中国新建本科院校基本情况一览表V1.0
- 格式:doc
- 大小:1.07 MB
- 文档页数:34
一本院校列表本文旨在列举出中国大陆地区的一本院校,并简要介绍其特点和优势专业,以供考生和家长参考。
下面是本店铺为大家精心编写的3篇《一本院校列表》,供大家借鉴与参考,希望对大家有所帮助。
《一本院校列表》篇1中国的高等教育体系中,一本院校是指在高考本科批次中招生的院校,其教育质量和学术水平较高,社会认可度也较高。
这些院校往往有着悠久的历史和较高的师资水平,是许多考生和家长的首选。
下面是中国大陆地区的一些一本院校列表,以及它们的特点和优势专业。
1. 北京大学北京大学是中国最著名的综合性大学之一,拥有着全国最强的文科和理科专业,是中国政府和企业的重要人才培养基地。
2. 清华大学清华大学是中国著名的理工科大学之一,工程、计算机、材料等专业一直处于国内领先地位,被誉为“工程师的摇篮”。
3. 复旦大学复旦大学是中国著名的综合性大学之一,文理医工各专业都比较强,尤其是医学和生命科学在国内外享有很高的声誉。
4. 上海交通大学上海交通大学是中国著名的理工科大学之一,工程、计算机、船舶等专业一直处于国内领先地位,是企业招聘的重点高校。
5. 浙江大学浙江大学是中国著名的综合性大学之一,文理医工各专业都比较强,尤其是计算机、电子、数学等专业在国内外享有很高的声誉。
6. 南京大学南京大学是中国著名的综合性大学之一,文理医工各专业都比较强,尤其是物理、化学、天文等基础学科在国内外享有很高的声誉。
7. 武汉大学武汉大学是中国著名的综合性大学之一,文理医工各专业都比较强,尤其是经济学、法学、新闻与传播等社会科学专业在国内享有很高的声誉。
8. 中山大学中山大学是中国著名的综合性大学之一,文理医工各专业都比较强,尤其是管理学、哲学、汉语言文学等专业在国内享有很高的声誉。
以上是一些中国大陆地区的一本院校列表,它们的特点和优势专业都有所不同,考生和家长可以根据自己的兴趣和就业方向进行选择。
《一本院校列表》篇2一本院校是指在中国高等教育体系中,具有较高学术声誉和教学质量的院校。
一、普通本科院校(共879所)北京市(59所)北京大学中国人民大学清华大学北京交通大学北京航空航天大学北京理工大学北京科技大学北京化工大学北京邮电大学华北电力大学中国石油大学(北京)中国矿业大学(北京)中国地质大学(北京)中国农业大学北京林业大学北京中医药大学北京师范大学北京外国语大学北京语言大学中国传媒大学中央财经大学对外经济贸易大学中国人民公安大学中国政法大学北京体育大学中央民族大学北京电子科技学院北京协和医学院外交学院中华女子学院国际关系学院中国青年政治学院中国劳动关系学院中央音乐学院中央美术学院中央戏剧学院北京联合大学北京工业大学北方工业大学北京信息科技大学首都医科大学首都师范大学北京工商大学首都经济贸易大学北京城市学院北京服装学院北京印刷学院北京建筑大学北京石油化工学院首钢工学院北京农学院北京第二外国语学院北京物资学院首都体育学院中国音乐学院中国戏曲学院北京电影学院北京舞蹈学院北京警察学院天津市(19所)南开大学天津大学中国民航大学天津工业大学天津科技大学天津理工大学天津医科大学天津中医药大学天津师范大学天津职业技术师范大学天津外国语大学天津财经大学天津商业大学天津天狮学院天津城建大学天津农学院天津体育学院天津音乐学院天津美术学院河北省(40所)华北科技学院防灾科技学院中国人民武装警察部队学院中央司法警官学院河北大学河北工业大学燕山大学河北联合大学河北科技大学河北工程大学石家庄铁道大学河北农业大学河北医科大学河北师范大学河北经贸大学石家庄经济学院河北建筑工程学院北华航天工业学院承德医学院廊坊师范学院河北民族师范学院唐山师范学院河北科技师范学院沧州师范学院邢台学院河北金融学院河北体育学院河北传媒学院保定学院河北北方学院衡水学院邯郸学院唐山学院石家庄学院河北科技学院河北美术学院河北外国语学院河北中医学院张家口学院燕京理工学院山西省(21所)山西大学太原理工大学中北大学太原科技大学山西农业大学山西医科大学山西师范大学山西大同大学山西财经大学太原工业学院长治医学院山西中医学院太原师范学院长治学院吕梁学院晋中学院忻州师范学院运城学院山西工商学院太原学院山西传媒学院内蒙古自治区(13所)内蒙古大学内蒙古科技大学内蒙古民族大学内蒙古工业大学内蒙古农业大学内蒙古师范大学内蒙古医科大学赤峰学院呼和浩特民族学院集宁师范学院呼伦贝尔学院内蒙古财经大学河套学院辽宁省(50所)大连理工大学东北大学大连海事大学中国刑事警察学院大连民族学院辽宁大学沈阳大学大连大学沈阳理工大学辽宁工程技术大学沈阳工业大学沈阳建筑大学辽宁石油化工大学大连交通大学沈阳化工大学辽宁科技大学大连工业大学辽宁工业大学沈阳航空航天大学沈阳农业大学大连海洋大学中国医科大学大连医科大学辽宁中医药大学沈阳药科大学辽宁师范大学沈阳师范大学渤海大学东北财经大学沈阳工程学院辽宁科技学院大连东软信息学院辽宁医学院沈阳医学院鞍山师范学院大连外国语大学辽宁财贸学院沈阳体育学院鲁迅美术学院沈阳音乐学院大连艺术学院辽东学院辽宁对外经贸学院大连科技学院辽宁何氏医学院营口理工学院沈阳工学院大连财经学院沈阳城市学院沈阳城市建设学院吉林省(30所)吉林大学东北师范大学延边大学北华大学长春大学长春理工大学长春工业大学吉林农业大学长春中医药大学吉林师范大学吉林财经大学东北电力大学长春工程学院吉林建筑大学吉林化工学院吉林农业科技学院吉林医药学院通化师范学院白城师范学院长春师范大学吉林工程技术师范学院吉林华桥外国语学院吉林工商学院吉林警察学院吉林体育学院吉林艺术学院吉林动画学院长春建筑学院长春科技学院长春光华学院黑龙江(35所)哈尔滨工业大学哈尔滨工程大学东北林业大学黑龙江大学佳木斯大学齐齐哈尔大学哈尔滨理工大学东北石油大学东北农业大学黑龙江八一农垦大学哈尔滨医科大学黑龙江中医药大学哈尔滨师范大学哈尔滨商业大学哈尔滨学院黑龙江工程学院黑龙江科技大学牡丹江医学院齐齐哈尔医学院牡丹江师范学院大庆师范学院黑龙江财经学院哈尔滨体育学院黑龙江东方学院绥化学院黑河学院哈尔滨金融学院齐齐哈尔工程学院哈尔滨华德学院黑龙江外国语学院哈尔滨剑桥学院哈尔滨石油学院哈尔滨广厦学院哈尔滨远东理工学院黑龙江工业学院上海市(33所)复旦大学上海交通大学同济大学华东理工大学东华大学华东师范大学上海外国语大学上海财经大学上海海关学院上海大学上海理工大学上海海事大学上海工程技术大学上海海洋大学上海中医药大学上海师范大学华东政法大学上海政法学院上海建桥学院上海第二工业大学上海应用技术学院上海电力学院上海电机学院上海对外经贸大学上海金融学院上海立信会计学院上海体育学院上海音乐学院上海戏剧学院上海商学院上海杉达学院上海视觉艺术学院上海纽约大学江苏省(48所)南京大学东南大学江南大学南京航空航天大学南京理工大学中国矿业大学河海大学南京农业大学中国药科大学南京森林警察学院苏州大学扬州大学江苏大学江苏科技大学南京邮电大学南京工业大学常州大学南京林业大学南京医科大学南京中医药大学南京师范大学南京财经大学南通大学西交利物浦大学南京信息工程大学金陵科技学院徐州工程学院淮阴工学院常州工学院南京工程学院淮海工学院盐城工学院徐州医学院江苏理工学院苏州科技学院淮阴师范学院盐城师范学院南京晓庄学院南京审计学院江苏警官学院南京体育学院南京艺术学院常熟理工学院三江学院无锡太湖学院江苏师范大学泰州学院江苏第二师范学院浙江省(34所)浙江大学公安海警学院宁波大学浙江工业大学杭州电子科技大学浙江理工大学浙江农林大学浙江中医药大学浙江师范大学杭州师范大学浙江工商大学宁波诺丁汉大学温州大学宁波大红鹰学院浙江越秀外国语学院中国计量学院宁波工程学院嘉兴学院浙江科技学院浙江海洋学院温州医科大学湖州师范学院台州学院绍兴文理学院浙江传媒学院浙江外国语学院浙江财经大学浙江警察学院中国美术学院浙江树人学院浙江万里学院丽水学院衢州学院浙江水利水电学院安徽省(33所)中国科学技术大学合肥工业大学安徽大学安徽理工大学安徽工业大学安徽工程大学安徽农业大学安徽医科大学安徽师范大学淮北师范大学安徽财经大学安徽三联学院安徽建筑大学安徽中医药大学皖南医学院蚌埠医学院阜阳师范学院淮南师范学院安庆师范学院安徽科技学院合肥师范学院黄山学院安徽新华学院宿州学院铜陵学院皖西学院巢湖学院合肥学院蚌埠学院滁州学院池州学院安徽外国语学院安徽文达信息工程学院福建省(23所)厦门大学华侨大学福建农林大学集美大学福州大学仰恩大学福建医科大学福建中医药大学福建师范大学厦门理工学院闽南理工学院福建工程学院泉州师范学院闽南师范大学宁德师范学院福建警察学院龙岩学院三明学院闽江学院武夷学院莆田学院福建江夏学院福州外语外贸学院江西省(27所)南昌大学江西理工大学华东交通大学东华理工大学南昌航空大学江西农业大学江西师范大学江西财经大学井冈山大学景德镇陶瓷学院南昌工程学院南昌理工学院江西中医药大学赣南医学院上饶师范学院江西科技师范大学赣南师范学院江西警察学院新余学院宜春学院九江学院江西服装学院南昌工学院江西科技学院景德镇学院萍乡学院南昌师范学院山东省(52所)山东大学中国石油大学(华东)中国海洋大学青岛大学山东科技大学山东理工大学聊城大学烟台大学青岛科技大学青岛理工大学济南大学山东建筑大学山东农业大学青岛农业大学山东中医药大学山东师范大学曲阜师范大学鲁东大学潍坊科技学院山东英才学院山东万杰医学院齐鲁工业大学潍坊学院山东交通学院潍坊医学院泰山医学院济宁医学院滨州医学院德州学院齐鲁师范学院临沂大学山东工商学院山东警察学院山东青年政治学院山东政法学院山东体育学院山东艺术学院山东工艺美术学院泰山学院菏泽学院济宁学院滨州学院青岛滨海学院烟台南山学院枣庄学院山东女子学院山东协和学院青岛黄海学院青岛工学院山东财经大学山东管理学院山东农业工程学院河南省(42所)铁道警察学院郑州大学河南大学河南科技大学河南理工大学河南工业大学河南农业大学河南师范大学河南财经政法大学郑州科技学院郑州华信学院华北水利水电大学郑州轻工业学院中原工学院河南工程学院郑州航空工业管理学院安阳工学院河南城建学院南阳理工学院黄河科技学院洛阳理工学院河南中医学院新乡医学院信阳师范学院周口师范学院洛阳师范学院商丘师范学院南阳师范学院安阳师范学院郑州师范学院河南警察学院许昌学院黄淮学院新乡学院平顶山学院河南科技学院商丘工学院郑州升达经贸管理学院商丘学院郑州成功财经学院河南牧业经济学院信阳农林学院湖北省(41所)武汉大学华中科技大学中国地质大学(武汉)武汉理工大学华中农业大学华中师范大学中南财经政法大学中南民族大学湖北大学长江大学三峡大学江汉大学武汉科技大学湖北工业大学武汉工程大学武汉纺织大学湖北中医药大学武汉轻工大学湖北汽车工业学院荆楚理工学院湖北医药学院湖北师范学院黄冈师范学院湖北第二师范学院湖北经济学院湖北警官学院武汉体育学院湖北美术学院武汉音乐学院湖北民族学院武汉生物工程学院武汉东湖学院武汉长江工商学院汉口学院湖北文理学院湖北工程学院湖北科技学院湖北理工学院武昌理工学院武昌工学院武汉商学院湖南省(32所)湖南大学中南大学湘潭大学湖南科技大学吉首大学长沙理工大学南华大学湖南工业大学湖南农业大学湖南中医药大学湖南师范大学长沙学院湖南第一师范学院湖南理工学院湖南城市学院湖南工程学院湖南工学院中南林业科技大学长沙医学院湘南学院衡阳师范学院湖南涉外经济学院湖南财政经济学院湖南商学院湖南警察学院湖南女子学院湖南人文科技学院邵阳学院湖南科技学院怀化学院湖南文理学院长沙师范学院广东省(41所)中山大学华南理工大学暨南大学汕头大学深圳大学五邑大学广东工业大学华南农业大学广东海洋大学广州中医药大学南方医科大学华南师范大学广东外语外贸大学广州大学北京师范大学-香港浸会大学联合国际学院肇庆学院东莞理工学院广东石油化工学院仲恺农业工程学院广东医学院广州医科大学广东药学院惠州学院韶关学院湛江师范学院嘉应学院韩山师范学院广东第二师范学院广东金融学院广东商学院广东警官学院广州体育学院广州美术学院星海音乐学院广东技术师范学院广东白云学院佛山科学技术学院广东培正学院广东科技学院南方科技大学广州航海学院广西壮族自治区(23所)广西大学桂林电子科技大学桂林理工大学广西医科大学广西师范大学广西民族大学广西科技大学右江民族医学院桂林医学院广西师范学院广西民族师范学院河池学院玉林师范学院广西财经学院广西艺术学院贺州学院钦州学院百色学院梧州学院桂林航天工业学院广西中医药大学广西外国语学院南宁学院海南省(6所)海南大学海南师范大学海口经济学院海南医学院琼州学院三亚学院重庆市(18所)重庆大学西南大学重庆交通大学重庆邮电大学重庆理工大学重庆医科大学重庆师范大学重庆工商大学西南政法大学重庆科技学院长江师范学院四川外国语大学四川美术学院重庆三峡学院重庆文理学院重庆警察学院重庆第二师范学院重庆人文科技学院四川省(36所)四川大学西南交通大学电子科技大学西南财经大学西南民族大学成都理工大学西华大学西南科技大学中国民用航空飞行学院四川农业大学成都中医药大学四川师范大学西华师范大学西南石油大学成都信息工程学院四川理工学院泸州医学院川北医学院成都医学院乐山师范学院内江师范学院四川文理学院四川警察学院成都体育学院四川音乐学院四川民族学院成都学院西昌学院攀枝花学院宜宾学院绵阳师范学院成都东软学院成都师范学院成都工业学院四川传媒学院四川旅游学院贵州省(18所)贵州大学贵州师范大学贵阳医学院遵义医学院贵阳中医学院毕节学院六盘水师范学院黔南民族师范学院遵义师范学院兴义民族师范学院贵州师范学院贵州财经大学贵州民族大学凯里学院安顺学院铜仁学院贵阳学院贵州理工学院云南省(22所)云南大学昆明理工大学云南农业大学西南林业大学云南师范大学云南财经大学云南民族大学昆明医科大学云南中医学院曲靖师范学院玉溪师范学院楚雄师范学院红河学院云南警官学院云南艺术学院大理学院昆明学院文山学院保山学院云南工商学院昭通学院普洱学院西藏自治区(3所)西藏大学西藏藏医学院西藏民族学院陕西省(42所)西安交通大学陕西师范大学西安电子科技大学长安大学西北农林科技大学西北工业大学西北大学延安大学西安理工大学西安建筑科技大学西安科技大学西安石油大学西安工程大学西安工业大学西安外国语大学西北政法大学陕西科技大学西安思源学院陕西国际商贸学院西安邮电大学陕西中医学院西安医学院陕西理工学院渭南师范学院咸阳师范学院榆林学院宝鸡文理学院西安财经学院西安体育学院西安美术学院西安音乐学院西京学院西安翻译学院西安文理学院安康学院商洛学院西安培华学院西安欧亚学院西安外事学院陕西服装工程学院西安航空学院陕西学前师范学院甘肃省(16所)兰州大学西北民族大学兰州理工大学兰州交通大学甘肃农业大学西北师范大学甘肃中医学院陇东学院甘肃民族师范学院天水师范学院兰州商学院甘肃政法学院河西学院兰州城市学院兰州工业学院兰州文理学院青海省(3所)青海大学青海师范大学青海民族大学宁夏回族自治区(6所)北方民族大学宁夏大学宁夏医科大学宁夏理工学院宁夏师范学院银川能源学院新疆维吾尔自治区(13所)新疆大学石河子大学塔里木大学新疆农业大学新疆医科大学新疆师范大学新疆财经大学昌吉学院喀什师范学院伊犁师范学院新疆艺术学院新疆工程学院新疆警察学院。
2022本科院校排名一览表贵州本科院校有哪些,当地排名前十强的院校都有哪十所,谁排名第一?下面小编给大家带来2022本科院校排名一览表,欢迎大家阅读,希望大家喜欢!2022本科院校排名本科院校排名no.1:贵州大学贵州大学创建于1902年,历经贵州大学堂、省立贵州大学、国立贵州农工学院、国立贵州大学等时期,1950年10月定名为贵州大学。
1997年8月,与贵州农学院等院校合并。
2004年8月,与贵州工业大学合并。
2005年9月,进入国家“211工程”大学建设行列。
创建时间学校类型学科类型隶属单位1902年公立综合贵州省人民政府本科院校排名no.2:贵州师范大学贵州师范大学地处有着“中国避暑之都”美誉的林城——贵州省省会贵阳市,现有三个校区,分别座落在云岩区、白云区(求是学院)和花溪区,占地面积3000余亩。
有全日制在校学生近3.5万人(含求是学院三本学生1.14余万人),其中本科学生2.14万人(不含求是学院三本学生)、研究生2126人。
设有20个学院、1所继续教育学院、1所独立学院(求是学院)、1个教学部。
创建时间学校类型学科类型隶属单位1941年公立师范贵州省人民政府本科院校排名no.3:贵州民族大学贵州民族大学创建于1951年5月17日,隶属贵州省人民政府,是新中国创建最早的民族院校之一。
学校现有两个校区,分别坐落于贵阳市花溪区和贵安新区大学城,占地面积2825亩,其中贵阳花溪校区1325亩、贵安新区大学城校区1500亩,校舍面积75万平方米。
学校图书馆有纸质图书187万册、电子图书101万册、数字资源27个TB。
创建时间学校类型学科类型隶属单位1951年公立民族贵州省人民政府贵州医科大学地处祖国西南的避暑之都——林城贵阳。
其前身为创建于1938年的国立贵阳医学院,是当时隶属于教育部的九所国立医学院校之一。
1950年更名为贵阳医学院,2015年更名为贵州医科大学,是贵州省唯一拥有医学学士——硕士——博士完整人才培养体系的省属重点高校。
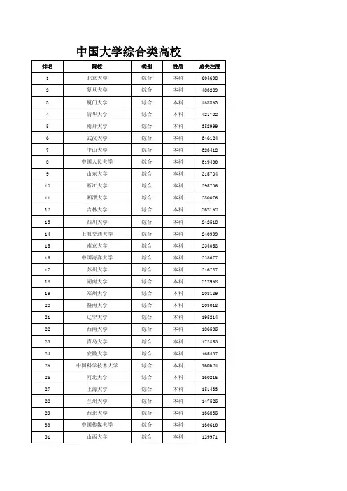
排名院校类别性质总关注度1北京大学综合本科6046982复旦大学综合本科4832893厦门大学综合本科4588634清华大学综合本科4217025南开大学综合本科3529996武汉大学综合本科3461247中山大学综合本科3234128中国人民大学综合本科3194009山东大学综合本科31570410浙江大学综合本科29570611湘潭大学综合本科28007612吉林大学综合本科26216213四川大学综合本科24251814上海交通大学综合本科24099915南京大学综合本科23405816中国海洋大学综合本科22367717苏州大学综合本科21678718湖南大学综合本科21296819郑州大学综合本科20818920暨南大学综合本科20301821辽宁大学综合本科19521422西南大学综合本科18650523青岛大学综合本科17285324安徽大学综合本科16543725中国科学技术大学综合本科16062426河北大学综合本科16021627上海大学综合本科15143328兰州大学综合本科14752529西北大学综合本科13683530中国传媒大学综合本科13061031山西大学综合本科129971
中国大学综合类高校32中央民族大学综合本科12883833天津师范大学综合本科12786034广州大学综合本科12768035烟台大学综合本科12496136南昌大学综合本科12272937中国石油大学(华东)综合本科12103338河北科技大学综合本科11973939河南大学综合本科11902840云南大学综合本科11515841海南大学综合本科11450542延边大学综合本科11435643广西大学综合本科11410144宁波诺丁汉大学综合民办本科11375445北京联合大学综合本科11275946重庆工商大学综合本科11242847黑龙江大学综合本科10774748汕头大学综合本科10681249深圳大学综合本科10579150内蒙古大学综合本科10393851贵州大学综合本科10378652西华大学综合本科10264753中国石油大学(北京)综合本科10173054中南林业科技大学综合本科10004255兰州交通大学综合本科9411256集美大学综合本科9357157新疆大学综合本科9290658扬州大学综合本科9114059中北大学综合本科9068860鲁东大学综合本科9044761湖南科技大学综合本科8990662北京师范大学-香港浸会大学联合国际学院综合民办本科8985363北京城市学院综合民办本科8968064湖北大学综合本科8937265大连大学综合本科8867966宁波大学综合本科8533167吉首大学综合本科8488468厦门理工学院综合本科8481369长江大学综合本科8413870河南理工大学综合本科8300971三峡大学综合本科8262872河北工程大学综合本科7888073北京物资学院综合本科7871874中国民用航空飞行学院综合本科7589875石河子大学综合本科7570276上海商学院综合本科7321677重庆三峡学院综合本科7273478山西大同大学综合本科7214879青海大学综合本科6961580西北政法大学综合本科6841681河北金融学院综合本科6777082沈阳大学综合本科6762983长春大学综合本科6629684齐齐哈尔大学综合本科6592585仰恩大学综合民办本科6519186中华女子学院综合本科6517787重庆科技学院综合本科6466288宁夏大学综合本科6401089西交利物浦大学综合本科6297090广东白云学院综合民办本科6291591上海立信会计学院综合本科6153292九江学院综合本科6108293韶关学院综合本科5851194泰山学院综合本科5690995南通大学综合本科5659196河南科技学院综合本科5647297西安文理学院综合本科5639998西藏大学综合本科5567199辽东学院综合本科55402100延安大学综合本科55082101上海第二工业大学综合本科54648102河北理工大学综合本科54060103佛山科学技术学院综合本科54000104安徽科技学院综合本科53263105南昌理工学院综合本科53256106黄河科技学院综合民办本科53152107佳木斯大学综合本科52650108五邑大学综合本科52015109重庆文理学院综合本科51639110南昌工程学院综合本科51449111铜陵学院综合本科51237112山东政法学院综合本科50615113西安翻译学院综合民办本科49999114温州大学综合本科49508115合肥学院综合本科49486116吉林工商学院综合本科49453117黄山学院综合本科49250118许昌学院综合本科48739119苏州科技学院综合本科48435120河北北方学院综合本科48249121邵阳学院综合本科48165122怀化学院综合本科48145123四川警察学院综合本科47913124惠州学院综合本科47801125防灾科技学院综合本科47650126上海电机学院综合本科47502127宜宾学院综合本科47462128滨州学院综合本科47321129嘉应学院综合本科46872130肇庆学院综合本科46642131中国劳动关系学院综合本科46207132运城学院综合本科45946133西昌学院综合本科45720134邯郸学院综合本科45638135长沙学院综合本科45255136闽江学院综合本科45254137枣庄学院综合本科44828138湖南城市学院综合本科44655139浙江万里学院综合本科44373140北方民族大学综合本科43864141广东警官学院综合本科43847142宿州学院综合本科43644143巢湖学院综合本科43620144菏泽学院综合本科43448145上海杉达学院综合民办本科43325146绍兴文理学院综合本科42297147平顶山学院综合本科42186148宜春学院综合本科42110149新疆财经大学综合本科41881150黄淮学院综合本科41787151邢台学院综合本科41433152大理学院综合本科41363153沈阳工程学院综合本科41132154石家庄学院综合本科40983155成都医学院综合本科40741156台州学院综合本科40397157湖南涉外经济学院综合民办本科40208158唐山学院综合本科40186159山东警察学院综合本科40069160上海建桥学院综合民办本科39945161黑龙江东方学院综合民办本科39582162烟台南山学院综合民办本科39578163新乡学院综合本科39103164吉林农业科技学院综合本科38594165哈尔滨学院综合本科38453166莆田学院综合本科38435167晋中学院综合本科38022168河池学院综合本科37663169塔里木大学综合本科37578170滁州学院综合本科37373171浙江传媒学院综合本科37329172孝感学院综合本科37282173龙岩学院综合本科37252174湘南学院综合本科37055175三明学院综合本科36313176榆林学院综合本科35972177兰州城市学院综合本科35717178济宁学院综合本科35682179衡水学院综合本科35601180皖西学院综合本科35505181河西学院综合本科35253182湖南科技学院综合本科33966183赤峰学院综合本科33958184红河学院综合本科33934185梧州学院综合本科33594186长治学院综合本科33305187呼伦贝尔学院综合本科33019188吉林医药学院综合本科32608189浙江中医药大学综合本科32364190湖南工学院综合本科32116191陇东学院综合本科31493192琼州学院综合本科31390193安康学院综合本科31243194三江学院综合民办本科31217195白城师范学院综合本科31052196贵阳学院综合本科30570197百色学院综合本科30436198绥化学院综合本科29639199西京学院综合民办本科29183200黑河学院综合本科28667201仲恺农业工程学院综合本科28650202宁夏理工学院综合民办本科28377203钦州学院综合本科28089204湖北警官学院综合本科27095205云南警官学院综合本科26963206北京吉利大学综合民办本科26901207辽宁科技学院综合本科25386208昌吉学院综合本科25244209江西蓝天学院综合民办本科25085210宁夏师范学院综合本科24267211湖南人文科技学院综合本科23782212凯里学院综合本科23595213毕节学院综合本科23439214铜仁学院综合本科21413215安顺学院综合本科21001216商洛学院综合本科20658217荆楚理工学院综合本科20382218兰州外语职业学院综合民办本科19958219青岛恒星职业技术学院综合民办本科19868220厦门华夏职业学院综合民办本科19066221民办四川天一学院综合民办本科17650222私立华联学院综合民办本科17539223江西服装学院综合民办本科15662224广东岭南职业技术学院综合民办本科15494225北京北大方正软件职业技术学院综合民办本科14939226北京科技职业学院综合民办本科14179227辽宁广告职业学院综合民办本科13999228福州英华职业学院综合民办本科13694229石家庄法商职业学院综合民办本科13509
全国普通高校名单(按地域划分)序号学校名称主管部门所在地层次北京市1北京大学教育部北京市本科2中国人民大学教育部北京市本科3清华大学教育部北京市本科4北京交通大学教育部北京市本科5北京科技大学教育部北京市本科6中国石油大学教育部北京市本科7北京邮电大学教育部北京市本科8北京化工大学教育部北京市本科9中国农业大学教育部北京市本科10北京林业大学教育部北京市本科11北京中医药大学教育部北京市本科12北京师范大学教育部北京市本科13北京外国语大学教育部北京市本科14北京语言大学教育部北京市本科15对外经济贸易大学教育部北京市本科16中央财经大学教育部北京市本科17中国政法大学教育部北京市本科18中央民族大学国家民委北京市本科19中国人民公安大学公安部北京市本科20中国协和医科大学卫生部北京市本科21北京体育大学国家体育总局北京市本科22北京理工大学国防科工委北京市本科23北京航空航天大学国防科工委北京市本科24北京工商大学北京市北京市本科25北京联合大学北京市北京市本科26北京工业大学北京市北京市本科27北方工业大学北京市北京市本科28首都医科大学北京市北京市本科29首都师范大学北京市北京市本科30首都经济贸易大学北京市北京市本科31中国传媒大学教育部北京市本科32国际关系学院教育部北京市本科33中央戏剧学院教育部北京市本科34中央美术学院教育部北京市本科35中央音乐学院教育部北京市本科36北京电子科技学院中央办公厅北京市本科37外交学院外交部北京市本科38中国劳动关系学院中华全国总工会北京市本科39中国青年政治学院共青团中央北京市本科40中华女子学院中华妇女联合会北京市本科41北京建筑工程学院北京市北京市本科42北京机械工业学院北京市北京市本科43北京服装学院北京市北京市本科44北京印刷学院北京市北京市本科45北京信息工程学院北京市北京市本科46北京石油化工学院北京市北京市本科47首钢工学院北京市北京市本科48北京农学院北京市北京市本科49首都体育学院北京市北京市本科50北京第二外国语学院北京市北京市本科51北京物资学院北京市北京市本科52中国音乐学院北京市北京市本科53中国戏曲学院北京市北京市本科54北京舞蹈学院北京市北京市本科55北京电影学院北京市北京市本科56北京城市学院北京市教委北京市本科57北京青年政治学院北京市北京市专科北京市教委北京市专科58北京科技经营管理学院北京市北京市专科59北京电子科技职业学院北京市北京市专科60北京信息职业技术学院北京市北京市专科61北京工业职业技术学院北京市教委北京市专科62北京经济技术职业学院63北京培黎职业学院北京市教委北京市专科64北京政法职业学院北京市北京市专科北京市北京市专科65北京现代职业技术学院66北京财贸职业学院北京市北京市专科67燕京华侨职业学院北京市教委北京市专科北京市北京市专科68北京艺术设计职业学院北京市北京市专科69北京京北职业技术学院北京市北京市专科70北京交通职业技术学院北京市北京市专科71北京戏曲艺术职业学院北京市教委北京市专科72北京北大方正软件职业北京市教委北京市专科73北京锡华国际经贸职业74北京经贸职业学院北京市教委北京市专科75北京汇佳职业学院北京市教委北京市专科76北京科技职业学院北京市教委北京市专科77北京农业职业学院北京市北京市专科78北京吉利大学北京市教委北京市专科浙江省 1浙江大学教育部杭州市本科2宁波大学浙江省宁波市本科3浙江工业大学浙江省杭州市本科4杭州电子科技大学浙江省杭州市本科5浙江理工大学浙江省杭州市本科6浙江师范大学浙江省金华市本科7浙江工商大学浙江省杭州市本科8浙江科技学院浙江省杭州市本科9中国计量学院浙江省杭州市本科10嘉兴学院浙江省嘉兴市本科11宁波工程学院浙江省宁波市本科12浙江海洋学院浙江省杭州市本科13浙江林学院浙江省临安市本科14浙江中医学院浙江省杭州市本科15温州医学院浙江省温州市本科16杭州师范学院浙江省杭州市本科17台州学院浙江省临海市本科18绍兴文理学院浙江省绍兴市本科19湖州师范学院浙江省湖州市本科20温州师范学院浙江省温州市本科21浙江传媒学院浙江省杭州市本科22浙江财经学院浙江省杭州市本科23中国美术学院浙江省杭州市本科24丽水学院浙江省丽水市本科25浙江万里学院浙江省宁波市本科26浙江树人学院浙江省教育厅杭州市本科公安部宁波市专科27公安海警高等专科学校28浙江水利水电专科学校浙江省杭州市专科浙江省专科29浙江医学高等专科学校浙江省宁波市专科30浙江医药高等专科学校31浙江公安高等专科学校浙江省杭州市专科32温州大学浙江省温州市专科33金华职业技术学院浙江省金华市专科34宁波职业技术学院浙江省宁波市专科35温州职业技术学院浙江省温州市专科浙江省杭州市专科36浙江交通职业技术学院浙江省绍兴市专科37绍兴越秀外国语职业学38宁波大红鹰职业技术学浙江省教育厅宁波市专科浙江省宁波市专科39浙江工贸职业技术学院40台州职业技术学院浙江省台州市专科浙江省宁波市专科41浙江工商职业技术学院42浙江艺术职业学院浙江省杭州市专科浙江省宁波市专科43宁波城市职业技术学院44杭州万向职业技术学院浙江省教育厅杭州市专科浙江省教育厅专科45嘉兴南洋职业技术学院浙江省教育厅专科46浙江广厦建设职业技术浙江省教育厅杭州市专科47浙江东方职业技术学院浙江省义乌市专科48义乌工商职业技术学院浙江省教育厅杭州市专科49浙江育英职业技术学院浙江省宁波市专科50宁波天一职业技术学院浙江省杭州市专科51浙江商业职业技术学院浙江省教育厅专科52浙江长征职业技术学院浙江省绍兴市专科53浙江工业职业技术学院浙江省杭州市专科54浙江建设职业技术学院55浙江旅游职业学院浙江省杭州市专科浙江省杭州市专科56浙江经济职业技术学院57浙江金融职业学院浙江省杭州市专科58浙江警官职业学院浙江省杭州市专科浙江省杭州市专科59浙江经贸职业技术学院60绍兴托普信息职业技术浙江省教育厅绍兴市专科61杭州职业技术学院浙江省杭州市专科浙江省宁波市专科62浙江纺织服装职业技术63嘉兴职业技术学院浙江省嘉兴市专科64湖州职业技术学院浙江省湖州市专科65衢州职业技术学院浙江省衢州市专科66丽水职业技术学院浙江省丽水市专科浙江省杭州市专科67浙江机电职业技术学院上海市 1复旦大学教育部上海市本科2同济大学教育部上海市本科3上海交通大学教育部上海市本科4华东理工大学教育部上海市本科5东华大学教育部上海市本科6华东师范大学教育部上海市本科7上海外国语大学教育部上海市本科8上海财经大学教育部上海市本科9上海大学上海市上海市本科10上海理工大学上海市上海市本科11上海海事大学上海市上海市本科12上海工程技术大学上海市上海市本科13上海水产大学上海市上海市本科14上海第二医科大学上海市上海市本科15上海中医药大学上海市上海市本科16上海师范大学上海市上海市本科17上海政法学院上海市上海市本科18上海应用技术学院上海市上海市本科19上海第二工业大学上海市上海市本科20上海电力学院上海市上海市本科21上海电机学院上海市上海市本科22上海对外贸易学院上海市上海市本科23上海立信会计学院上海市上海市本科24上海金融学院上海市上海市本科25华东政法学院上海市上海市本科26上海体育学院上海市上海市本科27上海音乐学院上海市上海市本科28上海戏剧学院上海市上海市本科29上海商学院上海市上海市本科30上海杉达学院上海市教委上海市本科海关总署上海市专科31上海海关高等专科学校上海市上海市专科32上海医疗器械高等专科33上海出版印刷高等专科上海市上海市专科上海市上海市专科34上海旅游高等专科学校上海市上海市专科35上海公安高等专科学校36上海电影艺术职业学院上海市教委上海市专科上海市教委上海市专科37上海新侨职业技术学院上海市教委上海市专科38上海东海职业技术学院上海市教委上海市专科39上海立达职业技术学院上海市教委上海市专科40上海东方文化职业学院上海市教委上海市专科41上海中华职业技术学院上海市上海市专科42上海工艺美术职业学院上海市教委上海市专科43上海托普信息技术职业上海市教委上海市专科44上海邦德职业技术学院上海市教委上海市专科45上海中侨职业技术学院上海市教委上海市专科46上海思博职业技术学院上海市教委上海市专科47上海欧华职业技术学院上海市上海市专科48上海农林职业技术学院上海市教委上海市专科49上海建桥职业技术学院上海市上海市专科50上海城市管理职业技术上海市上海市专科51上海科学技术职业学院上海市上海市专科52上海海事职业技术学院上海市教委上海市专科53上海工商外国语职业学上海市上海市专科54上海交通职业技术学院上海市教委上海市专科55上海济光职业技术学院56上海行健职业学院上海市上海市专科上海市上海市专科57上海电子信息职业技术上海市上海市专科58上海建峰职业技术学院59上海民远职业技术学院上海市教委上海市专科吉林省 1吉林大学教育部长春市本科2东北师范大学教育部长春市本科3延边大学吉林省延吉市本科4北华大学吉林省吉林市本科5长春大学吉林省长春市本科6长春理工大学吉林省长春市本科7长春工业大学吉林省长春市本科8吉林农业大学吉林省长春市本科9吉林师范大学吉林省四平市本科10东北电力学院吉林省吉林市本科11吉林建筑工程学院吉林省长春市本科12吉林化工学院吉林省吉林市本科13长春工程学院吉林省长春市本科14吉林农业科技学院吉林省吉林市本科15长春中医学院吉林省长春市本科16吉林医药学院吉林省本科17白城师范学院吉林省白城市本科18通化师范学院吉林省通化市本科19长春师范学院吉林省长春市本科吉林省长春市本科20吉林工程技术师范学院21吉林华桥外国语学院吉林省教育厅长春市本科22长春税务学院吉林省长春市本科23吉林体育学院吉林省长春市本科24吉林艺术学院吉林省长春市本科25白城医学高等专科学校吉林省白城市专科吉林省长春市专科26长春汽车工业高等专科吉林省长春市专科27吉林粮食高等专科学校28长春医学高等专科学校吉林省长春市专科吉林省长春市专科29吉林财税高等专科学校吉林省长春市专科30长春金融高等专科学校吉林省长春市专科31吉林商业高等专科学校吉林省长春市专科32吉林公安高等专科学校吉林省教育厅长春市专科33吉林对外经贸职业学院34长春东方职业学院吉林省教育厅长春市专科35四平职业大学吉林省四平市专科吉林省吉林省专科36吉林交通职业技术学院37辽源职业技术学院吉林省辽源市专科38长春职业技术学院吉林省长春市专科吉林省吉林市专科39吉林工业职业技术学院吉林省吉林市专科40吉林电子信息职业技术吉林省教育厅长春市专科41长春信息技术职业学院吉林省公主岭市专科42吉林农业工程职业技术吉林省长春市专科43吉林司法警官职业学院44松原职业技术学院吉林省松原市专科湖南省1中南大学教育部长沙市本科2湖南大学教育部长沙市本科3湘潭大学湖南省湘潭市本科4湖南科技大学湖南省湘潭市本科5吉首大学湖南省吉首市本科6长沙理工大学湖南省长沙市本科7南华大学湖南省衡阳市本科8湖南农业大学湖南省长沙市本科9湖南师范大学湖南省长沙市本科10长沙学院湖南省长沙市本科11湖南理工学院湖南省岳阳市本科12株洲工学院湖南省株洲市本科13湖南城市学院湖南省益阳市本科14湖南工程学院湖南省湘潭市本科15中南林学院湖南省株洲市本科16湖南中医学院湖南省长沙市本科17长沙医学院湖南省教育厅衡阳市本科18衡阳师范学院湖南省衡阳市本科19湘南学院湖南省郴州市本科20湖南涉外经济学院湖南省教育厅长沙市本科21湖南商学院湖南省长沙市本科22湖南文理学院湖南省常德市本科23怀化学院湖南省怀化市本科24湖南科技学院湖南省永州市本科25邵阳学院湖南省邵阳市本科26湖南人文科技学院湖南省娄底市本科27湖南建材高等专科学校湖南省衡阳市专科湖南省怀化市专科28怀化医学高等专科学校湖南省邵阳市专科29邵阳医学高等专科学校30湖南中医药高等专科学湖南省专科湖南省株洲市专科31株洲师范高等专科学校32湖南省第一师范学校湖南省长沙市专科33湖南财经高等专科学校湖南省长沙市专科湖南省长沙市专科34湖南税务高等专科学校湖南省长沙市专科35湖南公安高等专科学校总装备部长沙市专科36长沙航空职业技术学院湖南省株洲市专科37湖南铁道职业技术学院湖南省衡阳市专科38湖南环境生物职业技术39长沙民政职业技术学院湖南省长沙市专科湖南省长沙市专科40湖南工业职业技术学院湖南省长沙市专科41湖南信息职业技术学院42湖南冶金职业技术学院湖南省株洲市专科43湖南女子职业大学湖南省长沙市专科湖南省长沙市专科44湖南大众传媒职业技术45永州职业技术学院湖南省永州市专科46湖南同德职业学院湖南省教育厅专科47益阳职业技术学院湖南省益阳市专科湖南省专科48衡阳财经工业职业技术49怀化职业技术学院湖南省专科湖南省专科50长沙商贸旅游职业技术51长沙师范学校湖南省长沙市专科湖南省专科52湘西民族职业技术学院53湖南网络工程职业学院湖南省专科湖南省专科54湖南理工职业技术学院湖南省专科55长沙电力职业技术学院56湖南现代物流职业技术湖南省专科湖南省专科57湖南司法警官职业学院58岳阳职业技术学院湖南省专科59湖南九嶷职业技术学院湖南省教育厅专科湖南省教育厅专科60湖南科技经贸职业学院湖南省专科61湖南石油化工职业技术湖南省长沙市专科62长沙环境保护职业技术湖南省长沙市专科63湖南工程职业技术学院湖南省专科64湖南铁路科技职业技术65保险职业学院湖南省专科湖南省专科66湖南城建职业技术学院67潇湘职业学院湖南省教育厅娄底市专科湖南省教育厅长沙市专科68长沙社会安全职业技术69湖南化工职业技术学院湖南省专科湖南省专科70长沙特殊教育职业学院71株洲职业技术学院湖南省专科72邵阳职业技术学院湖南省专科湖南省专科73湖南对外经济贸易职业74湖南民族职业学院湖南省专科湖南省专科75湖南工艺美术职业学院76郴州职业技术学院湖南省郴州市专科77湖南交通职业技术学院湖南省长沙市专科78娄底职业技术学院湖南省娄底市专科湖南省专科79湖南水利水电职业技术湖南省长沙市专科80长沙通信职业技术学院湖南省张家界市专科81张家界航空工业职业技湖南省长沙市专科82湖南生物与机电工程职湖南省长沙市专科83湖南商务职业技术学院84湖南科技职业学院湖南省长沙市专科85湖南体育职业学院湖南省长沙市专科湖南省长沙市专科86湖南机电职业技术学院87湖南软件职业学院湖南省教育厅专科湖南省专科88湖南交通工程职业技术89常德职业技术学院湖南省专科90湖南艺术职业学院湖南省长沙市专科湖南省教育厅专科91湖南信息科学职业学院92长沙南方职业学院湖南省教育厅长沙市专科93湘潭职业技术学院湖南省湘潭市专科宁夏 1宁夏大学自治区政府银川市本科2西北第二民族学院国家民委银川市本科3宁夏理工学院宁夏教育厅石嘴山本科4宁夏医学院自治区政府银川市本科5固原师范高等专科学校自治区政府固原县专科6吴忠职业技术学院宁夏教育厅吴忠市专科自治区政府专科7宁夏建设职业技术学院自治区政府专科8宁夏司法警官职业学院自治区政府专科9宁夏财经职业技术学院自治区政府专科10宁夏经贸职业技术学院11宁夏职业技术学院自治区政府银川市专科12宁夏工业职业学院自治区政府银川市专科13银川科技职业学院宁夏区教育厅银川市专科辽宁省 1大连理工大学教育部大连市本科2东北大学教育部沈阳市本科3大连海事大学交通部大连市本科4辽宁大学辽宁省沈阳市本科5大连大学辽宁省大连市本科6沈阳大学辽宁省沈阳市本科7沈阳理工大学辽宁省沈阳市本科8辽宁工程技术大学辽宁省阜新市本科9沈阳工业大学辽宁省沈阳市本科10沈阳建筑大学辽宁省沈阳市本科11辽宁石油化工大学辽宁省抚顺市本科12大连交通大学辽宁省大连市本科13鞍山科技大学辽宁省鞍山市本科14沈阳农业大学辽宁省沈阳市本科15中国医科大学辽宁省沈阳市本科16大连医科大学辽宁省大连市本科17沈阳药科大学辽宁省沈阳市本科18辽宁师范大学辽宁省大连市本科19沈阳师范大学辽宁省沈阳市本科20渤海大学辽宁省锦州市本科21东北财经大学辽宁省大连市本科22大连民族学院国家民委大连市本科23中国刑事警察学院公安部沈阳市本科24沈阳化工学院辽宁省沈阳市本科25大连轻工业学院辽宁省大连市本科26辽宁工学院辽宁省锦州市本科27沈阳航空工业学院辽宁省沈阳市本科28沈阳工程学院辽宁省沈阳市本科29辽宁科技学院辽宁省本溪市本科30大连水产学院辽宁省大连市本科31辽宁中医学院辽宁省沈阳市本科32锦州医学院辽宁省锦州市本科33沈阳医学院辽宁省沈阳市本科34鞍山师范学院辽宁省鞍山市本科35大连外国语学院辽宁省大连市本科36沈阳体育学院辽宁省沈阳市本科37鲁迅美术学院辽宁省沈阳市本科38沈阳音乐学院辽宁省沈阳市本科39辽宁对外经贸学院辽宁省教育厅大连市本科40辽东学院辽宁省丹东市本科辽宁省沈阳市专科41辽宁交通高等专科学校辽宁省抚顺市专科42抚顺师范高等专科学校辽宁省铁岭市专科43铁岭师范高等专科学校辽宁省锦州市专科44锦州师范高等专科学校辽宁省朝阳市专科45朝阳师范高等专科学校辽宁省大连市专科46辽宁税务高等专科学校辽宁省大连市专科47辽宁警官高等专科学校48阜新高等专科学校辽宁省阜新市专科辽宁省鞍山市专科49鞍山市高等职业专科学50辽阳职业技术学院辽宁省辽阳市专科51大连职业技术学院辽宁省大连市专科52抚顺职业技术学院辽宁省抚顺市专科53渤海船舶职业学院辽宁省葫芦岛市专科54辽宁农业职业技术学院辽宁省营口市专科55营口职业技术学院辽宁省营口市专科56大连商务职业学院辽宁省教育厅大连市专科57盘锦职业技术学院辽宁省盘锦市专科58沈阳职业技术学院辽宁省沈阳市专科辽宁省专科59辽宁体育运动职业技术辽宁省铁岭市专科60铁岭农业职业技术学院61沈阳航空职业技术学院辽宁省沈阳市专科62大连艺术职业学院辽宁省教育厅大连市专科辽宁省教育厅大连市专科63大连东软信息技术职业辽宁省专科64辽宁信息职业技术学院65辽宁广告职业学院辽宁省教育厅专科辽宁省专科66辽宁机电职业技术学院辽宁省专科67辽宁经济职业技术学院辽宁省专科68辽宁石化职业技术学院辽宁省专科69辽宁林业职业技术学院70辽宁金融职业学院辽宁省专科71锦州商务职业学院辽宁省教育厅锦州市专科72辽宁美术职业学院辽宁省教育厅专科73大连软件职业学院辽宁省教育厅大连市专科74大连翻译职业学院辽宁省教育厅大连市专科75大连枫叶职业技术学院辽宁省教育厅大连市专科76辽宁商贸职业学院辽宁省专科四川省 1四川大学教育部成都市本科2西南交通大学教育部成都市本科3电子科技大学教育部成都市本科4西南财经大学教育部成都市本科5西南民族大学国家民委成都市本科6成都理工大学四川省成都市本科7西华大学四川省成都市本科8西南科技大学四川省绵阳市本科9四川农业大学四川省雅安市本科10成都中医药大学四川省成都市本科11四川师范大学四川省成都市本科12西华师范大学四川省南充市本科民用航空总局广汉市本科13中国民用航空飞行学院14西南石油学院四川省南充市本科15四川理工学院四川省自贡市本科16成都信息工程学院四川省成都市本科17泸州医学院四川省泸州市本科18川北医学院四川省南充市本科19成都医学院四川省成都市本科20内江师范学院四川省内江市本科21乐山师范学院四川省乐山市本科22成都体育学院四川省成都市本科23四川音乐学院四川省成都市本科24成都学院四川省成都市本科25攀枝花学。
序号学校名称主管部门所在地办学层次1北京大学教育部北京市本科2中国人民大学教育部北京市本科3清华大学教育部北京市本科4北京交通大学教育部北京市本科5北京科技大学教育部北京市本科6北京化工大学教育部北京市本科7北京邮电大学教育部北京市本科8中国农业大学教育部北京市本科9北京林业大学教育部北京市本科10北京中医药大学教育部北京市本科11北京师范大学教育部北京市本科12北京外国语大学教育部北京市本科13北京语言大学教育部北京市本科14中央财经大学教育部北京市本科15对外经济贸易大学教育部北京市本科16中国政法大学教育部北京市本科17华北电力大学教育部北京市本科18中国石油大学教育部北京市本科19中央民族大学国家民委北京市本科20中国人民公安大学公安部北京市本科21北京协和医学院国家卫生和计划生育委员会北京市本科22北京体育大学国家体育总局北京市本科23北京航空航天大学工业和信息化部北京市本科24北京理工大学工业和信息化部北京市本科25中国科学院大学中国科学院北京市本科26北京工业大学北京市北京市本科
全国普通高等学校名单北京市(84所)
附件1:
(截至2013年6月21日)(共2198所)
第 1 页,共 70 页序号学校名称主管部门所在地办学层次27北方工业大学北京市北京市本科28北京工商大学北京市北京市本科29北京建筑大学北京市北京市本科30首都医科大学北京市北京市本科31首都师范大学北京市北京市本科32首都经济贸易大学北京市北京市本科33北京信息科技大学北京市北京市本科34北京联合大学北京市北京市本科35中国传媒大学教育部北京市本科36国际关系学院教育部北京市本科37中央音乐学院教育部北京市本科38中央美术学院教育部北京市本科39中央戏剧学院教育部北京市本科40北京电子科技学院中央办公厅北京市本科41外交学院外交部北京市本科42中国劳动关系学院中华全国总工会北京市本科43中国青年政治学院共青团中央北京市本科44中华女子学院中华妇女联合会北京市本科45北京服装学院北京市北京市本科46北京印刷学院北京市北京市本科47北京石油化工学院北京市北京市本科48北京农学院北京市北京市本科49首都体育学院北京市北京市本科50北京第二外国语学院北京市北京市本科51北京物资学院北京市北京市本科52中国音乐学院北京市北京市本科53中国戏曲学院北京市北京市本科54北京电影学院北京市北京市本科55北京舞蹈学院北京市北京市本科56北京城市学院北京市教委北京市本科57首钢工学院北京市北京市本科58北京警察学院北京市北京市本科第 2 页,共 70 页序号学校名称主管部门所在地办学层次59北京青年政治学院北京市北京市专科60北京工业职业技术学院北京市北京市专科61北京信息职业技术学院北京市北京市专科62北京电子科技职业学院北京市北京市专科63北京吉利大学北京市教委北京市专科64北京社会管理职业学院北京市北京市专科65北京新圆明职业学院北京市教委北京市专科66北京体育职业学院北京市北京市专科67北京交通运输职业学院北京市北京市专科68北京卫生职业学院北京市北京市专科69北京京北职业技术学院北京市北京市专科70北京交通职业技术学院北京市北京市专科71北京农业职业学院北京市北京市专科72北京政法职业学院北京市北京市专科73北京财贸职业学院北京市北京市专科74北京北大方正软件职业技术学院北京市教委北京市专科75北京经贸职业学院北京市教委北京市专科76北京经济技术职业学院北京市教委北京市专科77北京戏曲艺术职业学院北京市北京市专科78北京汇佳职业学院北京市教委北京市专科79北京现代职业技术学院北京市北京市专科80北京科技经营管理学院北京市教委北京市专科81北京科技职业学院北京市教委北京市专科82北京培黎职业学院北京市教委北京市专科83北京经济管理职业学院北京市北京市专科84北京劳动保障职业学院北京市北京市专科
东北地区一、黑龙江省哈尔滨(25所):∙哈尔滨工业大学[985、211]∙哈尔滨工程大学[211]∙东北林业大学[211]∙东北农业大学[211]∙哈尔滨理工大学∙黑龙江大学∙黑龙江中医药大学∙哈尔滨商业大学∙哈尔滨师范大学∙哈尔滨医科大学∙哈尔滨学院∙哈尔滨金融学院∙哈尔滨体育学院∙黑龙江工程学院∙黑龙江工程学院昆仑旅游学院∙黑龙江科技大学[13年升格]∙黑龙江工商学院[15年原东北农业大学成栋学院更名]∙哈尔滨剑桥学院[民办]∙哈尔滨远东理工学院[民办]∙黑龙江外国语学院[民办]∙黑龙江东方学院[民办]∙哈尔滨广厦学院[民办、2013年原哈理工广厦学院升格]∙哈尔滨石油学院[民办、2012年原东石油华瑞学院更名]∙黑龙江财经学院[民办、2013年原哈尔滨德强商务学院更名]∙哈尔滨华德学院[民办、2011年原哈工大华德学院]大庆(3所)∙东北石油大学∙大庆师范学院∙黑龙江八一农垦大学齐齐哈尔(3所)∙齐齐哈尔大学∙齐齐哈尔医学院∙齐齐哈尔工程学院[民办]牡丹江(2所)∙牡丹江师范学院∙牡丹江医学院其他地區:∙黑河学院∙佳木斯大学∙绥化学院∙黑龙江工业学院(原鸡西大学,13年升格)二、吉林省长春市(26所)∙吉林大学(985、211)∙东北师范大学(211)∙长春大学∙吉林工程技术师范学院∙吉林农业大学∙吉林财经大学∙长春理工大学∙长春工业大学∙长春中医药大学∙长春师范大学[13年学院改大学]∙长春建筑学院[11年原吉林建筑工程学院更名]∙长春工程学院∙吉林工商学院∙吉林体育学院∙吉林艺术学院∙吉林警察学院∙吉林建筑大学城建学院(13年原吉林建筑工程学院城建学院)∙长春光华学院[13年原长春大学光华学院]∙长春财经学院[14年原吉林财经大学信息经济学院]∙长春科技学院[13年原吉林农业大学发展学院]∙长春工业大学人文信息学院∙长春大学旅游学院∙东北师范大学人文学院∙长春理工大学光电信息学院∙吉林动画学院[民办]∙吉林华桥外国语学院[民办]∙长春汽车工业高等专科学校∙长春医学高等专科学校∙长春金融高等专科学校∙长春东方职业学院∙吉林交通职业技术学院∙长春职业技术学院∙吉林司法警官职业学院∙长春信息技术职业学院吉林市(8所)∙东北电力大学∙北华大学∙吉林农业科技学院∙吉林化工学院∙吉林医药学院∙北华大学师范分院∙吉林传播学院[民办]∙吉林工商管理专修学院[民办]∙吉林工业职业技术学院∙吉林电子信息职业技术学院∙吉林铁道职业技术学院其他地區:∙延边大学(211)∙吉林师范大学(四平)∙吉林师范大学博达学院∙通化师范学院∙白城师范学院∙白城职业技术学院∙白城医学高专∙松原职业技术学院∙辽源职业技术学院∙长白山职业技术学院三、辽宁省沈陽[23个]∙东北大学(985、211)∙辽宁大学(211)∙中国医科大学∙沈阳药科大学∙沈阳农业大学∙沈阳工业大学∙沈阳建筑大学∙沈阳师范大学∙沈阳化工大学∙沈阳理工大学∙沈阳航空航天大学∙沈阳大学∙中国刑事警察学院∙沈阳体育学院∙鲁迅美术学院∙沈阳音乐学院∙沈阳医学院∙沈阳工程学院∙辽宁中医药大学∙沈阳工学院[14年沈阳理工大学应用技术学院与沈阳农业大学科学技术学院合并改立]∙沈阳城市建设学院[民办、13年升格]∙沈阳城市学院∙辽宁何氏医学院[民办、13年原沈阳大学科技工程学院更名]大連[15个]∙大连理工大学(985)∙大连海事大学(211)∙东北财经大学∙辽宁师范大学∙大连医科大学∙大连交通大学∙大连大学∙大连海洋大学∙大连工业大学∙大连外国语大学∙大连科技学院∙大连东软信息学院∙大连艺术学院∙大连民族学院∙辽宁对外经贸学院[民办]鞍山∙辽宁科技大学∙鞍山师范学院锦州∙辽宁工业大学∙渤海大学∙辽宁医学院其他地區:∙辽东学院[丹东]∙辽宁工程技术大学[阜新]∙辽宁石油化工大学[抚顺]∙辽宁科技学院[04年升格,本溪]∙营口理工学院[13年创立]∙辽宁经贸学院[兴城市、民办、原沈阳师范大学渤海学院]华北地区四、北京[65个]∙清华大学(985、211)∙北京大学(985、211)∙中国人民大学(985、211)∙北京师范大学(985、211)∙北京航空航天大学(985、211)∙中国农业大学(985、211)∙中央民族大学(985、211)∙北京理工大学(985、211)∙中国政法大学(211)∙北京交通大学(211)∙北京科技大学(211)∙北京邮电大学(211)∙中央财经大学(211)∙中国石油大学(总部位于东营)∙中国矿业大学(总部位于徐州)∙中国地质大学(总部位于武汉)∙中国传媒大学(211)∙华北电力大学(211)∙北京化工大学(211)∙北京林业大学(211)∙对外经济贸易大学(211)∙北京中医药大学(211)∙北京外国语大学(211)∙北京工业大学(211)∙北京体育大学(211)∙中央音乐学院(211)∙外交学院(外交部直属)∙中华女子学院(全国妇联直属)∙中国人民公安大学(公安部直属)∙中国青年政治学院(共青团中央直属)∙北京电子科技学院(中央办公厅直属)∙中国劳动关系学院(全国总工会直属)∙中国科学院大学(中国科学院直属)∙北京服装学院∙北京建筑大学[2013年原北京建筑工程学院更名]∙北京信息科技大学∙北京印刷学院∙首都师范大学∙北京工商大学∙北京联合大学∙北京语言大学∙北方工业大学∙北京物资学院∙中央美术学院∙中国音乐学院∙中国戏曲学院∙中央戏剧学院∙北京舞蹈学院∙北京电影学院∙国际关系学院∙首都医科大学∙首都经济贸易大学∙北京农学院∙北京石油化工学院∙首钢工学院∙首都体育学院∙北京民族大学∙北京第二外国语学院∙北京城市学院[民办]∙北京吉利学院[民办]∙首都师范大学科德学院∙北京工商大学嘉华学院∙北京邮电大学世纪学院∙北京工业大学耿丹学院∙北京第二外国语学院中瑞酒店管理学院∙北京人文大学[野鸡大学]∙北京建设大学[民办非学历教育]∙北京东方大学[民办非学历教育]五、天津市[18个]∙南开大学[985]∙天津大学[985]∙天津医科大学[211]∙天津中医药大学∙天津师范大学∙天津理工大学∙天津工业大学∙天津科技大学∙天津财经大学∙天津商业大学∙中国民航大学∙天津外国语大学∙天津农学院∙天津城建大学[13年升格]∙天津美术学院∙天津音乐学院∙天津体育学院∙天津职业技术师范大学∙军事交通学院∙武警后勤学院(原武警医学院)∙武警指挥学院六、河北省天津∙河北工业大学[211]保定[11个]∙华北电力大学(保定211)∙中央司法警官学院[司法部]∙河北大学∙保定学院∙河北金融学院∙河北农业大学∙河北科技学院[民办、11年原保定科技职业学院升格]∙河北大学工商学院∙华北电力大学科技学院∙河北农业大学现代科技学院∙中国地质大学长城学院石家莊[18个]∙河北经贸大学∙河北医科大学∙河北师范大学∙石家庄铁道大学∙石家庄经济学院∙河北科技大学∙河北体育学院∙石家庄学院∙河北美术学院[民办]∙河北传媒学院[民办]∙河北外国语学院[民办、12年原石家庄外语翻译职业学院升格]∙河北工程技术学院(民办,14年原石家庄城市职业学院升格)∙河北师范大学汇华学院∙河北医科大学临床学院∙河北科技大学理工学院∙河北经贸大学经济管理学院∙石家庄铁道大学四方学院∙石家庄经济学院华信学院廊坊:∙河北工业大学(211)∙北华航天工业学院∙廊坊师范学院∙中国人民武装警察部队学院[公安部]∙河北工业大学城市学院三河[5个]∙华北科技学院[国家安监局]∙防灾科技学院[国家地震局]∙燕京理工学院[民办、13年原北京化工大学北方学院更名]∙河北工业大学城市学院∙北京中医药大学东方学院秦皇島府[5个]:∙燕山大学∙河北环境工程学院[16年原中国环境管理干部学院拟更名]∙燕山大学里仁学院∙河北科技师范学院∙东北大学秦皇岛分校[211、985]唐山府[5个]∙华北理工大学[15年原河北联合大学更名]∙华北理工大学冀唐学院∙华北理工大学轻工学院∙唐山学院∙唐山师范学院邯郸:∙河北工程大学∙邯郸学院∙河北工程大学科信学院张家口:∙河北建筑工程学院∙河北北方学院承德:∙承德医学院∙河北民族师范学院[11年原承德民族师范高等专科学校升格]其他地区∙衡水学院∙邢台学院∙沧州师范学院∙河北水利电力学院[沧州、2016年原河北工程技术高等专科学校升格]∙北京交通大学海滨学院[黄骅]七、河南郑州[24个]∙解放军信息工程大学∙解放军防空兵指挥学院∙郑州大学[211]∙河南大学郑州分校∙河南农业大学∙河南工业大学∙河南财经政法大学∙华北水利水电大学∙河南中医学院∙中原工学院∙郑州轻工业学院∙郑州航空工业管理学院∙郑州师范学院∙河南工程学院∙河南牧业经济学院[2013年郑州牧业工程高专、河南商专合并]∙河南教育学院∙河南警察学院∙铁道警察学院[公安部属、2013年铁道警官高专升格]∙郑州科技学院[民办]∙黄河科技学院[民办]∙郑州财经学院[民办、2014年原郑州经贸职业学院升格]∙郑州工业应用技术学院[民办、2014年原郑州华信学院更名]∙郑州升达经贸管理学院[民办]∙郑州成功财经学院[民办、巩义、原河南财大成功学院]洛阳[4个]∙解放军外国语学院∙河南科技大学∙洛阳师范学院∙洛阳理工学院∙河南林业职业学院∙洛阳科技职业学院∙洛阳职业技术学院∙河南推拿职业学院新乡[7个]∙河南师范大学∙河南科技学院∙新乡医学院∙新乡学院∙河南师范大学新联学院∙河南科技学院新科学院∙新乡医学院三全学院∙河南机电高专∙新乡职业技术学院∙长垣烹饪职业技术学院商丘:∙商丘师范学院∙商丘学院[民办]∙商丘工学院[民办]∙商丘职业技术学院∙商丘医学高等专科学校∙商丘技师学院∙商丘广播电视大学∙永城职业学院安阳∙安阳师范学院∙安阳工学院∙安阳职业技术学院∙河南护理职业学院南阳:∙南阳师范学院∙南阳理工学院∙南阳医学高等专科学校∙河南工业职业技术学院∙南阳职业学院平顶山:∙平顶山学院∙河南城建学院∙平顶山工业职业技术学院信阳:∙解放军空军第一航空学院∙信阳师范学院∙信阳职业技术学院∙信阳农林学院开封:∙河南大学∙河南大学民生学院∙开封大学∙开封教育学院[专科]∙黄河水利职业技术学院∙开封文化艺术职业学院焦作:∙河南理工大学∙河南理工大学万方科技学院∙黄河交通学院[民办、2013年原郑州交通职业学院]∙焦作大学∙焦作师范高等专科学校∙河南工业和信息化职业学院许昌:∙许昌学院∙许昌职业技术学院∙许昌陶瓷职业学院周口:∙周口师范学院∙周口科技职业学院∙周口职业技术学院驻马店:∙黄淮学院∙驻马店职业技术学院漯河:∙漯河医学高等专科学校∙漯河职业技术学院∙漯河食品职业学院平顶山∙平顶山学院∙河南城建学院∙平顶山教育学院∙河南质量工程职业学院∙平顶山工业职业技术学院八、山西省太原、榆次[19个]∙武警太原指挥学院∙山西大学∙山西医科大学∙太原理工大学(211)∙中北大学∙山西财经大学∙太原科技大学∙山西中医学院∙太原工业学院∙太原师范学院∙晋中学院∙山西大学商务学院∙太原理工大学现代科技学院∙山西农业大学信息学院∙中北大学信息商务学院∙太原科技大学华科学院∙山西医科大学晋祠学院∙山西财经大学华商学院∙山西工商学院[民办]∙山西应用科技学院[民办]其他地区∙山西师范大学[临汾]∙山西师范大学现代文理学院∙山西农业大学[太谷]∙运城学院∙长治医学院∙长治学院∙吕梁学院北三市∙山西大同大学∙忻州师范学院九、内蒙古呼和浩特[9个]∙内蒙古大学[211]∙内蒙古工业大学∙内蒙古农业大学∙内蒙古师范大学∙内蒙古医科大学∙内蒙古财经大学∙呼和浩特民族学院[原内蒙古民族高专]∙内蒙古师范大学鸿德学院∙内蒙古大学创业学院包头市[3个]∙内蒙古科技大学∙包头师范学院∙包头医学院∙包头职业技院∙包头轻工职业技院∙包头钢铁职业技院∙包头铁道职业技院∙包头医学院职业技术学院∙内蒙古科技大学职业技术学院东蒙地區:∙内蒙古民族大学[通辽]∙呼伦贝尔学院∙赤峰学院∙通辽职业学院其他地区∙集宁师范学院[乌兰察布]∙鄂尔多斯应用技术学院∙河套学院[巴彦淖尔]华东地区十、上海[39个]∙第二军医大学∙南京政治学院[上海分院]∙武警政治部队∙复旦大学[985、211]∙同济大学[985、211]∙上海交通大学[985、211]∙华东师范大学[985、211]∙东华大学[211]∙华东理工大学[211]∙上海财经大学[211]∙上海外国语大学[211]∙上海大学[211]∙上海海关学院∙上海科技大学∙上海师范大学∙上海理工大学∙华东政法大学∙上海对外经贸大学∙上海海事大学∙上海海洋大学∙上海中医药大学∙上海工程技术大学∙上海第二工业大学∙上海应用技术大学∙上海电力学院∙上海政法学院∙上海立信会计金融学院∙上海体育学院∙上海音乐学院∙上海戏剧学院∙上海商学院∙上海警察学院∙上海健康医学院∙上海公安学院∙上海纽约大学∙上海杉达学院[民办]∙上海建桥学院[民办]∙上海兴伟学院[民办]∙上海视觉艺术学院[民办]∙上海外国语大学经济人文学院[民办]∙上海师范大学天华学院[民办]十一、江蘇省南京[39个]∙解放军理工大学[2110]∙南京陆军指挥学院[2110]∙海军指挥学院[2110]∙南京炮兵学院[2110]∙南京政治学院[2110]∙解放军国际关系学院1.南京大学[985、211]2.东南大学[985、211]3.南京师范大学[211]4.南京航空航天大学[211]5.南京理工大学[211]6.河海大学[211]7.南京农业大学[211]8.中国药科大学[211]9.南京邮电大学10.南京林业大学11.南京工业大学12.南京信息工程大学13.南京财经大学14.南京医科大学15.南京中医药大学16.南京审计大学[2015年学院改名]17.南京体育学院18.南京艺术学院19.南京工程学院20.南京晓庄学院21.三江学院22.江苏警官学院23.金陵科技学院24.南京人口管理学院25.南京森林警察学院26.中国传媒大学南广学院27.东南大学成贤学院28.南京理工大学紫金学院29.南京师范学院中北学院30.南京工业大学浦江学院31.南京艺术学院尚美学院32.南京信息工程大学滨江学院33.南京财经大学红山学院34.南京审计大学金审学院35.南京工程学院康尼学院36.南京晓庄学院行知学院37.南京航空航天大学金城学院38.江苏第二师范学院[2013年原江苏教育学院]39.南京特殊教育师范学院[2015年南京特殊教育师范学校升格]无锡∙江南大学∙无锡太湖学院∙江南大学无锡医学院∙北京大学软件与微电子学院∙东南大学(无锡分校)∙南京农业大学(无锡渔业学院)常州:∙常州大学∙河海大学常州校区∙常州工学院∙江苏理工学院[2012年原江苏技术师范学院改名]苏州∙苏州大学[211]∙苏州科技大学[2016年学院改名]∙西交利物浦大学[民办]∙昆山杜克大学[民办、昆山]∙常熟理工学院∙苏州市职业大学(苏州学院筹)∙解放军外国语学院南通∙南通大学∙南京理工学院[民办、2014年原紫琅职业技术学院升格]扬州∙扬州大学∙南京邮电大学通达学院∙扬州科技学院(筹)∙扬州工业职业技院∙江海职业技术学院镇江∙江苏大学∙江苏科技大学∙船艇学院∙中国药科大学镇江分校∙镇江高等专科学校∙江苏农林职业技院泰州∙泰州学院[2013年泰州师范高专升格]∙南京师范大学泰州学院∙南京理工大学泰州科技学院∙南京中医药大学翰林学院∙江苏农牧科技职业学院∙泰州职业技院淮海地區:徐州:∙中国矿业大学[211]∙江蘇师范大学∙徐州医科大学[2016年学院改名]∙徐州工程学院∙解放军工程兵指挥学院∙解放军空军勤务学院∙中国矿业大学徐海学院∙江苏师范学院科文学院∙徐州医科大学华方学院∙徐州开放大学连云港:∙淮海工学院∙江苏师范大学连云港校区∙淮海工学院东港学院∙南京医科大学康达学院∙连云港高等师专∙连云港职业技术学院∙江苏财会职业学院∙江苏城市职业学院连云港校区淮安:∙淮安大学[淮阴师范学院、淮阴工学院拟合并]∙南京林业大学南方学院∙江苏食品职业技院∙江苏财经职业技院∙淮安信息职业技院∙炎黄职业技术学院(涟水)盐城:∙盐城师范学院∙盐城工学院∙盐城师院黄海学院[2014年停止招生]∙盐城工学院博雅学院[2014年停止招生]∙盐城卫生职业技院∙盐城纺织职业技院∙明达职业技术学院(射阳)宿迁:∙宿迁学院∙宿迁职业技院∙宿泽达职业技院十二、浙江省杭州[19个]∙浙江大学∙中国美术学院∙中国计量大学[2016年学院改名]∙浙江理工大学∙浙江农林大学[临安]∙浙江传媒学院∙浙江中医药大学∙浙江财经大学[2013年学院改名]∙浙江工商大学∙浙江工业大学∙浙江科技学院∙浙江警察学院∙杭州师范大学∙杭州电子科技大学∙浙江外国语学院∙浙江树仁学院∙浙江水利水电学院[2013年原浙江水利水电专科学校升格]∙杭州医学院[16年杭州医专升格]∙浙江音乐学院[2016年创立]宁波∙宁波大学∙宁波工程学院∙宁波诺丁汉大学[民办]∙浙江万里学院∙公安海警学院[属于公安部]∙宁波大红鹰学院[民办]温州∙温州大学∙温州医科大学∙温州肯恩大学绍兴∙绍兴文理学院∙浙江越秀外国语学院其他∙湖州师范学院∙嘉兴学院∙浙江师范大学[金华]∙衢州学院∙浙江海洋大学[2016年学院改名、舟山]∙台州学院∙丽水学院十三、安徽省合肥[22个]:∙中国科学技术大学[985、211]∙合肥工业大学[985、211]∙解放军陆军军官学院[2110]∙解放军电子工程学院[2110]∙武警合肥指挥学院∙安徽大学[211]∙安徽医科大学∙安徽农业大学∙安徽中医药大学∙安徽建筑大学[2013年原安徽建筑工业学院改名]∙巢湖学院∙合肥学院∙合肥师范学院∙安徽新华学院[民办]∙安徽文达信息工程学院∙安徽三联学院[民办]∙安徽外国语学院∙安徽农业大学经济技术学院∙安徽大学江淮学院∙安徽建筑工业学院城市建设学院∙安徽医科大学临床医学院∙安徽大学艺术与传媒学院[2013年创建]芜湖[5个]:∙安徽师范大学∙安徽工程大学∙皖南医学院∙安徽师范大学皖江学院∙安徽信息工程学院[民办、原安徽工程大学机电学院]马鞍山:∙安徽工业大学∙河海大学文天学院∙安徽工业大学工商学院皖中皖南其他地区∙安庆师范学院∙黄山学院∙池州学院∙铜陵学院∙皖西学院[六安]∙滁州学院合肥工业大学宣城分校淮泗地區蚌埠[5个]:∙解放军汽车管理学院∙海军蚌埠土官学校∙解放军装甲兵学院(原蚌埠坦克学院)∙安徽财经大学∙蚌埠医学院∙蚌埠学院∙安徽科技学院龙湖校区∙安徽财经大学商学院淮南:∙安徽理工大学∙淮南师范学院阜阳:∙阜阳师范学院∙阜阳师范学院信息工程学院淮北:∙淮北师范大学∙淮北师范大学信息学院∙亳州:亳州师范学院(筹)∙宿州:宿州学院∙鳳陽:安徽科技学院十四、江西省南昌[27个]∙南昌大学[211工程省属]∙南昌航空大学∙江西财经大学∙江西师范大学∙江西农业大学∙华东交通大学∙江西中医学院∙江西科技师范大学∙江西警察学院∙南昌工程学院∙江西理工大学(南昌校区)∙东华理工大学(南昌校区)∙南昌师范学院[原江西教育学院]∙江西科技学院[民办、2012年原江西蓝天学院改名]∙南昌理工学院[民办]∙南昌工学院[民办]∙江西服装学院[民办]∙江西应用科技学院[民办]∙南昌大学科学技术学院∙江西财经大学现代经济管理学院∙江西师范大学科学技术学院∙江西农业大学南昌商学院∙南昌航空大学科技学院∙江西中医学院科技学院∙华东交通大学理工学院∙东华理工大学长江学院∙江西科技师范学院理工学院九江[1个]∙九江学院∙江西财经职业学院∙九江职业技术学院∙九江职业大学∙江西枫林涉外经贸职业学院[民办]∙南昌大学共青学院(共青城)上饶[1个]∙上饶师范学院∙上饶职业技院∙江西医学高专抚州[1个]∙东华理工大学∙抚州职业技术学院∙江西中医药高专萍乡[1个]∙萍乡学院∙江西工业工程职院∙江西应用工程职院新余市[2个]:∙新余学院∙江西工程学院∙江西渝州科技职院∙赣西科技职院∙江西太阳能科技职院∙江西冶金职院宜春[1个]∙宜春学院∙宜春职业技术学院∙江西农业工程职院吉安[1个]:∙井冈山大学赣州[5个]:∙江西理工大学∙赣南师范学院∙赣南医学院∙江西理工大学应用科学学院∙赣南师范学院科技学院∙赣州师专[原赣南教育学院]∙江西应用技术职业学院∙江西环境工程职业学院景德镇市[2个]:∙景德镇陶瓷大学[2016年改名]∙景德镇学院∙江西陶瓷工艺美术职院∙景德镇陶瓷学院科技艺术学院鹰潭:∙鹰潭职业技术学院∙江西师范高专十五、福建省福州[16个]:∙福州大学[211]∙福建师范大学∙福建农林大学∙福建医科大学∙福建中医药大学∙福建江夏学院∙福建工程学院∙福建警察学院∙闽江学院∙福州外语外贸学院∙福建师范大学福清分校∙福建师范大学协和学院∙福建农林大学金山学院∙福建农林大学东方学院∙福州大学至诚学院∙福州外语外贸学院[民办]∙阳光学院[民办、2015年原福州大学阳光学院转制]厦门[6个]∙厦门大学[985、211]∙集美大学∙厦门理工学院∙厦门工学院[2015年原华侨大学厦门工学院转制]∙厦门南洋学院[民办]∙集美大学诚毅学院泉州[6个]:∙华侨大学∙福建师范大学闽南科技学院∙闽南科技学院∙仰恩大学[民办]∙闽南理工学院[民办]∙泉州师范学院漳州∙厦门大学嘉庚学院∙漳州师范学院其他地區:∙三明学院∙莆田学院∙武夷学院∙宁德师范学院∙龙岩学院华中华南地区十六、湖北省武漢[45个]∙海军工程大学∙空军预警学院∙军事经济学院∙国防信息学院∙湖北警官学院∙武汉军械士官学校∙武警武汉指挥学院∙第二炮兵指挥学院∙武汉大学[985、211]∙华中科技大学[985、211]∙武汉理工大学[211]∙中国地质大学(汉)[211]∙华中师范大学[211]∙中南财经政法大学[211]∙华中农业大学[211]∙中南民族大学∙湖北大学∙武汉科技大学∙湖北中医药大学∙湖北工业大学∙武汉工程大学∙江汉大学∙武汉纺织大学∙武汉轻工大学[14年原武汉工业学院改名]∙武汉体育学院∙湖北经济学院∙武汉生物工程学院∙湖北第二师范学院∙湖北美术学院∙武汉音乐学院∙武汉东湖学院∙汉口学院∙武汉工商学院[2014年原武汉长江工商学院改名]∙武昌理工学院∙武昌工学院[民办、2012年原武汉工业学院工商学院转制]∙武昌首义学院[民办、原华中科技大学武昌分校转制]∙湖北商贸学院[2015年原湖北工业大学商贸学院转制]∙华夏理工学院[2016年原武汉理工大学华夏学院转制]∙武汉学院[民办、2015年原中南财经政法大学武汉学院转制]∙武汉工程科技学院[民办、2014年原国地质大学江城学院转制]∙武汉传媒学院[民办、2016年原华中师范大学武汉传媒学院转制]∙晴川学院[民办、2016年原武汉大学珞。