun_es(3)ans =0.0891>> fun_es([1 2 3])ans =-0.1437 -2.6633 0.08917、提示:本题主要考查的是随机数生成函数rand的使用方法,以及选取种子数的方法之一:使用clock命令。
可以参照课本的例1.5来编写函数。
8、解:function y=fun_xa()x=input('input the value of x:');n=input('input the value of n:');y=1;for i=1:1:ny=y+x^i/factorial(i); end>> fun_xa()input the value of x :1 input the value of n :4ans =2.70832.4 习题解答1 解:E(lnx)=(ln ’E(x)=)(1x E x =xδ=Er(x) 2. 解 Er(x 2)=)(22x Er x xx ⨯=4% 3. 解:123451.1021,0.031,385.6,56.430,7 1.0x x x x x *****=====⨯分别有5 位,2位,4位,5位,2位有效数字4 解 4*1105.0)(-⨯=x E3*2105.0)(-⨯=x E1*3105.0)(-⨯=x E3*4105.0)(-⨯=x E=++)(*4*2*1x x x E +)(*1x E +)(*2x E )(*4x E =0.00105))()((*4*2x E x E E =)()()(*42*4*2*4*2x E x x x x E -5. 解 V=334r π Er(v)=)(//x Er V x dx dV ⨯⨯=3Er(x)%1)(3≤x Er%33.0)(≤x Er6. 解 7830100-=Y Y)783()(100E Y E ==0.00057.解 x 1,2=24561122-±=56783±21,2105.0)x (-⨯=E 2105.0)783(-⨯=E98.27783≈x 1,2=83.98 或 28.02 8.略。
数值分析第三次作业及答案1. (P201(4))用梯形方法解初值问题 '0;(0)1,y y y ⎧+=⎨=⎩ 证明其近似解为2,2nn h y h -⎛⎫= ⎪+⎝⎭并证明当0h →时,它收敛于原初值问题的准确解.xy e -=111112111000 [(,)(,)]2(,)()22222222 1,.2,.lim l n n n n n n n n n n n n n n nn n n h hy y f x y f x y hf x y y y y y y h h h y y y y h h h h y y h h n y nh x y +++++++-→=++=-⇒=+-----⎛⎫⎛⎫⎛⎫⇒==== ⎪ ⎪ ⎪+++⎝⎭⎝⎭⎝⎭-⎛⎫=⇒= ⎪+⎝⎭=⇒=证:梯形公式为由因用上述梯形公式以步长经步计算到故有0022im lim 22x nhx h h h h e h h -→→--⎛⎫⎛⎫== ⎪ ⎪++⎝⎭⎝⎭2. (P202(6)) 写出用四阶经典的龙格—库塔方法求解下列初值问题的计算公式:''3,01;,01;(1)1)2)(0)1;(0) 1.y y x y x y x x y y ⎧=<<⎧=+<<⎪+⎨⎨=⎩⎪=⎩ 12113224330.2(,)(,) 1.1()0.1 22221)(,) 1.11()0.112222(,) 1.n n n n n n n n n n n n n n n nn n n n h k f x y x y h h h h k f x y k x y k x y h h h h k f x y k x y k x y k f x h y hk x h y hk ===+=++=+++=++=++=+++=++=++=+++=解:令1123412132431222()0.222(22)0.2214 1.22140.021463/(1)3(0.1)/(10.1)2)3(0.1)/(10.1)3(0.2)/(10.2)0.2(6n n n n n n n n n nn n n n n n x y hy y k k k k x y k y x k y k x k y k x k y k x y y k ++⎧⎪⎪⎪⎨⎪⎪⎪++⎩=++++=++=+⎧⎪=+++⎪⎨=+++⎪⎪=+++⎩=+123422).k k k +++3. (P202(7)) 证明对任意参数t ,下列龙格库塔-公式是二阶的:12312131();2(,);(,);((1),(1)).n n n nn n n n h y y K K K f x y K f x th y thK K f x t h y t hK +⎧=++⎪⎪⎪=⎨⎪=++⎪=+-+-⎪⎩'''2'''31'123'2'()()()()[(,())(,())(,())]23!()[((,)(,)22(,)(,)())((,)(,n n n n x n n y n n n n n n n n n x n n y n n n n n n x n n y h y x y x hy x f x y x f x y x f x y x hh hy y K K y f x y f x y th f x y thf x y O h f x y f x y ζ++=++++=++=++++++证:由一元函数的泰勒展开有又由二元函数的泰勒展开有'22''32''311)(1)(,)(1)(,)())](,)[(,)(,)(,)]()2(),(,())[(,())(,())(,())]()2()y n n n n n n n x n n y n n n n n n n n n n x n n y n n n n n n t h f x y t hf x y O h h y hf x y f x y f x y f x y O h y y x h y y hf x y x f x y x f x y x f x y x O h y x y +++-+-+=++++==++++为考虑局部截断误差,设上式有比较与31111 ()()n n n R y x y O h t +++=-=两式,知其局部误差为故对任意参数,公式是二阶的。
4. (P203(11)) 导出具有下列形式的三阶方法:'''10112201122()n n n n n n n y a y a y a y h b y b y b y +----=+++++'''101122011221'10121201223''12121213 ()()()()()[()()()]()()()(2)()(424)()(8312)2!3!n n n n n n n n n n n n n n n y y x y x a y x a y x a y x h b y x b y x b y x y x x y a a a y x a a b b b hy x h h a a b b y x a a b b y +----++==+++++=+++--+++++--+--++解:假设则将在处展开'''34(4)512120121201212121213()(16432)()()4!121424183121n x h a a b b y x O h a a a a a b b b a a b b a a b b ++--+++=⎧⎪--+++=⎪⎨+--=⎪⎪--++=⎩该公式的三阶方程为 取任一组满足方程组的参数均可。
5. (P236(3))为求方程32010 1.5x x x --==在 附近的一个根,设将方程改写成下列等价形式,并建立相应的迭代公式。
1) 211,x x=+迭代公式2111;k kx x +=+2) 321,x x =+迭代公式1k x +=3) 21,1x x =-迭代公式1k x +=试分析每种迭代公式的收敛性。
解:32321.4 1.410.2160 1.5 1.510.1250--=-<--=>[1.4,1.5]∴为有根区间。
22'3321221)11/()11/()0.7311.411/k k x x x x x x x x ϕϕ+=+=+=-≤≈<∴=+迭代公式收敛。
2232'233112 1.52)1()()12/(1 1.0)0.63133k x xx x x x x ϕϕ+⨯=+==+⨯≤+≈<∴=-()迭代公式3322'2111(1.51)3)()()(1)1.41122k x x x x x x ϕϕ--+-===--≥≈>-∴=迭代公式6. (P236(6))已知()x x ϕ=在区间[,]a b 内只有一根,而当a x b <<时,'()1,x k ϕ≥>试问如何将()x x ϕ=化为适于迭代的形式?将x tgx =化为适于迭代的形式,并求 4.5x =(弧度)附近的根。
1'''1''11111(())()1()1 (()) 1.()()()()(0,1,) [4.k k k kx x x k x x x x x x x x k x tgx x arctgx x arctgx ϕϕϕϕϕϕϕϕππ--++=≥>=<=⇒=⇒===⇒=+⇒=+--解:由反函数微分法则有 故当时,有将则迭代法是收敛的。
对 用搜索法知在(5)045,4.50] 4.45 4.49341x x ==内有根,取迭代,。
7. (P237(12))应用牛顿法于方程30x a -=的迭代公式,并讨论其收敛性。
3'23'22''3''''4443()()3()2()()33322()033222()(3)03f x x a f x x f x x a ax x x x f x x x ax x a a a x x x a ϕϕϕϕϕ=-=-∴=-=-=+=-⇒==--=⇒==≠∴解:为二阶收敛。
因迭代公式为 31223k k kx ax x ++=32122(33k k k k k k k k kx a x x x x x x x +-+⇒=-=两边同除k x1k=因20kk x +>故由01k<< 1) 当0,a >2k k x x ⇒><-312221133333k k k k k k x a a x x x x x ++==++≥=又由故当00,a x >取初值,迭代序列}k x {2) 当0,a<2k k x x ⇒>-<312221133333k k k k k k x a a x x x x x ++==++≤=又由故当00,a x <<取初值,迭代序列}k x { 故综上此为局部收敛。